3018 W Sky Ranch Trail

Page 1

Subject Property 3018 W Sky Ranch Trl Tucson AZ 85742 APN: 224-45-7780 Data Provided By: First American Title Ins Co © 2024 CoreLogic. All rights reserved

Title Security Agency is officially becoming First American Title. Despite the name change, you can expect the same excellent service and familiar faces at your closings.

Our partnership with First American Title brings you the best of both worlds: LOCAL EXPERTISE AND FORTUNE 500 RESOURCES.

Same great team

Same local knowledge

Same convenient locations

Same great service

Fortune® 500 company

Multicultural materials

Economic team, market data, and trends

Leading technology in a changing market

Our industry is navigating a challenging market. Our alignment with a seasoned industry leader, with over 130 years of experience, provides valuable resources and expert guidance as we adapt.

Thank you for your continued trust in us!

We truly appreciate your business and look forward to seeing you at the closing table soon.

THE BEST OF BOTH WORLDS

24-DID-0071-F1_CP-AZL_01
FIRST AMERICAN - SOUTHERN ARIZONA ADMIN OFFICE 520.885.1600 tsa-administration@firstam.com First American Title Insurance Company, and the operating divisions thereof, make no express or implied warranty respecting the information presented and assume no responsibility for errors or omissions. First American, the eagle logo, First American Title, and firstam.com are registered trademarks or trademarks of First American Financial Corporation and/or its affiliates. ©2024 First American Financial Corporation and/or its affiliates. All rights reserved. NYSE: FAF
EXCITING NEWS!

WIRE FRAUD ALERT THINK DIFFERENTLY

Email-based, real estate fraud schemes are on the rise. One common scenario is altering wiring instructions with the intention of rerouting funds.

Keeping this in mind, First American Title is changing the way we receive payment information. It is imperative that we are familiar with the people in our transactions.

RELYING ON EMAIL ALONE IS NO LONGER AN OPTION.

DO NOT TRUST EMAILED INSTRUCTIONS

Fraudsters often use email to send falsified wire instructions to unsuspecting victims. Please warn your buyers and sellers to only follow wire instructions they receive personally from First American Title.

Additionally, we will not accept disbursement instructions for seller or buyer funds via email OR from any third party (attorney, real estate agent, etc).

ALTERNATIVE INSTRUCTIONS?

If your buyer or seller receives alternative wiring instructions that appear to be from First American Title, make sure they contact their escrow officer at a trusted phone number for confirmation.

Know that our wiring instructions do not change so any communication is suspect. Our banking institution is First American Trust.

IN SHORT – wire instructions will not be accepted by email. New wire instructions must be hand-carried or uploaded to the First American Secure Portal.

Thank you for joining First American Title in fostering a secure real estate transaction process. Have questions or concerns? Please contact our office or your escrow officer.

For more information please contact your First American representative.

www.firstam.com

01100180621
YOU SHOULD BE AWARE OF PRECAUTIONS IN THE REAL ESTATE CLOSING PROCESS
First American Title Insurance Company, and the operating divisions thereof, make no express or implied warranty respecting the information presented and assume no responsibility for errors or omissions. First American, the eagle logo, First American Title, and firstam.com are registered trademarks or trademarks of First American Financial Corporation and/or its affiliates. ©2023 First American Financial Corporation and/or its affiliates. All rights reserved. NYSE: FAF

LIMITATION OF LIABILITY FOR INFORMATIONAL REPORTS

IMPORTANT -- PLEASE READ CAREFULLY:

This report is not an insured product or service or a representation of the condition of title to real property. It is not an abstract, legal opinion, opinion of title, title insurance commitment or preliminary report, or any form of Title Insurance or Guaranty. This report is issued exclusively for the benefit of the Applicant therefor and may not be used or relied upon by any other person. This report may not be reproduced in any manner without First Americans prior written consent. First American does not represent or warrant that the information herein is complete or free from error, and the information herein is provided without any warranties of any kind, as-is, and with all faults. As a material part of the consideration given in exchange for the issuance of this report, recipient agrees that First Americans sole liability for any loss or damage caused by an error or omission due to inaccurate information or negligence in preparing this report shall be limited to the fee charged for the report. Recipient accepts this report with this limitation and agrees that First American would not have issued this report but for the limitation of liability described above. First American makes no representation or warranty as to the legality or propriety of recipient's use of the information herein.

Disclaimer

This REiSource report is provided "as is" without warranty of any kind, either express or implied, including without limitations any warrantees of merchantability or fitness for a particular purpose. There is no representation of warranty that this information is complete or free from error, and the provider does not assume, and expressly disclaims, any liability to any person or entity for loss or damage caused by errors or omissions in this REiSource report without a title insurance policy.

The information contained in the REiSource report is delivered from your Title Company, who reminds you that you have the right as a consumer to compare fees and serviced levels for Title, Escrow, and all other services associated with property ownership, and to select providers accordingly. Your home is the largest investment you will make in your lifetime and you should demand the very best.

Data Provided By: First American Title Ins Co
© 2024 CoreLogic. All rights reserved

