3981 N Spirit Pl

Page 1


Subject Property

3981 N Spirit Pl Casa Grande AZ 85122 APN: 509-38-610

Provided

WIRE FRAUD ALERT THINK DIFFERENTLY

Email-based, real estate fraud schemes are on the rise. One common scenario is altering wiring instructions with the intention of rerouting funds.

Keeping this in mind, First American Title is changing the way we receive payment information. It is imperative that we are familiar with the people in our transactions.

RELYING ON EMAIL ALONE IS NO LONGER AN OPTION.

Fraudsters often use email to send falsified wire instructions to unsuspecting victims. Please warn your buyers and sellers to only follow wire instructions they receive personally from First American Title.

Additionally, we will not accept disbursement instructions for seller or buyer funds via email OR from any third party (attorney, real estate agent, etc).

ALTERNATIVE INSTRUCTIONS?

If your buyer or seller receives alternative wiring instructions that appear to be from First American Title, make sure they contact their escrow officer at a trusted phone number for confirmation.

Know that our wiring instructions do not change so any communication is suspect. Our banking institution is First American Trust.

IN SHORT – wire instructions will not be accepted by email. New wire instructions must be hand-carried or uploaded to the First American Secure Portal.

Thank you for joining First American Title in fostering a secure real estate transaction process. Have questions or concerns? Please contact our office or your escrow officer.

LIMITATION OF LIABILITY FOR INFORMATIONAL REPORTS

IMPORTANT -- PLEASE READ CAREFULLY:

This report is not an insured product or service or a representation of the condition of title to real property. It is not an abstract, legal opinion, opinion of title, title insurance commitment or preliminary report, or any form of Title Insurance or Guaranty. This report is issued exclusively for the benefit of the Applicant therefor and may not be used or relied upon by any other person. This report may not be reproduced in any manner without First Americans prior written consent. First American does not represent or warrant that the information herein is complete or free from error, and the information herein is provided without any warranties of any kind, as-is, and with all faults. As a material part of the consideration given in exchange for the issuance of this report, recipient agrees that First Americans sole liability for any loss or damage caused by an error or omission due to inaccurate information or negligence in preparing this report shall be limited to the fee charged for the report. Recipient accepts this report with this limitation and agrees that First American would not have issued this report but for the limitation of liability described above. First American makes no representation or warranty as to the legality or propriety of recipient's use of the information herein.

Disclaimer

This REiSource report is provided "as is" without warranty of any kind, either express or implied, including without limitations any warrantees of merchantability or fitness for a particular purpose. There is no representation of warranty that this information is complete or free from error, and the provider does not assume, and expressly disclaims, any liability to any person or entity for loss or damage caused by errors or omissions in this REiSource report without a title insurance policy.

The information contained in the REiSource report is delivered from your Title Company, who reminds you that you have the right as a consumer to compare fees and serviced levels for Title, Escrow, and all other services associated with property ownership, and to select providers accordingly. Your home is the largest investment you will make in your lifetime and you should demand the very best.

