31813 N 19th Ln digital listing kit

Page 1

Subject Property

Data Provided By:

First American Title Ins Co

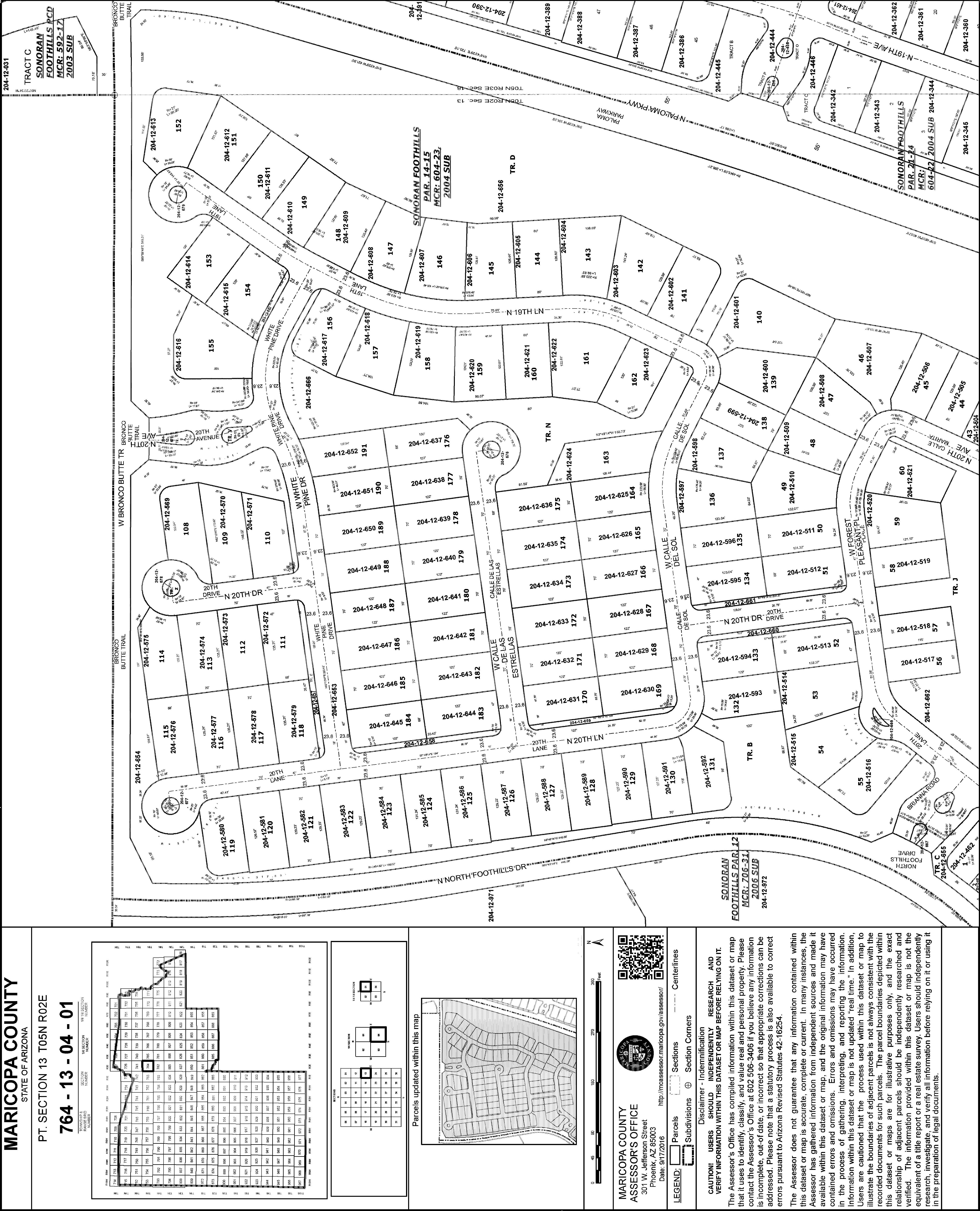
31813 N 19th Ln Phoenix AZ 85085 APN: 204-12-601
© 2023 CoreLogic. All rights reserved

WIRE FRAUD ALERT THINK DIFFERENTLY

Email-based, real estate fraud schemes are on the rise. One common scenario is altering wiring instructions with the intention of rerouting funds.

Keeping this in mind, First American Title is changing the way we receive payment information. It is imperative that we are familiar with the people in our transactions.

RELYING ON EMAIL ALONE IS NO LONGER AN OPTION.

Fraudsters often use email to send falsified wire instructions to unsuspecting victims. Please warn your buyers and sellers to only follow wire instructions they receive personally from First American Title.

