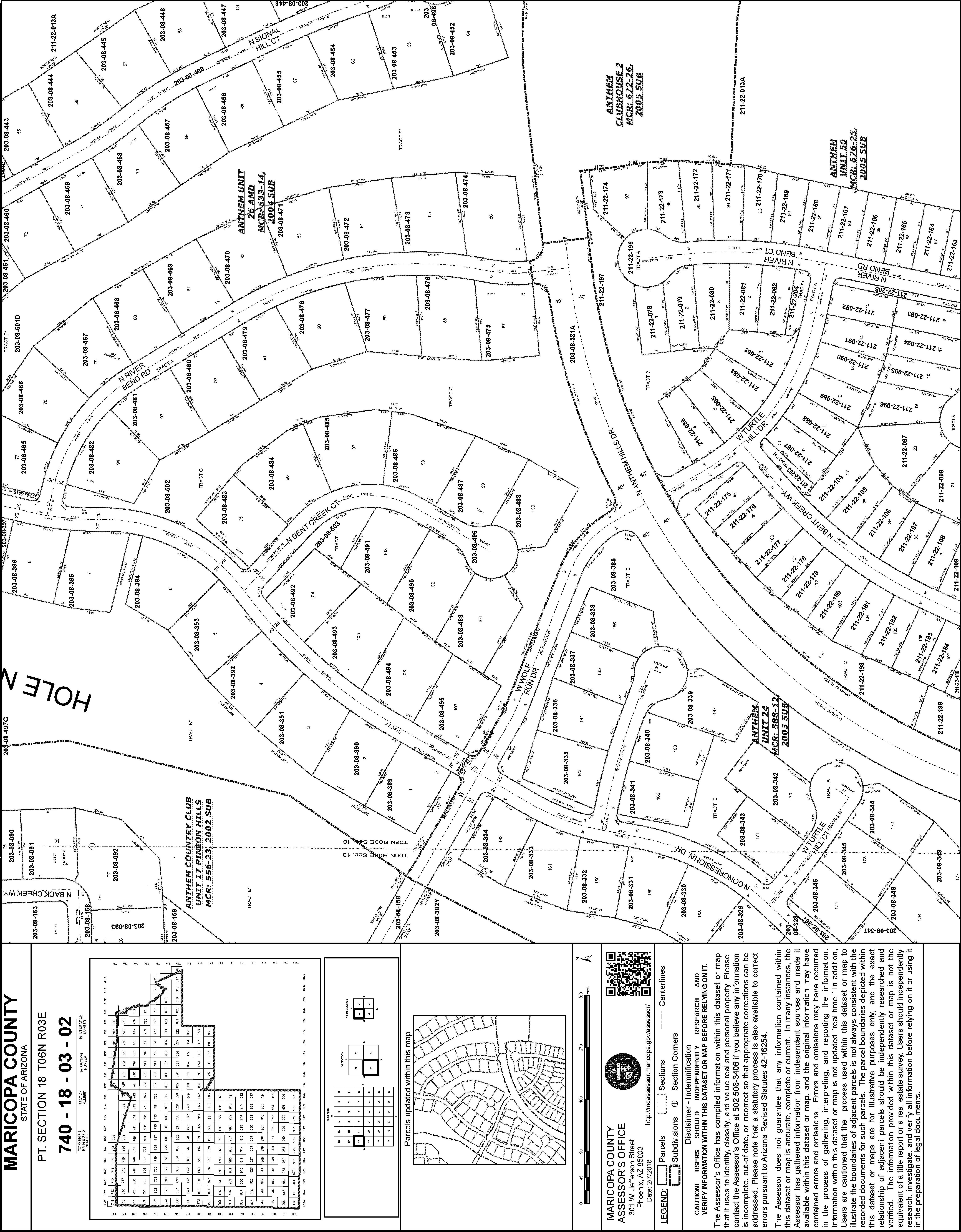
Subject Property
41602 N Congressional Dr
WIRE FRAUD ALERT THINK DIFFERENTLY
Email-based, real estate fraud schemes are on the rise. One common scenario is altering wiring instructions with the intention of rerouting funds.
Keeping this in mind, First American Title is changing the way we receive payment information. It is imperative that we are familiar with the people in our transactions.
RELYING ON EMAIL ALONE IS NO LONGER AN OPTION.
Fraudsters often use email to send falsified wire instructions to unsuspecting victims. Please warn your buyers and sellers to only follow wire instructions they receive personally from First American Title.
Additionally, we will not accept disbursement instructions for seller or buyer funds via email OR from any third party (attorney, real estate agent, etc).
ALTERNATIVE INSTRUCTIONS?
If your buyer or seller receives alternative wiring instructions that appear to be from First American Title, make sure they contact their escrow officer at a trusted phone number for confirmation.