Owner Information

Owner Name : Webber Beverly

Mailing Address : 3018 W Sky Ranch Trl, Tucson AZ 85742-8751 R047

Vesting Codes : Unmarried Woman / / Trust

Owner Occupied Indicator : O

Location Information

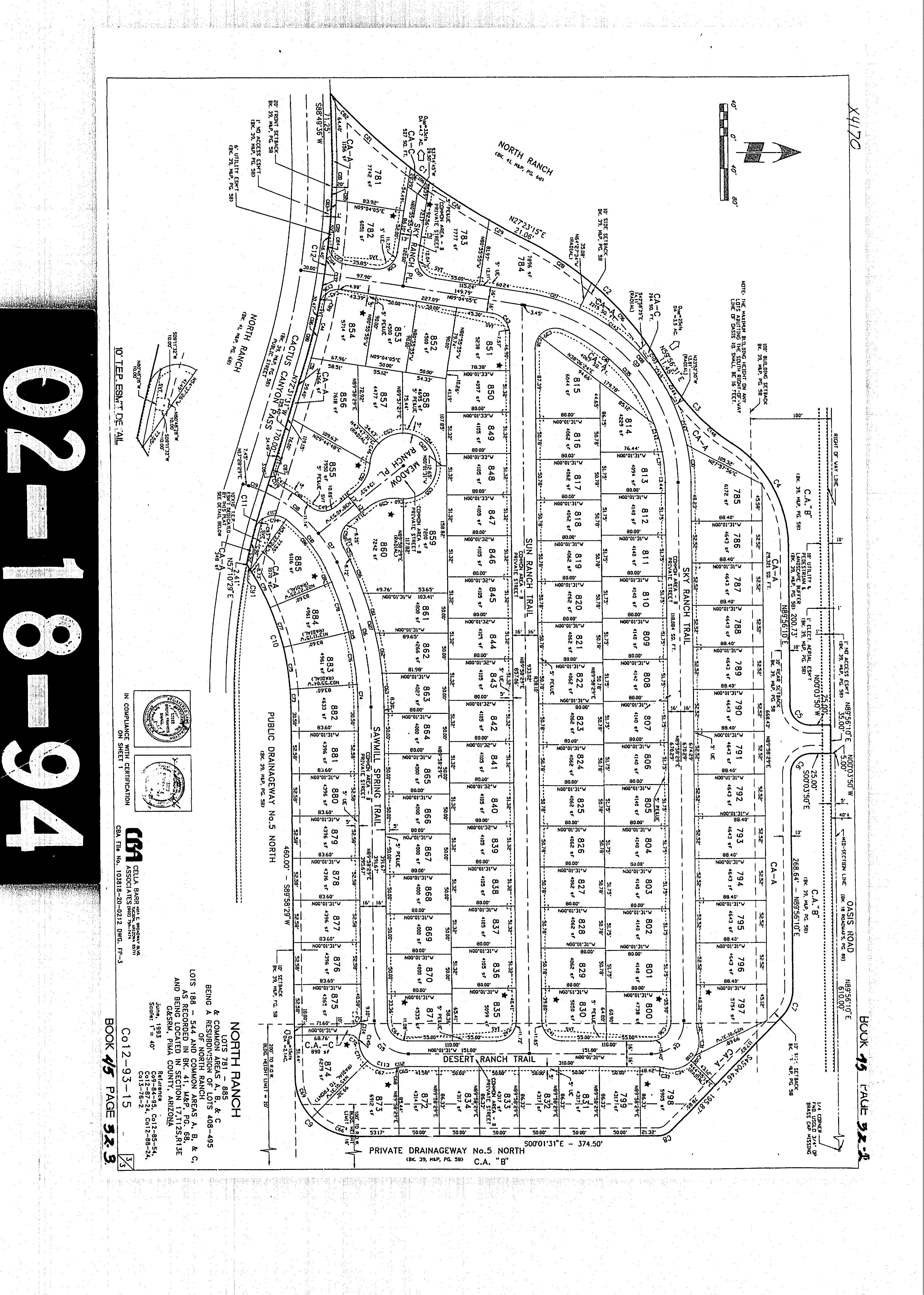
Legal Description : North Ranch Lot 0789

