7968 W Sheena Dr digital listing kit

Page 1


WIRE FRAUD ALERT THINK DIFFERENTLY

Email-based, real estate fraud schemes are on the rise. One common scenario is altering wiring instructions with the intention of rerouting funds.

Keeping this in mind, First American Title is changing the way we receive payment information. It is imperative that we are familiar with the people in our transactions.

RELYING ON EMAIL ALONE IS NO LONGER AN OPTION.

Fraudsters often use email to send falsified wire instructions to unsuspecting victims. Please warn your buyers and sellers to only follow wire instructions they receive personally from First American Title.

Additionally, we will not accept disbursement instructions for seller or buyer funds via email OR from any third party (attorney, real estate agent, etc).

ALTERNATIVE INSTRUCTIONS?

If your buyer or seller receives alternative wiring instructions that appear to be from First American Title, make sure they contact their escrow officer at a trusted phone number for confirmation.

Know that our wiring instructions do not change so any communication is suspect. Our banking institution is First American Trust.

IN SHORT – wire instructions will not be accepted by email. New wire instructions must be hand-carried or uploaded to the First American Secure Portal.

Thank you for joining First American Title in fostering a secure real estate transaction process. Have questions or concerns? Please contact our office or your escrow officer.

LIMITATION OF LIABILITY FOR INFORMATIONAL REPORTS

IMPORTANT -- PLEASE READ CAREFULLY:

This report is not an insured product or service or a representation of the condition of title to real property. It is not an abstract, legal opinion, opinion of title, title insurance commitment or preliminary report, or any form of Title Insurance or Guaranty. This report is issued exclusively for the benefit of the Applicant therefor and may not be used or relied upon by any other person. This report may not be reproduced in any manner without First Americans prior written consent. First American does not represent or warrant that the information herein is complete or free from error, and the information herein is provided without any warranties of any kind, as-is, and with all faults. As a material part of the consideration given in exchange for the issuance of this report, recipient agrees that First Americans sole liability for any loss or damage caused by an error or omission due to inaccurate information or negligence in preparing this report shall be limited to the fee charged for the report. Recipient accepts this report with this limitation and agrees that First American would not have issued this report but for the limitation of liability described above. First American makes no representation or warranty as to the legality or propriety of recipient's use of the information herein.

Disclaimer

This REiSource report is provided "as is" without warranty of any kind, either express or implied, including without limitations any warrantees of merchantability or fitness for a particular purpose. There is no representation of warranty that this information is complete or free from error, and the provider does not assume, and expressly disclaims, any liability to any person or entity for loss or damage caused by errors or omissions in this REiSource report without a title insurance policy.

The information contained in the REiSource report is delivered from your Title Company, who reminds you that you have the right as a consumer to compare fees and serviced levels for Title, Escrow, and all other services associated with property ownership, and to select providers accordingly. Your home is the largest investment you will make in your lifetime and you should demand the very best.

