Digital Listing Kit 2425 W. Ogle Wash Place

Page 1

Subject Property 2425 W Ogle Wash Pl Oro Valley AZ 85742 APN: 224-43-029A Data Provided By: First American Title Ins Co © 2024 CoreLogic. All rights reserved

Title Security Agency is officially becoming First American Title. Despite the name change, you can expect the same excellent service and familiar faces at your closings.

Our partnership with First American Title brings you the best of both worlds: LOCAL EXPERTISE AND FORTUNE 500 RESOURCES.

Same great team

Same local knowledge

Same convenient locations

Same great service

Fortune® 500 company

Multicultural materials

Economic team, market data, and trends

Leading technology in a changing market

Our industry is navigating a challenging market. Our alignment with a seasoned industry leader, with over 130 years of experience, provides valuable resources and expert guidance as we adapt.

Thank you for your continued trust in us!

We truly appreciate your business and look forward to seeing you at the closing table soon.

THE BEST OF BOTH WORLDS

24-DID-0071-F1_CP-AZL_01
FIRST AMERICAN - SOUTHERN ARIZONA ADMIN OFFICE 520.885.1600 tsa-administration@firstam.com First American Title Insurance Company, and the operating divisions thereof, make no express or implied warranty respecting the information presented and assume no responsibility for errors or omissions. First American, the eagle logo, First American Title, and firstam.com are registered trademarks or trademarks of First American Financial Corporation and/or its affiliates. ©2024 First American Financial Corporation and/or its affiliates. All rights reserved. NYSE: FAF
EXCITING NEWS!

WIRE FRAUD ALERT THINK DIFFERENTLY

Email-based, real estate fraud schemes are on the rise. One common scenario is altering wiring instructions with the intention of rerouting funds.

Keeping this in mind, First American Title is changing the way we receive payment information. It is imperative that we are familiar with the people in our transactions.

RELYING ON EMAIL ALONE IS NO LONGER AN OPTION.

DO NOT TRUST EMAILED INSTRUCTIONS

Fraudsters often use email to send falsified wire instructions to unsuspecting victims. Please warn your buyers and sellers to only follow wire instructions they receive personally from First American Title.

Additionally, we will not accept disbursement instructions for seller or buyer funds via email OR from any third party (attorney, real estate agent, etc).

ALTERNATIVE INSTRUCTIONS?

If your buyer or seller receives alternative wiring instructions that appear to be from First American Title, make sure they contact their escrow officer at a trusted phone number for confirmation.

Know that our wiring instructions do not change so any communication is suspect. Our banking institution is First American Trust.

IN SHORT – wire instructions will not be accepted by email. New wire instructions must be hand-carried or uploaded to the First American Secure Portal.

Thank you for joining First American Title in fostering a secure real estate transaction process. Have questions or concerns? Please contact our office or your escrow officer.

For more information please contact your First American representative.

www.firstam.com

01100180621
YOU SHOULD BE AWARE OF PRECAUTIONS IN THE REAL ESTATE CLOSING PROCESS
First American Title Insurance Company, and the operating divisions thereof, make no express or implied warranty respecting the information presented and assume no responsibility for errors or omissions. First American, the eagle logo, First American Title, and firstam.com are registered trademarks or trademarks of First American Financial Corporation and/or its affiliates. ©2023 First American Financial Corporation and/or its affiliates. All rights reserved. NYSE: FAF

LIMITATION OF LIABILITY FOR INFORMATIONAL REPORTS

IMPORTANT -- PLEASE READ CAREFULLY:

This report is not an insured product or service or a representation of the condition of title to real property. It is not an abstract, legal opinion, opinion of title, title insurance commitment or preliminary report, or any form of Title Insurance or Guaranty. This report is issued exclusively for the benefit of the Applicant therefor and may not be used or relied upon by any other person. This report may not be reproduced in any manner without First Americans prior written consent. First American does not represent or warrant that the information herein is complete or free from error, and the information herein is provided without any warranties of any kind, as-is, and with all faults. As a material part of the consideration given in exchange for the issuance of this report, recipient agrees that First Americans sole liability for any loss or damage caused by an error or omission due to inaccurate information or negligence in preparing this report shall be limited to the fee charged for the report. Recipient accepts this report with this limitation and agrees that First American would not have issued this report but for the limitation of liability described above. First American makes no representation or warranty as to the legality or propriety of recipient's use of the information herein.

Disclaimer

This REiSource report is provided "as is" without warranty of any kind, either express or implied, including without limitations any warrantees of merchantability or fitness for a particular purpose. There is no representation of warranty that this information is complete or free from error, and the provider does not assume, and expressly disclaims, any liability to any person or entity for loss or damage caused by errors or omissions in this REiSource report without a title insurance policy.

The information contained in the REiSource report is delivered from your Title Company, who reminds you that you have the right as a consumer to compare fees and serviced levels for Title, Escrow, and all other services associated with property ownership, and to select providers accordingly. Your home is the largest investment you will make in your lifetime and you should demand the very best.

