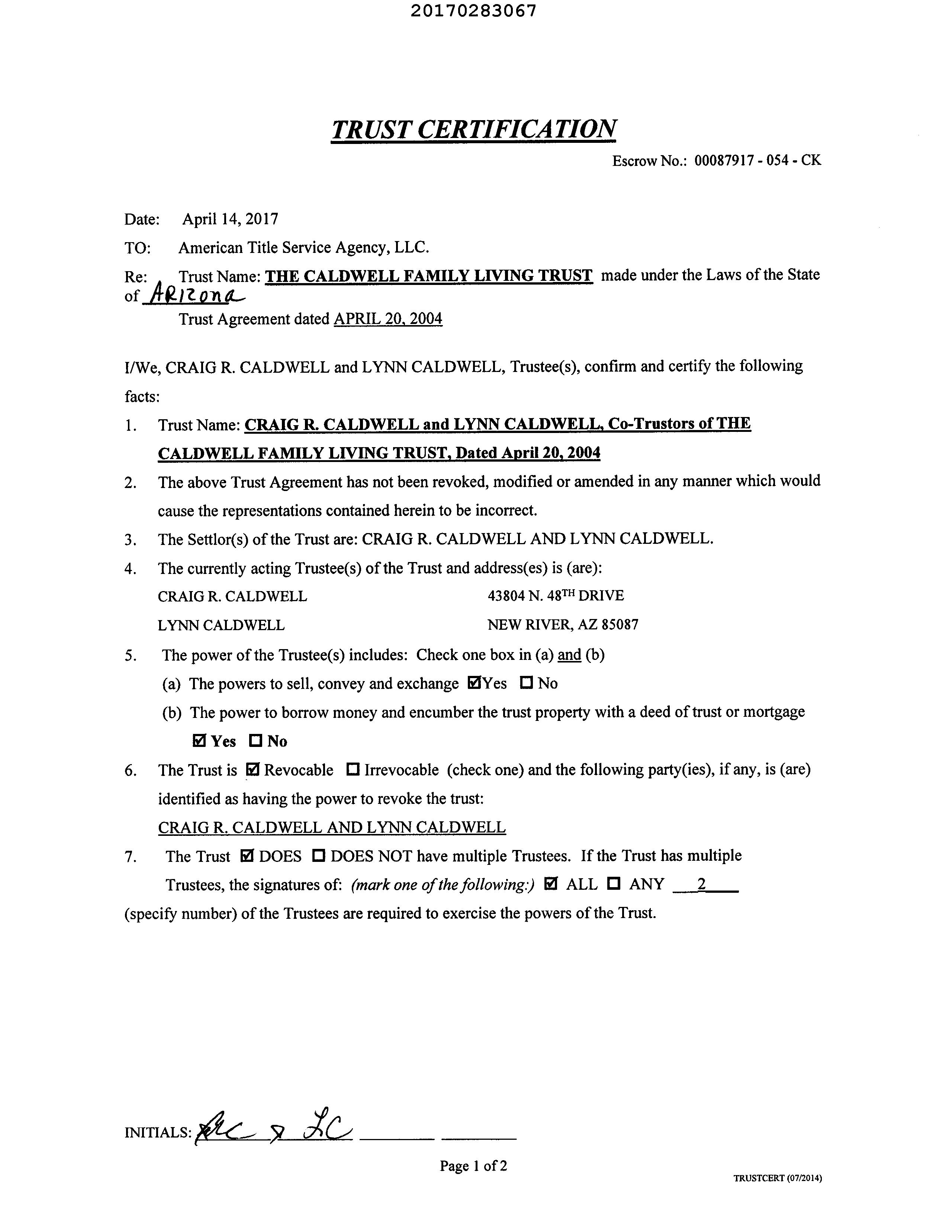
43804 N 48th Dr digital homebook

Page 1

43804N.48thDrive NewRiver,AZ85087

WIRE FRAUD ALERT THINK DIFFERENTLY

Email-based, real estate fraud schemes are on the rise. One common scenario is altering wiring instructions with the intention of rerouting funds.

Keeping this in mind, First American Title is changing the way we receive payment information. It is imperative that we are familiar with the people in our transactions.

RELYING ON EMAIL

ALONE

IS NO LONGER AN OPTION.

DO NOT TRUST EMAILED INSTRUCTIONS YOU SHOULD BE AWARE OF PRECAUTIONS IN THE REAL ESTATE CLOSING PROCESS

Fraudsters often use email to send falsified wire instructions to unsuspecting victims. Please warn your buyers and sellers to only follow wire instructions they receive personally from First American Title.

Additionally, we will not accept disbursement instructions for seller or buyer funds via email OR from any third party (attorney, real estate agent, etc).

ALTERNATIVE INSTRUCTIONS?

If your buyer or seller receives alternative wiring instructions that appear to be from First American Title, make sure they contact their escrow officer at a trusted phone number for confirmation.

Know that our wiring instructions do not change so any communication is suspect. Our banking institution is First American Trust.

IN SHORT – wire instructions will not be accepted by email. New wire instructions must be hand-carried or uploaded to the First American Secure Portal.

Thank you for joining First American Title in fostering a secure real estate transaction process. Have questions or concerns? Please contact our office or your escrow officer.

For more information please contact your First American representative. www.firstam.com

01100180621
First American Title Insurance Company, and the operating divisions thereof, make no express or implied warranty respecting the information presented and assume no responsibility for errors or omissions. First American, the eagle logo, First American Title, and firstam.com are registered trademarks or trademarks of First American Financial Corporation and/or its affiliates. ©2023 First American Financial Corporation and/or its affiliates. All rights reserved. NYSE: FAF

LIMITATION OF LIABILITY FOR INFORMATIONAL REPORTS

IMPORTANT -- PLEASE READ CAREFULLY:

This report is not an insured product or service or a representation of the condition of title to real property. It is not an abstract, legal opinion, opinion of title, title insurance commitment or preliminary report, or any form of Title Insurance or Guaranty. This report is issued exclusively for the benefit of the Applicant therefor and may not be used or relied upon by any other person. This report may not be reproduced in any manner without First Americans prior written consent. First American does not represent or warrant that the information herein is complete or free from error, and the information herein is provided without any warranties of any kind, as-is, and with all faults. As a material part of the consideration given in exchange for the issuance of this report, recipient agrees that First Americans sole liability for any loss or damage caused by an error or omission due to inaccurate information or negligence in preparing this report shall be limited to the fee charged for the report. Recipient accepts this report with this limitation and agrees that First American would not have issued this report but for the limitation of liability described above. First American makes no representation or warranty as to the legality or propriety of recipient's use of the information herein.

