Digital Listing Kit 3202 W Jusnic Circle

Page 1

Subject Property 3202 W Jusnic Cir Tucson AZ 85705 APN: 101-17-0570 Data Provided By: First American Title Ins Co © 2024 CoreLogic. All rights reserved

Note: None of the attached information given is in any way complete or sufficient for Bidding on these properties at auction and does not show lien priority.

This report is not an insured product or service or a representation of the condition of title to real property. It is not an abstract, legal opinion, opinion of title, title insurance commitment or preliminary report, or any form of Title Insurance or Guaranty. This report is issued exclusively for the benefit of the Applicant therefor and may not be used or relied upon by any other person. This report may not be reproduced in any manner without First American prior written consent. First American does not represent or warrant that the information herein is complete or free from error, and the information herein is provided without any warranties of any kind, asis, and with all faults. As a material part of the consideration given in exchange for the issuance of this report, recipient agrees that First Americans sole liability for any loss or damage caused by an error or omission due to inaccurate information or negligence in preparing this report shall be limited to the fee charged for the report. Recipient accepts this report with this limitation and agrees that First American would not have issued this report but for the limitation of liability described above. First American makes no representation or warranty as to the legality or propriety of recipient's use of the information herein.

EXCITING NEWS!

Title Security Agency is officially becoming First American Title. Despite the name change, you can expect the same excellent service and familiar faces at your closings.

Our partnership with First American Title brings you the best of both worlds: LOCAL EXPERTISE AND FORTUNE 500 RESOURCES.

Same great team

Same local knowledge

Same convenient locations

Same great service

Fortune® 500 company

Multicultural materials

Economic team, market data, and trends

Leading technology in a changing market

Our industry is navigating a challenging market. Our alignment with a seasoned industry leader, with over 130 years of experience, provides valuable resources and expert guidance as we adapt.

Thank you for your continued trust in us!

We truly appreciate your business and look forward to seeing you at the closing table soon.

THE BEST OF BOTH WORLDS

24-DID-0071-F1_CP-AZL_01
FIRST AMERICAN - SOUTHERN ARIZONA ADMIN OFFICE 520.885.1600 tsa-administration@firstam.com First American Title Insurance Company, and the operating divisions thereof, make no express or implied warranty respecting the information presented and assume no responsibility for errors or omissions. First American, the eagle logo, First American Title, and firstam.com are registered trademarks or trademarks of First American Financial Corporation and/or its affiliates. ©2024 First American Financial Corporation and/or its affiliates. All rights reserved. NYSE: FAF

WIRE FRAUD ALERT THINK DIFFERENTLY

Email-based, real estate fraud schemes are on the rise. One common scenario is altering wiring instructions with the intention of rerouting funds.

Keeping this in mind, First American Title is changing the way we receive payment information. It is imperative that we are familiar with the people in our transactions.

RELYING ON EMAIL ALONE IS NO LONGER AN OPTION.

YOU SHOULD BE AWARE OF PRECAUTIONS

DO NOT TRUST EMAILED INSTRUCTIONS

Fraudsters often use email to send falsified wire instructions to unsuspecting victims. Please warn your buyers and sellers to only follow wire instructions they receive personally from First American Title.

Additionally, we will not accept disbursement instructions for seller or buyer funds via email OR from any third party (attorney, real estate agent, etc).

ALTERNATIVE INSTRUCTIONS?

If your buyer or seller receives alternative wiring instructions that appear to be from First American Title, make sure they contact their escrow officer at a trusted phone number for confirmation.

Know that our wiring instructions do not change so any communication is suspect. Our banking institution is First American Trust.

IN SHORT – wire instructions will not be accepted by email. New wire instructions must be hand-carried or uploaded to the First American Secure Portal.

Thank you for joining First American Title in fostering a secure real estate transaction process. Have questions or concerns? Please contact our office or your escrow officer.

For more information please contact your

01100180621
IN THE REAL ESTATE CLOSING PROCESS
American representative. www.firstam.com First American Title Insurance Company, and the operating divisions thereof, make no express or implied warranty respecting the information presented and assume no responsibility for errors or omissions. First American, the eagle logo, First American Title, and firstam.com are registered trademarks or trademarks of First American Financial Corporation and/or its affiliates. ©2023 First American Financial Corporation and/or its affiliates. All rights reserved. NYSE: FAF
First

LIMITATION OF LIABILITY FOR INFORMATIONAL REPORTS

IMPORTANT -- PLEASE READ CAREFULLY:

This report is not an insured product or service or a representation of the condition of title to real property. It is not an abstract, legal opinion, opinion of title, title insurance commitment or preliminary report, or any form of Title Insurance or Guaranty. This report is issued exclusively for the benefit of the Applicant therefor and may not be used or relied upon by any other person. This report may not be reproduced in any manner without First Americans prior written consent. First American does not represent or warrant that the information herein is complete or free from error, and the information herein is provided without any warranties of any kind, as-is, and with all faults. As a material part of the consideration given in exchange for the issuance of this report, recipient agrees that First Americans sole liability for any loss or damage caused by an error or omission due to inaccurate information or negligence in preparing this report shall be limited to the fee charged for the report. Recipient accepts this report with this limitation and agrees that First American would not have issued this report but for the limitation of liability described above. First American makes no representation or warranty as to the legality or propriety of recipient's use of the information herein.

Disclaimer

This REiSource report is provided "as is" without warranty of any kind, either express or implied, including without limitations any warrantees of merchantability or fitness for a particular purpose. There is no representation of warranty that this information is complete or free from error, and the provider does not assume, and expressly disclaims, any liability to any person or entity for loss or damage caused by errors or omissions in this REiSource report without a title insurance policy.

The information contained in the REiSource report is delivered from your Title Company, who reminds you that you have the right as a consumer to compare fees and serviced levels for Title, Escrow, and all other services associated with property ownership, and to select providers accordingly. Your home is the largest investment you will make in your lifetime and you should demand the very best.

