Skip to main content

9524 W. Greenway Road - Digital HB with CCRs

Page 1


HOME BOOK

PREPARED FOR:

WIRE FRAUD ALERT THINK DIFFERENTLY

Email-based, real estate fraud schemes are on the rise. One common scenario is altering wiring instructions with the intention of rerouting funds.

Keeping this in mind, First American Title is changing the way we receive payment information. It is imperative that we are familiar with the people in our transactions.

RELYING ON EMAIL ALONE IS NO LONGER AN OPTION.

Fraudsters often use email to send falsified wire instructions to unsuspecting victims. Please warn your buyers and sellers to only follow wire instructions they receive personally from First American Title.

Additionally, we will not accept disbursement instructions for seller or buyer funds via email OR from any third party (attorney, real estate agent, etc).

ALTERNATIVE INSTRUCTIONS?

If your buyer or seller receives alternative wiring instructions that appear to be from First American Title, make sure they contact their escrow officer at a trusted phone number for confirmation.

Know that our wiring instructions do not change so any communication is suspect. Our banking institution is First American Trust.

IN SHORT – wire instructions will not be accepted by email. New wire instructions must be hand-carried or uploaded to the First American Secure Portal.

Thank you for joining First American Title in fostering a secure real estate transaction process. Have questions or concerns? Please contact our office or your escrow officer.

LIMITATION OF LIABILITY FOR INFORMATIONAL REPORTS

IMPORTANT -- PLEASE READ CAREFULLY:

This report is not an insured product or service or a representation of the condition of title to real property. It is not an abstract, legal opinion, opinion of title, title insurance commitment or preliminary report, or any form of Title Insurance or Guaranty. This report is issued exclusively for the benefit of the Applicant therefor and may not be used or relied upon by any other person. This report may not be reproduced in any manner without First Americans prior written consent. First American does not represent or warrant that the information herein is complete or free from error, and the information herein is provided without any warranties of any kind, as-is, and with all faults. As a material part of the consideration given in exchange for the issuance of this report, recipient agrees that First Americans sole liability for any loss or damage caused by an error or omission due to inaccurate information or negligence in preparing this report shall be limited to the fee charged for the report. Recipient accepts this report with this limitation and agrees that First American would not have issued this report but for the limitation of liability described above. First American makes no representation or warranty as to the legality or propriety of recipient's use of the information herein.

Date: 01/28/2026

Property: 9524WGREENWAYRD,SUNCITY, AZ85351-2005

APN: 200-55-050

County: MARICOPA

PreparedBy: FirstAmericanTitle CustomerServiceDepartment propertyresearch@firstamcom

SubjectPropertyLocation

ReportDate:01/28/2026

PropertyAddress 9524WGREENWAYRD OrderID:R207664053

City,State&Zip SUNCITY,AZ85351-2005

County MARICOPACOUNTY

MailingAddress 9524WGREENWAYRD,SUNCITY,AZ85351-2005

CensusTract 071506

ThomasBrosPg-Grid 576-3C Longitude -112264526

TOGWUNDIV1-26INTINTRFRecorder'sMapRef:MB13430

SubjectPropertyLocation

ReportDate:01/28/2026

PropertyAddress 9524WGREENWAYRD OrderID:R207664054 City,State&Zip SUNCITY,AZ85351-2005

SubjectPropertyLocation

PropertyAddress

9524WGREENWAYRD

City,State&Zip SUNCITY,AZ85351-2005

County MARICOPACOUNTY

MailingAddress 9524WGREENWAYRD,SUNCITY,AZ85351-2005

OwnerName RETTUSVIRGINIAL

ReportDate:01/28/2026

OrderID:R207664055

PropertyAddress 9524WGREENWAYRD

City,State&Zip SUNCITY,AZ85351-2005

County MARICOPACOUNTY

MailingAddress 9524WGREENWAYRD,SUNCITY,AZ85351-2005

ReportDate:01/28/2026

OrderID:R207664056

SubjectPropertyLocation

PropertyAddress 9524WGREENWAYRD

City,State&Zip SUNCITY,AZ85351-2005

County MARICOPACOUNTY

ParcelNumber 200-55-050

ReportDate:01/28/2026

OrderID:R207664057

Disclaimer

THISREPORTISINTENDEDFORUSEBYYOUASANENDUSERSOLELYFORYOURINTERNALBUSINESSPURPOSES.YOUSHALLNOTRESELL,RELICENSEORREDISTRIBUTETHISREPORT,INWHOLEORIN PART THEUSEOFTHISREPORTBYANYPARTYOTHERTHANYOURSELFFORANYPURPOSEISSTRICTLYPROHIBITED.THISREPORTISPROVIDEDAS-ISWITHOUTWARRANTYOFANYKIND,EITHEREXPRESS ORIMPLIED,INCLUDINGWITHOUTLIMITATION,ANYWARRANTIESOFMERCHANTABILITY,NON-INFRINGEMENT,ORFITNESSFORAPARTICULARPURPOSE.INTERCONTINENTALEXCHANGE,INC.(ICE)SHALL HAVENOLIABILITYINCONTRACT,TORT,OROTHERWISEARISINGOUTOFORINCONNECTIONWITHTHISREPORT.ICEDOESNOTREPRESENTORWARRANTTHATTHEREPORTISCOMPLETEORFREEFROM ERROR.YOUUNDERSTANDANDACKNOWLEDGETHATTHEAVAILABILITY,COMPLETENESSANDFORMATOFTHEDATAELEMENTSMAYVARYSUBSTANTIALLYFROMAREA-TO-AREA.THEINFORMATION CONTAINEDINTHISREPORTISDERIVEDFROMPUBLICLYAVAILABLESOURCESFORTHESUBJECTPROPERTYORCOMPARABLEPROPERTIESLISTEDABOVEANDHASNOTBEENINDEPENDENTLYVERIFIEDBY ICETHROUGHANYFORMOFINSPECTIONORREVIEW THISREPORTDOESNOTCONSTITUTEANAPPRAISALOFANYKINDANDSHOULDNOTBEUSEDINLIEUOFANINSPECTIONOFASUBJECTPROPERTYBYA LICENSEDORCERTIFIEDAPPRAISER.THISREPORTCONTAINSNOREPRESENTATIONS,OPINIONSORWARRANTIESREGARDINGTHESUBJECTPROPERTY'SACTUALMARKETABILITY,CONDITION(STRUCTURAL OROTHERWISE),ENVIRONMENTAL,HAZARDORFLOODZONESTATUS,ANDANYREFERENCETOENVIRONMENTAL,HAZARDORFLOODZONESTATUSISFORINFORMATIONALPURPOSESONLYANDSHALLBE INDEPENDENTLYVERIFIEDBYTHEENDUSER.THEINFORMATIONCONTAINEDHEREINSHALLNOTBEUTILIZED:(A)TOREVIEWORESTABLISHACONSUMER'SCREDITAND/ORINSURANCEELIGIBILITYORFOR ANYOTHERPURPOSETHATWOULDCAUSETHEREPORTTOCONSTITUTEA"CONSUMERREPORT"UNDERTHEFAIRCREDITREPORTINGACT,15U.S.C.§1681ETSEQ.;OR(B)INCONNECTIONWITH CERTIFICATIONORAUTHENTICATIONOFREALESTATEOWNERSHIPAND/ORREALESTATETRANSACTIONS.ADDITIONALTERMSANDCONDITIONSSHALLAPPLYPURSUANTTOTHEAPPLICABLEAGREEMENT Copyright CONFIDENTIAL,PROPRIETARYAND/ORTRADESECRET TMSM®TRADEMARK(S)OFINTERCONTINENTALEXCHANGE,INC.ANDITSSUBSIDIARIESANDAFFILIATES. ©2026INTERCONTINENTALEXCHANGE,INC.ALLRIGHTSRESERVED.