Additionally, we will not accept disbursement instructions for seller or buyer funds via email OR from any third party (attorney, real estate agent, etc).

ALTERNATIVE INSTRUCTIONS?

If your buyer or seller receives alternative wiring instructions that appear to be from First American Title, make sure they contact their escrow officer at a trusted phone number for confirmation.

Know that our wiring instructions do not change so any communication is suspect. Our banking institution is First American Trust.

IN SHORT – wire instructions will not be accepted by email. New wire instructions must be hand-carried or uploaded to the First American Secure Portal.

Thank you for joining First American Title in fostering a secure real estate transaction process. Have questions or concerns? Please contact our office or your escrow officer.

For more information please contact your First American representative. www.firstam.com

01100180621
NOT TRUST EMAILED INSTRUCTIONS YOU
IN THE REAL ESTATE CLOSING PROCESS
DO
SHOULD BE AWARE OF PRECAUTIONS
First American Title Insurance Company, and the operating divisions thereof, make no express or implied warranty respecting the information presented and assume no responsibility for errors or omissions. First American, the eagle logo, First American Title, and firstam.com are registered trademarks or trademarks of First American Financial Corporation and/or its affiliates. ©2023 First American Financial Corporation and/or its affiliates. All rights reserved. NYSE: FAF

LIMITATION OF LIABILITY FOR INFORMATIONAL REPORTS

IMPORTANT -- PLEASE READ CAREFULLY:

This report is not an insured product or service or a representation of the condition of title to real property. It is not an abst ract, legal opinion, opinion of title, title insurance commitment or preliminary report, or any form of Title Insurance or Guaranty. This report is issued exclusively for the benefit of the Applicant therefor and may not be used or relied upon by any other person. This report may not be reproduced in any manner without First American or Title Security's prior written consent. First American or Title Security does not represent or warrant that the information herein is complete or free from error, and the information herein is provided without any warranties of any kind, as-is, and with all faults. As a material part of the consideration given in exchange for the issuance of this report, recipient agrees that First American or Title Security's sole liability for any loss or damage caused by an error or omission due to inaccurate information or negligence in preparing this report shall be limited to the fee charged for the report. Recipient accepts this report with this limitation and agrees that First American or Title Security would not have issued this report but for the limitation of liability described above. First American or Title Security makes no representation or warranty as to the legality or propriety of recipient's use of the information herein.

Disclaimer

This REiSource report is provided "as is" without warranty of any kind, either express or implied, including without limitations any warrantees of merchantability or fitness for a particular purpose. There is no representation of warranty that this information is complete or free from error, and the provider does not assume, and expressly disclaims, any liability to any person or entity for loss or damage caused by errors or omissions in this REiSource report without a title insurance policy.

The information contained in the REiSource report is delivered from your Title Company, who reminds you that you have the right as a consumer to compare fees and serviced levels for Title, Escrow, and all other services associated with property ownership, and to select providers accordingly. Your home is the largest investment you will make in your lifetime and you should demand the very best.

Data Provided By: First American Title Ins Co
© 2023 CoreLogic. All rights reserved

Subject Property :   31813 N 19th Ln Phoenix AZ 85085

Owner Information

Owner Name : Casilio Paul

Mailing Address : 31813 N 19th Ln, Phoenix AZ 85085-7094 R045

Vesting Codes : Unmarried Man / /

Owner Occupied Indicator : O

Location Information

Legal Description : Lot 140 Sonoran Foothills Parcel 14-15 Mcr 604-23

County : Maricopa, Az Subdivision : Sonoran Foothills Prcl 14-15

Census Tract / Block : 6120.00 / 3

Township-Range- Sect : 05N-02E-13

Legal Lot : 140

APN : 204-12-601

Last Market Sale Information

Recording/Sale Date : 03/10/2005 / 02/02/2005

Map Reference : 60423

School District : Deer Valley 97

Munic/Township : Phoenix

Neighbor Code : 08-010

Mtg Int. Rate/Type : 5.62% / Adjustable Int Rate Loan

Sale Price : $552,403 1st Mtg Document # : 297905

Document # : 297904 1st Mtg Term : 30

Deed Type : Special Warranty Deed Price Per SqFt : $159.61

1st Mtg Amount/Type : $431,600 / Cnv

Title Company : Westminister Title

Lender : Westminster Mtg

Seller Name : Edmunds-toll

Prior Sale Information

Prior Rec/Sale Date : 11/01/2002 / 05/00/2001

Prior Sale Price : $8,504,322

Prior Doc Number : 1156326

Prior Deed Type : Special Warranty Deed

Customer Name : Lisa Mrazek

Customer Company Name : First American Title Insurance Company Prepared On : 09/13/2023

