2905 N Alvernon Way 13104

Page 1

Subject Property 2950 N Alvernon Way # 13104 Tucson AZ 85712 APN: 110-06-4700 Data Provided By: First American Title Ins Co © 2024 CoreLogic. All rights reserved

Title Security Agency is officially becoming First American Title. Despite the name change, you can expect the same excellent service and familiar faces at your closings.

Our partnership with First American Title brings you the best of both worlds: LOCAL EXPERTISE AND FORTUNE 500 RESOURCES.

Same great team

Same local knowledge

Same convenient locations

Same great service

Fortune® 500 company

Multicultural materials

Economic team, market data, and trends

Leading technology in a changing market

Our industry is navigating a challenging market. Our alignment with a seasoned industry leader, with over 130 years of experience, provides valuable resources and expert guidance as we adapt.

Thank you for your continued trust in us!

We truly appreciate your business and look forward to seeing you at the closing table soon.

THE BEST OF BOTH WORLDS

24-DID-0071-F1_CP-AZL_01
FIRST AMERICAN - SOUTHERN ARIZONA ADMIN OFFICE 520.885.1600 tsa-administration@firstam.com First American Title Insurance Company, and the operating divisions thereof, make no express or implied warranty respecting the information presented and assume no responsibility for errors or omissions. First American, the eagle logo, First American Title, and firstam.com are registered trademarks or trademarks of First American Financial Corporation and/or its affiliates. ©2024 First American Financial Corporation and/or its affiliates. All rights reserved. NYSE: FAF
EXCITING NEWS!

WIRE FRAUD ALERT THINK DIFFERENTLY

Email-based, real estate fraud schemes are on the rise. One common scenario is altering wiring instructions with the intention of rerouting funds.

Keeping this in mind, First American Title is changing the way we receive payment information. It is imperative that we are familiar with the people in our transactions.

RELYING ON EMAIL ALONE IS NO LONGER AN OPTION.

DO NOT TRUST EMAILED INSTRUCTIONS

Fraudsters often use email to send falsified wire instructions to unsuspecting victims. Please warn your buyers and sellers to only follow wire instructions they receive personally from First American Title.

Additionally, we will not accept disbursement instructions for seller or buyer funds via email OR from any third party (attorney, real estate agent, etc).

ALTERNATIVE INSTRUCTIONS?

If your buyer or seller receives alternative wiring instructions that appear to be from First American Title, make sure they contact their escrow officer at a trusted phone number for confirmation.

Know that our wiring instructions do not change so any communication is suspect. Our banking institution is First American Trust.

IN SHORT – wire instructions will not be accepted by email. New wire instructions must be hand-carried or uploaded to the First American Secure Portal.

Thank you for joining First American Title in fostering a secure real estate transaction process. Have questions or concerns? Please contact our office or your escrow officer.

For more information please contact your First American representative.

www.firstam.com

01100180621
YOU SHOULD BE AWARE OF PRECAUTIONS IN THE REAL ESTATE CLOSING PROCESS
First American Title Insurance Company, and the operating divisions thereof, make no express or implied warranty respecting the information presented and assume no responsibility for errors or omissions. First American, the eagle logo, First American Title, and firstam.com are registered trademarks or trademarks of First American Financial Corporation and/or its affiliates. ©2023 First American Financial Corporation and/or its affiliates. All rights reserved. NYSE: FAF

LIMITATION OF LIABILITY FOR INFORMATIONAL REPORTS

IMPORTANT -- PLEASE READ CAREFULLY:

This report is not an insured product or service or a representation of the condition of title to real property. It is not an abstract, legal opinion, opinion of title, title insurance commitment or preliminary report, or any form of Title Insurance or Guaranty. This report is issued exclusively for the benefit of the Applicant therefor and may not be used or relied upon by any other person. This report may not be reproduced in any manner without First Americans prior written consent. First American does not represent or warrant that the information herein is complete or free from error, and the information herein is provided without any warranties of any kind, as-is, and with all faults. As a material part of the consideration given in exchange for the issuance of this report, recipient agrees that First Americans sole liability for any loss or damage caused by an error or omission due to inaccurate information or negligence in preparing this report shall be limited to the fee charged for the report. Recipient accepts this report with this limitation and agrees that First American would not have issued this report but for the limitation of liability described above. First American makes no representation or warranty as to the legality or propriety of recipient's use of the information herein.

Disclaimer

This REiSource report is provided "as is" without warranty of any kind, either express or implied, including without limitations any warrantees of merchantability or fitness for a particular purpose. There is no representation of warranty that this information is complete or free from error, and the provider does not assume, and expressly disclaims, any liability to any person or entity for loss or damage caused by errors or omissions in this REiSource report without a title insurance policy.

