2310 W Diamond St listing kit

Page 1

Subject Property

Data Provided By:

First American Title Ins Co

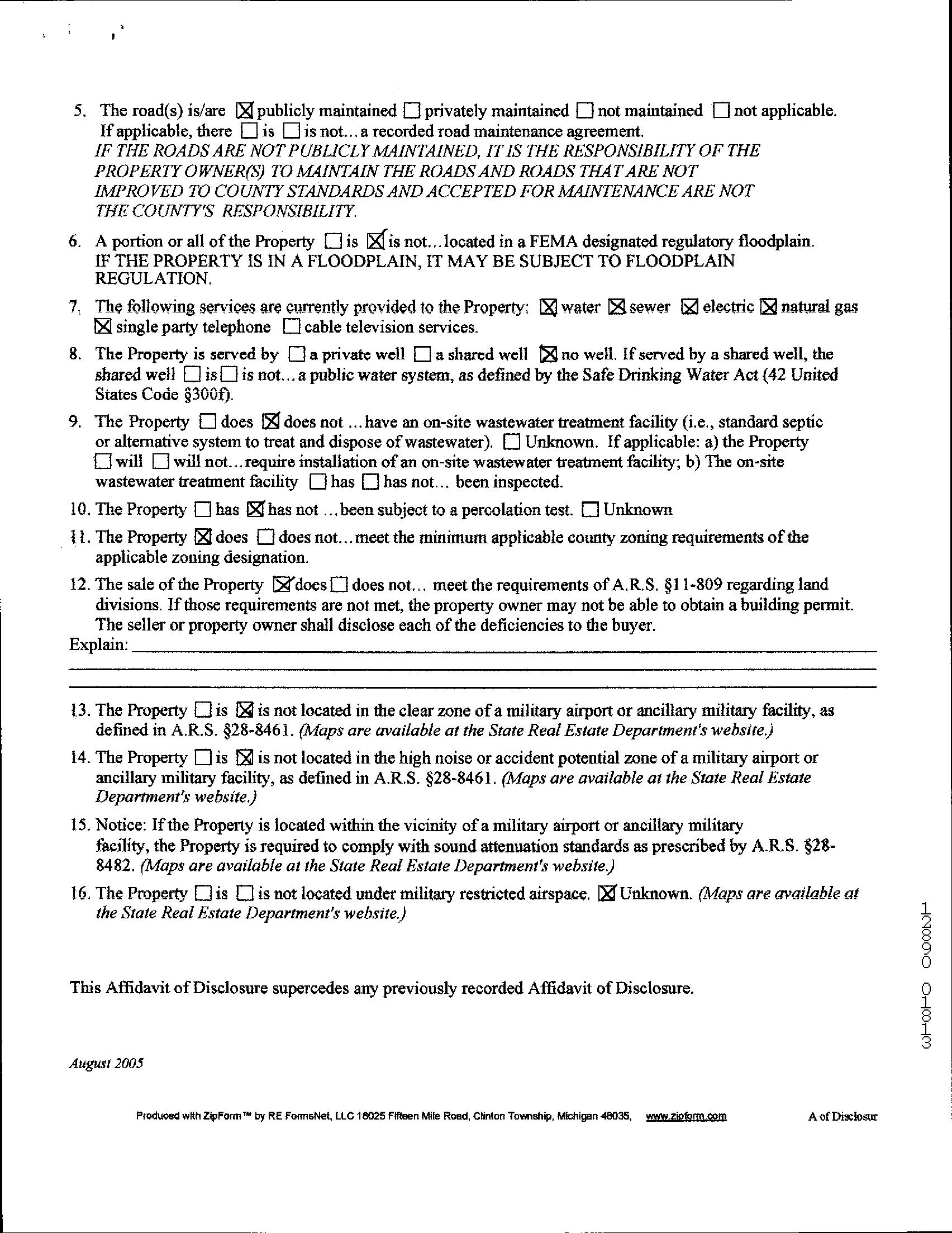
2310 W Diamond St Tucson AZ 85705 APN: 101-16-118R
© 2023 CoreLogic. All rights reserved

WIRE FRAUD ALERT THINK DIFFERENTLY

Email-based, real estate fraud schemes are on the rise. One common scenario is altering wiring instructions with the intention of rerouting funds.

Keeping this in mind, First American Title is changing the way we receive payment information. It is imperative that we are familiar with the people in our transactions.

RELYING ON EMAIL ALONE IS NO LONGER AN OPTION.

Fraudsters often use email to send falsified wire instructions to unsuspecting victims. Please warn your buyers and sellers to only follow wire instructions they receive personally from First American Title.

Additionally, we will not accept disbursement instructions for seller or buyer funds via email OR from any third party (attorney, real estate agent, etc).

ALTERNATIVE INSTRUCTIONS?

If your buyer or seller receives alternative wiring instructions that appear to be from First American Title, make sure they contact their escrow officer at a trusted phone number for confirmation.

Know that our wiring instructions do not change so any communication is suspect. Our banking institution is First American Trust.

IN SHORT – wire instructions will not be accepted by email. New wire instructions must be hand-carried or uploaded to the First American Secure Portal.

