Digital Home Book 8300 E. Dixileta Dr Unit 235

Page 1


HOME BOOK

PREPARED FOR:

WIRE FRAUD ALERT THINK DIFFERENTLY

Email-based, real estate fraud schemes are on the rise. One common scenario is altering wiring instructions with the intention of rerouting funds.

Keeping this in mind, First American Title is changing the way we receive payment information. It is imperative that we are familiar with the people in our transactions.

RELYING ON EMAIL ALONE IS NO LONGER AN OPTION.

Fraudsters often use email to send falsified wire instructions to unsuspecting victims. Please warn your buyers and sellers to only follow wire instructions they receive personally from First American Title.

Additionally, we will not accept disbursement instructions for seller or buyer funds via email OR from any third party (attorney, real estate agent, etc).

ALTERNATIVE INSTRUCTIONS?

If your buyer or seller receives alternative wiring instructions that appear to be from First American Title, make sure they contact their escrow officer at a trusted phone number for confirmation.

Know that our wiring instructions do not change so any communication is suspect. Our banking institution is First American Trust.

IN SHORT – wire instructions will not be accepted by email. New wire instructions must be hand-carried or uploaded to the First American Secure Portal.

Thank you for joining First American Title in fostering a secure real estate transaction process. Have questions or concerns? Please contact our office or your escrow officer.

LIMITATION OF LIABILITY FOR INFORMATIONAL REPORTS

IMPORTANT -- PLEASE READ CAREFULLY:

This report is not an insured product or service or a representation of the condition of title to real property. It is not an abstract, legal opinion, opinion of title, title insurance commitment or preliminary report, or any form of Title Insurance or Guaranty. This report is issued exclusively for the benefit of the Applicant therefor and may not be used or relied upon by any other person. This report may not be reproduced in any manner without First Americans prior written consent. First American does not represent or warrant that the information herein is complete or free from error, and the information herein is provided without any warranties of any kind, as-is, and with all faults. As a material part of the consideration given in exchange for the issuance of this report, recipient agrees that First Americans sole liability for any loss or damage caused by an error or omission due to inaccurate information or negligence in preparing this report shall be limited to the fee charged for the report. Recipient accepts this report with this limitation and agrees that First American would not have issued this report but for the limitation of liability described above. First American makes no representation or warranty as to the legality or propriety of recipient's use of the information herein.

Subject Property

8300 E Dixileta Dr # 235 Scottsdale AZ

Data Provided By: First American Title Ins Co

Disclaimer

This REiSource report is provided "as is" without warranty of any kind, either express or implied, including without limitations any warrantees of merchantability or fitness for a particular purpose. There is no representation of warranty that this information is complete or free from error, and the provider does not assume, and expressly disclaims, any liability to any person or entity for loss or damage caused by errors or omissions in this REiSource report without a title insurance policy.

The information contained in the REiSource report is delivered from your Title Company, who reminds you that you have the right as a consumer to compare fees and serviced levels for Title, Escrow, and all other services associated with property ownership, and to select providers accordingly. Your home is the largest investment you will make in your lifetime and you should demand the very best.

