6681 E Via Jardin Verde digital CCRs

Page 1

COVENANTS, CONDITIONS & RESTRICTIONS

PREPARED FOR :

©2021 First American Financial Corporation and/or its affiliates. All rights reserved. NYSE: FAF 05252610821
First American Title Insurance Company, and the operating divisions thereof, make no express or implied warranty respecting the information presented and assume no responsibility for errors or omissions. First American, the eagle logo, First American Title, and firstam.com are registered trademarks or trademarks of First American Financial Corporation and/or its affiliates.
6681 E. Via
Verde Tucson, AZ 85756

EXCITING NEWS!

Title Security Agency is officially becoming First American Title. Despite the name change, you can expect the same excellent service and familiar faces at your closings.

Our partnership with First American Title brings you the best of both worlds: LOCAL EXPERTISE AND FORTUNE 500 RESOURCES.

Same great team

Same local knowledge

Same convenient locations

Same great service

Fortune® 500 company

Multicultural materials

Economic team, market data, and trends

Leading technology in a changing market

Our industry is navigating a challenging market. Our alignment with a seasoned industry leader, with over 130 years of experience, provides valuable resources and expert guidance as we adapt.

Thank you for your continued trust in us!

We truly appreciate your business and look forward to seeing you at the closing table soon.

THE BEST OF BOTH WORLDS

24-DID-0071-F1_CP-AZL_01
FIRST AMERICAN - SOUTHERN ARIZONA ADMIN OFFICE 520.885.1600 tsa-administration@firstam.com First American Title Insurance Company, and the operating divisions thereof, make no express or implied warranty respecting the information presented and assume no responsibility for errors or omissions. First American, the eagle logo, First American Title, and firstam.com are registered trademarks or trademarks of First American Financial Corporation and/or its affiliates. ©2024 First American Financial Corporation and/or its affiliates. All rights reserved. NYSE: FAF

WIRE FRAUD ALERT THINK DIFFERENTLY

Email-based, real estate fraud schemes are on the rise. One common scenario is altering wiring instructions with the intention of rerouting funds.

Keeping this in mind, First American Title is changing the way we receive payment information. It is imperative that we are familiar with the people in our transactions.

RELYING ON EMAIL ALONE IS NO LONGER AN OPTION.

YOU SHOULD BE AWARE OF PRECAUTIONS

DO NOT TRUST EMAILED INSTRUCTIONS

Fraudsters often use email to send falsified wire instructions to unsuspecting victims. Please warn your buyers and sellers to only follow wire instructions they receive personally from First American Title.

Additionally, we will not accept disbursement instructions for seller or buyer funds via email OR from any third party (attorney, real estate agent, etc).

ALTERNATIVE INSTRUCTIONS?

If your buyer or seller receives alternative wiring instructions that appear to be from First American Title, make sure they contact their escrow officer at a trusted phone number for confirmation.

Know that our wiring instructions do not change so any communication is suspect. Our banking institution is First American Trust.

IN SHORT – wire instructions will not be accepted by email. New wire instructions must be hand-carried or uploaded to the First American Secure Portal.

Thank you for joining First American Title in fostering a secure real estate transaction process. Have questions or concerns? Please contact our office or your escrow officer.

For more information please contact your

01100180621
IN THE REAL ESTATE CLOSING PROCESS
American representative. www.firstam.com First American Title Insurance Company, and the operating divisions thereof, make no express or implied warranty respecting the information presented and assume no responsibility for errors or omissions. First American, the eagle logo, First American Title, and firstam.com are registered trademarks or trademarks of First American Financial Corporation and/or its affiliates. ©2023 First American Financial Corporation and/or its affiliates. All rights reserved. NYSE: FAF
First

LIMITATION OF LIABILITY FOR INFORMATIONAL REPORTS

IMPORTANT -- PLEASE READ CAREFULLY:

This report is not an insured product or service or a representation of the condition of title to real property. It is not an abstract, legal opinion, opinion of title, title insurance commitment or preliminary report, or any form of Title Insurance or Guaranty. This report is issued exclusively for the benefit of the Applicant therefor and may not be used or relied upon by any other person. This report may not be reproduced in any manner without First Americans prior written consent. First American does not represent or warrant that the information herein is complete or free from error, and the information herein is provided without any warranties of any kind, as-is, and with all faults. As a material part of the consideration given in exchange for the issuance of this report, recipient agrees that First Americans sole liability for any loss or damage caused by an error or omission due to inaccurate information or negligence in preparing this report shall be limited to the fee charged for the report. Recipient accepts this report with this limitation and agrees that First American would not have issued this report but for the limitation of liability described above. First American makes no representation or warranty as to the legality or propriety of recipient's use of the information herein.