Data Provided By: First American Title Ins Co
© 2024 CoreLogic. All rights reserved
Property :   2425 W Ogle Wash Pl Oro Valley AZ 85742
Location
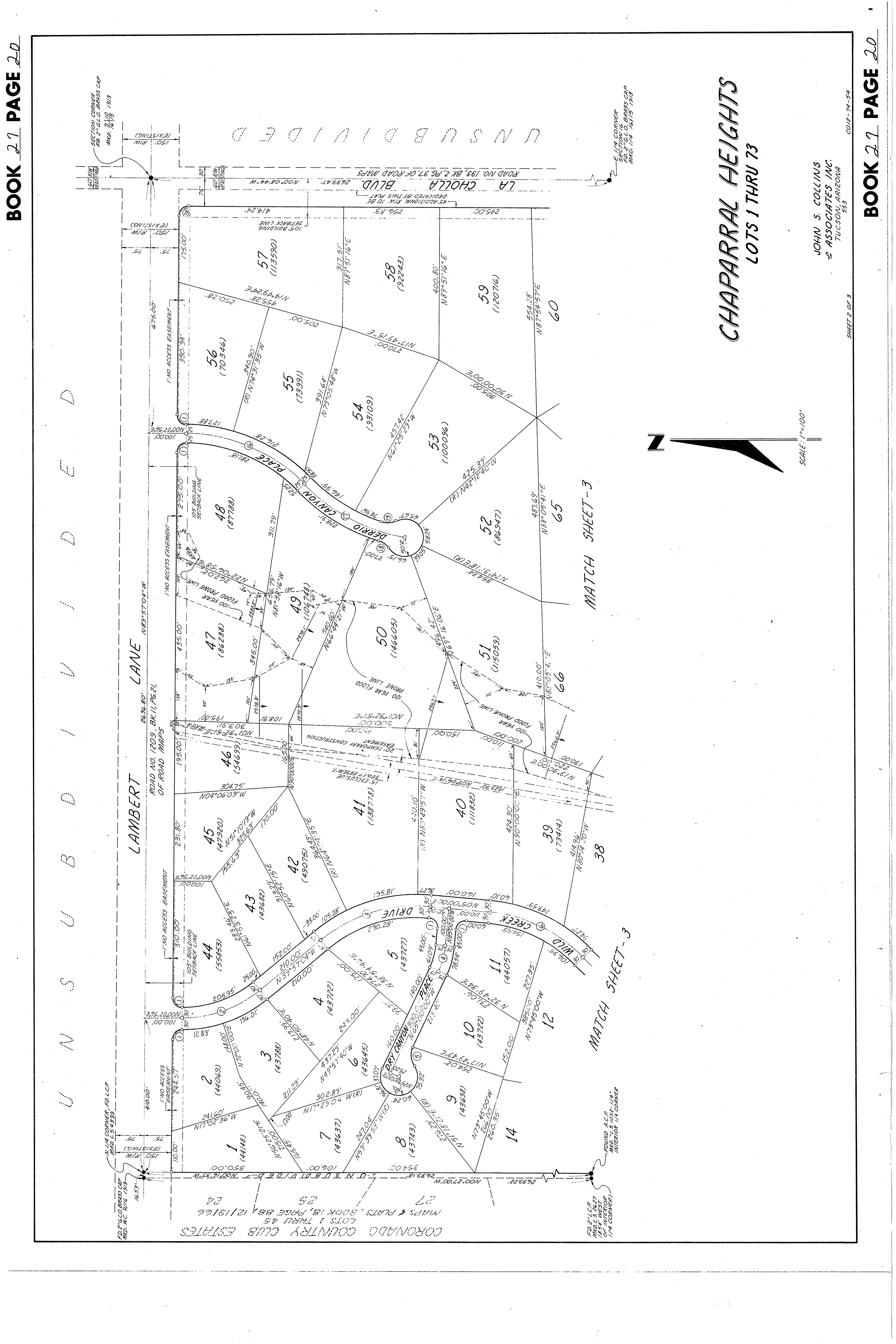
Legal Description : Lot 20 Chaparral Heights Ros 21/046 Aka Chaparral Heights Lot 20 & Ptn Aband Rd County : Pima, Az APN : 224-43-029A Census Tract / Block : 46.32 / 1 Subdivision : Chaparral Estates 02 Township-Range- Sect : 12S-13E-16 Map Reference : 16-12S-13E Legal Book/Page : 27-20 School District : Amphitheater Legal Lot : 20 Munic/Township : Amphitheater Market Area : 11
Recording/Sale Date : 02/22/2019 / 02/01/2019 1st Mtg Amount/Type : $503,200 / Cnv Sale Price : $629,000 1st Mtg Document # : 530075 Document # : 530074 1st Mtg Term : 30 Deed Type : Warranty Deed Price Per SqFt : $180.96 Title Company : Signature Title Lender : Long Mtg Co Seller Name : Phipps Antony A Prior Sale Information Prior Rec/Sale Date : 03/24/2010 / 03/12/2010 Prior Doc Number : 13773-248 Prior Sale Price : $637,000 Prior Deed Type : Warranty Deed Customer Name : Chantel Cortez Customer Company Name : FIRST AMERICAN TITLE Prepared On : 04/09/2024 © 2024 CoreLogic. All rights reserved
Subject
Owner Information Owner Name : Legwinski Trevor S / Paquette Danielle Mailing Address : 2425 W Ogle Wash Pl, Oro Valley AZ 85742-9696 R097 Vesting Codes : / / Community Property Owner Occupied Indicator : O
Information
Last Market Sale Information
Gross Area : 3,476 Garage Capacity : 3 Pool : Pool Living Area : 3,476 Roof Material : Built-up Air Cond : Refrigeration Total Rooms : 9 Heat Type : Forced Air Quality : Good Year Built / Eff : 2005 Cooling Type : Forced Air Condition : Excellent # of Stories : 1 Exterior wall : Frame Wood Bath Fixtures : 13 Parking Type : Garage Patio Type : Covered Patio Pool Size : 450
Information Land Use : Sfr Zoning : SR Lot Size : 45,350 County Use : Single Fam Resurban Subd Lot Acres : 1.04 State Use : Single Fam Resurban Subd Tax Information Total Value : $647,961 Property Tax : $7,381.24 Current Year Total Value : $75,885 Total Taxable Value : $55,966 Tax Rate Area : 1026 Current Year Improvement Value : $75,834 Assessed Year : 2023 Market Value : $647,961 Current Year Land Value : $50 Tax Year : 2023 Current Assessed Year : 2024 Customer Name : Chantel Cortez Customer Company Name : FIRST AMERICAN TITLE Prepared On : 04/09/2024 © 2024 CoreLogic. All rights reserved
Property Characteristics
Property
Criteria Subject Property Low High Average Sale Price $629,000 $925,000 $1,500,000 $1,191,857 Bldg/Living Area 3476 3131 3972 3536 Price Per Square Foot $180.96 $290 $447 $337.79 Year Built 2005 1996 2017 2005 Lot Size 45,350 30,240 144,034 71,587 Bedrooms Bathrooms 5 4 5 5 Stories 1 1 1 1 Total Assessed Value $647,961 $505,768 $869,086 $653,969 Distance From Subject 0 0.06 0.84 0.48 Summary of Comparables # Address Sale Price Total Assessed Value Sale Date Bed Bath Living Area Lot Size Year Built Dist (Miles) Zoning S 2425 W Ogle Wash Pl 629,000 647,961 02/22/2019 5 3,476 45,350 2005 SR 1 2412 W Ogle Wash Pl 1,080,000 645,504 06/28/2023 5 3,476 30,240 2004 0.06 R1-20 2 2732 W Appaloosa Rd 1,003,000 571,804 06/26/2023 4 3,458 38,333 1996 0.32 CR-1 3 10065 N Ironwood Oasis Pl 1,300,000 598,770 07/07/2023 4 3,972 39,640 2000 0.37 CR-1 4 2820 W Oasis Rd 925,000 505,768 04/20/2023 4 3,131 45,302 1997 0.45 CR-1 5 2621 W Desert Splendor Ct 1,500,000 725,654 08/16/2023 5 3,352 143,748 2017 0.65 R1-144 6 2164 W Ironwood View Pl 1,285,000 661,199 02/29/2024 5 3,400 59,813 2017 0.68 SR 7 2810 W Desert Splendor Ct 1,250,000 869,086 02/22/2024 5 3,960 144,034 2007 0.84 R1-144 Distressed Sales = Customer Name : Chantel Cortez Customer Company Name : FIRST AMERICAN TITLE Prepared On : 04/09/2024 © 2024 CoreLogic. All rights reserved
Sales Analysis