Data Provided By:

First American Title Ins Co

Subject Property 43804 N 48th Dr New River AZ 85087
APN: 202-22-889
© 2024 CoreLogic. All rights reserved

Data Provided By:

Disclaimer

This REiSource report is provided "as is" without warranty of any kind, either express or implied, including without limitations any warrantees of merchantability or fitness for a particular purpose. There is no representation of warranty that this information is complete or free from error, and the provider does not assume, and expressly disclaims, any liability to any person or entity for loss or damage caused by errors or omissions in this REiSource report without a title insurance policy.

The information contained in the REiSource report is delivered from your Title Company, who reminds you that you have the right as a consumer to compare fees and serviced levels for Title, Escrow, and all other services associated with property ownership, and to select providers accordingly. Your home is the largest investment you will make in your lifetime and you should demand the very best.

First
American Title Ins Co
© 2024 CoreLogic. All rights reserved

Subject Property :   43804 N 48th Dr New River AZ 85087

Owner Information

Owner Name : Caldwell Craig R / Caldwell Lynn

Mailing Address : 43804 N 48th Dr, New River AZ 85087-3038 H090

Owner Occupied Indicator : O

Location Information

Legal Description : Lot 193 Anthem Unit 81b Mcr 835-49

County : Maricopa, Az

Census Tract / Block : 6100.02 / 2

Township-Range- Sect : 06N-02E-09

Legal Lot : 193

APN : 202-22-889

Owner Transfer Information

Recording/Sale Date : 08/25/2017 / 08/17/2017

Document # : 629673

Last Market Sale Information

Recording/Sale Date : 04/20/2017 / 04/14/2017

Sale Price : $460,000

Document # : 283067

Title Company : American Title Svc Agcy Llc

Seller Name : Wynne Willie A

Prior Sale Information

Prior Rec/Sale Date : 07/14/2010 / 06/29/2010

Prior Sale Price : $375,000

Prior Doc Number : 596056

Subdivision : Anthem Unit 81b

Map Reference : 83549

School District : Deer Valley 97

Munic/Township : Phoenix

Neighbor Code : 08-007

Deed Type : Warranty Deed

1st Mtg Document # : 629672

Deed Type : Warranty Deed

Price Per SqFt : $118.25

Prior Deed Type : Warranty Deed

Prior Lender : Us Bk National Assn

Prior 1st Mtg Amt/Type : $275,000 / Conv

Customer Name : Lisa Mrazek Customer Company Name : First American Title Insurance Company Prepared On : 03/27/2024 © 2024 CoreLogic. All rights reserved

Property Characteristics

Gross Area : 3,890

Living Area : 3,890

Year Built / Eff : 2007

# of Stories : 1

Parking Type : Garage

Roof Material : Concrete Tile Air Cond : Refrigeration

Heat Type : Heated Quality : Good

Cooling Type : Heated Condition : Average

Exterior wall : Frame/stucco

Patio Type : Covered Concrete

Masonry Patio

Garage Capacity : 4 Pool : Pool

Property Information

Land Use : Sfr

Lot Size : 13,775

Bath Fixtures : 15

Pool Size : 444

Water Influence : Greenbelt

Zoning : RE-35 Site Influence : Green Belt State Use : Single Fam Resurban Subd ( 5 )

Lot Acres : 0.32

Tax Information

Total Value : $488,200 Assessed Year : 2022

Land Value : $97,600

Improvement Value : $390,600

Total Taxable Value : $44,885

Improve % : 80%

Tax Year : 2022

Property Tax : $4,402.68

Tax Rate Area : 971300

Market Value : $488,200

Current Assessed Year : 2024

Current Year Total Value : $134,055

Customer Name : Lisa Mrazek Customer Company Name : First American Title Insurance Company Prepared On : 03/27/2024 © 2024 CoreLogic. All rights reserved
Sales Analysis Criteria Subject Property Low High Average Sale Price $460,000 $585,000 $950,000 $741,578 Bldg/Living Area 3890 3308 4408 3683 Price Per Square Foot $118.25 $168 $255 $202.05 Year Built 2007 2005 2018 2007 Lot Size 13,775 6,440 19,985 10,993 Bedrooms Bathrooms 5 4 6 5 Stories 1 1 2 2 Total Assessed Value $488,200 $316,600 $506,000 $397,007 Distance From Subject 0 0.25 0.98 0.53 Customer Name : Lisa Mrazek Customer Company Name : First American Title Insurance Company Prepared On : 03/27/2024 © 2024 CoreLogic. All rights reserved
Map Customer Name : Lisa Mrazek Customer Company Name : First American Title Insurance Company Prepared On : 03/27/2024 © 2024 CoreLogic. All rights reserved

Details of Comparables

Subject Property: 43804 N 48th Dr New River Az 85087

Owner Name: Caldwell Craig R /Caldwell Lynn

APN / Alternate APN: 202-22-889 / Deed Type: Warranty Deed Land Use: Sfr

Subdivision / Tract: Anthem Unit 81b / Lot Size: 13,775 Year Built / Eff: 2007 /

Date / Price: 04/20/2017 / $460,000 Living Area: 3,890 # of units:

Document #: 283067

#1   4825 W Cavalry Rd New River Az 85087

/

Owner Name: Desert Rose Trust / APN / Alternate APN: 202-22-902 / Deed Type: Warranty Deed Land Use: Sfr Subdivision / Tract: Anthem Unit 81b / Lot Size: 14,250 Year Built / Eff: 2007 /

/

#2   5004 W Culpepper Dr New River Az 85087

Owner Name: Howe Timothy J /Howe Savana

APN / Alternate APN: 202-22-736 / Deed Type: Warranty Deed Land Use: Sfr

Subdivision / Tract: Anthem Unit 81b / Lot Size: 15,097

/

#3   4823 W Carpenter Dr New River Az 85087

Owner Name: Samuelson Carmen E Trust /

Year Built / Eff: 2008 /

/

APN / Alternate APN: 202-22-914 / Deed Type: Warranty Deed

Subdivision / Tract: Anthem Unit 81b / Lot Size: 13,975

Land Use: Sfr

Year Built / Eff: 2007 / Rec. Date / Price: 05/18/2023 / $840,000 Living Area: 3,337 # of units:

Document #: 256933 Bedrooms:

#4   4814 W Carpenter Dr New River Az 85087

Owner Name: Anderson Janet L /Murphy Patrick

APN / Alternate APN: 202-22-909 / Deed Type: Warranty Deed

Subdivision / Tract: Anthem Unit 81b / Lot Size: 12,825

Land Use: Sfr

Year Built / Eff: 2007 / Rec. Date / Price: 07/07/2023 / $676,000

Rec.
Tax Value: $488,200 Bath(F/H):
Bedrooms: Pool: Pool Total
Total Tax Value: $418,300 Bath(F/H):
Rec. Date / Price: 08/14/2023 / $850,000 Living Area: 3,337 # of units: Document #: 424506 Bedrooms: Pool: Pool
Pool:
Tax Value: $479,700 Bath(F/H):
Rec. Date / Price: 12/21/2023
$925,000 Living Area: 4,408 # of units: Document #: 649377 Bedrooms:
Pool Total
Pool:
Tax Value: $397,000 Bath(F/H):
Total
/
units:
Pool:
Tax Value: $379,100 Bath(F/H):
Name : Lisa Mrazek Customer Company Name : First American Title Insurance Company Prepared On : 03/27/2024 © 2024 CoreLogic. All rights reserved
Living Area: 3,337 # of
Document #: 355361 Bedrooms:
Total
/ Customer

#5   44020 N 50th Ln New River Az 85087

Owner Name: Elite Investments 21 Llc / APN / Alternate APN: 202-22-704 / Deed Type: Warranty Deed Land Use: Sfr

Subdivision / Tract: Anthem Unit 81b / Lot Size: 11,191 Year Built / Eff: 2007 /

/

#6   4913 W Magellan Dr New River Az 85087

Owner Name: Hancock Sonya M /Hancock Richard C I

APN / Alternate APN: 202-22-921 / Deed Type: Warranty Deed Land Use: Sfr Subdivision / Tract: Anthem Unit 81b / Lot Size: 19,985 Year Built / Eff: 2007 /

/

#7   4402 W Dorsaneo Ln New River Az 85087

Owner Name: Tran Thuy & Anthony /Tran Thuy T

APN / Alternate APN: 202-30-594 / Deed Type: Warranty Deed Land Use: Sfr

/ Tract:

#8   4336 W Diburgo Dr New River Az 85087

Owner Name: Blanshan Chanse T /Blanshan Chelsie M

APN / Alternate APN: 202-30-468 / Deed Type: Warranty Deed Land Use: Sfr

/ $610,000

Bath(F/H): /

#9   42908 N 46th Ave New River Az 85087

Owner Name: Jones Daniel P & Antoinette /Romero Lixuanly L

APN / Alternate APN: 202-30-026 / Deed Type: Warranty Deed

Sfr Subdivision

/

#10   43521 N 43rd Dr New River Az 85087

Owner Name: Drew Jennifer D /Drew John M

APN / Alternate APN: 202-30-478 / Deed Type: Warranty Deed

Pool:
Tax Value:
Rec. Date / Price: 06/28/2023
$740,000 Living Area: 4,408 # of units: Document #: 338274 Bedrooms:
Pool Total
$437,000 Bath(F/H): /
Pool:
Total Tax Value: $506,000 Bath(F/H):
Rec. Date / Price: 05/16/2023
$950,000 Living Area: 4,408 # of units: Document #: 251526 Bedrooms:
Pool
/
Year
Rec.
Living
#
Bedrooms: Pool:
Total Tax Value: $385,600
Subdivision
Anthem West Unit 2 / Lot Size: 9,455
Built / Eff: 2005 /
Date / Price: 06/28/2023 / $670,000
Area: 3,924
of units: Document #: 338344
Pool
Bath(F/H): /
Year
#
Bedrooms: Pool:
Subdivision / Tract: Anthem West Unit 2 / Lot Size: 6,949
Built / Eff: 2007 / Rec. Date / Price: 08/17/2023
Living Area: 3,308
of units: Document #: 431704
Total Tax Value: $316,600
/ Tract: Anthem West Unit 2
Lot Size:
Year Built / Eff: 2006 / Rec. Date / Price: 04/27/2023 / $649,999 Living Area: 3,612 # of units:
#: 216932 Bedrooms: Pool: Total Tax Value: $361,300 Bath(F/H):
Land Use:
/
9,177
Document
Land
/ Tract: Anthem West Unit 2 / Lot Size: 6,440 Year Built / Eff: 2006 / Rec. Date / Price: 04/03/2023 / $585,000 Living Area: 3,328 # of units: Document #: 168832 Bedrooms: Pool: Pool Total Tax Value: $331,200 Bath(F/H):
Customer Name : Lisa Mrazek Customer Company Name : First American Title Insurance Company Prepared On : 03/27/2024 © 2024 CoreLogic. All rights reserved
Use: Sfr Subdivision
/

#11   4508 W Rushmore Dr New River Az 85087

Owner Name: Cairns Richard D Jr /Cairns Samanth

APN / Alternate APN: 202-30-075 / Deed Type: Warranty Deed Land Use: Sfr

Subdivision / Tract: Anthem West Unit 2 / Lot Size: 9,117 Year Built / Eff: 2005 /

Date / Price: 10/31/2023 / $734,900

#12   4606 W Challenger Trl New River Az 85087

Owner Name: Davis Lawrence E Jr /Davis Alisa A

APN / Alternate APN: 202-30-024 / Deed Type: Warranty Deed Land Use: Sfr Subdivision / Tract: Anthem West Unit 2 / Lot Size: 10,543 Year Built / Eff: 2007 /

#13   4540 W Powell Dr New River Az 85087

Owner Name: Johnson Kyle /Langer Sabrina

APN / Alternate APN: 202-30-064 / Deed Type: Warranty Deed Land Use: Sfr

Subdivision / Tract: Anthem West Unit 2 / Lot Size: 9,490

#14   4611 W Powell Dr New River Az 85087

Owner Name: Taylor Brian /Jones Amanda R

APN / Alternate APN: 202-30-127 / Deed Type: Warranty Deed

Use: Sfr

#15   44623 N 41st Ln New River Az 85087

Owner Name: Garza Peter W /Sanchez Cynthia APN / Alternate APN: 202-23-540 / Deed Type: Warranty Deed

