3445 N Avenida De La Colina digital listing kit

Page 1


Subject Property

3445 N Avenida De La Colina Tucson AZ 85749 APN: 114-58-0040

Data Provided By: First American Title Ins Co

WIRE FRAUD ALERT THINK DIFFERENTLY

Email-based, real estate fraud schemes are on the rise. One common scenario is altering wiring instructions with the intention of rerouting funds.

Keeping this in mind, First American Title is changing the way we receive payment information. It is imperative that we are familiar with the people in our transactions.

RELYING ON EMAIL ALONE IS NO LONGER AN OPTION.

Fraudsters often use email to send falsified wire instructions to unsuspecting victims. Please warn your buyers and sellers to only follow wire instructions they receive personally from First American Title.

Additionally, we will not accept disbursement instructions for seller or buyer funds via email OR from any third party (attorney, real estate agent, etc).

ALTERNATIVE INSTRUCTIONS?

If your buyer or seller receives alternative wiring instructions that appear to be from First American Title, make sure they contact their escrow officer at a trusted phone number for confirmation.

Know that our wiring instructions do not change so any communication is suspect. Our banking institution is First American Trust.

IN SHORT – wire instructions will not be accepted by email. New wire instructions must be hand-carried or uploaded to the First American Secure Portal.

Thank you for joining First American Title in fostering a secure real estate transaction process. Have questions or concerns? Please contact our office or your escrow officer.

LIMITATION OF LIABILITY FOR INFORMATIONAL REPORTS

IMPORTANT -- PLEASE READ CAREFULLY:

This report is not an insured product or service or a representation of the condition of title to real property. It is not an abstract, legal opinion, opinion of title, title insurance commitment or preliminary report, or any form of Title Insurance or Guaranty. This report is issued exclusively for the benefit of the Applicant therefor and may not be used or relied upon by any other person. This report may not be reproduced in any manner without First Americans prior written consent. First American does not represent or warrant that the information herein is complete or free from error, and the information herein is provided without any warranties of any kind, as-is, and with all faults. As a material part of the consideration given in exchange for the issuance of this report, recipient agrees that First Americans sole liability for any loss or damage caused by an error or omission due to inaccurate information or negligence in preparing this report shall be limited to the fee charged for the report. Recipient accepts this report with this limitation and agrees that First American would not have issued this report but for the limitation of liability described above. First American makes no representation or warranty as to the legality or propriety of recipient's use of the information herein.

Disclaimer

This REiSource report is provided "as is" without warranty of any kind, either express or implied, including without limitations any warrantees of merchantability or fitness for a particular purpose. There is no representation of warranty that this information is complete or free from error, and the provider does not assume, and expressly disclaims, any liability to any person or entity for loss or damage caused by errors or omissions in this REiSource report without a title insurance policy.

The information contained in the REiSource report is delivered from your Title Company, who reminds you that you have the right as a consumer to compare fees and serviced levels for Title, Escrow, and all other services associated with property ownership, and to select providers accordingly. Your home is the largest investment you will make in your lifetime and you should demand the very best.