Thank you for joining First American Title in fostering a secure real estate transaction process. Have questions or concerns? Please contact our office or your escrow officer.

For more information please contact your First American representative. www.firstam.com

01100180621
NOT TRUST EMAILED INSTRUCTIONS YOU
IN THE REAL ESTATE CLOSING PROCESS
DO
SHOULD BE AWARE OF PRECAUTIONS
First American Title Insurance Company, and the operating divisions thereof, make no express or implied warranty respecting the information presented and assume no responsibility for errors or omissions. First American, the eagle logo, First American Title, and firstam.com are registered trademarks or trademarks of First American Financial Corporation and/or its affiliates. ©2023 First American Financial Corporation and/or its affiliates. All rights reserved. NYSE: FAF

LIMITATION OF LIABILITY FOR INFORMATIONAL REPORTS

IMPORTANT -- PLEASE READ CAREFULLY:

This report is not an insured product or service or a representation of the condition of title to real property. It is not an abst ract, legal opinion, opinion of title, title insurance commitment or preliminary report, or any form of Title Insurance or Guaranty. This report is issued exclusively for the benefit of the Applicant therefor and may not be used or relied upon by any other person. This report may not be reproduced in any manner without First American or Title Security's prior written consent. First American or Title Security does not represent or warrant that the information herein is complete or free from error, and the information herein is provided without any warranties of any kind, as-is, and with all faults. As a material part of the consideration given in exchange for the issuance of this report, recipient agrees that First American or Title Security's sole liability for any loss or damage caused by an error or omission due to inaccurate information or negligence in preparing this report shall be limited to the fee charged for the report. Recipient accepts this report with this limitation and agrees that First American or Title Security would not have issued this report but for the limitation of liability described above. First American or Title Security makes no representation or warranty as to the legality or propriety of recipient's use of the information herein.

Disclaimer

This REiSource report is provided "as is" without warranty of any kind, either express or implied, including without limitations any warrantees of merchantability or fitness for a particular purpose. There is no representation of warranty that this information is complete or free from error, and the provider does not assume, and expressly disclaims, any liability to any person or entity for loss or damage caused by errors or omissions in this REiSource report without a title insurance policy.

The information contained in the REiSource report is delivered from your Title Company, who reminds you that you have the right as a consumer to compare fees and serviced levels for Title, Escrow, and all other services associated with property ownership, and to select providers accordingly. Your home is the largest investment you will make in your lifetime and you should demand the very best.

Data Provided By: First American Title Ins Co
© 2023 CoreLogic. All rights reserved

Subject Property :   2310 W Diamond St Tucson AZ 85705

Owner Information

Owner Name : Hampton Ty H / Hampton Ruth C

Mailing Address : 9051 N Wild Eagle Ave, Tucson AZ 85742-8755 R029

Vesting Codes : / / Community Property

Owner Occupied Indicator : A

Location Information

Legal Description : E2 Se4 Nw4 Se4 Exc S350' E270' & Exc S25' W60' Thereof 2.83 Ac Sec 16-13-13

County : Pima, Az

Census Tract / Block : 45.06 / 3

Township-Range- Sect : 13S-13E-16

Market Area : 30

Last Market Sale Information

Recording/Sale Date : 09/15/2006 / 09/14/2006

Sale Price : $250,000

Document # : 12890-1817

Title Company : Title Security Inc

Lender : Private Individual

Seller Name : Diamond West Llc

Prior Sale Information

Prior Rec/Sale Date : 11/15/1996

Prior Doc Number : 10422-679

Property Characteristics

Year Built / Eff : 1996 / 1996 # of Stories : 1

Property Information

Land Use : Mobile Home Zoning : MU

County Use : Mh Non Subd Lot-no Mf Home Lot Acres : 2.80

APN : 101-16-118R

Map Reference : 16-13S-13E

School District : Flowing Wells

Munic/Township : Flowing Wells

Deed Type : Warranty Deed

1st Mtg Amount/Type : $200,000 / Pp

1st Mtg Document # : 12890-1820

Prior Deed Type : Deed (reg)

Construction : Steel/wood

Lot Size : 121,968

State Use : Mh Non Subd Lot-no Mf Home

Customer Name : Lisa Mrazek

Customer Company Name : First American Title Insurance Company Prepared On : 09/28/2023

© 2023 CoreLogic. All rights reserved

Tax Information Total Value : $84,212 Property Tax : $2,059.06 Current Year Total Value : $16,370 Total Taxable Value : $12,621 Tax Rate Area : 0806 Current Year Improvement Value : $620 Assessed Year : 2022 Market Value : $84,212 Current Year Land Value : $15,750 Tax Year : 2022 Current Assessed Year : 2024
Name
Lisa
Customer Company Name : First American Title Insurance Company Prepared On : 09/28/2023 © 2023 CoreLogic. All rights reserved
Customer
:
Mrazek
Sales Analysis Criteria Subject Property Low High Average Sale Price $250,000 $15,000 $290,000 $131,601 Bldg/Living Area 331 480 406 Price Per Square Foot $441 $604 $522.63 Year Built 1996 1969 1998 1978 Lot Size 121,968 4,711 11,691 7,635 Bedrooms Bathrooms 1 1 1 Stories 1 1 1 1 Total Assessed Value $84,212 $32,221 $110,347 $53,992 Distance From Subject 0 0.13 0.53 0.31 Customer Name : Lisa Mrazek Customer Company Name : First American Title Insurance Company Prepared On : 09/28/2023 © 2023 CoreLogic. All rights reserved