Rec.
Living
#
#:
Bedrooms: Pool:
Total Tax Value: $370,700 Bath(F/H):
Area: 3,432
of units: Document
564264
Pool
/
Rec.
Living
#
Document #:
Bedrooms: Pool:
Total Tax Value: $423,000 Bath(F/H):
Date / Price: 06/30/2023 / $797,777
Area: 3,707
of units:
345534
Pool
/
Year
Rec.
Price:
Living Area:
# of units: Document #: 612612 Bedrooms: Pool: Pool Total Tax Value: $371,800 Bath(F/H):
Built / Eff: 2006 /
Date /
11/30/2023 / $685,000
3,432
/
Unit 2
Size:
Year Built / Eff: 2005 / Rec. Date / Price:
$695,000 Living Area: 3,432 # of units: Document #: 438965 Bedrooms: Pool: Pool Total Tax Value: $367,600 Bath(F/H):
Land
Subdivision / Tract: Anthem West
/ Lot
8,667
08/22/2023 /
/
Subdivision
Ranch
Year Built / Eff: 2018
Rec. Date / Price: 07/26/2023 / $715,000 Living Area: 3,842 # of units: Document #: 389531 Bedrooms: Pool: Total Tax Value: $410,200 Bath(F/H): / Customer Name : Lisa Mrazek Customer Company Name : First American Title Insurance Company Prepared On : 03/27/2024 © 2024 CoreLogic. All rights reserved
Land Use: Sfr
/ Tract: Circle Mountain
/ Lot Size: 7,738
/
Subject Property :   43804 N 48th Dr New River AZ 85087 Customer Name : Lisa Mrazek Customer Company Name : First American Title Insurance Company Prepared On : 03/27/2024 © 2024 CoreLogic. All rights reserved
Customer Name : Lisa Mrazek Customer Company Name : First American Title Insurance Company Prepared On : 03/27/2024 © 2024 CoreLogic. All rights reserved

43716 N 48TH DR Distance 0.02 Miles

Owner Name : Dilyard Scott T

Sale Date : 06/23/2009

Total Value : $447,600

Bed / Bath : / 4

Land Use : Sfr

Stories : 1

Subdivision : Anthem Unit 81b

Recording Date : 06/25/2009

Sale Price  : $368,990

Property Tax : $3,936.66

Lot Acres : 0.31

Living Area : 3,484

Yr Blt / Eff Yr Blt : 2008 / APN : 202-22-890

43808 N 48TH DR Distance 0.02 Miles

Owner Name : Osmon Karen L R Subdivision : Anthem Unit 81b

Sale Date : 06/22/2010

Total Value : $429,800

Bed / Bath : / 4

Land Use : Sfr

Stories : 1

Recording Date : 06/25/2010

Sale Price  : $337,500

Property Tax : $4,037.08

Lot Acres : 0.32

Living Area : 3,337

Yr Blt / Eff Yr Blt : 2009 / APN : 202-22-888

43712 N 48TH DR Distance 0.03 Miles

Owner Name : Rodgers Michelle

Sale Date : 12/28/2007

Total Value : $490,000

Bed / Bath : / 5

Land Use : Sfr

Stories : 1

Subdivision : Anthem Unit 81b

Recording Date : 01/02/2008

Sale Price  : $553,735

Property Tax : $4,853.50

Lot Acres : 0.33

Living Area : 3,890

Yr Blt / Eff Yr Blt : 2007 / APN : 202-22-891

4725 W SAMPLES LN

Owner Name : Krenz Mark

Sale Date : 01/03/2024

Total Value : $425,800

Bed / Bath : / 4

Land Use : Sfr

Stories : 1

Distance 0.03 Miles

Subdivision : Anthem Unit 81b

Recording Date : 01/12/2024

Sale Price  : $810,000

Property Tax : $3,028.30

Lot Acres : 0.36

Living Area : 3,084

Yr Blt / Eff Yr Blt : 2012 / APN : 202-22-967 Customer

Name : Lisa Mrazek Customer Company Name : First American Title Insurance Company Prepared On : 03/27/2024 © 2024 CoreLogic. All rights reserved

N 48TH DR Distance 0.04 Miles

Owner Name : Szymanski Daniel E & Pearlie M

Sale Date : 12/07/2009

Total Value : $468,100

Bed / Bath : / 6

Land Use : Sfr

Stories : 2

Subdivision : Anthem Unit 81b

Recording Date : 12/10/2009

Sale Price  : $372,000

Property Tax : $4,542.62

Lot Acres : 0.32

Living Area : 4,408

Yr Blt / Eff Yr Blt : 2009 / APN : 202-22-887

4724 W SAMPLES LN Distance 0.05 Miles

Owner Name : Bray Lacey Subdivision : Anthem Unit 81b

Sale Date : 03/14/2012

Total Value : $334,100

Bed / Bath : / 3

Land Use : Sfr

Stories : 1

Recording Date : 03/19/2012

Sale Price  : $244,837

Property Tax : $2,833.16

Lot Acres : 0.43

Living Area : 2,128

Yr Blt / Eff Yr Blt : 2011 / APN : 202-22-975

43816 N 48TH DR Distance 0.05 Miles

Owner Name : Benham Family Living Trust Subdivision : Anthem Unit 81b

Sale Date : 09/25/2020

Total Value : $498,100

Bed / Bath : / 5

Land Use : Sfr

Stories : 1

Recording Date : 10/29/2020

Sale Price  : $649,000

Property Tax : $4,936.64

Lot Acres : 0.32

Living Area : 3,890

Yr Blt / Eff Yr Blt : 2008 / APN : 202-22-886

43812
Customer Name : Lisa Mrazek Customer Company Name : First American Title Insurance Company Prepared On : 03/27/2024 © 2024 CoreLogic. All rights reserved

