WIRE FRAUD ALERT THINK DIFFERENTLY
Email-based, real estate fraud schemes are on the rise. One common scenario is altering wiring instructions with the intention of rerouting funds.
Keeping this in mind, First American Title is changing the way we receive payment information. It is imperative that we are familiar with the people in our transactions.
RELYING ON EMAIL ALONE IS NO LONGER AN OPTION.
Fraudsters often use email to send falsified wire instructions to unsuspecting victims. Please warn your buyers and sellers to only follow wire instructions they receive personally from First American Title.
Additionally, we will not accept disbursement instructions for seller or buyer funds via email OR from any third party (attorney, real estate agent, etc).
ALTERNATIVE INSTRUCTIONS?
If your buyer or seller receives alternative wiring instructions that appear to be from First American Title, make sure they contact their escrow officer at a trusted phone number for confirmation.
Know that our wiring instructions do not change so any communication is suspect. Our banking institution is First American Trust.
IN SHORT – wire instructions will not be accepted by email. New wire instructions must be hand-carried or uploaded to the First American Secure Portal.
Thank you for joining First American Title in fostering a secure real estate transaction process. Have questions or concerns? Please contact our office or your escrow officer.
LIMITATION OF LIABILITY FOR INFORMATIONAL REPORTS
IMPORTANT -- PLEASE READ CAREFULLY:
This report is not an insured product or service or a representation of the condition of title to real property. It is not an abstract, legal opinion, opinion of title, title insurance commitment or preliminary report, or any form of Title Insurance or Guaranty. This report is issued exclusively for the benefit of the Applicant therefor and may not be used or relied upon by any other person. This report may not be reproduced in any manner without First Americans prior written consent. First American does not represent or warrant that the information herein is complete or free from error, and the information herein is provided without any warranties of any kind, as-is, and with all faults. As a material part of the consideration given in exchange for the issuance of this report, recipient agrees that First Americans sole liability for any loss or damage caused by an error or omission due to inaccurate information or negligence in preparing this report shall be limited to the fee charged for the report. Recipient accepts this report with this limitation and agrees that First American would not have issued this report but for the limitation of liability described above. First American makes no representation or warranty as to the legality or propriety of recipient's use of the information herein.