Map Customer Name : Chantel Cortez Customer Company Name : FIRST AMERICAN TITLE Prepared On : 04/09/2024 © 2024 CoreLogic. All rights reserved
Subject Property: 2425 W Ogle Wash Pl Oro Valley Az 85742 Owner Name: Legwinski Trevor S /Paquette Danielle APN / Alternate APN: 224-43-029A / Deed Type: Warranty Deed Land Use: Sfr Subdivision / Tract: Chaparral Estates 02 / Lot Size: 45,350 Year Built / Eff: 2005 / Rec. Date / Price: 02/22/2019 / $629,000 Living Area: 3,476 # of units: Document #: 530074 Bedrooms: Pool: Pool Total Tax Value: $647,961 Bath(F/H): / #1   2412 W Ogle Wash Pl Oro Valley Az 85742 Owner Name: Guy & Mari Newhouse Livin / APN / Alternate APN: 224-43-027D /224-43-027B Deed Type: Warranty Deed Land Use: Sfr Subdivision / Tract: Chaparral Heights / Lot Size: 30,240 Year Built / Eff: 2004 / Rec. Date / Price: 06/28/2023 / $1,080,000 Living Area: 3,476 # of units: Document #: 1790472 Bedrooms: Pool: Pool Total Tax Value: $645,504 Bath(F/H): / #2   2732 W Appaloosa Rd Tucson Az 85742 Owner Name: Ragar Brett D / APN / Alternate APN: 224-42-0360 / Deed Type: Warranty Deed Land Use: Sfr Subdivision / Tract: Appaloosa Estates / Lot Size: 38,333 Year Built / Eff: 1996 / Rec. Date / Price: 06/26/2023 / $1,003,000 Living Area: 3,458 # of units: Document #: 1770570 Bedrooms: Pool: Pool Total Tax Value: $571,804 Bath(F/H): / #3   10065 N Ironwood Oasis Pl Tucson Az 85742 Owner Name: Lush Alison L /Lush Ryan J APN / Alternate APN: 224-42-0480 / Deed Type: Warranty Deed Land Use: Sfr Subdivision / Tract: Ironwood Oasis Estates / Lot Size: 39,640 Year Built / Eff: 2000 / Rec. Date / Price: 07/07/2023 / $1,300,000 Living Area: 3,972 # of units: Document #: 1880545 Bedrooms: Pool: Total Tax Value: $598,770 Bath(F/H): / #4   2820 W Oasis Rd Tucson Az 85742 Owner Name: Fredericks Daniel W /Briggs Andrea L APN / Alternate APN: 224-42-027D / Deed Type: Warranty Deed Land Use: Sfr Subdivision / Tract: / Lot Size: 45,302 Year Built / Eff: 1997 / Rec. Date / Price: 04/20/2023 / $925,000 Living Area: 3,131 # of units: Document #: 1100383 Bedrooms: Pool: Total Tax Value: $505,768 Bath(F/H): / Customer Name : Chantel Cortez Customer Company Name : FIRST AMERICAN TITLE Prepared On : 04/09/2024 © 2024 CoreLogic. All rights reserved
Details of Comparables
#5   2621 W Desert Splendor Ct Oro Valley Az 85742 Owner Name: Sobotka D & M Living Trust / APN / Alternate APN: 224-22-0160 / Deed Type: Warranty Deed Land Use: Sfr Subdivision / Tract: De Suenos Rho / Lot Size: 143,748 Year Built / Eff: 2017 / Rec. Date / Price: 08/16/2023 / $1,500,000 Living Area: 3,352 # of units: Document #: 2280240 Bedrooms: Pool: Total Tax Value: $725,654 Bath(F/H): / #6   2164 W Ironwood View Pl Tucson Az 85742 Owner Name: Cjks Trust / APN / Alternate APN: 224-41-0280 / Deed Type: Warranty Deed Land Use: Sfr Subdivision / Tract: Ironwood Ridge Estates / Lot Size: 59,813 Year Built / Eff: 2017 / Rec. Date / Price: 02/29/2024 / $1,285,000 Living Area: 3,400 # of units: Document #: 600163 Bedrooms: Pool: Total Tax Value: $661,199 Bath(F/H): / #7   2810 W Desert Splendor Ct Oro Valley Az 85742 Owner Name: Corona Laura /Corona George APN / Alternate APN: 224-22-0090 / Deed Type: Warranty Deed Land Use: Sfr Subdivision / Tract: De Suenos Rho / Lot Size: 144,034 Year Built / Eff: 2007 / Rec. Date / Price: 02/22/2024 / $1,250,000 Living Area: 3,960 # of units: Document #: 530524 Bedrooms: Pool: Pool Total Tax Value: $869,086 Bath(F/H): / Customer Name : Chantel Cortez Customer Company Name : FIRST AMERICAN TITLE Prepared On : 04/09/2024 © 2024 CoreLogic. All rights reserved
Subject Property :   2425 W Ogle Wash Pl Oro Valley AZ 85742 Customer Name : Chantel Cortez Customer Company Name : FIRST AMERICAN TITLE Prepared On : 04/09/2024 © 2024 CoreLogic. All rights reserved
Customer Name : Chantel Cortez Customer Company Name : FIRST AMERICAN TITLE Prepared On : 04/09/2024 © 2024 CoreLogic. All rights reserved