4721 W SAMPLES LN Distance 0.05 Miles

Owner Name : Logan Subdivision : Anthem Unit 81b

Sale Date : 06/10/2021

Total Value : $303,700

Recording Date : 06/16/2021

Sale Price  : $501,000

Bed / Bath : / 3 Property Tax : $2,320.52

Land Use : Sfr

Lot Acres : 0.32

Stories : 1 Living Area : 1,896

Yr Blt / Eff Yr Blt : 2012 / APN : 202-22-968

43708 N 48TH DR Distance 0.05 Miles

Owner Name : Espiau Kenneth E Subdivision : Anthem Unit 81b

Sale Date : 08/27/2008

Total Value : $459,300

Bed / Bath : / 6

Land Use : Sfr

Stories : 2

Recording Date : 09/02/2008

Sale Price  : $509,990

Property Tax : $5,119.14

Lot Acres : 0.32

Living Area : 4,911

Yr Blt / Eff Yr Blt : 2008 / APN : 202-22-892

4726 W LAPENNA DR Distance 0.05 Miles

Owner Name : Leonard Mary A Living Subdivision : Anthem Unit 81b

Sale Date : 02/21/2024

Total Value : $415,500

Recording Date : 02/29/2024

Sale Price  : $720,000

Bed / Bath : / 4 Property Tax : $3,628.72

Land Use : Sfr

Lot Acres : 0.40

Stories : 1 Living Area : 2,666

Yr Blt / Eff Yr Blt : 2012 / APN : 202-22-966

Name : Lisa Mrazek Customer Company Name : First American Title Insurance Company Prepared On : 03/27/2024 © 2024 CoreLogic. All rights reserved
Customer
Census Tract / block: 6100.02 / 2     Year: 2020 Household Population Population by Age Count: 6,085 0 - 11 Estimate Current Year: 6,085 12 - 17 Estimate in 5 Years: 6,085 18 - 24 4.65% Growth Last 5 Years: 25 - 64 56.34% Growth Last 10 Years: 65 - 74 12.29% 75+ Household Size Household Income Current Year: 1,859 0 - $25,000 13.02% Average Current Year: 2.58 $25,000 - $35,000 0% Estimate in 5 Years: 1,859 $35,000 - $50,000 7.32% Growth Last 5 Years: $50,000 - $75,000 10.87% Growth Last 10 Years: $75,000 - $100,000 18.4% Male Population: 57.72% Above $100,000 50.4% Female Population: 42.28% Average Household Income: $103,603 Married People: 51.75% Unmarried People: 48.25% Housing Median Mortgage Payments Home Values Under $300: 1.07% Below $100,000: 8.31% $300 - $799: 43.07% $100,000 - $150,000: 0% $800 - $1,999: 32.93% $150,000 - $200,000: 1.01% Over $2,000: 22.92% $200,000 - $300,000: 23.36% Median Home Value: $357,100 $300,000 - $500,000: 41.69% Unit Occupied Owner: 85.42% Above $500,000: 25.63% Median Mortgage: $1,296 Customer Name : Lisa Mrazek Customer Company Name : First American Title Insurance Company Prepared On : 03/27/2024 © 2024 CoreLogic. All rights reserved
Rent Payments Year Built Unit Occupied Renter: 14.58% 1999 - 2000 Median Gross Rent: $1,820 1995 - 1998 Less Than $499 0% 1990 - 1994 $500 - $749 9.52% 1980 - 1989 3.98% $750 - $999 0% 1970 - 1979 1.6% $1000 and Over 90.48% 1900 - 1969 0.83% Education Enrollment Public Pre-Primary School: 0% Not Enrolled in School: 73.09% Private Pre-Primary School: 0% Not A High School Graduate: 9.45% Public School: 21.22% Graduate Of High School: 23.65% Private School: 5.7% Attended Some College: 24.03% Public College: 2.6% College Graduate: 32.51% Private College: 1.96% Graduate Degree: 10.36% Workforce Occupation: Manager/Prof: 55.07% Private Worker: 74.74% Technical: Government Worker: 5.92% Sales: 23.47% Self Employed Worker: 4.65% Administrative: Unpaid Family Worker: 6.13% Private House Hold: Farming: 1.85% Service: 10.57% Skilled: Protective Services: Blue-Collar: 10.89% Commute Time Less Than 15 Min: 16.07% 15 min - 28 min: 30.01% 30 min - 57 min: 35.6% Over 60 min: 18.33% Customer Name : Lisa Mrazek Customer Company Name : First American Title Insurance Company Prepared On : 03/27/2024 © 2024 CoreLogic. All rights reserved
Customer Name : Lisa Mrazek Customer Company Name : First American Title Insurance Company Prepared On : 03/27/2024 © 2024 CoreLogic. All rights reserved
Customer Name : Lisa Mrazek Customer Company Name : First American Title Insurance Company Prepared On : 03/27/2024 © 2024 CoreLogic. All rights reserved
Customer Name : Lisa Mrazek Customer Company Name : First American Title Insurance Company Prepared On : 03/27/2024 © 2024 CoreLogic. All rights reserved
Arizona Schools For detailed information and statistics on Arizona schools please go to https://azreportcards.azed.gov/ First American Title Insurance Company, and the operating divisions thereof, make no express or implied warranty respecting the information presented and assume no responsibility for errors or omissions. First American, the eagle logo, First American Title, and firstam.com are registered trademarks or trademarks of First American Financial Corporation and/or its affiliates. ©2021 First American Financial Corporation and/or its affiliates. All rights reserved. NYSE: FAF 05117910421

PARCEL:  202-22-889

PARCEL: 202-22-889 4

OWNER: CALDWELL CRAIG R/LYNN

SITUS: 43804 N 48TH DR NEW RIVER

MAIL: 43804 N 48TH DR  NEW RIVER, AZ 85087

PLAT: 835 -   49 LOT    193

LEGAL: ANTHEM UNIT 81B MCR 835-49

SEARCH PARAMETERS

+ FIRST AMERICAN TITLE, FC0, LMRA MARICOPA, AZ 03/27/2024  04:42PM  RL13  INVESTIGATIVE SEARCH RESULTS PAGE 1 OF 1
INSTRUMENT REC DATE
2017 629673 08/25/2017
CURRENT TAXES INFORMATION THROUGH 03/22/2024 LAND IMPR EXEMPT RATE AREA SPECIAL DISTRICTS PRIMARY  47,130  0  0  6.9738  971300  30002  SECONDARY  14,120  56,480  0  4.0106  2023 TOTAL TAX BILLED 4,576.96
TAX AMT TAX DUE INTEREST DATE PAID TOTAL DUE FIRST HALF  2,288.48  0.00  0.00  10/23/2023  0.00  SECOND HALF  2,288.48  0.00  0.00  02/20/2024  0.00  TOTAL CURRENT TAXES DUE 03/24 0.00 04/24 0.00 RESIDENTIAL IMPROVEMENTS BLDG SQFT  3,890 COOLING  REFRIGERATION YEAR BUILT  2007 EXTERIOR WALLS  OTHER NUMBER OF STORIES  1.0 ROOF  OTHER NUMBER OF ROOMS CONSTRUCTION CLASS  R5 NUMBER OF BATH FIXTURES  15 PHYSICAL CONDITION  OTHER PATIO (TYPE AND NUMBER)  UNCOVERED_AND_COVERED 3 LAND USE  01 51 GARAGE (TYPE AND NUMBER)  GARAGE 4 LOT SIZE  13,775 SQ FT POOL SQ FT  444 SCHOOL DISTRICT  971300 HEATING LAND FULL CASH VALUE  141,200 IMPR FULL CASH VALUE 564,800 SALES SALE DATE SALE AMOUNT INSTRUMENT TYPE SELLER NAME VALIDITY 04/20/2017 460,000    2017 283067 WD WYNNE WILLIE A 07/14/2010 375,000    2010 596056 WD H36 PROPERTIES LLC 04/28/2008 465,899    2008 371276 SD ANTHEM ARIZONA LLC ADDITIONAL PROPERTY INFORMATION STANDARD LAND USE: SFR END SEARCH
2023

Covenants, Conditions & Restrictions

Thank you for the opportunity to be of service.