Arizona Schools

SEARCH PARAMETERS

PARCEL:  200-55-050

PARCEL: 200-55-050 5

OWNER: RETTUS VIRGINIA L     2021 1326688 12/15/2021

SITUS: 9524 W GREENWAY RD SUN CITY

MAIL: 9524 W GREENWAY RD  SUN CITY, AZ 85351

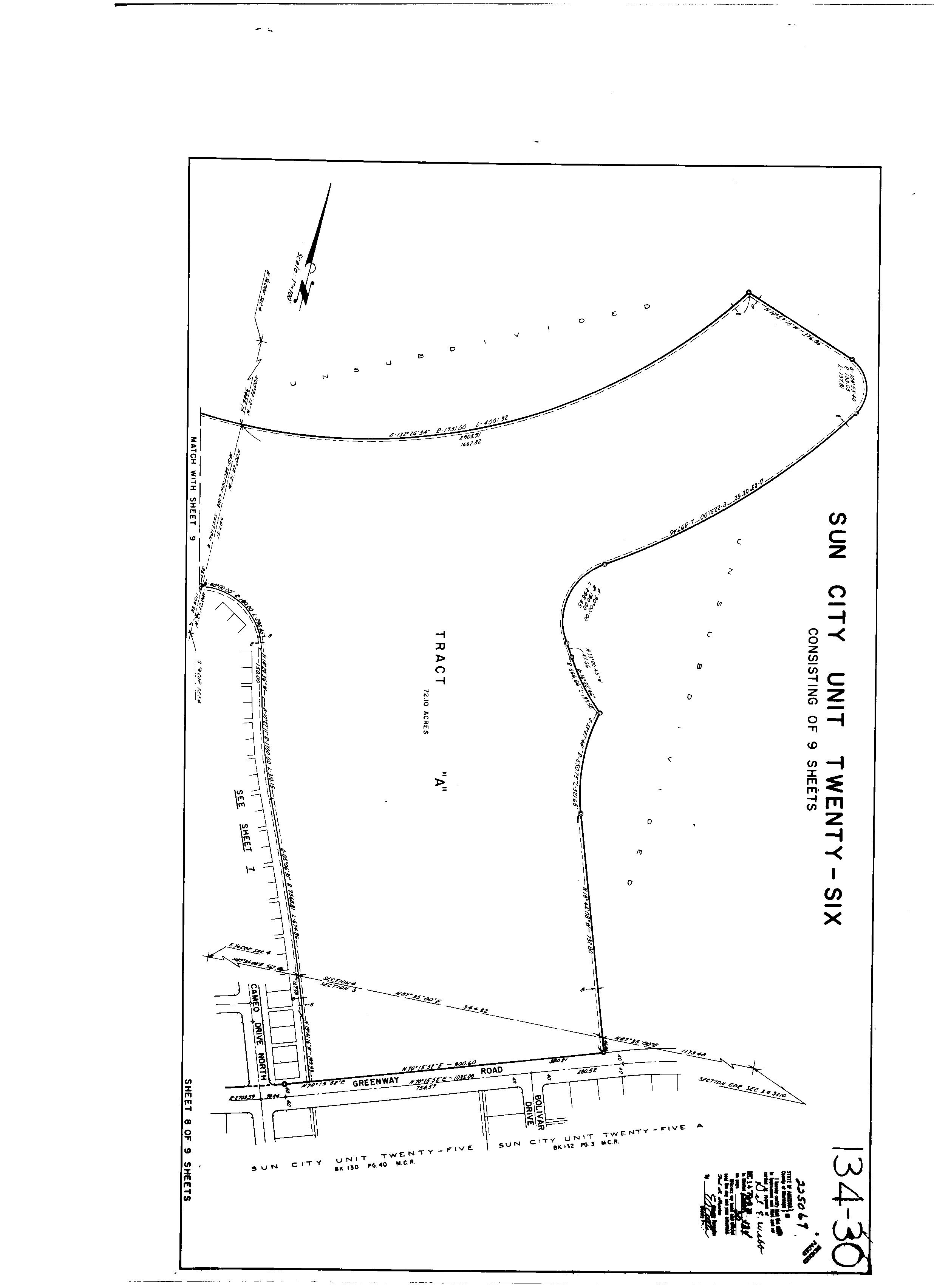
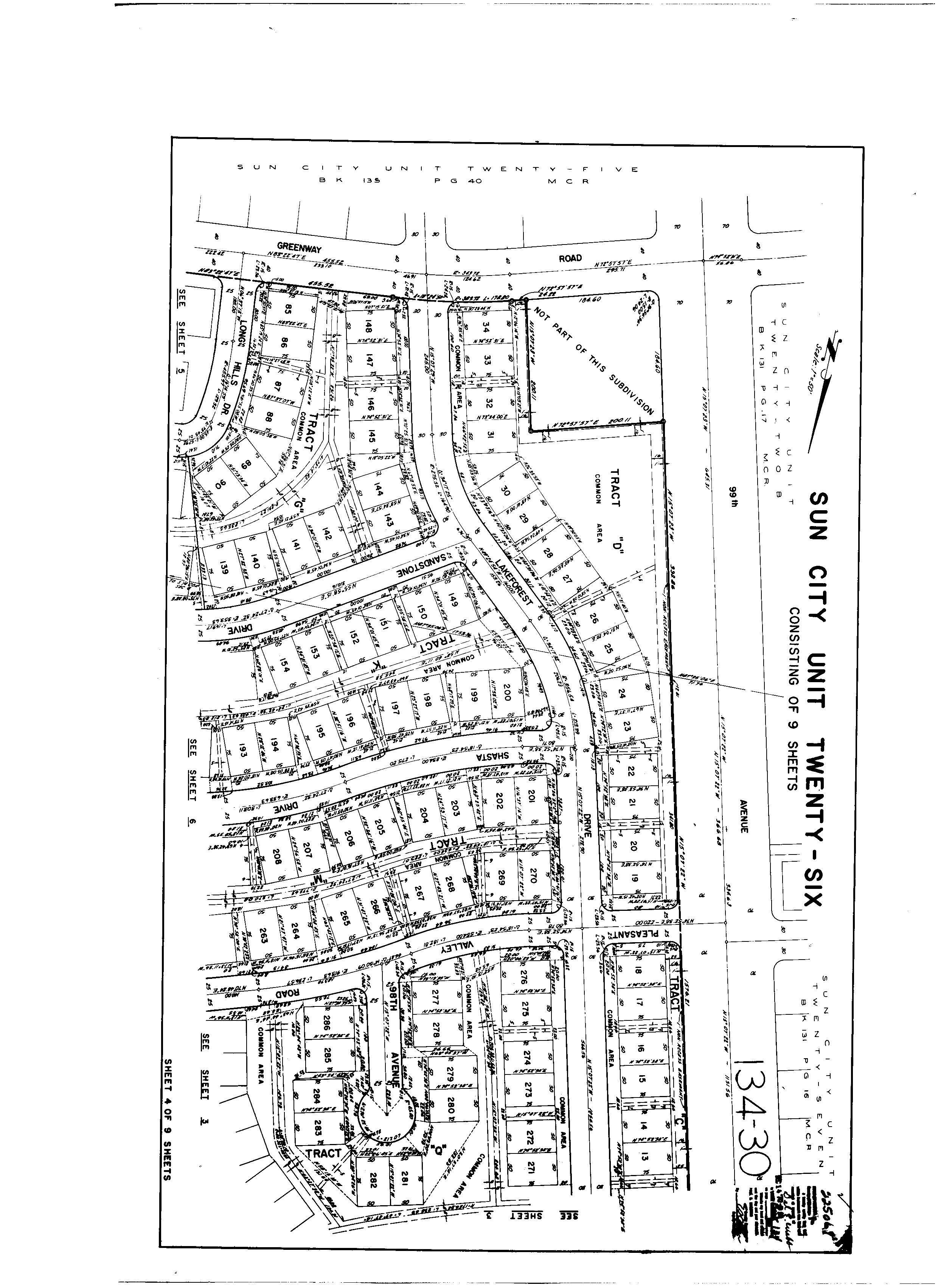
PLAT: 134 -   30 LOT    47