Branch:FC0,User:LMRAComment:StationId:RL13

PIMA,AZPage1of3Printedon4/29/202410:39:27AM

Document:PLT2019.354.0789

Branch:FC0,User:LMRAComment:StationId:RL13

PIMA,AZPage2of3Printedon4/29/202410:39:33AM

Document:PLT2019.354.0789

Branch:FC0,User:LMRAComment:StationId:RL13

PIMA,AZPage3of3Printedon4/29/202410:39:41AM

Document:PLT2019.354.0789

Page 1 of 268 12/06/2019 9:14 AM
Page 2 of 268 12/06/2019 9:14 AM
Page 3 of 268 12/06/2019 9:14 AM
Page 4 of 268 12/06/2019 9:14 AM
Page 5 of 268 12/06/2019 9:14 AM
Page 6 of 268 12/06/2019 9:14 AM
Page 7 of 268 12/06/2019 9:14 AM
Page 8 of 268 12/06/2019 9:14 AM
Page 9 of 268 12/06/2019 9:14 AM
Page 10 of 268 12/06/2019 9:14 AM
Page 11 of 268 12/06/2019 9:14 AM
Page 12 of 268 12/06/2019 9:14 AM
Page 13 of 268 12/06/2019 9:14 AM
Page 14 of 268 12/06/2019 9:14 AM
Page 15 of 268 12/06/2019 9:14 AM
Page 16 of 268 12/06/2019 9:14 AM
Page 17 of 268 12/06/2019 9:14 AM
Page 18 of 268 12/06/2019 9:14 AM
Page 19 of 268 12/06/2019 9:14 AM
Page 20 of 268 12/06/2019 9:14 AM
Page 21 of 268 12/06/2019 9:14 AM
Page 22 of 268 12/06/2019 9:14 AM
Page 23 of 268 12/06/2019 9:14 AM
Page 24 of 268 12/06/2019 9:14 AM
Page 25 of 268 12/06/2019 9:14 AM
Page 26 of 268 12/06/2019 9:14 AM
Page 27 of 268 12/06/2019 9:14 AM
Page 28 of 268 12/06/2019 9:14 AM
Page 29 of 268 12/06/2019 9:14 AM
Page 30 of 268 12/06/2019 9:14 AM
Page 31 of 268 12/06/2019 9:14 AM
Page 32 of 268 12/06/2019 9:14 AM
Page 33 of 268 12/06/2019 9:14 AM
Page 34 of 268 12/06/2019 9:14 AM
Page 35 of 268 12/06/2019 9:14 AM
Page 36 of 268 12/06/2019 9:14 AM
Page 37 of 268 12/06/2019 9:14 AM
Page 38 of 268 12/06/2019 9:14 AM
Page 39 of 268 12/06/2019 9:14 AM
Page 40 of 268 12/06/2019 9:14 AM
Page 41 of 268 12/06/2019 9:14 AM
Page 42 of 268 12/06/2019 9:14 AM
Page 43 of 268 12/06/2019 9:14 AM
Page 44 of 268 12/06/2019 9:14 AM
Page 45 of 268 12/06/2019 9:14 AM
Page 46 of 268 12/06/2019 9:14 AM
Page 47 of 268 12/06/2019 9:14 AM
Page 48 of 268 12/06/2019 9:14 AM
Page 49 of 268 12/06/2019 9:14 AM
Page 50 of 268 12/06/2019 9:14 AM
Page 51 of 268 12/06/2019 9:14 AM