Subject Property :   3445 N Avenida De La Colina Tucson AZ 85749

Owner Information

Owner Name : Potter Marie G / Wagner Alfred H

Mailing Address : 3445 N Avenida De La Colina, Tucson AZ 85749-9547 R023

Vesting Codes : / / Joint Tenants

Owner Occupied Indicator : O

Location Information

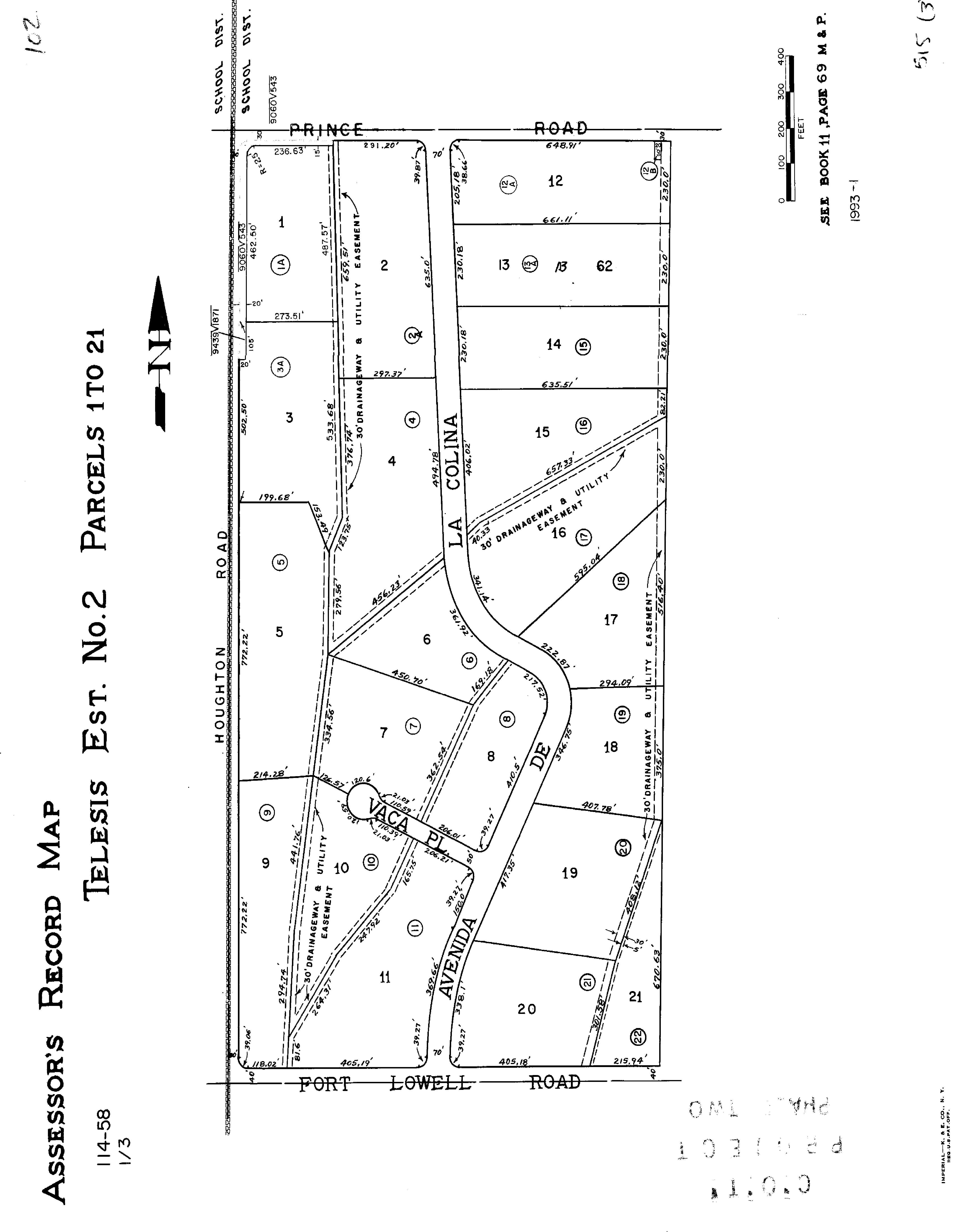
Legal Description : Telesis Estates No 2 Lot 4

County : Pima, Az

Census Tract / Block : 40.50 / 1

Township-Range- Sect : 13S-15E-25

Legal Book/Page : 11-69

Legal Lot : 4

Market Area : 13

Owner Transfer Information

Recording/Sale Date : 09/30/1997 /

Document # : 10641-791

Last Market Sale Information

Recording/Sale Date : 09/23/1996 / 09/00/1996

Sale Price : $289,000

Document # : 10385-2236

Title Company : Title Security Inc

Lender : No New Mtg

Seller Name : Wayne Kleifgen

Prior Sale Information

Prior Rec/Sale Date : 12/01/1993 / 12/01/1993

Prior Sale Price : $230,052

Prior Doc Number : 9679-182

Prior Deed Type : Warranty Deed

APN : 114-58-0040

Subdivision : Telesis Estates 2

Map Reference : 25-13S-15E

School District : Tanque Verde

Munic/Township : Tanque Verde

Deed Type : Quit Claim Deed

Deed Type : Joint Tenancy Deed

Price Per SqFt : $107.04

Prior Lender : Margaretten

Prior 1st Mtg Amt/Type : $54,500 / Conv

Prior 1st Mtg Rate/Type : / Fixed Rate Loan

Property Characteristics

Gross Area : 2,700

Living Area : 2,700

Total Rooms : 8

Material : Tile

Year Built / Eff : 1973 Cooling Type : Forced Air

# of Stories : 1

Parking Type : Garage

Property Information

Information

Exterior wall : Slump

Details of Comparables

Subject Property: 3445 N Avenida De La Colina Tucson Az 85749

Owner Name: Potter Marie G /Wagner Alfred H

APN / Alternate APN: 114-58-0040 / Deed Type: Joint Tenancy Deed

Subdivision / Tract: Telesis Estates 2 / Lot Size: 202,834

Rec. Date / Price: 09/23/1996 / $289,000 Living Area: 2,700

Document #: 10385-2236

Total Tax Value: $517,313

Bedrooms:

Bath(F/H): /

#1   10681 E Sonoran Vista Trl Tucson Az 85749

Owner Name: Underhill James Byron /Suzanne Lynn Rev

APN / Alternate APN: 114-24-0290 / Deed Type: Warranty Deed

Subdivision / Tract: Green Rdg / Lot Size: 73,142

Rec. Date / Price: 11/07/2023 / $875,000 Living Area: 3,085

Document #: 3110267

Total Tax Value: $657,922

#2   10101 E Moccasin Pl Tucson Az 85749

Bedrooms:

Bath(F/H): /

Owner Name: Botham Dusty J /Botham Anastasia D

APN / Alternate APN: 114-55-0980 / Deed Type: Warranty Deed

Subdivision / Tract: Indian Hills 04 / Lot Size: 42,908

Rec. Date / Price: 02/20/2024 / $628,000 Living Area: 2,975

Document #: 510654

Total Tax Value: $399,354

#3   9851 E Kleindale Rd Tucson Az 85749

Bedrooms:

Bath(F/H): /

Owner Name: Rabanal Ivette Y /Alegria Stephen J

APN / Alternate APN: 114-26-3350 / Deed Type: Warranty Deed

Subdivision / Tract: Anthony Estates / Lot Size: 44,500

Rec. Date / Price: 05/15/2024 / $749,000 Living Area: 2,320

Document #: 1360179

Total Tax Value: $521,723

#4   3440 N Lynford Pl Tucson Az 85749

Bedrooms:

Bath(F/H): /

Owner Name: Webster Arvie /Webster Richard

APN / Alternate APN: 114-24-0100 / Deed Type: Warranty Deed

Subdivision / Tract: Millstone Manor East / Lot Size: 147,574

Land Use: Sfr

Year Built / Eff: 1973 /

# of units:

Pool: Pool

Land Use: Sfr

Year Built / Eff: 1999 /

# of units:

Pool: Pool

Land Use: Sfr

Year Built / Eff: 1973 /

# of units:

Pool: Pool

Land Use: Sfr

Year Built / Eff: 1994 /

# of units:

Pool: Pool

Land Use: Sfr

Year Built / Eff: 1990 / Rec. Date / Price: 11/17/2023 / $915,000 Living Area: 2,599

Document #: 3210354

Total Tax Value: $539,611

Bedrooms:

Bath(F/H): /

# of units:

Pool:

#5   9831 E Morning Star Dr Tucson Az 85749

Owner Name: Fearing Rae A /Fearing Matthew S

APN / Alternate APN: 114-55-033J / Deed Type: Warranty Deed

Subdivision / Tract: / Lot Size: 231,304

Land Use: Sfr

Year Built / Eff: 1973 / Rec. Date / Price: 05/31/2024 / $974,638 Living Area: 2,751

Document #: 1520179

Total Tax Value: $590,248

Bedrooms:

Bath(F/H): /

# of units:

Pool: Pool

3460 N HOUGHTON RD

Owner Name : Borozan Elizabeth W

Sale Date : 09/00/1992

0.07 Miles

Subdivision : Telesis Estates 2

Recording Date : 12/04/1992

Total Value : $368,398 Sale Price  : $132,076.39

Bed / Bath : / 2

Land Use : Sfr

Stories : 1

Blt / Eff Yr Blt : 1958 /

3367 N AVENIDA DE LA COLINA

Owner Name : Auchenbach

Sale Date : 12/19/2014

Tax : $3,096.34

Acres : 3.79

Area : 1,538

114-58-003A

Subdivision : Telesis Estates 2

Recording Date : 01/28/2015

Total Value : $586,131 Sale Price  : $299,250

Bed / Bath : / 4

Land Use : Sfr

Stories : 1

Blt / Eff Yr Blt : 1994 /

3360 N HOUGHTON RD

Owner Name : Adelante Development Llc

Sale Date : 12/00/2004

0.08 Miles

Tax : $5,421.48

Acres : 2.08

Area : 2,988

114-58-0060

Subdivision : Telesis Estates 2

Recording Date : 12/23/2004

Total Value : $488,041 Sale Price  : $375,000

Bed / Bath : / 2 Property Tax : $4,405.71

Land Use : Sfr

Acres : 4.53

Stories : 1 Living Area : 2,088

Yr Blt / Eff Yr Blt : 1973 / APN : 114-58-0050

3446 N AVENIDA DE LA COLINA

Owner Name : Ekman

Sale Date : 06/00/1994

Total Value : $473,780

Distance 0.09 Miles

Subdivision : Telesis Estates 2

Recording Date : 06/30/1994

Sale Price  : $185,000

Bed / Bath : / 3 Property Tax : $4,216.35

Land Use : Sfr

Acres : 3.53

Stories : 1 Living Area : 2,280

Yr Blt / Eff Yr Blt : 1965 / APN : 114-58-0160 Customer Name : Lisa Mrazek Customer Company Name : First American Title Insurance Company Prepared On : 07/11/2024