Customer Name : Lisa Mrazek

Customer Company Name : First American Title Insurance Company Prepared On : 09/28/2023

© 2023 CoreLogic. All rights reserved

Map

Details of Comparables

Subject Property: 2310 W Diamond St Tucson Az 85705

Owner Name: Hampton Ty H /Hampton Ruth C

/

#1   4961 N Casas Serenas Dr Tucson Az 85705

Owner Name: Hernandez Luis A L /Acosta Luz E

/

#2   2432 W Kimberley Pl Tucson Az 85705

Owner Name: Salazar Javier /

/

Land Use: Mobile Home Subdivision
121,968 Year Built / Eff:
Rec. Date
Living Area: # of units: Document
Bedrooms: Pool: Total Tax Value:
Bath(F/H): /
APN / Alternate APN: 101-16-118R
Deed Type: Warranty Deed
/ Tract: / Lot Size:
1996 /1996
/ Price: 09/15/2006 / $250,000
#: 12890-1817
$84,212
APN
Land Use: Mobile Home Subdivision /
4,711 Year Built / Eff:
Rec. Date
Price: 06/27/2023
Living Area: # of units: Document #:
Bedrooms: Pool: Total Tax Value: $32,221 Bath(F/H): /
/ Alternate APN: 101-16-2590
Deed Type: Warranty Deed
Tract: Casas Serenas / Lot Size:
1972 /1972
/
/ $73,000
1780589
APN
Land Use: Mobile Home Subdivision
Year Built / Eff: 1971 /1971 Rec. Date / Price: 05/25/2023 / $78,000 Living Area: # of units: Document #: 1450001 Bedrooms: Pool: Total Tax Value: $38,559 Bath(F/H): / #3   2211
Name: Blackwell Gentry G /Blackwell Lori L APN / Alternate APN: 101-16-116B / Deed Type: Warranty Deed Land Use: Mobile Home Subdivision / Tract: / Lot Size: 10,934 Year Built / Eff: 1970 /1970 Rec. Date / Price: 06/15/2023 / $290,000 Living Area: 480 # of units: Document #: 1660336 Bedrooms: Pool: Total Tax Value: $110,347 Bath(F/H): / #4
APN / Alternate APN: 101-16-1660 / Deed Type: Warranty Deed Land Use: Mobile Home Subdivision / Tract: Kessler Manor
Lot Size: 6,485 Year Built / Eff: 1976 /1976 Rec. Date / Price: 11/29/2022
$52,000 Living Area: # of units: Document #: 3330616 Bedrooms: Pool: Total Tax Value: $38,147 Bath(F/H): /
Customer
First American
Prepared
09/28/2023 © 2023 CoreLogic. All rights reserved
/ Alternate APN: 101-16-2070
Deed Type: Warranty Deed
/ Tract: Kessler Manor / Lot Size: 6,286
W Diamond St Tucson Az 85705 Owner
2415 W Diamond St Tucson Az 85705 Owner Name: Otten Mike /Otten Brandi
/
/
Customer Name : Lisa Mrazek
Company Name :
Title Insurance Company
On :

#5   2201 W Diamond St Tucson Az 85705

Owner Name: Kabinier Debra L /

/ Alternate APN: 101-16-116G / Deed Type: Warranty Deed

/ Tract: / Lot Size: 10,846

Date / Price: 06/09/2023 / $170,000 Living Area:

#6   2435 W Kessler Pl Tucson Az 85705

Owner Name: Chavez Martin F /Gallegos Perla V G

/ Alternate APN: 101-16-1460 / Deed Type: Warranty Deed

/ Tract: Kessler Manor / Lot Size: 6,220

Date / Price: 12/02/2022 / $185,000 Living Area:

#7   4915 N Sullinger Ave Tucson Az 85705

Owner Name: Gonzalez Jesus /Gonzalez Jerreesha

/ Alternate APN: 101-16-2980 / Deed Type: Warranty Deed

#8   4873 N Casas Serenas Dr Tucson Az 85705

Owner Name: Ziegler Eric D /Ziegler Michelle M

/ Alternate APN: 101-16-2520 / Deed Type: Warranty Deed

Built / Eff: 1973 /1973

#10   4840 N Fellows Ave Tucson Az 85705

Owner Name: Kathleen Cacciato Trust /

APN
Land
Subdivision
Year
# of units: Document
Bedrooms: Pool: Total Tax Value:
Bath(F/H):
Use: Mobile Home
Rec.
#: 1600581
$81,881
/
APN
Land
Subdivision
Year
Rec.
# of units: Document
Bedrooms: Pool: Total Tax Value:
Bath(F/H):
Use: Mobile Home
Built / Eff: 1985 /1985
#: 3360485
$32,881
/
APN
Land
Subdivision / Tract:
Year
/ Eff:
Rec. Date / Price:
Living
# of units: Document #:
Bedrooms: Pool: Total Tax Value: $54,804 Bath(F/H): /
Use: Mobile Home
Casas Serenas / Lot Size: 5,859
Built
1984 /1984
03/31/2023 / $241,512
Area:
900185
APN
Land Use: Mobile Home Subdivision / Tract: Casas Serenas / Lot Size: 4,721 Year Built / Eff: 1972 /1972 Rec. Date / Price: 10/28/2022 / $129,000 Living Area: # of units: Document #: 3010242 Bedrooms: Pool: Total Tax Value: $55,322 Bath(F/H): /
APN
Alternate APN:
Deed Type: Warranty Deed Land Use: Mobile Home Subdivision / Tract: Casas Serenas / Lot Size: 5,892 Year Built / Eff:
Rec. Date / Price: 12/30/2022 / $220,000 Living Area: # of units: Document #: 3640709 Bedrooms: Pool: Total Tax Value: $104,654 Bath(F/H): /
#9   4872 N Fellows Ave Tucson Az 85705 Owner Name: Hirsi Homes Inc /
/
101-16-2430 /
1980 /1980
APN
Deed
Land Use: Mobile Home Subdivision / Tract: Casas Serenas
6,235 Year Built
Rec. Date / Price: 01/30/2023
$146,000 Living Area: 331 # of units: Document #: 300232 Bedrooms: Pool: Total Tax Value: $42,195 Bath(F/H): /
©
/ Alternate APN: 101-16-2470 /
Type: Warranty Deed
/ Lot Size:
/ Eff: 1971 /1971
/
Customer Name : Lisa Mrazek Customer Company Name : First American Title Insurance Company Prepared On : 09/28/2023
2023 CoreLogic. All rights reserved