Page 52 of 268 12/06/2019 9:14 AM
Page 53 of 268 12/06/2019 9:14 AM
Page 54 of 268 12/06/2019 9:14 AM
Page 55 of 268 12/06/2019 9:14 AM
Page 56 of 268 12/06/2019 9:14 AM
Page 57 of 268 12/06/2019 9:14 AM
Page 58 of 268 12/06/2019 9:14 AM
Page 59 of 268 12/06/2019 9:14 AM
Page 60 of 268 12/06/2019 9:14 AM
Page 61 of 268 12/06/2019 9:14 AM
Page 62 of 268 12/06/2019 9:14 AM
Page 63 of 268 12/06/2019 9:14 AM
Page 64 of 268 12/06/2019 9:14 AM
Page 65 of 268 12/06/2019 9:14 AM
Page 66 of 268 12/06/2019 9:14 AM
Page 67 of 268 12/06/2019 9:14 AM
Page 68 of 268 12/06/2019 9:14 AM
Page 69 of 268 12/06/2019 9:14 AM
Page 70 of 268 12/06/2019 9:14 AM
Page 71 of 268 12/06/2019 9:14 AM
Page 72 of 268 12/06/2019 9:14 AM
Page 73 of 268 12/06/2019 9:14 AM
Page 74 of 268 12/06/2019 9:14 AM
Page 75 of 268 12/06/2019 9:14 AM
Page 76 of 268 12/06/2019 9:14 AM
Page 77 of 268 12/06/2019 9:14 AM
Page 78 of 268 12/06/2019 9:14 AM
Page 79 of 268 12/06/2019 9:14 AM
Page 80 of 268 12/06/2019 9:14 AM
Page 81 of 268 12/06/2019 9:14 AM
Page 82 of 268 12/06/2019 9:14 AM
Page 83 of 268 12/06/2019 9:14 AM
Page 84 of 268 12/06/2019 9:14 AM
Page 85 of 268 12/06/2019 9:14 AM
Page 86 of 268 12/06/2019 9:14 AM
Page 87 of 268 12/06/2019 9:14 AM
Page 88 of 268 12/06/2019 9:14 AM
Page 89 of 268 12/06/2019 9:14 AM
Page 90 of 268 12/06/2019 9:14 AM
Page 91 of 268 12/06/2019 9:14 AM
Page 92 of 268 12/06/2019 9:14 AM
Page 93 of 268 12/06/2019 9:14 AM
Page 94 of 268 12/06/2019 9:14 AM
Page 95 of 268 12/06/2019 9:14 AM
Page 96 of 268 12/06/2019 9:14 AM
Page 97 of 268 12/06/2019 9:14 AM
Page 98 of 268 12/06/2019 9:14 AM
Page 99 of 268 12/06/2019 9:14 AM
Page 100 of 268 12/06/2019 9:14 AM
Page 101 of 268 12/06/2019 9:14 AM
Page 102 of 268 12/06/2019 9:14 AM
Page 103 of 268 12/06/2019 9:14 AM
Page 104 of 268 12/06/2019 9:14 AM
Page 105 of 268 12/06/2019 9:14 AM
Page 106 of 268 12/06/2019 9:14 AM
Page 107 of 268 12/06/2019 9:14 AM
Page 108 of 268 12/06/2019 9:14 AM
Page 109 of 268 12/06/2019 9:14 AM
Page 110 of 268 12/06/2019 9:14 AM
Page 111 of 268 12/06/2019 9:14 AM