The information contained in the REiSource report is delivered from your Title Company, who reminds you that you have the right as a consumer to compare fees and serviced levels for Title, Escrow, and all other services associated with property ownership, and to select providers accordingly. Your home is the largest investment you will make in your lifetime and you should demand the very best.

Data Provided By: First American Title Ins Co
© 2024 CoreLogic. All rights reserved

Owner Information

Owner Name : Da Silva Ronald Gordon & Claud / Delores

Mailing Address : 7431 E Calle Cuernavaca, Tucson AZ 85710-5513 C019

Vesting Codes : / / Trust

Owner Occupied Indicator : A

Owner Transfer Information

Recording/Sale Date : 12/07/2018 / 12/05/2018 Deed Type : Quit Claim Deed

Document # : 3410489

Last Market Sale Information

Recording/Sale Date : 12/12/2016 / 11/22/2016 Deed Type : Warranty Deed

Sale Price : $37,500 Price Per SqFt : $65.22

Document # : 3470104

Title Company : Catalina Title

Seller Name : Tracy & Carolyn Smith Trust

Prior Sale Information

Prior Rec/Sale Date : 05/16/2014 / 05/12/2014 Prior Doc Number : 1360235

Prior Sale Price : $34,000 Prior Deed Type : Warranty Deed

2950 N Alvernon Way # 13104 Tucson AZ 85712
Subject Property :
Subdivision :
Location Information Legal Description : Willow Gardens Condominiums Lot 64 & Und 1/76 Int In Common Area County : Pima, Az APN : 110-06-4700 Census Tract / Block : 29.05 / 3
Willow Gardens Condo Township-Range- Sect : 13S-14E-34 Map Reference : 34-13S-14E
Legal Book/Page : 34-35 School District : Tucson Unified Legal Lot : 64 Munic/Township : Tucson Unified Market Area : 50
Customer Name : Lisa Mrazek Customer Company Name : First American Title Insurance Company Prepared On : 04/22/2024 © 2024 CoreLogic. All rights reserved

Property Characteristics

Gross Area : 575 Foundation : Concrete Patio Type : None Living Area : 575 Roof Material : Built-up Air Cond : Refrigeration

Parking Type : Garage Exterior wall : Frame Wood

Property Information

Land Use : Condominium Zoning : R-3 State Use : Condominiumsconv From Apts

County Use : Condominiums-conv From Apts Tax Information

Total
Year Built / Eff : 1973 Heat Type : Forced Air Condition : Average # of Stories : 1 Cooling Type : Forced Air Bath Fixtures : 6
Rooms : 4 Construction : Steel/wood Quality : Fair
Total Value : $50,503 Property Tax : $430.43 Current Year Total Value : $6,980 Total Taxable Value : $3,261 Tax Rate Area : 0150 Current Year Improvement Value : $6,930 Assessed Year : 2023 Market Value : $50,503 Current Year Land Value : $50 Tax Year : 2023 Current Assessed Year : 2024 Customer Name : Lisa Mrazek Customer Company Name : First American Title Insurance Company Prepared On : 04/22/2024 © 2024 CoreLogic. All rights reserved
Criteria Subject Property Low High Average Sale Price $37,500 $100,013 $100,013 $100,013 Bldg/Living Area 575 575 575 575 Price Per Square Foot $65.22 $174 $174 $173.94 Year Built 1973 1973 1973 1973 Lot Size Bedrooms Bathrooms 2 2 2 2 Stories 1 1 1 1 Total Assessed Value $50,503 $51,331 $51,331 $51,331 Distance From Subject 0 0.02 0.02 0.02 Customer Name : Lisa Mrazek Customer Company Name : First American Title Insurance Company Prepared On : 04/22/2024 © 2024 CoreLogic. All rights reserved
Sales Analysis
Map Customer Name : Lisa Mrazek Customer Company Name : First American Title Insurance Company Prepared On : 04/22/2024 © 2024 CoreLogic. All rights reserved

