Subject Property
WIRE FRAUD ALERT THINK DIFFERENTLY
Email-based, real estate fraud schemes are on the rise. One common scenario is altering wiring instructions with the intention of rerouting funds.
Keeping this in mind, First American Title is changing the way we receive payment information. It is imperative that we are familiar with the people in our transactions.
RELYING ON EMAIL ALONE IS NO LONGER AN OPTION.
Fraudsters often use email to send falsified wire instructions to unsuspecting victims. Please warn your buyers and sellers to only follow wire instructions they receive personally from First American Title.
Additionally, we will not accept disbursement instructions for seller or buyer funds via email OR from any third party (attorney, real estate agent, etc).
ALTERNATIVE INSTRUCTIONS?
If your buyer or seller receives alternative wiring instructions that appear to be from First American Title, make sure they contact their escrow officer at a trusted phone number for confirmation.
Know that our wiring instructions do not change so any communication is suspect. Our banking institution is First American Trust.
IN SHORT – wire instructions will not be accepted by email. New wire instructions must be hand-carried or uploaded to the First American Secure Portal.
Thank you for joining First American Title in fostering a secure real estate transaction process. Have questions or concerns? Please contact our office or your escrow officer.
LIMITATION OF LIABILITY FOR INFORMATIONAL REPORTS
IMPORTANT -- PLEASE READ CAREFULLY:
This report is not an insured product or service or a representation of the condition of title to real property. It is not an abstract, legal opinion, opinion