Owner Name :

2436 W OGLE WASH PL Distance 0.04 Miles
Subdivision : Chaparral Estates 02 Sale Date : 04/00/2006 Recording Date : 04/04/2006 Total Value : $611,394 Sale Price  : $675,000 Bed / Bath : / 5 Property Tax : $7,530.58 Land Use : Sfr Lot Acres : 1.05
Living Area : 3,476 Yr Blt / Eff Yr Blt : 2005 / APN : 224-43-028A 2401 W OGLE WASH PL Distance 0.04 Miles
Subdivision :
Sale Date :
Recording Date :
Total Value : $647,961 Sale Price  : $700,000 Bed / Bath : / 5 Property Tax : $5,432.19 Land Use : Sfr Lot Acres : 0.62
Living Area : 3,476 Yr Blt / Eff Yr Blt : 2005 / APN : 224-43-030D 2460 W OASIS RD Distance 0.06 Miles
Owner Name : Patel Trust
Stories : 1
Owner Name : Bailes & Mooney Living Trust
Chaparral Heights
11/21/2008
12/05/2008
Stories : 1
Haggh Alan Subdivision : Chaparral Heights Sale Date : 07/07/2006 Recording Date : 07/14/2006 Total Value : $650,490 Sale Price  : $579,175 Bed / Bath : / 5 Property Tax : $6,756.12 Land Use : Sfr Lot Acres : 0.58 Stories : 1 Living Area : 3,476 Yr Blt / Eff Yr Blt : 2006 / APN : 224-43-034D 10081 N WILD CREEK DR Distance 0.06 Miles Owner Name : Presley Gary M Subdivision : Chaparral Heights Sale Date : 02/17/2005 Recording Date : 02/23/2005 Total Value : $548,005 Sale Price  : $407,193 Bed / Bath : / 4 Property Tax : $6,149.23 Land Use : Sfr Lot Acres : 0.58 Stories : 1 Living Area : 2,519 Yr Blt / Eff Yr Blt : 2005 / APN : 224-43-031D Customer Name : Chantel Cortez Customer Company Name : FIRST AMERICAN TITLE Prepared On : 04/09/2024 © 2024 CoreLogic. All rights reserved