Page 112 of 268 12/06/2019 9:14 AM
Page 113 of 268 12/06/2019 9:14 AM
Page 114 of 268 12/06/2019 9:14 AM
Page 115 of 268 12/06/2019 9:14 AM
Page 116 of 268 12/06/2019 9:14 AM
Page 117 of 268 12/06/2019 9:14 AM
Page 118 of 268 12/06/2019 9:14 AM
Page 119 of 268 12/06/2019 9:14 AM
Page 120 of 268 12/06/2019 9:14 AM
Page 121 of 268 12/06/2019 9:14 AM
Page 122 of 268 12/06/2019 9:14 AM
Page 123 of 268 12/06/2019 9:14 AM
Page 124 of 268 12/06/2019 9:14 AM
Page 125 of 268 12/06/2019 9:14 AM
Page 126 of 268 12/06/2019 9:14 AM
Page 127 of 268 12/06/2019 9:14 AM
Page 128 of 268 12/06/2019 9:14 AM
Page 129 of 268 12/06/2019 9:14 AM
Page 130 of 268 12/06/2019 9:14 AM
Page 131 of 268 12/06/2019 9:14 AM
Page 132 of 268 12/06/2019 9:14 AM
Page 133 of 268 12/06/2019 9:14 AM
Page 134 of 268 12/06/2019 9:14 AM
Page 135 of 268 12/06/2019 9:14 AM
Page 136 of 268 12/06/2019 9:14 AM
Page 137 of 268 12/06/2019 9:14 AM
Page 138 of 268 12/06/2019 9:14 AM
Page 139 of 268 12/06/2019 9:14 AM
Page 140 of 268 12/06/2019 9:14 AM
Page 141 of 268 12/06/2019 9:14 AM
Page 142 of 268 12/06/2019 9:14 AM
Page 143 of 268 12/06/2019 9:14 AM
Page 144 of 268 12/06/2019 9:14 AM
Page 145 of 268 12/06/2019 9:14 AM
Page 146 of 268 12/06/2019 9:14 AM
Page 147 of 268 12/06/2019 9:14 AM
Page 148 of 268 12/06/2019 9:14 AM
Page 149 of 268 12/06/2019 9:14 AM
Page 150 of 268 12/06/2019 9:14 AM
Page 151 of 268 12/06/2019 9:14 AM
Page 152 of 268 12/06/2019 9:14 AM
Page 153 of 268 12/06/2019 9:14 AM
Page 154 of 268 12/06/2019 9:14 AM
Page 155 of 268 12/06/2019 9:14 AM
Page 156 of 268 12/06/2019 9:14 AM
Page 157 of 268 12/06/2019 9:14 AM
Page 158 of 268 12/06/2019 9:14 AM
Page 159 of 268 12/06/2019 9:14 AM
Page 160 of 268 12/06/2019 9:14 AM
Page 161 of 268 12/06/2019 9:14 AM
Page 162 of 268 12/06/2019 9:14 AM
Page 163 of 268 12/06/2019 9:14 AM
Page 164 of 268 12/06/2019 9:14 AM
Page 165 of 268 12/06/2019 9:14 AM
Page 166 of 268 12/06/2019 9:14 AM
Page 167 of 268 12/06/2019 9:14 AM
Page 168 of 268 12/06/2019 9:14 AM
Page 169 of 268 12/06/2019 9:14 AM
Page 170 of 268 12/06/2019 9:14 AM
