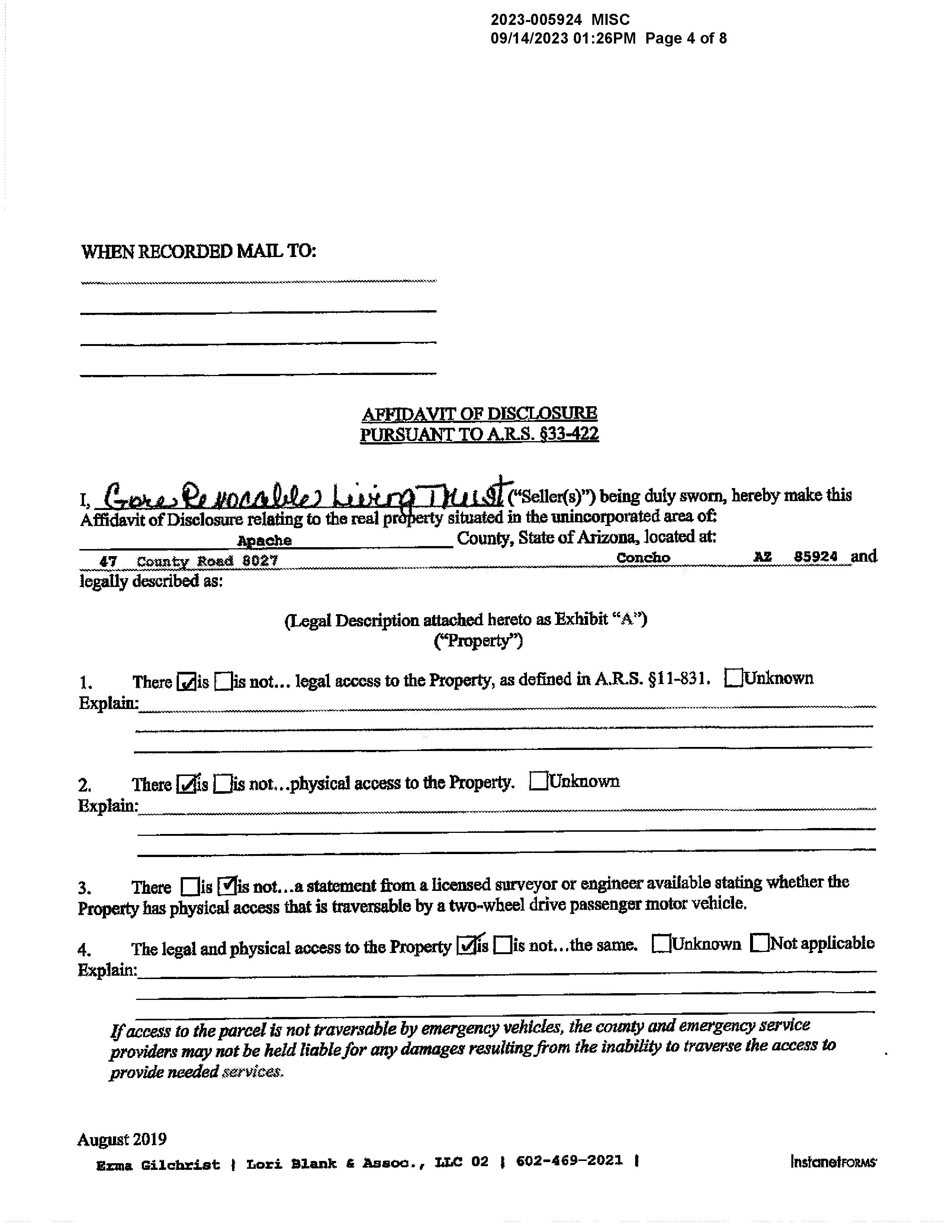
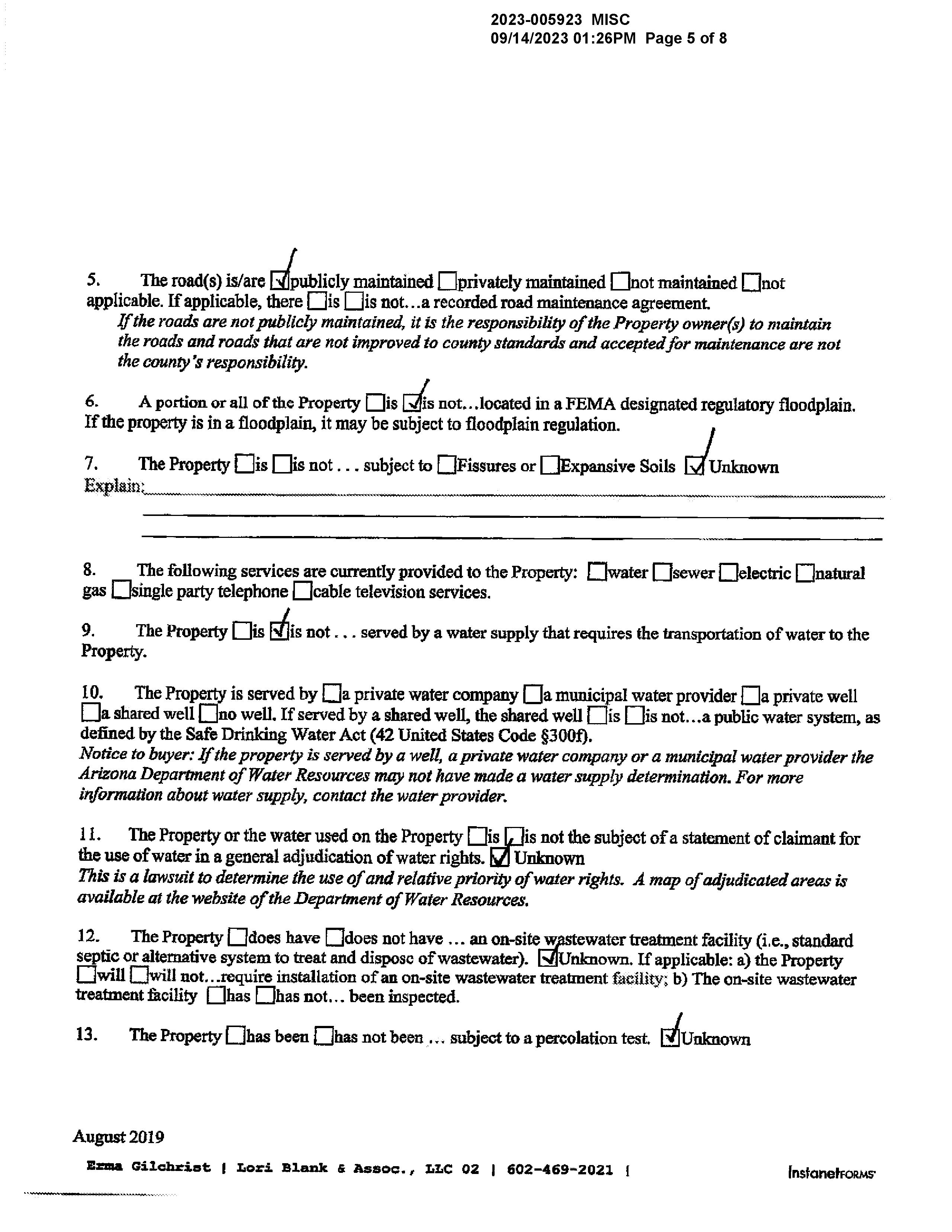
