listing kit w ccrs - Navajo - 212-15-017C

Page 1


WIRE FRAUD ALERT THINK DIFFERENTLY

Email-based, real estate fraud schemes are on the rise. One common scenario is altering wiring instructions with the intention of rerouting funds.

Keeping this in mind, First American Title is changing the way we receive payment information. It is imperative that we are familiar with the people in our transactions.

RELYING ON EMAIL ALONE IS NO LONGER AN OPTION.

Fraudsters often use email to send falsified wire instructions to unsuspecting victims. Please warn your buyers and sellers to only follow wire instructions they receive personally from First American Title.

Additionally, we will not accept disbursement instructions for seller or buyer funds via email OR from any third party (attorney, real estate agent, etc).

ALTERNATIVE INSTRUCTIONS?

If your buyer or seller receives alternative wiring instructions that appear to be from First American Title, make sure they contact their escrow officer at a trusted phone number for confirmation.

Know that our wiring instructions do not change so any communication is suspect. Our banking institution is First American Trust.

IN SHORT – wire instructions will not be accepted by email. New wire instructions must be hand-carried or uploaded to the First American Secure Portal.

Thank you for joining First American Title in fostering a secure real estate transaction process. Have questions or concerns? Please contact our office or your escrow officer.

LIMITATION OF LIABILITY FOR INFORMATIONAL REPORTS

IMPORTANT -- PLEASE READ CAREFULLY:

This report is not an insured product or service or a representation of the condition of title to real property. It is not an abstract, legal opinion, opinion of title, title insurance commitment or preliminary report, or any form of Title Insurance or Guaranty. This report is issued exclusively for the benefit of the Applicant therefor and may not be used or relied upon by any other person. This report may not be reproduced in any manner without First Americans prior written consent. First American does not represent or warrant that the information herein is complete or free from error, and the information herein is provided without any warranties of any kind, as-is, and with all faults. As a material part of the consideration given in exchange for the issuance of this report, recipient agrees that First Americans sole liability for any loss or damage caused by an error or omission due to inaccurate information or negligence in preparing this report shall be limited to the fee charged for the report. Recipient accepts this report with this limitation and agrees that First American would not have issued this report but for the limitation of liability described above. First American makes no representation or warranty as to the legality or propriety of recipient's use of the information herein.

Disclaimer

This REiSource report is provided "as is" without warranty of any kind, either express or implied, including without limitations any warrantees of merchantability or fitness for a particular purpose. There is no representation of warranty that this information is complete or free from error, and the provider does not assume, and expressly disclaims, any liability to any person or entity for loss or damage caused by errors or omissions in this REiSource report without a title insurance policy.

The information contained in the REiSource report is delivered from your Title Company, who reminds you that you have the right as a consumer to compare fees and serviced levels for Title, Escrow, and all other services associated with property ownership, and to select providers accordingly. Your home is the largest investment you will make in your lifetime and you should demand the very best.