#11   4848 N Sullinger Ave Tucson Az 85705

Owner Name: Vasquez Guillermo /

#12   4832 N Casas Serenas Dr Tucson Az 85705

Owner Name: Carranco Gabreila F /

#13   2633 W Kimberley St Tucson Az 85705

Owner Name: Akes Jessica /

Owner Name: Hinson Elva & Marisela /Hinson Marisela

1975 /1975

#16   2682 W Golda St Tucson Az 85705

Owner Name: Capistran Jose L G /Rascon Rosa I A

APN / Alternate APN: 101-15-2850 / Deed Type: Warranty Deed

Use: Mobile Home Subdivision / Tract: Shamrock Manor / Lot Size: 8,509

Built / Eff: 1980 /1980

Date / Price: 05/31/2023 / $110,000

APN
Special Warranty Deed Land Use: Mobile Home Subdivision /
7,002 Year Built / Eff: 1994 /1994 Rec. Date / Price: 06/30/2023
Living Area: # of units: Document #: 1810007 Bedrooms: Pool: Total Tax Value: $33,414 Bath(F/H): /
/ Alternate APN: 101-16-087C / Deed Type:
Tract: La Cholla / Lot Size:
/ $140,000
APN
Land Use: Mobile Home Subdivision / Tract: Casas Serenas
Lot Size: 7,899 Year Built / Eff: 1971 /1971 Rec. Date / Price: 04/10/2023
$140,000 Living Area: # of units: Document #: 1000120 Bedrooms: Pool: Total Tax Value: $44,031 Bath(F/H): /
/ Alternate APN: 101-16-2800 / Deed Type: Warranty Deed
/
/
APN / Alternate
Land Use: Mobile Home Subdivision / Tract: Shamrock Manor / Lot Size: 7,754 Year Built / Eff: 1982 /1982 Rec. Date / Price: 07/03/2023
$80,000 Living Area: # of units: Document #: 1840200 Bedrooms: Pool: Total Tax Value: $42,012 Bath(F/H): /
APN: 101-15-2720 / Deed Type: Warranty Deed
/
#14   2617 W Curtis Rd Tucson Az 85705
APN
APN:
Deed
Warranty Deed Land Use: Mobile Home Subdivision / Tract: Shamrock Manor / Lot Size: 8,094 Year Built / Eff: 1984 /1984 Rec. Date / Price: 04/17/2023 / $82,000 Living Area: # of units: Document #: 1070113 Bedrooms: Pool: Total Tax Value: $35,996 Bath(F/H): /
Name:
APN / Alternate APN: 101-15-1330
Deed Type: Warranty Deed Land Use: Mobile Home Subdivision / Tract: Sunrise 03 / Lot Size: 7,693 Year Built / Eff:
Rec.
Living Area: # of units:
Bedrooms: Pool: Total
Bath(F/H):
/ Alternate
101-15-2290 /
Type:
#15   4957 N Sunrise Ave Tucson Az 85705 Owner
Vaval-de Ib Llc /
/
Date / Price: 08/17/2023 / $75,500
Document #: 2290600
Tax Value: $36,855
/
Land
Year
Living
# of units:
Bedrooms: Pool: Total
Bath(F/H):
Rec.
Area:
Document #: 1510430
Tax Value: $37,128
/ Customer Name : Lisa Mrazek Customer Company Name : First American Title Insurance Company Prepared On : 09/28/2023 © 2023 CoreLogic. All rights reserved
#17   1971 W Narciso Pl Tucson Az 85705 Owner Name: Brx Llc / APN / Alternate APN: 104-12-0170 / Deed Type: Warranty Deed Land Use: Mobile Home Subdivision / Tract: Cholla Manor / Lot Size: 7,053 Year Built / Eff: 1969 /1969 Rec. Date / Price: 07/28/2023 / $15,000 Living Area: # of units: Document #: 2090571 Bedrooms: Pool: Total Tax Value: $53,690 Bath(F/H): / #18   1964 W Paul Pl Tucson Az 85705 Owner Name: Brx Llc / APN / Alternate APN: 104-12-015A / Deed Type: Warranty Deed Land Use: Mobile Home Subdivision / Tract: Cholla Manor / Lot Size: 10,221 Year Built / Eff: 1998 /1998 Rec. Date / Price: 07/28/2023 / $110,000 Living Area: # of units: Document #: 2090606 Bedrooms: Pool: Total Tax Value: $97,048 Bath(F/H): / #19   1948 W Paul Pl # 1 Tucson Az 85705 Owner Name: National Home Buyer Llc / APN / Alternate APN: 104-12-013A / Deed Type: Warranty Deed Land Use: Mobile Home Subdivision / Tract: Cholla Manor / Lot Size: 11,691 Year Built / Eff: 1975 /1975 Rec. Date / Price: 08/30/2023
Living Area: # of units: Document #: 2420488 Bedrooms: Pool: Total Tax Value: $52,338 Bath(F/H): /
APN / Alternate APN:
Deed Type:
Deed Land Use: Mobile Home Subdivision / Tract: Cholla Manor / Lot Size: 8,590 Year Built / Eff: 1969 /1969 Rec. Date / Price: 03/03/2023 / $165,000 Living Area: # of units: Document #: 620563 Bedrooms: Pool: Total Tax Value: $56,322 Bath(F/H): / Customer Name : Lisa Mrazek Customer Company Name : First American Title Insurance Company Prepared On : 09/28/2023 © 2023 CoreLogic. All rights reserved
/ $130,000
#20   1965 W Paul Pl Tucson Az 85705 Owner Name: Call Dirk B /
104-12-0080 /
Warranty

Customer Name : Lisa Mrazek

Customer Company Name : First American Title Insurance Company Prepared On : 09/28/2023

© 2023 CoreLogic. All rights reserved

Subject Property :   2310 W Diamond St Tucson AZ 85705

Customer Name : Lisa Mrazek

Customer Company Name : First American Title Insurance Company Prepared On : 09/28/2023

© 2023 CoreLogic. All rights reserved

4992 N CASAS SERENAS DR Distance 0.1 Miles

Owner Name : Enriquez Ramona Subdivision : Casas Serenas

Sale Date : 06/00/2005

Total Value : $32,296

Recording Date : 06/30/2005

Sale Price  : $40,000

Land Use : Mobile Home Property Tax : $468.39

Stories : 1 Lot Acres : 0.14

Yr Blt / Eff Yr Blt : 1972 / 1972

APN : 101-16-2630

4989 N SULLINGER AVE Distance 0.1 Miles

Owner Name : Valencia Sandy Subdivision : Casas Serenas

Sale Date : 09/20/2012

Recording Date : 09/21/2012

Total Value : $41,652 Sale Price  : $50,000

Land Use : Mobile Home Property Tax : $582.76

Stories : 1

Yr Blt / Eff Yr Blt : 1971 / 1971

Lot Acres : 0.14

APN : 101-16-3080

4991 N CASAS SERENAS DR Distance 0.1 Miles

Owner Name : Hester Bryan Subdivision : Casas Serenas

Sale Date : 12/03/2018

Recording Date : 12/03/2018

Total Value : $33,509 Sale Price  : $50,000

Land Use : Mobile Home Property Tax : $494.34

Stories : 1

Yr Blt / Eff Yr Blt : 1963 / 1963

Lot Acres : 0.11

APN : 101-16-2620

4990 N FELLOWS AVE Distance 0.11 Miles

Owner Name : Risley Aubrey Subdivision : Casas Serenas

Total Value : $62,016

Recording Date : 09/08/1980

Land Use : Mobile Home Property Tax : $875.64

Stories : 1

Yr Blt / Eff Yr Blt : 1971 / 1971

Lot Acres : 0.14

APN : 101-16-2330

Customer Name : Lisa Mrazek Customer Company Name : First American Title Insurance Company Prepared On : 09/28/2023
© 2023 CoreLogic. All rights reserved