LEGAL: SUN CITY UNIT 26 LOT 47 TOG W UNDIV 1-26 INT IN T R F

11563 13986

RESIDENTIAL IMPROVEMENTS

ADDITIONAL PROPERTY INFORMATION

STANDARD LAND USE:

Covenants, Conditions & Restrictions

Thank you for the opportunity to be of service.

Restrictions indicating a preference, limitation or discrimination based on race, color, religion, sex, handicap, familial status, or national origin are hereby deleted to the extent such restrictions violate 42 USC 3604(c).

This information is furnished without fee and without benefit of a complete title search. No liability is assumed by First American Title. If it is desired that liability be assumed, you may apply for a policy of title insurance with First American Title Insurance Company.

Quick Reference

Count on First American Title.

Count on us for service.

First American Title’s professionals are proud to provide the title insurance that assures people’s home ownership. Backed by First American Title Insurance Company, your transaction will be expertly completed in accordance with state-specific underwriting standards and state and federal regulatory requirements.

Count on us for stability.

First American Title is the principal subsidiary of First American Financial Corporation, and one of the largest suppliers of title insurance services in the nation. With roots dating back to 1889, we’ve served families for generations.

Count on us for convenience.

First American Title has a direct office or agent near you. We also have an extensive network of offices and agents throughout the United States, and internationally.

Count on us to meet your needs.

First American Financial Corporation offers more than title insurance and escrow services through its subsidiaries. Our subsidiaries also provide property data, title plant records and images, home warranties, property and casualty insurance, and banking, trust and advisory services.

The Benefits of Buying

Not sure if you should buy a home? The rent you pay could build equity in your own real estate. Do you realize how much you pay in rent over a period of years? The chart below gives you a total picture of what is happening to your money. The rent you pay adds up to a sizeable sum.

Renting

No interest payment deductions

Rental amount may increase at any time

Landlord approval needed for any changes

No capitalization; your money disappears forever

Rental is temporary and is often subject to 30 day’s notice

Buying

Deductions for your mortgage interest paid

Mortgage payments could be fixed

Decorate and make changes without prior approval

The value of your property may increase in time

Your house will become a home, not a temporary living situation; you are not at the mercy of a landlord

How much home can you afford?

This formula is only a guide and not to be construed as actual lending calculations.

Contact your loan officer to determine more accurately what price range you should consider. Lenders abide by certain ratios when calculating the loan amount their customers can qualify for and the ratios vary by lender and loan program. Many use 28% of your gross monthly income as the maximum allowed for your mortgage payment (principal/interest/ taxes/insurance or PITI); for your total monthly debt, the ratio is 36%. Total monthly expenses means PITI plus long-term debt (such as auto loans) and revolving/credit-card debt. Do not include other expenses such as groceries, utilities, clothing, tuition, etc., to calculate this ratio.

$550,000

Sample Mortgage Payment 30-Year Loan / Principal & Interest Only

Terms you should know.

Appraisal

An estimate of value of property resulting from analysis of facts about the property; an opinion of value.

Annual Percentage Rate (APR)

The borrower’s costs of the loan term expressed as a rate. This is not their interest rate.

Beneficiary

The recipient of benefits, often from a deed of trust; usually the lender.

Closing Disclosure (CD)

Closing Disclosure form designed to provide disclosures that will be helpful to borrowers in understanding all of the costs of the transaction. This form will be given to the consumer three (3) business days before closing.

Close of Escrow

Generally the date the buyer becomes the legal owner and title insurance becomes effective.

Comparable Sales

Sales that have similar characteristics as the subject real property, used for analysis in the appraisal. Commonly called “comps.”

Consummation

Occurs when the borrower becomes contractually obligated to the creditor on the loan, not, for example, when the borrower becomes contractually obligated to a seller on a real estate transaction. The point in time when a borrower becomes contractually obligated to the creditor on the loan depends on applicable State law. Consummation is not the same as close of escrow or settlement.