Owner Name : Guy & Mari Newhouse Livin Subdivision : Chaparral Heights Sale Date : 06/22/2023 Recording Date : 06/28/2023 Total

Owner Name : Kingston Sean D

Owner Name :

Distance
2412 W OGLE WASH PL
0.06 Miles
Value :
Sale Price  :
Bed / Bath : / 5 Property Tax :
$645,504
$1,080,000
$7,350.28 Land Use : Sfr Lot Acres : 0.69
Stories : 1 Living Area : 3,476 Yr Blt / Eff Yr Blt : 2004 / APN : 224-43-027D 2436 W OASIS RD Distance 0.06 Miles
Value :
Sale Price  :
Bed / Bath : / 5 Property Tax :
Subdivision : Chaparral Heights Sale Date : 08/03/2005 Recording Date : 08/09/2005 Total
$571,411
$479,470
$6,437.75 Land Use : Sfr Lot Acres : 0.70
Stories : 1 Living Area : 3,063 Yr Blt / Eff Yr Blt : 2005 / APN : 224-43-033D 2425 W CROW WASH PL Distance 0.09 Miles
Anderson Kirk Subdivision : Chaparral Estates 02 Sale Date : 04/10/2023 Recording Date : 04/11/2023 Total Value : $548,005 Sale Price  : $854,000 Bed / Bath : / 4 Property Tax : $6,149.23 Land Use : Sfr Lot Acres : 1.03
Living Area : 2,519 Yr Blt / Eff Yr Blt : 2005
APN : 224-43-025A 2401 W CROW WASH PL Distance 0.09 Miles
Subdivision :
Sale Date :
Recording Date :
Total Value : $570,689 Sale Price  : $628,000 Bed / Bath : / 4 Property Tax : $6,428.15
Use : Sfr Lot Acres : 1.22
Living Area : 2,810 Yr Blt / Eff Yr Blt :
APN :
Customer Name : Chantel Cortez Customer Company Name : FIRST AMERICAN TITLE Prepared On : 04/09/2024 © 2024 CoreLogic. All rights reserved
Stories : 1
/
Owner Name : Hauck Vern E
Chaparral Heights
09/17/2020
09/30/2020
Land
Stories : 1
2004 /
224-43-026D

Owner Name : Snyder James K

Name : Jackson Arthur W Jr

10063 N WILD CREEK DR Distance 0.09 Miles
Subdivision :
Sale Date :
Recording Date :
Total Value : $647,961 Sale Price  : $735,000 Bed / Bath : / 5 Property Tax : $7,381.24 Land Use : Sfr Lot Acres : 1.28 Stories : 1 Living Area : 3,476 Yr Blt / Eff Yr Blt : 2005 / APN : 224-43-032D 2606 W BOUNTIFUL LN Distance 0.1 Miles Owner
Recording Date :
Sale Date : 08/16/1999 Sale Price  : $239,000 Total Value : $359,616 Property Tax : $3,911.35 Bed / Bath : / 3 Lot Acres : 3.31 Land Use : Sfr Living Area : 2,496 Stories : 1.5 APN : 224-42-004H Yr Blt / Eff Yr Blt  : 1989 / Customer Name : Chantel Cortez Customer Company Name : FIRST AMERICAN TITLE Prepared On : 04/09/2024 © 2024 CoreLogic. All rights reserved
Chaparral Heights
06/21/2018
06/28/2018
08/26/1999
Household Population Population by Age Count: 2,773 0 - 11 Estimate Current Year: 3,008 12 - 17 Estimate in 5 Years: 4,168 18 - 24 9.38% Growth Last 5 Years: 9.59% 25 - 64 53.01% Growth Last 10 Years: -141.6% 65 - 74 11% 75+ Household Size Household Income Current Year: 1,060 0 - $25,000 7.08% Average Current Year: 2.61 $25,000 - $35,000 5% Estimate in 5 Years: 1,943 $35,000 - $50,000 5.66% Growth Last 5 Years: 11.89% $50,000 - $75,000 13.58% Growth Last 10 Years: 7.65% $75,000 - $100,000 22.17% Male Population: 48.43% Above $100,000 46.51% Female Population: 51.57% Average Household Income: $95,000 Married People: 60.45% Unmarried People: 39.55% Housing Median Mortgage Payments Home Values Under $300: 0% Below $100,000: 0.51% $300 - $799: 20.58% $100,000 - $150,000: 0.62% $800 - $1,999: 64.09% $150,000 - $200,000: 27.57% Over $2,000: 15.33% $200,000 - $300,000: 39.4% Median Home Value: $239,100 $300,000 - $500,000: 20.27% Unit Occupied Owner: 91.7% Above $500,000: 11.63% Median Mortgage: $934 Customer Name : Chantel Cortez Customer Company Name : FIRST AMERICAN TITLE Prepared On : 04/09/2024 © 2024 CoreLogic. All rights reserved
Census Tract / block: 46.32 / 1     Year: 2020
Rent Payments Year Built Unit Occupied Renter: 8.3% 1999 - 2000 Median Gross Rent: $1,659 1995 - 1998 Less Than $499 0% 1990 - 1994 $500 - $749 0% 1980 - 1989 24.45% $750 - $999 0% 1970 - 1979 2.11% $1000 and Over 100% 1900 - 1969 1.28% Education Enrollment Public Pre-Primary School: 0% Not Enrolled in School: 75.32% Private Pre-Primary School: 0.19% Not A High School Graduate: 2.34% Public School: 22.71% Graduate Of High School: 15.33% Private School: 1.97% Attended Some College: 27.72% Public College: 4.49% College Graduate: 38.53% Private College: 0% Graduate Degree: 16.09% Workforce Occupation: Manager/Prof: 46.18% Private Worker: 67.5% Technical: Government Worker: 13% Sales: 23.51% Self Employed Worker: 2.49% Administrative: Unpaid Family Worker: 6.73% Private House Hold: Farming: 1.89% Service: 13.83% Skilled: Protective Services: Blue-Collar: 16.48% Commute Time Less Than 15 Min: 14.42% 15 min - 28 min: 35.81% 30 min - 57 min: 48.41% Over 60 min: 1.36% Customer Name : Chantel Cortez Customer Company Name : FIRST AMERICAN TITLE Prepared On : 04/09/2024 © 2024 CoreLogic. All rights reserved
Customer Name : Chantel Cortez Customer Company Name : FIRST AMERICAN TITLE Prepared On : 04/09/2024 © 2024 CoreLogic. All rights reserved
Customer Name : Chantel Cortez Customer Company Name : FIRST AMERICAN TITLE Prepared On : 04/09/2024 © 2024 CoreLogic. All rights reserved
Customer Name : Chantel Cortez Customer Company Name : FIRST AMERICAN TITLE Prepared On : 04/09/2024 © 2024 CoreLogic. All rights reserved