Subject Property :   3800 W Coyote Dr Lakeside AZ 85929

Owner Information

Owner Name : Sommers Kristina

Mailing Address : 21962 E Diana Way, Queen Creek AZ 85142-7539 R062

Owner Occupied Indicator : A

Location Information

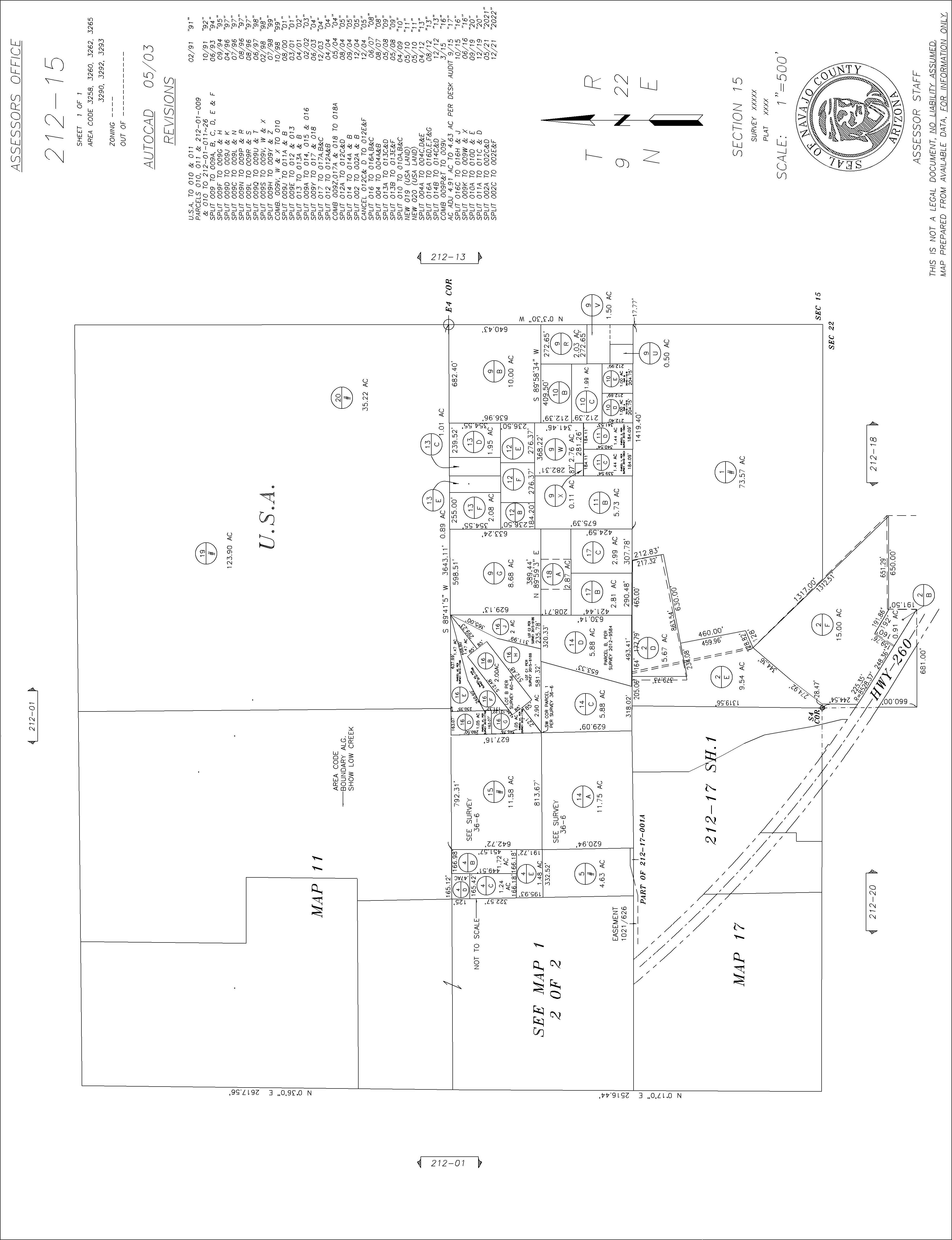
Legal Description : Section 15, T9n, R22e: Comm S 1/16 Cor Sec 15; Th N0*4'58 W 17.62 '; Th N89*43'58 W 1418.44 Tpob; Th N89*43'13 W 307.78'; Th N0*5'1 3 W 422.97'; Th N89*59'26 E 307.78'; Th S0*5'10 E 424.59' Tpob; O Ut Of 212-15-017 For2004roll.