Restrictions indicating a preference, limitation or discrimination based on race, color, religion, sex, handicap, familial status, or national origin are hereby deleted to the extent such restrictions violate 42 USC 3604(c).

This information is furnished without fee and without benefit of a complete title search. No liability is assumed by First American Title. If it is desired that liability be assumed, you may apply for a policy of title insurance with First American Title Insurance Company.

MARICOPA,AZPage1of9Printedon3/27/20244:46:04PM

Document:PLAT_MAP835.49

Branch:FC0,User:LMRAComment:StationId:RL13

MARICOPA,AZPage2of9Printedon3/27/20244:46:05PM

Document:PLAT_MAP835.49

Branch:FC0,User:LMRAComment:StationId:RL13

MARICOPA,AZPage3of9Printedon3/27/20244:46:05PM

Document:PLAT_MAP835.49

Branch:FC0,User:LMRAComment:StationId:RL13

MARICOPA,AZPage4of9Printedon3/27/20244:46:05PM

Document:PLAT_MAP835.49

Branch:FC0,User:LMRAComment:StationId:RL13

MARICOPA,AZPage5of9Printedon3/27/20244:46:06PM

Document:PLAT_MAP835.49

Branch:FC0,User:LMRAComment:StationId:RL13

MARICOPA,AZPage6of9Printedon3/27/20244:46:06PM

Document:PLAT_MAP835.49

Branch:FC0,User:LMRAComment:StationId:RL13

MARICOPA,AZPage7of9Printedon3/27/20244:46:07PM

Document:PLAT_MAP835.49

Branch:FC0,User:LMRAComment:StationId:RL13

MARICOPA,AZPage8of9Printedon3/27/20244:46:07PM

Document:PLAT_MAP835.49

Branch:FC0,User:LMRAComment:StationId:RL13

MARICOPA,AZPage9of9Printedon3/27/20244:46:08PM

Document:PLAT_MAP835.49

Branch:FC0,User:LMRAComment:StationId:RL13
Branch:FC0,User:LMRAComment:StationId:RL13
MARICOPA,AZPage1of4Printedon3/27/20244:46:08PM Document:RESAMD2006.724391
Branch:FC0,User:LMRAComment:StationId:RL13
MARICOPA,AZPage2of4Printedon3/27/20244:46:08PM Document:RESAMD2006.724391
Branch:FC0,User:LMRAComment:StationId:RL13
MARICOPA,AZPage3of4Printedon3/27/20244:46:08PM Document:RESAMD2006.724391
Branch:FC0,User:LMRAComment:StationId:RL13
MARICOPA,AZPage4of4Printedon3/27/20244:46:09PM Document:RESAMD2006.724391

MARICOPA,AZPage1of3Printedon3/27/20244:46:09PM

Document:RESAMD2006.1443950

Branch:FC0,User:LMRAComment:StationId:RL13

MARICOPA,AZPage2of3Printedon3/27/20244:46:09PM

Document:RESAMD2006.1443950

Branch:FC0,User:LMRAComment:StationId:RL13

MARICOPA,AZPage3of3Printedon3/27/20244:46:09PM

Document:RESAMD2006.1443950

Branch:FC0,User:LMRAComment:StationId:RL13

MARICOPA,AZPage1of24Printedon3/27/20244:46:09PM

Document:RES2012.174724

Branch:FC0,User:LMRAComment:StationId:RL13

MARICOPA,AZPage2of24Printedon3/27/20244:46:10PM

Document:RES2012.174724

Branch:FC0,User:LMRAComment:StationId:RL13

MARICOPA,AZPage3of24Printedon3/27/20244:46:10PM

Document:RES2012.174724

Branch:FC0,User:LMRAComment:StationId:RL13

MARICOPA,AZPage4of24Printedon3/27/20244:46:10PM

Document:RES2012.174724

Branch:FC0,User:LMRAComment:StationId:RL13

MARICOPA,AZPage5of24Printedon3/27/20244:46:10PM

Document:RES2012.174724

Branch:FC0,User:LMRAComment:StationId:RL13

MARICOPA,AZPage6of24Printedon3/27/20244:46:10PM

Document:RES2012.174724

Branch:FC0,User:LMRAComment:StationId:RL13
Branch:FC0,User:LMRAComment:StationId:RL13
MARICOPA,AZPage7of24Printedon3/27/20244:46:11PM Document:RES2012.174724
Branch:FC0,User:LMRAComment:StationId:RL13
MARICOPA,AZPage8of24Printedon3/27/20244:46:11PM Document:RES2012.174724
Branch:FC0,User:LMRAComment:StationId:RL13
MARICOPA,AZPage9of24Printedon3/27/20244:46:11PM Document:RES2012.174724

MARICOPA,AZPage10of24Printedon3/27/20244:46:11PM

Document:RES2012.174724

Branch:FC0,User:LMRAComment:StationId:RL13

MARICOPA,AZPage11of24Printedon3/27/20244:46:12PM

Document:RES2012.174724

Branch:FC0,User:LMRAComment:StationId:RL13

Document:RES2012.174724

Branch:FC0,User:LMRAComment:StationId:RL13
MARICOPA,AZPage12of24Printedon3/27/20244:46:12PM