Details of Comparables

Subject Property: 2950 N Alvernon Way # 13104 Tucson Az 85712 Owner Name: Da Silva Ronald Gordon & Claud /Delores APN / Alternate APN: 110-06-4700 / Deed Type: Warranty Deed Land Use: Condominium Subdivision / Tract: Willow Gardens Condo / Lot Size: Year Built / Eff: 1973 / Rec. Date / Price: 12/12/2016 / $37,500 Living Area: 575 # of units: Document #: 3470104 Bedrooms: Pool: Total Tax Value: $50,503 Bath(F/H): / #1   2950 N Alvernon Way # 3104 Tucson Az 85712 Owner Name: Gaffney Mary P / APN / Alternate APN: 110-06-4220 / Deed Type: Warranty Deed Land Use: Condominium Subdivision / Tract: Willow Gnds Condos / Lot Size: Year Built / Eff: 1973 / Rec. Date / Price: 02/08/2024 / $100,013 Living Area: 575 # of units: Document #: 390353 Bedrooms: Pool: Total Tax Value: $51,331 Bath(F/H): / Customer Name : Lisa Mrazek Customer Company Name : First American Title Insurance Company Prepared On : 04/22/2024 © 2024 CoreLogic. All rights reserved
Subject Property :   2950 N Alvernon Way # 13104 Tucson AZ 85712 Customer Name : Lisa Mrazek Customer Company Name : First American Title Insurance Company Prepared On : 04/22/2024 © 2024 CoreLogic. All rights reserved
Customer Name : Lisa Mrazek Customer Company Name : First American Title Insurance Company Prepared On : 04/22/2024 © 2024 CoreLogic. All rights reserved

Stories : 2 APN : 110-06-7020

Yr Blt / Eff Yr Blt  : 2006 / 2006

Owner Name : Monte Vista Townhomes Llc

Stories : 2 APN : 110-06-6990

Yr Blt / Eff Yr Blt  : 2006 / 2006

3943 E MONTE VISTA DR Distance 0.06 Miles

Owner Name : Monte Vista Townhomes Llc Subdivision : Monte Vista Condos

Total Value : $83,836 Property Tax : $935.88

Land Use : Condominium Living Area : 1,314

Stories : 2 APN : 110-06-6980

Yr Blt / Eff Yr Blt  : 2006 / 2006

3943 E MONTE VISTA DR # 102 Distance 0.06 Miles

Owner Name : Monte Vista Townhomes Llc Subdivision : Monte Vista Condos

Total Value : $83,836 Property Tax : $935.88

Land Use : Condominium Living Area : 1,314

Stories : 2 APN : 110-06-6970

Yr Blt / Eff Yr Blt  : 2006 / 2006

E MONTE VISTA DR # 107 Distance 0.05 Miles
3943
Subdivision :
Total Value :
Property
1,314
Owner Name : Monte Vista Townhomes Llc
Monte Vista Condos
$83,836
Tax : $935.88 Land Use : Condominium Living Area :
Distance 0.05 Miles
3943 E MONTE VISTA DR # 106
Total Value :
Property Tax :
Living
Owner Name : Monte Vista Townhomes Llc Subdivision : Monte Vista Condos
$83,836
$935.88 Land Use : Condominium
Area : 1,314
E MONTE VISTA DR # 104 Distance 0.05 Miles
Stories : 2 APN : 110-06-7010 Yr Blt / Eff Yr Blt  : 2006 / 2006 3943
Total
Subdivision : Monte Vista Condos
Value : $83,836 Property Tax : $935.88 Land Use : Condominium Living Area : 1,314
Customer Name : Lisa Mrazek Customer Company Name : First American Title Insurance Company Prepared On : 04/22/2024 © 2024 CoreLogic. All rights reserved