County : Navajo, Az APN : 212-15-017C

Census Tract / Block : 9613.00 / 3

Township-Range- Sect : 09N-22E-15

Owner Transfer Information

Recording/Sale Date : 09/29/2021 / 09/15/2021

Document # : 22101

Last Market Sale Information

Map Reference : 09N-22E-15

Deed Type : Disclaimer Deed

Recording/Sale Date : 09/29/2021 / 09/15/2021 1st Mtg Amount/Type : $840,000 / Cnv

Sale Price : $1,050,000 1st Mtg Document # : 22102 Document # : 22100 1st Mtg Term : 30

Deed Type : Warranty Deed Price Per SqFt : $588.57

Title Company : Pioneer Title Agency

Seller Name : Osburn Matthew Trust

Prior Sale Information

Prior Rec/Sale Date : 12/02/2004 / 10/00/2004

Prior Sale Price : $290,000

Prior Doc Number : 29003

Prior Deed Type : Warranty Deed

Prior Lender : Loancity.com

Prior 1st Mtg Amt/Type : $232,000 / Conv

Prior 1st Mtg Rate/Type : / Fixed Rate Loan

Property Characteristics

Gross Area : 1,784

Living Area : 1,784

Above Grade : 1784

Year Built / Eff : 1997

# of Stories : 1

Property Information

Land Use : Sfr

Parking Type : Detached Garage

Garage Area : 600

Roof Material : Metal

Cooling Type : Forced Air

Exterior wall : Log

Patio Type : Wood Deck

Construction : Steel/wood Quality : Average

Heat Type : Forced Air

Other Rooms : Attic

Size : 130,244 State Use : Single Fam Resrural Non Subd ( D ) Lot Acres : 2.99 Tax Information

Details of Comparables

Subject Property: 3800 W Coyote Dr Lakeside Az 85929

Owner Name: Sommers Kristina / APN / Alternate APN: 212-15-017C / Deed Type: Warranty Deed

Subdivision / Tract: / Lot Size: 130,244

Land Use: Sfr

Year Built / Eff: 1997 / Rec. Date / Price: 09/29/2021 / $1,050,000 Living Area: 1,784

Document #: 22100

Total Tax Value: $563,497

#1   3368 Sunset Ln Lakeside Az 85929

# of units:

Bedrooms: Pool:

Bath(F/H): /

Owner Name: Mcarthur-ethridge Fam Li Trust / APN / Alternate APN: 212-18-013 / Deed Type: Warranty Deed

Subdivision / Tract: Piney Slope Sub / Lot Size: 14,375

Rec. Date / Price: 09/20/2024 / $335,000 Living Area: 1,544

Document #: 13142

Total Tax Value: $258,397

#2   4495 Deer Vly Lakeside Az 85929

Land Use: Sfr

Year Built / Eff: 1964 /

# of units:

Bedrooms: Pool:

Bath(F/H): /

Owner Name: Cole Linda A / APN / Alternate APN: 212-11-071 / Deed Type: Warranty Deed

Subdivision / Tract: Show Low Estates / Lot Size: 34,848

Rec. Date / Price: 02/20/2024 / $295,000 Living Area: 1,628

Document #: 2003

Total Tax Value: $217,970

Bedrooms:

Bath(F/H): /

#3   5015 Silver Mountain Dr Lakeside Az 85929

Owner Name: Davidson Jeffrey N /Myers Elizabeth A

APN / Alternate APN: 212-69-094 / Deed Type: Warranty Deed

Subdivision / Tract: Mountain Gate Un 2 / Lot Size: 15,682

Land Use: Sfr

Year Built / Eff: 1951 /

# of units:

Pool:

Land Use: Sfr

Year Built / Eff: 2017 / Rec. Date / Price: 03/13/2024 / $580,000 Living Area: 1,609

Document #: 3318

Total Tax Value: $457,568

#4   2269 Lockwood Dr Lakeside Az 85929

Owner Name: Champ Travis S /

Bedrooms:

Bath(F/H): /

APN / Alternate APN: 212-54-070 / Deed Type: Warranty Deed

Subdivision / Tract: Blue Spruce Estates / Lot Size: 12,197

# of units:

Pool:

Land Use: Sfr

Year Built / Eff: 1987 / Rec. Date / Price: 02/14/2024 / $360,000 Living Area: 1,630

Document #: 1829

Total Tax Value: $354,843

Bedrooms:

Bath(F/H): /

# of units:

Pool:

Name : Jeremiah Stiffler

Company Name : First American Prepared On : 12/16/2024

#5   5040 Apache Way Lakeside Az 85929

Owner Name: Combs Charles / APN / Alternate APN: 212-54-184 / Deed Type: Warranty Deed