Subject Property :   3981 N Spirit Pl Casa Grande AZ 85122

Owner Information

Owner Name : Cardenas Juan M

Mailing Address : 3981 N Spirit Pl, Casa Grande AZ 85122-9849 R033

Vesting Codes : Married Man / / Separate Property

Owner Occupied Indicator : O

Location Information

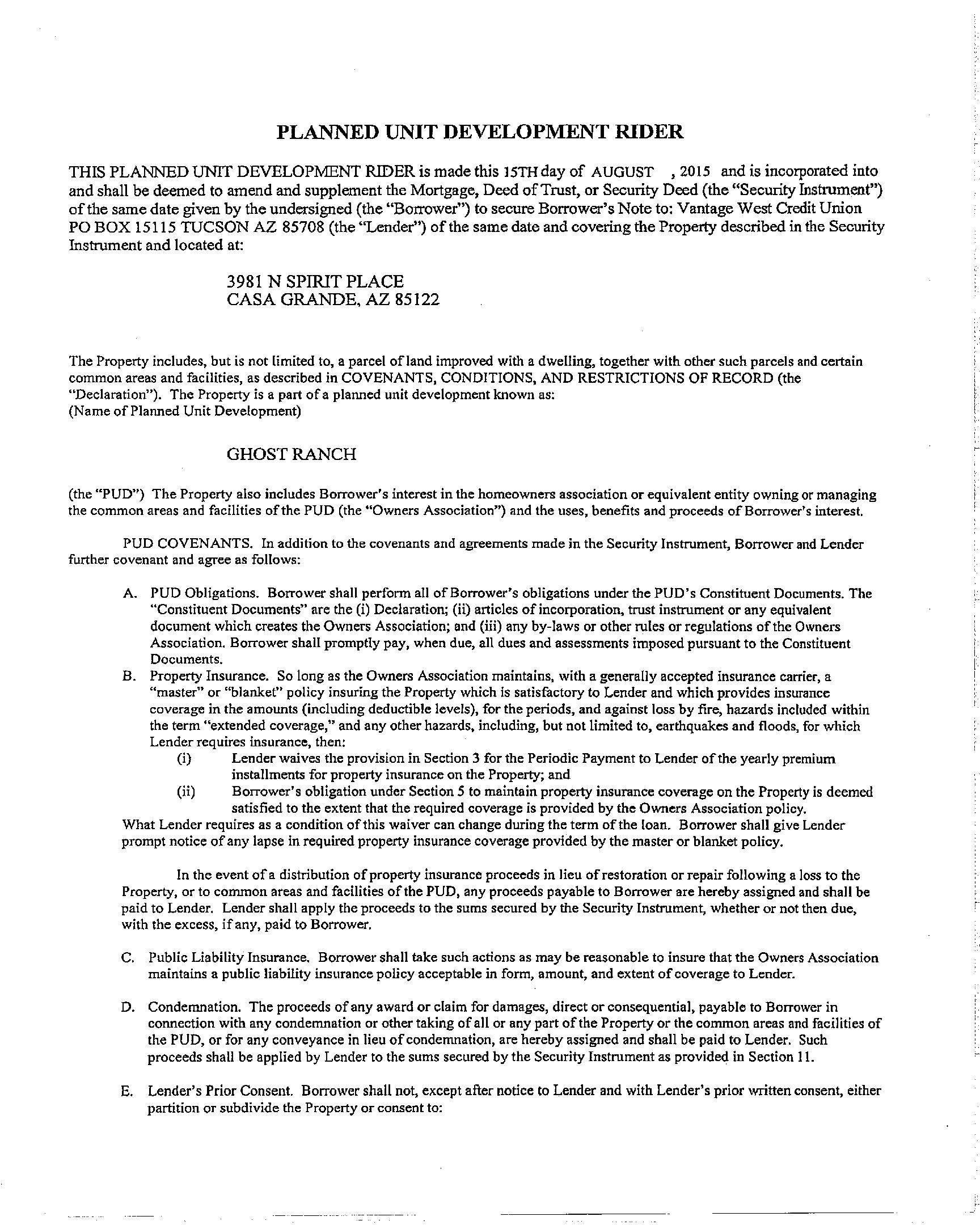
Legal Description : Ghost Ranch Unit Ii Phase 2 Lot 341

County : Pinal, Az

Census Tract / Block : 13.10 / 1

Township-Range- Sect : 05S-06E-21

Legal Lot : 341

Last Market Sale Information

APN : 509-38-610

Subdivision : Ghost Ranch Ph 2

Map Reference : 2105S06E

Recording/Sale Date : 01/13/2012 / 12/21/2011 1st Mtg Amount/Type : $96,938 / Cnv

Sale Price : $95,000

1st Mtg Document # : 3173

Document # : 3171 1st Mtg Term : 30

Deed Type : Warranty Deed

Title Company : Security Title Agency

Lender : Sunstreet Mtg Llc

Seller Name : Federal Natl Mtg Assn Fnma

Prior Sale Information

Prior Rec/Sale Date : 10/15/2007 / 09/25/2007

Prior Sale Price : $183,900

Prior Doc Number : 115641

Price Per SqFt : $42.09

Prior Deed Type : Warranty Deed

Prior Lender : Indymac Bk Fsb

Prior 1st Mtg Amt/Type : $183,900 / Conv

Customer Name : Kariann Keomaka

Customer Company Name : First American Title Insurance Company Prepared On : 08/16/2024