Stories : 1

Subdivision  : Academy Village

E MONTE VISTA DR # 101 Distance 0.06 Miles
Name : Monte Vista Townhomes Llc Subdivision : Monte Vista Condos Total Value : $83,836 Property Tax : $935.88 Land Use : Condominium Living Area : 1,314
2 APN :
Yr Blt / Eff Yr Blt  : 2006 / 2006
E MONTE VISTA DR Distance 0.12 Miles
Name : Cohen Baruch Subdivision : Lincoln Park Add Sale Date : 07/06/2020 Recording Date : 07/09/2020 Total Value : $114,349 Sale Price  : $117,000 Bed / Bath : / 1 Property Tax : $1,086.73 Land Use : Sfr Lot Acres : 0.12
1 Living Area : 623 Yr Blt / Eff Yr Blt : 1964 / APN : 111-06-202B
N ALVERNON WAY Distance 0.15 Miles
Name :
Land
In Recording Date :
Sale Date : 01/09/2014 Sale Price  : $270,000 Total Value : $306,267 Property Tax : $5,900.47
Use :
Lot Acres :
3943
Owner
Stories :
110-06-6960
3828
Owner
Stories :
3044
Owner
Southern Arizona
Trust
01/09/2015
Land
Office Building
0.31
Living
Area : 2,736
Yr Blt / Eff Yr Blt : 1976 / 1976 APN : 110-06-028D
Customer Name : Lisa Mrazek Customer Company Name : First American Title Insurance Company Prepared On : 04/22/2024 © 2024 CoreLogic. All rights reserved
Household Population Population by Age Count: 4,030 0 - 11 Estimate Current Year: 4,290 12 - 17 Estimate in 5 Years: 5,507 18 - 24 5.81% Growth Last 5 Years: -7.69% 25 - 64 63.82% Growth Last 10 Years: -114.34% 65 - 74 9.18% 75+ Household Size Household Income Current Year: 2,175 0 - $25,000 22.57% Average Current Year: 1.84 $25,000 - $35,000 17.15% Estimate in 5 Years: 4,605 $35,000 - $50,000 16.74% Growth Last 5 Years: 10.44% $50,000 - $75,000 13.66% Growth Last 10 Years: -15.68% $75,000 - $100,000 5.61% Male Population: 46.4% Above $100,000 24.28% Female Population: 53.6% Average Household Income: $44,381 Married People: 41.29% Unmarried People: 58.71% Housing Median Mortgage Payments Home Values Under $300: 8.76% Below $100,000: 23.03% $300 - $799: 32.68% $100,000 - $150,000: 15.65% $800 - $1,999: 53.15% $150,000 - $200,000: 21.06% Over $2,000: 5.41% $200,000 - $300,000: 38.19% Median Home Value: $178,100 $300,000 - $500,000: 2.07% Unit Occupied Owner: 46.71% Above $500,000: 0% Median Mortgage: $912 Customer Name : Lisa Mrazek Customer Company Name : First American Title Insurance Company Prepared On : 04/22/2024 © 2024 CoreLogic. All rights reserved
Census Tract / block: 29.05 / 3     Year: 2020
Rent Payments Year Built Unit Occupied Renter: 53.29% 1999 - 2000 Median Gross Rent: $850 1995 - 1998 Less Than $499 0% 1990 - 1994 $500 - $749 37.45% 1980 - 1989 16.65% $750 - $999 28.61% 1970 - 1979 23.91% $1000 and Over 33.94% 1900 - 1969 28.76% Education Enrollment Public Pre-Primary School: 0% Not Enrolled in School: 82.75% Private Pre-Primary School: 0.4% Not A High School Graduate: 8.16% Public School: 9.47% Graduate Of High School: 21.62% Private School: 7.78% Attended Some College: 18.4% Public College: 3.53% College Graduate: 34.09% Private College: 1.64% Graduate Degree: 17.73% Workforce Occupation: Manager/Prof: 47.11% Private Worker: 77.41% Technical: Government Worker: 10.18% Sales: 11.62% Self Employed Worker: 2.59% Administrative: Unpaid Family Worker: 3.9% Private House Hold: Farming: 9.12% Service: 23.86% Skilled: Protective Services: Blue-Collar: 17.41% Commute Time Less Than 15 Min: 22.5% 15 min - 28 min: 47.22% 30 min - 57 min: 28.07% Over 60 min: 2.21% Customer Name : Lisa Mrazek Customer Company Name : First American Title Insurance Company Prepared On : 04/22/2024 © 2024 CoreLogic. All rights reserved
Customer Name : Lisa Mrazek Customer Company Name : First American Title Insurance Company Prepared On : 04/22/2024 © 2024 CoreLogic. All rights reserved
Customer Name : Lisa Mrazek Customer Company Name : First American Title Insurance Company Prepared On : 04/22/2024 © 2024 CoreLogic. All rights reserved
Customer Name : Lisa Mrazek Customer Company Name : First American Title Insurance Company Prepared On : 04/22/2024 © 2024 CoreLogic. All rights reserved

Arizona Schools

For detailed information and statistics on Arizona schools please go to https://azreportcards.azed.gov/