Arizona Schools

For detailed information and statistics on Arizona schools please go to https://azreportcards.azed.gov/

First American Title Insurance Company, and the operating divisions thereof, make no express or implied warranty respecting the information presented and assume no responsibility for errors or omissions. First American, the eagle logo, First American Title, and firstam.com are registered trademarks or trademarks of First American Financial Corporation and/or its affiliates. ©2021 First American Financial Corporation and/or its affiliates. All rights reserved. NYSE: FAF 05117910421
05249570321 TUCSON INT'L AIRPORT Air Force WSilverbellRd SSantaRitaRd N M t L emmon Hwy ESascoRd NF38 W Avra Valley Rd E Grand Va ey Dr NAguirre R d N L u c k e R d N W e n t z R d N Wa terman Mounta i n R d N Anway Rd W El Tiro Rd N Trico Rd W Tucker Rd W Rudas l Rd W Manvi e Rd SSanJoaquinRd WBopp Rd W Snyder H l Rd S M a r s e a r R d W Park Rd W Hermans Rd W Hermans Rd W Guy St W Bush Rd S G a v e y R d N C a e R i n c o n a d o S W m o R d S Shaw Rd S Sierrita Mountain Rd S K o b R d W TwinButtes Rd W Mcgee Ranch Rd S E s t a n c a D r EDesertDove E Hemlock Dr N Bea r C a n y o n R d W E Camino Del Cerro E Fairmount St S Swan Rd NFrontageRd W Emigh Rd W Fort Lowe Rd N P u m p S t a t ion dR E Nona Rd Ch efButteRd Lo al Ave N Trico Rd S Cattle Tank Rd Evalyn Rd SOwlHead R a n c h Rd GasLineRd S P ec a n R d N T r c o R d W Bayard Rd S S a n d a r o R d W i l l owSpri n gsRd N Dove Mountain Blvd SHelvetiaRd WAnamax Mine Rd W G a c i a R a n hc R d Road424 WRagged Top Rd W Ruby Star Dr WBritten RanchRd W Pima Mine Rd S Mcgee Ranch R d E Edw n Rd SGuildRd 8 0 NKINNEYRD S PICACHO HWY E BAUMGARTNER RD N S A N D A R I O R D N ANWAY RD W VALENCIA RD W MOORE RD W INA RD N 1 S T A V E E SUNRISE DR E SNYDER RD NSILVERBELLRD N S O L D I E R T R L E RIVER RD E PRINCE RD E SPEEDWAY BLVD S FREEMAN RD E 22ND ST E 22ND ST W IRVINGTON RD S N O G A L E S H W Y W VALENCIA RD SMISSIONRD W SPEEDWAY BLVD S O L D S P A N I S H T RL W NARANJA DR W TWIN PEAKS RD W PICTURE ROCKS RD W MANVILLE RD SKINNEYRD W MILE WIDE RD E SAHUARITA RD N TRICO RD S S A N D A R O R D PARK LINK DR S OLD N O G ALES HW Y S H O U G H T O N R D S L A C A N A D A DR W HELMET PEAK RD WAJOHWY N S W A N R D S KOLB RD S HOUGHTON RD W TANGERINE RD E GRANT RD S H O U G H T O N R D 9 5 WAJOHWY E VALENCIA RD NORACLE R D I10 I-19 77 77 77 86 86 286 10 19 10 10 Corona de Tucson Casas Adobes Catalina Green Valley Oracle Picture Rocks Three Points Vail Summit Tanque Verde Tucson Sahuarita Red Rock Saddlebrooke Marana Oro Valley Rillito Summerhaven Willow Canyon Oracle Junction Cortaro Continental Littletown 20 30 13 15 51 39 12 01 01 08 10 16 11 06 PIMA COUNTY School District Information This map is provided for general location only. Please contact school districts for actual street boundaries SCHOOL DISTRICTS 15 AJO UNIFIED 111 N. Well Road, Ajo, AZ 85321 520.387.5618 51 ALTAR VALLEY ELEMENTARY 10105 S. Sasabe Road, Tucson, AZ 85736 520.822.1484 10 AMPHITHEATER UNIFIED 701 W. Wetmore, Tucson, AZ 85705 520.696.5000 16 CATALINA FOOTHILS UNIFIED 2101 E. River Road, Tucson, AZ 85718 520.209.7500 39 CONTINENTAL ELEMENTARY 1991 E. Whitehouse Canyon, Green Valley, AZ 85614 520.625.4581 08 FLOWING WELLS UNIFIED 1556 W. Prince Road, Tucson, AZ 85705 520.696.8800 06 MARANA UNIFIED 11279 W. Grier Road, Marana, AZ 85653 520.682.3243 11 PIMA COUNTY JTED 2855 W. Master Pieces Dr, Tucson, AZ 85741 520.352.5833 30 SAHUARITA UNIFIED 350 W. Sahuarita Road, Sahuarita, AZ 85629 520.625.3502 12 SUNNYSIDE UNIFIED 2238 E. Ginter Road, Tucson, AZ 85706 520.545.2000 13 TANQUE VERDE UNIFIED 2300 N. Tanque Verde Loop, Tucson, AZ 85749 520.749.5751 01 TUCSON UNIFIED 1010 E. 10th Street, Tucson, AZ 85717 520.225.6000 20 VAIL UNIFIED 10701 E. Mary Ann Cleveland Way, Tucson, AZ 85747 520.879.2000 First American Title Insurance Company, and the operating divisions thereof, make no express or implied warranty respecting the information presented and assume no responsibility for errors or omissions. First American, the eagle logo, First American Title, and firstam.com are registered trademarks or trademarks of First American Financial Corporation and/or its affiliates. ©2021 First American Financial Corporation and/or its affiliates. All rights reserved. NYSE: FAF