MARICOPA,AZPage13of24Printedon3/27/20244:46:12PM

Document:RES2012.174724

Branch:FC0,User:LMRAComment:StationId:RL13

MARICOPA,AZPage14of24Printedon3/27/20244:46:12PM

Document:RES2012.174724

Branch:FC0,User:LMRAComment:StationId:RL13

MARICOPA,AZPage15of24Printedon3/27/20244:46:12PM

Document:RES2012.174724

Branch:FC0,User:LMRAComment:StationId:RL13

MARICOPA,AZPage16of24Printedon3/27/20244:46:12PM

Document:RES2012.174724

Branch:FC0,User:LMRAComment:StationId:RL13

MARICOPA,AZPage17of24Printedon3/27/20244:46:13PM

Document:RES2012.174724

Branch:FC0,User:LMRAComment:StationId:RL13

MARICOPA,AZPage18of24Printedon3/27/20244:46:13PM

Document:RES2012.174724

Branch:FC0,User:LMRAComment:StationId:RL13

MARICOPA,AZPage19of24Printedon3/27/20244:46:13PM

Document:RES2012.174724

Branch:FC0,User:LMRAComment:StationId:RL13

MARICOPA,AZPage20of24Printedon3/27/20244:46:13PM

Document:RES2012.174724

Branch:FC0,User:LMRAComment:StationId:RL13

MARICOPA,AZPage21of24Printedon3/27/20244:46:13PM

Document:RES2012.174724

Branch:FC0,User:LMRAComment:StationId:RL13

MARICOPA,AZPage22of24Printedon3/27/20244:46:14PM

Document:RES2012.174724

Branch:FC0,User:LMRAComment:StationId:RL13

MARICOPA,AZPage23of24Printedon3/27/20244:46:14PM

Document:RES2012.174724

Branch:FC0,User:LMRAComment:StationId:RL13

MARICOPA,AZPage24of24Printedon3/27/20244:46:14PM

Document:RES2012.174724

Branch:FC0,User:LMRAComment:StationId:RL13
Branch:FC0,User:LMRAComment:StationId:RL13
MARICOPA,AZPage1of67Printedon3/27/20244:46:36PM Document:RES1999.42711
Branch:FC0,User:LMRAComment:StationId:RL13
Document:RES1999.42711
MARICOPA,AZPage2of67Printedon3/27/20244:46:37PM
Branch:FC0,User:LMRAComment:StationId:RL13
Document:RES1999.42711
MARICOPA,AZPage3of67Printedon3/27/20244:46:37PM
Branch:FC0,User:LMRAComment:StationId:RL13
Document:RES1999.42711
MARICOPA,AZPage4of67Printedon3/27/20244:46:37PM