First American Title Insurance Company, and the operating divisions thereof, make no express or implied warranty respecting the information presented and assume no responsibility for errors or omissions. First American, the eagle logo, First American Title, and firstam.com are registered trademarks or trademarks of First American Financial Corporation and/or its affiliates. ©2021 First American Financial Corporation and/or its affiliates. All rights reserved. NYSE: FAF 05117910421
05249570321 TUCSON INT'L AIRPORT Air Force WSilverbellRd SSantaRitaRd N M t L emmon Hwy ESascoRd NF38 W Avra Valley Rd E Grand Va ey Dr NAguirre R d N L u c k e R d N W e n t z R d N Wa terman Mounta i n R d N Anway Rd W El Tiro Rd N Trico Rd W Tucker Rd W Rudas l Rd W Manvi e Rd SSanJoaquinRd WBopp Rd W Snyder H l Rd S M a r s e a r R d W Park Rd W Hermans Rd W Hermans Rd W Guy St W Bush Rd S G a v e y R d N C a e R i n c o n a d o S W m o R d S Shaw Rd S Sierrita Mountain Rd S K o b R d W TwinButtes Rd W Mcgee Ranch Rd S E s t a n c a D r EDesertDove E Hemlock Dr N Bea r C a n y o n R d W E Camino Del Cerro E Fairmount St S Swan Rd NFrontageRd W Emigh Rd W Fort Lowe Rd N P u m p S t a t ion dR E Nona Rd Ch efButteRd Lo al Ave N Trico Rd S Cattle Tank Rd Evalyn Rd SOwlHead R a n c h Rd GasLineRd S P ec a n R d N T r c o R d W Bayard Rd S S a n d a r o R d W i l l owSpri n gsRd N Dove Mountain Blvd SHelvetiaRd WAnamax Mine Rd W G a c i a R a n hc R d Road424 WRagged Top Rd W Ruby Star Dr WBritten RanchRd W Pima Mine Rd S Mcgee Ranch R d E Edw n Rd SGuildRd 8 0 NKINNEYRD S PICACHO HWY E BAUMGARTNER RD N S A N D A R I O R D N ANWAY RD W VALENCIA RD W MOORE RD W INA RD N 1 S T A V E E SUNRISE DR E SNYDER RD NSILVERBELLRD N S O L D I E R T R L E RIVER RD E PRINCE RD E SPEEDWAY BLVD S FREEMAN RD E 22ND ST E 22ND ST W IRVINGTON RD S N O G A L E S H W Y W VALENCIA RD SMISSIONRD W SPEEDWAY BLVD S O L D S P A N I S H T RL W NARANJA DR W TWIN PEAKS RD W PICTURE ROCKS RD W MANVILLE RD SKINNEYRD W MILE WIDE RD E SAHUARITA RD N TRICO RD S S A N D A R O R D PARK LINK DR S OLD N O G ALES HW Y S H O U G H T O N R D S L A C A N A D A DR W HELMET PEAK RD WAJOHWY N S W A N R D S KOLB RD S HOUGHTON RD W TANGERINE RD E GRANT RD S H O U G H T O N R D 9 5 WAJOHWY E VALENCIA RD NORACLE R D I10 I-19 77 77 77 86 86 286 10 19 10 10 Corona de Tucson Casas Adobes Catalina Green Valley Oracle Picture Rocks Three Points Vail Summit Tanque Verde Tucson Sahuarita Red Rock Saddlebrooke Marana Oro Valley Rillito Summerhaven Willow Canyon Oracle Junction Cortaro Continental Littletown 20 30 13 15 51 39 12 01 01 08 10 16 11 06 PIMA COUNTY School District Information This map is provided for general location only. Please contact school districts for actual street boundaries SCHOOL DISTRICTS 15 AJO UNIFIED 111 N. Well Road, Ajo, AZ 85321 520.387.5618 51 ALTAR VALLEY ELEMENTARY 10105 S. Sasabe Road, Tucson, AZ 85736 520.822.1484 10 AMPHITHEATER UNIFIED 701 W. Wetmore, Tucson, AZ 85705 520.696.5000 16 CATALINA FOOTHILS UNIFIED 2101 E. River Road, Tucson, AZ 85718 520.209.7500 39 CONTINENTAL ELEMENTARY 1991 E. Whitehouse Canyon, Green Valley, AZ 85614 520.625.4581 08 FLOWING WELLS UNIFIED 1556 W. Prince Road, Tucson, AZ 85705 520.696.8800 06 MARANA UNIFIED 11279 W. Grier Road, Marana, AZ 85653 520.682.3243 11 PIMA COUNTY JTED 2855 W. Master Pieces Dr, Tucson, AZ 85741 520.352.5833 30 SAHUARITA UNIFIED 350 W. Sahuarita Road, Sahuarita, AZ 85629 520.625.3502 12 SUNNYSIDE UNIFIED 2238 E. Ginter Road, Tucson, AZ 85706 520.545.2000 13 TANQUE VERDE UNIFIED 2300 N. Tanque Verde Loop, Tucson, AZ 85749 520.749.5751 01 TUCSON UNIFIED 1010 E. 10th Street, Tucson, AZ 85717 520.225.6000 20 VAIL UNIFIED 10701 E. Mary Ann Cleveland Way, Tucson, AZ 85747 520.879.2000 First American Title Insurance Company, and the operating divisions thereof, make no express or implied warranty respecting the information presented and assume no responsibility for errors or omissions. First American, the eagle logo, First American Title, and firstam.com are registered trademarks or trademarks of First American Financial Corporation and/or its affiliates. ©2021 First American Financial Corporation and/or its affiliates. All rights reserved. NYSE: FAF

