3433 S Desert Echo Rd digital listing kit w ccrs

Page 1


WIRE FRAUD ALERT THINK DIFFERENTLY

Email-based, real estate fraud schemes are on the rise. One common scenario is altering wiring instructions with the intention of rerouting funds.

Keeping this in mind, First American Title is changing the way we receive payment information. It is imperative that we are familiar with the people in our transactions.

RELYING ON EMAIL ALONE IS NO LONGER AN OPTION.

Fraudsters often use email to send falsified wire instructions to unsuspecting victims. Please warn your buyers and sellers to only follow wire instructions they receive personally from First American Title.

Additionally, we will not accept disbursement instructions for seller or buyer funds via email OR from any third party (attorney, real estate agent, etc).

ALTERNATIVE INSTRUCTIONS?

If your buyer or seller receives alternative wiring instructions that appear to be from First American Title, make sure they contact their escrow officer at a trusted phone number for confirmation.

Know that our wiring instructions do not change so any communication is suspect. Our banking institution is First American Trust.

IN SHORT – wire instructions will not be accepted by email. New wire instructions must be hand-carried or uploaded to the First American Secure Portal.

Thank you for joining First American Title in fostering a secure real estate transaction process. Have questions or concerns? Please contact our office or your escrow officer.

LIMITATION OF LIABILITY FOR INFORMATIONAL REPORTS

IMPORTANT -- PLEASE READ CAREFULLY:

This report is not an insured product or service or a representation of the condition of title to real property. It is not an abstract, legal opinion, opinion of title, title insurance commitment or preliminary report, or any form of Title Insurance or Guaranty. This report is issued exclusively for the benefit of the Applicant therefor and may not be used or relied upon by any other person. This report may not be reproduced in any manner without First Americans prior written consent. First American does not represent or warrant that the information herein is complete or free from error, and the information herein is provided without any warranties of any kind, as-is, and with all faults. As a material part of the consideration given in exchange for the issuance of this report, recipient agrees that First Americans sole liability for any loss or damage caused by an error or omission due to inaccurate information or negligence in preparing this report shall be limited to the fee charged for the report. Recipient accepts this report with this limitation and agrees that First American would not have issued this report but for the limitation of liability described above. First American makes no representation or warranty as to the legality or propriety of recipient's use of the information herein.

Disclaimer

This REiSource report is provided "as is" without warranty of any kind, either express or implied, including without limitations any warrantees of merchantability or fitness for a particular purpose. There is no representation of warranty that this information is complete or free from error, and the provider does not assume, and expressly disclaims, any liability to any person or entity for loss or damage caused by errors or omissions in this REiSource report without a title insurance policy.

The information contained in the REiSource report is delivered from your Title Company, who reminds you that you have the right as a consumer to compare fees and serviced levels for Title, Escrow, and all other services associated with property ownership, and to select providers accordingly. Your home is the largest investment you will make in your lifetime and you should demand the very best.