Property Characteristics

Gross Area : 2,257

Living Area : 2,257

Above Grade : 2257

Year Built / Eff : 2007

# of Stories : 2

Parking Type : Built-in

Garage Area : 400

Property Information

Land Use : Sfr

Roof Type : Truss-joist

Exterior wall : Plaster

Foundation : Concrete Porch Type : Slab

Roof Material : Concrete Tile

Patio Type : Open Concrete/ masonry Patio

Construction : Steel/wood Air Cond : Central

Heat Type : Central Quality : Average

Cooling Type : Central Floor Cover : Carpet

Size : 8,276

Use : Single Fam Resurban Subd Lot Acres : 0.19

Tax Information Total Value : $216,356

Assessed Year : 2023

Details of Comparables

Subject Property: 3981 N Spirit Pl Casa Grande Az 85122

Owner Name: Cardenas Juan M / APN / Alternate APN: 509-38-610 / Deed Type: Warranty Deed

Subdivision / Tract: Ghost Ranch Ph 2 / Lot Size: 8,276

Rec. Date / Price: 01/13/2012 / $95,000 Living Area: 2,257

Document #: 3171

Total Tax Value: $216,356

Bedrooms:

Bath(F/H): /

#1   3976 N Spring Mountain Trl Casa Grande Az 85122

Owner Name: Richardson Bryant E /Richardson Kerbi

APN / Alternate APN: 509-38-472 / Deed Type: Warranty Deed

Subdivision / Tract: Ghost Ranch Ph 1 / Lot Size: 8,276

Rec. Date / Price: 02/05/2024 / $337,500 Living Area: 2,257

Document #: 8103

Total Tax Value: $214,462

Land Use: Sfr

Year Built / Eff: 2007 /

# of units:

Pool:

Land Use: Sfr

Year Built / Eff: 2006 /

# of units:

Bedrooms: Pool:

Bath(F/H): /

#2   574 E Dragon Springs Dr Casa Grande Az 85122

Owner Name: Walters Elmo E Iii /Walters Lisa R

APN / Alternate APN: 509-38-466 / Deed Type: Warranty Deed

Subdivision / Tract: Ghost Ranch Ph 1 / Lot Size: 6,970

Rec. Date / Price: 05/31/2024 / $395,000 Living Area: 2,257

Document #: 41659

Total Tax Value: $218,529

Bedrooms:

Bath(F/H): /

#3   563 E Dragon Springs Dr Casa Grande Az 85122

Owner Name: George Family Trust /

APN / Alternate APN: 509-38-477 / Deed Type: Warranty Deed

Subdivision / Tract: Ghost Ranch Ph 1 / Lot Size: 6,534

Rec. Date / Price: 06/24/2024 / $315,000 Living Area: 2,257

Document #: 47084

Total Tax Value: $215,687

Land Use: Sfr

Year Built / Eff: 2006 /

# of units:

Pool:

Land Use: Sfr

Year Built / Eff: 2006 /

# of units:

Bedrooms: Pool:

Bath(F/H): /

#4   541 E Wolf Hollow Dr Casa Grande Az 85122

Owner Name: Bridges Timothy W /Bridges Selina

APN / Alternate APN: 509-38-508 / Deed Type: Warranty Deed

Subdivision / Tract: Ghost Ranch Ph 1 / Lot Size: 6,534

Rec. Date / Price: 05/15/2024 / $333,000 Living Area: 2,257

Document #: 36308

Total Tax Value: $211,691

Land Use: Sfr

Year Built / Eff: 2006 /

# of units:

Bedrooms: Pool:

Bath(F/H): /

#5   491 E Dragon Springs Dr Casa Grande Az 85122

Owner Name: Keown Raymond M Jr & Patricia /Gilliland Ulla A

APN / Alternate APN: 509-38-483 / Deed Type: Contract Of Sale

Subdivision / Tract: Ghost Ranch Ph 1 / Lot Size: 6,534

Land Use: Sfr

Year Built / Eff: 2007 / Rec. Date / Price: 06/28/2024 / $350,000 Living Area: 1,939