SEARCH PARAMETERS

PARCEL:  110-06-4700

PARCEL: 110-06-4700

OWNER: DE SILVA RONALD G/CLAUDIA D

SITUS: 2950 N ALVERNON WAY TUCSON

MAIL: 7431 E CUERNAVACA

TUCSON AZ 85710

PLAT: LOT 00064 BLOCK

INSTRUMENT REC DATE

AFFIDAVIT    2016 3470104 12/12/2016

LEGAL: WILLOW GARDENS CONDOMINIUMS LOT 64 & UND 1/76 INT IN COMMON AREA

END SEARCH

+ FIRST AMERICAN TITLE, FC0, LMRA PIMA, AZ 04/22/2024  04:51PM  RL13
PAGE 1 OF 1
INVESTIGATIVE SEARCH RESULTS
CURRENT TAXES INFORMATION THROUGH 03/28/2024 LAND IMPR EXEMPT RATE AREA SPECIAL DISTRICTS PRIMARY  3,261  0  0  10.8979  0150 SECONDARY  50  5,000  0  2.3020  2023 TOTAL TAX BILLED 430.43 2023  TAX AMT TAX DUE INTEREST DATE PAID TOTAL DUE FIRST HALF  215.22  215.22  17.22  232.44  SECOND HALF  215.21  215.21  0.00  215.21  TOTAL CURRENT TAXES DUE 04/24 447.65 05/24 453.39 (ESTIMATED) IMPROVEMENTS RESIDENTIAL  PHYSICAL CONDITION   BELOW AVE BLDG SQFT  575 FULL CASH VALUE  50,503 YEAR BUILT  1973 LAND USE  07 33 NUMBER OF STORIES  4.0 LOT SIZE  1 STDLT STORIES HEIGHT  0 SCHOOL DISTRICT  0150 EXTERIOR WALLS  FRAME WOOD LAND FULL CASH VALUE  502 GRADE MATERIALS IMPR FULL CASH VALUE  50,001 SALES SALE DATE SALE AMOUNT INSTRUMENT TYPE SELLER NAME VALIDITY 12/12/2016 37,500    2016 3470104 WD TRACY/CAROLYN SMITH TRUST 05/16/2014 34,000    2014 1360235 WD KALMAR TOMAS/BRIDGET 09/08/2010 30,300    13889 1997 SW FANNIE MAE 06/04/2007 114,000    13068 5265 SW FIDELITY NATIONAL TITLE AG 06/20/2005 5,375,000    12577 5596 SW SANDY SAEMANN TRUST M 04/27/1990 1,700,000    8776 521 WD DENTON W N/SUSAN M 04/27/1990 1,700,000    8776 519 WD BRANNEN FRANK A / M 05/24/1988 850,000    8293 1130 WD TEXAS COMMERCE BANK EL PAS M 11/05/1987    8156 797 WD CYPRUS CENTRAL INC M
STANDARD LAND USE: CONDOMINIUM
ADDITIONAL PROPERTY INFORMATION

Covenants, Conditions & Restrictions

Thank you for the opportunity to be of service.

Restrictions indicating a preference, limitation or discrimination based on race, color, religion, sex, handicap, familial status, or national origin are hereby deleted to the extent such restrictions violate 42 USC 3604(c).

This information is furnished without fee and without benefit of a complete title search. No liability is assumed by First American Title. If it is desired that liability be assumed, you may apply for a policy of title insurance with First American Title Insurance Company.

PIMA,AZPage1of1Printedon4/22/20244:54:55PM

Document:SUBDIVISION_MAP34.35

Branch:FC0,User:LMRAComment:StationId:RL13
Branch:FC0,User:LMRAComment:StationId:RL13
PIMA,AZPage1of1Printedon4/22/20244:54:55PM Document:RES2012.187.0747

Document:RESAMD2012.265.1169

Branch:FC0,User:LMRAComment:StationId:RL13
PIMA,AZPage1of5Printedon4/22/20244:54:56PM

Document:RESAMD2012.265.1169

Branch:FC0,User:LMRAComment:StationId:RL13
PIMA,AZPage2of5Printedon4/22/20244:54:56PM