Provided By: First American Title Ins Co
Data
© 2024 CoreLogic. All rights reserved

Subject Property :   3202 W Jusnic Cir Tucson AZ 85705

Owner Information

Owner Name : Anderson Laura Elizabeth

Foreclosure Status: AUCTION

Mailing Address : 3202 W Jusnic Cir, Tucson AZ 85705-1085 C031

Owner Occupied Indicator : O

Location Information

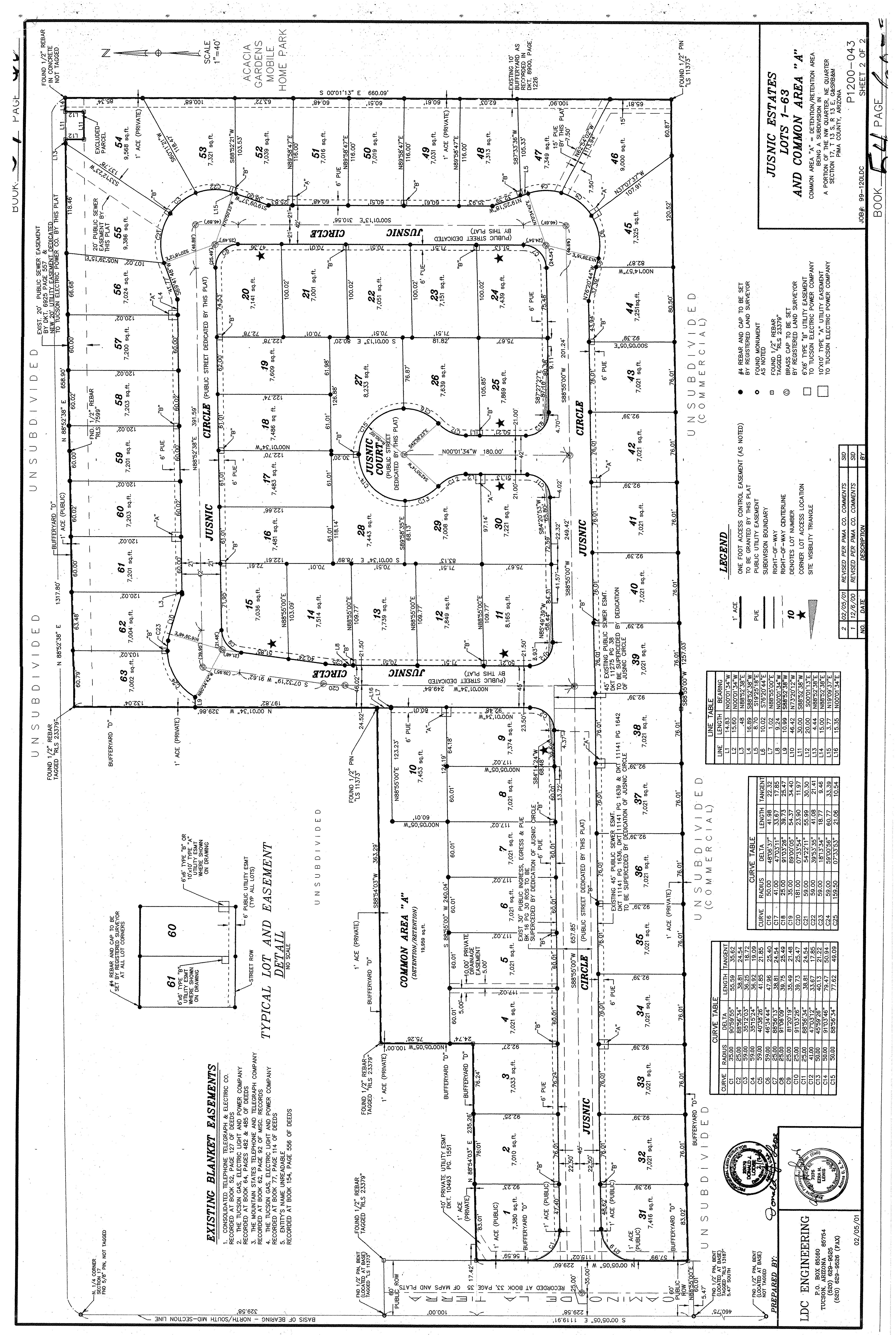
Legal Description : Jusnic Estates Lot 0021

County : Pima, Az

Census Tract / Block : 45.06 / 2

Township-Range- Sect : 13S-13E-17

Legal Book/Page : 54-60

Legal Lot : 21

Market Area : 30

Last Market Sale Information

Recording/Sale Date : 12/10/2015 / 12/08/2015

Sale Price : $86,000

Document # : 3440310

Deed Type : Warranty Deed

Title Company : Fidelity Nat'l Title Agcy Inc

Lender : Guild Mtg Co

Seller Name : Jolson David L

Prior Sale Information

Prior Rec/Sale Date : 07/16/2015 / 06/03/2015

Prior Sale Price : $46,800

Property Characteristics

APN : 101-17-0570

Subdivision : Jusnic Estates

Map Reference : 17-13S-13E

School District : Flowing Wells

Munic/Township : Flowing Wells

1st Mtg Amount/Type : $84,442 / Fha

1st Mtg Document # : 3440312

1st Mtg Term : 30

Price Per SqFt : $79.63

Prior Doc Number : 1970042

Prior Deed Type : Quit Claim Deed

Gross Area : 1,080 Year Built / Eff : 2006 / 2006

Living Area : 1,080 # of Stories : 1

Parking Type : Carport

Construction : Steel/wood

Customer Name : Chantel Cortez

Customer Company Name : FIRST AMERICAN TITLE Prepared On : 04/29/2024

© 2024 CoreLogic. All rights reserved

Property Information

Land Use : Manufactured Home

County Use : Mh Subd Lotaffixed Mf Home

Tax Information

Total Value : $78,800

Total Taxable Value : $7,158

Assessed Year : 2023

Tax Year : 2023

Foreclosure Information

Foreclosure Stage : AUCTION

Zoning : MU

Lot Acres : 0.16

Lot Size : 7,001

State Use : Mh Subd Lotaffixed Mf Home

Property Tax : $1,027.03 Current Year Total Value : $8,491

Tax Rate Area : 0806

Current Year Improvement Value : $4,191

Market Value : $78,800 Current Year Land Value : $4,300

Current Assessed Year : 2024

Recording Date : 12/29/2023

Original Mtg Date : 12/10/2015

Attorney Name : CHRISTINA HARPER ESQ

Auction Date : 03/27/2024

Original Mtg Doc# : 3440312

Original Mtg Amt/Type : $84,442

Auction City : TUCSON

Customer Name : Chantel Cortez

Customer

Prepared
© 2024 CoreLogic. All rights reserved
Company Name : FIRST AMERICAN TITLE
On : 04/29/2024