Page 171 of 268 12/06/2019 9:14 AM
Page 172 of 268 12/06/2019 9:14 AM
Page 173 of 268 12/06/2019 9:14 AM
Page 174 of 268 12/06/2019 9:14 AM
Page 175 of 268 12/06/2019 9:14 AM
Page 176 of 268 12/06/2019 9:14 AM
Page 177 of 268 12/06/2019 9:14 AM
Page 178 of 268 12/06/2019 9:14 AM
Page 179 of 268 12/06/2019 9:14 AM
Page 180 of 268 12/06/2019 9:14 AM
Page 181 of 268 12/06/2019 9:14 AM
Page 182 of 268 12/06/2019 9:14 AM
Page 183 of 268 12/06/2019 9:14 AM
Page 184 of 268 12/06/2019 9:14 AM
Page 185 of 268 12/06/2019 9:14 AM
Page 186 of 268 12/06/2019 9:14 AM
Page 187 of 268 12/06/2019 9:14 AM
Page 188 of 268 12/06/2019 9:14 AM
Page 189 of 268 12/06/2019 9:14 AM
Page 190 of 268 12/06/2019 9:14 AM
Page 191 of 268 12/06/2019 9:14 AM
Page 192 of 268 12/06/2019 9:14 AM
Page 193 of 268 12/06/2019 9:14 AM
Page 194 of 268 12/06/2019 9:14 AM
Page 195 of 268 12/06/2019 9:14 AM
Page 196 of 268 12/06/2019 9:14 AM
Page 197 of 268 12/06/2019 9:14 AM
Page 198 of 268 12/06/2019 9:14 AM
Page 199 of 268 12/06/2019 9:14 AM
Page 200 of 268 12/06/2019 9:14 AM
Page 201 of 268 12/06/2019 9:14 AM
Page 202 of 268 12/06/2019 9:14 AM
Page 203 of 268 12/06/2019 9:14 AM
Page 204 of 268 12/06/2019 9:14 AM
Page 205 of 268 12/06/2019 9:14 AM
Page 206 of 268 12/06/2019 9:14 AM
Page 207 of 268 12/06/2019 9:14 AM
Page 208 of 268 12/06/2019 9:14 AM
Page 209 of 268 12/06/2019 9:14 AM
Page 210 of 268 12/06/2019 9:14 AM
Page 211 of 268 12/06/2019 9:14 AM
Page 212 of 268 12/06/2019 9:14 AM
Page 213 of 268 12/06/2019 9:14 AM
Page 214 of 268 12/06/2019 9:14 AM
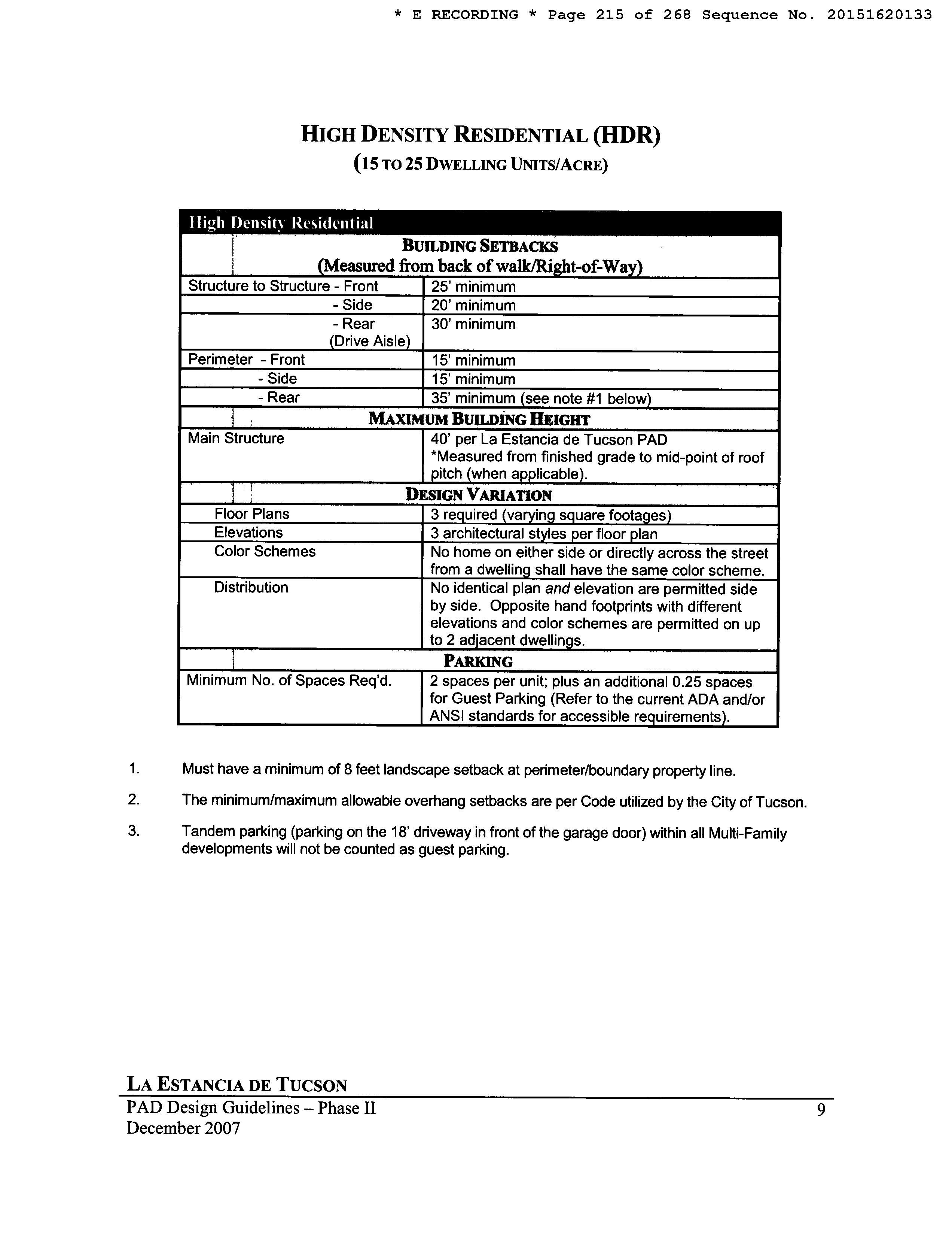
Page 215 of 268 12/06/2019 9:14 AM
Page 216 of 268 12/06/2019 9:14 AM
Page 217 of 268 12/06/2019 9:14 AM
Page 218 of 268 12/06/2019 9:14 AM
Page 219 of 268 12/06/2019 9:14 AM
Page 220 of 268 12/06/2019 9:14 AM
Page 221 of 268 12/06/2019 9:14 AM
Page 222 of 268 12/06/2019 9:14 AM
Page 223 of 268 12/06/2019 9:14 AM
Page 224 of 268 12/06/2019 9:14 AM
Page 225 of 268 12/06/2019 9:14 AM
Page 226 of 268 12/06/2019 9:14 AM
Page 227 of 268 12/06/2019 9:14 AM
Page 228 of 268 12/06/2019 9:14 AM