Document #: 49191

Total Tax Value: $212,312

# of units:

Bedrooms: Pool:

Bath(F/H): /

#6   490 E Dragon Springs Dr Casa Grande Az 85122

Owner Name: Mejia Jesse A H /Hurtado Mayra R

APN / Alternate APN: 509-38-459 / Deed Type: Warranty Deed

Subdivision / Tract: Ghost Ranch Ph 1 / Lot Size: 6,970

Rec. Date / Price: 07/18/2024 / $314,000 Living Area: 2,257

Document #: 54221

Total Tax Value: $215,060

#7   458 E Settlers Trl Casa Grande Az 85122

Land Use: Sfr

Year Built / Eff: 2006 /

# of units:

Bedrooms: Pool:

Bath(F/H): /

Owner Name: Simmons Sheri / APN / Alternate APN: 509-38-408 / Deed Type: Warranty Deed

Subdivision / Tract: Ghost Ranch Ph 1 / Lot Size: 6,098

Land Use: Sfr

Year Built / Eff: 2006 / Rec. Date / Price: 11/09/2023 / $313,000 Living Area: 1,939

Document #: 82383

Total Tax Value: $210,426

Bedrooms:

Bath(F/H): /

#8   3967 N Dead Wood Dr Casa Grande Az 85122

Owner Name: Nuno Juan Jr / APN / Alternate APN: 509-38-452 / Deed Type: Warranty Deed

Subdivision / Tract: Ghost Ranch Ph 1 / Lot Size: 6,534

Rec. Date / Price: 07/30/2024 / $315,000 Living Area: 1,939

Document #: 57445

Total Tax Value: $210,476

Bedrooms:

Bath(F/H): /

#9   3910 N Creosote Ct Casa Grande Az 85122

Owner Name: Ocuaman Trust / APN / Alternate APN: 509-38-325 / Deed Type: Warranty Deed

Subdivision / Tract: Ghost Ranch 01 / Lot Size: 10,019

# of units:

Pool:

Land Use: Sfr

Year Built / Eff: 2006 /

# of units:

Pool:

Land Use: Sfr

Year Built / Eff: 2005 / Rec. Date / Price: 05/13/2024 / $348,000 Living Area: 1,939

Document #: 35491

Total Tax Value: $196,676

# of units:

Bedrooms: Pool:

Bath(F/H): /

#10   3919 N Creosote Ct Casa Grande Az 85122

Owner Name: Yoder Nicholas W / APN / Alternate APN: 509-38-309 / Deed Type: Warranty Deed

Subdivision / Tract: Ghost Ranch 01 / Lot Size: 6,534

Land Use: Sfr

Year Built / Eff: 2005 / Rec. Date / Price: 06/17/2024 / $349,999 Living Area: 2,257

Document #: 45745

Total Tax Value: $202,807

# of units:

Bedrooms: Pool:

Bath(F/H): /

#11   334 E Bobcat Pl Casa Grande Az 85122

Owner Name: Maxwell Nicholas A / APN / Alternate APN: 509-38-798 / Deed Type: Warranty Deed

Subdivision / Tract: Dominion Crk / Lot Size: 6,534

Land Use: Sfr

Year Built / Eff: 2020 / Rec. Date / Price: 04/30/2024 / $336,000 Living Area: 2,212

Document #: 32028

Total Tax Value: $241,255

#12   327 E Bobcat Pl Casa Grande Az 85122

# of

Bedrooms: Pool:

Bath(F/H): /

Owner Name: Luna Olivia / APN / Alternate APN: 509-38-681 / Deed Type: Warranty Deed

Subdivision / Tract: Dominion Crk / Lot Size: 5,663

Land Use: Sfr

Year Built / Eff: 2021 / Rec. Date / Price: 01/11/2024 / $345,000 Living Area: 2,212

Document #: 2631

Total Tax Value: $243,764

Bedrooms: Pool:

Bath(F/H): /

#13   3822 N Princeton Ln Casa Grande Az 85122

Owner Name: Perez Norma /Perez Shaina APN / Alternate APN: 509-38-389 / Deed Type: Special Warranty Deed