Sales Analysis

Criteria Subject Property Low High Average Sale Price $86,000 $45,000 $525,000 $275,190 Bldg/Living Area 1080 924 1232 1039 Price Per Square Foot $79.63 $46 $551 $269.68 Year Built 2006 1964 2002 1983 Lot Size 7,001 3,730 9,148 7,152 Bedrooms Bathrooms Stories 1 1 1 1 Total Assessed Value $78,800 $37,550 $67,761 $53,719 Distance From Subject 0 0.15 2.45 1.26
of Comparables # Address Sale Price Total Assessed Value Sale Date Bed Bath Living Area Lot Size Year Built Dist (Miles) Zoning S 3202 W Jusnic Cir 86,000 78,800 12/10/2015 1,080 7,001 2006 MU 1 3302 W Jusnic Cir 200,000 67,761 06/14/2023 1,232 7,021 2002 0.15 MU 2 5441 N Royal Palm Dr 249,900 58,906 10/27/2023 924 6,509 1983 0.47 MU 3 2820 W Palm Vista St 226,000 60,083 08/29/2023 1,232 4,641 1999 0.54 MU 4 2814 W Palm Vista St 525,000 38,775 05/30/2023 952 3,730 1976 0.54 MU 5 2742 W Palmyra St 525,000 55,789 05/30/2023 1,056 6,706 1986 0.55 MU 6 4973 N Diamond Pl 45,000 37,550 02/29/2024 980 8,323 1977 0.83 CMH-1 7 4725 N Iroquois Ave 176,000 66,800 01/23/2024 1,056 9,148 1994 2.3 MU 8 1555 W Wabash St 100,000 51,112 09/20/2023 1,000 9,148 1964 2.35 MU 9 4601 N Camino Feliz 180,000 45,606 02/29/2024 980 8,189 1974 2.43 MU 10 4656 N Camino Aire Fresco 525,000 54,809 05/30/2023 980 8,102 1973 2.45 MU Distressed Sales = Customer Name : Chantel Cortez Customer Company Name : FIRST AMERICAN TITLE Prepared On : 04/29/2024 © 2024 CoreLogic. All rights reserved
Summary
Map Customer Name : Chantel Cortez Customer Company Name : FIRST AMERICAN TITLE Prepared On : 04/29/2024 © 2024 CoreLogic. All rights reserved

Details of Comparables

Subject Property: 3202 W Jusnic Cir Tucson Az 85705

Owner Name: Anderson Laura Elizabeth /

APN / Alternate APN: 101-17-0570 / Deed Type: Warranty Deed

Subdivision / Tract: Jusnic Estates / Lot Size: 7,001

Rec. Date / Price: 12/10/2015 / $86,000 Living Area: 1,080

Document #: 3440310

Total Tax Value: $78,800

#1   3302 W Jusnic Cir Tucson Az 85705

Owner Name: Valencia Esmeralda T /

Bedrooms:

Bath(F/H): /

APN / Alternate APN: 101-17-0400 / Deed Type: Warranty Deed

Subdivision / Tract: Jusnic Estates / Lot Size: 7,021

Rec. Date / Price: 06/14/2023 / $200,000 Living Area: 1,232

Document #: 1650479

Total Tax Value: $67,761

#2   5441 N Royal Palm Dr Tucson Az 85705

Bedrooms:

Bath(F/H): /

Owner Name: Acosta Fransisco J /Herrera Xochitl L

Land Use: Manufactured Home

Year Built / Eff: 2006 /2006

# of units:

Pool:

Land Use: Manufactured Home

Year Built / Eff: 2002 /2002

# of units:

Pool:

APN / Alternate APN: 101-14-1440 / Deed Type: Warranty Deed Land Use: Manufactured Home

Subdivision / Tract: Palmdale / Lot Size: 6,509

Rec. Date / Price: 10/27/2023 / $249,900 Living Area: 924

Document #: 3000721

Total Tax Value: $58,906

#3   2820 W Palm Vista St Tucson Az 85705

Owner Name: Portillo Alma J Z /

Bedrooms:

Bath(F/H): /

APN / Alternate APN: 101-14-3240 / Deed Type: Warranty Deed

Subdivision / Tract: Palmdale 03 / Lot Size: 4,641

Rec. Date / Price: 08/29/2023 / $226,000 Living Area: 1,232

Year Built / Eff: 1983 /1983

# of units:

Pool:

Use: Manufactured Home

Built / Eff: 1999 /1999

of units:

Document #: 2410635 Bedrooms: Pool:

Total Tax Value: $60,083

#4   2814 W Palm Vista St Tucson Az 85705

Owner Name: Ac Trust /

Bath(F/H): /

APN / Alternate APN: 101-14-3250 / Deed Type: Warranty Deed

Subdivision / Tract: Palmdale 03 / Lot Size: 3,730

Rec. Date / Price: 05/30/2023 / $525,000 Living Area: 952

Use: Manufactured Home

Built / Eff: 1976 /1976

of units:

Document #: 1500128 Bedrooms: Pool:

Total Tax Value: $38,775

Bath(F/H): /

Land
Year
#
Land
Year
#
Customer
Cortez Customer
FIRST AMERICAN TITLE Prepared
© 2024 CoreLogic. All rights reserved
Name : Chantel
Company Name :
On : 04/29/2024

#5   2742 W Palmyra St Tucson Az 85705

Owner Name: Ac Trust /

APN / Alternate APN: 101-14-0770 / Deed Type: Warranty Deed

Subdivision / Tract: Palmdale / Lot Size: 6,706

Rec. Date / Price: 05/30/2023 / $525,000 Living Area: 1,056

Document #: 1500128

Total Tax Value: $55,789

#6   4973 N Diamond Pl Tucson Az 85705

Bedrooms:

Bath(F/H): /

Owner Name: Tucson Houses Llc / APN / Alternate APN: 101-15-3310 / Deed Type: Warranty Deed