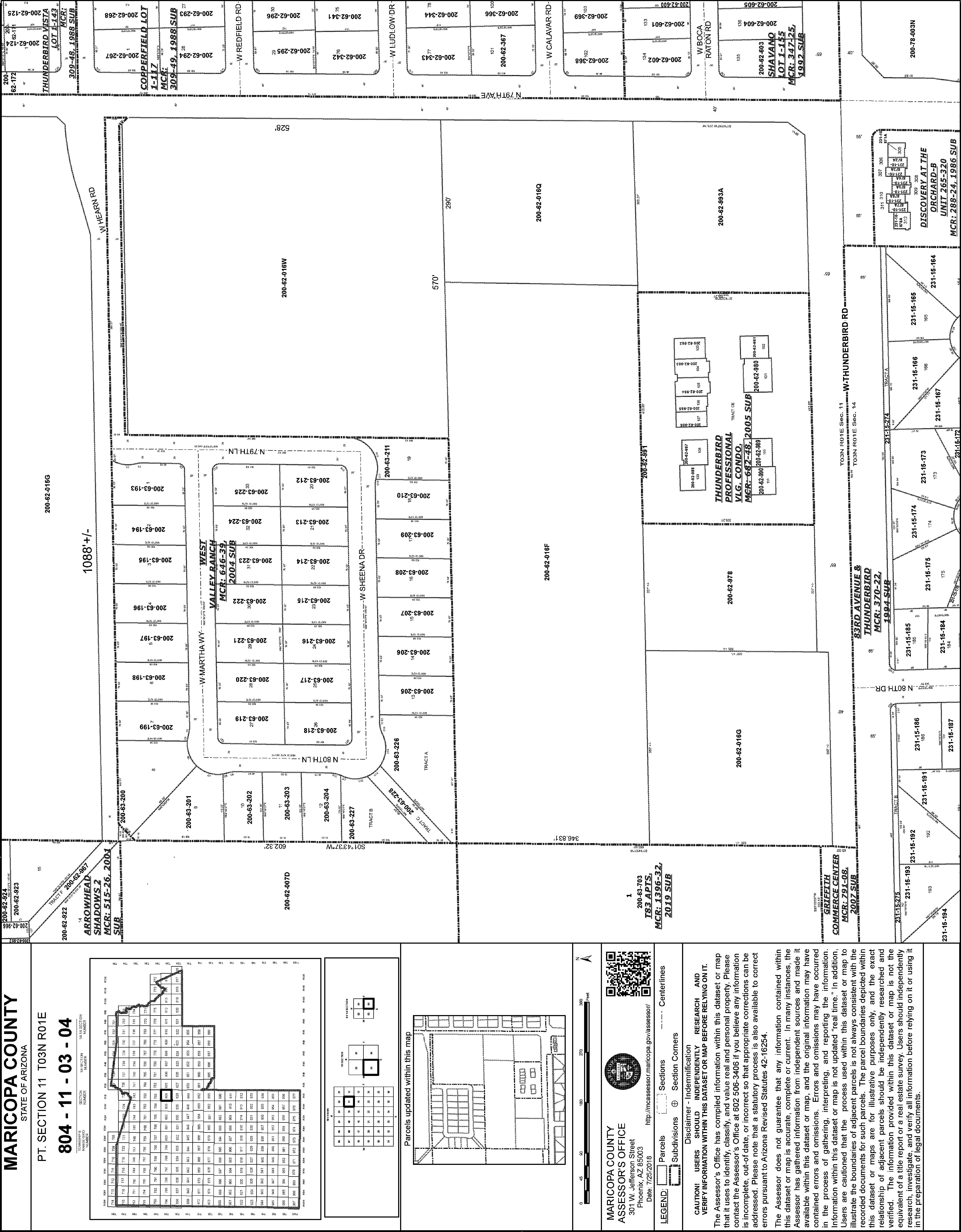
Subject Property :   7968 W Sheena Dr Peoria AZ 85381

Owner Information

Owner Name : Harrawy Yvette / Harrawy Arnold

Mailing Address : 7968 W Sheena Dr, Peoria AZ 85381-4340 C032

Owner Occupied Indicator : O

Location Information

Legal Description : Lot 20 West Valley Ranch Mcr 64639

County : Maricopa, Az

Census Tract / Block : 715.09 / 2

Township-Range- Sect : 03N-01E-11

Legal Lot : 20

APN : 200-63-212

Owner Transfer Information

Recording/Sale Date : 04/12/2006 / 04/10/2006

Document # : 488493

Last Market Sale Information

Recording/Sale Date : 06/30/2004 / 06/28/2004

Sale Price : $234,968

Subdivision : West Valley Ranch

Map Reference : 64639

School District : Peoria 11

Munic/Township : Peoria

Neighbor Code : 06-001

Deed Type : Warranty Deed

1st Mtg Int. Rate/Type : 7.75% / Adjustable Int Rate Loan

1st Mtg Document # : 752675

Document # : 752674 1st Mtg Term : 30

Deed Type : Special Warranty Deed

1st Mtg Amount/Type : $238,450 / Cnv

Title Company : Stewart Title & Tr/phoenix

Lender : Stonecreek Fndg Corp

Seller Name : Marlor Land Co Inc

Price Per SqFt : $101.50

Property Characteristics

Gross Area : 2,315

Living Area : 2,315

Total Rooms : 7

Year Built / Eff : 2004

# of Stories : 1

Parking Type : Garage

Property Information

Land Use : Sfr

Zoning : R1-8

Lot Acres : 0.21

Tax Information

Total

Garage Capacity : 3

Pool : Pool

Roof Material : Concrete Tile Air Cond : Refrigeration

Heat Type : Forced Air

Cooling Type : Forced Air

Exterior wall : Frame Wood

Patio Type : Covered Patio

Lot Size : 8,961

Site Influence : Corner

Water Influence : Corner

2023

Quality : Good

Condition : Average

Bath Fixtures : 8

Pool Size : 412

Water Type : Type Unknown

Sewer Type : Septic Tank

State Use : Single Fam Resurban Subd ( 4 )