© 2023 CoreLogic. All rights reserved

1st

Property Characteristics

Gross Area : 3,461 Roof Material : Concrete Tile Air Cond : Refrigeration

Living Area : 3,461 Heat Type : Gravity Quality : Good

Year Built / Eff : 2004

# of Stories : 1

Cooling Type : Gravity Condition : Average

Exterior wall : Frame Wood Bath Fixtures : 14

Parking Type : Garage Patio Type : Covered Patio Pool Size : 526

Garage Capacity : 3 Pool : Pool

Property Information

Land Use : Sfr Lot Size : 19,587

Water Type : Type Unknown

Zoning : R1-8 Site Influence : Corner Sewer Type : Public Service

Lot Acres : 0.45 Water Influence : Corner State Use : Single Fam Resurban Subd ( 5 )

Tax Information

Total Value : $553,700 Assessed Year : 2022 Tax Rate Area : 971300

Land Value : $110,700 Improve % : 80% Market Value : $553,700

Improvement Value : $443,000 Tax Year : 2022

Current Assessed Year : 2024

Total Taxable Value : $50,739 Property Tax : $5,055.12 Current Year Total Value : $142,389

©
CoreLogic. All rights reserved
Customer
Name : Lisa Mrazek Customer Company Name : First American Title Insurance Company Prepared On : 09/13/2023
2023
Sales Analysis Criteria Subject Property Low High Average Sale Price $552,403 $585,000 $1,400,000 $929,095 Bldg/Living Area 3461 3012 3841 3352 Price Per Square Foot $159.61 $180 $385 $278.01 Year Built 2004 2004 2010 2006 Lot Size 19,587 5,755 25,564 11,871 Bedrooms Bathrooms 5 4 6 4 Stories 1 1 2 1 Total Assessed Value $553,700 $310,500 $590,300 $474,885 Distance From Subject 0 0.03 0.83 0.48
© 2023 CoreLogic.
rights
Customer Name : Lisa Mrazek Customer Company Name : First American Title Insurance Company Prepared On : 09/13/2023
All
reserved

Customer Name : Lisa Mrazek

Customer Company Name : First American Title Insurance Company

Prepared On : 09/13/2023

© 2023 CoreLogic. All rights reserved

Map

Details of Comparables

#3   1713 W Calle Marita Phoenix Az 85085 Owner

Property: 31813 N 19th Ln Phoenix Az 85085 Owner Name: Casilio Paul / APN / Alternate APN: 204-12-601 / Deed Type: Special Warranty Deed Land Use: Sfr Subdivision / Tract: Sonoran Foothills Prcl 14-15 / Lot Size: 19,587 Year Built / Eff: 2004 / Rec. Date / Price: 03/10/2005 / $552,403 Living Area: 3,461 # of units: Document #: 297904 Bedrooms: Pool: Pool Total Tax Value: $553,700 Bath(F/H): / #1   2001 W Calle Del Sol Phoenix Az 85085 Owner Name: Shaw Joshua
Natalie APN / Alternate APN: 204-12-599 / Deed Type: Warranty Deed Land Use: Sfr Subdivision / Tract: Sonoran Foothills Prcl 14-15 / Lot Size: 9,101 Year Built / Eff: 2004 / Rec. Date / Price: 11/29/2022 / $1,075,000 Living Area: 3,461 # of units: Document #: 860159 Bedrooms: Pool: Pool Total Tax Value: $477,300 Bath(F/H): / 1826 W Brianna Rd Phoenix Az 85085
Name:
APN / Alternate APN: 204-12-435 / Deed Type: Warranty Deed Land Use: Sfr Subdivision / Tract: Sonoran Foothills Prcl 21-24 / Lot Size: 10,800 Year Built / Eff: 2004 / Rec. Date / Price: 05/31/2023 / $925,000 Living Area: 3,374 # of units: Document #: 282888 Bedrooms: Pool: Pool Total Tax Value: $513,700 Bath(F/H): /
Name:
APN / Alternate APN: 204-12-380 / Deed Type: Warranty Deed Land Use: Sfr Subdivision / Tract: Sonoran Foothills Prcl 21-24 / Lot Size: 11,892 Year Built / Eff: 2006 / Rec. Date / Price: 05/25/2023 / $1,300,000 Living Area: 3,374 # of units: Document #: 271851 Bedrooms: Pool: Pool Total Tax Value: $505,000 Bath(F/H): /
Owner Name: Bm Aviano
APN / Alternate APN: 204-12-443 / Deed Type: Warranty Deed Land Use: Sfr Subdivision / Tract: Sonoran Foothills Prcl 21-24 / Lot Size: 10,705 Year Built / Eff: 2005 / Rec. Date / Price: 12/09/2022 / $674,000 Living Area: 3,097 # of units: Document #: 883075 Bedrooms: Pool: Pool Total Tax Value: $510,200 Bath(F/H): / Customer Name : Lisa Mrazek Customer Company Name : First American Title Insurance Company Prepared On : 09/13/2023 © 2023 CoreLogic. All rights reserved
Subject
/Shaw
Owner
Seskind Darryl C /Seskind Rebecca
Baer Dennis /
#4   1710 W Brianna Rd Phoenix Az 85085
Llc /