Disclaimer
This REiSource report is provided "as is" without warranty of any kind, either express or implied, including without limitations any warrantees of merchantability or fitness for a particular purpose. There is no representation of warranty that this information is complete or free from error, and the provider does not assume, and expressly disclaims, any liability to any person or entity for loss or damage caused by errors or omissions in this REiSource report without a title insurance policy.
The information contained in the REiSource report is delivered from your Title Company, who reminds you that you have the right as a consumer to compare fees and serviced levels for Title, Escrow, and all other services associated with property ownership, and to select providers accordingly. Your home is the largest investment you will make in your lifetime and you should demand the very best.
Subject Property : 2200 N Kimberlee Rd Tucson AZ 85749
Owner Information
Owner Name : Goode George / Goode Suzanne L
Mailing Address : 740 S Avenida Los Reyes, Tucson AZ 85748-6836 C009
Vesting Codes : / / Joint Tenants
Owner Occupied Indicator : A
Location Information
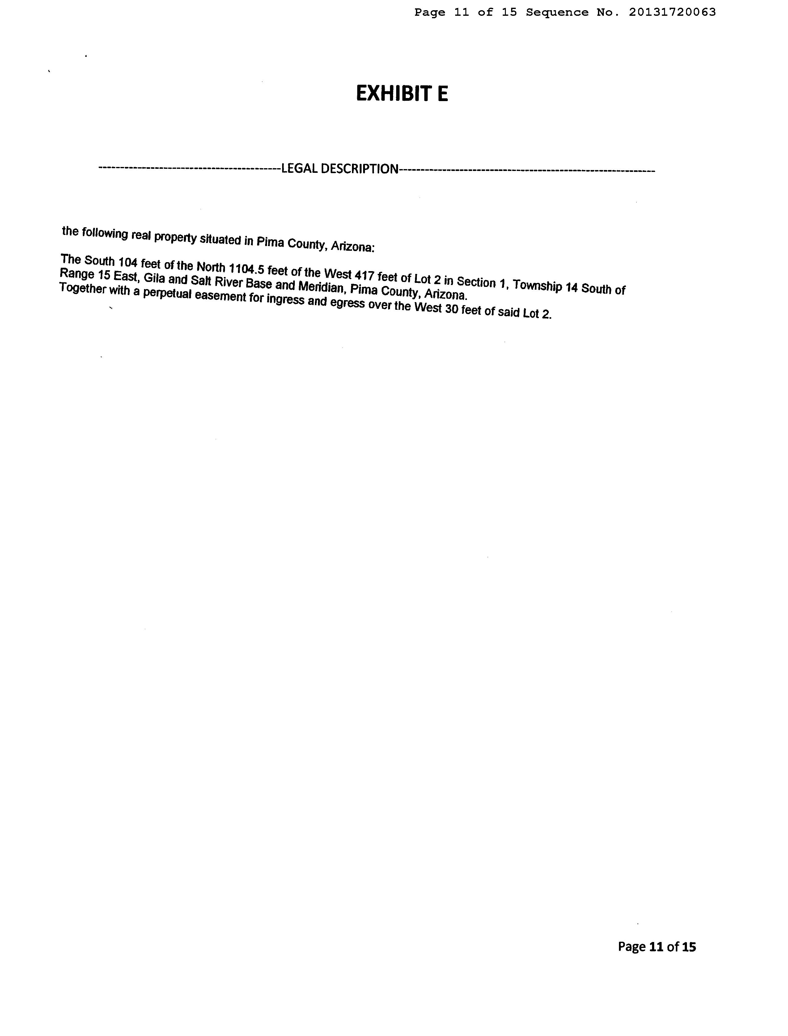
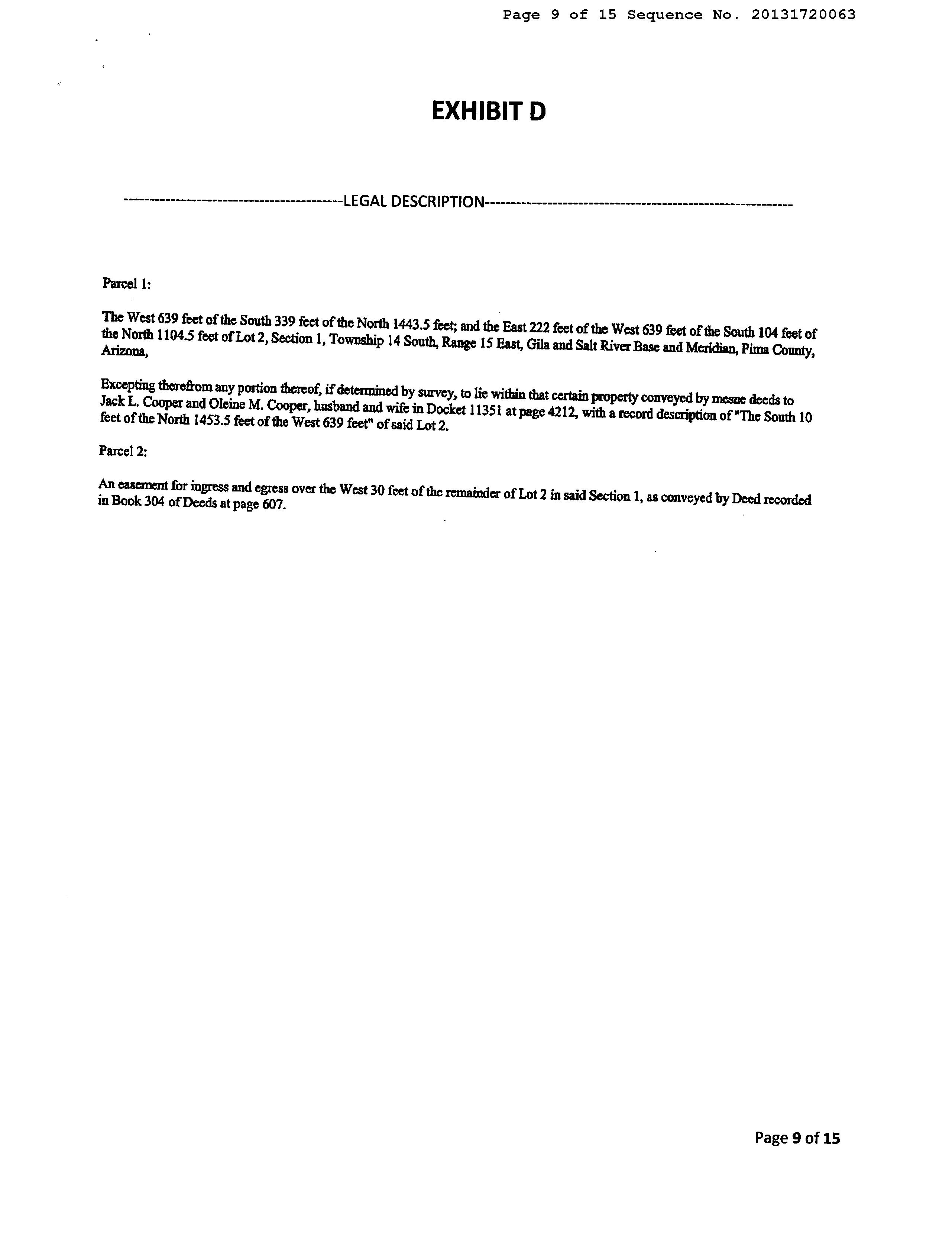
Legal Description : S390.5' N1000.5' W639' Of Lot 2 Exc N50' S390.5' E254.66' W639' 5.42 Ac Sec 1-14-15
County : Pima, Az
Census Tract / Block : 53.00 / 1
Township-Range- Sect : 14S-15E-1
Legal Lot : 2
Market Area : 91
Last Market Sale Information
Recording/Sale Date : 04/27/1992
Sale Price : $143,000
Document # : 9278-1817
Deed Type : Deed (reg)
Title Company : Title Security Agency Of Arizo
Lender : Mitchell Fin'l Svcs Inc
Seller Name : Reis Kim
Property Characteristics
Gross Area : 5,835
Living Area : 5,835
APN : 133-02-043A
Map Reference : 01-14S-15E
School District : Tanque Verde
Munic/Township : Tanque Verde
1st Mtg Amount/Type : $110,000 / Cnv
1st Mtg Int. Rate/Type : / Adjustable Int Rate Loan
Price Per SqFt : $24.51
Foundation : Concrete Exterior wall : Stucco
Roof Material : Built-up
Year Built / Eff : 1957 / 1957 Construction : Concrete
# of Stories : 1
Parking Type : Carport
Porch Type : Open Porch
Patio Type : Open Concrete/ masonry Patio
Heat Type : Package Air Cond : Package
Cooling Type : Package Floor Cover : Carpet
No comparables data for selected property.