Subdivision / Tract: Blue Spruce Estates / Lot Size: 12,197

Land Use: Sfr

Year Built / Eff: 1977 / Rec. Date / Price: 03/12/2024 / $370,000 Living Area: 1,807

Document #: 3302

Total Tax Value: $317,693

# of units:

Bedrooms: Pool:

Bath(F/H): /

#6   1979 Mountain View Way Lakeside Az 85929

Owner Name: Phillips-zee James G /Phillips-zee Laura A

APN / Alternate APN: 212-12-034 / Deed Type: Warranty Deed

Subdivision / Tract: Porter Creek Estates / Lot Size: 21,780

Land Use: Sfr

Year Built / Eff: 1982 / Rec. Date / Price: 02/27/2024 / $348,000 Living Area: 1,859

Document #: 2393

Total Tax Value: $374,319

#7   2338 Fir Dr Lakeside Az 85929

# of units:

Bedrooms:

Bath(F/H): /

Owner Name: Peabody Joshua T / APN / Alternate APN: 212-54-122 / Deed Type: Warranty Deed

Subdivision / Tract: Blue Spruce Estates / Lot Size: 12,632

Land Use: Sfr

Year Built / Eff: 1984 / Rec. Date / Price: 02/09/2024 / $345,000 Living Area: 1,536

Document #: 1653

Total Tax Value: $304,512

#8   3957 Porter Creek Ln Lakeside Az 85929

# of units:

Bedrooms: Pool:

Bath(F/H): /

Owner Name: Foshee Sandra L / APN / Alternate APN: 212-12-029 / Deed Type: Warranty Deed

Subdivision / Tract: Porter Creek Estates / Lot Size: 22,651

Land Use: Sfr

Year Built / Eff: 1986 / Rec. Date / Price: 08/14/2024 / $315,000 Living Area: 1,862

Document #: 11173

Total Tax Value: $282,776

#9   5086 Blue Spruce Ln Lakeside Az 85929

Bedrooms:

Bath(F/H): /

Owner Name: Cook D & E Living Trust / APN / Alternate APN: 212-54-156 / Deed Type: Warranty Deed

Subdivision / Tract: Blue Spruce Estates / Lot Size: 12,197

# of units:

Pool:

Land Use: Sfr

Year Built / Eff: 1976 / Rec. Date / Price: 06/05/2024 / $449,900 Living Area: 1,824

Document #: 7433

Total Tax Value: $311,978

#10   1988 Juniper Dr Lakeside Az 85929

Bedrooms:

Bath(F/H): /

Owner Name: Weight Sheldon R /Weight Mary M

APN / Alternate APN: 212-12-077A / Deed Type: Warranty Deed

Subdivision / Tract: Porter Creek Estates / Lot Size: 51,401

# of units:

Pool:

Land Use: Sfr

Year Built / Eff: 1974 / Rec. Date / Price: 03/13/2024 / $240,000 Living Area: 1,656

Document #: 3345

Total Tax Value: $335,810

Bedrooms:

Bath(F/H): /

# of units:

Pool:

Name : Jeremiah Stiffler Customer Company Name : First American Prepared On : 12/16/2024

#11   5138 Mountain Gate Cir Lakeside Az 85929

Owner Name: Sloan Shelley J /Stillwell Paul C

APN / Alternate APN: 212-69-049 / Deed Type: Warranty Deed

Subdivision / Tract: Mountain Gate 01 / Lot Size: 12,632

Rec. Date / Price: 08/29/2024 / $678,600 Living Area: 1,867

Document #: 12073

Total Tax Value: $517,574

Bedrooms:

Bath(F/H): /

#12   5160 Mountain Gate Cir Lakeside Az 85929

Owner Name: Eshelman Donald L Jr /Eshelman Darla A

APN / Alternate APN: 212-69-050 / Deed Type: Warranty Deed

Subdivision / Tract: Mountain Gate 01 / Lot Size: 12,197

Rec. Date / Price: 04/03/2024 / $530,000 Living Area: 1,671

Document #: 4273

Total Tax Value: $479,182

#13   1685 Happy Trails Ln Lakeside Az 85929

Land Use: Sfr

Year Built / Eff: 2020 /

# of units:

Pool:

Land Use: Sfr

Year Built / Eff: 2005 /

# of units:

Bedrooms: Pool:

Bath(F/H): /

Owner Name: Custis James E /Custis Tammy A

APN / Alternate APN: 212-19-060A / Deed Type: Warranty Deed

Subdivision / Tract: / Lot Size: 21,344

Land Use: Sfr

Year Built / Eff: 1985 / Rec. Date / Price: 07/30/2024 / $500,000 Living Area: 1,874

Document #: 10338

Total Tax Value: $362,069

Bedrooms:

Bath(F/H): /

#14   5112 Mogollon Rim Dr Lakeside Az 85929

Owner Name: Smith Monique /Smith Ryan

APN / Alternate APN: 212-49-119 / Deed Type: Joint Tenancy Deed

Subdivision / Tract: Mogollon Rim Estates / Lot Size: 14,810

Rec. Date / Price: 09/09/2024 / $550,000 Living Area: 1,980

Document #: 12493

Total Tax Value: $422,551

#15   1535 Oxen Lakeside Az 85929

Bedrooms:

Bath(F/H): /

Owner Name: Reisner Walter /Reisner Rochelle

APN / Alternate APN: 212-45-027D / Deed Type: Warranty Deed

Subdivision / Tract: / Lot Size: 20,909

Rec. Date / Price: 09/20/2024 / $495,000 Living Area: 1,566

Document #: 13165

Total Tax Value: $441,545

#16   5276 Live Oak Dr Lakeside Az 85929

Bedrooms:

Bath(F/H): /

Owner Name: Bartels-coombs /Bartels Douglas A

APN / Alternate APN: 212-49-128 / Deed Type: Warranty Deed

Subdivision / Tract: Mogollon Rim Estates / Lot Size: 15,682

Rec. Date / Price: 01/03/2024 / $585,000 Living Area: 1,824

Document #: 90

Total Tax Value: $385,437

Bedrooms:

Bath(F/H): /

# of units:

Pool:

Land Use: Sfr

Year Built / Eff: 1991 /

# of units:

Pool:

Land Use: Sfr

Year Built / Eff: 2004 /

# of units:

Pool:

Land Use: Sfr

Year Built / Eff: 1996 /

# of units:

Pool:

Customer Name : Jeremiah Stiffler

Customer Company Name : First American Prepared On : 12/16/2024

#17   1425 Hand Cart Trl # 115 Lakeside Az 85929

Owner Name: Newell George / APN / Alternate APN: 212-45-052D / Deed Type: Warranty Deed

Subdivision / Tract: / Lot Size: 20,909

Land Use: Sfr

Year Built / Eff: 1999 / Rec. Date / Price: 11/04/2024 / $525,000 Living Area: 1,717

Document #: 15755

Total Tax Value: $383,157

#18   1402 Ox Bow Dr Lakeside Az 85929

Bedrooms: Pool:

Bath(F/H): /

Owner Name: Covington Triston / APN / Alternate APN: 212-45-062F / Deed Type: Warranty Deed

Subdivision / Tract: / Lot Size: 21,780

Land Use: Sfr

Year Built / Eff: 2021 / Rec. Date / Price: 11/12/2024 / $490,000 Living Area: 1,536 # of