Owner Name: Sturgis & Oconnell Trust /

Owner Name: Dennis Charles /Dennis Kacey

Owner Name: Knishinsky Gil /

#8   1813 W Dusty Wren Dr Phoenix Az 85085

Owner Name: Nunnikhoven Joel /Nunnikhoven Brittani

#9   1727 W Dusty Wren Dr Phoenix Az 85085 Owner Name: Luther Trust /

#5   1826 W Sleepy Ranch Rd Phoenix Az 85085
APN / Alternate APN: 204-25-165
Deed Type: Warranty Deed Land Use: Sfr Subdivision / Tract: Sonoran Foothills Prcl 19 / Lot Size: 18,510 Year Built / Eff: 2006 / Rec. Date / Price: 07/20/2023 / $1,170,000 Living Area: 3,371 # of units: Document #: 378150 Bedrooms: Pool: Pool Total Tax Value: $548,700 Bath(F/H): /
/
#6   2214 W Calle Del Sol Phoenix Az 85085
APN / Alternate APN:
Deed Type: Warranty Deed Land Use: Sfr Subdivision / Tract: Sonoran Foothills Prcl 11 / Lot Size: 6,600 Year Built / Eff: 2005 / Rec. Date / Price: 07/24/2023 / $585,000 Living Area: 3,253 # of units: Document #: 383397 Bedrooms: Pool: Total Tax Value: $345,500 Bath(F/H): /
204-12-748 /
#7   2218 W Oyer Ln Phoenix Az 85085
APN / Alternate APN:
Deed Type: Warranty Deed Land Use: Sfr Subdivision / Tract: Sonoran Foothills Prcl 13 / Lot Size: 5,755 Year Built / Eff: 2004 / Rec. Date / Price: 05/25/2023 / $649,900 Living Area: 3,132 # of units: Document #: 273650 Bedrooms: Pool: Total Tax Value: $310,500 Bath(F/H): /
204-12-776 /
APN / Alternate APN: 204-25-208
Deed Type: Warranty Deed Land Use: Sfr Subdivision / Tract: Sonoran Foothills Prcl 19 / Lot Size: 10,302 Year Built / Eff: 2006 / Rec. Date / Price: 03/10/2023 / $875,000 Living Area: 3,392 # of units: Document #: 121494 Bedrooms: Pool: Pool Total Tax Value: $480,000 Bath(F/H): /
APN / Alternate APN:
Deed Land Use: Sfr Subdivision / Tract: Sonoran Foothills Prcl 19 / Lot Size: 10,785 Year Built / Eff: 2007 / Rec. Date / Price: 04/07/2023 / $798,000 Living Area: 3,129 # of units: Document #: 177893 Bedrooms: Pool: Pool Total Tax Value: $478,300 Bath(F/H): /
Prepared
© 2023 CoreLogic.
rights
/
204-25-205 / Deed Type: Warranty
Customer Name : Lisa Mrazek Customer Company Name : First American Title Insurance Company
On : 09/13/2023
All
reserved
#10   1522 W Parnell Dr Phoenix Az 85085 Owner Name: Suliman Sally A / APN / Alternate APN: 204-12-938 / Deed Type: Warranty Deed Land Use: Sfr Subdivision / Tract: Sonoran Foothills Prcl 23b / Lot Size: 12,139 Year Built / Eff: 2010 / Rec. Date / Price: 06/09/2023 / $915,000 Living Area: 3,322 # of units: Document #: 302047 Bedrooms: Pool: Pool Total Tax Value: $511,000 Bath(F/H): / #11   1821 W Aloe Vera Dr Phoenix Az 85085 Owner Name: Stevens Craig C /Stevens Lindsey APN / Alternate APN: 204-25-004 / Deed Type: Warranty Deed Land Use: Sfr Subdivision / Tract: Sonoran Foothills Prcl 16 / Lot Size: 9,380 Year Built / Eff: 2006 / Rec. Date / Price: 06/29/2023 / $860,000 Living Area: 3,077 # of units: Document #: 339299 Bedrooms: Pool: Total Tax Value: $395,000 Bath(F/H): / #12   32203 N 16th Ave Phoenix Az 85085 Owner Name: Wilbanks John /Wilbanks Helen APN / Alternate APN: 204-25-289 / Deed Type: Warranty Deed Land Use: Sfr Subdivision / Tract: Sonoran Foothills Prcl 20 / Lot Size: 11,513 Year Built / Eff: 2007 / Rec. Date / Price: 05/08/2023 / $800,000 Living Area: 3,475 # of units: Document #: 237489 Bedrooms: Pool: Pool Total Tax Value: $523,000 Bath(F/H): / #13   32214 N 16th Ave Phoenix Az 85085 Owner Name: Armillary Dvrsfd Hldgs Llc / APN / Alternate APN: 204-25-316 / Deed Type: Warranty Deed Land Use: Sfr Subdivision / Tract: Sonoran Foothills Prcl 20 / Lot Size: 11,514 Year Built / Eff: 2008 / Rec. Date / Price: 04/07/2023 / $920,000 Living Area: 3,016 # of units: Document #: 177787 Bedrooms: Pool: Pool Total Tax Value: $509,300 Bath(F/H): / #14   1817 W Bramble Berry Ln Phoenix Az 85085 Owner Name: Agra Basem /Agra Maysoun APN / Alternate APN: 204-25-078 / Deed Type: Warranty Deed Land Use: Sfr Subdivision / Tract: Sonoran Foothills Prcl 16 / Lot Size: 9,380 Year Built / Eff: 2006 / Rec. Date / Price: 05/17/2023 / $735,000 Living Area: 3,841 # of units: Document #: 253919 Bedrooms: Pool: Total Tax Value: $412,100 Bath(F/H): / Customer Name : Lisa Mrazek Customer Company Name : First American Title Insurance Company Prepared On : 09/13/2023 © 2023 CoreLogic. All rights reserved