MARICOPA,AZPage5of67Printedon3/27/20244:46:37PM

Document:RES1999.42711

Branch:FC0,User:LMRAComment:StationId:RL13
Branch:FC0,User:LMRAComment:StationId:RL13 MARICOPA,AZPage6of67Printedon3/27/20244:46:37PM Document:RES1999.42711
Branch:FC0,User:LMRAComment:StationId:RL13
Document:RES1999.42711
MARICOPA,AZPage7of67Printedon3/27/20244:46:37PM
Branch:FC0,User:LMRAComment:StationId:RL13
Document:RES1999.42711
MARICOPA,AZPage8of67Printedon3/27/20244:46:37PM
Branch:FC0,User:LMRAComment:StationId:RL13
MARICOPA,AZPage9of67Printedon3/27/20244:46:38PM Document:RES1999.42711
Branch:FC0,User:LMRAComment:StationId:RL13
MARICOPA,AZPage10of67Printedon3/27/20244:46:38PM Document:RES1999.42711
Branch:FC0,User:LMRAComment:StationId:RL13
MARICOPA,AZPage11of67Printedon3/27/20244:46:38PM Document:RES1999.42711
Branch:FC0,User:LMRAComment:StationId:RL13
Document:RES1999.42711
MARICOPA,AZPage12of67Printedon3/27/20244:46:38PM
Branch:FC0,User:LMRAComment:StationId:RL13
MARICOPA,AZPage13of67Printedon3/27/20244:46:38PM Document:RES1999.42711
Branch:FC0,User:LMRAComment:StationId:RL13
MARICOPA,AZPage14of67Printedon3/27/20244:46:38PM Document:RES1999.42711
Branch:FC0,User:LMRAComment:StationId:RL13 MARICOPA,AZPage15of67Printedon3/27/20244:46:39PM Document:RES1999.42711
Branch:FC0,User:LMRAComment:StationId:RL13
MARICOPA,AZPage16of67Printedon3/27/20244:46:39PM Document:RES1999.42711
Branch:FC0,User:LMRAComment:StationId:RL13
MARICOPA,AZPage17of67Printedon3/27/20244:46:39PM Document:RES1999.42711
Branch:FC0,User:LMRAComment:StationId:RL13
Document:RES1999.42711
MARICOPA,AZPage18of67Printedon3/27/20244:46:39PM
Branch:FC0,User:LMRAComment:StationId:RL13
MARICOPA,AZPage19of67Printedon3/27/20244:46:39PM Document:RES1999.42711
Branch:FC0,User:LMRAComment:StationId:RL13
MARICOPA,AZPage20of67Printedon3/27/20244:46:39PM Document:RES1999.42711
Branch:FC0,User:LMRAComment:StationId:RL13
MARICOPA,AZPage21of67Printedon3/27/20244:46:39PM Document:RES1999.42711
Branch:FC0,User:LMRAComment:StationId:RL13
MARICOPA,AZPage22of67Printedon3/27/20244:46:40PM Document:RES1999.42711
Branch:FC0,User:LMRAComment:StationId:RL13
MARICOPA,AZPage23of67Printedon3/27/20244:46:40PM Document:RES1999.42711
Branch:FC0,User:LMRAComment:StationId:RL13
MARICOPA,AZPage24of67Printedon3/27/20244:46:40PM Document:RES1999.42711
Branch:FC0,User:LMRAComment:StationId:RL13
MARICOPA,AZPage25of67Printedon3/27/20244:46:40PM Document:RES1999.42711
Branch:FC0,User:LMRAComment:StationId:RL13
MARICOPA,AZPage26of67Printedon3/27/20244:46:40PM Document:RES1999.42711
Branch:FC0,User:LMRAComment:StationId:RL13
MARICOPA,AZPage27of67Printedon3/27/20244:46:40PM Document:RES1999.42711
Branch:FC0,User:LMRAComment:StationId:RL13
MARICOPA,AZPage28of67Printedon3/27/20244:46:40PM Document:RES1999.42711
Branch:FC0,User:LMRAComment:StationId:RL13 MARICOPA,AZPage29of67Printedon3/27/20244:46:41PM Document:RES1999.42711
Branch:FC0,User:LMRAComment:StationId:RL13
Document:RES1999.42711
MARICOPA,AZPage30of67Printedon3/27/20244:46:41PM
Branch:FC0,User:LMRAComment:StationId:RL13 MARICOPA,AZPage31of67Printedon3/27/20244:46:41PM Document:RES1999.42711
Branch:FC0,User:LMRAComment:StationId:RL13 MARICOPA,AZPage32of67Printedon3/27/20244:46:41PM Document:RES1999.42711
Branch:FC0,User:LMRAComment:StationId:RL13 MARICOPA,AZPage33of67Printedon3/27/20244:46:41PM Document:RES1999.42711
Branch:FC0,User:LMRAComment:StationId:RL13 MARICOPA,AZPage34of67Printedon3/27/20244:46:41PM Document:RES1999.42711
Branch:FC0,User:LMRAComment:StationId:RL13 MARICOPA,AZPage35of67Printedon3/27/20244:46:41PM Document:RES1999.42711
Branch:FC0,User:LMRAComment:StationId:RL13
MARICOPA,AZPage36of67Printedon3/27/20244:46:42PM Document:RES1999.42711
Branch:FC0,User:LMRAComment:StationId:RL13 MARICOPA,AZPage37of67Printedon3/27/20244:46:42PM Document:RES1999.42711
Branch:FC0,User:LMRAComment:StationId:RL13 MARICOPA,AZPage38of67Printedon3/27/20244:46:42PM Document:RES1999.42711
Branch:FC0,User:LMRAComment:StationId:RL13
MARICOPA,AZPage39of67Printedon3/27/20244:46:42PM Document:RES1999.42711
Branch:FC0,User:LMRAComment:StationId:RL13
Document:RES1999.42711
MARICOPA,AZPage40of67Printedon3/27/20244:46:42PM
Branch:FC0,User:LMRAComment:StationId:RL13 MARICOPA,AZPage41of67Printedon3/27/20244:46:42PM Document:RES1999.42711
Branch:FC0,User:LMRAComment:StationId:RL13
Document:RES1999.42711
MARICOPA,AZPage42of67Printedon3/27/20244:46:42PM
Branch:FC0,User:LMRAComment:StationId:RL13
Document:RES1999.42711
MARICOPA,AZPage43of67Printedon3/27/20244:46:43PM
Branch:FC0,User:LMRAComment:StationId:RL13 MARICOPA,AZPage44of67Printedon3/27/20244:46:43PM Document:RES1999.42711
Branch:FC0,User:LMRAComment:StationId:RL13 MARICOPA,AZPage45of67Printedon3/27/20244:46:43PM Document:RES1999.42711
Branch:FC0,User:LMRAComment:StationId:RL13
Document:RES1999.42711
MARICOPA,AZPage46of67Printedon3/27/20244:46:44PM
Branch:FC0,User:LMRAComment:StationId:RL13 MARICOPA,AZPage47of67Printedon3/27/20244:46:44PM Document:RES1999.42711
Branch:FC0,User:LMRAComment:StationId:RL13
Document:RES1999.42711
MARICOPA,AZPage48of67Printedon3/27/20244:46:44PM
Branch:FC0,User:LMRAComment:StationId:RL13
Document:RES1999.42711
MARICOPA,AZPage49of67Printedon3/27/20244:46:44PM
Branch:FC0,User:LMRAComment:StationId:RL13
MARICOPA,AZPage50of67Printedon3/27/20244:46:45PM Document:RES1999.42711
Branch:FC0,User:LMRAComment:StationId:RL13
MARICOPA,AZPage51of67Printedon3/27/20244:46:45PM Document:RES1999.42711
Branch:FC0,User:LMRAComment:StationId:RL13
MARICOPA,AZPage52of67Printedon3/27/20244:46:45PM Document:RES1999.42711
Branch:FC0,User:LMRAComment:StationId:RL13
MARICOPA,AZPage53of67Printedon3/27/20244:46:45PM Document:RES1999.42711
Branch:FC0,User:LMRAComment:StationId:RL13
MARICOPA,AZPage54of67Printedon3/27/20244:46:45PM Document:RES1999.42711
Branch:FC0,User:LMRAComment:StationId:RL13
MARICOPA,AZPage55of67Printedon3/27/20244:46:46PM Document:RES1999.42711
Branch:FC0,User:LMRAComment:StationId:RL13
MARICOPA,AZPage56of67Printedon3/27/20244:46:46PM Document:RES1999.42711

MARICOPA,AZPage57of67Printedon3/27/20244:46:46PM

Document:RES1999.42711

Branch:FC0,User:LMRAComment:StationId:RL13
Branch:FC0,User:LMRAComment:StationId:RL13
MARICOPA,AZPage58of67Printedon3/27/20244:46:46PM Document:RES1999.42711

MARICOPA,AZPage59of67Printedon3/27/20244:46:46PM

Document:RES1999.42711

Branch:FC0,User:LMRAComment:StationId:RL13

MARICOPA,AZPage60of67Printedon3/27/20244:46:46PM

Document:RES1999.42711

Branch:FC0,User:LMRAComment:StationId:RL13
Branch:FC0,User:LMRAComment:StationId:RL13 MARICOPA,AZPage61of67Printedon3/27/20244:46:47PM Document:RES1999.42711
Branch:FC0,User:LMRAComment:StationId:RL13
Document:RES1999.42711
MARICOPA,AZPage62of67Printedon3/27/20244:46:47PM
Branch:FC0,User:LMRAComment:StationId:RL13
Document:RES1999.42711
MARICOPA,AZPage63of67Printedon3/27/20244:46:47PM
Branch:FC0,User:LMRAComment:StationId:RL13 MARICOPA,AZPage64of67Printedon3/27/20244:46:48PM Document:RES1999.42711
Branch:FC0,User:LMRAComment:StationId:RL13
MARICOPA,AZPage65of67Printedon3/27/20244:46:48PM Document:RES1999.42711
Branch:FC0,User:LMRAComment:StationId:RL13
MARICOPA,AZPage66of67Printedon3/27/20244:46:48PM Document:RES1999.42711

MARICOPA,AZPage67of67Printedon3/27/20244:46:48PM Document:RES1999.42711

Branch:FC0,User:LMRAComment:StationId:RL13

Turn static files into dynamic content formats.

Create a flipbook
Issuu converts static files into: digital portfolios, online yearbooks, online catalogs, digital photo albums and more. Sign up and create your flipbook.