111228

Details of Comparables

Subject Property: 7968 W Sheena Dr Peoria Az 85381

Owner Name: Harrawy Yvette /Harrawy Arnold

APN / Alternate APN: 200-63-212 / Deed Type: Special Warranty Deed

Subdivision / Tract: West Valley Ranch / Lot Size: 8,961

Rec. Date / Price: 06/30/2004 / $234,968 Living Area: 2,315

Document #: 752674

Total Tax Value: $479,600

#1   8032 W Sheena Dr Peoria Az 85381

Land Use: Sfr

Year Built / Eff: 2004 /

# of units:

Bedrooms: Pool: Pool

Bath(F/H): /

Owner Name: Paily Princy /Paraekilukkan Jiji S

APN / Alternate APN: 200-63-216 / Deed Type: Warranty Deed

Subdivision / Tract: West Valley Ranch / Lot Size: 8,404

Rec. Date / Price: 04/26/2024 / $515,500 Living Area: 2,061

Document #: 219712

Total Tax Value: $454,300

#2   7826 W Ludlow Dr Peoria Az 85381

Land Use: Sfr

Year Built / Eff: 2004 /

# of units:

Bedrooms:

Bath(F/H): /

Owner Name: Mccartney Tod /Mccartney Andrea

APN / Alternate APN: 200-62-336 / Deed Type: Warranty Deed

Subdivision / Tract: Copperfield Lt 1-117 / Lot Size: 13,034

Rec. Date / Price: 03/15/2024 / $625,000 Living Area: 2,195

Document #: 135490

Total Tax Value: $463,000

#3   8055 W Voltaire Ave Peoria Az 85381

Owner Name: Kathem Mohamed /

Land Use: Sfr

Year Built / Eff: 1987 /

# of units:

Bedrooms: Pool: Pool

Bath(F/H): /

APN / Alternate APN: 231-15-216 / Deed Type: Warranty Deed

Subdivision / Tract: 83rd Ave & Thunderbird / Lot Size: 7,688

Rec. Date / Price: 10/16/2024 / $410,000 Living Area: 2,337

Document #: 550480

Land Use: Sfr

Year Built / Eff: 1995 /

# of units:

Bedrooms:

Total Tax Value: $430,000 Bath(F/H): /

#4   13601 N 79th Ln Peoria Az 85381

Owner Name: Aguilar Gabriel /Aguilar Toni R

APN / Alternate APN: 231-15-158 / Deed Type: Warranty Deed

Subdivision / Tract: 83rd Ave & Thunderbird / Lot Size: 6,573

Rec. Date / Price: 09/12/2024 / $464,000 Living Area: 1,997

Document #: 485235

Total Tax Value: $396,000

Land Use: Sfr

Year Built / Eff: 1994 /

# of units:

Bedrooms:

/

#5   14329 N 78th Ave Peoria Az 85381

Owner Name: Avram Nicu /Avram Nicoleta N

APN / Alternate APN: 200-62-189 / Deed Type: Warranty Deed

Subdivision / Tract: Thunderbird Vista Lt 1-143 / Lot Size: 9,434

Rec. Date / Price: 09/11/2024 / $545,000 Living Area: 2,159

Document #: 481995

Total Tax Value: $404,300

#6   8121 W Rue De Lamour Peoria Az 85381

Owner Name: Curnow Mark /Baker Toni

Land Use: Sfr

Year Built / Eff: 1990 /

# of units:

Bedrooms: Pool:

Bath(F/H): /

APN / Alternate APN: 231-15-226 / Deed Type: Warranty Deed

Subdivision / Tract: 83rd Ave & Thunderbird / Lot Size: 6,913

Rec. Date / Price: 03/22/2024 / $520,000 Living Area: 2,337

Document #: 148055

Total Tax Value: $425,600

#7   8122 W Eugie Ave Peoria Az 85381

Owner Name: Khalaf Ali Y /Alyasiry Mara W

Land Use: Sfr

Year Built / Eff: 1995 /

# of units:

Bedrooms: Pool:

Bath(F/H): /

APN / Alternate APN: 231-15-255 / Deed Type: Warranty Deed

Subdivision / Tract: 83rd Ave & Thunderbird / Lot Size: 7,139

Rec. Date / Price: 09/23/2024 / $490,000 Living Area: 1,997

Document #: 504647

Total Tax Value: $412,100

#8   7822 W Alexandria Way Peoria Az 85381

Owner Name: Murtic Ismet /Murtic Hanka

Bedrooms:

Bath(F/H): /

APN / Alternate APN: 231-15-351 / Deed Type: Warranty Deed

Subdivision / Tract: Steeple Hill Amd / Lot Size: 8,693

Rec. Date / Price: 03/19/2024 / $513,000 Living Area: 2,322

Document #: 139806

Total Tax Value: $425,600

#9   7934 W Banff Ln Peoria Az 85381

Land Use: Sfr

Year Built / Eff: 1994 /

# of units:

Pool: Pool

Land Use: Sfr

Year Built / Eff: 1996 /

# of units:

Bedrooms:

Bath(F/H): /

Owner Name: Sandoval Ramiro G / APN / Alternate APN: 200-62-096 / Deed Type: Warranty Deed

Subdivision / Tract: Thunderbird North Unit 2 / Lot Size: 46,994

Rec. Date / Price: 12/28/2023 / $695,000 Living Area: 2,405

Document #: 659422

Land Use: Sfr

Year Built / Eff: 1976 /

# of units:

Bedrooms:

Total Tax Value: $577,200 Bath(F/H): /

#10   7641 W Boca Raton Rd Peoria Az 85381

Owner Name: Smith Bryler E /Ibarra-martinez Alejandro

APN / Alternate APN: 200-62-575 / Deed Type: Warranty Deed

Subdivision / Tract: Shavano Lt 1-155 / Lot Size: 7,279

Land Use: Sfr

Year Built / Eff: 1993 / Rec. Date / Price: 04/08/2024 / $489,900 Living Area: 2,009

Document #: 179533

Total Tax Value: $380,800

#11   14801 N 82nd Ln Peoria Az 85381

# of units:

Bedrooms:

Bath(F/H): /

Owner Name: Merin Italia & Clayton /Martin Clayton

APN / Alternate APN: 200-62-108 / Deed Type: Warranty Deed

Subdivision / Tract: Thunderbird North Unit 2 / Lot Size: 42,353

Rec. Date / Price: 07/02/2024 / $720,000 Living Area: 2,060

Document #: 353234

Total Tax Value: $609,100

#12   7540 W Hearn Rd Peoria Az 85381

Land Use: Sfr

Year Built / Eff: 1973 /

# of units:

Bedrooms:

Bath(F/H): /

Owner Name: Schmidt Robert B /Schmidt Katelynn N

APN / Alternate APN: 200-62-249 / Deed Type: Warranty Deed

Subdivision / Tract: Thunderbird Vista Lt 1-143 / Lot Size: 7,684

Rec. Date / Price: 11/03/2023 / $520,000 Living Area: 2,159

Document #: 572517

Total Tax Value: $414,600

#13   7744 W Surrey Ave Peoria Az 85381

Owner Name: Pro 10-22 2 Llc /

Bedrooms:

Bath(F/H): /

APN / Alternate APN: 200-78-756 / Deed Type: Warranty Deed

Subdivision / Tract: Ridgemere Lt 1-154 / Lot Size: 8,120

Rec. Date / Price: 12/15/2023 / $470,000 Living Area: 2,489

Document #: 638657

Total Tax Value: $425,500

#14   7543 W Eugie Ave Peoria Az 85381

Bedrooms:

Bath(F/H): /

Owner Name: Denney David R / APN / Alternate APN: 231-15-416 / Deed Type: Special Warranty Deed