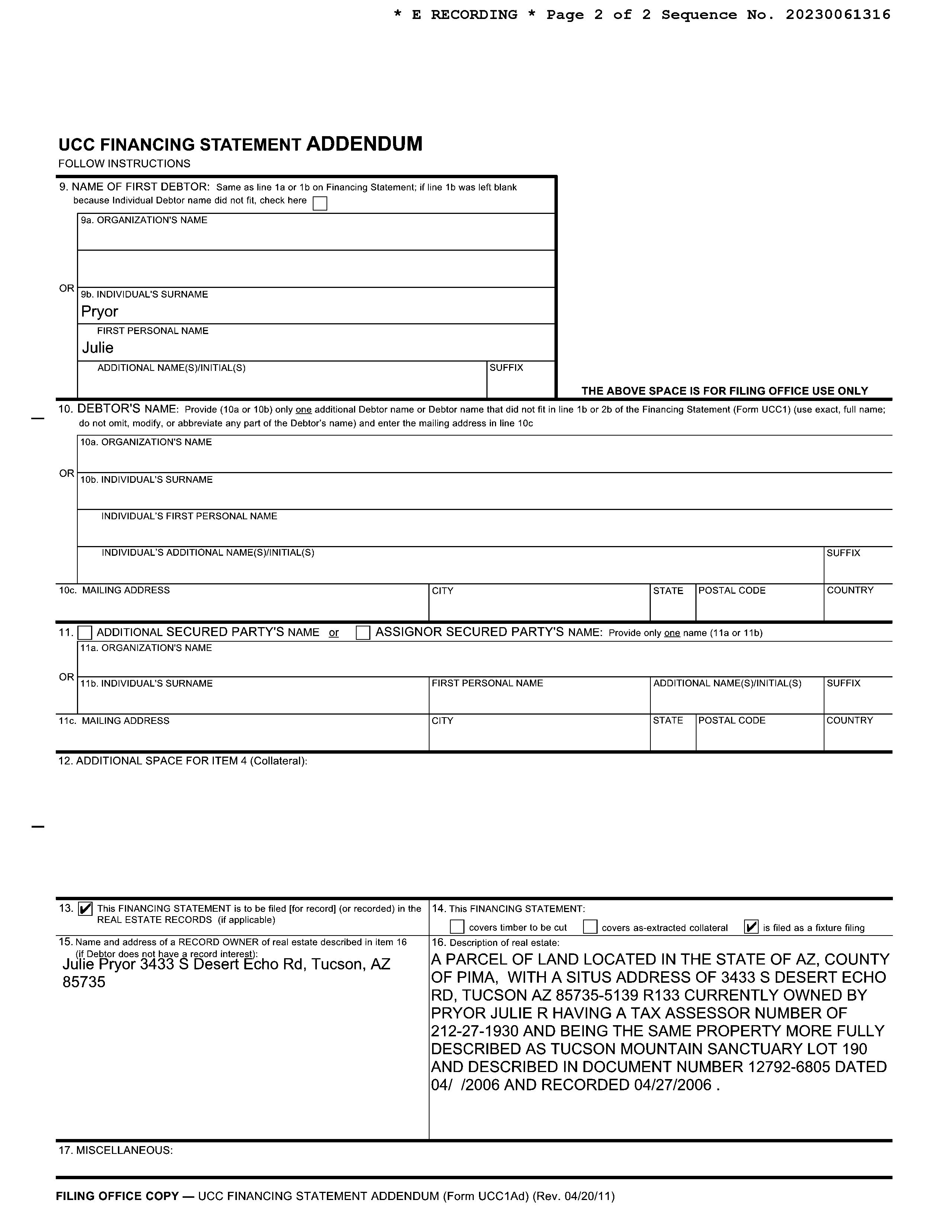
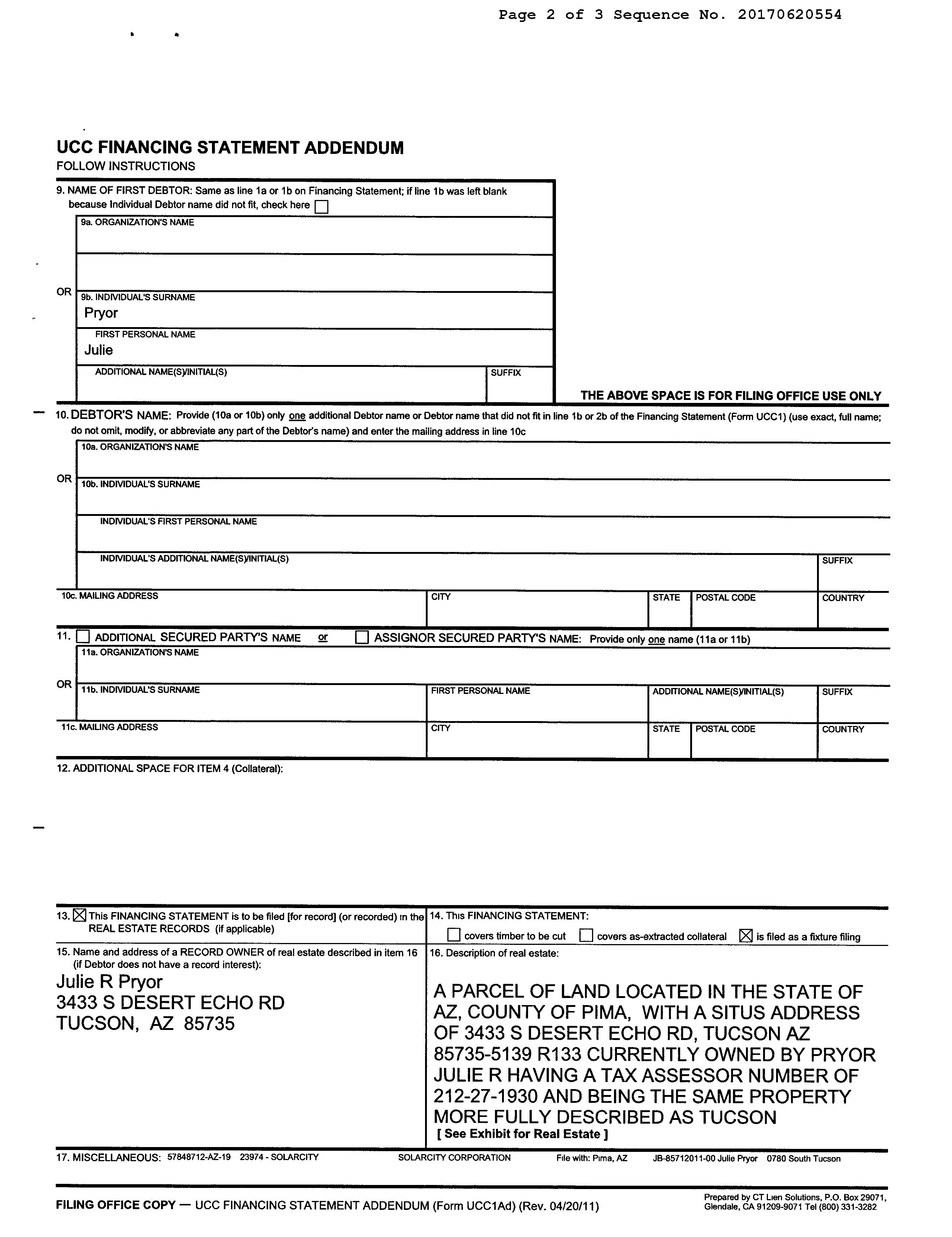
Subject Property :   3433 S Desert Echo Rd Tucson AZ 85735