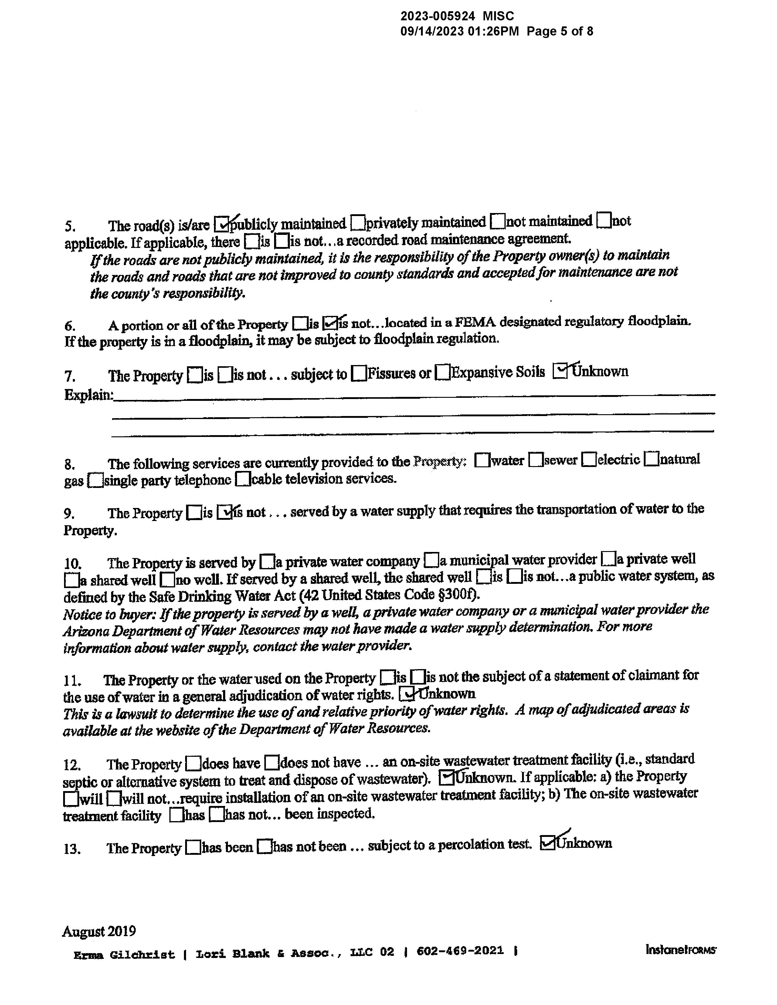
107-29-026 and 107-29-027