Owner Name : Brooks Kristina R
Sale Date : 09/30/2014
Total Value : $117,177
Bed / Bath : / 2
Land Use : Sfr
Stories : 1
Blt / Eff Yr Blt : 1960 /
Owner Name : Lloyd-lemburg
Total Value : $884,498
Recording Date : 09/30/2014
Price : $70,000
Tax : $1,163.15
Acres : 1.00
Area : 1,494
133-02-0440
Recording Date : 03/29/1994
Price : $177,500 Bed / Bath : / 4
Land Use : Sfr
Stories : 1.5
Blt / Eff Yr Blt : 2000 /
Owner Name : Hesselton Robert O & Christina
Sale Date : 11/14/2018
Tax : $7,705.21
Acres : 5.49
Area : 3,804
Recording Date : 11/16/2018
Sale Price : $416,500
Total Value : $586,155 Property Tax : $4,914.23
Bed / Bath : / 3
Land Use : Sfr
Lot Acres : 1.09
Living Area : 2,947
Stories : 1 APN : 133-02-040F
Yr Blt / Eff Yr Blt : 1968 / 10800 E TANQUE VERDE RD Distance 0.09 Miles
Owner Name : Oligmueller David
Total Value : $558,619
Bed / Bath : / 3
Land Use : Sfr
Stories : 1
Subdivision : Gila & Salt River Base & Merid
Recording Date : 06/07/1968
Property Tax : $5,767.82
Lot Acres : 5.03
Living Area : 3,231
Yr Blt / Eff Yr Blt : 1950 / APN : 133-02-035A
Company Name : First American Prepared On : 09/19/2024
10740 E TANQUE VERDE RD
Owner Name : Pearson Christina
Recording Date : 02/05/2019
Sale Date : 02/04/2019 Sale Price : $290,000
Total Value : $425,383
Tax : $3,149.48
Bed / Bath : / 3 Lot Acres : 1.00
Land Use : Sfr
Stories : 1
Area : 2,456
133-02-040G Yr Blt / Eff Yr Blt : 1998 / 10700 E TANQUE VERDE RD
Owner Name : Hotei Holdings Llc
Recording Date : 12/22/2023
Sale Date : 12/22/2023 Sale Price : $2,300,000
Total Value : $527,222
Land Use : Mixed Complex
Stories : 1
Tax : $6,105.51
Acres : 5.71
Area : 8,133 Yr Blt / Eff Yr Blt : 1954 / 1954
Subdivision : Ventana Canyon Golf Villas 02
N KIMBERLEE RD
Owner Name : Vitulli Vito
Sale Date : 05/31/2013
Total Value : $291,993
133-02-041E
Recording Date : 06/03/2013
Price : $202,000
$2,169.56
Bed / Bath : / 2 Lot Acres : 0.81
Land Use : Sfr
Area : 2,070
Stories : 1 APN : 133-02-041C Yr Blt / Eff Yr Blt : 1970 /
Owner Name : Barr Robert
Sale Date : 02/08/2017
Total Value : $679,593
Bed / Bath : / 5
Recording Date : 02/10/2017
Price : $540,000
Tax : $5,732.14
Lot Acres : 3.00
Land Use : Sfr Living Area : 4,342
Stories : 1 APN : 133-02-0460
Yr Blt / Eff Yr Blt : 1970 /
Name : Jeremiah Stiffler Customer Company Name : First American Prepared On : 09/19/2024
10780 E TANQUE VERDE RD
Owner Name : Hadley Eric
Recording Date : 08/13/2018
Sale Date : 08/07/2018 Sale Price : $290,000
Total Value : $400,438
Tax : $3,149.48
Bed / Bath : / 3 Lot Acres : 1.00
Land Use : Sfr
Area : 2,456 Stories : 1
133-02-040D Yr Blt / Eff Yr Blt : 1998 /
Owner Name : Tica Rica Llc
Recording Date : 07/01/2014
Sale Date : 06/25/2014 Sale Price : $300,000 Total Value : $299,718
Land Use : Greenhouse
Stories : 1
Tax : $4,162.43
Acres : 3.88
Area : 24,322 Yr Blt / Eff Yr Blt : 1964 / 1964 APN : 133-02-0390
Census Tract / block: 53.00 / 1 Year: 2020