Page 229 of 268 12/06/2019 9:14 AM
Page 230 of 268 12/06/2019 9:14 AM
Page 231 of 268 12/06/2019 9:14 AM
Page 232 of 268 12/06/2019 9:14 AM
Page 233 of 268 12/06/2019 9:14 AM
Page 234 of 268 12/06/2019 9:14 AM
Page 235 of 268 12/06/2019 9:14 AM
Page 236 of 268 12/06/2019 9:14 AM
Page 237 of 268 12/06/2019 9:14 AM
Page 238 of 268 12/06/2019 9:14 AM
Page 239 of 268 12/06/2019 9:14 AM
Page 240 of 268 12/06/2019 9:14 AM
Page 241 of 268 12/06/2019 9:14 AM
Page 242 of 268 12/06/2019 9:14 AM
Page 243 of 268 12/06/2019 9:14 AM
Page 244 of 268 12/06/2019 9:14 AM
Page 245 of 268 12/06/2019 9:14 AM
Page 246 of 268 12/06/2019 9:14 AM
Page 247 of 268 12/06/2019 9:14 AM
Page 248 of 268 12/06/2019 9:14 AM
Page 249 of 268 12/06/2019 9:14 AM
Page 250 of 268 12/06/2019 9:14 AM
Page 251 of 268 12/06/2019 9:14 AM
Page 252 of 268 12/06/2019 9:14 AM
Page 253 of 268 12/06/2019 9:14 AM
Page 254 of 268 12/06/2019 9:14 AM
Page 255 of 268 12/06/2019 9:14 AM
Page 256 of 268 12/06/2019 9:14 AM
Page 257 of 268 12/06/2019 9:14 AM
Page 258 of 268 12/06/2019 9:14 AM
Page 259 of 268 12/06/2019 9:14 AM
Page 260 of 268 12/06/2019 9:14 AM
Page 261 of 268 12/06/2019 9:14 AM
Page 262 of 268 12/06/2019 9:14 AM
Page 263 of 268 12/06/2019 9:14 AM
Page 264 of 268 12/06/2019 9:14 AM
Page 265 of 268 12/06/2019 9:14 AM
Page 266 of 268 12/06/2019 9:14 AM
Page 267 of 268 12/06/2019 9:14 AM
Page 268 of 268 12/06/2019 9:14 AM
Page 1 of 6 12/06/2019 9:14 AM
Page 2 of 6 12/06/2019 9:14 AM
Page 3 of 6 12/06/2019 9:14 AM
Page 4 of 6 12/06/2019 9:14 AM
Page 5 of 6 12/06/2019 9:14 AM
Page 6 of 6 12/06/2019 9:14 AM
Page 1 of 16 12/06/2019 9:14 AM
Page 2 of 16 12/06/2019 9:14 AM
Page 3 of 16 12/06/2019 9:14 AM
Page 4 of 16 12/06/2019 9:14 AM
Page 5 of 16 12/06/2019 9:14 AM
Page 6 of 16 12/06/2019 9:14 AM
Page 7 of 16 12/06/2019 9:14 AM
Page 8 of 16 12/06/2019 9:14 AM
Page 9 of 16 12/06/2019 9:14 AM
Page 10 of 16 12/06/2019 9:14 AM
Page 11 of 16 12/06/2019 9:14 AM
Page 12 of 16 12/06/2019 9:14 AM
Page 13 of 16 12/06/2019 9:14 AM
Page 14 of 16 12/06/2019 9:14 AM
Page 15 of 16 12/06/2019 9:14 AM