Subdivision / Tract: Countrywalk Estates / Lot Size: 9,583

Land Use: Sfr

Year Built / Eff: 2023 / Rec. Date / Price: 05/20/2024 / $389,900 Living Area: 2,034

Document #: 37897

Total Tax Value: $11,250

# of units:

Bedrooms: Pool:

Bath(F/H): /

#14   3829 N Princeton Ln Casa Grande Az 85122

Owner Name: Gordwin Tiffany / APN / Alternate APN: 509-38-386 / Deed Type: Special Warranty Deed

Subdivision / Tract: Countrywalk Estates / Lot Size: 9,583

Land Use: Sfr

Year Built / Eff: 2023 / Rec. Date / Price: 12/05/2023 / $434,900 Living Area: 2,483

Document #: 88064

Total Tax Value: $11,250

Bedrooms:

Bath(F/H): /

#15   314 E Ridgeview Trl Casa Grande Az 85122

Owner Name: Evans Anastasia E /Solomon Vellessia E

APN / Alternate APN: 509-38-378 / Deed Type: Special Warranty Deed

Subdivision / Tract: Countrywalk Estates / Lot Size: 8,712

Rec. Date / Price: 07/26/2024 / $385,900 Living Area: 2,034

Document #: 56732

Total Tax Value: $11,250

Bedrooms:

Bath(F/H): /

#16   3830 N Denali Ct Casa Grande Az 85122

Owner Name: Flores Vivian /Flores Samuel

APN / Alternate APN: 509-38-383 / Deed Type: Special Warranty Deed

Subdivision / Tract: Countrywalk Estates / Lot Size: 8,712

Rec. Date / Price: 03/19/2024 / $392,900 Living Area: 2,034

Document #: 19839

Total Tax Value: $11,250

Bedrooms:

Bath(F/H): /

# of units:

Pool:

Land Use: Sfr

Year Built / Eff: 2023 /

# of units:

Pool:

Land Use: Sfr

Year Built / Eff: 2023 /

# of units:

Pool:

Customer Name : Kariann Keomaka

Customer Company Name : First American Title Insurance Company Prepared On : 08/16/2024

#17   274 W Hawthorne Dr Casa Grande Az 85122

Owner Name: Kelly Richard /Kelly Carmella

APN / Alternate APN: 509-38-286 / Deed Type: Warranty Deed

Subdivision / Tract: Ghost Ranch 01 / Lot Size: 6,534

Land Use: Sfr

Year Built / Eff: 2005 / Rec. Date / Price: 06/20/2024 / $349,995 Living Area: 2,257

Document #: 46270

Total Tax Value: $200,155

#18   3842 N Tulsa Ct Casa Grande Az 85122

# of units:

Bedrooms: Pool:

Bath(F/H): /

Owner Name: Garcia Remigio H /Maldonado Maria G

APN / Alternate APN: 509-38-373 / Deed Type: Special Warranty Deed

Subdivision / Tract: Countrywalk Estates / Lot Size: 10,019

Rec. Date / Price: 02/05/2024 / $434,900 Living Area: 2,483

Document #: 8028

Total Tax Value: $11,250

Land Use: Sfr

Year Built / Eff: 2023 /

# of units:

Bedrooms:

Bath(F/H): /

#19   215 E Ridgeview Trl Casa Grande Az 85122

Owner Name: Spain Gregory L / APN / Alternate APN: 509-38-365 / Deed Type: Special Warranty Deed Land Use: Sfr

Subdivision / Tract: Countrywalk Estates / Lot Size: 10,454

Year Built / Eff: 2023 / Rec. Date / Price: 04/01/2024 / $412,900 Living Area: 2,475

Document #: 23783

Total Tax Value: $11,250

#20   3829 N Tulsa Ct Casa Grande Az 85122

Owner Name: Kight Holly N /

# of units:

Bedrooms: Pool:

Bath(F/H): /

APN / Alternate APN: 509-38-370 / Deed Type: Special Warranty Deed Land Use: Sfr

Subdivision / Tract: Countrywalk Estates / Lot Size: 8,712

Year Built / Eff: 2023 / Rec. Date / Price: 03/01/2024 / $385,900 Living Area: 2,034