4982 N CASAS SERENAS DR Distance 0.11 Miles

Owner Name : Mc Gill Cindy Monika

Sale Date : 10/05/2016

Total Value : $72,086

Subdivision : Casas Serenas

Recording Date : 10/05/2016

Sale Price  : $85,500

Land Use : Mobile Home Property Tax : $1,052.61

Stories : 1

Yr Blt / Eff Yr Blt : 1971 / 1971

Lot Acres : 0.13

APN : 101-16-2640

4981 N SULLINGER AVE Distance 0.11 Miles

Owner Name : Kaplan R Brian

Sale Date : 02/21/2008

Total Value : $52,406

Subdivision : Casas Serenas

Recording Date : 02/22/2008

Sale Price  : $92,000

Land Use : Mobile Home Property Tax : $763.80

Stories : 1

Yr Blt / Eff Yr Blt : 1989 / 1989

Lot Acres : 0.14

APN : 101-16-3070

4981 N CASAS SERENAS DR Distance 0.11 Miles

Owner Name : Soper Donald

Total Value : $43,926

Subdivision : Casas Serenas

Recording Date : 09/13/1991

Land Use : Mobile Home Property Tax : $599.22

Stories : 1

Yr Blt / Eff Yr Blt : 1971 / 1971

Lot Acres : 0.11

APN : 101-16-2610

4980 N FELLOWS AVE Distance 0.12 Miles

Owner Name : Risley Aubrey L

Total Value : $48,546

Subdivision : Casas Serenas

Recording Date : 09/05/1980

Land Use : Mobile Home Property Tax : $665.96

Stories : 1

Yr Blt / Eff Yr Blt : 1971 / 1971

Lot Acres : 0.14

APN : 101-16-2340

Customer Name : Lisa Mrazek Customer Company Name : First American Title Insurance Company Prepared On : 09/28/2023
© 2023 CoreLogic. All rights reserved

4972 N

SERENAS DR Distance 0.12 Miles

Owner Name : Multiple Properties Llc Subdivision : Casas Serenas

Sale Date : 04/22/2007

Total Value : $30,845

Recording Date : 04/24/2007

Sale Price  : $48,000

Land Use : Mobile Home Property Tax : $444.11

Stories : 1

Yr Blt / Eff Yr Blt : 1971 / 1971

4973 N

Lot Acres : 0.13

APN : 101-16-2650

AVE Distance 0.12 Miles

Owner Name : Vazquez Isaias N Subdivision : Casas Serenas

Sale Date : 09/07/2021

Total Value : $41,578

Recording Date : 09/08/2021

Sale Price  : $68,000

Land Use : Mobile Home Property Tax : $559.37

Stories : 1

Yr Blt / Eff Yr Blt : 1971 / 1971

Lot Acres : 0.14

APN : 101-16-3060

CASAS SULLINGER
Customer
First
Prepared On
09/28/2023 © 2023 CoreLogic. All rights reserved
Customer Name : Lisa Mrazek
Company Name :
American Title Insurance Company
:
Census Tract / block: 45.06 / 3     Year: 2020 Household Population Population by Age Count: 5,896 0 - 11 Estimate Current Year: 6,398 12 - 17 Estimate in 5 Years: 8,875 18 - 24 17.27% Growth Last 5 Years: 12.62% 25 - 64 47.2% Growth Last 10 Years: -126.13% 65 - 74 6.55% 75+ Household Size Household Income Current Year: 2,082 0 - $25,000 28.05% Average Current Year: 2.83 $25,000 - $35,000 25.74% Estimate in 5 Years: 4,193 $35,000 - $50,000 18.49% Growth Last 5 Years: 10.76% $50,000 - $75,000 6.15% Growth Last 10 Years: 20.15% $75,000 - $100,000 11.86% Male Population: 45.17% Above $100,000 9.7% Female Population: 54.83% Average Household Income: $32,620 Married People: 37.4% Unmarried People: 62.6% Housing Median Mortgage Payments Home Values Under $300: 10.4% Below $100,000: 73.02% $300 - $799: 53.83% $100,000 - $150,000: 9.47% $800 - $1,999: 33.02% $150,000 - $200,000: 12.21% Over $2,000: 2.74% $200,000 - $300,000: 3.61% Median Home Value: $35,000 $300,000 - $500,000: 0.62% Unit Occupied Owner: 77.09% Above $500,000: 1.06% Median Mortgage: $613
© 2023
rights reserved
Customer Name : Lisa Mrazek Customer Company Name : First American Title Insurance Company Prepared On : 09/28/2023
CoreLogic. All
Rent Payments Year Built Unit Occupied Renter: 22.91% 1999 - 2000 Median Gross Rent: $909 1995 - 1998 Less Than $499 3.99% 1990 - 1994 $500 - $749 35.48% 1980 - 1989 23.11% $750 - $999 16.19% 1970 - 1979 25.73% $1000 and Over 44.35% 1900 - 1969 14.89% Education Enrollment Public Pre-Primary School: 0.44% Not Enrolled in School: 70.38% Private Pre-Primary School: 0.56% Not A High School Graduate: 28.16% Public School: 24.56% Graduate Of High School: 27.11% Private School: 5.06% Attended Some College: 27.31% Public College: 6.71% College Graduate: 14.83% Private College: 1.56% Graduate Degree: 2.58% Workforce Occupation: Manager/Prof: 24.28% Private Worker: 62.21% Technical: Government Worker: 10.43% Sales: 17.24% Self Employed Worker: 8.47% Administrative: Unpaid Family Worker: 9.67% Private House Hold: Farming: 10.69% Service: 36.7% Skilled: Protective Services: Blue-Collar: 21.79% Commute Time Less Than 15 Min: 27.25% 15 min - 28 min: 49.33% 30 min - 57 min: 17.03% Over 60 min: 6.39% Customer Name : Lisa Mrazek Customer Company Name : First American Title Insurance Company Prepared On : 09/28/2023 © 2023 CoreLogic. All rights reserved