Document:RESAMD2012.265.1169

Branch:FC0,User:LMRAComment:StationId:RL13
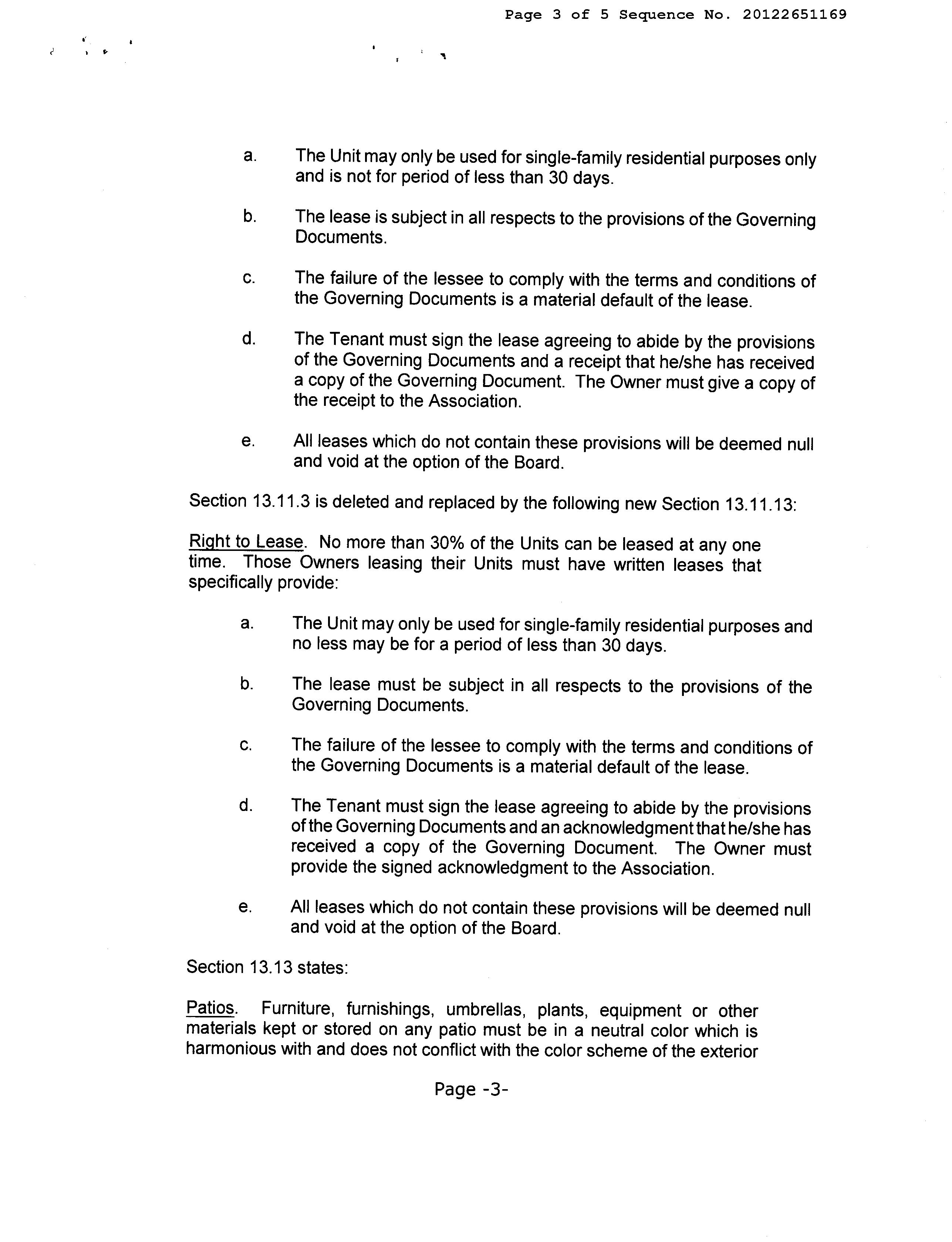
PIMA,AZPage3of5Printedon4/22/20244:54:56PM

Document:RESAMD2012.265.1169

Branch:FC0,User:LMRAComment:StationId:RL13
PIMA,AZPage4of5Printedon4/22/20244:54:56PM

PIMA,AZPage5of5Printedon4/22/20244:54:56PM

Document:RESAMD2012.265.1169

Branch:FC0,User:LMRAComment:StationId:RL13

Document:RESASN2016.323.0185

Branch:FC0,User:LMRAComment:StationId:RL13
PIMA,AZPage1of3Printedon4/22/20244:54:56PM

PIMA,AZPage2of3Printedon4/22/20244:54:57PM

Document:RESASN2016.323.0185

Branch:FC0,User:LMRAComment:StationId:RL13

Document:RESASN2016.323.0185

Branch:FC0,User:LMRAComment:StationId:RL13
PIMA,AZPage3of3Printedon4/22/20244:54:57PM