Document #: 15085

Total Tax Value: $11,250

Bedrooms:

Bath(F/H): /

# of units:

Pool:

Owner Name : Jones Sandi D

Sale Date : 04/24/2017

Recording Date : 04/27/2017

Price  : $120,000 Total Value : $222,978

Land Use : Sfr

Stories : 1

Subdivision  : Ghost Ranch Ph 2

Owner Name : Crandall Chad

Sale Date : 05/20/2015

Value : $212,312

Tax : $1,172.50

Acres : 0.18

Recording Date : 05/21/2015

Price  : $169,000

Tax : $1,471.34 Land Use : Sfr

Acres : 0.25

Stories : 1

Subdivision  : Ghost Ranch Ph 2 3986 N

Owner Name : Charshafjian Neshan (te)

Recording Date : 10/31/2007

Sale Date : 10/23/2007 Sale Price  : $164,000

Total Value : $216,549

Tax : $1,860.94

Land Use : Sfr Lot Acres : 0.15

Stories : 2

Living Area : 2,257

Yr Blt / Eff Yr Blt : 2007 / APN : 509-38-614

Subdivision  : Ghost Ranch Ph 2

3990 N WILD ROSE WAY

Owner Name : Vance Joanne C

Recording Date : 09/21/2007

Sale Date : 09/19/2007 Sale Price  : $160,000

Total Value : $212,940

$1,486.50

Land Use : Sfr Lot Acres : 0.20

Stories : 1 Living Area : 1,939

Yr Blt / Eff Yr Blt : 2007 / APN : 509-38-615

Subdivision  : Ghost Ranch Ph 2 Customer Name : Kariann Keomaka Customer Company Name : First American Title Insurance Company Prepared On : 08/16/2024