PARCEL:  224-43-029A

PARCEL: 224-43-029A

SEARCH PARAMETERS

OWNER: LEGWINSKI TREVOR SCOTT & PA

SITUS: 2425 W OGLE WASH PL OV

MAIL: 2425 W OGLE WASH PL

ORO VALLEY AZ 85742

PLAT: LOT 00020 BLOCK

INSTRUMENT REC DATE

AFFIDAVIT    2019 530074 02/22/2019

LEGAL: LOT 20 CHAPARRAL HEIGHTS ROS 21/046 AKA CHAPARRAL HEIGHTS LOT 20 & PTN ABAND RD

END SEARCH

+ FIRST AMERICAN TITLE, FC0, CCOR PIMA, AZ 04/09/2024  04:57PM  NKFE
PAGE 1 OF 1
INVESTIGATIVE SEARCH RESULTS
EXEMPT
SPECIAL DISTRICTS PRIMARY
0  8.9628  1026 SECONDARY  50  64,746  0  5.2980  2023 TOTAL TAX BILLED 7,381.24 2023  TAX AMT
INTEREST DATE PAID TOTAL DUE FIRST HALF  3,690.62  0.00  0.00  10/26/2023  0.00  SECOND HALF  3,690.62  3,690.62  0.00  3,690.62  TOTAL CURRENT TAXES DUE 04/24 3,690.62 05/24 3,739.83 (ESTIMATED) IMPROVEMENTS BYPASS  BLDG SQFT  3,476 FULL CASH VALUE  647,961 YEAR BUILT  2005 LAND USE  01 41 NUMBER OF STORIES  1.0 LOT SIZE  1 STDLT STORIES HEIGHT  0 SCHOOL DISTRICT  1026 EXTERIOR WALLS  FRAME WOOD LAND FULL CASH VALUE  502 GRADE MATERIALS IMPR FULL CASH VALUE  647,459 SALES SALE DATE SALE AMOUNT INSTRUMENT TYPE SELLER NAME VALIDITY 02/22/2019 629,000    2019 530074 WD PHIPPS ANTONY A & JAMES BE 03/24/2010 637,000    13773 248 WD GAYNOR RUSSELL D/LUZ E D 07/19/2002 3,300,000    11845 3018 SD LAWYERS TITLE T7922 M 09/07/1999 1,540,000    11126 1778 SD STEWART TITLE T2002 M ADDITIONAL PROPERTY INFORMATION STANDARD LAND USE: SFR
CURRENT TAXES INFORMATION THROUGH 03/28/2024 LAND IMPR
RATE AREA
55,966  0
TAX DUE
Page 1 of 4 04/09/2024 5:00 PM
Page 2 of 4 04/09/2024 5:00 PM
Page 3 of 4 04/09/2024 5:00 PM
Page 4 of 4 04/09/2024 5:00 PM
Page 1 of 18 04/09/2024 5:00 PM
Page 2 of 18 04/09/2024 5:00 PM
Page 3 of 18 04/09/2024 5:00 PM
Page 4 of 18 04/09/2024 5:00 PM
Page 5 of 18 04/09/2024 5:00 PM
Page 6 of 18 04/09/2024 5:00 PM
Page 7 of 18 04/09/2024 5:00 PM
Page 8 of 18 04/09/2024 5:00 PM
Page 9 of 18 04/09/2024 5:00 PM
Page 10 of 18 04/09/2024 5:00 PM
Page 11 of 18 04/09/2024 5:00 PM
Page 12 of 18 04/09/2024 5:00 PM
Page 13 of 18 04/09/2024 5:00 PM
Page 14 of 18 04/09/2024 5:00 PM
Page 15 of 18 04/09/2024 5:00 PM
Page 16 of 18 04/09/2024 5:00 PM
Page 17 of 18 04/09/2024 5:00 PM
Page 18 of 18 04/09/2024 5:00 PM