#15   1505 W Calle Escuda Phoenix Az 85085

Owner Name: Bass Tyler /Bass Jennifer

Owner Name: O Connell William /O Connell Valerie

32823 N 16th Gln Phoenix Az 85085

Owner Name: Garrabrants Michael S /Oconnell Colleen J

2121 W Apache Rain Rd Phoenix Az 85085

Owner Name: Wible Kelly Lynn /Nathan Christopher

APN / Alternate
Deed Type: Warranty Deed Land Use: Sfr Subdivision / Tract:
Prcl 23a / Lot Size: 22,349 Year Built / Eff: 2006 / Rec. Date / Price: 03/23/2023 / $1,200,000 Living Area: 3,214 # of units: Document #: 146013 Bedrooms: Pool: Pool Total Tax Value: $572,700 Bath(F/H): / #16
APN / Alternate APN:
Deed Type: Warranty Deed Land Use: Sfr Subdivision / Tract: Sonoran Foothills Prcl 20 / Lot Size: 12,196 Year Built / Eff: 2008 / Rec. Date / Price: 04/07/2023 / $1,025,000 Living Area: 3,424 # of units: Document #: 177646 Bedrooms: Pool: Pool Total Tax Value: $566,800 Bath(F/H): /
APN: 204-25-258 /
Sonoran Foothills
32205 N 15th Ln Phoenix Az 85085 Owner Name: Chen Kuo P /
204-25-295 /
#17   1514 W Bramble Berry Ln Phoenix Az 85085
APN / Alternate
Warranty
Land Use: Sfr Subdivision / Tract: Sonoran Foothills Prcl 18 / Lot Size: 12,119 Year Built / Eff: 2010 / Rec. Date / Price: 07/17/2023 / $1,050,000 Living Area: 3,012 # of units: Document #: 370284 Bedrooms: Pool: Pool Total Tax Value: $462,200 Bath(F/H): / #18
APN: 204-25-349 / Deed Type:
Deed
APN / Alternate
Deed Land Use: Sfr Subdivision / Tract: Sonoran Foothills Prcl 17 / Lot Size: 25,564 Year Built / Eff: 2010 / Rec. Date / Price: 05/19/2023 / $1,400,000 Living Area: 3,633 # of units: Document #: 260209 Bedrooms: Pool: Pool Total Tax Value: $590,300 Bath(F/H): /
APN: 204-25-682 / Deed Type: Warranty
#19
APN /
204-01-488
Deed Land Use: Sfr Subdivision / Tract: Carefree Crossing Prcl 2 / Lot Size: 9,100 Year Built / Eff: 2005 / Rec. Date / Price: 09/26/2022 / $775,000 Living Area: 3,694 # of units: Document #: 735229 Bedrooms: Pool: Pool Total Tax Value: $401,100 Bath(F/H): / Customer Name
Lisa Mrazek Customer Company Name : First American Title Insurance Company Prepared On : 09/13/2023 © 2023 CoreLogic. All rights reserved
Alternate APN:
/ Deed Type: Warranty
:

#20   2122 W Apache Rain Rd Phoenix Az 85085

Name: Ziesel Timothy /Ziesel Laura W

APN / Alternate APN: 204-01-546 / Deed Type: Warranty Deed Land Use: Sfr Subdivision / Tract: Carefree Crossing Prcl 2 / Lot Size: 7,719 Year Built / Eff: 2006 / Rec. Date / Price: 08/31/2023 / $850,000 Living Area: 3,742 # of units: Document #: 458434 Bedrooms: Pool: Pool Total Tax Value: $385,000 Bath(F/H): /
Owner
© 2023 CoreLogic. All rights reserved
Customer
Name : Lisa Mrazek Customer Company Name : First American Title Insurance Company Prepared On : 09/13/2023

Customer Name : Lisa Mrazek

Customer Company Name : First American Title Insurance Company Prepared On : 09/13/2023

© 2023 CoreLogic. All rights reserved

Subject Property :   31813 N 19th Ln Phoenix AZ 85085
First American Title Insurance Company Prepared On
09/13/2023 © 2023 CoreLogic. All
reserved
Customer Name : Lisa Mrazek Customer Company Name :
:
rights

1997 W CALLE DEL SOL Distance 0.02 Miles

Owner Name : Newcomer Adrienne Subdivision : Sonoran Foothills Prcl 14-15

Sale Date : 05/25/2017

Recording Date : 06/13/2017

Total Value : $484,700 Sale Price  : $490,000

Bed / Bath : / 5 Property Tax : $4,710.92

Land Use : Sfr Lot Acres : 0.29

Stories : 2 Living Area : 4,019

Yr Blt / Eff Yr Blt : 2004 / APN : 204-12-600

31821 N 19TH LN Distance 0.03 Miles

Owner Name : Galeancu Laurenceu Subdivision : Sonoran Foothills Prcl 14-15

Sale Date : 04/22/2005

Recording Date : 04/26/2005

Total Value : $506,100 Sale Price  : $495,474

Bed / Bath : / 5 Property Tax : $4,566.06

Land Use : Sfr Lot Acres : 0.25

Stories : 1

Living Area : 3,402

Yr Blt / Eff Yr Blt : 2004 / APN : 204-12-602

2001 W CALLE DEL SOL Distance 0.03 Miles

Owner Name : Shaw Joshua Subdivision : Sonoran Foothills Prcl 14-15

Sale Date : 11/17/2022

Recording Date : 11/29/2022

Total Value : $477,300 Sale Price  : $1,075,000

Bed / Bath : / 5 Property Tax : $4,348.60

Land Use : Sfr Lot Acres : 0.21

Stories : 1 Living Area : 3,461

Yr Blt / Eff Yr Blt : 2004 / APN : 204-12-599

1998 W FOREST PLEASANT PL Distance 0.03 Miles

Owner Name : Hrynshyn Subdivision : Sonoran Foothills Prcl 14-15

Sale Date : 03/26/2021

Recording Date : 04/05/2021

Total Value : $457,600 Sale Price  : $750,000

Bed / Bath : / 4

Property Tax : $4,823.68

Land Use : Sfr Lot Acres : 0.25

Stories : 1 Living Area : 3,197

Yr Blt / Eff Yr Blt : 2004 / APN : 204-12-508

Customer Name : Lisa Mrazek

Customer Company Name : First American Title Insurance Company Prepared On : 09/13/2023

