
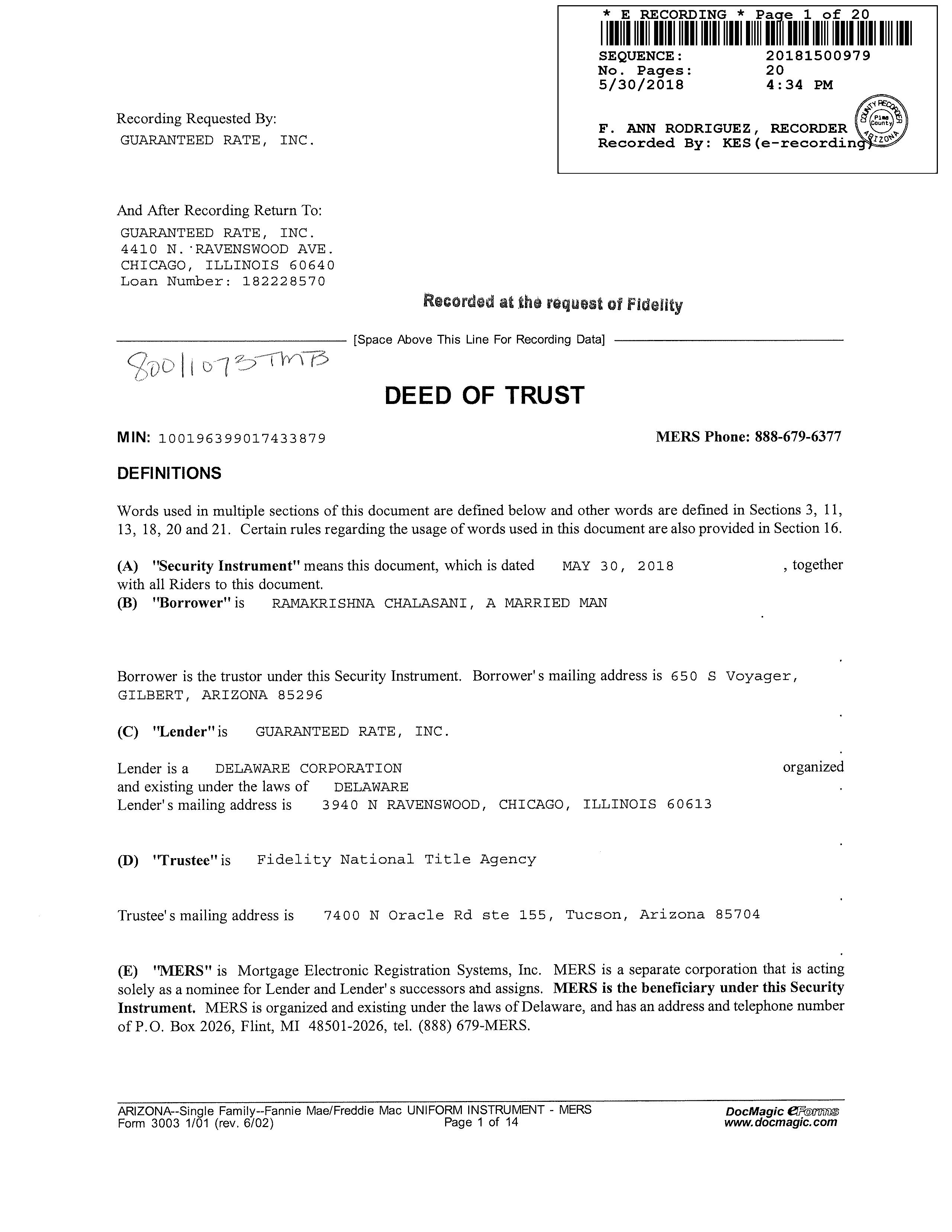
Date: 03/02/2026
Property: 6435NTIERRADELAS CATALINASAPT46,TUCSON,AZ 85718-2156
APN: 108-01-7630
County: PIMA
PreparedBy: FirstAmericanTitle CustomerServiceDepartment propertyresearch@firstamcom

