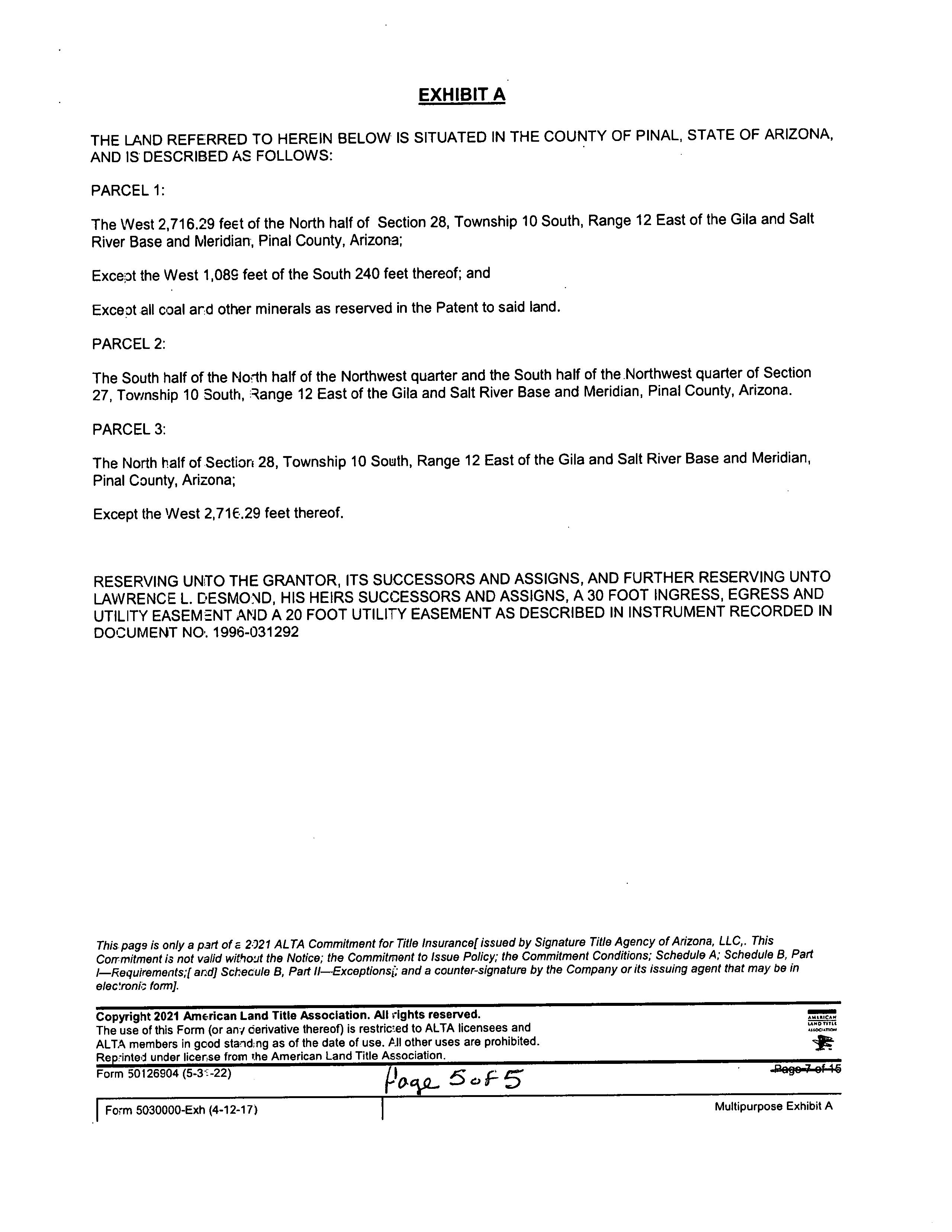
Subject Property
37420 S Carpenter Ranch Rd
Marana AZ 85658
APN: 304-05-037C
Data Provided By: First American Title Ins Co
WIRE FRAUD ALERT THINK DIFFERENTLY
Email-based, real estate fraud schemes are on the rise. One common scenario is altering wiring instructions with the intention of rerouting funds.
Keeping this in mind, First American Title is changing the way we receive payment information. It is imperative that we are familiar with the people in our transactions.
RELYING ON EMAIL ALONE IS NO LONGER AN OPTION.
Fraudsters often use email to send falsified wire instructions to unsuspecting victims. Please warn your buyers and sellers to only follow wire instructions they receive personally from First American Title.
Additionally, we will not accept disbursement instructions for seller or buyer funds via email OR from any third party (attorney, real estate agent, etc).
ALTERNATIVE INSTRUCTIONS?
If your buyer or seller receives alternative wiring instructions that appear to be from First American Title, make sure they contact their escrow officer at a trusted phone number for confirmation.
Know that our wiring instructions do not change so any communication is suspect. Our banking institution is First American Trust.
IN SHORT – wire instructions will not be accepted by email. New wire instructions must be hand-carried or uploaded to the First American Secure Portal.
Thank you for joining First American Title in fostering a secure real estate transaction process. Have questions or concerns? Please contact our office or your escrow officer.
LIMITATION OF LIABILITY FOR INFORMATIONAL REPORTS
IMPORTANT -- PLEASE READ CAREFULLY:
This report is not an insured product or service or a representation of the condition of title to real property. It is not an abstract, legal opinion, opinion of title, title insurance commitment or preliminary report, or any form of Title Insurance or Guaranty. This report is issued exclusively for the benefit of the Applicant therefor and may not be used or relied upon by any other person. This report may not be reproduced in any manner without First Americans prior written consent. First American does not represent or warrant that the information herein is complete or free from error, and the information herein is provided without any warranties of any kind, as-is, and with all faults. As a material part of the consideration given in exchange for the issuance of this report, recipient agrees that First Americans sole liability for any loss or damage caused by an error or omission due to inaccurate information or negligence in preparing this report shall be limited to the fee charged for the report. Recipient accepts this report with this limitation and agrees that First American would not have issued this report but for the limitation of liability described above. First American makes no representation or warranty as to the legality or propriety of recipient's use of the information herein.