Subdivision / Tract: Crosswinds / Lot Size: 7,920

Rec. Date / Price: 08/15/2024 / $565,000 Living Area: 2,644

Document #: 434510

Land Use: Sfr

Year Built / Eff: 1992 /

# of units:

Pool:

Land Use: Sfr

Year Built / Eff: 1987 /

# of units:

Pool

Land Use: Sfr

Year Built / Eff: 1999 /

# of units:

Bedrooms:

Total Tax Value: $491,200 Bath(F/H): /

#15   13050 N 77th Ave Peoria Az 85381

Owner Name: Wensel Ashle /Wensel David

APN / Alternate APN: 200-78-659 / Deed Type: Warranty Deed

Subdivision / Tract: Ridgemere Lt 1-154 / Lot Size: 8,032

Rec. Date / Price: 04/10/2024 / $450,000 Living Area: 2,489

Document #: 186492

Total Tax Value: $405,800

#16   13427 N 75th Dr Peoria Az 85381

Bedrooms:

Bath(F/H): /

Owner Name: Oberman Alyssa /Braegelman Adam S

APN / Alternate APN: 231-15-411 / Deed Type: Warranty Deed

Subdivision / Tract: Crosswinds / Lot Size: 8,050

Rec. Date / Price: 08/20/2024 / $515,000 Living Area: 2,097

Document #: 443194

Total Tax Value: $447,300

#17   8426 W Willow Ave Peoria Az 85381

Land Use: Sfr

Year Built / Eff: 1987 /

# of units:

Pool: Pool

Land Use: Sfr

Year Built / Eff: 1999 /

# of units:

Bedrooms: Pool: Pool

Bath(F/H): /

Owner Name: Borisova Ekaterina / APN / Alternate APN: 200-79-501 / Deed Type: Warranty Deed

Subdivision / Tract: Pivotal Peoria Center

Lt 1-297 Tr A-d / Lot Size: 6,752

Rec. Date / Price: 04/15/2024 / $440,000 Living Area: 2,525

Document #: 194191

Total Tax Value: $425,600

#18   7521 W Willow Ave Peoria Az 85381

Land Use: Sfr

Year Built / Eff: 1993 /

# of units:

Bedrooms:

Bath(F/H): /

Owner Name: Engquist David /Engquist Anna APN / Alternate APN: 231-10-091 / Deed Type: Warranty Deed

Subdivision / Tract: Finisterre West Two / Lot Size: 8,211

Rec. Date / Price: 10/11/2024 / $550,000 Living Area: 2,619

Document #: 542024

Land Use: Sfr

Year Built / Eff: 1989 /

# of units:

Bedrooms:

Total Tax Value: $426,100 Bath(F/H): /

#19   12911 N 79th Ave Peoria Az 85381

Owner Name: Cipra Matthew S /Cipra Linh L APN / Alternate APN: 200-78-476 / Deed Type: Warranty Deed

Subdivision / Tract: Windmill Lts 1 Through 154 / Lot Size: 9,439

Rec. Date / Price: 10/11/2024 / $440,000 Living Area: 1,974

Document #: 543313

Land Use: Sfr

Year Built / Eff: 1986 /

# of units:

Bedrooms:

Total Tax Value: $382,000 Bath(F/H): /

#20   8417 W Willow Ave Peoria Az 85381

Owner Name: Lmanatue Loveline / APN / Alternate APN: 200-79-491 / Deed Type: Warranty Deed