Page 1


WIRE FRAUD ALERT THINK DIFFERENTLY

Email-based, real estate fraud schemes are on the rise. One common scenario is altering wiring instructions with the intention of rerouting funds.

Keeping this in mind, First American Title is changing the way we receive payment information. It is imperative that we are familiar with the people in our transactions.

RELYING ON EMAIL ALONE IS NO LONGER AN OPTION.

Fraudsters often use email to send falsified wire instructions to unsuspecting victims. Please warn your buyers and sellers to only follow wire instructions they receive personally from First American Title.

Additionally, we will not accept disbursement instructions for seller or buyer funds via email OR from any third party (attorney, real estate agent, etc).

ALTERNATIVE INSTRUCTIONS?

If your buyer or seller receives alternative wiring instructions that appear to be from First American Title, make sure they contact their escrow officer at a trusted phone number for confirmation.

Know that our wiring instructions do not change so any communication is suspect. Our banking institution is First American Trust.

IN SHORT – wire instructions will not be accepted by email. New wire instructions must be hand-carried or uploaded to the First American Secure Portal.

Thank you for joining First American Title in fostering a secure real estate transaction process. Have questions or concerns? Please contact our office or your escrow officer.

LIMITATION OF LIABILITY FOR INFORMATIONAL REPORTS

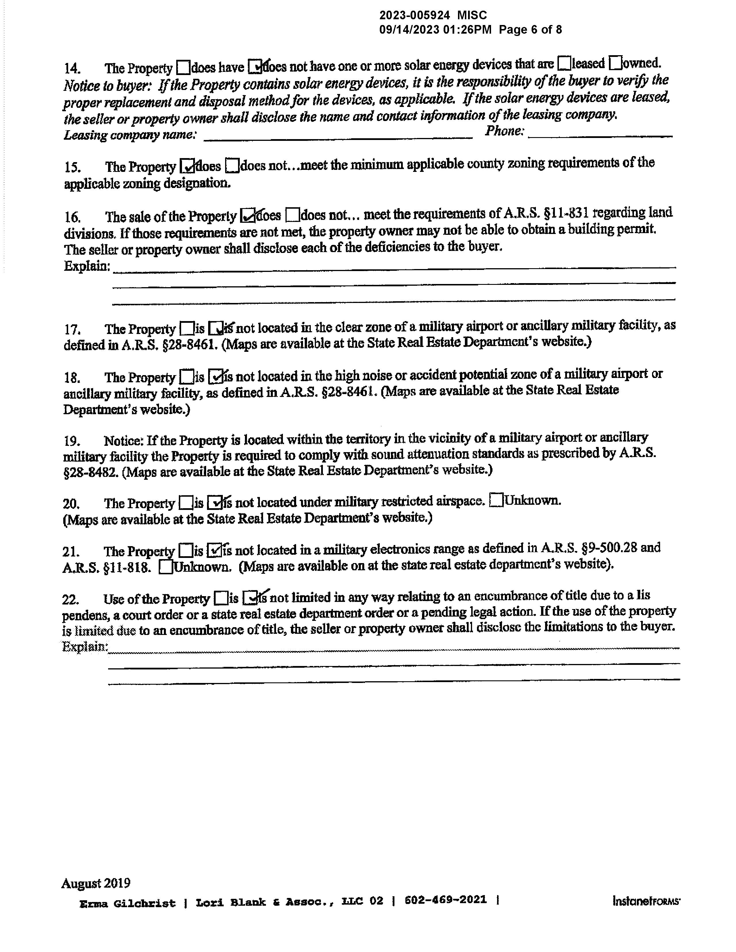
IMPORTANT -- PLEASE READ CAREFULLY:

This report is not an insured product or service or a representation of the condition of title to real property. It is not an abstract, legal opinion, opinion of title, title insurance commitment or preliminary report, or any form of Title Insurance or Guaranty. This report is issued exclusively for the benefit of the Applicant therefor and may not be used or relied upon by any other person. This report may not be reproduced in any manner without First Americans prior written consent. First American does not represent or warrant that the information herein is complete or free from error, and the information herein is provided without any warranties of any kind, as-is, and with all faults. As a material part of the consideration given in exchange for the issuance of this report, recipient agrees that First Americans sole liability for any loss or damage caused by an error or omission due to inaccurate information or negligence in preparing this report shall be limited to the fee charged for the report. Recipient accepts this report with this limitation and agrees that First American would not have issued this report but for the limitation of liability described above. First American makes no representation or warranty as to the legality or propriety of recipient's use of the information herein.

Disclaimer

This REiSource report is provided "as is" without warranty of any kind, either express or implied, including without limitations any warrantees of merchantability or fitness for a particular purpose. There is no representation of warranty that this information is complete or free from error, and the provider does not assume, and expressly disclaims, any liability to any person or entity for loss or damage caused by errors or omissions in this REiSource report without a title insurance policy.

The information contained in the REiSource report is delivered from your Title Company, who reminds you that you have the right as a consumer to compare fees and serviced levels for Title, Escrow, and all other services associated with property ownership, and to select providers accordingly. Your home is the largest investment you will make in your lifetime and you should demand the very best.

Subject Property :   47 8027 Vernon AZ 85940

Owner Information

Owner Name : Warden Steve / Warden Dana

Mailing Address : 232 Rainbow Dr Pmb 13238, Livingston TX 77399 C050

Vesting Codes : Husband/wife / /

Owner Occupied Indicator : A

Location Information

Legal Description : Subdivision: White Mountain Paradise Lot: 26

County : Apache, Az

Legal Lot : 26

Alternate APN : R0017881

Subdivision : White Mountain Paradise APN : 107-29-026

Last Market Sale Information

Recording/Sale Date : 09/14/2023 / 09/06/2023

Sale Price : $14,000

Document # : 5925

Title Company : 90367

Seller Name : Gore Living Trust

Prior Sale Information

Prior Rec/Sale Date : 09/14/2023 / 09/06/2023

Prior Sale Price : $14,000

Property Characteristics

Year Built / Eff : 1985

Property Information

Land Use : Residential Acreage

Neighbor Code : 3.04

Deed Type : Warranty Deed

Price Per SqFt : $0.30

Quality : Good

Lot Size : 45,302

Prior Doc Number : 5918

Prior Deed Type : Warranty Deed

Condition : Average

State Use : Vac-res-rural Subd

Lot Acres : 1.04 Customer Name : Kariann Keomaka Customer Company Name : First American Title Insurance Company Prepared On : 07/23/2024