Customer Name : Lisa Mrazek

Customer Company Name : First American Title Insurance Company Prepared On : 09/28/2023

© 2023 CoreLogic. All rights reserved

Customer Name : Lisa Mrazek

Customer Company Name : First American Title Insurance Company Prepared On : 09/28/2023

© 2023 CoreLogic. All rights reserved

Customer Name : Lisa Mrazek

Customer Company Name : First American Title Insurance Company Prepared On : 09/28/2023

© 2023 CoreLogic. All rights reserved

Arizona Schools For detailed information and statistics on Arizona schools please go to https://azreportcards.azed.gov/ First American Title Insurance Company, and the operating divisions thereof, make no express or implied warranty respecting the information presented and assume no responsibility for errors or omissions. First American, the eagle logo, First American Title, and firstam.com are registered trademarks or trademarks of First American Financial Corporation and/or its affiliates. ©2021 First American Financial Corporation and/or its affiliates. All rights reserved. NYSE: FAF 05117910421

PIMA COUNTY

School District Information

This map is provided for general location only. Please contact school districts for actual street boundaries

05249570321 TUCSON INT'L AIRPORT Air Force WSilverbellRd SSantaRitaRd N M t L emmon Hwy ESascoRd NF38 W Avra Valley Rd E Grand Va ey Dr NAguirre R d N L u c k e R d N W e n t z R d N Wa terman Mounta i n R d N Anway Rd W El Tiro Rd N Trico Rd W Tucker Rd W Rudas l Rd W Manvi e Rd SSanJoaquinRd WBopp Rd W Snyder H l Rd S M a r s e a r R d W Park Rd W Hermans Rd W Hermans Rd W Guy St W Bush Rd S G a v e y R d N C a e R i n c o n a d o S W m o R d S Shaw Rd S Sierrita Mountain Rd S K o b R d W TwinButtes Rd W Mcgee Ranch Rd S E s t a n c a D r EDesertDove E Hemlock Dr N Bea r C a n y o n R d W E Camino Del Cerro E Fairmount St S Swan Rd NFrontageRd W Emigh Rd W Fort Lowe Rd N P u m p S t a t ion dR E Nona Rd Ch efButteRd Lo al Ave N Trico Rd S Cattle Tank Rd Evalyn Rd SOwlHead R a n c h Rd GasLineRd S P ec a n R d N T r c o R d W Bayard Rd S S a n d a r o R d W i l l owSpri n gsRd N Dove Mountain Blvd SHelvetiaRd WAnamax Mine Rd W G a c i a R a n hc R d Road424 WRagged Top Rd W Ruby Star Dr WBritten RanchRd W Pima Mine Rd S Mcgee Ranch R d E Edw n Rd SGuildRd 8 0 NKINNEYRD S PICACHO HWY E BAUMGARTNER RD N S A N D A R I O R D N ANWAY RD W VALENCIA RD W MOORE RD W INA RD N 1 S T A V E E SUNRISE DR E SNYDER RD NSILVERBELLRD N S O L D I E R T R L E RIVER RD E PRINCE RD E SPEEDWAY BLVD S FREEMAN RD E 22ND ST E 22ND ST W IRVINGTON RD S N O G A L E S H W Y W VALENCIA RD SMISSIONRD W SPEEDWAY BLVD S O L D S P A N I S H T RL W NARANJA DR W TWIN PEAKS RD W PICTURE ROCKS RD W MANVILLE RD SKINNEYRD W MILE WIDE RD E SAHUARITA RD N TRICO RD S S A N D A R O R D PARK LINK DR S OLD N O G ALES HW Y S H O U G H T O N R D S L A C A N A D A DR W HELMET PEAK RD WAJOHWY N S W A N R D S KOLB RD S HOUGHTON RD W TANGERINE RD E GRANT RD S H O U G H T O N R D 9 5 WAJOHWY E VALENCIA RD NORACLE R D I10 I-19 77 77 77 86 86 286 10 19 10 10 Corona de Tucson Casas Adobes Catalina Green Valley Oracle Picture Rocks Three Points Vail Summit Tanque Verde Tucson Sahuarita Red Rock Saddlebrooke Marana Oro Valley Rillito Summerhaven Willow Canyon Oracle Junction Cortaro Continental Littletown 20 30 13 15 51 39 12 01 01 08 10 16 11 06
SCHOOL DISTRICTS 15 AJO UNIFIED 111 N. Well Road, Ajo, AZ 85321 520.387.5618 51 ALTAR VALLEY ELEMENTARY 10105 S. Sasabe Road, Tucson, AZ 85736 520.822.1484 10 AMPHITHEATER UNIFIED 701 W. Wetmore, Tucson, AZ 85705 520.696.5000 16 CATALINA FOOTHILS UNIFIED 2101 E. River Road, Tucson, AZ 85718 520.209.7500 39 CONTINENTAL ELEMENTARY 1991 E. Whitehouse Canyon, Green Valley, AZ 85614 520.625.4581 08 FLOWING WELLS UNIFIED 1556 W. Prince Road, Tucson, AZ 85705 520.696.8800 06 MARANA UNIFIED 11279 W. Grier Road, Marana, AZ 85653 520.682.3243 11 PIMA COUNTY JTED 2855 W. Master Pieces Dr, Tucson, AZ 85741 520.352.5833 30 SAHUARITA UNIFIED 350 W. Sahuarita Road, Sahuarita, AZ 85629 520.625.3502 12 SUNNYSIDE UNIFIED 2238 E. Ginter Road, Tucson, AZ 85706 520.545.2000 13 TANQUE VERDE UNIFIED 2300 N. Tanque Verde Loop, Tucson, AZ 85749 520.749.5751 01 TUCSON UNIFIED 1010 E. 10th Street, Tucson, AZ 85717 520.225.6000 20 VAIL UNIFIED 10701 E. Mary Ann Cleveland Way, Tucson, AZ 85747 520.879.2000 First American Title Insurance Company, and the operating divisions thereof, make no express or implied warranty respecting the information presented and assume no responsibility for errors or omissions. First American, the eagle logo, First American Title, and firstam.com are registered trademarks or trademarks of First American Financial Corporation and/or its affiliates. ©2021 First American Financial Corporation and/or its affiliates. All rights reserved. NYSE: FAF

