WIRE FRAUD ALERT THINK DIFFERENTLY
Email-based, real estate fraud schemes are on the rise. One common scenario is altering wiring instructions with the intention of rerouting funds.
Keeping this in mind, First American Title is changing the way we receive payment information. It is imperative that we are familiar with the people in our transactions.
RELYING ON EMAIL ALONE IS NO LONGER AN OPTION.
Fraudsters often use email to send falsified wire instructions to unsuspecting victims. Please warn your buyers and sellers to only follow wire instructions they receive personally from First American Title.
Additionally, we will not accept disbursement instructions for seller or buyer funds via email OR from any third party (attorney, real estate agent, etc).
ALTERNATIVE INSTRUCTIONS?
If your buyer or seller receives alternative wiring instructions that appear to be from First American Title, make sure they contact their escrow officer at a trusted phone number for confirmation.
Know that our wiring instructions do not change so any communication is suspect. Our banking institution is First American Trust.
IN SHORT – wire instructions will not be accepted by email. New wire instructions must be hand-carried or uploaded to the First American Secure Portal.
Thank you for joining First American Title in fostering a secure real estate transaction process. Have questions or concerns? Please contact our office or your escrow officer.
LIMITATION OF LIABILITY FOR INFORMATIONAL REPORTS
IMPORTANT -- PLEASE READ CAREFULLY:
This report is not an insured product or service or a representation of the condition of title to real property. It is not an abstract, legal opinion, opinion of title, title insurance commitment or preliminary report, or any form of Title Insurance or Guaranty. This report is issued exclusively for the benefit of the Applicant therefor and may not be used or relied upon by any other person. This report may not be reproduced in any manner without First Americans prior written consent. First American does not represent or warrant that the information herein is complete or free from error, and the information herein is provided without any warranties of any kind, as-is, and with all faults. As a material part of the consideration given in exchange for the issuance of this report, recipient agrees that First Americans sole liability for any loss or damage caused by an error or omission due to inaccurate information or negligence in preparing this report shall be limited to the fee charged for the report. Recipient accepts this report with this limitation and agrees that First American would not have issued this report but for the limitation of liability described above. First American makes no representation or warranty as to the legality or propriety of recipient's use of the information herein.


Disclaimer
This REiSource report is provided "as is" without warranty of any kind, either express or implied, including without limitations any warrantees of merchantability or fitness for a particular purpose. There is no representation of warranty that this information is complete or free from error, and the provider does not assume, and expressly disclaims, any liability to any person or entity for loss or damage caused by errors or omissions in this REiSource report without a title insurance policy.