Know that our wiring instructions do not change so any communication is suspect. Our banking institution is First American Trust.
IN SHORT – wire instructions will not be accepted by email. New wire instructions must be hand-carried or uploaded to the First American Secure Portal.
Thank you for joining First American Title in fostering a secure real estate transaction process. Have questions or concerns? Please contact our office or your escrow officer.
LIMITATION OF LIABILITY FOR INFORMATIONAL REPORTS
IMPORTANT -- PLEASE READ CAREFULLY:
This report is not an insured product or service or a representation of the condition of title to real property. It is not an abstract, legal opinion, opinion of title, title insurance commitment or preliminary report, or any form of Title Insurance or Guaranty. This report is issued exclusively for the benefit of the Applicant therefor and may not be used or relied upon by any other person. This report may not be reproduced in any manner without First Americans prior written consent. First American does not represent or warrant that the information herein is complete or free from error, and the information herein is provided without any warranties of any kind, as-is, and with all faults. As a material part of the consideration given in exchange for the issuance of this report, recipient agrees that First Americans sole liability for any loss or damage caused by an error or omission due to inaccurate information or negligence in preparing this report shall be limited to the fee charged for the report. Recipient accepts this report with this limitation and agrees that First American would not have issued this report but for the limitation of liability described above. First American makes no representation or warranty as to the legality or propriety of recipient's use of the information herein.

Disclaimer
This REiSource report is provided "as is" without warranty of any kind, either express or implied, including without limitations any warrantees of merchantability or fitness for a particular purpose. There is no representation of warranty that this information is complete or free from error, and the provider does not assume, and expressly disclaims, any liability to any person or entity for loss or damage caused by errors or omissions in this REiSource report without a title insurance policy.
The information contained in the REiSource report is delivered from your Title Company, who reminds you that you have the right as a consumer to compare fees and serviced levels for Title, Escrow, and all other services associated with property ownership, and to select providers accordingly. Your home is the largest investment you will make in your lifetime and you should demand the very best.
Subject Property : 41602 N Congressional Dr Phoenix AZ 85086
Owner Information
Owner Name : Carroll Denise L
Mailing Address : 12041 E Gold Dust Ave, Scottsdale AZ 85259-5115 R032
Vesting Codes : Married Woman / / Separate Property
Location Information
Legal Description : Lot 1 Anthem Unit 26 Amd Mcr 633-14
County : Maricopa, Az
Census Tract / Block : 6102.01 / 1
Township-Range- Sect : 06N-03E-18
Legal Lot : 1
APN : 203-08-389
Owner Transfer Information
Recording/Sale Date : 09/30/2025 / 09/26/2025
Document # : 562651
Last Market Sale Information
Recording/Sale Date : 09/30/2025 / 09/10/2025
Sale Price : $750,000
Subdivision : Anthem Unit 26 Amd
Map Reference : 63314
School District : Deer Valley 97
Neighbor Code : 08-007
Deed Type : Disclaimer Deed
1st Mtg Amount/Type : $600,000 / Cnv
1st Mtg Document # : 562652
Document # : 562650 1st Mtg Term : 30
Deed Type : Warranty Deed
Title Company : First American Title
Seller Name : Goodman Gracellen C
Prior Sale Information
Prior Rec/Sale Date : 02/17/2004 / 07/00/2003
Prior Sale Price : $467,636
Price Per SqFt : $195.77
Prior Doc Number : 152737
Prior Deed Type : Special Warranty Deed
Customer Name : Jeremiah Stiffler
Customer Company Name : First American Prepared On : 10/14/2025
Property Characteristics
Gross Area : 3,831
Living Area : 3,831
Total Rooms : 8
Year Built / Eff : 2003
# of Stories : 1
Parking Type : Garage
Property Information
Land Use : Sfr
Zoning : R1-10
Lot Acres : 0.29
Tax Information
Total Value : $850,600
Garage Capacity : 3
Patio Type : Covered Patio
Roof Material : Concrete Tile Air Cond : Refrigeration
Heat Type : Forced Air
Cooling Type : Forced Air
Quality : Good
Condition : Average
Exterior wall : Frame Wood Bath Fixtures : 13
Lot Size : 12,552
Site Influence : Golf Course
Water Influence : Golf Course
State Use : Single Fam Resurban Subd ( 5 )
Improve % : 80% Market Value : $850,600
Land Value : $170,100 Tax Year : 2024 Fire Dept Tax : 11577
Improvement Value : $680,500
Total Taxable Value : $60,166
Assessed Year : 2024
Tax : $6,479.72 Current Assessed Year : 2026
$63,175
Name : Jeremiah Stiffler
Company Name : First American Prepared On : 10/14/2025
Sales =
Census Tract / block: 6102.01 / 1 Year: 2020