Deed of Trust

An instrument used in many states in place of a mortgage.

Deed Restrictions

Limitations in the deed to a parcel of real property that dictate certain uses that may or may not be made of the real property.

Disbursement Date

The date the amounts are to be disbursed to a buyer and seller in a purchase transaction or the date funds are to be paid to the borrower or a third party in a transaction that is not a purchase transaction.

Earnest Money Deposit

Down payment made by a purchaser of real property as evidence of good faith; a deposit or partial payment.

Easement

A right, privilege or interest limited to a specific purpose that one party has in the land of another.

Endorsement

As to a title insurance policy, a rider or attachment forming a part of the insurance policy expanding or limiting coverage.

Hazard Insurance

Real estate insurance protecting against fire, some natural causes, vandalism, etc., depending upon the policy. Buyer often adds liability insurance and extended coverage for personal property.

Impounds

A trust type of account established by lenders for the accumulation of borrower’s funds to meet periodic payments of taxes, mortgage insurance premiums and/or future insurance policy premiums, required to protect their security.

Legal Description

A description of land recognized by law, based on government surveys, spelling out the exact boundaries of the entire parcel of land. It should so thoroughly identify a parcel of land that it cannot be confused with any other.

Lien

A form of encumbrance that usually makes a specific parcel of real property the security for the payment of a debt or discharge of an obligation. For example, judgments, taxes, mortgages, deeds of trust.

Loan Estimate (LE)

Form designed to provide disclosures that will be helpful to borrowers in understanding the key features, costs and risks of the mortgage loan for which they are applying. Initial disclosure to be given to the borrower three (3) business days after application.

Mortgage

The instrument by which real property is pledged as security for repayment of a loan.

PITI

A payment that includes principal, interest, taxes, and Insurance.

Power of Attorney

A written instrument whereby a principal gives authority to an agent. The agent acting under such a grant is sometimes called an “Attorney-in-Fact.”

Recording

Filing documents affecting real property with the appropriate government agency as a matter of public record.

Settlement statement

Provides a complete breakdown of costs involved in a real estate transaction.

TRID

TILA-RESPA Integrated Disclosures

Key professionals involved in your transaction.

REALTOR®

A REALTOR® is a licensed real estate agent and a member of the National Association of REALTORS®, a real estate trade association. REALTORS® also belong to their state and local Association of REALTORS® .

Real Estate Agent

A real estate agent is licensed by the state to represent parties in the transfer of property. Every REALTOR® is a real estate agent, but not every real estate agent has the professional designation of a REALTORS®

Listing Agent

A key role of the listing agent or broker is to form a legal relationship with the homeowner to sell the property and place the property in the Multiple Listing Service.

Buyer’s Agent

A key role of the buyer’s agent or broker is to work with the buyer to locate a suitable property and negotiate a successful home purchase.

Multiple Listing Service (MLS)

The MLS is a database of properties listed for sale by REALTORS® who are members of the local Association of REALTORS®. Information on an MLS property is available to thousands of REALTORS®

Title Company

These are the people who carry out the title search and examination, work with you to eliminate the title exceptions you are not willing to take subject to, and provide the policy of title insurance regarding title to the real property.

Escrow Officer

An escrow officer leads the facilitation of your escrow, including escrow instructions preparation, document preparation, funds disbursement, and more.

Lenders

A financial institution that provides money to a borrower to purchase real estate, often in the form of a mortgage. Lenders play a vital role in the home buying process by assessing the borrower’s ability to repay the loan and setting the terms of the mortgage.

Inspectors

A licensed professional who evaluates the condition and safety of a property for a buyer or seller. They inspect the property from top to bottom, looking for defects that could be a financial burden or safety risk.

Appraisers

A professional who provides an unbiased estimate of a property’s value.

Benefits of using a professional REALTOR® .

Congratulations on your decision to buy a home! It’s a challenging project, and there are many ways a professional can help. Here are some of the many ways you may benefit from working with a REALTOR®:

Many more home choices.

Your REALTOR® has thousands of homes to choose from through the Multiple Listing Service (MLS), so you’re more likely to find the home that’s just right for you and find it quicker. In fact, a majority of the homes for sale are listed by REALTORS® and aren’t available to you unless you are working with a REALTOR.®

A number of transactions “fall out.”

Unfortunately, it’s true. Some transactions fall apart before closing. An experienced REALTOR® may be able to resolve problems and see your transaction through to a successful closing.

Knowledge of new home subdivisions.

New home subdivisions will welcome you and your REALTOR.® If you’re interested in buying a new home, take your agent with you on your first visit to each subdivision. Your professional REALTOR® is an important source of information who can supply background on the builder, nearby subdivisions, and the local community.

It’s a major investment.

You use a professional for your legal, financial and health needs. Why gamble on what may be your biggest investment without a professional at your side?

Help with FSBO’s.

If you consider a “For Sale By Owner,” take your REALTOR® along to help negotiate the contract.

Less Liability

You may have more protection from legal and financial liability, especially as real estate transactions become more complicated.

The Paperwork

Your experienced REALTOR® will negotiate and prepare the purchase contract for you and assist you throughout the escrow process.

Selecting A Home

The following home comparison chart is designed to help you remember the homes you visit and what you liked best and least about each one. Rate features or make notes that will help you determine what pleased or displeased you.

Remembering each home would appear easy, but it can quickly become confusing. Which home was near the school? Which one had the great pool? Did it have a family room? And how many bathrooms? In the “What’s Memorable” category, note something you think is unusual and memorable about each home, such as a stained glass window, fruit trees, a child’s playhouse. This will make it easier for you to recall the property later and refer to a specific address. And, last but not least, maybe the most important question, does this house feel like home? Good luck with your search, and enjoy your house hunting adventure!

HOME 1

HOME 2

HOME 3

The life of an escrow.

Chooses a Real Estate Agent

Gets pre-approval letter from Lender and provides to Real Estate Agent.

Makes offer to purchase. Upon acceptance, opens escrow and deposits earnest money.

Finalizes loan application with Lender. Receives a Loan Estimate from Lender.

Completes and returns opening package from First American Title.

Schedules inspections and evaluates findings. Reviews title commitment/preliminary report.

Provides all requested paperwork to Lender (bank statements, tax returns, etc.) All invoices and final approvals should be to the lender no later than 10 days prior to loan consummation.

Lender (or Escrow Officer) prepares CD and delivers to Buyer at least 3 days prior to loan consummation.

Escrow officer or real estate agent contacts the buyer to schedule signing appointment.

Buyer consummates loan, executes settlement documents, & deposits funds via wire transfer.

Documents are recorded and the keys are delivered!