Subdivision / Tract: Versteegs / Lot Size: 8,323

Rec. Date / Price: 02/29/2024 / $45,000 Living Area: 980

Document #: 600756

Total Tax Value: $37,550

#7   4725 N Iroquois Ave Tucson Az 85705

Bedrooms:

Bath(F/H): /

Owner Name: Coleman Anita /Coleman Ronald C APN / Alternate APN: 104-03-1400 / Deed Type: Warranty Deed

Subdivision / Tract: Romero Park / Lot Size: 9,148

Rec. Date / Price: 01/23/2024 / $176,000 Living Area: 1,056

Document #: 230434

Total Tax Value: $66,800

#8   1555 W Wabash St Tucson Az 85705

Bedrooms:

Bath(F/H): /

Owner Name: Yanez Daniel H / APN / Alternate APN: 104-03-1180 / Deed Type: Warranty Deed

Subdivision / Tract: Romero Park / Lot Size: 9,148

Rec. Date / Price: 09/20/2023 / $100,000 Living Area: 1,000

Document #: 2630498

Total Tax Value: $51,112

#9   4601 N Camino Feliz Tucson Az 85705

Owner Name: Shepherd Kayla F /

Bedrooms:

Bath(F/H): /

Land Use: Manufactured Home

Year Built / Eff: 1986 /1986

# of units:

Pool:

Land Use: Manufactured Home

Year Built / Eff: 1977 /1977

# of units:

Pool:

Land Use: Manufactured Home

Year Built / Eff: 1994 /1994

# of units:

Pool:

Use: Manufactured Home

Built / Eff: 1964 /1964

# of units:

Pool:

APN / Alternate APN: 104-03-1160 / Deed Type: Warranty Deed Land Use: Manufactured Home

Subdivision / Tract: Buena Ventura / Lot Size: 8,189 Year Built / Eff: 1974 /1974

Rec. Date / Price: 02/29/2024 / $180,000 Living Area: 980

Document #: 600155

Total Tax Value: $45,606

Bedrooms:

Bath(F/H): /

#10   4656 N Camino Aire Fresco Tucson Az 85705

Owner Name: Ac Trust /

# of units:

Pool:

APN / Alternate APN: 104-03-0450 / Deed Type: Warranty Deed Land Use: Manufactured Home

Subdivision / Tract: Buena Ventura / Lot Size: 8,102

Rec. Date / Price: 05/30/2023 / $525,000 Living Area: 980

Document #: 1500128

Total Tax Value: $54,809

Bedrooms:

Bath(F/H): /

Year Built / Eff: 1973 /1973

# of units:

Pool:

Land
Year
Customer Name : Chantel Cortez Customer Company Name : FIRST AMERICAN TITLE Prepared On : 04/29/2024 © 2024 CoreLogic. All rights reserved
Subject
W Jusnic
85705 Customer Name : Chantel Cortez Customer Company Name : FIRST AMERICAN TITLE Prepared On : 04/29/2024 © 2024 CoreLogic. All rights reserved
Property :   3202
Cir Tucson AZ
Customer Name : Chantel Cortez Customer Company Name : FIRST AMERICAN TITLE Prepared On : 04/29/2024 © 2024 CoreLogic. All rights reserved

3198 W JUSNIC CIR

Owner Name : Cicchello Robert S

Sale Date : 02/00/2006

Total Value : $71,938

Distance 0.01 Miles

Recording Date : 04/20/2006

Sale Price  : $120,000

Property Tax : $927.21

Land Use : Manufactured Home Lot Acres : 0.16

Stories : 1

Yr Blt / Eff Yr Blt : 2003 / 2003

Subdivision  : Jusnic Estates

3206 W JUSNIC CIR

Owner Name : Hardware Lakennedy

Sale Date : 09/00/2005

Total Value : $79,174

Living Area : 1,344

APN : 101-17-0560

Distance 0.01 Miles

Recording Date : 06/29/2006

Sale Price  : $118,500

Property Tax : $1,157.82

Land Use : Manufactured Home Lot Acres : 0.16

Stories : 1

Yr Blt / Eff Yr Blt : 2006 / 2006

Subdivision  : Jusnic Estates

3178 W JUSNIC CIR

Owner Name : True Blood Timothy F

Sale Date : 07/20/2017

Total Value : $79,821

Living Area : 1,431

APN : 101-17-0580

Distance 0.02 Miles

Recording Date : 07/21/2017

Sale Price  : $95,000

Property Tax : $1,045.84

Land Use : Manufactured Home Lot Acres : 0.17

Stories : 1

Yr Blt / Eff Yr Blt : 2002 / 2002

Subdivision  : Jusnic Estates

5544 N JUSNIC CT

Owner Name : Mickelson Maria

Sale Date : 02/20/2019

Total Value : $86,056

Living Area : 1,792

APN : 101-17-0550

Distance 0.02 Miles

Recording Date : 02/28/2019

Sale Price  : $135,000

Property Tax : $1,139.79

Land Use : Mobile Home Lot Acres : 0.19

Stories : 1

Yr Blt / Eff Yr Blt : 2002 / 2002

Subdivision  : Jusnic Estates

Living Area : 1,568

APN : 101-17-0630

Customer Name :

Customer Company Name :

Cortez
Chantel
AMERICAN TITLE
© 2024 CoreLogic. All rights reserved
FIRST
Prepared On : 04/29/2024