County : Pima, Az

Census Tract / Block : 46.31 / 1

Township-Range- Sect : 12S-13E-17

Legal Book/Page : 45-32

Legal Lot : 789

Market Area : 11

Owner Transfer Information Recording/Sale

Document # : 1070119

Last Market Sale Information

APN : 224-45-7780

Subdivision : North Ranch

Map Reference : 17-12S-13E

School District : Marana

Munic/Township : Marana

Subject Property :   3018 W Sky Ranch Trl Tucson AZ 85742
Deed
Date : 04/17/2017 / 03/21/2014
Type : Correction Deed
Date : 02/29/2000
02/24/2000 1st
Int.
/ Fixed Rate Loan Sale Price : $115,000 1st Mtg Document # : 11244-2499 Document # : 11244-2497 1st Mtg Term : 30
Type : Warranty Deed Price Per SqFt : $63.92
Mtg Amount/Type : $92,000 / Cnv Title Company : Lawyers Title Lender : Merrill Lynch Credit Corp Seller Name : Thomas Danny
Sale Information Prior Rec/Sale Date : 05/28/1999 / 05/28/1999 Prior Lender : Norwest Mtg Inc Prior Sale Price : $113,500 Prior 1st Mtg Amt/Type : $112,625 / Fha Prior Doc Number : 11057-5854 Prior 1st Mtg Rate/Type : / Fixed Rate Loan Prior Deed Type : Warranty Deed Customer Name : Kariann Keomaka Customer Company Name : First American Title Insurance Company Prepared On : 04/18/2024 © 2024 CoreLogic. All rights reserved
Recording/Sale
/
Mtg
Rate/Type :
Deed
1st
Prior
Gross Area : 1,799 Garage Capacity : 2 Patio Type : Covered Patio Living Area : 1,799 Roof Material : Tile Air Cond : Refrigeration Total Rooms : 7 Heat Type : Forced Air Quality : Good Year Built / Eff : 1995 Cooling Type : Forced Air Condition : Excellent # of Stories : 1.5 Exterior wall : Frame Wood Bath Fixtures : 9 Parking Type : Garage
Information Land Use : Sfr Zoning : CR-4 Lot Size : 4,489 County Use : Single Fam Resurban Subd Lot Acres : 0.10 State Use : Single Fam Resurban Subd Tax Information Total Value : $225,940 Property Tax : $2,405.58 Current Year Total Value : $27,718 Total Taxable Value : $18,103 Tax Rate Area : 0677 Current Year Improvement Value : $27,668 Assessed Year : 2023 Market Value : $225,940 Current Year Land Value : $50 Tax Year : 2023 Current Assessed Year : 2024 Customer Name : Kariann Keomaka Customer Company Name : First American Title Insurance Company Prepared On : 04/18/2024 © 2024 CoreLogic. All rights reserved
Property Characteristics
Property
Criteria Subject Property Low High Average Sale Price $115,000 $151,144 $415,000 $345,391 Bldg/Living Area 1799 1562 2060 1774 Price Per Square Foot $63.92 $91 $237 $195.43 Year Built 1995 1987 1995 1993 Lot Size 4,489 3,874 8,672 5,831 Bedrooms Bathrooms 3 2 4 3 Stories 1.5 1 2 1 Total Assessed Value $225,940 $217,135 $281,333 $235,630 Distance From Subject 0 0.04 0.45 0.28 Summary of Comparables # Address Sale Price Total Assessed Value Sale Date Bed Bath Living Area Lot Size Year Built Dist (Miles) Zoning S 3018 W Sky Ranch Trl 115,000 225,940 02/29/2000 3 1,799 4,489 1995 CR-4 1 3008 W Sun Ranch Trl 359,000 237,485 05/16/2023 3 2,022 4,231 1995 0.04 CR-4 2 2982 W Sawmill Spring Trl 355,000 220,364 08/18/2023 3 1,799 3,874 1995 0.09 CR-4 3 3003 W Sawmill Spring Trl 350,000 220,364 08/11/2023 3 1,799 4,539 1995 0.1 CR-4 4 2987 W Sawmill Spring Trl 346,000 226,904 08/14/2023 3 1,707 4,486 1995 0.1 CR-4 5 9870 N Spanish Head Trl 415,000 262,182 11/02/2023 3 2,027 6,277 1994 0.16 CR-4 6 9870 N Eastern Fork Trl 385,000 281,333 05/18/2023 3 2,027 6,947 1995 0.17 CR-4 7 3220 W Northern Cross Trl 350,000 238,552 08/02/2023 2 1,732 5,002 1995 0.22 CR-4 8 3221 W Northern Cross Trl 340,000 249,797 11/17/2023 2 1,866 5,179 1995 0.23 CR-4 9 3248 W Meadow Flower Trl 387,500 243,934 03/14/2024 4 2,060 6,923 1991 0.28 CR-4 Customer Name : Kariann Keomaka Customer Company Name : First American Title Insurance Company Prepared On : 04/18/2024 © 2024 CoreLogic. All rights reserved
Sales Analysis
10 3354 W Desert Bend Loop 370,000 218,213 05/18/2023 3 1,562 6,289 1991 0.32 CR-4 11 3335 W Desert Bend Loop 151,144 228,667 09/28/2023 2 1,668 7,655 1993 0.32 CR-4 12 2780 W Camino Llano 320,000 233,658 09/01/2023 3 1,774 8,672 1987 0.33 CR-4 13 3331 W Pepperwood Loop 380,000 243,338 02/14/2024 3 1,933 6,993 1987 0.37 CR-4 14 2752 W Camino Ebano 308,300 217,135 06/30/2023 3 1,568 5,849 1988 0.38 CR-4 15 9950 N Crystal Spring Pl 369,000 222,215 04/01/2024 2 1,584 5,307 1994 0.38 CR-4 16 2821 W Woodview Crest Dr 355,000 259,598 07/06/2023 3 1,723 5,589 1994 0.39 CR-5 17 9955 N Crystal Spring Pl 350,000 222,215 05/19/2023 2 1,584 6,595 1994 0.41 CR-4 18 3421 W Desert Bend Loop 365,000 222,215 08/25/2023 2 1,584 5,801 1994 0.42 CR-4 19 3441 W Desert Bend Loop 324,866 230,785 11/17/2023 2 1,693 4,830 1993 0.43 CR-4 20 2681 W Camino Llano 327,000 233,643 12/20/2023 3 1,758 5,589 1989 0.45 CR-4 Distressed Sales = Customer Name : Kariann Keomaka Customer Company Name : First American Title Insurance Company Prepared On : 04/18/2024 © 2024 CoreLogic. All rights reserved
Map Customer Name : Kariann Keomaka Customer Company Name : First American Title Insurance Company Prepared On : 04/18/2024 © 2024 CoreLogic. All rights reserved
Subject Property: 3018 W Sky Ranch Trl Tucson Az 85742 Owner Name: Webber Beverly / APN / Alternate APN: 224-45-7780 / Deed Type: Warranty Deed Land Use: Sfr Subdivision / Tract: North Ranch / Lot Size: 4,489 Year Built / Eff: 1995 / Rec. Date / Price: 02/29/2000 / $115,000 Living Area: 1,799 # of units: Document #: 11244-2497 Bedrooms: Pool: Total Tax Value: $225,940 Bath(F/H): / #1   3008 W Sun Ranch Trl Tucson Az 85742 Owner Name: Hubertus Zachary / APN / Alternate APN: 224-45-8120 / Deed Type: Warranty Deed Land Use: Sfr Subdivision / Tract: North Ranch / Lot Size: 4,231 Year Built / Eff: 1995 / Rec. Date / Price: 05/16/2023 / $359,000 Living Area: 2,022 # of units: Document #: 1360181 Bedrooms: Pool: Total Tax Value: $237,485 Bath(F/H): / #2   2982 W Sawmill Spring Trl Tucson Az 85742 Owner Name: Pyle Jeannette L / APN / Alternate APN: 224-45-8560 / Deed Type: Warranty Deed Land Use: Sfr Subdivision / Tract: North Ranch / Lot Size: 3,874 Year Built / Eff: 1995 / Rec. Date / Price: 08/18/2023 / $355,000 Living Area: 1,799 # of units: Document #: 2300093 Bedrooms: Pool: Total Tax Value: $220,364 Bath(F/H): / #3   3003 W Sawmill Spring Trl Tucson Az 85742 Owner Name: Perez Fermin /Perez Danielo & Adelyn APN / Alternate APN: 224-45-8700 / Deed Type: Warranty Deed Land Use: Sfr Subdivision / Tract: North Ranch / Lot Size: 4,539 Year Built / Eff: 1995 / Rec. Date / Price: 08/11/2023 / $350,000 Living Area: 1,799 # of units: Document #: 2230398 Bedrooms: Pool: Total Tax Value: $220,364 Bath(F/H): / #4   2987 W Sawmill Spring Trl Tucson Az 85742 Owner Name: Scott Lydia R / APN / Alternate APN: 224-45-8680 / Deed Type: Warranty Deed Land Use: Sfr Subdivision / Tract: North Ranch / Lot Size: 4,486 Year Built / Eff: 1995 / Rec. Date / Price: 08/14/2023 / $346,000 Living Area: 1,707 # of units: Document #: 2260409 Bedrooms: Pool: Total Tax Value: $226,904 Bath(F/H): / Customer Name : Kariann Keomaka Customer Company Name : First American Title Insurance Company Prepared On : 04/18/2024 © 2024 CoreLogic. All rights reserved
Details of Comparables
#5   9870 N Spanish Head Trl Tucson Az 85742 Owner Name:
APN / Alternate APN: 224-45-4430 / Deed Type: Warranty Deed Land Use: Sfr Subdivision / Tract: North Ranch / Lot Size: 6,277 Year Built / Eff: 1994 / Rec. Date / Price: 11/02/2023 / $415,000 Living Area: 2,027 # of units: Document #: 3060259 Bedrooms: Pool: Total Tax Value: $262,182 Bath(F/H): / #6   9870 N Eastern Fork Trl Tucson Az 85742 Owner Name: Fernandes Alexander / APN / Alternate APN: 224-45-5710 / Deed Type: Warranty Deed Land Use: Sfr Subdivision / Tract: North Ranch / Lot Size: 6,947 Year Built / Eff: 1995 / Rec. Date / Price: 05/18/2023 / $385,000 Living Area: 2,027 # of units: Document #: 1380463 Bedrooms: Pool: Pool Total Tax Value: $281,333 Bath(F/H): / #7   3220 W Northern Cross Trl Tucson Az 85742 Owner Name: Samuelson