The information contained in the REiSource report is delivered from your Title Company, who reminds you that you have the right as a consumer to compare fees and serviced levels for Title, Escrow, and all other services associated with property ownership, and to select providers accordingly. Your home is the largest investment you will make in your lifetime and you should demand the very best.
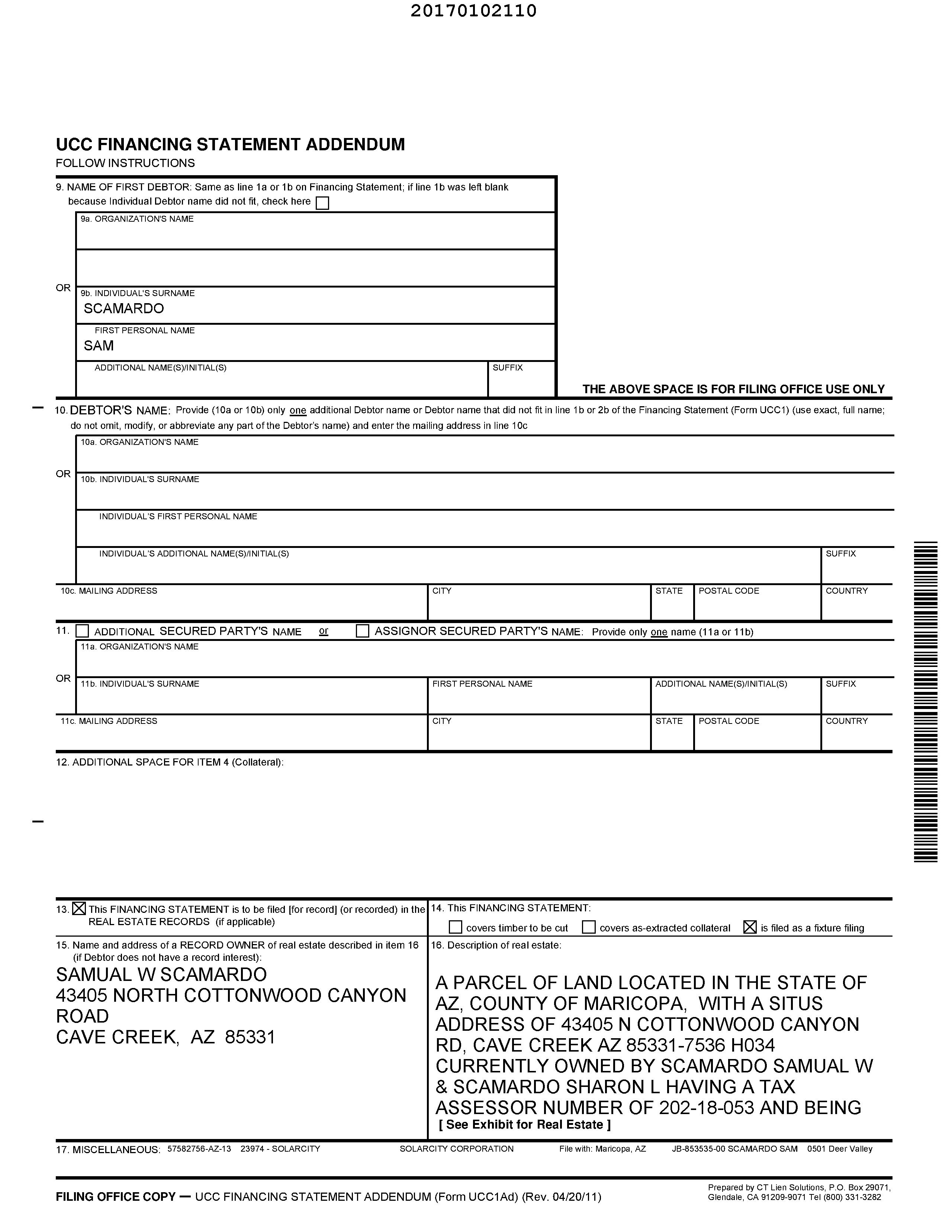
Subject Property : 43405 N Cottonwood Canyon Rd Cave Creek AZ 85331
Owner Information
Owner Name : Scamardo
Mailing Address : 43405 N Cottonwood Canyon Rd, Cave Creek AZ 85331-7536 H034
Vesting Codes : / / Trust
Owner Occupied Indicator : O
Location Information
Legal Description : Th Pt Sw4 Sw4 Ne4 Sec 10 Id As Parcel A Mcr 553-46 P/f 01-72503
County : Maricopa, Az APN : 202-18-053
Census Tract / Block : 304.02 / 1
Township-Range- Sect : 06N-04E-10
Owner Transfer Information
School District : Cave Creek 93
Neighbor Code : 20-003
Recording/Sale Date : 08/01/2019 / 07/31/2019 Deed Type : Special Warranty Deed Document # : 587543
Last Market Sale Information
Recording/Sale Date : 12/22/2016 / 12/07/2016
Sale Price : $1,250,000
1st Mtg Amount/Type : $1,000,000 / Cnv
1st Mtg Document # : 945063
Document # : 945062 1st Mtg Term : 30
Deed Type : Warranty Deed
Title Company : Chicago Title Agency
Lender : Lhm Fin'l Corp
Seller Name : Wilson Jeffrey M Family Trust
Prior Sale Information
Price Per SqFt : $304.58
Prior Rec/Sale Date : 05/07/2009 / 05/05/2009 Prior Doc Number : 408071
Prior Sale Price : $1,350,000
Prior Deed Type : Warranty Deed
Property Characteristics
Gross Area : 4,104
Living Area : 4,104
Total Rooms : 9
Year Built / Eff : 1998
# of Stories : 1
Parking Type : Garage
Property Information
Garage Capacity : 4
Roof Material : Built-up
Pool : Pool
Air Cond : Refrigeration
Heat Type : Forced Air Quality : Good
Cooling Type : Forced Air
Condition : Average
Exterior wall : Frame Wood Bath Fixtures : 13
Patio Type : Covered Patio
Land Use : Sfr Lot Size : 194,766
Zoning : RU-190
Lot Acres : 4.47
Tax Information Total Value : $1,707,700
Pool Size : 600
Sewer Type : Septic Tank
Water Type : Public Well State Use : Single Fam Resrural Non Subd ( 5 )
Summary of Comparables
Sales =
Census Tract / block: 304.02 / 1 Year: 2020
Arizona Schools
SEARCH PARAMETERS
PARCEL: 202-18-053
PARCEL: 202-18-053 1
OWNER: SCAMARDO FAMILY TRUST 2019 587543 08/01/2019
SITUS: 43405 N COTTONWOOD CANYON RD CAVE CREEK
MAIL: 43405 N COTTONWOOD CANYON RD CAVE CREEK, AZ 85331
SECTION: 10 TWP 6N RNG 4E
LEGAL: TH PT SW4 SW4 NE4 SEC 10 ID AS PARCEL A MCR 553-46 P/F 01-72503 CURRENT TAXES
RESIDENTIAL IMPROVEMENTS
END SEARCH
We are providing the requested information without CC&Rs.
Unfortunately, we are unable to confirm CC&Rs at this time, possibly because:
The property is too complex to obtain CC&Rs without a complete title examination
The property is sectional, whereas there are no “standard” subdivision‐type restrictions
A recorded plat may not exist
The recorded plat may be older, with limited information available, or
Recorded CC&Rs may not exist.
Once escrow is opened, the property will be thoroughly examined. CC&Rs and other matters that may “run with the land” will be disclosed in Schedule B of the Commitment for Title Insurance.
If you have questions, or need additional information at this time, please contact your First American Account Manager or Escrow Officer.