3210 W JUSNIC CIR

Owner Name : Wong John H

Sale Date : 11/00/2005

Total Value : $69,806

Distance 0.03 Miles

Recording Date : 11/07/2005

Sale Price  : $110,000

Property Tax : $898.93

Land Use : Manufactured Home Lot Acres : 0.16

Stories : 1

Yr Blt / Eff Yr Blt : 2003 / 2003

Subdivision  : Jusnic Estates

3203 W JUSNIC CIR

Owner Name : Dewyer Raymond G

Total Value : $93,728

Living Area : 1,323

APN : 101-17-0590

Distance 0.03 Miles

Subdivision : Jusnic Estates

Property Tax : $1,257.76

Land Use : Mobile Home Lot Acres : 0.16

Stories : 1

Yr Blt / Eff Yr Blt : 2003 / 2003

3199 W JUSNIC CIR

Owner Name : White Ilaann S

Total Value : $94,062

Living Area : 1,792

APN : 101-17-0870

Distance 0.03 Miles

Subdivision : Jusnic Estates

Property Tax : $1,257.46

Land Use : Mobile Home Lot Acres : 0.16

Stories : 1

Yr Blt / Eff Yr Blt : 2003 / 2003

3207 W JUSNIC CIR

Owner Name : Morgan Robert E

Sale Date : 08/30/2012

Total Value : $72,258

Living Area : 1,848

APN : 101-17-0880

Distance 0.03 Miles

Recording Date : 08/31/2012

Sale Price  : $77,000

Property Tax : $934.35

Land Use : Mobile Home Lot Acres : 0.16

Stories : 1

Yr Blt / Eff Yr Blt : 2006 / 2006

Subdivision  : Jusnic Estates

Living Area : 1,456

APN : 101-17-0860

Customer Name : Chantel

Customer Company Name :

Cortez
AMERICAN TITLE Prepared
© 2024 CoreLogic. All rights reserved
FIRST
On : 04/29/2024

Distance 0.03 Miles

Owner Name : Huber John F

Sale Date : 04/24/2015

Total Value : $65,785

Recording Date : 04/30/2015

Sale Price  : $55,500

Property Tax : $836.32

Land Use : Manufactured Home Lot Acres : 0.18

Stories : 1

Yr Blt / Eff Yr Blt : 2003 / 2003

Subdivision  : Jusnic Estates

Owner Name : Doucette Roger

Sale Date : 11/06/2013

Total Value : $92,203

Living Area : 1,040

APN : 101-17-0620

Distance 0.04 Miles

Recording Date : 12/20/2013

Sale Price  : $70,000

Property Tax : $1,229.50

Land Use : Mobile Home Lot Acres : 0.16

Stories : 1

Yr Blt / Eff Yr Blt : 2004 / 2004

Living Area : 2,340

APN : 101-17-0850

Subdivision  : Jusnic Estates Customer

5534 N JUSNIC CT 3211 W JUSNIC CIR
Name : Chantel Cortez
Company Name : FIRST AMERICAN TITLE Prepared On : 04/29/2024 © 2024 CoreLogic. All rights reserved
Customer

Census Tract / block: 45.06 / 2     Year: 2020

Household Population Population by Age Count: 5,896 0 - 11 Estimate Current Year: 6,398 12 - 17 Estimate in 5 Years: 8,875 18 - 24 17.27% Growth Last 5 Years: 12.62% 25 - 64 47.2% Growth Last 10 Years: -126.13% 65 - 74 6.55% 75+ Household Size Household Income Current Year: 2,082 0 - $25,000 28.05% Average Current Year: 2.83 $25,000 - $35,000 25.74% Estimate in 5 Years: 4,193 $35,000 - $50,000 18.49% Growth Last 5 Years: 10.76% $50,000 - $75,000 6.15% Growth Last 10 Years: 20.15% $75,000 - $100,000 11.86% Male Population: 45.17% Above $100,000 9.7% Female Population: 54.83% Average Household Income: $32,620 Married People: 37.4% Unmarried People: 62.6% Housing Median Mortgage Payments Home Values Under $300: 10.4% Below $100,000: 73.02% $300 - $799: 53.83% $100,000 - $150,000: 9.47% $800 - $1,999: 33.02% $150,000 - $200,000: 12.21% Over $2,000: 2.74% $200,000 - $300,000: 3.61% Median Home Value: $35,000 $300,000 - $500,000: 0.62% Unit Occupied Owner: 77.09% Above $500,000: 1.06% Median Mortgage: $613 Customer Name : Chantel Cortez Customer Company Name : FIRST AMERICAN TITLE Prepared On : 04/29/2024 © 2024 CoreLogic. All rights reserved
Rent Payments Year Built Unit Occupied Renter: 22.91% 1999 - 2000 Median Gross Rent: $909 1995 - 1998 Less Than $499 3.99% 1990 - 1994 $500 - $749 35.48% 1980 - 1989 23.11% $750 - $999 16.19% 1970 - 1979 25.73% $1000 and Over 44.35% 1900 - 1969 14.89% Education Enrollment Public Pre-Primary School: 0.44% Not Enrolled in School: 70.38% Private Pre-Primary School: 0.56% Not A High School Graduate: 28.16% Public School: 24.56% Graduate Of High School: 27.11% Private School: 5.06% Attended Some College: 27.31% Public College: 6.71% College Graduate: 14.83% Private College: 1.56% Graduate Degree: 2.58% Workforce Occupation: Manager/Prof: 24.28% Private Worker: 62.21% Technical: Government Worker: 10.43% Sales: 17.24% Self Employed Worker: 8.47% Administrative: Unpaid Family Worker: 9.67% Private House Hold: Farming: 10.69% Service: 36.7% Skilled: Protective Services: Blue-Collar: 21.79% Commute Time Less Than 15 Min: 27.25% 15 min - 28 min: 49.33% 30 min - 57 min: 17.03% Over 60 min: 6.39% Customer Name : Chantel Cortez Customer Company Name : FIRST AMERICAN TITLE Prepared On : 04/29/2024 © 2024 CoreLogic. All rights reserved
Customer Name : Chantel Cortez Customer Company Name : FIRST AMERICAN TITLE Prepared On : 04/29/2024 © 2024 CoreLogic. All rights reserved
Customer Name : Chantel Cortez Customer Company Name : FIRST AMERICAN TITLE Prepared On : 04/29/2024 © 2024 CoreLogic. All rights reserved
Customer Name : Chantel Cortez Customer Company Name : FIRST AMERICAN TITLE Prepared On : 04/29/2024 © 2024 CoreLogic. All rights reserved

Arizona Schools

For detailed information and statistics on Arizona schools please go to https://azreportcards.azed.gov/

First American Title Insurance Company, and the operating divisions thereof, make no express or implied warranty respecting the information presented and assume no responsibility for errors or omissions. First American, the eagle logo, First American Title, and firstam.com are registered trademarks or trademarks of First American Financial Corporation and/or its affiliates. ©2021 First American Financial Corporation and/or its affiliates. All rights reserved. NYSE: FAF 05117910421