/Samuelson Patricia APN / Alternate APN: 224-45-3640 / Deed Type: Warranty Deed Land Use: Sfr Subdivision / Tract: North Ranch / Lot Size: 5,002 Year Built / Eff: 1995 / Rec. Date / Price: 08/02/2023 / $350,000 Living Area: 1,732 # of units: Document #: 2140205 Bedrooms: Pool: Total Tax Value: $238,552 Bath(F/H): / #8   3221 W Northern Cross Trl Tucson Az 85742 Owner Name: Altemara Diana L / APN / Alternate APN: 224-45-3690 / Deed Type: Warranty Deed Land Use: Sfr Subdivision / Tract: North Ranch / Lot Size: 5,179 Year Built / Eff: 1995 / Rec. Date / Price: 11/17/2023 / $340,000 Living Area: 1,866 # of units: Document #: 3210178 Bedrooms: Pool: Total Tax Value: $249,797 Bath(F/H): / #9   3248 W Meadow Flower Trl Tucson Az 85742 Owner Name: Murray Jacob B /Murray Ella A APN / Alternate APN: 224-45-4390 / Deed Type: Warranty Deed Land Use: Sfr Subdivision / Tract: North Ranch / Lot Size: 6,923 Year Built / Eff: 1991 / Rec. Date / Price: 03/14/2024 / $387,500 Living Area: 2,060 # of units: Document #: 740178 Bedrooms: Pool: Total Tax Value: $243,934 Bath(F/H): / #10   3354 W Desert Bend Loop Tucson Az 85742 Owner Name: Smith Timothy J /Smith Michelle L APN / Alternate APN: 224-45-2370 / Deed Type: Warranty Deed Land Use: Sfr Subdivision / Tract: North Ranch / Lot Size: 6,289 Year Built / Eff: 1991 / Rec. Date / Price: 05/18/2023 / $370,000 Living Area: 1,562 # of units: Document #: 1380182 Bedrooms: Pool: Total Tax Value: $218,213 Bath(F/H): / Customer Name : Kariann Keomaka Customer Company Name : First American Title Insurance Company Prepared On : 04/18/2024 © 2024 CoreLogic. All rights reserved
Loscalzo Anthony R /Loscalzo Frank J & Terese A
David A
#11   3335 W Desert Bend Loop Tucson Az 85742 Owner Name: Dubois David W / APN / Alternate APN: 224-45-2380 / Deed Type: Quit Claim Deed Land Use: Sfr Subdivision / Tract: North Ranch / Lot Size: 7,655 Year Built / Eff: 1993 / Rec. Date / Price: 09/28/2023 / $151,144 Living Area: 1,668 # of units: Document #: 2710050 Bedrooms: Pool: Total Tax Value: $228,667 Bath(F/H): / #12   2780 W Camino Llano Tucson Az 85742 Owner Name: Dunnet Jazmin /Burdick James APN / Alternate APN: 224-43-4190 / Deed Type: Warranty Deed Land Use: Sfr Subdivision / Tract: Linda Vista Estates / Lot Size: 8,672 Year Built / Eff: 1987 / Rec. Date / Price: 09/01/2023 / $320,000 Living Area: 1,774 # of units: Document #: 2440562 Bedrooms: Pool: Total Tax Value: $233,658 Bath(F/H): / #13   3331 W Pepperwood Loop Tucson Az 85742 Owner Name: Petersen Donald R /Petersen Diana J APN / Alternate APN: 224-45-1760 / Deed Type: Warranty Deed Land Use: Sfr Subdivision / Tract: North Ranch / Lot Size: 6,993 Year Built / Eff: 1987 / Rec. Date / Price: 02/14/2024 / $380,000 Living Area: 1,933 # of units: Document #: 450097 Bedrooms: Pool: Total Tax Value: $243,338 Bath(F/H): / #14   2752 W Camino Ebano Tucson Az 85742 Owner Name:
APN / Alternate APN: 224-43-3690 / Deed Type: Warranty Deed Land Use: Sfr Subdivision / Tract: Linda Vista Estates / Lot Size: 5,849 Year Built / Eff: 1988 / Rec. Date / Price: 06/30/2023 / $308,300 Living Area: 1,568 # of units: Document #: 1810936 Bedrooms: Pool: Total Tax Value: $217,135 Bath(F/H): / #15   9950 N Crystal Spring Pl Tucson Az 85742 Owner Name: Baumeister Anthony M /Baumeister Jennifer E APN / Alternate APN: 224-45-2160 / Deed Type: Warranty Deed Land Use: Sfr Subdivision / Tract: North Ranch / Lot Size: 5,307 Year Built / Eff: 1994 / Rec. Date / Price: 04/01/2024 / $369,000 Living Area: 1,584 # of units: Document #: 920480 Bedrooms: Pool: Total Tax Value: $222,215 Bath(F/H): / #16   2821 W Woodview Crest Dr Tucson Az 85742 Owner Name: La Joy Matthew J /La Joy Elisa M APN / Alternate APN: 224-43-7410 / Deed Type: Warranty Deed Land Use: Sfr Subdivision / Tract: Linda Vista Terrace / Lot Size: 5,589 Year Built / Eff: 1994 / Rec. Date / Price: 07/06/2023 / $355,000 Living Area: 1,723 # of units: Document #: 1870519 Bedrooms: Pool: Pool Total Tax Value: $259,598 Bath(F/H): / Customer Name : Kariann Keomaka Customer Company Name : First American Title Insurance Company Prepared On : 04/18/2024 © 2024 CoreLogic. All rights reserved
Kleman Kary P /
#17   9955 N Crystal Spring Pl Tucson Az 85742 Owner Name: Raskob Pamela / APN / Alternate APN: 224-45-2040 / Deed Type: Warranty Deed Land Use: Sfr Subdivision / Tract: North Ranch / Lot Size: 6,595 Year Built / Eff: 1994 / Rec. Date / Price: 05/19/2023 / $350,000 Living Area: 1,584 # of units: Document #: 1390646 Bedrooms: Pool: Total Tax Value: $222,215 Bath(F/H): / #18   3421 W Desert Bend Loop Tucson Az 85742 Owner Name: Levin Ethan A /Levin Keith & Angela APN / Alternate APN: 224-45-2000 / Deed Type: Warranty Deed Land Use: Sfr Subdivision / Tract: North Ranch / Lot Size: 5,801 Year Built / Eff: 1994 / Rec. Date / Price: 08/25/2023 / $365,000 Living Area: 1,584 # of units: Document #: 2370576 Bedrooms: Pool: Total Tax Value: $222,215 Bath(F/H): / #19   3441 W Desert Bend Loop Tucson Az 85742 Owner Name: Brown Cliff /Brown Stephanie APN / Alternate APN: 224-45-1940 / Deed Type: Warranty Deed Land Use: Sfr Subdivision / Tract: North Ranch / Lot Size: 4,830 Year Built / Eff: 1993 / Rec. Date / Price: 11/17/2023 / $324,866 Living Area: 1,693 # of units: Document #: 3210506 Bedrooms: Pool: Total Tax Value: $230,785 Bath(F/H): / #20   2681 W Camino Llano Tucson Az 85742 Owner Name: Maldonado Anna / APN / Alternate APN: 224-48-3880 / Deed Type: Warranty Deed Land Use: Sfr Subdivision / Tract: Linda Vista Estates / Lot Size: 5,589 Year Built / Eff: 1989 / Rec. Date / Price: 12/20/2023 / $327,000 Living Area: 1,758 # of units: Document #: 3540482 Bedrooms: Pool: Total Tax Value: $233,643 Bath(F/H): / Customer Name : Kariann Keomaka Customer Company Name : First American Title Insurance Company Prepared On : 04/18/2024 © 2024 CoreLogic. All rights reserved
Subject Property :   3018 W Sky Ranch Trl Tucson AZ 85742 Customer Name : Kariann Keomaka Customer Company Name : First American Title Insurance Company Prepared On : 04/18/2024 © 2024 CoreLogic. All rights reserved
Customer Name : Kariann Keomaka Customer Company Name : First American Title Insurance Company Prepared On : 04/18/2024 © 2024 CoreLogic. All rights reserved
3026 W SKY RANCH TRL Distance 0.01 Miles
Subdivision :
Ranch Sale Date : 08/00/2004 Recording Date : 08/27/2004 Total Value : $200,029 Sale Price  : $150,500 Bed / Bath : / 3 Property Tax : $2,335.45 Land Use : Sfr Lot Acres : 0.10 Stories : 1 Living Area : 1,367 Yr Blt / Eff Yr Blt : 1995 / APN : 224-45-7770 3010 W SKY RANCH TRL Distance 0.01 Miles Owner
Subdivision : North Ranch Sale Date :
Recording Date : 01/17/2008 Total Value : $180,158 Sale Price  : $180,000 Bed / Bath : / 3 Property Tax : $1,870.31 Land Use : Sfr Lot Acres : 0.11 Stories : 1 Living Area : 1,150 Yr Blt / Eff Yr Blt : 1995 / APN : 224-45-7790 3034 W SKY RANCH TRL Distance 0.02 Miles
Subdivision :
Sale Date :
Recording Date :
Total Value : $229,691 Sale Price  : $312,000 Bed / Bath : / 3 Property Tax : $2,400.42 Land Use : Sfr Lot Acres : 0.11
Living Area :
Yr Blt / Eff Yr Blt :
APN :
Customer Name : Kariann Keomaka Customer Company Name : First American Title Insurance Company Prepared On : 04/18/2024 © 2024 CoreLogic. All rights reserved
Owner Name : Boehm Aaron
North
Name : Montoya Family
01/08/2008
Owner Name : Seng David E
North Ranch
12/01/2021
12/08/2021
Stories : 1
1,707
1995 /
224-45-7760