Subject Property :   8300 E Dixileta Dr # 235 Scottsdale AZ 85266

Owner Information

Owner Name : Jeffrey A Smith / Judith Gaines Smith

Mailing Address : 8300 E Dixileta Dr Unit 235, Scottsdale AZ 85266-2276 R074

Vesting Codes : / / Revocable Trust

Owner Occupied Indicator : O

Location Information

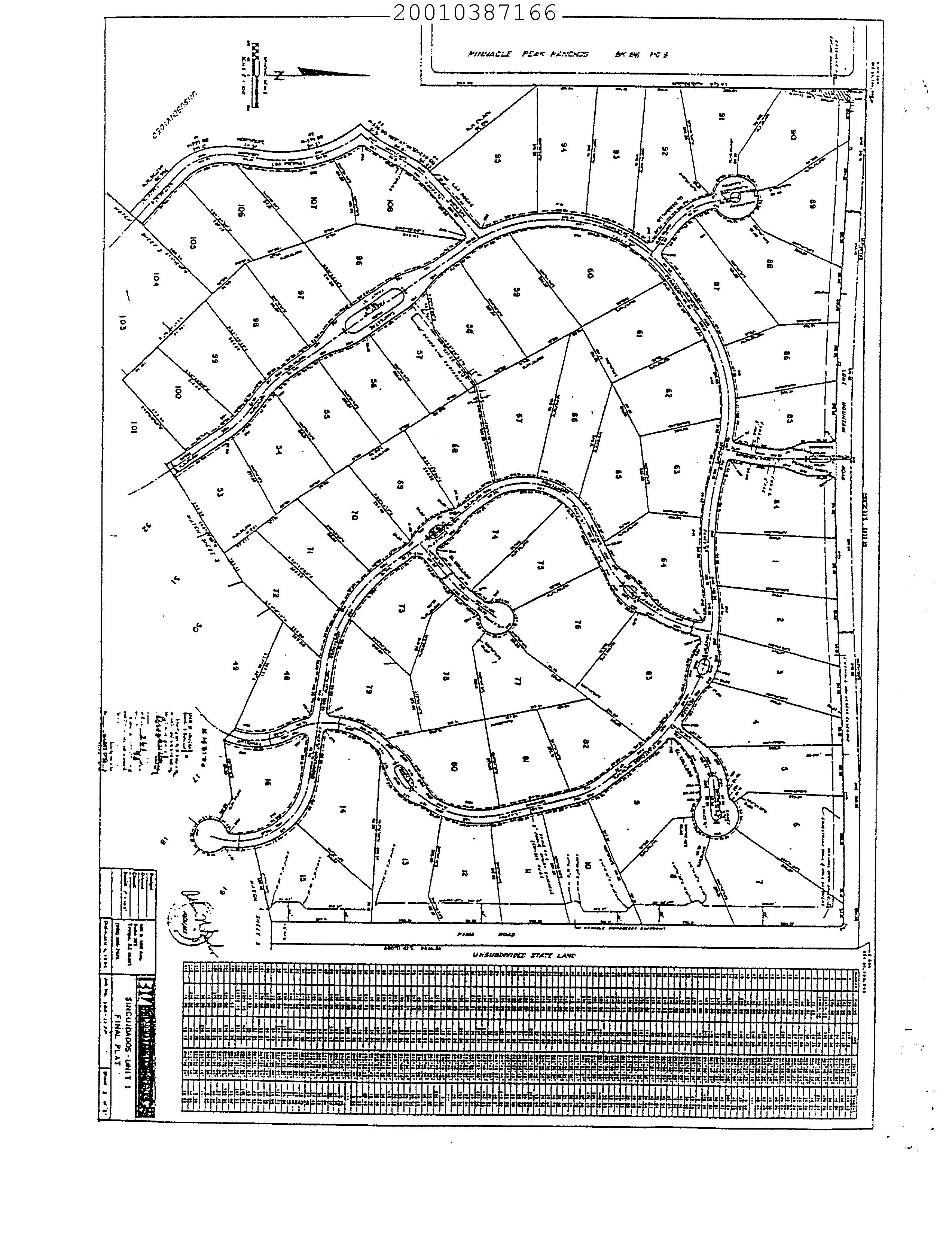
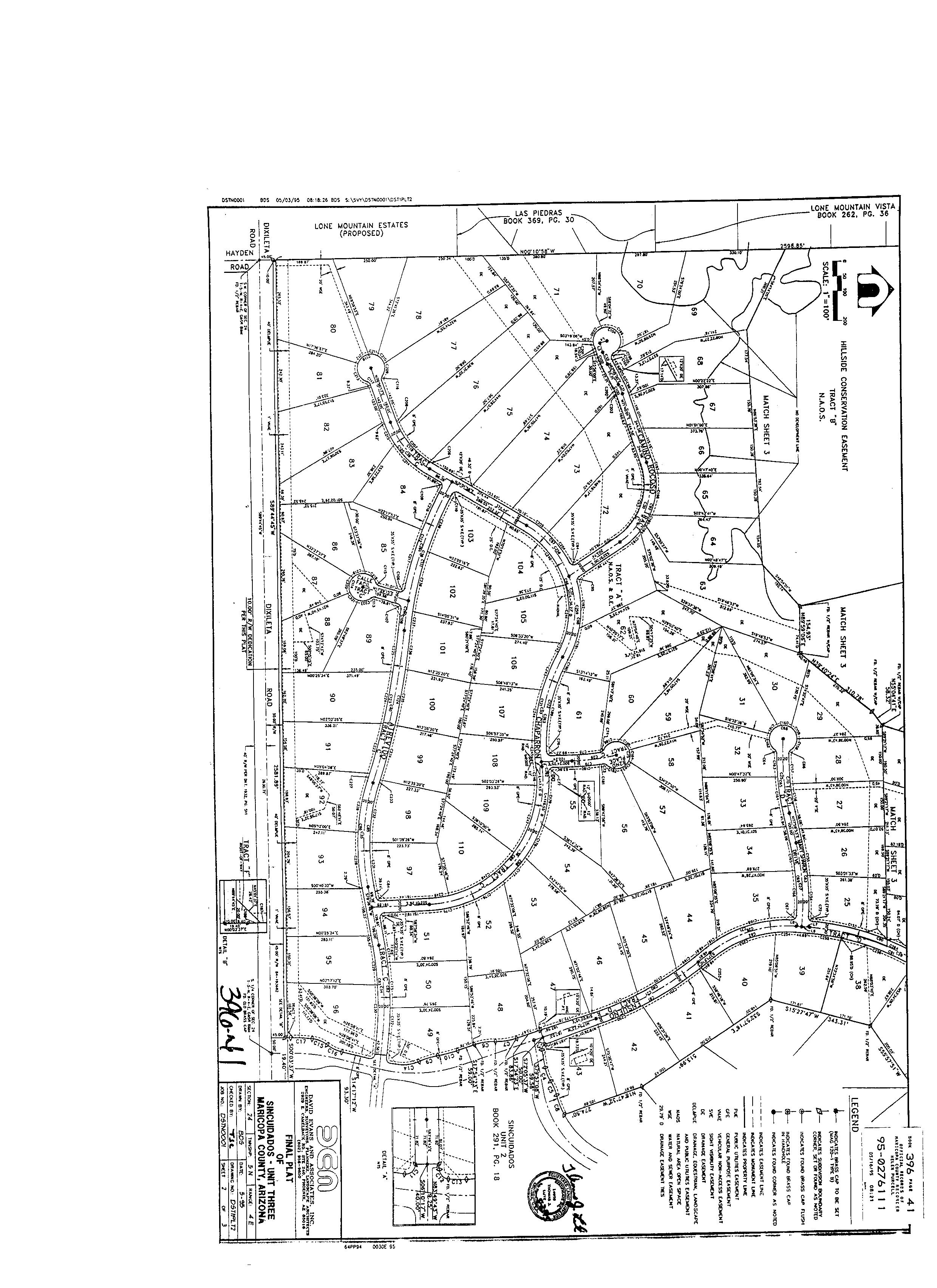
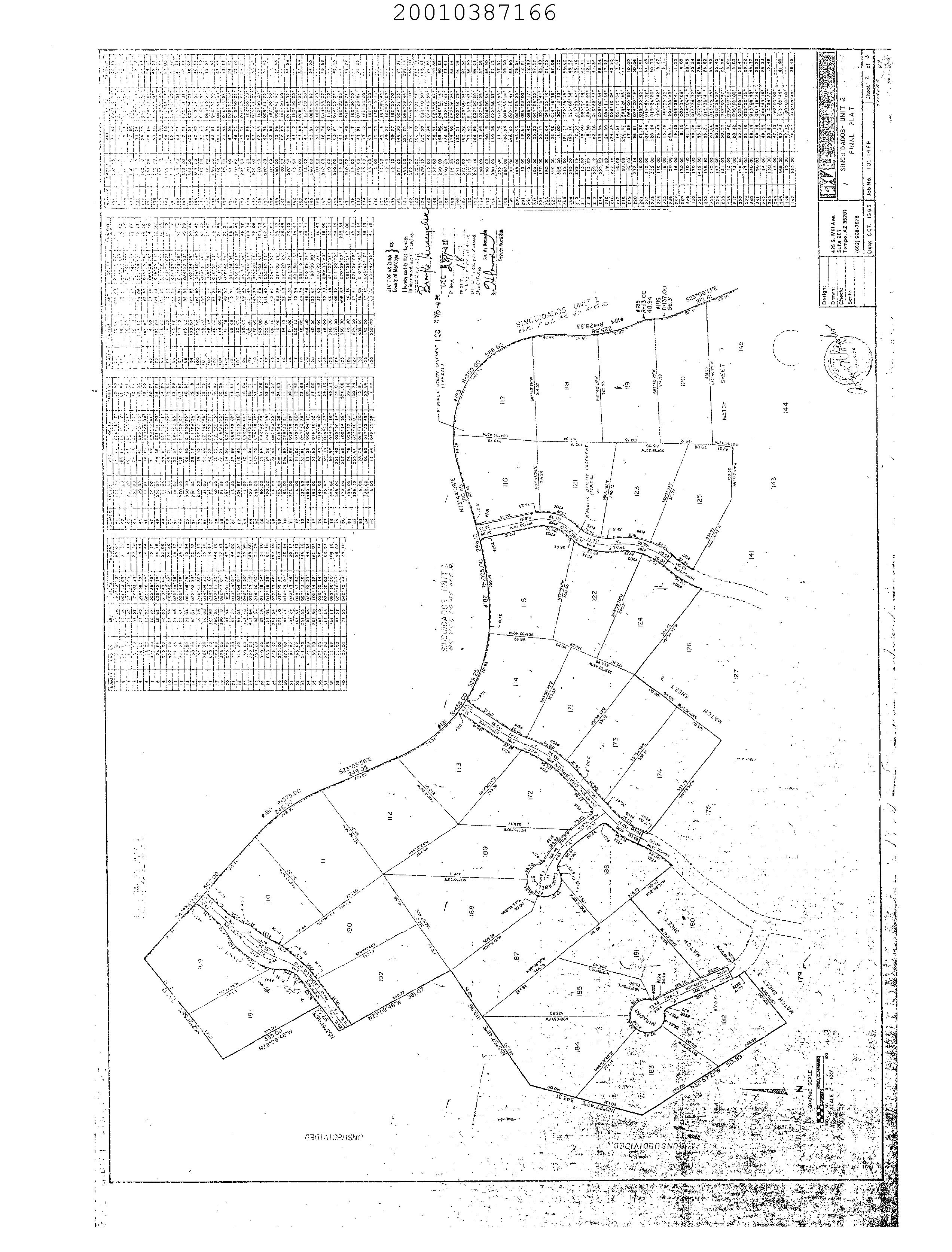
Legal Description : Lot 35 Sincuidados Unit Three Mcr 396-41