PIMA COUNTY

05249570321 TUCSON INT'L AIRPORT Air Force WSilverbellRd SSantaRitaRd N M t L emmon Hwy ESascoRd NF38 W Avra Valley Rd E Grand Va ey Dr NAguirre R d N L u c k e R d N W e n t z R d N Wa terman Mounta i n R d N Anway Rd W El Tiro Rd N Trico Rd W Tucker Rd W Rudas l Rd W Manvi e Rd SSanJoaquinRd WBopp Rd W Snyder H l Rd S M a r s e a r R d W Park Rd W Hermans Rd W Hermans Rd W Guy St W Bush Rd S G a v e y R d N C a e R i n c o n a d o S W m o R d S Shaw Rd S Sierrita Mountain Rd S K o b R d W TwinButtes Rd W Mcgee Ranch Rd S E s t a n c a D r EDesertDove E Hemlock Dr N Bea r C a n y o n R d W E Camino Del Cerro E Fairmount St S Swan Rd NFrontageRd W Emigh Rd W Fort Lowe Rd N P u m p S t a t ion dR E Nona Rd Ch efButteRd Lo al Ave N Trico Rd S Cattle Tank Rd Evalyn Rd SOwlHead R a n c h Rd GasLineRd S P ec a n R d N T r c o R d W Bayard Rd S S a n d a r o R d W i l l owSpri n gsRd N Dove Mountain Blvd SHelvetiaRd WAnamax Mine Rd W G a c i a R a n hc R d Road424 WRagged Top Rd W Ruby Star Dr WBritten RanchRd W Pima Mine Rd S Mcgee Ranch R d E Edw n Rd SGuildRd 8 0 NKINNEYRD S PICACHO HWY E BAUMGARTNER RD N S A N D A R I O R D N ANWAY RD W VALENCIA RD W MOORE RD W INA RD N 1 S T A V E E SUNRISE DR E SNYDER RD NSILVERBELLRD N S O L D I E R T R L E RIVER RD E PRINCE RD E SPEEDWAY BLVD S FREEMAN RD E 22ND ST E 22ND ST W IRVINGTON RD S N O G A L E S H W Y W VALENCIA RD SMISSIONRD W SPEEDWAY BLVD S O L D S P A N I S H T RL W NARANJA DR W TWIN PEAKS RD W PICTURE ROCKS RD W MANVILLE RD SKINNEYRD W MILE WIDE RD E SAHUARITA RD N TRICO RD S S A N D A R O R D PARK LINK DR S OLD N O G ALES HW Y S H O U G H T O N R D S L A C A N A D A DR W HELMET PEAK RD
N S W A N R D S KOLB RD S HOUGHTON RD W TANGERINE RD E GRANT RD S H O U G H T O N R D 9 5 WAJOHWY E VALENCIA RD NORACLE R D I10 I-19 77 77 77 86 86 286 10 19 10 10 Corona de Tucson Casas Adobes Catalina Green Valley Oracle Picture Rocks Three Points Vail Summit Tanque Verde Tucson Sahuarita Red Rock Saddlebrooke Marana Oro Valley Rillito Summerhaven Willow Canyon Oracle Junction Cortaro Continental Littletown 20 30 13 15 51 39 12 01 01 08 10 16 11 06
WAJOHWY
School District Information This map is provided for general location only. Please contact school districts for actual street boundaries SCHOOL DISTRICTS 15 AJO UNIFIED 111 N. Well Road, Ajo, AZ 85321 520.387.5618 51 ALTAR VALLEY ELEMENTARY 10105 S. Sasabe Road, Tucson, AZ 85736 520.822.1484 10 AMPHITHEATER UNIFIED 701 W. Wetmore, Tucson, AZ 85705 520.696.5000 16 CATALINA FOOTHILS UNIFIED 2101 E. River Road, Tucson, AZ 85718 520.209.7500 39 CONTINENTAL ELEMENTARY 1991 E. Whitehouse Canyon, Green Valley, AZ 85614 520.625.4581 08 FLOWING WELLS UNIFIED 1556 W. Prince Road, Tucson, AZ 85705 520.696.8800 06 MARANA UNIFIED 11279 W. Grier Road, Marana, AZ 85653 520.682.3243 11 PIMA COUNTY JTED 2855 W. Master Pieces Dr, Tucson, AZ 85741 520.352.5833 30 SAHUARITA UNIFIED 350 W. Sahuarita Road, Sahuarita, AZ 85629 520.625.3502 12 SUNNYSIDE UNIFIED 2238 E. Ginter Road, Tucson, AZ 85706 520.545.2000 13 TANQUE VERDE UNIFIED 2300 N. Tanque Verde Loop, Tucson, AZ 85749 520.749.5751 01 TUCSON UNIFIED 1010 E. 10th Street, Tucson, AZ 85717 520.225.6000 20 VAIL UNIFIED 10701 E. Mary Ann Cleveland Way, Tucson, AZ 85747 520.879.2000 First American Title Insurance Company, and the operating divisions thereof, make no express or implied warranty respecting the information presented and assume no responsibility for errors or omissions. First American, the eagle logo, First American Title, and firstam.com are registered trademarks or trademarks of First American Financial Corporation and/or its affiliates. ©2021 First American Financial Corporation and/or its affiliates. All rights reserved. NYSE: FAF