Owner Name : Adams Mary Elizabeth 2022 Tr

Owner Name : Robinson Jason A

Owner Name : Oliver Edward L Subdivision : North Ranch Sale Date : 02/16/2022

Stories : 1

Area : 1,150 Yr Blt / Eff Yr Blt : 1996 / APN : 224-45-7980

W SKY RANCH TRL Distance 0.02 Miles
3002
Subdivision :
Sale
Recording
Total Value :
Sale Price  :
Bed / Bath : / 3 Property Tax : $2,649.44 Land Use : Sfr Lot Acres : 0.11
Living Area :
Yr Blt / Eff Yr Blt :
APN :
W SKY RANCH TRL Distance 0.02 Miles
North Ranch
Date : 02/00/2005
Date : 03/29/2005
$226,143
$186,200
Stories : 1
1,707
1994 /
224-45-7800 3015
Subdivision :
Sale
Recording
Total Value : $256,788 Sale Price  : $218,000 Bed / Bath : / 3 Property Tax : $2,708.50 Land Use :
Lot Acres : 0.10
Living
Blt
APN :
W SKY RANCH TRL Distance 0.02 Miles
North Ranch
Date : 06/10/2019
Date : 06/14/2019
Sfr
Stories : 1
Area : 2,022 Yr
/ Eff Yr Blt : 1996 /
224-45-7970 3023
Value :
Sale Price  : $215,000 Bed / Bath : / 3 Property Tax : $1,910.74
Use :
Lot Acres :
Recording Date : 02/25/2022 Total
$177,958
Land
Sfr
0.10
Living
Customer Name : Kariann Keomaka Customer Company Name : First American Title Insurance Company Prepared On : 04/18/2024 © 2024 CoreLogic. All rights reserved