WIRE FRAUD ALERT THINK DIFFERENTLY
Email-based, real estate fraud schemes are on the rise. One common scenario is altering wiring instructions with the intention of rerouting funds.
Keeping this in mind, First American Title is changing the way we receive payment information. It is imperative that we are familiar with the people in our transactions.
RELYING ON EMAIL ALONE IS NO LONGER AN OPTION.
Fraudsters often use email to send falsified wire instructions to unsuspecting victims. Please warn your buyers and sellers to only follow wire instructions they receive personally from First American Title.
Additionally, we will not accept disbursement instructions for seller or buyer funds via email OR from any third party (attorney, real estate agent, etc).
ALTERNATIVE INSTRUCTIONS?
If your buyer or seller receives alternative wiring instructions that appear to be from First American Title, make sure they contact their escrow officer at a trusted phone number for confirmation.
Know that our wiring instructions do not change so any communication is suspect. Our banking institution is First American Trust.
IN SHORT – wire instructions will not be accepted by email. New wire instructions must be hand-carried or uploaded to the First American Secure Portal.
Thank you for joining First American Title in fostering a secure real estate transaction process. Have questions or concerns? Please contact our office or your escrow officer.

LIMITATION OF LIABILITY FOR INFORMATIONAL REPORTS
IMPORTANT -- PLEASE READ CAREFULLY:
This report is not an insured product or service or a representation of the condition of title to real property. It is not an abstract, legal opinion, opinion of title, title insurance commitment or preliminary report, or any form of Title Insurance or Guaranty. This report is issued exclusively for the benefit of the Applicant therefor and may not be used or relied upon by any other person. This report may not be reproduced in any manner without First Americans prior written consent. First American does not represent or warrant that the information herein is complete or free from error, and the information herein is provided without any warranties of any kind, as-is, and with all faults. As a material part of the consideration given in exchange for the issuance of this report, recipient agrees that First Americans sole liability for any loss or damage caused by an error or omission due to inaccurate information or negligence in preparing this report shall be limited to the fee charged for the report. Recipient accepts this report with this limitation and agrees that First American would not have issued this report but for the limitation of liability described above. First American makes no representation or warranty as to the legality or propriety of recipient's use of the information herein.

SubjectPropertyLocation
PropertyAddress 6435NTIERRADELASCATALINASAPT46
City,State&Zip TUCSON,AZ85718-2156
County PIMACOUNTY
MailingAddress 650SVOYAGERDR,GILBERT,AZ85296-3202
CensusTract 004714 Latitude 32323106
ThomasBrosPg-Grid Longitude -110926428
ReportDate:03/02/2026
OrderID:R210988075
LegalDescriptionDetails LotNumber:46District:CATALINAFOOCity,Municipality,Township:SANTACATALINAFOOTHILLSSubdivisionName:TIERRACATALINA CONDOMINIUMSec/Twn/Rng/Mer:SEC04TWN13SRNG14EBriefDescription:TIERRACATALINACONDOMINIUMBLDG6435UNIT46&1053%INTINCOMMONELEMENTS
Recorder'sMapRef:PLAT:36
CurrentOwnershipInformation *Source
PrimaryOwnerName(s) CHALASANIRAMAKRISHNA Vesting
PrimaryOwnerName(s) CHALASANI,RAMAKRISHNA




SubjectPropertyLocation
PropertyAddress 6435NTIERRADELASCATALINASAPT46
ReportDate:03/02/2026
OrderID:R210988076 City,State&Zip TUCSON,AZ85718-2156
AreaSalesAnalysis























SubjectPropertyLocation
PropertyAddress
6435NTIERRADELASCATALINASAPT46
City,State&Zip TUCSON,AZ85718-2156
County PIMACOUNTY
MailingAddress
650SVOYAGERDR,GILBERT,AZ85296-3202
OwnerName CHALASANIRAMAKRISHNA
ParcelNumber 108-01-7630
ReportDate:03/02/2026
OrderID:R210988077


PropertyAddress 6435NTIERRADELASCATALINASAPT46
City,State&Zip TUCSON,AZ85718-2156
County PIMACOUNTY
MailingAddress 650SVOYAGERDR,GILBERT,AZ85296-3202
OrderID:R210988078