© 2023 CoreLogic. All rights reserved

31813 N 20TH AVE Distance 0.03 Miles

Owner Name : Aspelin Scott Subdivision : Sonoran Foothills Prcl 14-15

Sale Date : 05/23/2005

Total Value : $548,100

Recording Date : 05/25/2005

Sale Price  : $580,000

Bed / Bath : / 5 Property Tax : $4,988.16

Land Use : Sfr Lot Acres : 0.40

Stories : 1

Living Area : 3,461

Yr Blt / Eff Yr Blt : 2004 / APN : 204-12-507

2004 W FOREST PLEASANT PL Distance 0.04 Miles

Owner Name : Condron Sidra D Subdivision : Sonoran Foothills Prcl 14-15

Sale Date : 04/26/2005

Total Value : $425,600

Bed / Bath : / 4

Recording Date : 05/04/2005

Sale Price  : $457,176

Property Tax : $3,875.92

Land Use : Sfr Lot Acres : 0.23

Stories : 1

Living Area : 3,197

Yr Blt / Eff Yr Blt : 2004 / APN : 204-12-509

31825 N 19TH LN Distance 0.05 Miles

Owner Name : Bolanos Jose R Subdivision : Sonoran Foothills Prcl 14-15

Sale Date : 07/27/2017

Total Value : $537,100

Bed / Bath : / 4

Land Use : Sfr

Stories : 1

Yr Blt / Eff Yr Blt : 2004 /

Recording Date : 10/19/2017

Sale Price  : $549,900

Property Tax : $3,904.24

Lot Acres : 0.32

Living Area : 3,924

APN : 204-12-603

2005 W CALLE DEL SOL Distance 0.05 Miles

Owner Name : Burnette David Subdivision : Sonoran Foothills Prcl 14-15

Sale Date : 11/30/2021

Total Value : $424,200

Bed / Bath : / 4

Land Use : Sfr

Stories : 1

Yr Blt / Eff Yr Blt : 2004 /

Recording Date : 12/03/2021

Sale Price  : $670,000

Property Tax : $4,513.92

Lot Acres : 0.24

Living Area : 3,047

APN : 204-12-598

Customer Name : Lisa Mrazek Customer Company Name : First American Title Insurance Company Prepared On : 09/13/2023

© 2023 CoreLogic. All rights reserved

31809 N 20TH AVE Distance 0.05 Miles

Owner Name : Larkin Michael J Subdivision : Sonoran Foothills Prcl 14-15

Sale Date : 08/31/2021

Total Value : $504,300

Recording Date : 09/30/2021

Sale Price  : $880,000

Bed / Bath : / 5 Property Tax : $4,518.92

Land Use : Sfr Lot Acres : 0.23

Stories : 1

Living Area : 3,461

Yr Blt / Eff Yr Blt : 2005 / APN : 204-12-506

2009 W CALLE DEL SOL Distance 0.06 Miles

Owner Name : Lalah J Thornton Subdivision : Sonoran Foothills Prcl 14-15

Sale Date : 01/14/2005

Total Value : $461,300

Recording Date : 01/19/2005

Sale Price  : $496,992

Bed / Bath : / 4 Property Tax : $4,265.36

Land Use : Sfr Lot Acres : 0.26

Stories : 1

Living Area : 3,197

Yr Blt / Eff Yr Blt : 2004 / APN : 204-12-597

Customer
Name : Lisa Mrazek Customer Company Name : First American Title Insurance Company Prepared On : 09/13/2023 © 2023 CoreLogic. All rights reserved
Census Tract / block: 6120.00 / 3     Year: 2020 Household Population Population by Age Count: 3,547 0 - 11 Estimate Current Year: 3,675 12 - 17 Estimate in 5 Years: 4,238 18 - 24 3.75% Growth Last 5 Years: 7.67% 25 - 64 57.96% Growth Last 10 Years: -59.11% 65 - 74 11% 75+ Household Size Household Income Current Year: 1,323 0 - $25,000 1.59% Average Current Year: 2.68 $25,000 - $35,000 1.28% Estimate in 5 Years: 1,976 $35,000 - $50,000 2.49% Growth Last 5 Years: 12.47% $50,000 - $75,000 11.11% Growth Last 10 Years: 40.65% $75,000 - $100,000 7.56% Male Population: 46.18% Above $100,000 75.96% Female Population: 53.82% Average Household Income: $158,750 Married People: 73.64% Unmarried People: 26.36% Housing Median Mortgage Payments Home Values Under $300: 0% Below $100,000: 0.76% $300 - $799: 11.49% $100,000 - $150,000: 0.92% $800 - $1,999: 23.57% $150,000 - $200,000: 0% Over $2,000: 64.93% $200,000 - $300,000: 5.54% Median Home Value: $484,000 $300,000 - $500,000: 46.9% Unit Occupied Owner: 90.1% Above $500,000: 45.89% Median Mortgage: $1,682
Customer
First
Prepared On : 09/13/2023 © 2023 CoreLogic. All rights reserved
Customer Name : Lisa Mrazek
Company Name :
American Title Insurance Company
Rent Payments Year Built Unit Occupied Renter: 9.9% 1999 - 2000 Median Gross Rent: $2,081 1995 - 1998 Less Than $499 0% 1990 - 1994 $500 - $749 0% 1980 - 1989 2.41% $750 - $999 0% 1970 - 1979 0% $1000 and Over 100% 1900 - 1969 0.69% Education Enrollment Public Pre-Primary School: 0.33% Not Enrolled in School: 76.64% Private Pre-Primary School: 1.25% Not A High School Graduate: 2.37% Public School: 19.22% Graduate Of High School: 15.92% Private School: 4.14% Attended Some College: 23.38% Public College: 1.58% College Graduate: 42.3% Private College: 2.32% Graduate Degree: 16.03% Workforce Occupation: Manager/Prof: 67.18% Private Worker: 67.45% Technical: Government Worker: 16.55% Sales: 18.62% Self Employed Worker: 4.48% Administrative: Unpaid Family Worker: 6.5% Private House Hold: Farming: 1.8% Service: 5.9% Skilled: Protective Services: Blue-Collar: 8.3% Commute Time Less Than 15 Min: 12.85% 15 min - 28 min: 29.09% 30 min - 57 min: 50.1% Over 60 min: 7.95% Customer Name : Lisa Mrazek Customer Company Name : First American Title Insurance Company Prepared On : 09/13/2023 © 2023 CoreLogic. All rights reserved