Owner Name : Sciretta Lauralyn

North Ranch

3007 W SKY RANCH TRL Distance 0.03 Miles
Subdivision :
Sale Date :
Recording Date :
Total Value : $197,242 Sale Price  : $182,000 Bed / Bath : / 3 Property Tax : $2,039.36 Land Use : Sfr Lot Acres : 0.10
Living Area : 1,367 Yr Blt / Eff Yr Blt : 1995 / APN : 224-45-7960 3031 W SKY RANCH TRL Distance 0.03 Miles
Subdivision :
Sale Date :
Recording Date :
Total Value : $238,299 Sale Price  : $312,500 Bed / Bath : / 3 Property Tax : $2,535.83 Land Use : Sfr Lot Acres : 0.10
Living Area : 2,022 Yr Blt / Eff Yr Blt : 1996
APN : 224-45-7990 3042 W SKY RANCH TRL Distance 0.03 Miles
Owner Name : Unwin Vern S
North Ranch
09/04/2019
09/06/2019
Stories : 1
Owner Name : Yamasa Co Ltd
North Ranch
02/28/2023
03/03/2023
Stories : 1.5
/
Subdivision :
Sale
Recording
Total Value :
Sale Price  : $189,000 Bed / Bath : / 3 Property Tax : $2,400.42
Use :
Lot Acres : 0.11
Date : 04/04/2017
Date : 04/04/2017
$229,691
Land
Sfr
Living
Customer Name : Kariann Keomaka Customer Company Name : First American Title Insurance Company Prepared On : 04/18/2024 © 2024 CoreLogic. All rights reserved
Stories : 1
Area : 1,707 Yr Blt / Eff Yr Blt : 1995 / APN : 224-45-7750
Household Population Population by Age Count: 3,832 0 - 11 Estimate Current Year: 4,359 12 - 17 Estimate in 5 Years: 7,295 18 - 24 9.89% Growth Last 5 Years: 7.23% 25 - 64 54.96% Growth Last 10 Years: -139.46% 65 - 74 9.6% 75+ Household Size Household Income Current Year: 1,546 0 - $25,000 6.73% Average Current Year: 2.48 $25,000 - $35,000 5.3% Estimate in 5 Years: 2,539 $35,000 - $50,000 6.4% Growth Last 5 Years: 11.45% $50,000 - $75,000 17.72% Growth Last 10 Years: 3.39% $75,000 - $100,000 28.46% Male Population: 46.89% Above $100,000 35.38% Female Population: 53.11% Average Household Income: $84,611 Married People: 56.38% Unmarried People: 43.62% Housing Median Mortgage Payments Home Values Under $300: 4.87% Below $100,000: 2.43% $300 - $799: 26.69% $100,000 - $150,000: 3.77% $800 - $1,999: 53.3% $150,000 - $200,000: 26.92% Over $2,000: 15.15% $200,000 - $300,000: 58.16% Median Home Value: $224,300 $300,000 - $500,000: 8.08% Unit Occupied Owner: 82.41% Above $500,000: 0.63% Median Mortgage: $1,038 Customer Name : Kariann Keomaka Customer Company Name : First American Title Insurance Company Prepared On : 04/18/2024 © 2024 CoreLogic. All rights reserved
Census Tract / block: 46.31 / 1     Year: 2020
Rent Payments Year Built Unit Occupied Renter: 17.59% 1999 - 2000 Median Gross Rent: $1,649 1995 - 1998 Less Than $499 0% 1990 - 1994 $500 - $749 0% 1980 - 1989 29.88% $750 - $999 0% 1970 - 1979 0.39% $1000 and Over 100% 1900 - 1969 0.71% Education Enrollment Public Pre-Primary School: 0.35% Not Enrolled in School: 76.28% Private Pre-Primary School: 0.37% Not A High School Graduate: 2.18% Public School: 21.77% Graduate Of High School: 13.25% Private School: 1.95% Attended Some College: 26.57% Public College: 7.98% College Graduate: 39.17% Private College: 0.99% Graduate Degree: 18.84% Workforce Occupation: Manager/Prof: 49.03% Private Worker: 60.48% Technical: Government Worker: 18.38% Sales: 25.27% Self Employed Worker: 2.38% Administrative: Unpaid Family Worker: 10.09% Private House Hold: Farming: 3.69% Service: 13.34% Skilled: Protective Services: Blue-Collar: 12.37% Commute Time Less Than 15 Min: 34.2% 15 min - 28 min: 31.35% 30 min - 57 min: 33.57% Over 60 min: 0.88% Customer Name : Kariann Keomaka Customer Company Name : First American Title Insurance Company Prepared On : 04/18/2024 © 2024 CoreLogic. All rights reserved
Customer Name : Kariann Keomaka Customer Company Name : First American Title Insurance Company Prepared On : 04/18/2024 © 2024 CoreLogic. All rights reserved
Customer Name : Kariann Keomaka Customer Company Name : First American Title Insurance Company Prepared On : 04/18/2024 © 2024 CoreLogic. All rights reserved
Customer Name : Kariann Keomaka Customer Company Name : First American Title Insurance Company Prepared On : 04/18/2024 © 2024 CoreLogic. All rights reserved

Arizona Schools

For detailed information and statistics on Arizona schools please go to https://azreportcards.azed.gov/