County : Maricopa, Az

Census Tract / Block : 2168.22 / 1

Township-Range- Sect : 05N-04E-24

Legal Lot : 35

APN : 216-65-261

Last Market Sale Information

Subdivision : Sincuidados Unit Three

Map Reference : 39641

School District : Cave Creek 93

Munic/Township : Scottsdale

Neighbor Code : 20-008

Recording/Sale Date : 08/29/2018 / 08/24/2018 1st Mtg Amount/Type : $700,000 / Cnv

Sale Price : $1,100,000 1st Mtg Document # : 652599

Document # : 652598 1st Mtg Term : 15

Deed Type : Warranty Deed Price Per SqFt : $254.81

Title Company : Equity Title Agency

Seller Name : Glenn Lawrence M & Wanda C

Prior Sale Information

Prior Rec/Sale Date : 12/30/1997 / 12/00/1997

Prior Sale Price : $152,900

Prior Doc Number : 913822

Prior Deed Type : Sheriff's Deed

Prior Lender : No New Mtg

Property Characteristics

Gross Area : 4,317

Living Area : 4,317

Total Rooms : 8

Year Built / Eff : 2002

# of Stories : 1

Parking Type : Garage

Property Information

Land Use : Sfr

Zoning : R1-43

Lot Acres : 1.11

Tax Information

Garage Capacity : 3

Roof Material : Built-up

Heat Type : Forced Air

Cooling Type : Forced Air

Exterior wall : Frame Wood

Patio Type : Covered Patio

Lot Size : 48,291

Pool : Pool

Air Cond : Refrigeration

Quality : Excellent

Condition : Average

Bath Fixtures : 13

Pool Size : 353

Sewer Type : Public Service

Water Type : Type Unknown State Use : Single Fam Resurban Subd ( 6 )

Total Value : $984,500 Assessed Year : 2022 Tax Rate Area : 931400 Land Value : $196,900

Company Name : First American Prepared On : 09/11/2024

8300 E DIXILETA DR # 234

Owner Name : Mary Jack

0.03 Miles

Subdivision : Sincuidados Unit Three

Total Value : $862,700 Property Tax : $4,309.04

Bed / Bath : / 5

Land Use : Sfr

Acres : 0.90

Area : 4,175

Stories : 1 APN : 216-65-260

2000 /

8300 E DIXILETA DR # 245

Owner Name : Mary Kirk

Sale Date : 03/31/2008

Subdivision : Sincuidados Unit Three

Recording Date : 04/07/2008

Total Value : $1,141,500 Sale Price  : $1,280,000

Bed / Bath : / 7

Land Use : Sfr

Stories : 1

8300 E DIXILETA DR # 240

/

Owner Name : Mathews David E

Tax : $4,271.70

Acres : 1.02

Recording Date : 01/05/1996

Total Value : $941,100 Sale Price  : $111,625

Bed / Bath : / 5

Land Use : Sfr

Tax : $4,813.22

Acres : 1.08

Stories : 1 Living Area : 3,781

Yr Blt / Eff Yr Blt : 2004 / APN : 216-65-266

Subdivision  : Sincuidados Unit Three

8300 E DIXILETA DR # 239 Distance 0.05 Miles

Owner Name : Wistner Alison Trust

Sale Date : 01/00/2003

Subdivision : Sincuidados Unit Three

Recording Date : 01/08/2003

Total Value : $975,200 Sale Price  : $1,055,000

Bed / Bath : / 6

Tax : $5,009.36

Land Use : Sfr Lot Acres : 1.07

Stories : 1 Living Area : 4,036

Yr Blt / Eff Yr Blt : 2002 / APN : 216-65-265 Customer Name : Jeremiah Stiffler Customer Company Name : First American Prepared On : 09/11/2024