INVESTIGATIVE SEARCH RESULTS

SEARCH PARAMETERS

PARCEL:  101-17-0570

PARCEL: 101-17-0570

OWNER: ANDERSON LAURA E

SITUS: 3202 W JUSNIC CI PC

MAIL: 3202 W JUSNIC CIR  TUCSON AZ 85705

PLAT: LOT 00021 BLOCK

LEGAL: JUSNIC ESTATES LOT 0021

CURRENT TAXES

3,900  3,980  0  7.3593

2023 TOTAL TAX BILLED 1,027.03

INSTRUMENT REC DATE

AFFIDAVIT    2015 3440310 12/10/2015

0806

INFORMATION THROUGH 03/28/2024

2023  TAX AMT TAX DUE INTEREST DATE PAID TOTAL DUE

FIRST HALF  513.52  0.00  0.00  10/26/2023  0.00

SECOND HALF  513.51  513.51

ADDITIONAL PROPERTY INFORMATION

STANDARD LAND USE: MOBILE HOME LOT

END SEARCH

+ FIRST AMERICAN TITLE, FC0, CCOR PIMA, AZ 04/29/2024  02:34PM  NKFE
PAGE 1 OF 1
LAND IMPR EXEMPT RATE AREA SPECIAL DISTRICTS
0  8.6437
PRIMARY  7,158  0
SECONDARY
0.00  513.51  TOTAL CURRENT TAXES DUE 04/24 513.51 05/24 520.36 (ESTIMATED)
MOBILE HOME  BLDG SQFT  0 FULL CASH VALUE  78,800 YEAR BUILT  2006 LAND USE  08 29 NUMBER OF STORIES  1.0 LOT SIZE  1 STDLT STORIES HEIGHT  0 SCHOOL DISTRICT  0806 EXTERIOR WALLS LAND FULL CASH VALUE  39,000 GRADE MATERIALS IMPR FULL CASH VALUE  39,800 SALES SALE DATE SALE AMOUNT INSTRUMENT TYPE SELLER NAME VALIDITY 12/10/2015 86,000    2015 3440310 WD JOLSON DAVID L 07/16/2015 46,800    2015 1970042 QD CARRINGTON MORTGAGE SERVIC 05/30/2006 44,000    12814 1688 JD PALM HARBOR HOMES INC 07/08/2005 175,000    12590 5149 WD LAWYERS TITLE OF ARIZONA I M
IMPROVEMENTS

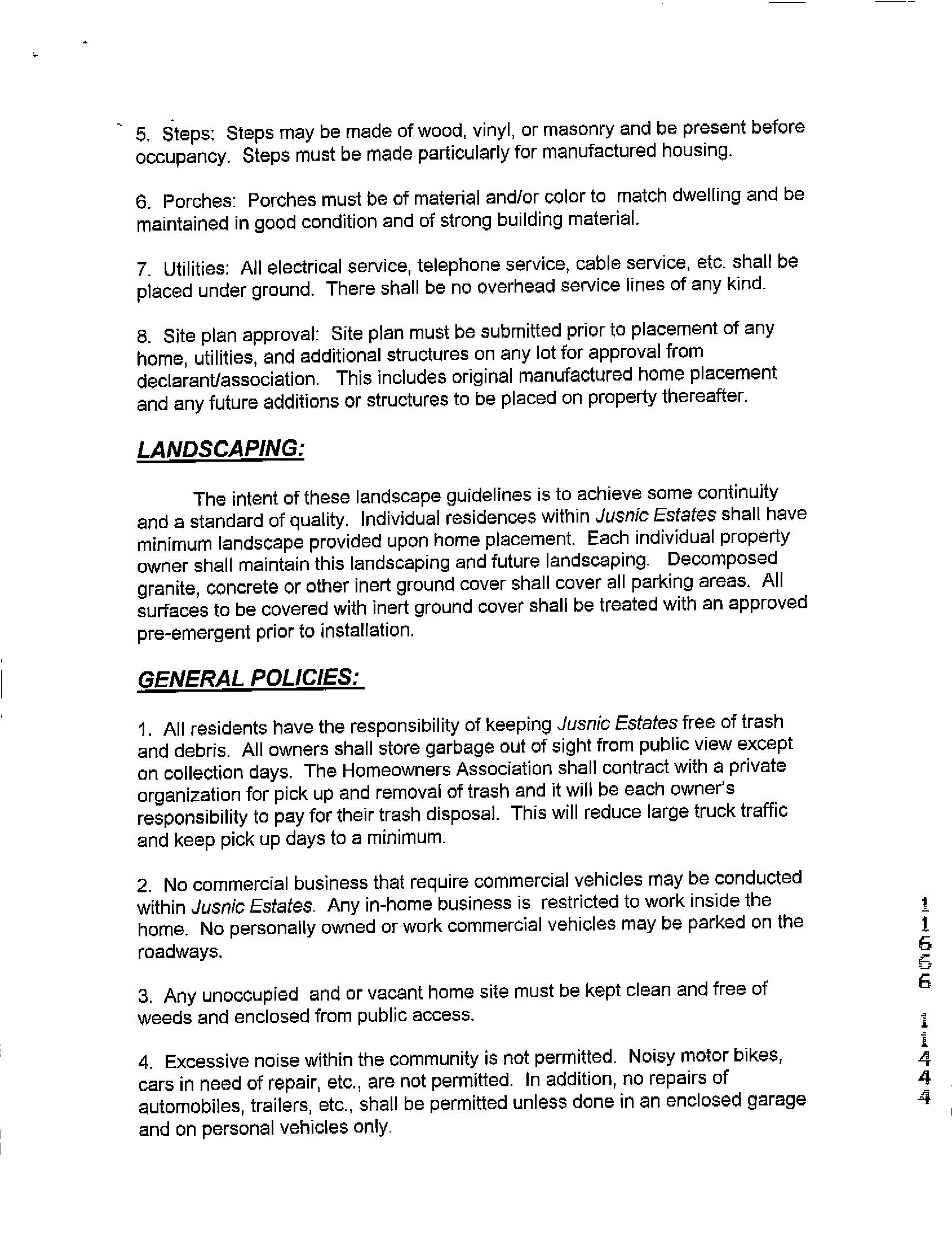
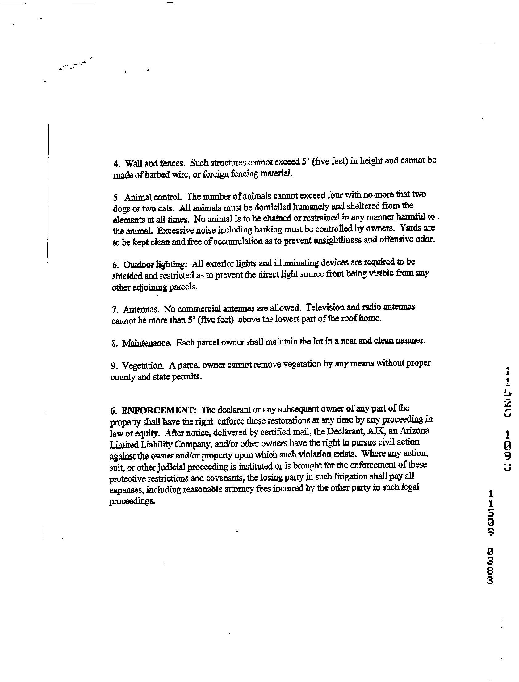
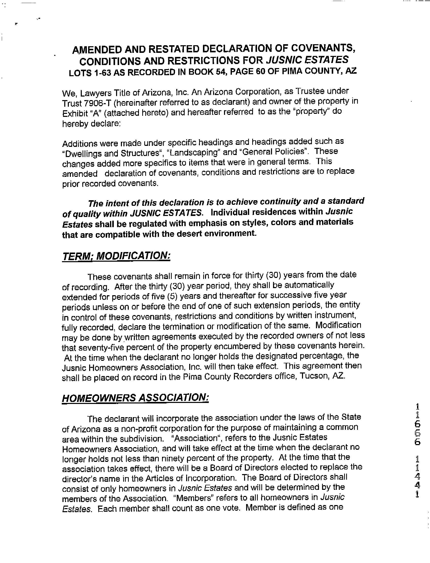
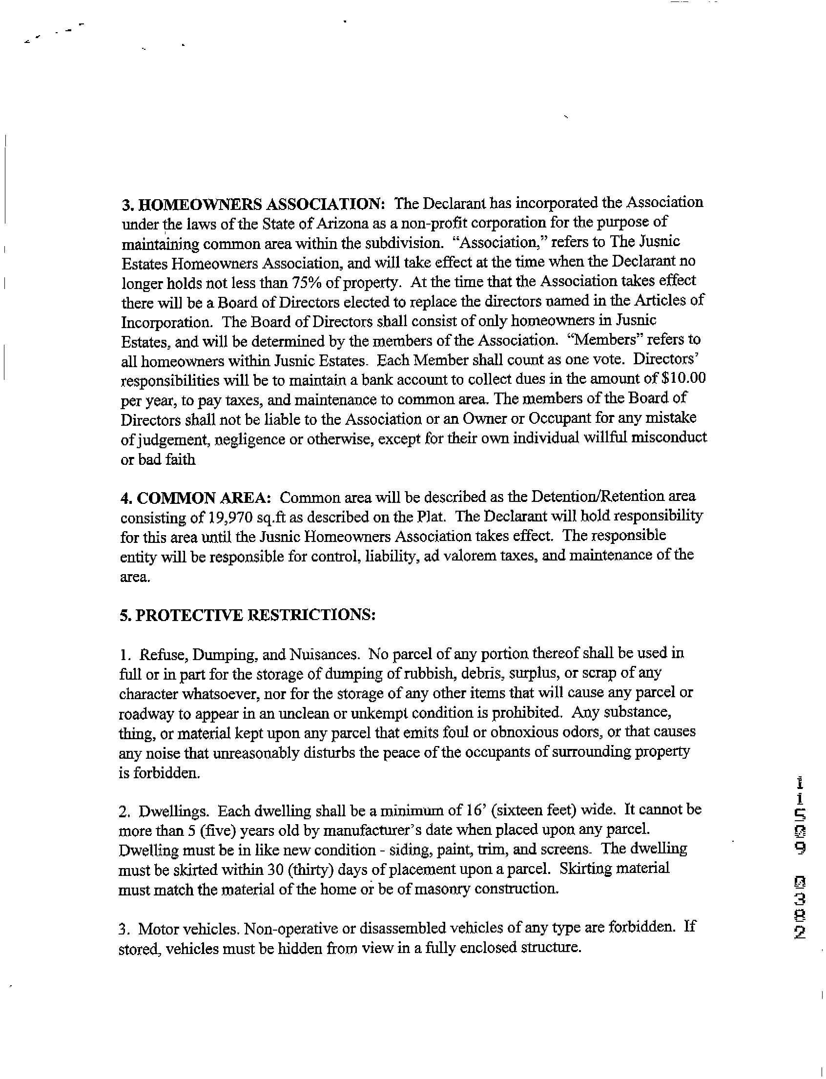
Covenants, Conditions & Restrictions