Subdivision / Tract: Pivotal Peoria Center Lt 1-297 Tr A-d /

Lot Size: 6,965

Rec. Date / Price: 08/16/2024 / $615,000 Living Area: 2,525

Document #: 436650

Total Tax Value: $437,000

Land Use: Sfr

Year Built / Eff: 1992 /

# of units:

Bedrooms: Pool: Pool

Bath(F/H): /

7999 W MARTHA WAY

Owner Name : Tudur

Sale Date : 04/00/2004

Total Value : $529,600

Bed / Bath : / 5

Land Use : Sfr

Stories : 2

Owner Name : Beck John Randall

Sale Date : 12/21/2019

Subdivision : West Valley Ranch

Recording Date : 04/20/2004

Price  : $246,213

Tax : $2,452.96

Acres : 0.19

3,114

Subdivision : West Valley Ranch

Recording Date : 02/10/2020

Total Value : $466,000 Sale Price  : $38,900 Bed / Bath : / 3

Tax : $2,041.18

W

Land Use : Sfr

0.21 Stories : 1

Owner Name : Bordenkircher Nathaniel

Sale Date : 03/30/2015

Total Value : $551,700

Subdivision : West Valley Ranch

Recording Date : 04/09/2015

Price  : $335,000

Bed / Bath : / 5 Property Tax : $2,658.14

Land Use : Sfr Lot Acres : 0.21

Stories : 2 Living Area : 3,114 Yr Blt / Eff Yr Blt : 2004 / APN : 200-63-194

8027 W SHEENA DR

Owner Name : Parrish Heather

Sale Date : 03/02/2004

Subdivision : West Valley Ranch

Recording Date : 03/10/2004

Total Value : $506,600 Sale Price  : $235,486

Bed / Bath : / 4 Property Tax : $2,351.84

Land Use : Sfr Lot Acres : 0.21

Stories : 1 Living Area : 2,315

Yr Blt / Eff Yr Blt : 2004 / APN : 200-63-207

:

Name : Lisa Mrazek

8031 W MARTHA WAY

Owner Name : Thiara Sukhvinder S

Sale Date : 08/25/2021

Total Value : $480,800

W

Subdivision : West Valley Ranch

Recording Date : 09/15/2021

Price  : $499,900 Bed / Bath : / 4

$2,535.08 Land Use : Sfr

Owner Name : Lozoya Frank Saul

Sale Date : 08/21/2018

Total Value : $503,600

/ Bath : / 4

Sfr

2

W MARTHA WAY

Owner Name : Bui Vi

Sale Date : 08/26/2021

Total Value : $533,500

Bed / Bath : / 5

Land Use : Sfr

Stories : 2

Blt / Eff Yr Blt : 2004 /

Owner Name : Quail Run Owner Llc

Sale Date : 10/31/2023

Total Value : $814,900

Subdivision : West Valley Ranch

Recording Date : 09/19/2018

Price  : $329,000

0.21

Subdivision : West Valley Ranch

Recording Date : 08/30/2021

Price  : $510,000

Tax : $2,469.38

Acres : 0.21

Area : 3,114

Price  : $24,000,000

Tax : $4,195.78

Acres : 2.31

Land Use : Residential (nec) APN : 200-62-016-Q

Recording Date  : 10/31/2023

7966 W THUNDERBIRD RD Distance 0.13 Miles

Owner Name : Advantage & Credit Reporting I

Recording Date : 09/21/2005

Sale Date : 09/19/2005 Sale Price  : $380,000

Total Value : $482,200

Land Use : Office Condo

Stories : 1

Yr Blt / Eff Yr Blt : 2004 / 2004

Subdivision  : Thunderbird Professional Village Condo

Tax : $4,714.52

Acres : 0.05

Area : 4,049

200-62-988

7966 W THUNDERBIRD RD Distance 0.13 Miles

Owner Name : Basic Beats Holdings Llc

Recording Date : 10/27/2004

Sale Date : 10/24/2004 Sale Price  : $488,000 Total Value : $369,600

Land Use : Office Condo

Stories : 1

Yr Blt / Eff Yr Blt : 2004 / 2004

Subdivision  : Thunderbird Professional Village Condo

Tax : $3,663.40

Acres : 0.04

Area : 9,064

200-62-985

Census Tract / block: 715.09 / 2     Year: 2020

Arizona Schools

SEARCH PARAMETERS

PARCEL:  200-63-212

PARCEL: 200-63-212 0

OWNER: HARRAWY YVETTE/ARNOLD     2006 484493 04/12/2006

SITUS: 7968 W SHEENA DR PEORIA

MAIL: 7968 W SHEENA DR  PEORIA, AZ 85381

PLAT: 646 -   39 LOT    20

LEGAL: WEST VALLEY RANCH MCR 64639

CURRENT TAXES

NO SALES

ADDITIONAL PROPERTY INFORMATION STANDARD LAND USE: SFR

END SEARCH

INFORMATION THROUGH 10/18/2024

Turn static files into dynamic content formats.

Create a flipbook
Issuu converts static files into: digital portfolios, online yearbooks, online catalogs, digital photo albums and more. Sign up and create your flipbook.