Customer Name : Lisa Mrazek

Customer Company Name : First American Title Insurance Company Prepared On : 09/13/2023

© 2023 CoreLogic. All rights reserved

Customer Name : Lisa Mrazek

Customer Company Name : First American Title Insurance Company Prepared On : 09/13/2023

© 2023 CoreLogic. All rights reserved

Customer Name : Lisa Mrazek

Customer Company Name : First American Title Insurance Company Prepared On : 09/13/2023

© 2023 CoreLogic. All rights reserved

Arizona Schools For detailed information and statistics on Arizona schools please go to https://azreportcards.azed.gov/ First American Title Insurance Company, and the operating divisions thereof, make no express or implied warranty respecting the information presented and assume no responsibility for errors or omissions. First American, the eagle logo, First American Title, and firstam.com are registered trademarks or trademarks of First American Financial Corporation and/or its affiliates. ©2021 First American Financial Corporation and/or its affiliates. All rights reserved. NYSE: FAF 05117910421

+ FIRST AMERICAN TITLE, FC0, LMRA

PARCEL:  204-12-601 PARCEL: 204-12-601 6

OWNER: CASILIO PAUL

SITUS: 31813 N 19TH LN PHOENIX

MAIL: 31813 N 19TH LN

PHOENIX, AZ 85085

PLAT: 604 -   23 LOT    140

SEARCH PARAMETERS

LEGAL: SONORAN FOOTHILLS PARCEL 14-15 MCR 604-23

END SEARCH

MARICOPA, AZ 09/13/2023  03:32PM  RL13  INVESTIGATIVE SEARCH RESULTS PAGE 1 OF 1
INSTRUMENT REC DATE
2005 297904 03/10/2005
CURRENT TAXES INFORMATION THROUGH 08/25/2023 LAND IMPR EXEMPT RATE AREA SPECIAL DISTRICTS PRIMARY  50,739  0  0  7.1589  971300  30002  SECONDARY  11,070  44,300  0  3.9866  2022 TOTAL TAX BILLED 5,055.12 2022  TAX AMT TAX DUE INTEREST DATE PAID TOTAL DUE FIRST HALF  2,527.56  0.00  0.00  10/25/2022  0.00  SECOND HALF  2,527.56  0.00  0.00  04/24/2023  0.00  TOTAL CURRENT TAXES DUE 09/23 0.00 10/23 0.00 RESIDENTIAL IMPROVEMENTS BLDG SQFT  3,461 COOLING  REFRIGERATION YEAR BUILT  2004 EXTERIOR WALLS  OTHER NUMBER OF STORIES  1.0 ROOF  OTHER NUMBER OF ROOMS CONSTRUCTION CLASS  R5 NUMBER OF BATH FIXTURES  14 PHYSICAL CONDITION  OTHER PATIO (TYPE AND NUMBER)  COVERED 1 LAND USE  01 51 GARAGE (TYPE AND NUMBER)  GARAGE 3 LOT SIZE  19,587 SQ FT POOL SQ FT  526 SCHOOL DISTRICT  971300 HEATING LAND FULL CASH VALUE  110,700 IMPR FULL CASH VALUE 443,000 SALES SALE DATE SALE AMOUNT INSTRUMENT TYPE SELLER NAME VALIDITY 03/10/2005 552,403    2005 297904 SD TOLL BROTHERS AZ LP
STANDARD LAND USE: SFR
ADDITIONAL PROPERTY INFORMATION

Turn static files into dynamic content formats.

Create a flipbook
Issuu converts static files into: digital portfolios, online yearbooks, online catalogs, digital photo albums and more. Sign up and create your flipbook.