Page 16 of 16 12/06/2019 9:14 AM
Page 1 of 4 12/06/2019 9:14 AM
Page 2 of 4 12/06/2019 9:14 AM
Page 3 of 4 12/06/2019 9:14 AM
Page 4 of 4 12/06/2019 9:14 AM
Page 1 of 4 12/06/2019 9:14 AM
Page 2 of 4 12/06/2019 9:14 AM
Page 3 of 4 12/06/2019 9:14 AM
Page 4 of 4 12/06/2019 9:14 AM
Page 1 of 4 12/06/2019 9:14 AM
Page 2 of 4 12/06/2019 9:14 AM
Page 3 of 4 12/06/2019 9:14 AM
Page 4 of 4 12/06/2019 9:14 AM
Page 1 of 4 12/06/2019 9:14 AM
Page 2 of 4 12/06/2019 9:14 AM
Page 3 of 4 12/06/2019 9:14 AM
Page 4 of 4 12/06/2019 9:14 AM
Page 1 of 4 12/06/2019 9:14 AM
Page 2 of 4 12/06/2019 9:14 AM
Page 3 of 4 12/06/2019 9:14 AM
Page 4 of 4 12/06/2019 9:14 AM
Page 1 of 5 12/06/2019 9:14 AM
Page 2 of 5 12/06/2019 9:14 AM
Page 3 of 5 12/06/2019 9:14 AM
Page 4 of 5 12/06/2019 9:14 AM
Page 5 of 5 12/06/2019 9:14 AM
Page 1 of 4 12/06/2019 9:14 AM
Page 2 of 4 12/06/2019 9:14 AM
Page 3 of 4 12/06/2019 9:14 AM
Page 4 of 4 12/06/2019 9:14 AM
Page 1 of 5 12/06/2019 9:14 AM
Page 2 of 5 12/06/2019 9:14 AM
Page 3 of 5 12/06/2019 9:14 AM
Page 4 of 5 12/06/2019 9:14 AM
Page 5 of 5 12/06/2019 9:14 AM
Page 1 of 4 12/06/2019 9:14 AM
Page 2 of 4 12/06/2019 9:14 AM
Page 3 of 4 12/06/2019 9:14 AM
Page 4 of 4 12/06/2019 9:14 AM
Page 1 of 5 12/06/2019 9:14 AM
Page 2 of 5 12/06/2019 9:14 AM
Page 3 of 5 12/06/2019 9:14 AM
Page 4 of 5 12/06/2019 9:14 AM
Page 5 of 5 12/06/2019 9:14 AM
Page 1 of 5 12/06/2019 9:14 AM
Page 2 of 5 12/06/2019 9:14 AM
Page 3 of 5 12/06/2019 9:14 AM
Page 4 of 5 12/06/2019 9:14 AM
Page 5 of 5 12/06/2019 9:14 AM
Page 1 of 5 12/06/2019 9:14 AM
Page 2 of 5 12/06/2019 9:14 AM
Page 3 of 5 12/06/2019 9:14 AM
Page 4 of 5 12/06/2019 9:14 AM
Page 5 of 5 12/06/2019 9:14 AM
Page 1 of 5 12/06/2019 9:14 AM
Page 2 of 5 12/06/2019 9:14 AM
Page 3 of 5 12/06/2019 9:14 AM
Page 4 of 5 12/06/2019 9:14 AM
Page 5 of 5 12/06/2019 9:14 AM
Page 1 of 21 12/06/2019 9:14 AM
Page 2 of 21 12/06/2019 9:14 AM
Page 3 of 21 12/06/2019 9:14 AM
Page 4 of 21 12/06/2019 9:14 AM
Page 5 of 21 12/06/2019 9:14 AM
Page 6 of 21 12/06/2019 9:14 AM
Page 7 of 21 12/06/2019 9:14 AM
Page 8 of 21 12/06/2019 9:14 AM