Accepts Buyer’s offer to purchase.

Completes and returns opening package from First American Title, including information such as forwarding address, payoff lender contact information and loan numbers.

Orders any work for inspections and/or repairs to be done as required by the purchase agreement.

Escrow officer or real estate agent contacts the seller to schedule signing appointment.

Documents are recorded and all proceeds from sale are received.

Upon receipt of order and earnest money deposit, orders title examination.

Requests necessary information from buyers and sellers via opening packages.

Reviews title commitment/ preliminary report.

Upon receipt of opening packages, orders demands for payoffs. Contacts buyer or seller when additional information is required for the title commitment/preliminary report.

All demands, invoices, and fees must be collected and sent to lender at least 10 days prior to loan consummation.

Coordinates with lender on the preparation of the CD.

Reviews all documents, demands, and instructions and prepares settlement statements and any other required documents.

Schedules signing appointment and informs buyer of funds due at settlement.

Once loan is consummated, sends funding package to lender for review.

Prepares recording instructions and submits docs for recording.

Documents are recorded and funds are disbursed. Issues final settlement statement.

Accepts Buyer’s application and begins the qualification process. Provides Buyer with Loan Estimate.

Orders and reviews title commitment / preliminary report, property appraisal, credit report, employment and funds verification.

Collects information such as title commitment / preliminary report, appraisal, credit report, employment and funds verification. Reviews and requests additional information for final loan approval.

Underwriting reviews loan package for approval.

Coordinates with Escrow Officer on the preparation of the Closing Disclosure, which is delivered to Buyer at least 3 days prior to loan consummation.

Delivers loan documents to escrow.

Upon review of signed loan documents, authorizes loan funding.

The Buyer
The Escrow Officer
Chooses a Real Estate Agent
The Seller
The Lender

Closing Costs: Who Pays Whats

Obtaining a new loan.

When and where to apply for a loan? There are many sources for home loans including banks, credit unions, mortgage companies, and mortgage brokers. Your REALTOR ® may give you several names of lenders who have proven reliable in their previous transactions. Apply for your loan as soon as possible. In fact, it’s probably a good idea to know what you can afford before you begin looking for your new home. It can give you more bargaining power when negotiating with a Seller, especially in today’s market. A lender can prequalify you for a certain price range and help you avoid disappointment later.

Your lender may have verification requests and order an appraisal on the property you are buying. If your lender asks for additional items, please comply promptly with those requests to avoid delaying loan approval.

What is hazard (or fire) insurance? Hazard insurance covers the dwelling itself and is required by the lender to protect their “risk” in your home. Your lender or REALTOR ® will explain the necessary hazard insurance coverage to you. If you are buying a condominium, a master policy already exists which includes your unit—but it does not cover your personal belongings.

Contact your insurance agent early in the process, because this coverage must be provided so the lender can release loan funds to First American Title. Hazard insurance is one of the items frequently postponed until the last minute, and this can result in delaying the closing for a day or more. Order your insurance as soon as your loan is approved; then furnish your escrow officer with the agent’s name and phone number. When you talk with your insurance agent, be sure to ask about additional coverage in a homeowner’s policy to insure your personal belongings and to protect against liability for such events as injuries to visitors.

What happens after loan approval?

After loan approval and just prior to your planned closing date, the lender will send loan documents to First American Title, and your escrow officer will prepare an estimated settlement statement. This statement indicates what funds go where, and at this time your escrow officer can tell you how much money you need to bring to the closing appointment. Be aware that this amount may be higher or lower than previously estimated due to changes in such items as prepaid interest, prorated fees, courier fees, and impound accounts.

What

you may need for the loan application.

Be prepared to provide some of all of these items to your loan officer:

— Addresses of residences for last two years

— Social Security Number

— Driver’s License or other valid ID

— Names and addresses of employers for last two years

— Two recent pay stubs showing year-to-date earnings

— Federal tax returns for last two years

— W-2’s for last two years

— Last two months statements for all checking and savings account

— Loans: Names, addresses, account numbers, and payment amounts on all loans

— Real estate loans: Names, addresses, account numbers, and payment amounts on all loans for other real estate you own

— Credit cards: Names, addresses, account numbers, and payment amounts on all credit cards

— Addresses and values of other real estate owned

— Value of personal property.

Your best estimate of the value of all your personal property (autos, boats, furniture, jewelry, television, stereo, computer, other electronics, etc.)

— For a VA loan, Certificate of Eligibility or DD214s

— Divorce decree if applicable

— Funds to pay upfront for the credit report and appraisal

— Letters of Explanation regarding credit inquires or special circumstances

Types of Loans

Adjustable Rate Loan

Adjustable or variable rate refers to the fluctuating interest rate you’ll pay over the life of the loan. The rate is adjusted periodically to coincide with changes in the index on which the rate is based. The minimum and maximum amounts of adjustment, as well as the frequency of adjustment are specified in the loan terms. An adjustable rate mortgage may allow you to qualify for a higher loan amount but maximums, caps and time frames should be considered before deciding on this type of loan.

Assumable Loan

A true assumable loan is rare today. This loan used to enable a buyer to pay the seller for the equity in the home and take over the payments without meeting any requirements. Assumables these days generally require standard income, credit and funds verification by the lender before the loan can be transferred to the buyer.

Community Homebuyer’s Program

This program is designed to assist first-time buyers by offering a fixed rate and a low downpayment, such as 3 to 5% down. The program doesn’t require cash reserves, and qualifying ratios are more lenient; however, the buyer’s income must fall within a certain range and a training course may be necessary if required by the program. Ask your loan officer if this program is available in your community and whether or not you might qualify.

Conventional Loan

This simply describes a loan that is not obtained under any government-insured program, secured by investors. It could be a fixed rate or adjustable.

FHA Loan

This program is beneficial for buyers who don’t have large downpayments. The loan is insured by the Federal Housing Administration under Housing and Urban Development (HUD) and offers easier qualifying with less cash needed upfront but the condition of the property is strictly regulated. The seller will pay a portion of the closing costs that would typically be paid by the buyer in a conventional loan program.

Fixed Rate Loan

This loan has one interest rate that is constant throughout the loan.

VA Loan

People who have served in the U.S. armed forces can apply for a VA loan which covers up to 100% of the purchase price and requires little or no downpayment.

The Escrow Process

What is an escrow?

The escrow is the process of having a neutral party manage the exchange of money for real property. The escrow holder is known as an escrow or settlement officer or agent. The buyer deposits funds and the seller deposits a deed with the escrow holder along with all of the other documents required to remove all "contingencies" (conditions and approvals) in the purchase agreement prior to closing.

How is an escrow opened?