Details of Comparables

Subject Property: 47 8027 Vernon Az 85940

Owner Name: Warden Steve /Warden Dana APN / Alternate APN: 107-29-026 /R0017881 Deed Type: Warranty Deed

Subdivision / Tract: White Mountain Paradise / Lot Size: 45,302

Land Use: Residential Acreage

Year Built / Eff: 1985 /

Rec. Date / Price: 09/14/2023 / $14,000 Living Area: #

Document #: 5925 Bedrooms:

Total Tax Value: $3,900 Bath(F/H): /

#1   58 County Road 8027 Concho Az 85924

Owner Name: Rogers-ward Theresa / APN / Alternate APN: 107-29-058 / R0017913

Deed Type: Warranty Deed Land Use: Residential Acreage

Subdivision / Tract: White Mountain Paradise / Lot Size: 47,916 Year Built / Eff: 1985 /

Rec. Date / Price: 12/04/2023 / $4,800 Living Area:

Document #: 7796

Total Tax Value: $3,900 Bath(F/H): /

#2   37 County Road 8032 Concho Az 85924

Owner Name: Weitholter Gene R / APN / Alternate APN: 107-29-129 / R0017984

Deed Type: Quit Claim Deed

Subdivision / Tract: White Mountain Paradise / Lot Size: 45,302

Rec. Date / Price: 06/19/2024 / $5,000 Living Area:

Document #: 3395

Total Tax Value: $3,900 Bath(F/H): /

#3   66 County Road 8027 Concho Az 85924

Owner Name: Maez Michelle / APN / Alternate APN: 107-29-060 / R0017915

Deed Type: Deed (reg)

Subdivision / Tract: White Mountain Paradise Sub / Lot Size: 49,223

Rec. Date / Price: 08/17/2023 / $4,000 Living Area:

Document #: 5321

Total Tax Value: $3,900

Land Use: Residential Acreage

Year Built / Eff: 1991 /

# of units:

Land Use: Residential Acreage

Year Built / Eff: 1985 /

# of units:

Bedrooms: Pool:

Bath(F/H): /

Name : Kariann Keomaka

#4   28 County Road 8032 Concho Az 85924

Owner Name: Appling Kevin / APN / Alternate APN: 107-29-167 / R0018022

Deed Type: Warranty Deed

Subdivision / Tract: White Mountain Paradise / Lot Size: 45,302

Land Use: Residential Acreage

Year Built / Eff: /

Rec. Date / Price: 12/12/2023 / $15,000 Living Area: #

Document #: 8001

Bedrooms:

Total Tax Value: $3,900 Bath(F/H): /

#5   27 County Road 8025 Concho Az 85924

Owner Name: Robinson Angela D / APN / Alternate APN: 107-29-214 / R0018069

Deed Type: Warranty Deed Land Use: Residential Acreage

Subdivision / Tract: White Mountain Paradise / Lot Size: 45,302 Year Built / Eff: /

Rec. Date / Price: 12/20/2023 / $5,000 Living Area: #

Document #: 8161

Bedrooms:

Total Tax Value: $3,900 Bath(F/H): /

#6   26 County Road 8032 Concho Az 85924

Owner Name: Appling Kevin / APN / Alternate APN: 107-29-166 / R0018021

Subdivision / Tract: White Mountain Paradise /

Deed Type: Warranty Deed

Land Use: Residential Acreage

45,302 Year Built / Eff: /

Rec. Date / Price: 12/12/2023 / $15,000 Living Area:

Document #: 8001

Total Tax Value: $3,900

#7   24 County Road 8032 Concho Az 85924

Owner Name: Appling Kevin / APN / Alternate APN: 107-29-165 / R0018020

Subdivision / Tract: White Mountain Paraside /

# of units:

Bedrooms: Pool:

Bath(F/H): /

Deed Type: Warranty Deed

Land Use: Residential Acreage

Year Built / Eff: /

Rec. Date / Price: 02/20/2024 / $10,000 Living Area: # of units:

Document #: 908

Total Tax Value: $3,900

Bedrooms: Pool:

Bath(F/H): /

#8   53 8022 Vernon Az 85940

Owner Name: Hardin James /Hardin Evelyn APN / Alternate APN: 107-29-292 / R0018147

Deed Type: Warranty Deed

Subdivision / Tract: White Mountain Paradise / Lot Size: 52,708

Land Use: Residential Acreage

Year Built / Eff: /

Rec. Date / Price: 02/15/2024 / $295,000 Living Area: #

Document #: 837

Total Tax Value: $3,900

#9   5 County Road 8030 Concho Az 85924

Owner Name: Pollard Shane M / APN / Alternate APN: 107-29-145 / R0018000

Bedrooms:

Bath(F/H): /

Deed Type: Warranty Deed

Subdivision / Tract: White Mountain Paradise / Lot Size: 77,537

Rec. Date / Price: 10/26/2023 / $3,000 Living Area:

Document #: 6940

Total Tax Value: $5,850

#10   3 County Road 8030 Concho Az 85924

Owner Name: Pollard Shane M / APN / Alternate APN: 107-29-146 / R0018001

Subdivision / Tract: White Mountain Paradise /

Bedrooms:

Bath(F/H): /

Land Use: Residential Acreage

Year Built / Eff: 1993 /

Deed Type: Warranty Deed

Land Use: Residential Acreage

159,865 Year Built / Eff: 1993 /

Rec. Date / Price: 10/26/2023 / $9,000 Living Area:

Document #: 6941

Total Tax Value: $11,700

#11   71 8021 Vernon Az 85940

Owner Name: Osca Properties Llc / APN / Alternate APN: 107-29-341 / R0018196

Subdivision / Tract: White Mountain Paradise /

# of units:

Bedrooms: Pool:

Bath(F/H): /

Deed Type: Warranty Deed

Land Use: Residential Acreage

45,302 Year Built / Eff: /

Rec. Date / Price: 02/26/2024 / $11,500 Living Area: # of units:

Document #: 1025

Total Tax Value: $3,900

Bedrooms: Pool:

Bath(F/H): /

#12   47 County Road 8021 Concho Az 85924

Owner Name: Grizzly Property Group Llc / APN / Alternate APN: 107-29-333 / R0018188

Deed Type: Warranty Deed

Subdivision / Tract: White Mountain Paradise Sub / Lot Size: 45,302

Rec. Date / Price: 03/06/2024 / $10,950 Living Area:

Document #: 1242

Total Tax Value: $3,900

#13   73 8021 Vernon Az 85940

Owner Name: Osca Properties Llc / APN / Alternate APN: 107-29-342 / R0018197

Bedrooms:

Bath(F/H): /

Land Use: Residential Acreage

Year Built / Eff: /

Deed Type: Warranty Deed

Subdivision / Tract: White Mountain Paradise / Lot Size: 45,302

Rec. Date / Price: 02/26/2024 / $11,500 Living Area:

Document #: 1025

Total Tax Value: $3,900

Land Use: Residential Acreage

Year Built / Eff: /

Bedrooms:

Bath(F/H): /

#14   45 County Road 8021 Concho Az 85924

Owner Name: Grizzly Property Group Llc / APN / Alternate APN: 107-29-332 / R0018187

Subdivision / Tract: White Mountain Paradise /

Deed Type: Warranty Deed

Land Use: Residential Acreage

45,302 Year Built / Eff: /

Rec. Date / Price: 03/06/2024 / $10,950 Living Area: # of units:

Document #: 1242

Total Tax Value: $3,900

Bedrooms: Pool:

Bath(F/H): /

#15   41 County Road 8021 Concho Az 85924

Owner Name: Grizzly Property Group Llc / APN / Alternate APN: 107-29-331 / R0018186

Subdivision / Tract: White Mountain Paradise /

Deed Type: Warranty Deed

Land Use: Residential Acreage

Year Built / Eff: /

Rec. Date / Price: 03/06/2024 / $10,950 Living Area: # of units:

Document #: 1242

Total Tax Value: $3,900

Bedrooms:

Bath(F/H): /

#16   37 County Road 8021 Concho Az 85924

Owner Name: Heyden Robert D / APN / Alternate APN: 107-29-329 / R0018184

Deed Type: Warranty Deed

Subdivision / Tract: White Mountain Paradise / Lot Size: 45,302

Rec. Date / Price: 12/27/2023 / $7,000 Living Area:

Document #: 8274

Total Tax Value: $3,900

#17   19 8099 Vernon Az 85940

Owner Name: Ab Land Llc / APN / Alternate APN: 107-34-340 / R0019926

Land Use: Residential Acreage

Year Built / Eff: /

Bedrooms: Pool:

Bath(F/H): /

Deed Type: Warranty Deed

Subdivision / Tract: Park Show Low Un #6 / Lot Size: 44,867

Land Use: Residential Acreage

Year Built / Eff: /

Rec. Date / Price: 01/02/2024 / $4,000 Living Area: # of

Document #: 22

Total Tax Value: $3,900

Bedrooms: Pool:

Bath(F/H): /

#18   10 County Road 8022 Concho Az 85924

Owner Name: Heller Eric / APN / Alternate APN: 107-29-314 / R0018169

Deed Type: Warranty Deed

Subdivision / Tract: White Mountain Paradise / Lot Size: 45,302

Rec. Date / Price: 06/24/2024 / $9,000 Living Area:

Document #: 3466

Total Tax Value: $3,900

#19   23 8099 Vernon Az 85940

Owner Name: Ab Land Llc / APN / Alternate APN: 107-34-341 / R0019927

Land Use: Residential Acreage

Year Built / Eff: /

# of units:

Bedrooms: Pool:

Bath(F/H): /

Deed Type: Warranty Deed

Subdivision / Tract: Park Show Low Un #6 / Lot Size: 44,867

Rec. Date / Price: 01/02/2024 / $4,000 Living Area:

Document #: 22

Total Tax Value: $3,900

Bedrooms:

Bath(F/H): /

#20   20 County Road 8116 Concho Az 85924

Owner Name: Pedeferri Vicki R / APN / Alternate APN: 107-06-707 / R0014828

Deed Type: Warranty Deed

Subdivision / Tract: Show Low Pines 02 / Lot Size: 51,836

Land Use: Residential Acreage

Year Built / Eff: /

# of units:

Pool:

Land Use: Residential Acreage

Year Built / Eff: / Rec. Date / Price: 02/15/2024 / $36,000 Living Area:

Document #: 842

Total Tax Value: $3,900

Bedrooms:

Bath(F/H): /

# of units:

Pool:

: 07/23/2024

Subject Property :   47 8027 Vernon AZ 85940

Owner Name : Gore

Date : 03/03/2021 Sale Date : 02/17/2021

Owner Name : Rubio Alejandro Recording Date : 04/15/2020

Blt / Eff Yr Blt : 1985 /

Owner Name : Rubio Alejandro

Sale Date : 04/01/2022

Total Value : $8,694

Land Use : Mobile Home

Recording Date : 06/20/2022

Price  : $125,000

Tax : $40.46

Acres : 1.04 Yr Blt / Eff Yr Blt : 1985 / APN : 107-29-054 Subdivision  : White Mountain Paradise

Owner Name : Italien Thomas W Recording Date : 08/26/2015 Sale Date : 07/27/2015

Total Value : $17,019

Land Use : Sfr

Stories : 2

Price  : $101,500

Tax : $145.10

Acres : 1.04

Area : 880 Yr Blt / Eff Yr Blt : 2000 / APN : 107-34-017

Subdivision  : Park Show Low 06

Owner Name : Italien Thomas W Recording Date : 08/26/2015 Sale Date : 07/27/2015

Price  : $101,500 Total Value : $56,047

Land Use : Sfr

Tax : $412.66

Acres : 1.04

Stories : 1 Living Area : 696 Yr Blt / Eff Yr Blt : 2000 / APN : 107-34-018

Subdivision  : Park Show Low 06

Owner Name : Bernard Alexander

Date : 07/29/1980

Value : $3,900

Date : 07/29/1980

Price  : $3,500

Tax : $36.12 Land Use : Residential Acreage Lot Acres : 1.07

Yr Blt / Eff Yr Blt : 1985 / APN : 107-29-056

Subdivision  : White Mountain Paradise

Owner Name : Wilkerson Yr Blt / Eff Yr Blt : 1994 /

Census Tract / block:      Year: 2020

Disclaimer

This REiSource report is provided "as is" without warranty of any kind, either express or implied, including without limitations any warrantees of merchantability or fitness for a particular purpose. There is no representation of warranty that this information is complete or free from error, and the provider does not assume, and expressly disclaims, any liability to any person or entity for loss or damage caused by errors or omissions in this REiSource report without a title insurance policy.

The information contained in the REiSource report is delivered from your Title Company, who reminds you that you have the right as a consumer to compare fees and serviced levels for Title, Escrow, and all other services associated with property ownership, and to select providers accordingly. Your home is the largest investment you will make in your lifetime and you should demand the very best.

Subject Property :   43 8027 Vernon AZ 85940

Owner Information

Owner Name : Gore

Mailing Address : Po Box 69459, Tucson AZ 85737-0016 B014

Vesting Codes : / / Revocable Trust

Owner Occupied Indicator : A

Location Information

Legal Description : Subdivision: White Mountain Paradise Lot: 27

County : Apache, Az

Legal Lot : 27

Alternate APN : R0017882

Subdivision : White Mountain Paradise APN : 107-29-027

Owner Transfer Information

Recording/Sale Date : 07/10/2023 / 06/28/2023

Document # : 4389

Last Market Sale Information

Recording/Sale Date : 03/03/2021 / 02/17/2021

Sale Price : $5,500

Document # : 1994

Seller Name : Blue Skies Land Llc

Property Characteristics

Year Built / Eff : 1985

Property Information

Land Use : Residential Acreage

Acres : 1.04

Tax Information

Value : $3,900

$402

Neighbor Code : 3.04

Deed Type : Warranty Deed

Deed Type : Warranty Deed

Price Per SqFt : $0.12

Quality : Good Condition : Average

Size : 45,302 State Use : Vac-res-rural Subd

Value : $3,900

$36.12

Assessed Year : 2025 Assessed Year : 2023

Rate Area : 0600

Year Total Value : $677

Customer Name : Kariann Keomaka Customer Company Name : First American Title Insurance Company Prepared On : 07/23/2024

Details of Comparables

Subject Property: 43 8027 Vernon Az 85940

Owner Name: Gore / APN / Alternate APN: 107-29-027 /R0017882 Deed Type: Warranty Deed

Subdivision / Tract: White Mountain Paradise / Lot Size: 45,302

Rec. Date / Price: 03/03/2021 / $5,500 Living Area:

Document #: 1994

Total Tax Value: $3,900

#1   47 8027 Vernon Az 85940

Land Use: Residential Acreage

Year Built / Eff: 1985 /

Bedrooms:

Bath(F/H): /

Owner Name: Warden Steve /Warden Dana APN / Alternate APN: 107-29-026 / R0017881

Deed Type: Warranty Deed Land Use: Residential Acreage

Subdivision / Tract: White Mountain Paradise / Lot Size: 45,302

Year Built / Eff: 1985 /

Rec. Date / Price: 09/14/2023 / $14,000 Living Area: #

Document #: 5925

Total Tax Value: $3,900

#2   37 County Road 8032 Concho Az 85924

Owner Name: Weitholter Gene R / APN / Alternate APN: 107-29-129 / R0017984

Subdivision / Tract: White Mountain Paradise /

Bedrooms:

Bath(F/H): /

Deed Type: Quit Claim Deed

45,302

Land Use: Residential Acreage

Year Built / Eff: 1991 /

Rec. Date / Price: 06/19/2024 / $5,000 Living Area: # of units:

Document #: 3395

Total Tax Value: $3,900 Bath(F/H): /

#3   58 County Road 8027 Concho Az 85924

Owner Name: Rogers-ward Theresa / APN / Alternate APN: 107-29-058 / R0017913

Deed Type: Warranty Deed

Subdivision / Tract: White Mountain Paradise / Lot Size: 47,916

Land Use: Residential Acreage

Year Built / Eff: 1985 /

Rec. Date / Price: 12/04/2023 / $4,800 Living Area: # of units:

Document #: 7796

Total Tax Value: $3,900

Bedrooms:

Bath(F/H): /

#4   66 County Road 8027 Concho Az 85924

Owner Name: Maez Michelle / APN / Alternate APN: 107-29-060 / R0017915

Deed Type: Deed (reg)

Subdivision / Tract: White Mountain Paradise Sub / Lot Size: 49,223

Rec. Date / Price: 08/17/2023 / $4,000 Living Area:

Document #: 5321

Total Tax Value: $3,900

#5   28 County Road 8032 Concho Az 85924

Owner Name: Appling Kevin / APN / Alternate APN: 107-29-167 / R0018022

Bedrooms:

Bath(F/H): /

Land Use: Residential Acreage

Year Built / Eff: 1985 /

Deed Type: Warranty Deed

Subdivision / Tract: White Mountain Paradise / Lot Size: 45,302

Rec. Date / Price: 12/12/2023 / $15,000 Living Area:

Document #: 8001

Land Use: Residential Acreage

Year Built / Eff: /

Bedrooms:

Total Tax Value: $3,900 Bath(F/H): /

#6   26 County Road 8032 Concho Az 85924

Owner Name: Appling Kevin / APN / Alternate APN: 107-29-166 / R0018021

Subdivision / Tract: White Mountain Paradise /

Deed Type: Warranty Deed

Land Use: Residential Acreage

45,302 Year Built / Eff: /

Rec. Date / Price: 12/12/2023 / $15,000 Living Area: # of units:

Document #: 8001

Total Tax Value: $3,900

#7   27 County Road 8025 Concho Az 85924

Owner Name: Robinson Angela D / APN / Alternate APN: 107-29-214 / R0018069

Subdivision / Tract: White Mountain Paradise /

Bedrooms: Pool:

Bath(F/H): /

Deed Type: Warranty Deed

Land Use: Residential Acreage

45,302 Year Built / Eff: /

Rec. Date / Price: 12/20/2023 / $5,000 Living Area: # of units:

Document #: 8161

Total Tax Value: $3,900

Bedrooms: Pool:

Bath(F/H): /

#8   24 County Road 8032 Concho Az 85924

Owner Name: Appling Kevin / APN / Alternate APN: 107-29-165 / R0018020

Deed Type: Warranty Deed

Subdivision / Tract: White Mountain Paraside / Lot Size: 45,302

Rec. Date / Price: 02/20/2024 / $10,000 Living Area:

Document #: 908

Total Tax Value: $3,900

#9   5 County Road 8030 Concho Az 85924

Owner Name: Pollard Shane M / APN / Alternate APN: 107-29-145 / R0018000

Bedrooms:

Bath(F/H): /

Land Use: Residential Acreage

Year Built / Eff: /

Deed Type: Warranty Deed

Subdivision / Tract: White Mountain Paradise / Lot Size: 77,537

Rec. Date / Price: 10/26/2023 / $3,000 Living Area:

Document #: 6940

Total Tax Value: $5,850

#10   53 8022 Vernon Az 85940

Land Use: Residential Acreage

Year Built / Eff: 1993 /

Bedrooms:

Bath(F/H): /

Owner Name: Hardin James /Hardin Evelyn APN / Alternate APN: 107-29-292 / R0018147

Deed Type: Warranty Deed

Land Use: Residential Acreage

Subdivision / Tract: White Mountain Paradise / Lot Size: 52,708 Year Built / Eff: /

Rec. Date / Price: 02/15/2024 / $295,000 Living Area:

Document #: 837

Total Tax Value: $3,900

#11   3 County Road 8030 Concho Az 85924

Owner Name: Pollard Shane M / APN / Alternate APN: 107-29-146 / R0018001

Subdivision / Tract: White Mountain Paradise /

# of units:

Bedrooms: Pool:

Bath(F/H): /

Deed Type: Warranty Deed

Land Use: Residential Acreage

159,865 Year Built / Eff: 1993 /

Rec. Date / Price: 10/26/2023 / $9,000 Living Area: # of units:

Document #: 6941

Total Tax Value: $11,700

Bedrooms: Pool:

Bath(F/H): /

#12   47 County Road 8021 Concho Az 85924

Owner Name: Grizzly Property Group Llc / APN / Alternate APN: 107-29-333 / R0018188

Deed Type: Warranty Deed

Subdivision / Tract: White Mountain Paradise Sub / Lot Size: 45,302

Rec. Date / Price: 03/06/2024 / $10,950 Living Area:

Document #: 1242

Total Tax Value: $3,900

#13   71 8021 Vernon Az 85940

Owner Name: Osca Properties Llc / APN / Alternate APN: 107-29-341 / R0018196

Bedrooms:

Bath(F/H): /

Land Use: Residential Acreage

Year Built / Eff: /

Deed Type: Warranty Deed

Subdivision / Tract: White Mountain Paradise / Lot Size: 45,302

Rec. Date / Price: 02/26/2024 / $11,500 Living Area:

Document #: 1025

Total Tax Value: $3,900

Land Use: Residential Acreage

Year Built / Eff: /

Bedrooms:

Bath(F/H): /

#14   45 County Road 8021 Concho Az 85924

Owner Name: Grizzly Property Group Llc / APN / Alternate APN: 107-29-332 / R0018187

Subdivision / Tract: White Mountain Paradise /

Deed Type: Warranty Deed

Land Use: Residential Acreage

45,302 Year Built / Eff: /

Rec. Date / Price: 03/06/2024 / $10,950 Living Area:

Document #: 1242

Total Tax Value: $3,900

#15   73 8021 Vernon Az 85940

Owner Name: Osca Properties Llc / APN / Alternate APN: 107-29-342 / R0018197

Subdivision / Tract: White Mountain Paradise /

# of units:

Bedrooms: Pool:

Bath(F/H): /

Deed Type: Warranty Deed

Land Use: Residential Acreage

45,302 Year Built / Eff: /

Rec. Date / Price: 02/26/2024 / $11,500 Living Area: # of units:

Document #: 1025

Total Tax Value: $3,900

Bedrooms: Pool:

Bath(F/H): /

#16   41 County Road 8021 Concho Az 85924

Owner Name: Grizzly Property Group Llc / APN / Alternate APN: 107-29-331 / R0018186

Deed Type: Warranty Deed

Subdivision / Tract: White Mountain Paradise / Lot Size: 45,302

Rec. Date / Price: 03/06/2024 / $10,950 Living Area:

Document #: 1242

Total Tax Value: $3,900

#17   19 8099 Vernon Az 85940

Owner Name: Ab Land Llc / APN / Alternate APN: 107-34-340 / R0019926

Bedrooms:

Bath(F/H): /

Land Use: Residential Acreage

Year Built / Eff: /

Deed Type: Warranty Deed

Subdivision / Tract: Park Show Low Un #6 / Lot Size: 44,867

Land Use: Residential Acreage

Year Built / Eff: /

Rec. Date / Price: 01/02/2024 / $4,000 Living Area: # of

Document #: 22

Total Tax Value: $3,900

Bedrooms:

Bath(F/H): /

#18   37 County Road 8021 Concho Az 85924

Owner Name: Heyden Robert D / APN / Alternate APN: 107-29-329 / R0018184

Deed Type: Warranty Deed

Subdivision / Tract: White Mountain Paradise / Lot Size: 45,302

Rec. Date / Price: 12/27/2023 / $7,000 Living Area:

Document #: 8274

Total Tax Value: $3,900

Land Use: Residential Acreage

Year Built / Eff: /

# of units:

Bedrooms: Pool:

Bath(F/H): /

#19   20 County Road 8116 Concho Az 85924

Owner Name: Pedeferri Vicki R / APN / Alternate APN: 107-06-707 / R0014828

Deed Type: Warranty Deed

Subdivision / Tract: Show Low Pines 02 / Lot Size: 51,836

Land Use: Residential Acreage

Year Built / Eff: / Rec. Date / Price: 02/15/2024 / $36,000 Living Area:

Document #: 842

Total Tax Value: $3,900

Bedrooms:

Bath(F/H): /

#20   10 County Road 8022 Concho Az 85924

Owner Name: Heller Eric / APN / Alternate APN: 107-29-314 / R0018169

Deed Type: Warranty Deed

Subdivision / Tract: White Mountain Paradise / Lot Size: 45,302

Rec. Date / Price: 06/24/2024 / $9,000 Living Area:

Document #: 3466

Total Tax Value: $3,900

Bedrooms:

Bath(F/H): /

# of units:

Pool:

Land Use: Residential Acreage

Year Built / Eff: /

# of units:

Pool:

Arizona Schools

SEARCHED BY: + FIRST AMERICAN TITLE,FC0,KWAL

SEARCHED DATE: 07/23/2024 09:33 AM PDT,Q7IJ

PARCEL:  107-29-026

PARCEL: 107-29-026

SITUS: 47 COUNTY ROAD 8027 CONCHO 85924

MAIL: 232 RAINBOW DR LIVINGSTON TX 77399-2032

LEGAL: TRACT: Z RANGE: 26 WHITE MOUNTAIN PARADISE LOT 26

CURRENT OWNER(S)

WARDEN STEVE

WARDEN DANA

ADDITIONAL PROPERTY INFORMATION STANDARD LAND USE: RESIDENTIAL LOT

APACHE, AZ

ACQ DATE: 2023-09-14 DOC#:  2023 5918

PARCEL:  107-29-027

PARCEL: 107-29-027

SITUS: 43 COUNTY ROAD 8027 CONCHO 85924

MAIL: 232 RAINBOW DR LIVINGSTON TX 77399-2032

LEGAL: WHITE MOUNTAIN PARADISE LOT 27

CURRENT OWNER(S)

WARDEN STEVE

WARDEN DANA

ADDITIONAL PROPERTY INFORMATION STANDARD LAND USE: RESIDENTIAL LOT

ACQ DATE: 2023-09-14 DOC#:  2023 5918

END SEARCH

Turn static files into dynamic content formats.

Create a flipbook
Issuu converts static files into: digital portfolios, online yearbooks, online catalogs, digital photo albums and more. Sign up and create your flipbook.
107-29-026 and 107-29-027 by PropertyResearchAZ - Issuu