Owner Information

Owner Name : Pryor Dale J / Pryor Julie R

Mailing Address : 3433 S Desert Echo Rd, Tucson AZ 85735-5139 R133

Vesting Codes : Widower / /

Owner Occupied Indicator : O

Location Information

Legal Description : Tucson Mountain Sanctuary Lot 190

County : Pima, Az

Census Tract / Block : 44.35 / 2

Township-Range- Sect : 14S-12E-26

Legal Book/Page : 54-72

Legal Lot : 190

Market Area : 311

Owner Transfer Information

Recording/Sale Date : 12/15/2023 / 12/08/2023

APN : 212-27-1930

Subdivision : Tucson Mountain Sanctuary

Map Reference : 26-14S-12E

School District : Tucson Unified

Munic/Township : Tucson Unified

Deed Type : Warranty Deed

Document # : 3490663 1st Mtg Document # : 3490664

Last Market Sale Information

Recording/Sale Date : 04/27/2006 / 04/00/2006 1st Mtg Document # : 12792-6807

Sale Price : $224,500 1st Mtg Term : 30

Document # : 12792-6805

Price Per SqFt : $142.18

Deed Type : Warranty Deed 2nd Mtg Amount/Type : $33,675 / Conv

1st Mtg Amount/Type : $179,600 / Cnv

Title Company : Catalina Title

Lender : Hsbc Mtg Corp (usa)