Owner Name : Gaul James D

Sale Date : 08/00/1998

Subdivision : Telesis Estates 2

Recording Date : 08/17/1998

Total Value : $537,713 Sale Price  : $200,000

Bed / Bath : / 4

Land Use : Sfr

Stories : 1

Tax : $4,893.61

Acres : 3.95

Area : 3,008 Yr Blt / Eff Yr Blt : 1961 /

10305 E VACA PL

Owner Name : Mc Cusker Robert

Sale Date : 05/00/1993

114-58-0170

Subdivision : Telesis Estates 2

Recording Date : 06/29/1993

Total Value : $423,271 Sale Price  : $138,000

Bed / Bath : / 3

Land Use : Sfr

Stories : 1

Tax : $3,569.62

Acres : 3.07

Area : 1,841 Yr Blt / Eff Yr Blt : 1966 /

114-58-0070

3531 N AVENIDA DE LA COLINA Distance 0.13 Miles

Owner Name : Aznive Tr

Sale Date : 12/01/1987

Total Value : $490,573

Bed / Bath : / 3

Land Use : Sfr

Stories : 1

Subdivision : Telesis Estates 2

Recording Date : 12/01/1987

Sale Price  : $150,000

Property Tax : $4,434.30

Acres : 4.21

Area : 2,450

Yr Blt / Eff Yr Blt : 1974 / APN : 114-58-002A

3502 N AVENIDA DE LA COLINA Distance 0.13 Miles

Owner Name : Arendt Matthew R

Sale Date : 11/09/2020

Subdivision : Telesis Estates 2

Recording Date : 11/20/2020

Total Value : $376,819 Sale Price  : $425,000

Bed / Bath : / 2 Property Tax : $3,137.07

Land Use : Sfr

Stories : 1

Acres : 3.32

Area : 1,490

Yr Blt / Eff Yr Blt : 1969 / APN : 114-58-0150

Name : Lisa Mrazek

Company Name : First American Title Insurance Company Prepared On : 07/11/2024

3340 N AVENIDA DE LA COLINA

Owner Name : Walker Mick T

Sale Date : 02/00/2004

Subdivision : Telesis Estates 2

Recording Date : 04/21/2004

Total Value : $543,247 Sale Price  : $420,000

Bed / Bath : / 4

Land Use : Sfr

Stories : 1

Blt / Eff Yr Blt : 1971 /

Tax : $4,974.54

Acres : 3.00

Area : 2,672

114-58-0180

10355 E VACA PL Distance 0.15 Miles

Owner Name : Leichty Dwight D

Sale Date : 04/00/1991

Total Value : $617,053

Bed / Bath : / 6

Land Use : Sfr

Subdivision : Telesis Estates 2

Recording Date : 04/19/1991

Price  : $214,000

Tax : $5,737.58

Acres : 2.52 Stories : 1

Area : 3,858

Blt / Eff Yr Blt : 1986 / APN : 114-58-0080

Census Tract / block: 40.50 / 1     Year: 2020

Arizona Schools

PIMA COUNTY

SEARCH PARAMETERS

PARCEL:  114-58-0040

PARCEL: 114-58-0040

OWNER: POTTER MARIE G & WAGNER ALFRED H JT/RS     10385 2236 09/23/1996

SITUS: 3445 N AVENIDA DE LA COLINA PC

MAIL: 3445 N AVENIDA DE LA COLINA

TUCSON AZ 85749-9547

PLAT: LOT 00004 BLOCK 0

LEGAL: TELESIS ESTATES NO 2 LOT 4  CURRENT TAXES

END SEARCH

Covenants, Conditions & Restrictions

Thank you for the opportunity to be of service.

Restrictions indicating a preference, limitation or discrimination based on race, color, religion, sex, handicap, familial status, or national origin are hereby deleted to the extent such restrictions violate 42 USC 3604(c).

This information is furnished without fee and without benefit of a complete title search. No liability is assumed by First American Title. If it is desired that liability be assumed, you may apply for a policy of title insurance with First American Title Insurance Company.

Turn static files into dynamic content formats.

Create a flipbook
Issuu converts static files into: digital portfolios, online yearbooks, online catalogs, digital photo albums and more. Sign up and create your flipbook.
3445 N Avenida De La Colina digital listing kit by PropertyResearchAZ - Issuu