Once a purchase agreement is signed by all necessary parties, the agent representing the party who will pay the fee selects an escrow holder and the buyer's earnest money deposit and contract are submitted to the escrow holder. From this point, the escrow holder will follow the mutual written instructions of the buyer and seller, maintaining a neutral stance to ensure that neither party has an unfair advantage over the other. The escrow holder also follows the instructions of the Buyer's new lender, the seller's existing lender, and both parties' agents. The escrow holder ensures the transparency of the transaction, while carefully maintaining the privacy of the consumers.

Your escrow professional may:

Open escrow and, if instructed to do so, deposit your good faith funds in a separate escrow account.

Order a title search to determine ownership and status of the subject real property.

Issue a preliminary report and begin the process of eliminating the title exceptions you and your lender are not willing to take title subject to.

Request payoff information for the seller’s loans, other liens, homeowner’s association fees, etc.

Coordinate with the buyer’s lender on the preparation of the Closing Disclosure (CD).

Prorate fees, such as real property taxes, per the contract, and prepare the settlement statement.

Set separate appointments allowing the seller and you to sign documents and deposit funds.

Review documents ensuring all conditions and legal requirements are fulfilled; request funds from lender.

When all funds are deposited, record documents with the County Recorder’s Office to transfer the subject real property to you.

After the recordation is confirmed, close escrow and disburse\funds, including seller’s proceeds, loan payoffs, etc.

Prepare and send final documents to all parties involved.

Understanding title insurance.

The title industry and title insurance in brief.

Prior to the development of the title industry in the late 1800s, a home-buyer received a grantor’s warranty, attorney’s title opinion, or abstractor’s certificate as assurance of home ownership. The buyer relied on the financial integrity of the grantor, attorney, or abstractor for protection. Today, home-buyers look primarily to title insurance to provide this protection. Title insurance companies are regulated by state statute. They are required to post financial guarantees to ensure that any claims will be paid in a timely fashion. They also must maintain their own “title plants” which house duplicates of recorded deeds, mortgages, plats, and other pertinent county property records.

What is title insurance?

Title insurance provides coverage for certain losses due to defects in the title that, for the most part, occurred prior to your ownership. Title insurance protects against defects such as prior fraud or forgery that might go undetected until after closing and possibly jeopardize your ownership and investment.

Why is title insurance needed?

Title insurance insures buyers against the risk that they did not acquire marketable title from the seller. It is primarily designed to reduce risk or loss caused by defects in title from the past. A loan policy of title insurance protects the interest of the mortgage lender, while an owner’s policy protects the equity of you, the buyer, for as long as you or your heirs (in certain policies) own the real property.

When is the premium due?

You pay for your owner’s title insurance policy only once, at the close of escrow. Who pays for the owner’s policy and loan policy varies depending on local customs.

How title insurance differs.

Unlike other forms of insurance, title insurance emphasizes loss prevention for the insured. Title professionals perform labor-intensive work to find and address title issues that could threaten your homeownership. This upfront analysis gives you, as a policy holder, the peace of mind that your title risk has been effectively reduced. In contrast, insurance based on loss assumption (such as auto or property and casualty insurance) requires little upfront work because claims cannot be predicted or prevented, and premium funds are needed only in the event of an accident or other covered issue. These types of insurance also require annual coverage payments, unlike title insurance which is paid for only once upon the purchase of your home or establishment of a new mortgage.

The importance of title protection.

There are many title issues that could cause you to lose your real property or your mortgage investment. Even the most careful search of public records may not disclose the most dangerous threat: hidden risks. These issues may not be uncovered until years later. Without title insurance from a reputable and financially solvent company, the ownership of your home could be jeopardized.

Here are some examples of title issues that may occur:

Deeds by persons supposedly single, but secretly married.

Deeds in lieu of foreclosure given under duress

Marital rights of spouse purportedly, but not legally, divorced.

Impersonation of the true owner of the land.

Deeds by minors.

Deeds by persons of unsound mind.

Deeds to or from defunct corporations.

Defective acknowledgments by notaries.

Duress in execution of instruments.

Erroneous reports furnished by tax officials.

Forged deeds, releases, etc.

Mistakes in recording legal documents.

Surviving children omitted from will.

Administration of estate of persons absent but not deceased.

Birth or adoption of children after date of will.

Claims of creditors against real property sold by heirs or devisees.

Deed of community property recited to be separate property.

Deeds by foreign parties.

Eagle Policy ® for Owners

The benefits of First American Title’s Eagle Policy ® for Owners versus the Standard ALTA Owner’s Policy

First American Title’s Eagle Policy ® for Owners provides expanded title coverage for natural persons who purchase one‐to‐four family residences, including condominiums. Coverages included in the Eagle Policy ® for Owners offer the highest levels of protection available to homeowners.

Eagle Policy ® for Owners benefits you won’t get with a Standard ALTA Owner’s Policy

Post-policy Forgery

Post-policy Encroachments

Post-policy Adverse Possession

Coverage extended to homeowner when someone claims to have the insured’s title arising out of someone else’s continued use and occupancy

Post-Policy Easement by Prescription

Coverage if another claims right to use a part of the insured’s land as an easement because of continuous use over time

Building Permit and Zoning Violation

Coverage for losses up to $25,000, after a small deductible, for building permit violations and forced remediation of zoning violations, and up to the full policy amount for forced removal of structures due to zoning violations

Expanded Access

Expanded to include both vehicular and pedestrian access to and from land, based upon legal right

Encroachment of Improvements onto Easements and Set-backs

Subdivision Violation

Homeowners are covered up to $10,000, after a small deductible, for protection against subdivision violations prior to purchase

Restrictive Covenant Violations

Coverage provided for violations of restrictive covenants, occurring before homeowner acquired land if the homeowner is forced to correct or remove the violation or if the homeowner’s title is lost or taken because of the violation

Encroachment of Boundary Walls and Fences

Protection of up to $5,000, after a small deductible, for encroachments onto a neighbor’s land, onto an easement, or over a building set-back line

5

Compare First American Title’s Eagle Policy® for Owners

Vesting: Ways to hold title in Arizona.

COMMUNITY PROPERTY JOINT TENANCY WITH RIGHT OF SURVIVORSHIP

Requires a valid marriage between two persons.

Each spouse holds an undivided one-half interest in the estate.

One spouse cannot partition the property by selling his or her interest.

Requires signatures of both spouses to convey or encumber.

Each spouse can devise (will) one-half of the community property.

Upon death the estate of the decedent must be “cleared” through probate, affidavit or adjudication.

Parties need not be married; may be more than two joint tenants.

Each joint tenant holds an equal and undivided interest in the estate, unity of interest.