8300 E DIXILETA DR # 225 Distance 0.05 Miles

Owner Name : Peter

Sale Date : 12/21/2016

Subdivision : Sincuidados Unit Three

Recording Date : 01/17/2017

Total Value : $1,042,600 Sale Price  : $1,280,000

Bed / Bath : / 6

Land Use : Sfr

Stories : 1

Tax : $5,397.06

Acres : 1.00

Area : 4,574 Yr Blt / Eff Yr Blt : 2006 /

216-65-251

8300 E DIXILETA DR # 233 Distance 0.06 Miles

Owner Name : Richard W Occonnor

Sale Date : 01/26/2021

Subdivision : Sincuidados Unit Three

Recording Date : 02/08/2021

Total Value : $1,109,500 Sale Price  : $2,000,000

Bed / Bath : / 5

Land Use : Sfr

Stories : 1

Tax : $4,184.38

Acres : 1.00

Area : 5,258 Yr Blt / Eff Yr Blt : 1999 / APN : 216-65-259

8300 E DIXILETA DR # 226 Distance 0.06 Miles

Owner Name : Weinmeister Ondieki Community

Sale Date : 06/00/1998

Total Value : $930,700

Bed / Bath : / 5

Land Use : Sfr

Stories : 1

Subdivision : Sincuidados Unit Three

Recording Date : 07/07/1998

Price  : $151,955

Tax : $4,753.38

Acres : 1.00

Area : 4,184 Yr Blt / Eff Yr Blt : 2001 / APN : 216-65-252

Name : Jeremiah Stiffler Customer Company Name : First American Prepared On : 09/11/2024

8300 E DIXILETA DR # 257 Distance 0.07 Miles

Owner Name : Ulery Edson L

Sale Date : 07/07/2010

Subdivision : Sincuidados Unit Three

Recording Date : 07/16/2010

Total Value : $794,500 Sale Price  : $915,000

Bed / Bath : / 4

Land Use : Sfr

Tax : $4,667.06

Acres : 1.28 Stories : 1

3,373 Yr Blt / Eff Yr Blt : 1998 /

216-65-289

8300 E MARY SHARON DR Distance 0.08 Miles

Owner Name : Sincuidados Homeowners Associa

Subdivision : Sincuidados Unit Three

Total Value : $500 Lot Acres : 3.08 Land Use : Open Space

216-65-285

8300 E DIXILETA DR # 246 Distance 0.08 Miles

Owner Name : Madrid Kenneth M

Sale Date : 12/06/2004

Subdivision : Sincuidados Unit Three

Recording Date : 12/15/2004

Total Value : $1,063,000 Sale Price  : $1,650,000 Bed / Bath : / 5

Land Use : Sfr

Stories : 1

Tax : $5,514.36

Acres : 1.04

Area : 4,543 Yr Blt / Eff Yr Blt : 2000 / APN : 216-65-271

Name : Jeremiah Stiffler

Census Tract / block: 2168.22 / 1     Year: 2020

Arizona Schools

SEARCH PARAMETERS

PARCEL:  216-65-261

PARCEL: 216-65-261 1

OWNER: SMITH JEFFREY A & JUDITH GA     2018 652598 08/29/2018

SITUS: 8300 E DIXILETA DR UNIT 235 SCOTTSDALE

MAIL: 8300 E DIXILETA DR  SCOTTSDALE AZ 85266

PLAT: 396 -   41 LOT    35

LEGAL: SINCUIDADOS UNIT THREE MCR 396-41

SALES

1997 912246 SD

ADDITIONAL PROPERTY INFORMATION

END SEARCH

Covenants, Conditions & Restrictions

Thank you for the opportunity to be of service.

Restrictions indicating a preference, limitation or discrimination based on race, color, religion, sex, handicap, familial status, or national origin are hereby deleted to the extent such restrictions violate 42 USC 3604(c).

This information is furnished without fee and without benefit of a complete title search. No liability is assumed by First American Title. If it is desired that liability be assumed, you may apply for a policy of title insurance with First American Title Insurance Company.

Turn static files into dynamic content formats.

Create a flipbook
Issuu converts static files into: digital portfolios, online yearbooks, online catalogs, digital photo albums and more. Sign up and create your flipbook.