of title, title insurance commitment or preliminary report, or any form of Title Insurance or Guaranty. This report is issued exclusively for the benefit of the Applicant therefor and may not be used or relied upon by any other person. This report may not be reproduced in any manner without First Americans prior written consent. First American does not represent or warrant that the information herein is complete or free from error, and the information herein is provided without any warranties of any kind, as-is, and with all faults. As a material part of the consideration given in exchange for the issuance of this report, recipient agrees that First Americans sole liability for any loss or damage caused by an error or omission due to inaccurate information or negligence in preparing this report shall be limited to the fee charged for the report. Recipient accepts this report with this limitation and agrees that First American would not have issued this report but for the limitation of liability described above. First American makes no representation or warranty as to the legality or propriety of recipient's use of the information herein.

Disclaimer
This REiSource report is provided "as is" without warranty of any kind, either express or implied, including without limitations any warrantees of merchantability or fitness for a particular purpose. There is no representation of warranty that this information is complete or free from error, and the provider does not assume, and expressly disclaims, any liability to any person or entity for loss or damage caused by errors or omissions in this REiSource report without a title insurance policy.
The information contained in the REiSource report is delivered from your Title Company, who reminds you that you have the right as a consumer to compare fees and serviced levels for Title, Escrow, and all other services associated with property ownership, and to select providers accordingly. Your home is the largest investment you will make in your lifetime and you should demand the very best.
Subject Property : 7050 E Sunrise Dr Tucson AZ 85750
Owner Information
Owner Name : Susan Ken / Susan Hilst
Mailing Address : 9090 W Alverton Dr, Marana AZ 85653-8927 H022
Vesting Codes : / / Trust
Owner Occupied Indicator : A
Location Information
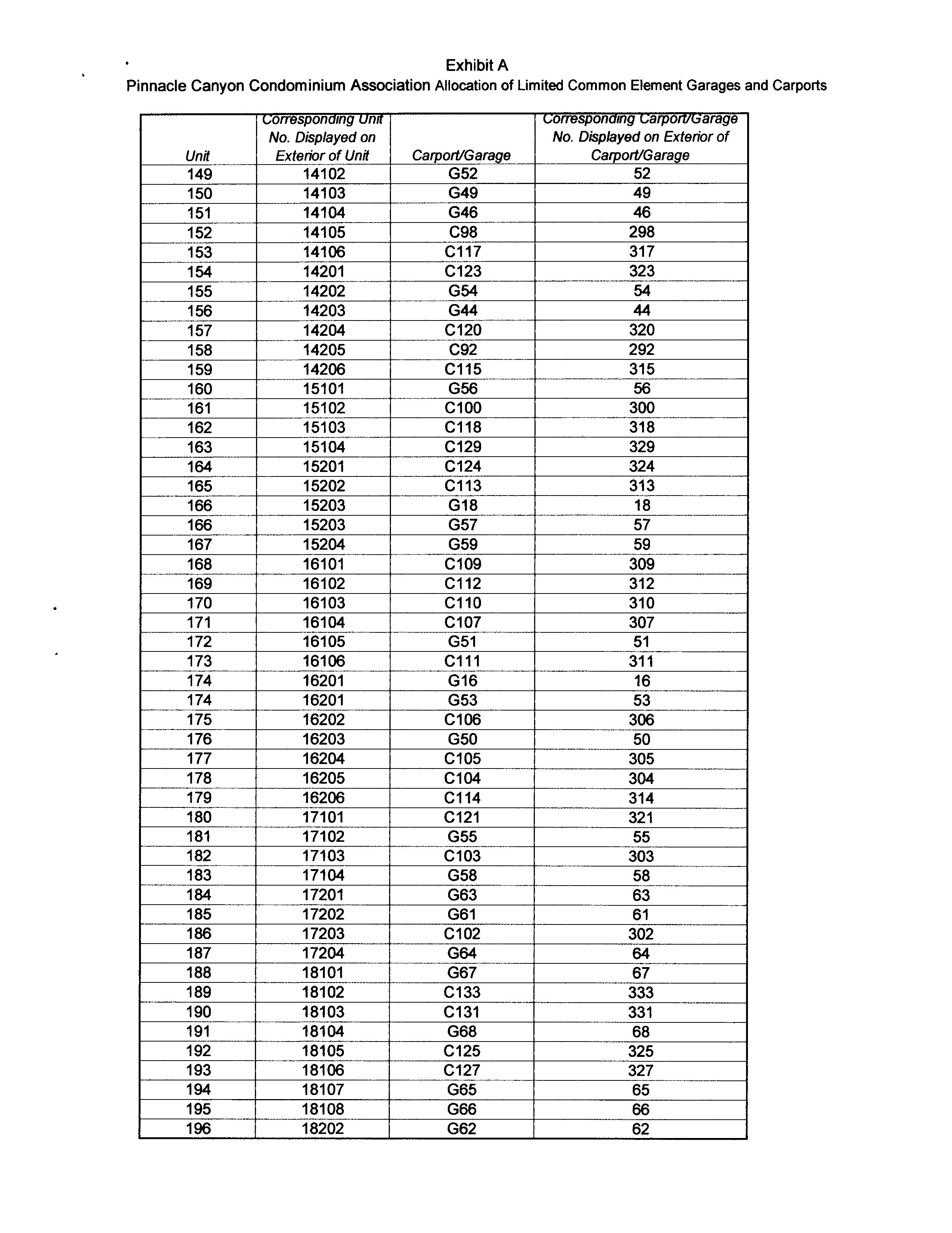
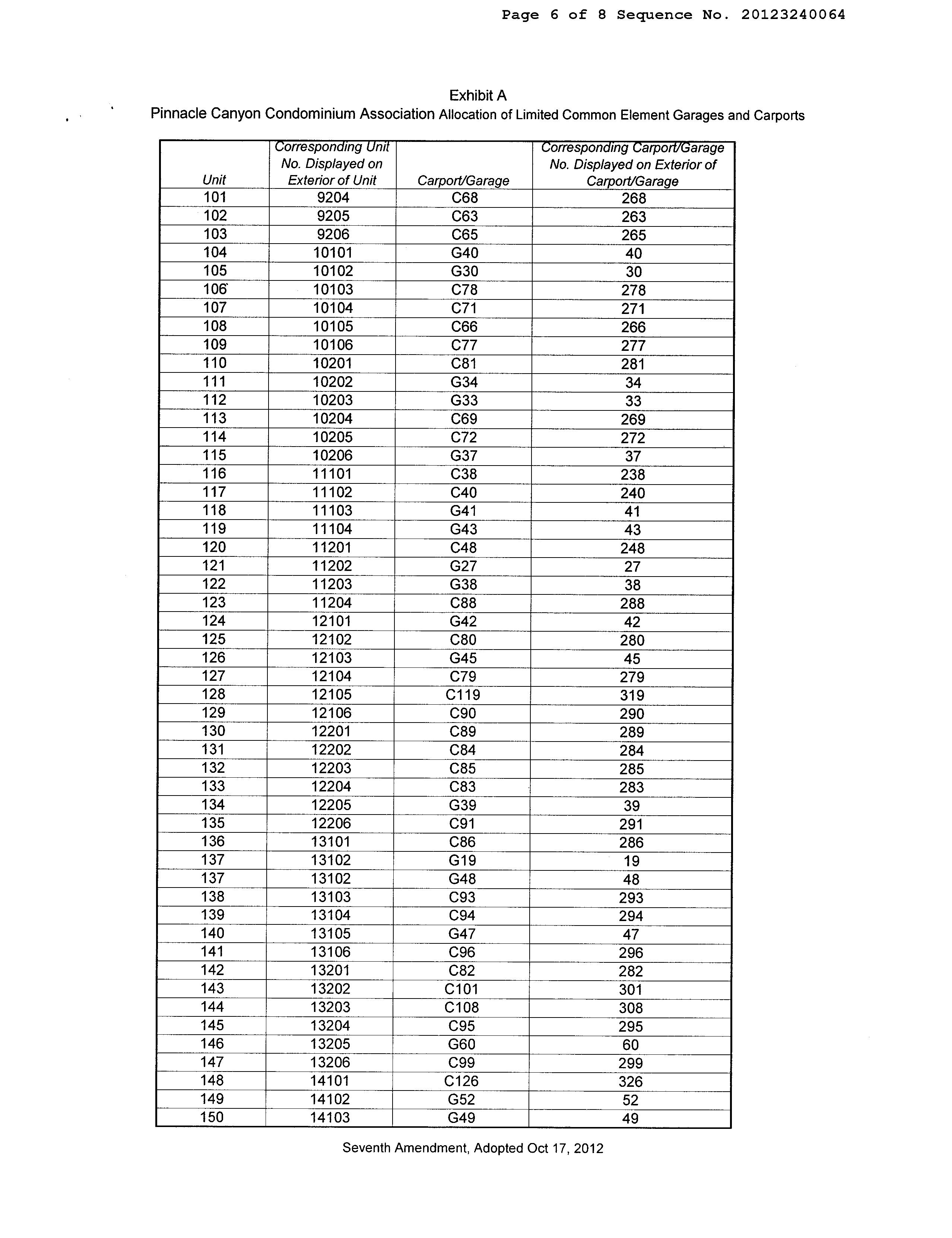
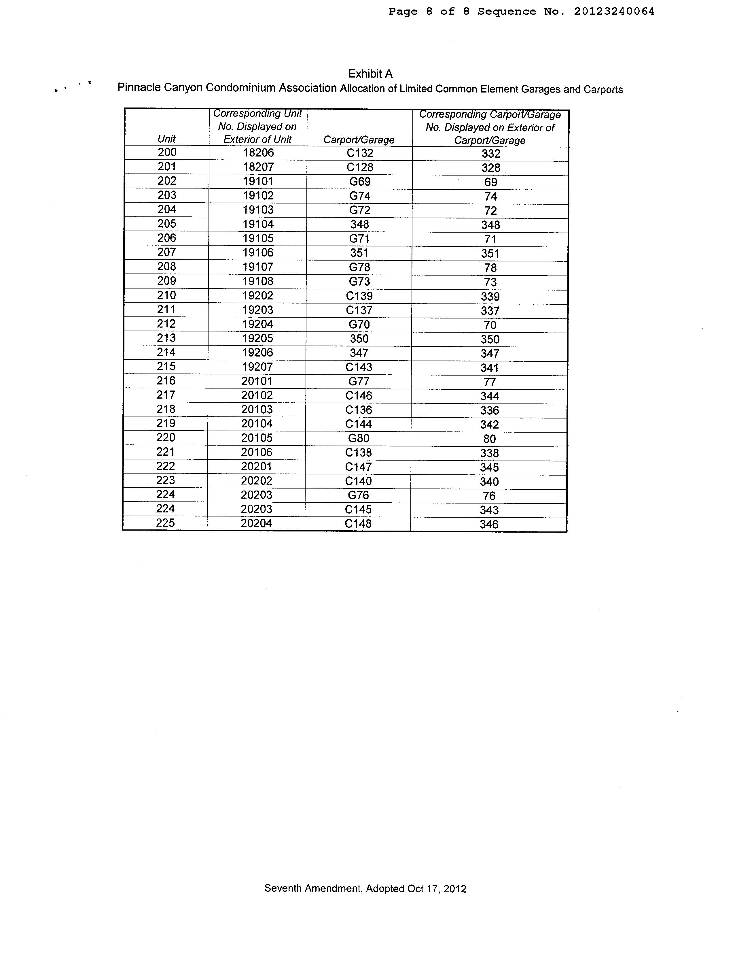
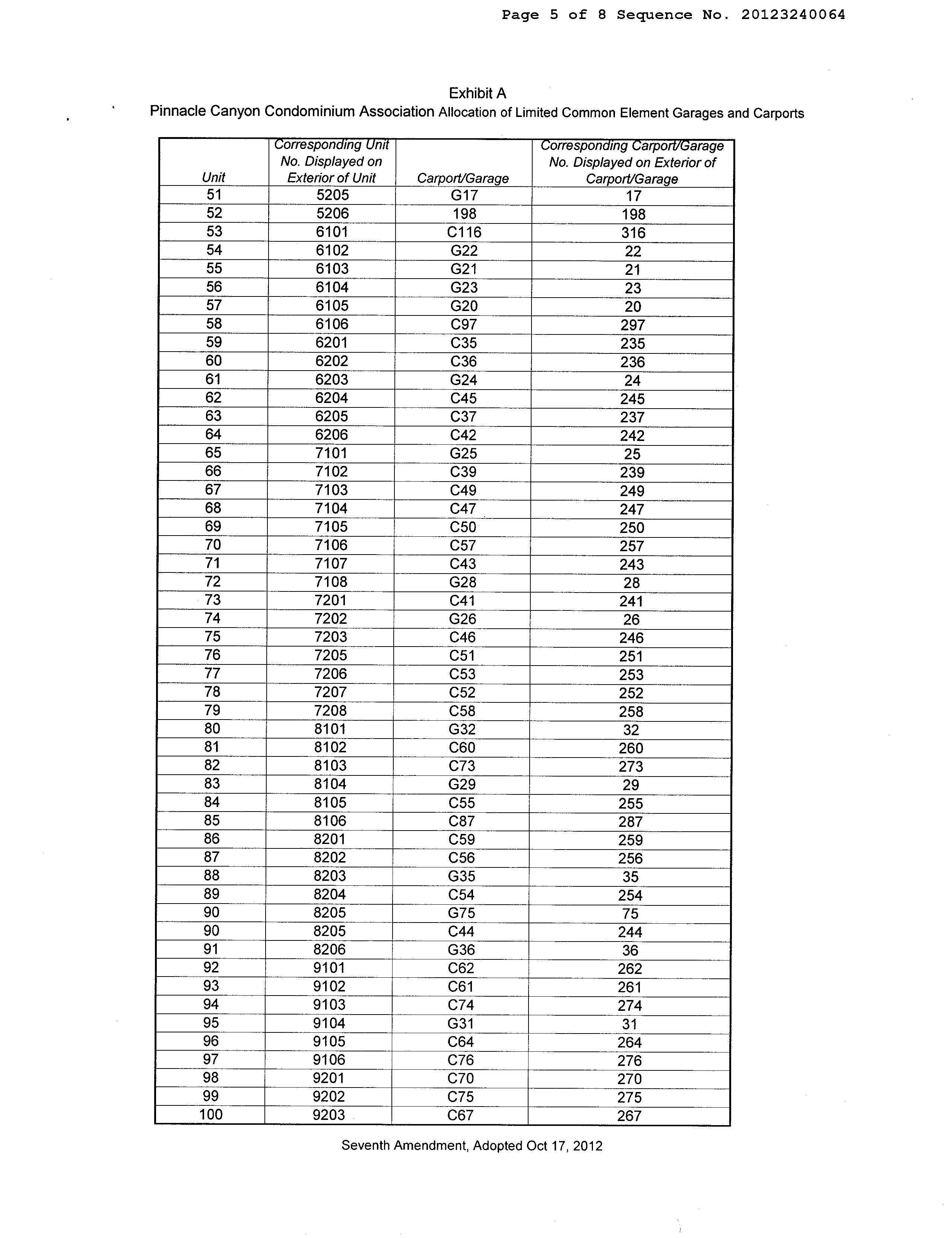
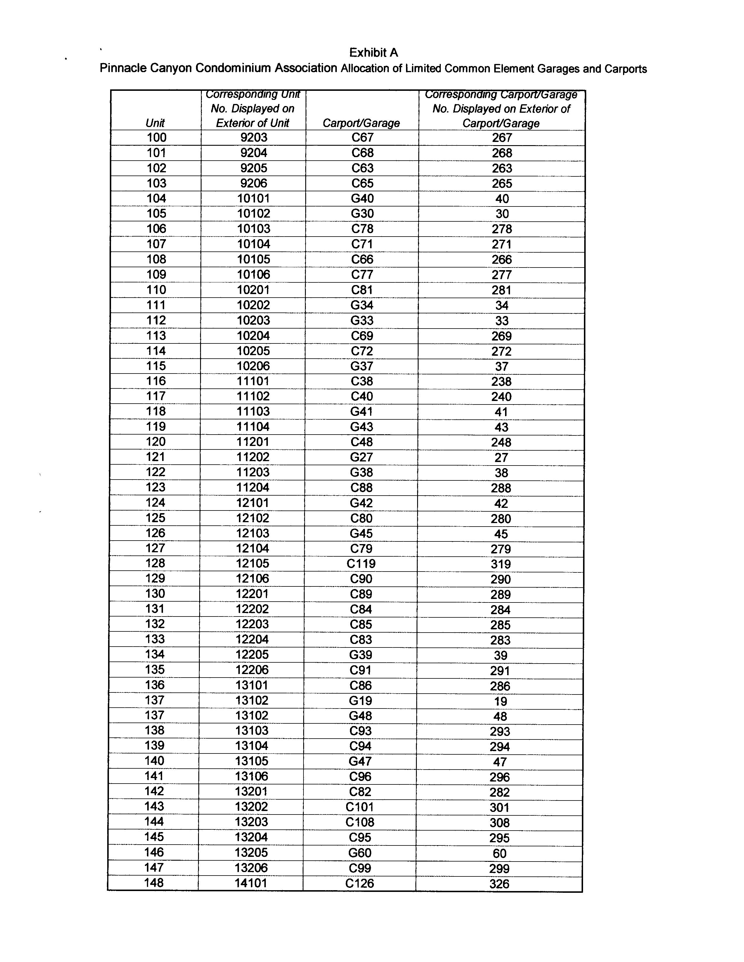
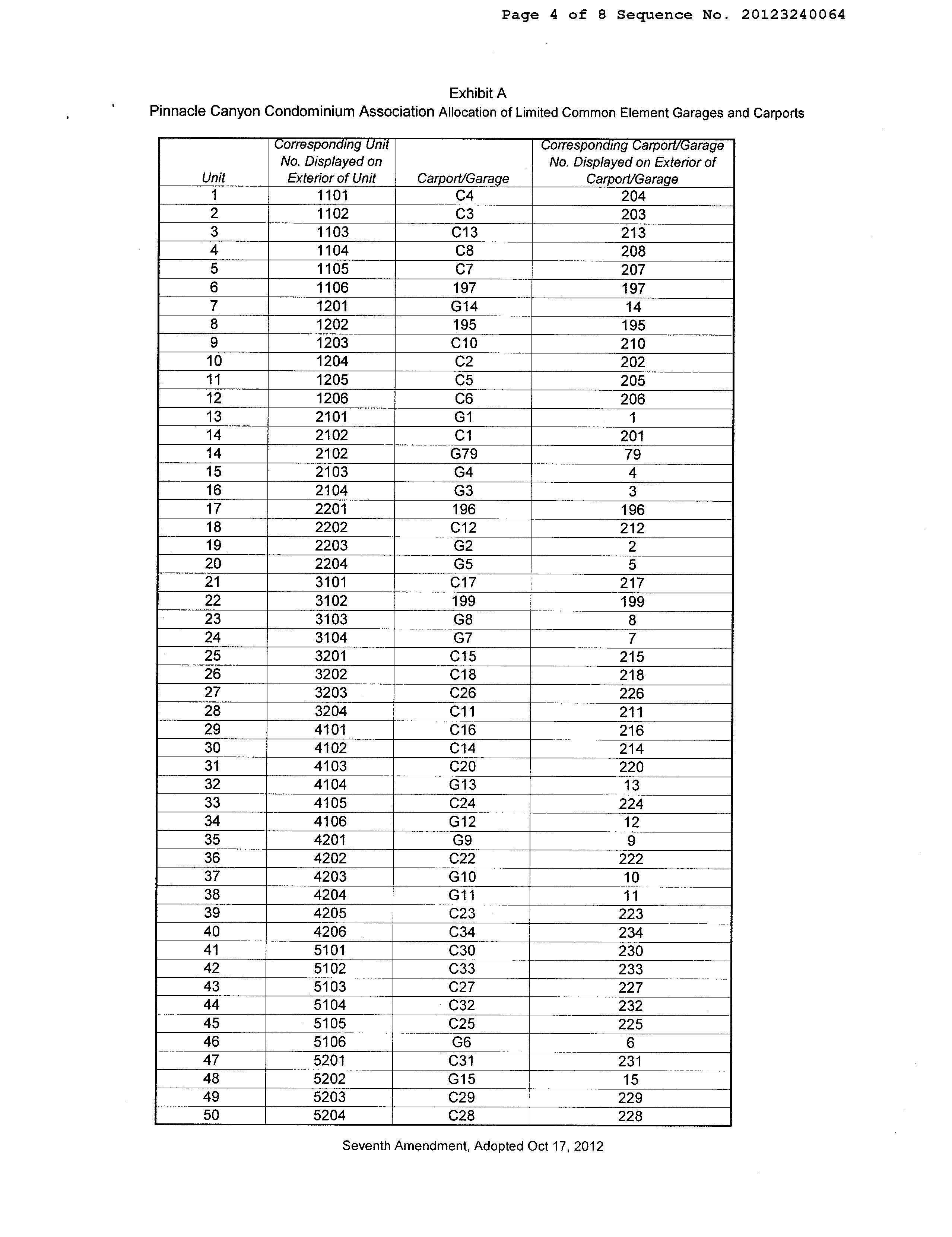