SubjectPropertyLocation
PropertyAddress 6435NTIERRADELASCATALINASAPT46
City,State&Zip TUCSON,AZ85718-2156
County PIMACOUNTY
ParcelNumber 108-01-7630
ReportDate:03/02/2026
OrderID:R210988079

Disclaimer
THISREPORTISINTENDEDFORUSEBYYOUASANENDUSERSOLELYFORYOURINTERNALBUSINESSPURPOSES.YOUSHALLNOTRESELL,RELICENSEORREDISTRIBUTETHISREPORT,INWHOLEORIN PART THEUSEOFTHISREPORTBYANYPARTYOTHERTHANYOURSELFFORANYPURPOSEISSTRICTLYPROHIBITED.THISREPORTISPROVIDEDAS-ISWITHOUTWARRANTYOFANYKIND,EITHEREXPRESS ORIMPLIED,INCLUDINGWITHOUTLIMITATION,ANYWARRANTIESOFMERCHANTABILITY,NON-INFRINGEMENT,ORFITNESSFORAPARTICULARPURPOSE.INTERCONTINENTALEXCHANGE,INC.(ICE)SHALL HAVENOLIABILITYINCONTRACT,TORT,OROTHERWISEARISINGOUTOFORINCONNECTIONWITHTHISREPORT.ICEDOESNOTREPRESENTORWARRANTTHATTHEREPORTISCOMPLETEORFREEFROM ERROR.YOUUNDERSTANDANDACKNOWLEDGETHATTHEAVAILABILITY,COMPLETENESSANDFORMATOFTHEDATAELEMENTSMAYVARYSUBSTANTIALLYFROMAREA-TO-AREA.THEINFORMATION CONTAINEDINTHISREPORTISDERIVEDFROMPUBLICLYAVAILABLESOURCESFORTHESUBJECTPROPERTYORCOMPARABLEPROPERTIESLISTEDABOVEANDHASNOTBEENINDEPENDENTLYVERIFIEDBY ICETHROUGHANYFORMOFINSPECTIONORREVIEW THISREPORTDOESNOTCONSTITUTEANAPPRAISALOFANYKINDANDSHOULDNOTBEUSEDINLIEUOFANINSPECTIONOFASUBJECTPROPERTYBYA LICENSEDORCERTIFIEDAPPRAISER.THISREPORTCONTAINSNOREPRESENTATIONS,OPINIONSORWARRANTIESREGARDINGTHESUBJECTPROPERTY'SACTUALMARKETABILITY,CONDITION(STRUCTURAL OROTHERWISE),ENVIRONMENTAL,HAZARDORFLOODZONESTATUS,ANDANYREFERENCETOENVIRONMENTAL,HAZARDORFLOODZONESTATUSISFORINFORMATIONALPURPOSESONLYANDSHALLBE INDEPENDENTLYVERIFIEDBYTHEENDUSER.THEINFORMATIONCONTAINEDHEREINSHALLNOTBEUTILIZED:(A)TOREVIEWORESTABLISHACONSUMER'SCREDITAND/ORINSURANCEELIGIBILITYORFOR ANYOTHERPURPOSETHATWOULDCAUSETHEREPORTTOCONSTITUTEA"CONSUMERREPORT"UNDERTHEFAIRCREDITREPORTINGACT,15U.S.C.§1681ETSEQ.;OR(B)INCONNECTIONWITH CERTIFICATIONORAUTHENTICATIONOFREALESTATEOWNERSHIPAND/ORREALESTATETRANSACTIONS.ADDITIONALTERMSANDCONDITIONSSHALLAPPLYPURSUANTTOTHEAPPLICABLEAGREEMENT Copyright CONFIDENTIAL,PROPRIETARYAND/ORTRADESECRET TMSM®TRADEMARK(S)OFINTERCONTINENTALEXCHANGE,INC.ANDITSSUBSIDIARIESANDAFFILIATES. ©2026INTERCONTINENTALEXCHANGE,INC.ALLRIGHTSRESERVED.






