Owner Name : Martinez Abraham Romero

Sale Date : 06/05/2017

Total Value : $216,647

Land Use : Sfr

Stories : 2

Recording Date : 06/14/2017

Price  : $165,000

Tax : $1,626.66

Acres : 0.16

509-38-613 Subdivision  : Ghost Ranch Ph 2 3990 N

Owner Name : Montoya Ramon M

Sale Date : 10/30/2015

Value : $218,232

Recording Date : 11/24/2015

Price  : $136,000

Tax : $1,630.08 Land Use : Sfr

Acres : 0.24

Stories : 2

Owner Name : Chow Man Hin

Recording Date : 08/19/2022

Sale Date : 08/17/2022 Sale Price  : $323,300

Total Value : $165,293

$1,330.30

Land Use : Sfr Lot Acres : 0.19

Stories : 1 Living Area : 1,326

Yr Blt / Eff Yr Blt : 2007 / APN : 509-38-612

Subdivision  : Ghost Ranch Ph 2

3986 N SPIRIT PL

Owner Name : Craig Tami

Recording Date : 04/19/2007

Sale Date : 04/13/2007 Sale Price  : $195,000

Total Value : $180,983

Tax : $1,369.92

Land Use : Sfr Lot Acres : 0.23

Stories : 1 Living Area : 1,326

Yr Blt / Eff Yr Blt : 2007 / APN : 509-38-607

Subdivision  : Ghost Ranch Ph 2

On : 08/16/2024

3978 N SPIRIT PL

Owner Name : Dorsett Joel

Sale Date : 11/29/2016

Total Value : $216,356

Land Use : Sfr

Stories : 2