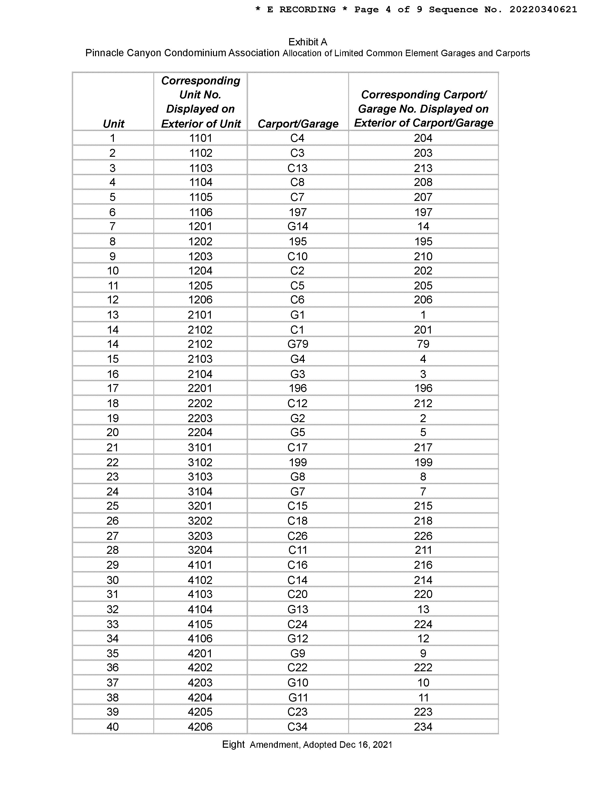
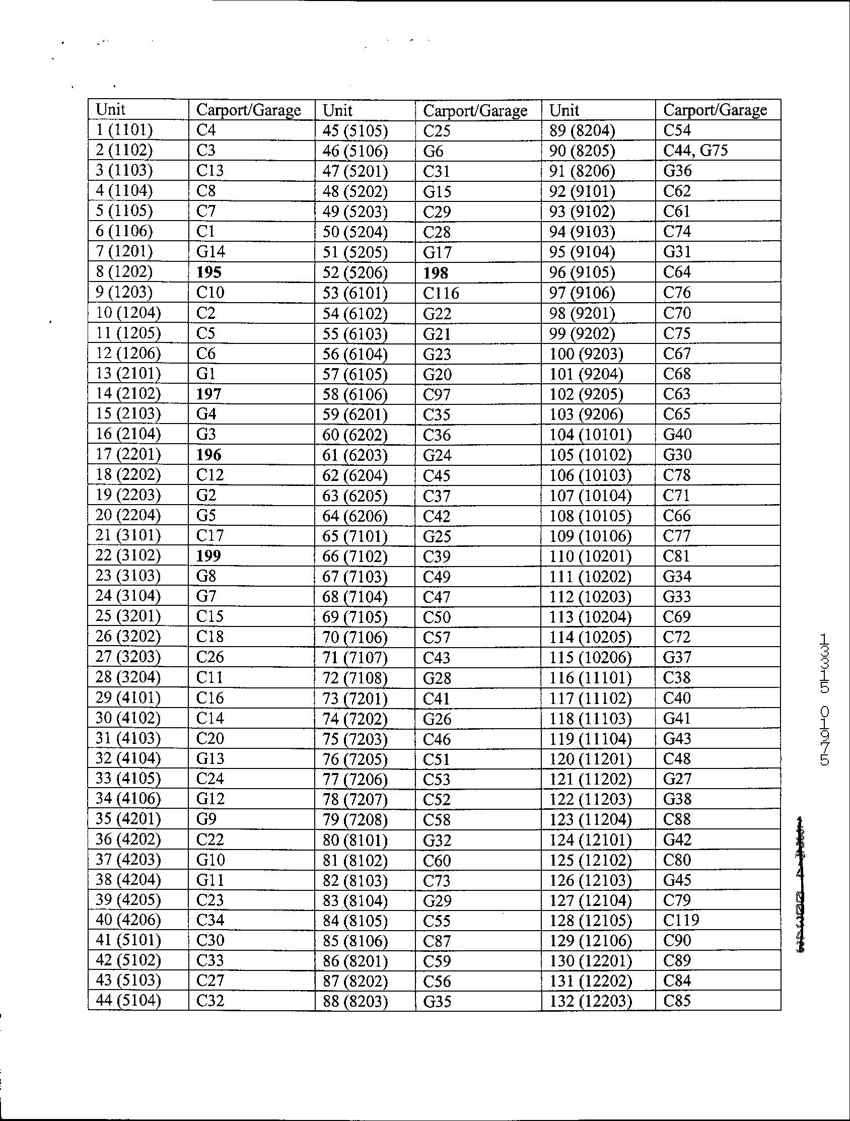
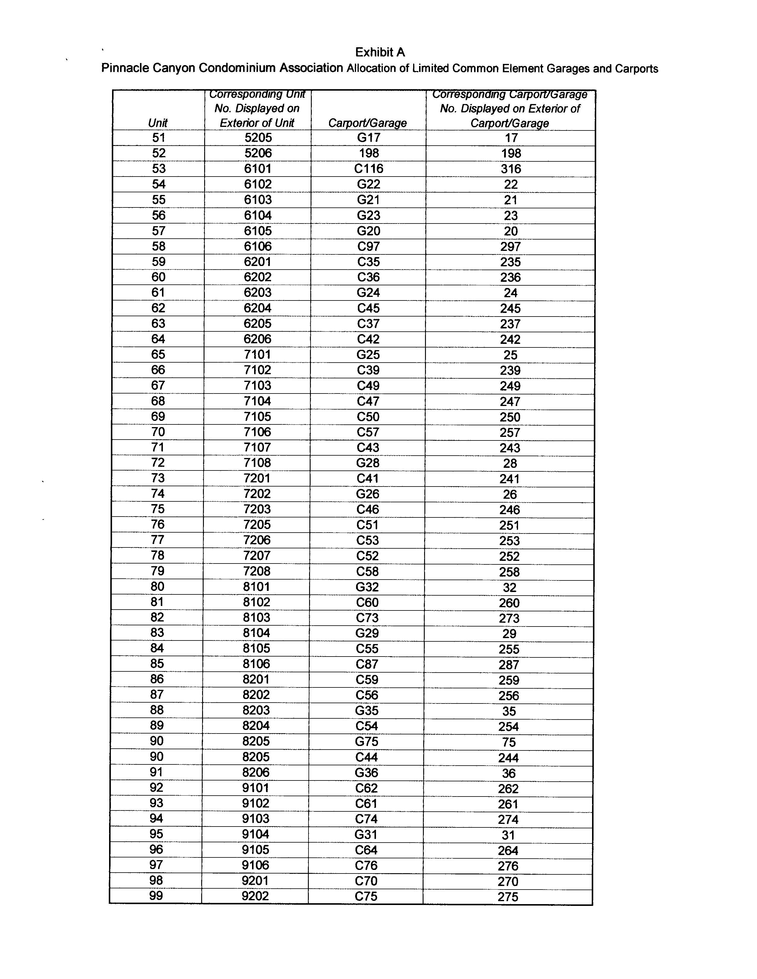
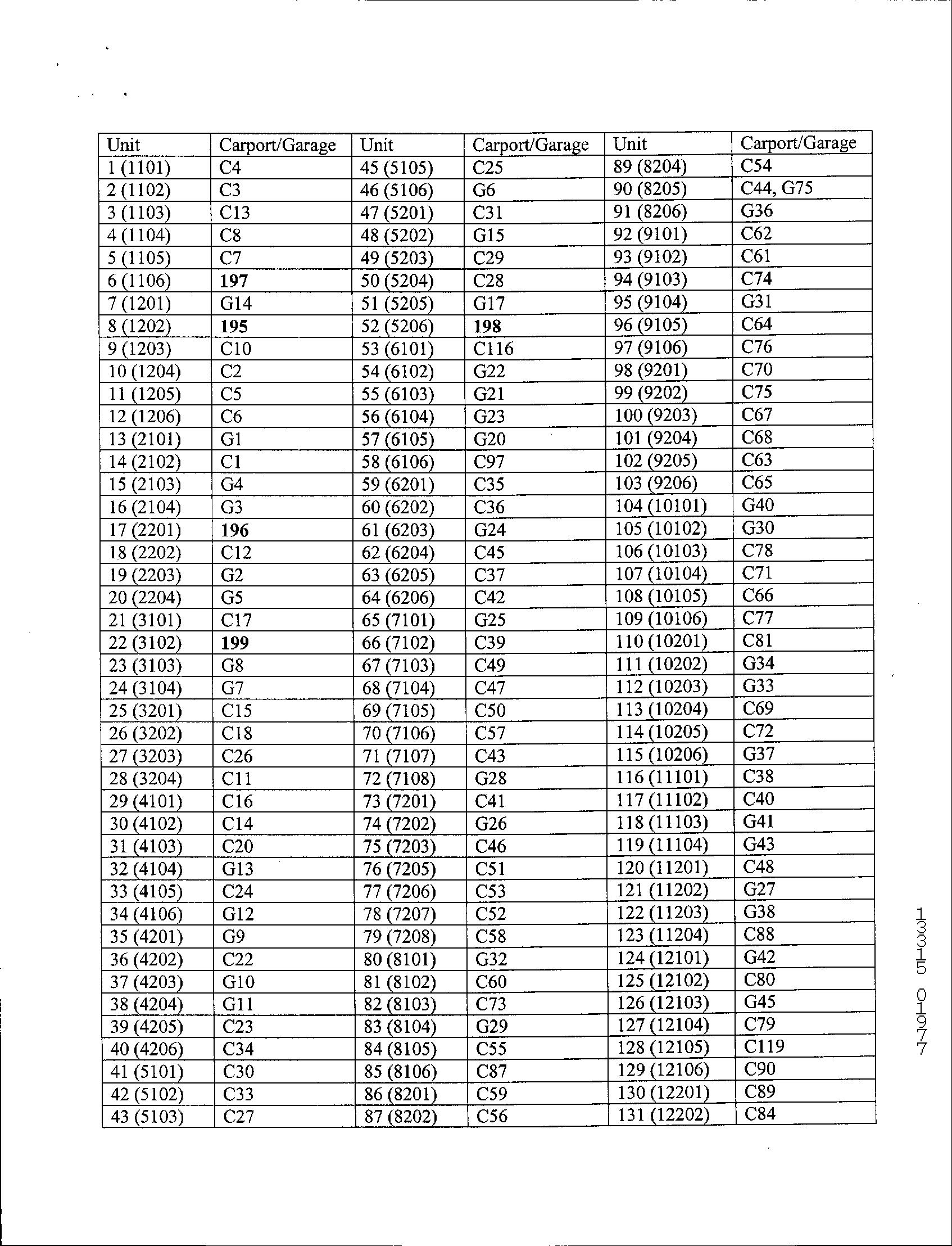
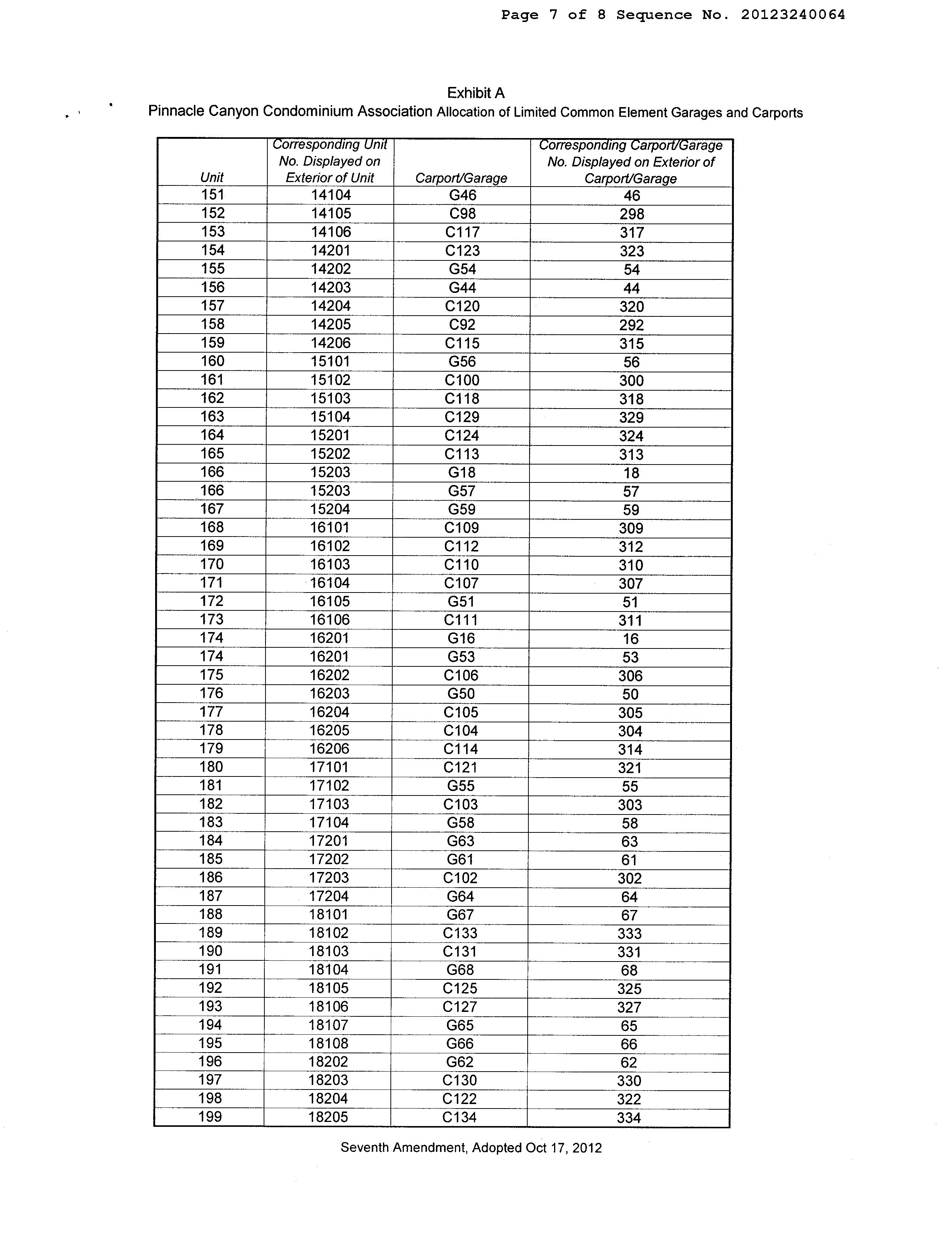
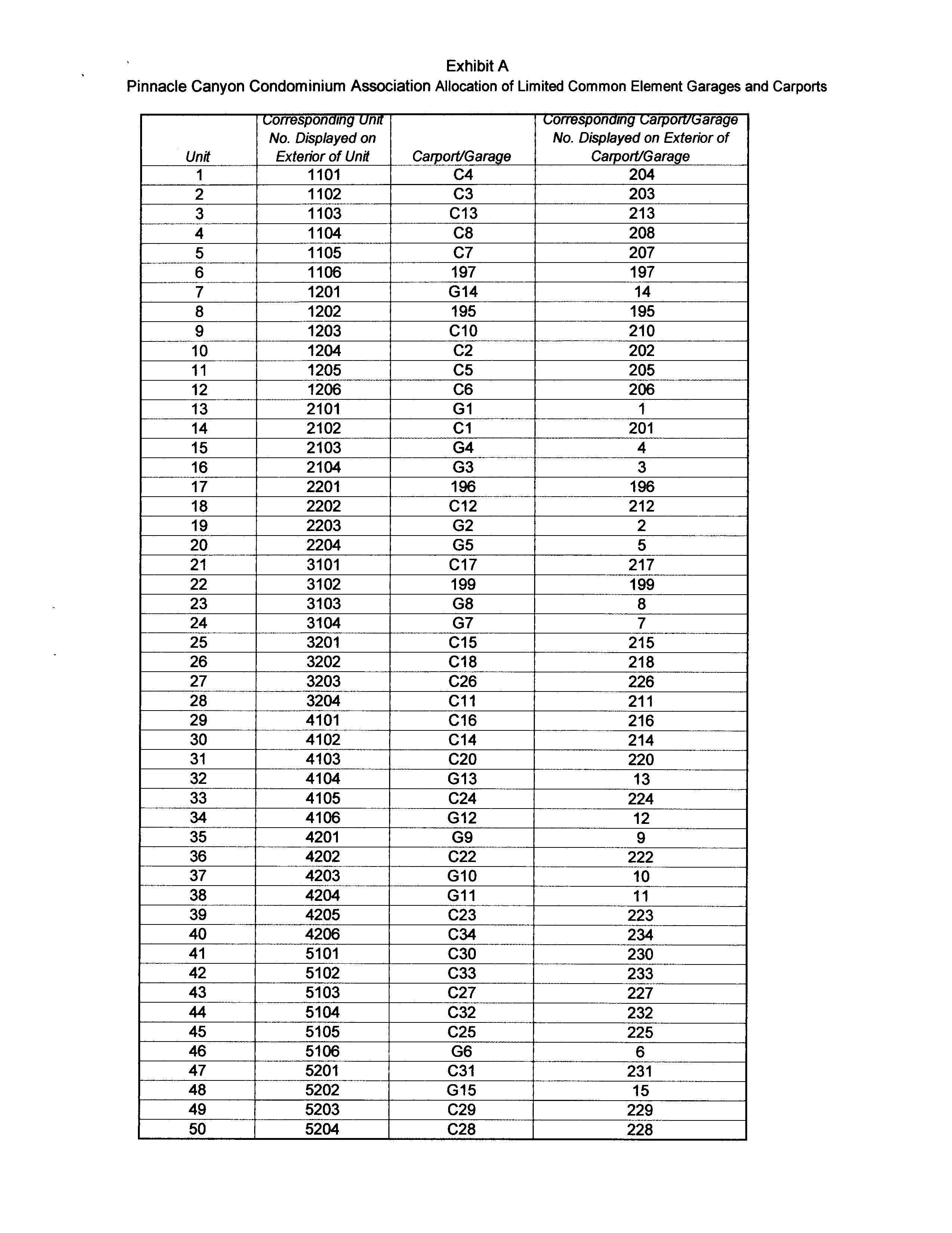
Legal Description : Pinnacle Canyon Condominium Bldg 10 Unit 107 See Restriction For Carport/ garage Assn
County : Pima, Az
Census Tract / Block : 47.23 / 1
Township-Range- Sect : 13S-15E-18
Legal Book/Page : 60-60
Legal Lot : 107
Market Area : 12
Owner Transfer Information
Recording/Sale Date : 04/20/2023 / 04/13/2023
Document # : 1100146
Last Market Sale Information
Recording/Sale Date : 08/21/2019 / 08/13/2019
Sale Price : $131,000
Document # : 2330179
Title Company : Title Sec Agcy Llc
Seller Name : Willis Robert & Chris
Prior Sale Information
Prior Rec/Sale Date : 06/20/2016 / 06/14/2016