Thank you for the opportunity to be of service.

Restrictions indicating a preference, limitation or discrimination based on race, color, religion, sex, handicap, familial status, or national origin are hereby deleted to the extent such restrictions violate 42 USC 3604(c).

This information is furnished without fee and without benefit of a complete title search. No liability is assumed by First American Title. If it is desired that liability be assumed, you may apply for a policy of title insurance with First American Title Insurance Company.

Page 1 of 4 07/07/2010 4:02 PM
Page 2 of 4 07/07/2010 4:02 PM
Page 3 of 4 07/07/2010 4:02 PM
Page 4 of 4 07/07/2010 4:02 PM
Page 1 of 7 07/07/2010 4:02 PM
Page 2 of 7 07/07/2010 4:02 PM
Page 3 of 7 07/07/2010 4:02 PM
Page 4 of 7 07/07/2010 4:02 PM
Page 5 of 7 07/07/2010 4:02 PM
Page 6 of 7 07/07/2010 4:02 PM
Page 7 of 7 07/07/2010 4:02 PM
Page 1 of 6 07/07/2010 4:02 PM
Page 2 of 6 07/07/2010 4:02 PM
Page 3 of 6 07/07/2010 4:02 PM
Page 4 of 6 07/07/2010 4:02 PM
Page 5 of 6 07/07/2010 4:02 PM
Page 6 of 6 07/07/2010 4:02 PM
Page 1 of 7 07/07/2010 4:02 PM
Page 2 of 7 07/07/2010 4:02 PM
Page 3 of 7 07/07/2010 4:02 PM
Page 4 of 7 07/07/2010 4:02 PM
Page 5 of 7 07/07/2010 4:02 PM
Page 6 of 7 07/07/2010 4:02 PM
Page 7 of 7 07/07/2010 4:02 PM
Page 1 of 3 07/07/2010 4:02 PM
Page 2 of 3 07/07/2010 4:02 PM
Page 3 of 3 07/07/2010 4:02 PM

Turn static files into dynamic content formats.

Create a flipbook
Issuu converts static files into: digital portfolios, online yearbooks, online catalogs, digital photo albums and more. Sign up and create your flipbook.