First American Title Insurance Company, and the operating divisions thereof, make no express or implied warranty respecting the information presented and assume no responsibility for errors or omissions. First American, the eagle logo, First American Title, and firstam.com are registered trademarks or trademarks of First American Financial Corporation and/or its affiliates. ©2021 First American Financial Corporation and/or its affiliates. All rights reserved. NYSE: FAF 05117910421
05249570321 TUCSON INT'L AIRPORT Air Force WSilverbellRd SSantaRitaRd N M t L emmon Hwy ESascoRd NF38 W Avra Valley Rd E Grand Va ey Dr NAguirre R d N L u c k e R d N W e n t z R d N Wa terman Mounta i n R d N Anway Rd W El Tiro Rd N Trico Rd W Tucker Rd W Rudas l Rd W Manvi e Rd SSanJoaquinRd WBopp Rd W Snyder H l Rd S M a r s e a r R d W Park Rd W Hermans Rd W Hermans Rd W Guy St W Bush Rd S G a v e y R d N C a e R i n c o n a d o S W m o R d S Shaw Rd S Sierrita Mountain Rd S K o b R d W TwinButtes Rd W Mcgee Ranch Rd S E s t a n c a D r EDesertDove E Hemlock Dr N Bea r C a n y o n R d W E Camino Del Cerro E Fairmount St S Swan Rd NFrontageRd W Emigh Rd W Fort Lowe Rd N P u m p S t a t ion dR E Nona Rd Ch efButteRd Lo al Ave N Trico Rd S Cattle Tank Rd Evalyn Rd SOwlHead R a n c h Rd GasLineRd S P ec a n R d N T r c o R d W Bayard Rd S S a n d a r o R d W i l l owSpri n gsRd N Dove Mountain Blvd SHelvetiaRd WAnamax Mine Rd W G a c i a R a n hc R d Road424 WRagged Top Rd W Ruby Star Dr WBritten RanchRd W Pima Mine Rd S Mcgee Ranch R d E Edw n Rd SGuildRd 8 0 NKINNEYRD S PICACHO HWY E BAUMGARTNER RD N S A N D A R I O R D N ANWAY RD W VALENCIA RD W MOORE RD W INA RD N 1 S T A V E E SUNRISE DR E SNYDER RD NSILVERBELLRD N S O L D I E R T R L E RIVER RD E PRINCE RD E SPEEDWAY BLVD S FREEMAN RD E 22ND ST E 22ND ST W IRVINGTON RD S N O G A L E S H W Y W VALENCIA RD SMISSIONRD W SPEEDWAY BLVD S O L D S P A N I S H T RL W NARANJA DR W TWIN PEAKS RD W PICTURE ROCKS RD W MANVILLE RD SKINNEYRD W MILE WIDE RD E SAHUARITA RD N TRICO RD S S A N D A R O R D PARK LINK DR S OLD N O G ALES HW Y S H O U G H T O N R D S L A C A N A D A DR W HELMET PEAK RD WAJOHWY N S W A N R D S KOLB RD S HOUGHTON RD W TANGERINE RD E GRANT RD S H O U G H T O N R D 9 5 WAJOHWY E VALENCIA RD NORACLE R D I10 I-19 77 77 77 86 86 286 10 19 10 10 Corona de Tucson Casas Adobes Catalina Green Valley Oracle Picture Rocks Three Points Vail Summit Tanque Verde Tucson Sahuarita Red Rock Saddlebrooke Marana Oro Valley Rillito Summerhaven Willow Canyon Oracle Junction Cortaro Continental Littletown 20 30 13 15 51 39 12 01 01 08 10 16 11 06 PIMA COUNTY School District Information This map is provided for general location only. Please contact school districts for actual street boundaries SCHOOL DISTRICTS 15 AJO UNIFIED 111 N. Well Road, Ajo, AZ 85321 520.387.5618 51 ALTAR VALLEY ELEMENTARY 10105 S. Sasabe Road, Tucson, AZ 85736 520.822.1484 10 AMPHITHEATER UNIFIED 701 W. Wetmore, Tucson, AZ 85705 520.696.5000 16 CATALINA FOOTHILS UNIFIED 2101 E. River Road, Tucson, AZ 85718 520.209.7500 39 CONTINENTAL ELEMENTARY 1991 E. Whitehouse Canyon, Green Valley, AZ 85614 520.625.4581 08 FLOWING WELLS UNIFIED 1556 W. Prince Road, Tucson, AZ 85705 520.696.8800 06 MARANA UNIFIED 11279 W. Grier Road, Marana, AZ 85653 520.682.3243 11 PIMA COUNTY JTED 2855 W. Master Pieces Dr, Tucson, AZ 85741 520.352.5833 30 SAHUARITA UNIFIED 350 W. Sahuarita Road, Sahuarita, AZ 85629 520.625.3502 12 SUNNYSIDE UNIFIED 2238 E. Ginter Road, Tucson, AZ 85706 520.545.2000 13 TANQUE VERDE UNIFIED 2300 N. Tanque Verde Loop, Tucson, AZ 85749 520.749.5751 01 TUCSON UNIFIED 1010 E. 10th Street, Tucson, AZ 85717 520.225.6000 20 VAIL UNIFIED 10701 E. Mary Ann Cleveland Way, Tucson, AZ 85747 520.879.2000 First American Title Insurance Company, and the operating divisions thereof, make no express or implied warranty respecting the information presented and assume no responsibility for errors or omissions. First American, the eagle logo, First American Title, and firstam.com are registered trademarks or trademarks of First American Financial Corporation and/or its affiliates. ©2021 First American Financial Corporation and/or its affiliates. All rights reserved. NYSE: FAF

PARCEL:  224-45-7780

PARCEL: 224-45-7780

OWNER: WEBBER BEVERLY M

SITUS: 3018 W SKY RANCH TR PC

MAIL: 3018 W SKY RANCH TRL

TUCSON AZ 85742-8751

PLAT: LOT 00789 BLOCK

LEGAL: NORTH RANCH LOT 0789

SEARCH PARAMETERS

REC DATE

02/29/2000

+ FIRST AMERICAN TITLE, FC0, KWAL PIMA, AZ 04/18/2024  11:33AM  Q7IJ
PAGE 1 OF 1
INVESTIGATIVE SEARCH RESULTS
INSTRUMENT
11244 2497
CURRENT TAXES INFORMATION THROUGH 03/28/2024 LAND IMPR EXEMPT RATE AREA SPECIAL DISTRICTS PRIMARY  18,103  0  0  8.7691  0677 SECONDARY  50  22,544  0  6.1741  2023 TOTAL TAX BILLED 2,405.58 2023  TAX AMT TAX DUE INTEREST DATE PAID TOTAL DUE FIRST HALF  1,202.79  0.00  0.00  09/18/2023  0.00  SECOND HALF  1,202.79  0.00  0.00  02/26/2024  0.00  TOTAL CURRENT TAXES DUE 04/24 0.00 05/24 0.00 IMPROVEMENTS RESIDENTIAL  BLDG SQFT  1,799 FULL CASH VALUE  225,940 YEAR BUILT  1995 LAND USE  01 31 NUMBER OF STORIES  1.5 LOT SIZE  1 STDLT STORIES HEIGHT  0 SCHOOL DISTRICT  0677 EXTERIOR WALLS  FRAME WOOD LAND FULL CASH VALUE  502 GRADE MATERIALS IMPR FULL CASH VALUE  225,438 SALES SALE DATE SALE AMOUNT INSTRUMENT TYPE SELLER NAME VALIDITY 02/29/2000 115,000    11244 2497 WD THOMAS DANNY 05/28/1999 113,500    11057 5854 WD PINCUS STEVEN H/REBECCA H 10/03/1996 107,500    10393 1360 JD WHITMIRE BRADLEY J/KIMBERL 02/01/1995 102,697    9971 804 SD OLD REPUBLIC T10746 ADDITIONAL PROPERTY INFORMATION STANDARD LAND USE: SFR
END SEARCH

Covenants, Conditions & Restrictions

Thank you for the opportunity to be of service.