Prior Sale Price : $105,000
APN : 114-15-748A
Alternate APN : 114-15-7480
Subdivision : Pinnacle Canyon Condo Ph 02
Map Reference : 18-13S-15E
School District : Catalina Foothills
Munic/Township : Catalina Foothills
Deed Type : Special Warranty Deed
Deed Type : Warranty Deed
Price Per SqFt : $178.96
Prior Doc Number : 1720497
Prior Deed Type : Joint Tenancy Deed
Customer Name : Kariann Keomaka
Customer Company Name : First American Title Insurance Company Prepared On : 09/19/2025
Property Characteristics
Gross Area : 732 Garage Capacity : 1
Living Area : 732
Total Rooms : 4
Year Built / Eff : 1996
# of Stories : 1
Parking Type : Carport
Property Information
Patio Type : Covered Patio
Roof Material : Tile Air Cond : Refrigeration
Heat Type : Forced Air Quality : Good
Cooling Type : Forced Air Condition : Excellent
Exterior wall : Frame Wood Bath Fixtures : 6
Land Use : Condominium Zoning : TR
County Use : Condominiumsconv From Apts Lot Acres : 0.01
Tax Information
$161,418
Assessed Year : 2024
2024
Lot Size : 459
State Use : Condominiumsconv From Apts
Census Tract / block: 47.23 / 1 Year: 2020
Covenants, Conditions & Restrictions
Thank you for the opportunity to be of service.
Restrictions indicating a preference, limitation or discrimination based on race, color, religion, sex, handicap, familial status, or national origin are hereby deleted to the extent such restrictions violate 42 USC 3604(c).
This information is furnished without fee and without benefit of a complete title search. No liability is assumed by First American Title. If it is desired that liability be assumed, you may apply for a policy of title insurance with First American Title Insurance Company.