Document #: 16127

Total Tax Value: $406,517 Bath(F/H): /

3860 W COYOTE DR

Owner Name : Sommers Kristina Sale Price  : $1,050,000

Sale Date : 09/15/2021

Total Value : $132,137

Tax : $309.06

Acres : 2.81

Land Use : Vacant Mobile Home APN : 212-15-017B

Recording Date  : 09/29/2021

3550 W COYOTE DR

Owner Name : Flerchinger Ellen

Recording Date : 03/31/2021

Sale Date : 02/25/2021 Sale Price  : $687,000

Total Value : $787,432

Land Use : Sfr

Stories : 2

Tax : $2,986.88

Acres : 5.73

Area : 2,255 Yr Blt / Eff Yr Blt : 2000 /

3670 N DYSTERHEFT TRL

Owner Name : Murphy Devin

212-15-011B

Recording Date : 10/06/2006

Sale Date : 10/03/2006 Sale Price  : $414,000

Total Value : $525,286

Land Use : Sfr

1

Blt / Eff Yr Blt : 2002 /

Tax : $2,247

2.87

1,807

212-15-018A 3851 W COYOTE DR Distance 0.1 Miles

Owner Name : Friend Vance W

Tax : $2,097.34 Total Value : $349,382

Acres : 5.67

Land Use : Sfr

Area : 384 Stories : 2

212-15-002D Yr Blt / Eff Yr Blt  : 2022 / 3460 W COYOTE DR

Owner Name : Dodd Chelsea D (te)

Price  : $90,000 Sale Date : 05/18/2021

Tax : $278.02 Total Value : $110,269

Acres : 1.44

Land Use : Residential Acreage APN : 212-15-011C

Recording Date  : 05/25/2021

0.12 Miles

Name : Jeremiah Stiffler Customer Company Name : First American Prepared On : 12/16/2024

Owner Name : Heygirl Llc

Sale Date : 03/30/2023

Recording Date : 04/05/2023

Price  : $778,500 Total Value : $610,143

$3,024.24 Land Use : Sfr

1.00

Owner Name : Liljenquist Recording Date : 08/10/2018

Date : 07/09/2018

Value : $773,480

Price  : $494,000

$3,310.86

Owner Name : Ashcraft Chad T Recording Date : 12/07/2016 Sale Date : 10/26/2016

Value : $490,571

Price  : $217,000

$1,677.62

2.76 Stories : 1

Owner Name : Tervet Frederick W

Date : 09/02/2021

Value : $110,269

Land Use : Residential Acreage

Recording Date  : 09/10/2021

$278.02

Acres : 1.44

212-15-011D

Census Tract / block: 9613.00 / 3     Year: 2020

Arizona Schools

PIMA COUNTY

PARCEL:  212-15-017C

SEARCH PARAMETERS

PARCEL: 212-15-017C 8 INSTRUMENT REC DATE

OWNER: SOMMERS KRISTINA  AFFIDAVIT    2021 22100 09/29/2021

SITUS: 3800 W COYOTE DR LAKESIDE

MAIL: 21962 E DIANA WAY

LEGAL: SECTION 15, T9N, R22E: COMM S 1/16 COR SEC 15; TH N0*4'58 W 17.62'; TH N89*43'58 W 1418.44 TPOB; TH N89*43'13 W 307.78'; TH N0*5'13 W 422.97'; TH N89*59'26 E 307.78'; TH S0*5'10 E 424.59' TPOB; OUT OF 212-15-017 FOR2004ROLL.

INFORMATION THROUGH 12/02/2024

10350 11212 11900 14900 15728

We are providing the requested information without CC&Rs.

Unfortunately, we are unable to confirm CC&Rs at this time, possibly because:

 The property is too complex to obtain CC&Rs without a complete title examination

 The property is sectional, whereas there are no “standard” subdivision‐type restrictions

 A recorded plat may not exist

 The recorded plat may be older, with limited information available, or

 Recorded CC&Rs may not exist.

Once escrow is opened, the property will be thoroughly examined. CC&Rs and other matters that may “run with the land” will be disclosed in Schedule B of the Commitment for Title Insurance.

If you have questions, or need additional information at this time, please contact your First American Account Manager or Escrow Officer.

Turn static files into dynamic content formats.

Create a flipbook
Issuu converts static files into: digital portfolios, online yearbooks, online catalogs, digital photo albums and more. Sign up and create your flipbook.
listing kit w ccrs - Navajo - 212-15-017C by PropertyResearchAZ - Issuu