One joint tenant can partition the property by selling his or her joint interest.

Requires signatures of all joint tenants to convey or encumber the whole.

Estate passes to surviving joint tenants outside of probate.

No court action required to “clear” title upon the death of joint tenant(s).

COMMUNITY PROPERTY WITH RIGHT OF SURVIVORSHIP TENANCY IN COMMON

Requires a valid marriage between two persons.

Each spouse holds an undivided one-half interest in the estate.

One spouse cannot partition the property by selling his or her interest.

Requires signatures of both spouses to convey or encumber.

Estate passes to the surviving spouse outside of probate.

No court action required to “clear” title upon the first death.

Parties need not be married; may be more than two tenants in common.

Each tenant in common holds an undivided fractional interest in the estate. Can be disproportionate

Each tenant’s share can be conveyed, mortgaged or devised to a third party.

Requires signatures of all tenants to convey or encumber the whole.

Upon death the tenant’s proportionate share passes to his or her heirs by will or intestacy.

Upon death the estate of the decedent must be“cleared” through probate, affidavit or adjudication.

Note: Arizona is a community property state. Property acquired by a husband and wife is presumed to be community property unless legally specified otherwise. Title may be held as “Sole and Separate.” If a married person acquires title as sole and separate, his or her spouse must execute a disclaimer deed to avoid the presumption of community property. Parties may choose to hold title in the name of an entity, e.g., a corporation; a limited liability company; a partnership (general or limited), or a trust. Each method of taking title has certain significant legal and tax consequences; therefore, you are encouraged to obtain advice from an attorney or other qualified professional.

What happens next for the buyer.

Identity Statement

You will be asked to fill out an Identity Statement that enables our title department to distinguish you from others with identical names during our search of County records. It also provides basic information that will be useful to your escrow officer.

Home Loan

Unless you are paying cash, assuming a loan, or the seller is financing, you will need to apply for a home loan if you have not already done so. Apply as soon as possible to comply with the purchase contract and prior to insuring to avoid delaying the closing.

Response to Seller’s Notices If directed by the contract, you may receive the following items which require a response from you:

- Seller’s property disclosure statement listing any existing problems known to the seller

- Information pertaining to the Homeowners Association (HOA) or Planned Unit Development (PUD), such as Covenants, Conditions and Restrictions (CC&Rs), if applicable

- Flood hazard disclosure if the real property is in a flood area

- Independent inspections, such as termite and septic, and any repairs as required

Title Commitment

You will receive a copy of the title commitment when we complete the title search. If you have questions about the title commitment, contact your real estate agent or your escrow officer.

Consider This

One escrow transaction could involve over 20 individuals, including real estate professionals, buyer, seller, attorney, escrow officer, escrow technician, title officer, loan officer, loan processor, loan underwriter, home inspector, termite inspector, insurance agent, home warranty representative, contractor, roofer, plumber, pool service, and so on. And often one transaction depends on another. When you consider the number of people involved, you can imagine the opportunities for delays and mishaps. While your experienced real estate professional, escrow, and title team can’t prevent unforeseen problems from arising, they can help to ensure as smooth a closing as possible.

Your Title Commitment

The information below is to help you understand the contents of the title commitment you will receive from First American Title.

Schedule A

This is the information submitted to our title department by the escrow officer. It contains the basic information given to us by the buyer or real estate professional, such as the legal description of the real property, sale price, loan amount, lender, name, and marital status of buyer and seller.

Schedule B

The Schedule B “exceptions” are items which are tied to the subject property, and the buyer's rights in the title will be subject to these exceptions. These may include easements, Homeowners Association by-laws, leases, Covenants, Conditions, and Restrictions (CC&Rs) and other items which will remain of record and transfer with the property. The buyer is asked to sign a receipt for the Schedule B documents which states the buyer has read and accepts the contents.

Requirements

These are items that First American Title needs to delete and/or record prior to insuring title to the real property. Items that need to be addressed include:

- Current property-tax status

- Any assessments that are owed, such as those for a Homeowners Association

- Any encumbrances (or liens) on the real property

Sometimes items show up against a parcel of real property because another person has a name similar to an involved party. This is one reason we ask for an Identity Statement, to determine if items are inaccurate and can be deleted.

What to avoid during the closing process.

Avoid changing jobs

A job change may result in your loan being denied, particularly if you are taking a lower-paying position or moving into a different field. Don’t think you’re safe because you’ve received approval earlier in the process, as the lender may call your employer to re-verify your employment just prior to funding the loan.

Avoid switching banks or moving your money to another institution

After the lender has verified your funds at one or more institutions, the money should remain there until needed for the purchase.

Avoid paying off existing accounts unless your lender requests it

If your loan officer advises you to pay off certain bills in order to qualify for the loan, follow that advice. Otherwise, leave your accounts as they are until your escrow closes.

Avoid making any large purchases

A major purchase that requires a withdrawal from your verified funds or increases your debt can result in your not qualifying for the loan. A lender may check your credit or re-verify funds at the last minute, so avoid purchases that could impact your loan approval.

Closing Your Escrow

What to do before the closing appointment.

Your escrow officer or escrow technician will contact you to schedule your closing appointment and inform you of the funds you need to bring with you. Obtain a cashier’s check for that amount made payable to First American Title. If a wire transfer is necessary, arrange for it in advance with your escrow officer.

First American Title is required by law to have funds deposited before escrow funds can be disbursed. Expect delays if you submit a personal check! If you have questions or anticipate a problem, contact your escrow officer immediately.

Don’t forget your identification.

You will need valid identification with your photo; a driver’s license is preferred. This is necessary so that your identity can be sworn to by a notary public. It’s a routine step, but it’s important for your protection.

What happens next?

During your signing appointment at First American Title, you will sign loan documents for the home you are purchasing and you will present your identification so the documents can be notarized. You will review the settlement statement and give the escrow officer your cashier’s check. (The seller will sign at a separate appointment.)

First American Title will confirm that all contract conditions have been met and ask the lender to “fund the loan.” If the loan documents are satisfactory, the lender will send funds directly to First American Title. When all necessary funds are received we will disperse escrow funds to the seller and other appropriate payees. The signed loan documents will be returned to the lender. We will record the deed at the county recorder’s office. At this time your escrow is closed.

After the Closing

We recommend you keep all records pertaining to your home together in a safe place, including all purchase documents, insurance, maintenance and improvements.

Loan payments and impounds. You should receive a statement from your lender before your first payment is due. If you have not been notified, or if you have questions about your tax and insurance impounds, contact your lender.

Home Warranty Repairs. If you have a home warranty policy, call your home warranty company directly for repairs. Have your policy number available when you call.