Covenants, Conditions & Restrictions

Thank you for the opportunity to be of service.

Restrictions indicating a preference, limitation or discrimination based on race, color, religion, sex, handicap, familial status, or national origin are hereby deleted to the extent such restrictions violate 42 USC 3604(c).

This information is furnished without fee and without benefit of a complete title search. No liability is assumed by First American Title. If it is desired that liability be assumed, you may apply for a policy of title insurance with First American Title Insurance Company.

Page 1 of 36 12/08/2010 11:54 AM
Page 2 of 36 12/08/2010 11:54 AM
Page 3 of 36 12/08/2010 11:54 AM
Page 4 of 36 12/08/2010 11:54 AM
Page 5 of 36 12/08/2010 11:54 AM
Page 6 of 36 12/08/2010 11:54 AM
Page 7 of 36 12/08/2010 11:54 AM
Page 8 of 36 12/08/2010 11:54 AM
Page 9 of 36 12/08/2010 11:54 AM
Page 10 of 36 12/08/2010 11:54 AM
Page 11 of 36 12/08/2010 11:54 AM
Page 12 of 36 12/08/2010 11:54 AM
Page 13 of 36 12/08/2010 11:54 AM
Page 14 of 36 12/08/2010 11:54 AM
Page 15 of 36 12/08/2010 11:54 AM
Page 16 of 36 12/08/2010 11:54 AM
Page 17 of 36 12/08/2010 11:54 AM
Page 18 of 36 12/08/2010 11:54 AM
Page 19 of 36 12/08/2010 11:54 AM
Page 20 of 36 12/08/2010 11:54 AM
Page 21 of 36 12/08/2010 11:54 AM
Page 22 of 36 12/08/2010 11:54 AM
Page 23 of 36 12/08/2010 11:54 AM
Page 24 of 36 12/08/2010 11:54 AM
Page 25 of 36 12/08/2010 11:54 AM
Page 26 of 36 12/08/2010 11:54 AM
Page 27 of 36 12/08/2010 11:54 AM
Page 28 of 36 12/08/2010 11:54 AM
Page 29 of 36 12/08/2010 11:54 AM
Page 30 of 36 12/08/2010 11:54 AM
Page 31 of 36 12/08/2010 11:54 AM
Page 32 of 36 12/08/2010 11:54 AM
Page 33 of 36 12/08/2010 11:54 AM
Page 34 of 36 12/08/2010 11:54 AM
Page 35 of 36 12/08/2010 11:54 AM
Page 36 of 36 12/08/2010 11:54 AM
Page 1 of 22 12/08/2010 11:54 AM
Page 2 of 22 12/08/2010 11:54 AM
Page 3 of 22 12/08/2010 11:54 AM
Page 4 of 22 12/08/2010 11:54 AM
Page 5 of 22 12/08/2010 11:54 AM
Page 6 of 22 12/08/2010 11:54 AM
Page 7 of 22 12/08/2010 11:54 AM
Page 8 of 22 12/08/2010 11:54 AM
Page 9 of 22 12/08/2010 11:54 AM
Page 10 of 22 12/08/2010 11:54 AM
Page 11 of 22 12/08/2010 11:54 AM
Page 12 of 22 12/08/2010 11:54 AM
Page 13 of 22 12/08/2010 11:54 AM
Page 14 of 22 12/08/2010 11:54 AM
Page 15 of 22 12/08/2010 11:54 AM
Page 16 of 22 12/08/2010 11:54 AM
Page 17 of 22 12/08/2010 11:54 AM
Page 18 of 22 12/08/2010 11:54 AM
Page 19 of 22 12/08/2010 11:54 AM
Page 20 of 22 12/08/2010 11:54 AM
Page 21 of 22 12/08/2010 11:54 AM
Page 22 of 22 12/08/2010 11:54 AM
Page 1 of 5 12/08/2010 11:54 AM
Page 2 of 5 12/08/2010 11:54 AM
Page 3 of 5 12/08/2010 11:54 AM
Page 4 of 5 12/08/2010 11:54 AM
Page 5 of 5 12/08/2010 11:54 AM
Page 1 of 2 12/08/2010 11:54 AM
Page 2 of 2 12/08/2010 11:54 AM

Turn static files into dynamic content formats.

Create a flipbook
Issuu converts static files into: digital portfolios, online yearbooks, online catalogs, digital photo albums and more. Sign up and create your flipbook.