Page 9 of 21 12/06/2019 9:14 AM
Page 10 of 21 12/06/2019 9:14 AM
Page 11 of 21 12/06/2019 9:14 AM
Page 12 of 21 12/06/2019 9:14 AM
Page 13 of 21 12/06/2019 9:14 AM
Page 14 of 21 12/06/2019 9:14 AM
Page 15 of 21 12/06/2019 9:14 AM
Page 16 of 21 12/06/2019 9:14 AM
Page 17 of 21 12/06/2019 9:14 AM
Page 18 of 21 12/06/2019 9:14 AM
Page 19 of 21 12/06/2019 9:14 AM
Page 20 of 21 12/06/2019 9:14 AM
Page 21 of 21 12/06/2019 9:14 AM
Page 1 of 4 12/06/2019 9:14 AM
Page 2 of 4 12/06/2019 9:14 AM
Page 3 of 4 12/06/2019 9:14 AM
Page 4 of 4 12/06/2019 9:14 AM
Page 1 of 8 12/06/2019 9:14 AM
Page 2 of 8 12/06/2019 9:14 AM
Page 3 of 8 12/06/2019 9:14 AM
Page 4 of 8 12/06/2019 9:14 AM
Page 5 of 8 12/06/2019 9:14 AM
Page 6 of 8 12/06/2019 9:14 AM
Page 7 of 8 12/06/2019 9:14 AM
Page 8 of 8 12/06/2019 9:14 AM
Page 1 of 6 12/06/2019 9:14 AM
Page 2 of 6 12/06/2019 9:14 AM
Page 3 of 6 12/06/2019 9:14 AM
Page 4 of 6 12/06/2019 9:14 AM
Page 5 of 6 12/06/2019 9:14 AM
Page 6 of 6 12/06/2019 9:14 AM
Page 1 of 4 12/06/2019 9:14 AM
Page 2 of 4 12/06/2019 9:14 AM
Page 3 of 4 12/06/2019 9:14 AM
Page 4 of 4 12/06/2019 9:14 AM
Page 1 of 8 12/06/2019 9:14 AM
Page 2 of 8 12/06/2019 9:14 AM
Page 3 of 8 12/06/2019 9:14 AM
Page 4 of 8 12/06/2019 9:14 AM
Page 5 of 8 12/06/2019 9:14 AM
Page 6 of 8 12/06/2019 9:14 AM
Page 7 of 8 12/06/2019 9:14 AM
Page 8 of 8 12/06/2019 9:14 AM
Page 1 of 6 12/06/2019 9:14 AM
Page 2 of 6 12/06/2019 9:14 AM
Page 3 of 6 12/06/2019 9:14 AM
Page 4 of 6 12/06/2019 9:14 AM
Page 5 of 6 12/06/2019 9:14 AM
Page 6 of 6 12/06/2019 9:14 AM
Page 1 of 4 10/03/2023 12:23 PM
Page 2 of 4 10/03/2023 12:23 PM
Page 3 of 4 10/03/2023 12:23 PM
Page 4 of 4 10/03/2023 12:23 PM
Page 1 of 5 10/03/2023 12:23 PM
Page 2 of 5 10/03/2023 12:23 PM
Page 3 of 5 10/03/2023 12:23 PM
Page 4 of 5 10/03/2023 12:23 PM
Page 5 of 5 10/03/2023 12:23 PM

Turn static files into dynamic content formats.

Create a flipbook
Issuu converts static files into: digital portfolios, online yearbooks, online catalogs, digital photo albums and more. Sign up and create your flipbook.