Seller Name : Howlett Randall G

Prior Sale Information

Prior Rec/Sale Date : 04/15/2005 / 03/00/2005

Prior Sale Price : $185,500

Prior Doc Number : 12532-6349

Prior Deed Type : Warranty Deed

Property Characteristics

Gross Area : 1,579

Living Area : 1,579

Total Rooms : 6

Year Built / Eff : 2004

# of Stories : 1

Parking Type : Garage

Property Information

Land Use : Sfr

County Use : Single Fam Resurban Subd

Tax Information Total Value : $190,902

Garage Capacity : 2

Prior Lender : Washington Mutual Bk Fa

Prior 1st Mtg Amt/Type : $148,400 / Conv

Prior 1st Mtg Rate/Type : $4.84 / Adjustable Int Rate Loan

Patio Type : Covered Patio

Roof Material : Asphalt Air Cond : Refrigeration

Heat Type : Forced Air Quality : Good

Cooling Type : Forced Air Condition : Excellent

Exterior wall : Frame Wood Bath Fixtures : 7

Zoning : CR-4

Lot Acres : 0.16

Lot Size : 6,878

State Use : Single Fam Resurban Subd

Tax : $2,494.42

Year Total Value : $23,708 Total Taxable Value : $15,713 Tax Rate Area : 0102 Current Year Improvement Value : $23,658

Assessed Year : 2023 Market Value : $190,902 Current Year Land Value : $50

Tax Year : 2023

Current Assessed Year : 2025

Details of Comparables

Subject Property: 3433 S Desert Echo Rd Tucson Az 85735

Owner Name: Pryor Dale J /Pryor Julie R

APN / Alternate APN: 212-27-1930 / Deed Type: Warranty Deed

Subdivision / Tract: Tucson Mountain Sanctuary / Lot Size: 6,878

Rec. Date / Price: 04/27/2006 / $224,500 Living Area: 1,579

Document #: 12792-6805

Total Tax Value: $190,902

Land Use: Sfr

Year Built / Eff: 2004 /

# of units:

Bedrooms: Pool:

Bath(F/H): /

#1   3456 S Desert Promenade Rd Tucson Az 85735

Owner Name: Oramas Aris /Gentile Sydney APN / Alternate APN: 212-27-2470 / Deed Type: Warranty Deed

Subdivision / Tract: Tucson Mountain Sanctuary / Lot Size: 7,211

Rec. Date / Price: 09/27/2023 / $359,000 Living Area: 1,776

Document #: 2700473 Bedrooms:

Total Tax Value: $219,812

Bath(F/H): /

#2   5876 W Mohave Bloom Dr Tucson Az 85735

Owner Name: Cowman Terrence L & Di / APN / Alternate APN: 212-27-3270 / Deed Type: Warranty Deed

Subdivision / Tract: Tucson Mountain Sanctuary / Lot Size: 7,916

Rec. Date / Price: 02/20/2024 / $320,811 Living Area: 1,776

Document #: 510413

Total Tax Value: $201,732

#3   3582 S Double Echo Rd Tucson Az 85735

Bedrooms:

Bath(F/H): /

Owner Name: Tom Lionel / APN / Alternate APN: 212-27-1270 / Deed Type: Warranty Deed

Subdivision / Tract: Tucson Mountain Sanctuary / Lot Size: 7,243

Rec. Date / Price: 10/12/2023 / $315,000 Living Area: 1,579

Document #: 2850263

Bedrooms:

Total Tax Value: $188,635 Bath(F/H): /

#4   5858 W Aster Bloom Dr Tucson Az 85735

Owner Name: Quevedo Javier /Fernandez Jennifer L APN / Alternate APN: 212-27-3170 / Deed Type: Warranty Deed