Title Insurance Policy. First American Title will deliver your policy and your recorded deed.

Property Taxes. You may not receive a tax statement for the current year on the home you buy; however, it is your obligation to make sure the taxes are paid when due. Check with your mortgage company to find out if taxes are included with your payment. For more information on your property taxes, contact your county treasurer’s office.

Planning Your Move

Six Weeks Before:

Create an inventory sheet of items to move

Research moving options You’ll need to decide if yours is a do-it-yourself move or if you’ll be using a moving company.

Request moving quotes Solicit moving quotes from as many moving companies and movers as possible. There can be a large difference between rates and services within moving companies.

Discard unnecessary items Moving is a great time for ridding yourself of unnecessary items. Have a yard sale or donate unnecessary items to charity.

Packing materials. Gather moving boxes and packing materials for your move.

Contact insurance companies (Life, Health, Fire, Auto) You’ll need to contact your insurance agent to cancel/ transfer your insurance policy. Do not cancel your insurance policy until you have and closed escrow on the sale.

Seek employer benefits If your move is work-related, your employer may provide funding for moving expenses. Your human resources rep should have information on this policy.

Changing Schools If changing schools, contact new school for registration process.

Four Weeks Before:

Contact utility companies Set utility turnoff date, seek refunds and deposits and notify them of your new address.

Obtain your medical records. Contact your doctors, physicians, dentists and other medical specialists who may currently be retaining any of your family’s medical records. obtain these records or make plans for them to be delivered to your new medical facilities.

Note food inventory levels Check your cupboards, refrigerator and freezer to use up as much of your perishable food as possible.

Service small engines for your move by extracting gas and oil from the machines. This will reduce the chance to catch fire during your move.

Protect jewelry and valuables Transfer jewelry and valuables to safety deposit box so they can not be lost or stolen during your move.

Borrowed and rented items Return items which you may have borrowed or rented. Collect items borrowed to others.

One Week Before:

Plan your itinerary Make plans to spend the entire day at the house or at least until the movers are on their way. Someone will need to be around to make decisions. Make plans for kids and pets to be at the sitters for the day.

Change of address Visit USPS for change of address form.

Bank accounts Notify bank of address change. Make sure to have a money order for paying the moving company if you are transferring or closing accounts.

Service automobiles If automobiles will be driven long distances, you’ll want to have them serviced for a troublefree drive.

Cancel services. Notify any remaining service providers (newspapers, lawn services, etc) of your move.

Start packing Begin packing for your new location.

Travel items Set aside items you’ll need while traveling and those needed until your new home is established. Make sure these are not packed in the moving truck!

Scan your furniture. Check furniture for scratches and dents before so you can compare notes with your mover on moving day.

Prepare Floor Plan Prepare floor plan for your new home. This will help avoid confusion for you and your movers.

Moving Day:

Review the house Once the house is empty, check the entire house (closets, the attic, basement, etc) to ensure no items are left or no home issues exist.

Sign the bill of lading Once you are satisfied with the mover’s packing your items into the truck, sign the bill of lading. If possible, accompany your mover while the moving truck is being weighed.

Double check with your mover Make sure your mover has the new address and your contact information should they have any questions during your move.

Vacate your home. Make sure utilities are off, doors and windows are locked and notify your real estate agent you’ve left the property.

Central Arizona Branch Locator

1 Sun City West

623-299-3644

13940 W. Meeker Blvd, #119 Sun City West, AZ 85375 N of Meeker Blvd W of R.H. Johnson

2 The Legends

623-537-1608

20241 N. 67th Ave, #A-2 Glendale, AZ 85308 E side 67th Ave/N of 101

3 Arrowhead

623-487-0404

16165 N. 83rd Ave, #100 Peoria, AZ 85382

SE corner of N 83rd Ave and W Paradise Ln

4 Anthem

623-551-3265

39508 N. Daisy Mountain Dr, #128 Anthem, AZ 85086 NE corner Daisy Mtn Dr/Gavilan Peak Pkwy

5 Tatum Ridge

480-515-4369

11211 N Tatum Blvd, #A150 Phoenix, AZ 85028 N of Shea, E side of Tatum

6 Carefree

480-575-6609

7202 E. Carefree Dr, Bldg 1, #1 Carefree, AZ 85377 NE corner of Tom Darlington/Carefree Dr.

7 Scottsdale Forum

480-551-0480

6263 N. Scottsdale Rd, #110 Scottsdale, AZ 85250 E Side Scottsdale/S of Lincoln

8 Raintree

480-563-9034

8605 E. Raintree Dr, # 130 Scottsdale, AZ 85260 SW corner of E Raintree Dr and N 87th St

9 Chandler Portico

480-777-0051

2121 W. Chandler Blvd., #100 Chandler, AZ 85224 SW Corner Chandler Blvd./Dobson Rd.

10 Gilbert San Tan

480-777-0614

1528 E. Williams Field Rd. #101 Gilbert, AZ 85295 NW corner of Williams Field Rd./Val Vista Rd.

11 Mesa

480-401-3738

1630 S. Stapley Dr, #123 Mesa, AZ 85204 N of Baseline / W of Stapley

12 Gold canyon

480-288-0883

6877 South Kings Ranch Rd, #5 Gold Canyon, AZ 85118 E of 60/South Side Kings Ranch Rd.

Southern Arizona Branch Locator

1 Tanque Verde

6390 E Tanque Verde Rd Tucson, AZ 85715

phone 520-885-1600 / 520-202-2626

2 Broadway

3777 E Broadway, Ste 130 Tucson, AZ 85716

phone 520-747-1644

3 Cambric 1840 E River Road Ste 200 Tucson, AZ 85718

phone 520-577-8707 / 520-529-1944

4 Casa Grande

442 W Kortsen Road, Ste 101 Casa Grande, AZ 85122

phone 520-426-4600

5 Casas Adobes

6760 N Oracle Rd, Ste 100B Tucson, AZ 85704 phone 520-575-1900

6 Green Valley

210 W Continental Road, Ste. 248 Green Valley, AZ 85622 phone 520-625-1095

7 Oro Valley/La Canada 11165 N La Canada Dr, Ste 143 Oro Valley, AZ 85737 phone 520-877-9200

8 Oro Valley/Oracle 8500 N Oracle Rd, Ste 100 Oro Valley, AZ 85704 phone 520-297-2576 | 520-219-6451

9 Houghton

8280 S. Houghton Rd, Ste 130 Tucson, AZ 85747

phone 520-618-7790

10 Skyline

2890 E Skyline Dr, Ste 200 Tucson, AZ 85718

phone 520-529-0506

Turn static files into dynamic content formats.

Create a flipbook