SEARCH PARAMETERS

PARCEL:  101-16-118R

PARCEL: 101-16-118R

OWNER: HAMPTON TY H & RUTH C CP/RS

SITUS: 2310 W DIAMOND ST PC

MAIL: 9051 N WILD EAGLE AVE  TUCSON AZ 85742-8755

LEGAL: E2 SE4 NW4 SE4 EXC S350' E270' & EXC S25' W60' THEREOF 2.83 AC SEC 16-13-13

ADDITIONAL PROPERTY INFORMATION

END SEARCH

09/28/2023  03:32PM  RL13  INVESTIGATIVE SEARCH RESULTS PAGE 1 OF 1
+ FIRST AMERICAN TITLE, FC0, LMRA PIMA, AZ
INSTRUMENT REC DATE
12890 1817 09/15/2006
CURRENT TAXES INFORMATION THROUGH 08/28/2023 LAND IMPR EXEMPT RATE AREA SPECIAL DISTRICTS PRIMARY  12,621  0  0  8.8636  0806 SECONDARY  12,150  482  0  7.4511  2022 TOTAL TAX BILLED 2,059.06 2022  TAX AMT TAX DUE INTEREST DATE PAID TOTAL DUE FIRST HALF  1,029.53  1,029.53  151.00  1,180.53  SECOND HALF  1,029.53  1,029.53  68.64  1,098.17  TOTAL CURRENT TAXES DUE 09/23 2,278.70 10/23 2,306.14 (ESTIMATED) IMPROVEMENTS MOBILE HOME  BLDG SQFT  0 FULL CASH VALUE  84,212 YEAR BUILT  1996 LAND USE  08 32 NUMBER OF STORIES  1.0 LOT SIZE  121,968 SQ FT STORIES HEIGHT  0 SCHOOL DISTRICT  0806 EXTERIOR WALLS LAND FULL CASH VALUE  81,000 GRADE MATERIALS IMPR FULL CASH VALUE  3,212 SALES SALE DATE SALE AMOUNT INSTRUMENT TYPE SELLER NAME VALIDITY 09/15/2006 250,000    12890 1817 WD DIAMOND WEST L L C / 11/12/1992 45,000    9416 1761 WD NATIONWIDE SECURITY CORP
STANDARD LAND USE: MOBILE HOME LOT
Page 1 of 5 09/28/2023 3:35 PM
Page 2 of 5 09/28/2023 3:35 PM
Page 3 of 5 09/28/2023 3:35 PM
Page 4 of 5 09/28/2023 3:35 PM
Page 5 of 5 09/28/2023 3:35 PM
Page 1 of 3 09/28/2023 3:35 PM
Page 2 of 3 09/28/2023 3:35 PM
Page 3 of 3 09/28/2023 3:35 PM
Page 1 of 5 09/28/2023 3:35 PM
Page 2 of 5 09/28/2023 3:35 PM
Page 3 of 5 09/28/2023 3:35 PM
Page 4 of 5 09/28/2023 3:35 PM
Page 5 of 5 09/28/2023 3:35 PM
Page 1 of 1 09/28/2023 3:35 PM

Turn static files into dynamic content formats.

Create a flipbook
Issuu converts static files into: digital portfolios, online yearbooks, online catalogs, digital photo albums and more. Sign up and create your flipbook.