Recording Date : 12/09/2016

Price  : $161,700

Tax : $1,700.02

Acres : 0.17

Area : 2,257 Yr Blt / Eff Yr Blt : 2007 / APN : 509-38-605

Subdivision  : Ghost Ranch Ph 2

885 E DRAGON SPRINGS DR

Owner Name : Marsocci Richard L

Sale Date : 05/13/2015

Value : $165,073

Land Use : Sfr

Stories : 1

Recording Date : 05/22/2015

Price  : $122,100

Tax : $1,145.44

Acres : 0.15

Area : 1,326 Yr Blt / Eff Yr Blt : 2007 / APN : 509-38-599

Subdivision  : Ghost Ranch Ph 2

Census Tract / block: 13.10 / 1     Year: 2020

Arizona Schools

SEARCH PARAMETERS

PARCEL:  509-38-6100

PARCEL: 509-38-6100 2

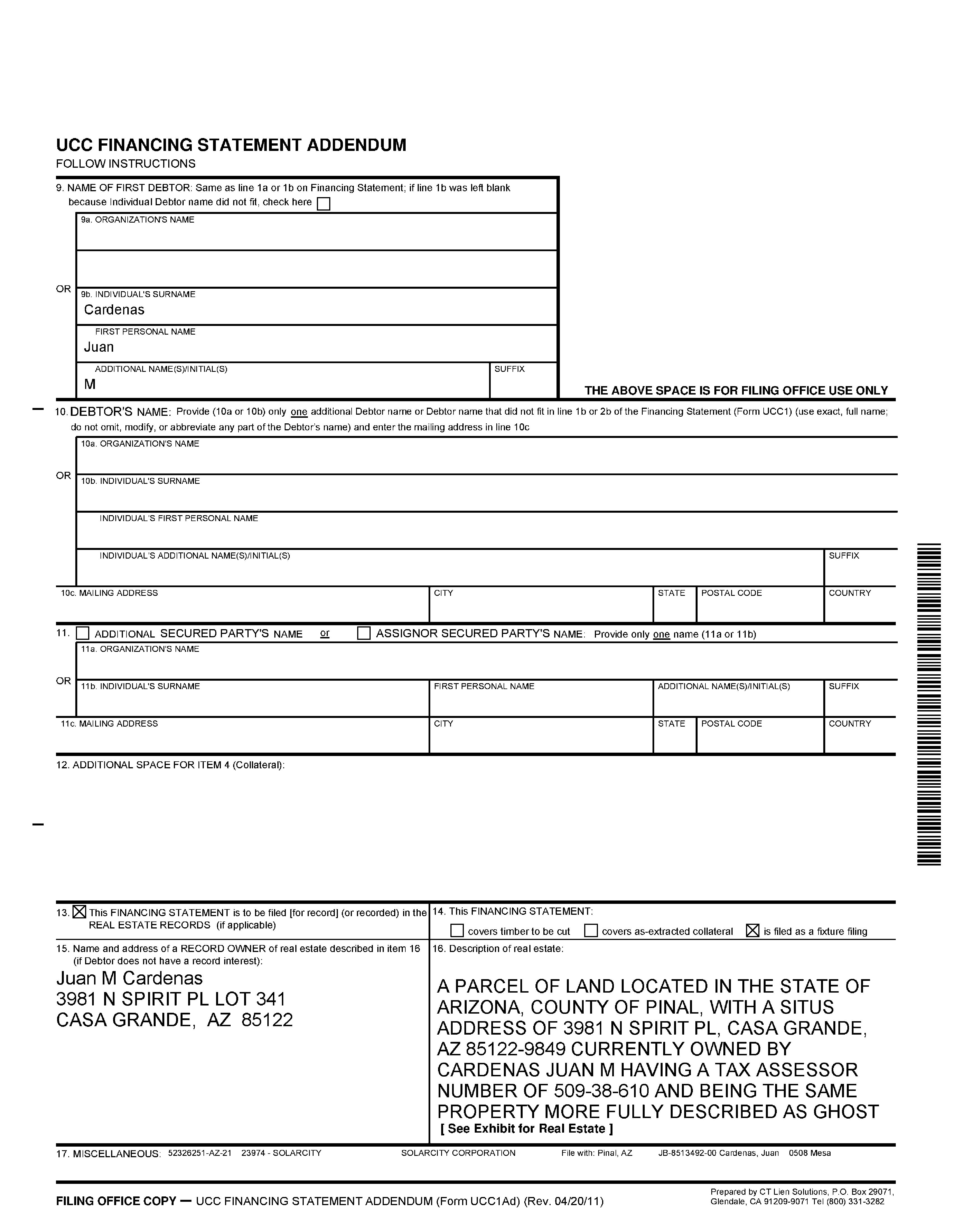
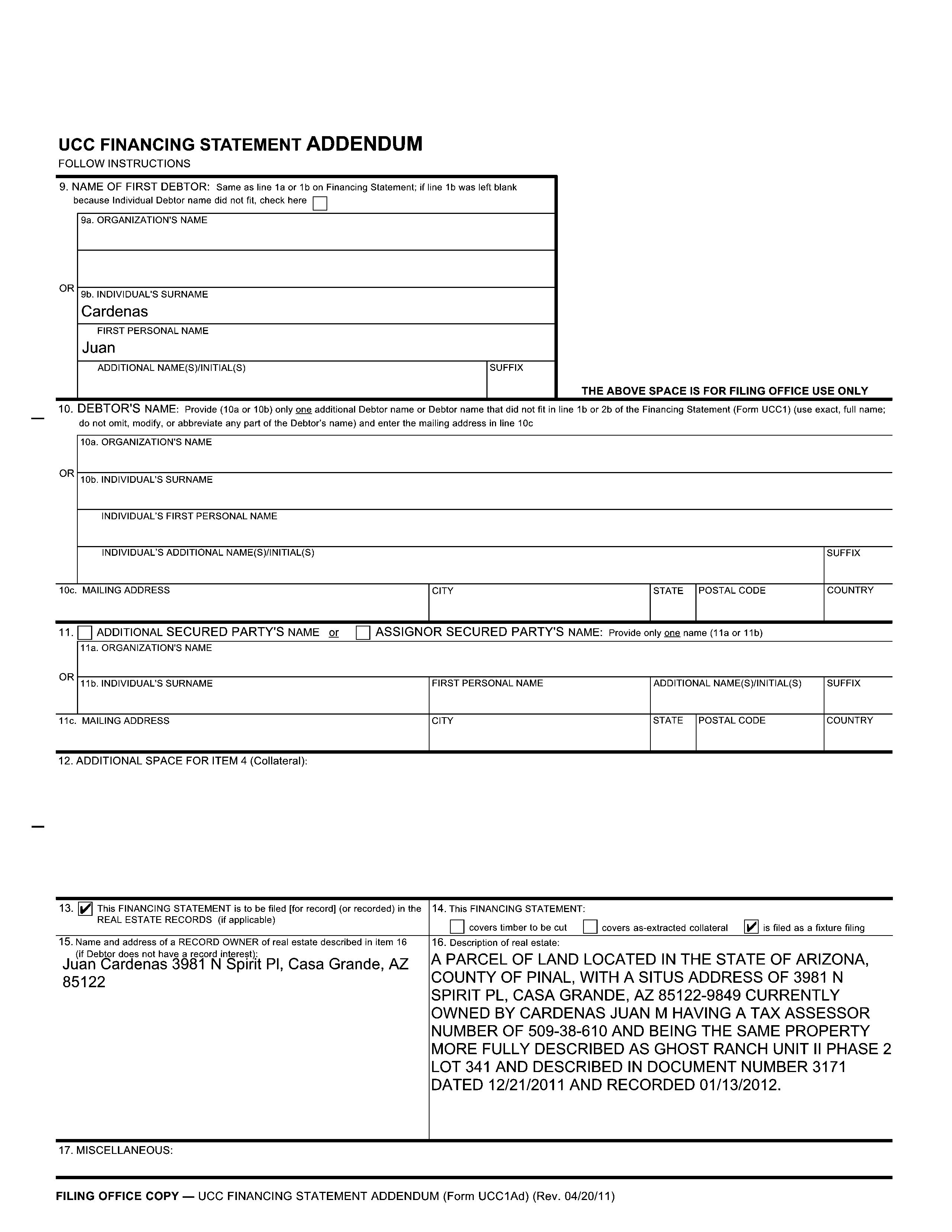
OWNER: CARDENAS JUAN M  AFFIDAVIT    2012 3171 01/13/2012

SITUS: 3981 N SPIRIT PL CASA GRANDE

MAIL: 3981 N SPIRIT PL  CASA GRANDE, AZ 85122

LEGAL: GHOST RANCH UNIT II PHASE 2 LOT 341

CURRENT TAXES INFORMATION THROUGH 08/15/2024

11900 14613 14900 15625 24001

Turn static files into dynamic content formats.

Create a flipbook
Issuu converts static files into: digital portfolios, online yearbooks, online catalogs, digital photo albums and more. Sign up and create your flipbook.