Subdivision / Tract: Tucson Mountain Sanctuary / Lot Size: 7,887

Rec. Date / Price: 03/29/2024 / $322,500 Living Area: 1,538

Document #: 890714

Bedrooms:

Total Tax Value: $191,616 Bath(F/H): /

Land Use: Sfr

Year Built / Eff: 2003 /

# of units:

Land Use: Sfr

Year Built / Eff: 2003 /

# of units:

Pool:

Land Use: Sfr

Year Built / Eff: 2002 /

# of units:

Pool:

Land Use: Sfr

Year Built / Eff: 2003 /

# of units:

Pool:

#5   3488 S Western Way Tucson Az 85735

Owner Name: Coles Chungwon / APN / Alternate APN: 212-27-0170 / Deed Type: Warranty Deed

Subdivision / Tract: Tucson Mountain Sanctuary / Lot Size: 7,677

Rec. Date / Price: 09/01/2023 / $250,000 Living Area: 1,579

Document #: 2440155

Total Tax Value: $190,362

#6   4011 S Selkirk Ave Tucson Az 85735

Land Use: Sfr

Year Built / Eff: 2005 /

# of units:

Bedrooms: Pool:

Bath(F/H): /

Owner Name: Schmidel Arthur Donn / APN / Alternate APN: 212-48-012H / Deed Type: Warranty Deed

Subdivision / Tract: / Lot Size: 43,996

Rec. Date / Price: 09/08/2023 / $414,000 Living Area: 1,796

Document #: 2510137

Total Tax Value: $40,371

#7   5545 W Bopp Ranch Rd Tucson Az 85735

Bedrooms:

Bath(F/H): /

Owner Name: Felzien Samantha / APN / Alternate APN: 212-48-0040 / Deed Type: Warranty Deed

Subdivision / Tract: Gila & Salt River Base & Merid / Lot Size: 203,647

Rec. Date / Price: 10/20/2023 / $410,000 Living Area: 1,450

Document #: 2930279

Total Tax Value: $142,170

#8   6221 W Black Hawk Pl Tucson Az 85713

Owner Name: Policky /

Land Use: Sfr

Year Built / Eff: 2023 /

Land Use: Sfr

Year Built / Eff: 1950 /

# of units:

Bedrooms: Pool:

Bath(F/H): /

APN / Alternate APN: 212-29-0870 / Deed Type: Warranty Deed

Subdivision / Tract: Falcon Rdg / Lot Size: 7,790

Land Use: Sfr

Year Built / Eff: 2002 / Rec. Date / Price: 11/28/2023 / $347,000 Living Area: 1,724

Document #: 3320077

Total Tax Value: $208,590

#9   3200 S Shiela Ave Tucson Az 85735

Bedrooms:

Bath(F/H): /

Owner Name: Campos Luis F /Altamirano Catalina G

APN / Alternate APN: 212-30-0340 / Deed Type: Joint Tenancy Deed

Subdivision / Tract: Millstone Manor 03 / Lot Size: 189,133

# of units:

Pool:

Land Use: Sfr

Year Built / Eff: 1986 / Rec. Date / Price: 02/29/2024 / $110,000 Living Area: 1,404

Document #: 600862

Total Tax Value: $146,509

Bedrooms:

Bath(F/H): /

# of units:

Pool:

#10   2810 S Shiela Ave Tucson Az 85735

Owner Name: Novalis Cynthia M / APN / Alternate APN: 212-29-0320 / Deed Type: Warranty Deed

Subdivision / Tract: Millstone Manor 02 / Lot Size: 209,073

Land Use: Sfr

Year Built / Eff: 1960 / Rec. Date / Price: 01/10/2024 / $402,000 Living Area: 1,508

Document #: 100188

Total Tax Value: $134,806

# of

Bedrooms:

Bath(F/H): /

#11   5377 W Rocky Peak Rd Tucson Az 85735

Owner Name: Crocker Logan /Crocker Atlanta

APN / Alternate APN: 212-50-0960 / Deed Type: Warranty Deed

Subdivision / Tract: Shadow Mountain Ranch / Lot Size: 7,850

Rec. Date / Price: 04/02/2024 / $340,000 Living Area: 1,561

Document #: 930226

Total Tax Value: $197,031

#12   2220 S Flying Q Ln Tucson Az 85713

Land Use: Sfr

Year Built / Eff: 2006 /

# of

Bedrooms:

Bath(F/H): /

Owner Name: Taber Craig N / APN / Alternate APN: 212-17-3550 / Deed Type: Warranty Deed

Subdivision / Tract: Tucson Estates 2 / Lot Size: 7,368

Land Use: Sfr

Year Built / Eff: 1998 / Rec. Date / Price: 06/20/2024 / $429,000 Living Area: 1,442

Document #: 1720311

Total Tax Value: $271,996

#13   5620 W Triangle X Pl Tucson Az 85713

Bedrooms:

Bath(F/H): /

Owner Name: Lewis William Trust / APN / Alternate APN: 212-17-1160 / Deed Type: Warranty Deed

Subdivision / Tract: Tucson Estates 2 / Lot Size: 6,319

# of units:

Pool:

Land Use: Sfr

Year Built / Eff: 2023 / Rec. Date / Price: 03/25/2024 / $445,000 Living Area: 1,714

Document #: 850536

Total Tax Value: $52,000

Bedrooms:

Bath(F/H): /

# of units:

Pool:

3449 S DESERT ECHO RD

Owner Name : Samorano Alfonso A

Sale Date : 11/13/2003

0.01 Miles

Subdivision : Tucson Mountain Sanctuary

Recording Date : 11/24/2003

Total Value : $261,826 Sale Price  : $175,767

Bed / Bath : / 3

Land Use : Sfr

Stories : 1

Blt / Eff Yr Blt : 2003 /

Tax : $2,900.60

Acres : 0.16

Area : 2,481

3419 S DESERT ECHO RD Distance 0.02 Miles

Owner Name : Phillips Andalyn G

Sale Date : 01/04/2012

Subdivision : Tucson Mountain Sanctuary

Recording Date : 01/06/2012

Total Value : $226,093 Sale Price  : $127,000

Bed / Bath : / 3

Land Use : Sfr

Tax : $2,833.67

Acres : 0.16 Stories : 1

2,045

Blt / Eff Yr Blt : 2004 /

3465 S DESERT ECHO RD Distance 0.03 Miles

Owner Name : Gallegos Martin J

Sale Date : 01/02/2009

Total Value : $229,047

Bed / Bath : / 3

Land Use : Sfr

Stories : 1

Subdivision : Tucson Mountain Sanctuary

Recording Date : 01/12/2009

Price  : $171,600

Tax : $2,602.11

Acres : 0.16

Area : 2,045

Blt / Eff Yr Blt : 2003 / APN : 212-27-1910

3405 S DESERT ECHO RD

Owner Name : Bowman Teresa A Subdivision : Tucson Mountain Sanctuary

Sale Date : 02/00/2004

Total Value : $240,105

Bed / Bath : / 3

Land Use : Sfr

Stories : 1

Blt / Eff Yr Blt : 2003 /

Recording Date : 03/12/2004

Price  : $188,000

Tax : $2,684.31

Acres : 0.17

Area : 1,990

3430 S DESERT ECHO RD

Owner Name : Teran Alfred Jesus

Sale Date : 02/27/2011

Subdivision : Tucson Mountain Sanctuary

Recording Date : 02/29/2012

Total Value : $229,969 Sale Price  : $119,000

Bed / Bath : / 3

Land Use : Sfr

Stories : 1

Blt / Eff Yr Blt : 2004 /

Tax : $2,618.79

Acres : 0.20

Area : 2,045

212-27-2220

3418 S DESERT ECHO RD Distance 0.03 Miles

Owner Name : Gracia Karla G

Sale Date : 10/01/2019

Subdivision : Tucson Mountain Sanctuary

Recording Date : 10/03/2019

Total Value : $190,984 Sale Price  : $199,950

Bed / Bath : / 3

Land Use : Sfr

Stories : 1

Blt / Eff Yr Blt : 2004 /

Tax : $2,494.42

Acres : 0.20

Area : 1,579

3450 S DESERT ECHO RD Distance 0.03 Miles

Owner Name : Jacoby Peter A

Sale Date : 09/02/2011

Total Value : $221,674

Bed / Bath : / 3

Land Use : Sfr

Subdivision : Tucson Mountain Sanctuary

Recording Date : 12/09/2011

Price  : $103,000

Tax : $2,818.25

Acres : 0.18

Stories : 1 Living Area : 1,990

Blt / Eff Yr Blt : 2004 / APN : 212-27-1590

3481 S DESERT ECHO RD

Owner Name : Connors Julia K

Sale Date : 01/27/2003

Total Value : $185,958

Bed / Bath : / 3

Land Use : Sfr

Subdivision : Tucson Mountain Sanctuary

Recording Date : 05/23/2003

Price  : $160,351

Tax : $2,165.56

Acres : 0.16

Stories : 1 Living Area : 1,579 Yr Blt / Eff Yr Blt : 2003 /

3391 S DESERT ECHO RD Distance 0.04 Miles

Owner Name : Shumway Carl M

Sale Date : 02/04/2004

Subdivision : Tucson Mountain Sanctuary

Recording Date : 02/11/2004

Total Value : $234,418 Sale Price  : $167,438

Bed / Bath : / 3

Land Use : Sfr

Stories : 1

Blt / Eff Yr Blt : 2004 /

Tax : $2,674.76

Acres : 0.17

Area : 2,045

212-27-1960

3404 S DESERT ECHO RD Distance 0.04 Miles

Owner Name : Molina Anthony M

Sale Date : 06/27/2012

Subdivision : Tucson Mountain Sanctuary

Recording Date : 07/05/2012

Total Value : $259,048 Sale Price  : $140,000

Bed / Bath : / 3

Land Use : Sfr

Tax : $2,864.04

Acres : 0.19 Stories : 1

Blt / Eff Yr Blt : 2004 /

212-27-2200

Census Tract / block: 44.35 / 2     Year: 2020

Arizona Schools

PIMA COUNTY

SEARCH PARAMETERS

PARCEL:  212-27-1930

PARCEL: 212-27-1930

OWNER: PRYOR JULIE R

SITUS: 3433 S DESERT ECHO RD PC

MAIL: 3433 S DESERT ECHO RD

TUCSON AZ 85735-5139

PLAT: LOT 00190 BLOCK

LEGAL: TUCSON MOUNTAIN SANCTUARY LOT 190

CURRENT TAXES INFORMATION THROUGH 07/28/2024

WD HOWLETT RANDALL G

12532 6349 WD PAUL JOHN W 03/31/2004 143,170    1227013400 WD KB HOME SALES-TUCSON INC

ADDITIONAL PROPERTY INFORMATION

STANDARD LAND USE: SFR

END SEARCH

Covenants, Conditions & Restrictions

Thank you for the opportunity to be of service.

Restrictions indicating a preference, limitation or discrimination based on race, color, religion, sex, handicap, familial status, or national origin are hereby deleted to the extent such restrictions violate 42 USC 3604(c).

This information is furnished without fee and without benefit of a complete title search. No liability is assumed by First American Title. If it is desired that liability be assumed, you may apply for a policy of title insurance with First American Title Insurance Company.

PIMA,AZPage28of28Printedon8/12/202411:50:24AM Document:SUBDIVISION_MAP54.72

Turn static files into dynamic content formats.

Create a flipbook
Issuu converts static files into: digital portfolios, online yearbooks, online catalogs, digital photo albums and more. Sign up and create your flipbook.