Disclaimer
This REiSource report is provided "as is" without warranty of any kind, either express or implied, including without limitations any warrantees of merchantability or fitness for a particular purpose. There is no representation of warranty that this information is complete or free from error, and the provider does not assume, and expressly disclaims, any liability to any person or entity for loss or damage caused by errors or omissions in this REiSource report without a title insurance policy.
The information contained in the REiSource report is delivered from your Title Company, who reminds you that you have the right as a consumer to compare fees and serviced levels for Title, Escrow, and all other services associated with property ownership, and to select providers accordingly. Your home is the largest investment you will make in your lifetime and you should demand the very best.
Subject Property : 37420 S Carpenter Ranch Rd Marana AZ 85658
Owner Information
Owner Name : Conklin Kevin
Mailing Address : 3191 150th St, Wilton IA 52778-9313 R001
Owner Occupied Indicator : A
Location Information
Legal Description : Nw Of Sec 28-10s-12e Exc W-1089' Of S-240' Thereof Sec 28-10s-12e158.62 Ac
County : Pinal, Az
Census Tract / Block : 8.02 / 3
Township-Range- Sect : 10S-12E-28
Last Market Sale Information
APN : 304-05-037C
Map Reference : 2810S12E
Recording/Sale Date : 02/15/2023 / 02/09/2023 1st Mtg Amount/Type : $1,610,000 / Pp
Sale Price : $2,300,000 1st Mtg Document # : 10910
Document # : 10909 1st Mtg Term : 5
Deed Type : Special Warranty Deed
Title Company : Signature Title Agcy/az Llc
Lender : Private Individual
Seller Name : Cottonwood Canyon Llc
Prior Sale Information
Prior Rec/Sale Date : 04/12/2006 / 04/00/2006
Prior Sale Price : $5,500,000
Prior Doc Number : 52837
Property Information
Prior Deed Type : Warranty Deed
Prior Lender : Private Individual
Prior 1st Mtg Amt/Type : $4,000,000 / Private Party
Land Use : Ranch Lot Acres : 158.62
Zoning : GENERAL RURAL ZONE Lot Size : 6,909,487
State Use : Ranch Property
Customer Name : Jeremiah Stiffler
Customer Company Name : First American Prepared On : 11/08/2024
Tax Information
Total Value : $1,745 Tax Year : 2024 Current Assessed Year : 2025
Value : $1,745
Tax : $25.72 Current Year Total Value : $262 Total Taxable Value : $262
Rate Area : 0500 Current Year Land Value : $262 Assessed Year : 2024
Value : $1,745
No comparables data for selected property.
Owner Name : Desmond Lawrence L
Sale Date : 10/27/1999
Total Value : $66
Land Use : Ranch
37455 S DESERT RIDGES RD
Owner Name : Sprague Michael W
Sale Date : 08/01/2014
Recording Date : 10/28/1999
Price : $95,000
Acres : 6.00
304-05-037D
Recording Date : 08/08/2014
Price : $170,000 Total Value : $330,681
Use : Sfr
$1,791.90
Acres : 13.44 Stories : 1
Area : 2,762 Yr Blt / Eff Yr Blt : 2004 /
38029 S WILD STALLION LN
Owner Name : Conklin Kevin
Sale Date : 08/11/2006
304-05-079
Price : $1,300,000
$396.84 Total Value : $26,889
Land Use : Vacant Land (nec)
Recording Date : 08/16/2006
UNDETERMINED RD
30.00
304-05-041A
Owner Name : Davis Mark R Sale Price : $30,000
Sale Date : 03/20/2013
Total Value : $28,195
Land Use : Vacant Land (nec)
Recording Date : 03/29/2013 S UNDETERMINED RD
Owner Name : Randy Scott (te)
0.34 Miles
Tax : $168.08
Acres : 4.02
304-05-081
Tax : $168.08
Total Value : $28,195 Lot Acres : 4.02
Land Use : Vacant Land (nec) APN : 304-05-080
Owner Name : Torba Stephanie & Steven Sale Price : $30,000
Total Value : $466,437
Land Use : Sfr
Tax : $2,428.98
Acres : 5.00
Stories : 1 Living Area : 3,380 Yr Blt / Eff Yr Blt : 2008 / APN : 304-07-017J
Recording Date : 05/08/1998
S CARPENTER RANCH RD
Owner Name : Hogan James R Recording Date : 11/04/1994
Sale Date : 11/04/1994
Tax : $5.98 Total Value : $407
Acres : 37.03 Land Use : Ranch
304-05-042W E TORBALITA TRL
Owner Name : Levi Painting Llc Sale Price : $39,500
Sale Date : 03/14/2024
Tax : $203.64 Total Value : $33,674
Land Use : Residential Acreage
Recording Date : 03/22/2024
5.00
304-07-017H
S CARPENTER RANCH RD Distance 0.44 Miles
Owner Name : Conklin Kevin Sale Price : $2,300,000
Sale Date : 02/09/2023
Total Value : $1,269
Land Use : Ranch
Recording Date : 02/15/2023
Tax : $18.70
115.38
304-05-037B
Census Tract / block: 8.02 / 3 Year: 2020