Restrictions indicating a preference, limitation or discrimination based on race, color, religion, sex, handicap, familial status, or national origin are hereby deleted to the extent such restrictions violate 42 USC 3604(c).

This information is furnished without fee and without benefit of a complete title search. No liability is assumed by First American Title. If it is desired that liability be assumed, you may apply for a policy of title insurance with First American Title Insurance Company.

Page 1 of 4 04/18/2024 11:36 AM
Page 2 of 4 04/18/2024 11:36 AM
Page 3 of 4 04/18/2024 11:36 AM
Page 4 of 4 04/18/2024 11:36 AM
Page 1 of 46 03/22/2011 1:57 PM
Page 2 of 46 03/22/2011 1:57 PM
Page 3 of 46 03/22/2011 1:57 PM
Page 4 of 46 03/22/2011 1:57 PM
Page 5 of 46 03/22/2011 1:57 PM
Page 6 of 46 03/22/2011 1:57 PM
Page 7 of 46 03/22/2011 1:57 PM
Page 8 of 46 03/22/2011 1:57 PM
Page 9 of 46 03/22/2011 1:57 PM
Page 10 of 46 03/22/2011 1:57 PM
Page 11 of 46 03/22/2011 1:57 PM
Page 12 of 46 03/22/2011 1:57 PM
Page 13 of 46 03/22/2011 1:57 PM
Page 14 of 46 03/22/2011 1:57 PM
Page 15 of 46 03/22/2011 1:57 PM
Page 16 of 46 03/22/2011 1:57 PM
Page 17 of 46 03/22/2011 1:57 PM
Page 18 of 46 03/22/2011 1:57 PM
Page 19 of 46 03/22/2011 1:57 PM
Page 20 of 46 03/22/2011 1:57 PM
Page 21 of 46 03/22/2011 1:57 PM
Page 22 of 46 03/22/2011 1:57 PM
Page 23 of 46 03/22/2011 1:57 PM
Page 24 of 46 03/22/2011 1:57 PM
Page 25 of 46 03/22/2011 1:57 PM
Page 26 of 46 03/22/2011 1:57 PM
Page 27 of 46 03/22/2011 1:57 PM
Page 28 of 46 03/22/2011 1:57 PM
Page 29 of 46 03/22/2011 1:57 PM
Page 30 of 46 03/22/2011 1:57 PM
Page 31 of 46 03/22/2011 1:57 PM
Page 32 of 46 03/22/2011 1:57 PM
Page 33 of 46 03/22/2011 1:57 PM
Page 34 of 46 03/22/2011 1:57 PM
Page 35 of 46 03/22/2011 1:57 PM
Page 36 of 46 03/22/2011 1:57 PM
Page 37 of 46 03/22/2011 1:57 PM
Page 38 of 46 03/22/2011 1:57 PM
Page 39 of 46 03/22/2011 1:57 PM
Page 40 of 46 03/22/2011 1:57 PM
Page 41 of 46 03/22/2011 1:57 PM
Page 42 of 46 03/22/2011 1:57 PM
Page 43 of 46 03/22/2011 1:57 PM
Page 44 of 46 03/22/2011 1:57 PM
Page 45 of 46 03/22/2011 1:57 PM
Page 46 of 46 03/22/2011 1:57 PM
Page 1 of 46 03/22/2011 1:57 PM
Page 2 of 46 03/22/2011 1:57 PM
Page 3 of 46 03/22/2011 1:57 PM
Page 4 of 46 03/22/2011 1:57 PM
Page 5 of 46 03/22/2011 1:57 PM
Page 6 of 46 03/22/2011 1:57 PM
Page 7 of 46 03/22/2011 1:57 PM
Page 8 of 46 03/22/2011 1:57 PM
Page 9 of 46 03/22/2011 1:57 PM
Page 10 of 46 03/22/2011 1:57 PM
Page 11 of 46 03/22/2011 1:57 PM
Page 12 of 46 03/22/2011 1:57 PM
Page 13 of 46 03/22/2011 1:57 PM
Page 14 of 46 03/22/2011 1:57 PM
Page 15 of 46 03/22/2011 1:57 PM
Page 16 of 46 03/22/2011 1:57 PM
Page 17 of 46 03/22/2011 1:57 PM
Page 18 of 46 03/22/2011 1:57 PM
Page 19 of 46 03/22/2011 1:57 PM
Page 20 of 46 03/22/2011 1:57 PM
Page 21 of 46 03/22/2011 1:57 PM
Page 22 of 46 03/22/2011 1:57 PM
Page 23 of 46 03/22/2011 1:57 PM
Page 24 of 46 03/22/2011 1:57 PM
Page 25 of 46 03/22/2011 1:57 PM
Page 26 of 46 03/22/2011 1:57 PM
Page 27 of 46 03/22/2011 1:57 PM
Page 28 of 46 03/22/2011 1:57 PM
Page 29 of 46 03/22/2011 1:57 PM
Page 30 of 46 03/22/2011 1:57 PM
Page 31 of 46 03/22/2011 1:57 PM
Page 32 of 46 03/22/2011 1:57 PM
Page 33 of 46 03/22/2011 1:57 PM
Page 34 of 46 03/22/2011 1:57 PM
Page 35 of 46 03/22/2011 1:57 PM
Page 36 of 46 03/22/2011 1:57 PM
Page 37 of 46 03/22/2011 1:57 PM
Page 38 of 46 03/22/2011 1:57 PM
Page 39 of 46 03/22/2011 1:57 PM
Page 40 of 46 03/22/2011 1:57 PM
Page 41 of 46 03/22/2011 1:57 PM
Page 42 of 46 03/22/2011 1:57 PM
Page 43 of 46 03/22/2011 1:57 PM
Page 44 of 46 03/22/2011 1:57 PM
Page 45 of 46 03/22/2011 1:57 PM
Page 46 of 46 03/22/2011 1:57 PM
Page 1 of 1 03/22/2011 1:57 PM
Page 1 of 2 03/22/2011 1:57 PM
Page 2 of 2 03/22/2011 1:57 PM

Turn static files into dynamic content formats.

Create a flipbook
Issuu converts static files into: digital portfolios, online yearbooks, online catalogs, digital photo albums and more. Sign up and create your flipbook.