Document:RESAMD2018.29.0426

Branch:FC0,User:LMRAComment:StationId:RL13
PIMA,AZPage1of4Printedon4/22/20244:54:57PM
Branch:FC0,User:LMRAComment:StationId:RL13
PIMA,AZPage2of4Printedon4/22/20244:54:57PM Document:RESAMD2018.29.0426
Branch:FC0,User:LMRAComment:StationId:RL13
PIMA,AZPage3of4Printedon4/22/20244:54:57PM Document:RESAMD2018.29.0426

Document:RESAMD2018.29.0426

Branch:FC0,User:LMRAComment:StationId:RL13
PIMA,AZPage4of4Printedon4/22/20244:54:58PM
Page 1 of 59 01/15/2019 10:56 AM
Page 2 of 59 01/15/2019 10:56 AM
Page 3 of 59 01/15/2019 10:56 AM
Page 4 of 59 01/15/2019 10:56 AM
Page 5 of 59 01/15/2019 10:56 AM
Page 6 of 59 01/15/2019 10:56 AM
Page 7 of 59 01/15/2019 10:56 AM
Page 8 of 59 01/15/2019 10:56 AM
Page 9 of 59 01/15/2019 10:56 AM
Page 10 of 59 01/15/2019 10:56 AM
Page 11 of 59 01/15/2019 10:56 AM
Page 12 of 59 01/15/2019 10:56 AM
Page 13 of 59 01/15/2019 10:56 AM
Page 14 of 59 01/15/2019 10:56 AM
Page 15 of 59 01/15/2019 10:56 AM
Page 16 of 59 01/15/2019 10:56 AM
Page 17 of 59 01/15/2019 10:56 AM
Page 18 of 59 01/15/2019 10:56 AM
Page 19 of 59 01/15/2019 10:56 AM
Page 20 of 59 01/15/2019 10:56 AM
Page 21 of 59 01/15/2019 10:56 AM
Page 22 of 59 01/15/2019 10:56 AM
Page 23 of 59 01/15/2019 10:56 AM
Page 24 of 59 01/15/2019 10:56 AM
Page 25 of 59 01/15/2019 10:56 AM
Page 26 of 59 01/15/2019 10:56 AM
Page 27 of 59 01/15/2019 10:56 AM
Page 28 of 59 01/15/2019 10:56 AM
Page 29 of 59 01/15/2019 10:56 AM
Page 30 of 59 01/15/2019 10:56 AM
Page 31 of 59 01/15/2019 10:56 AM
Page 32 of 59 01/15/2019 10:56 AM
Page 33 of 59 01/15/2019 10:56 AM
Page 34 of 59 01/15/2019 10:56 AM
Page 35 of 59 01/15/2019 10:56 AM
Page 36 of 59 01/15/2019 10:56 AM
Page 37 of 59 01/15/2019 10:56 AM
Page 38 of 59 01/15/2019 10:56 AM
Page 39 of 59 01/15/2019 10:56 AM
Page 40 of 59 01/15/2019 10:56 AM
Page 41 of 59 01/15/2019 10:56 AM
Page 42 of 59 01/15/2019 10:56 AM
Page 43 of 59 01/15/2019 10:56 AM
Page 44 of 59 01/15/2019 10:56 AM
Page 45 of 59 01/15/2019 10:56 AM
Page 46 of 59 01/15/2019 10:56 AM
Page 47 of 59 01/15/2019 10:56 AM
Page 48 of 59 01/15/2019 10:56 AM
Page 49 of 59 01/15/2019 10:56 AM
Page 50 of 59 01/15/2019 10:56 AM
Page 51 of 59 01/15/2019 10:56 AM
Page 52 of 59 01/15/2019 10:56 AM
Page 53 of 59 01/15/2019 10:56 AM
Page 54 of 59 01/15/2019 10:56 AM
Page 55 of 59 01/15/2019 10:56 AM
Page 56 of 59 01/15/2019 10:56 AM
Page 57 of 59 01/15/2019 10:56 AM
Page 58 of 59 01/15/2019 10:56 AM
Page 59 of 59 01/15/2019 10:56 AM
Page 1 of 5 01/15/2019 10:55 AM
Page 2 of 5 01/15/2019 10:55 AM
Page 3 of 5 01/15/2019 10:55 AM
Page 4 of 5 01/15/2019 10:55 AM
Page 5 of 5 01/15/2019 10:55 AM
Page 1 of 4 01/15/2019 10:42 AM
Page 2 of 4 01/15/2019 10:42 AM
Page 3 of 4 01/15/2019 10:42 AM
Page 4 of 4 01/15/2019 10:42 AM

Turn static files into dynamic content formats.

Create a flipbook
Issuu converts static files into: digital portfolios, online yearbooks, online catalogs, digital photo albums and more. Sign up and create your flipbook.