2951 S Placita San Javier - Digital HB with CCRs

Page 1


HOME BOOK

PREPARED FOR:

WIRE FRAUD ALERT THINK DIFFERENTLY

Email-based, real estate fraud schemes are on the rise. One common scenario is altering wiring instructions with the intention of rerouting funds.

Keeping this in mind, First American Title is changing the way we receive payment information. It is imperative that we are familiar with the people in our transactions.

RELYING ON EMAIL ALONE IS NO LONGER AN OPTION.

Fraudsters often use email to send falsified wire instructions to unsuspecting victims. Please warn your buyers and sellers to only follow wire instructions they receive personally from First American Title.

Additionally, we will not accept disbursement instructions for seller or buyer funds via email OR from any third party (attorney, real estate agent, etc).

ALTERNATIVE INSTRUCTIONS?

If your buyer or seller receives alternative wiring instructions that appear to be from First American Title, make sure they contact their escrow officer at a trusted phone number for confirmation.

Know that our wiring instructions do not change so any communication is suspect. Our banking institution is First American Trust.

IN SHORT – wire instructions will not be accepted by email. New wire instructions must be hand-carried or uploaded to the First American Secure Portal.

Thank you for joining First American Title in fostering a secure real estate transaction process. Have questions or concerns? Please contact our office or your escrow officer.

LIMITATION OF LIABILITY FOR INFORMATIONAL REPORTS

IMPORTANT -- PLEASE READ CAREFULLY:

This report is not an insured product or service or a representation of the condition of title to real property. It is not an abstract, legal opinion, opinion of title, title insurance commitment or preliminary report, or any form of Title Insurance or Guaranty. This report is issued exclusively for the benefit of the Applicant therefor and may not be used or relied upon by any other person. This report may not be reproduced in any manner without First Americans prior written consent. First American does not represent or warrant that the information herein is complete or free from error, and the information herein is provided without any warranties of any kind, as-is, and with all faults. As a material part of the consideration given in exchange for the issuance of this report, recipient agrees that First Americans sole liability for any loss or damage caused by an error or omission due to inaccurate information or negligence in preparing this report shall be limited to the fee charged for the report. Recipient accepts this report with this limitation and agrees that First American would not have issued this report but for the limitation of liability described above. First American makes no representation or warranty as to the legality or propriety of recipient's use of the information herein.

Subject Property

2951 S Placita San Javier Green Valley AZ 85622

APN: 304-64-3590

Data Provided By: First American Title Ins Co

Disclaimer

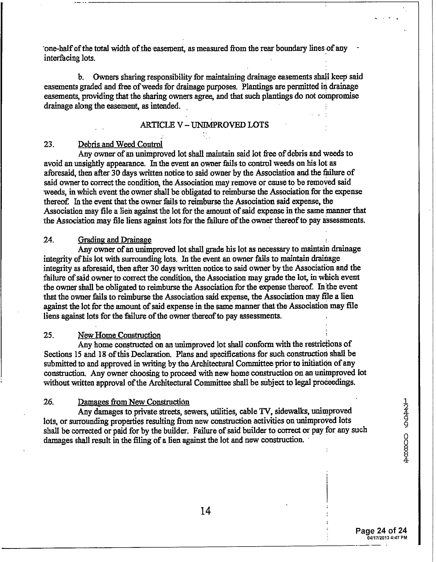
This REiSource report is provided "as is" without warranty of any kind, either express or implied, including without limitations any warrantees of merchantability or fitness for a particular purpose. There is no representation of warranty that this information is complete or free from error, and the provider does not assume, and expressly disclaims, any liability to any person or entity for loss or damage caused by errors or omissions in this REiSource report without a title insurance policy.

The information contained in the REiSource report is delivered from your Title Company, who reminds you that you have the right as a consumer to compare fees and serviced levels for Title, Escrow, and all other services associated with property ownership, and to select providers accordingly. Your home is the largest investment you will make in your lifetime and you should demand the very best.

Subject Property :   2951 S Placita San Javier Green Valley AZ 85622

Owner Information

Owner Name : Juba Jeanette A / Polta Kenneth I

Mailing Address : 2951 S Placita San Javier, Green Valley AZ 85622-4659 C067

Vesting Codes : / / Community Property

Owner Occupied Indicator : O

Location Information

Legal Description : Green Valley Desert Hills No 5 Townhouses Lot 94 Resub Green Valley Desert Hills No 3 Lots 148- 338 & Pts Ca B&c & Private Sts Sec 28 & 33-18-13

County : Pima, Az

Census Tract / Block : 43.28 / 4

Township-Range- Sect : 18S-13E-28

Legal Book/Page : 32-77

Legal Lot : 94

Legal Block : C

Last Market Sale Information

Recording/Sale Date : 02/20/2014 / 02/05/2014

Sale Price : $134,000

Document # : 510053

Title Company : Title Security Agency Of Arizo

Seller Name : Paula E Lee Trust

Prior Sale Information

Prior Rec/Sale Date : 06/20/2001 / 06/18/2001

Prior Doc Number : 11574-4476

Property Characteristics

Gross Area : 1,469

Living Area : 1,469

Year Built / Eff : 1984

# of Stories : 1

Parking Type : Garage

Market Area : 831

APN : 304-64-3590

Subdivision : Green Valley Desert Hills 05

Map Reference : 28-18S-13E

School District : Continental

Munic/Township : Continental

Deed Type : Warranty Deed

Price Per SqFt : $91.22

Garage Capacity : 2

Roof Material : Built-up

Heat Type : Forced Air

Cooling Type : Forced Air

Prior Deed Type : Warranty Deed

Patio Type : Covered Patio

Air Cond : Refrigeration

Quality : Fair

Condition : Average

Exterior wall : Slump Bath Fixtures : 6

Information

Information

Census Tract / block: 43.28 / 4     Year: 2020

Arizona Schools

PIMA COUNTY

PARCEL:  304-64-3590

PARCEL: 304-64-3590

OWNER: JUBA JEANETTE A /

SITUS: 2951 S PLACITA SAN JAVIER PC

MAIL: 1506 MAYWOOD DR

S ST PAUL MN 55075

PLAT: LOT 00094 BLOCK

SEARCH PARAMETERS

AFFIDAVIT    2014 510053 02/20/2014

LEGAL: GREEN VALLEY DESERT HILLS NO 5 TOWNHOUSES LOT 94 RESUB GREEN VALLEY DESERT HILLS NO 3 LOTS 148- 338 & PTS CA B&C & PRIVATE STS SEC 28 & 33-18-13

CURRENT TAXES

INFORMATION THROUGH 07/28/2025

9725 1940 JD PORTER ROBERT L/AGGIE M

9134 343 HODGMAN MARCELINE A

Covenants, Conditions & Restrictions

Thank you for the opportunity to be of service.

Restrictions indicating a preference, limitation or discrimination based on race, color, religion, sex, handicap, familial status, or national origin are hereby deleted to the extent such restrictions violate 42 USC 3604(c).

This information is furnished without fee and without benefit of a complete title search. No liability is assumed by First American Title. If it is desired that liability be assumed, you may apply for a policy of title insurance with First American Title Insurance Company.

Turn static files into dynamic content formats.

Create a flipbook
Issuu converts static files into: digital portfolios, online yearbooks, online catalogs, digital photo albums and more. Sign up and create your flipbook.