WIRE FRAUD ALERT THINK DIFFERENTLY
Email-based, real estate fraud schemes are on the rise. One common scenario is altering wiring instructions with the intention of rerouting funds.
Keeping this in mind, First American Title is changing the way we receive payment information. It is imperative that we are familiar with the people in our transactions.
RELYING ON EMAIL ALONE IS NO LONGER AN OPTION.
Fraudsters often use email to send falsified wire instructions to unsuspecting victims. Please warn your buyers and sellers to only follow wire instructions they receive personally from First American Title.
Additionally, we will not accept disbursement instructions for seller or buyer funds via email OR from any third party (attorney, real estate agent, etc).
ALTERNATIVE INSTRUCTIONS?
If your buyer or seller receives alternative wiring instructions that appear to be from First American Title, make sure they contact their escrow officer at a trusted phone number for confirmation.
Know that our wiring instructions do not change so any communication is suspect. Our banking institution is First American Trust.
IN SHORT – wire instructions will not be accepted by email. New wire instructions must be hand-carried or uploaded to the First American Secure Portal.
Thank you for joining First American Title in fostering a secure real estate transaction process. Have questions or concerns? Please contact our office or your escrow officer.
LIMITATION OF LIABILITY FOR INFORMATIONAL REPORTS
IMPORTANT -- PLEASE READ CAREFULLY:
This report is not an insured product or service or a representation of the condition of title to real property. It is not an abstract, legal opinion, opinion of title, title insurance commitment or preliminary report, or any form of Title Insurance or Guaranty. This report is issued exclusively for the benefit of the Applicant therefor and may not be used or relied upon by any other person. This report may not be reproduced in any manner without First Americans prior written consent. First American does not represent or warrant that the information herein is complete or free from error, and the information herein is provided without any warranties of any kind, as-is, and with all faults. As a material part of the consideration given in exchange for the issuance of this report, recipient agrees that First Americans sole liability for any loss or damage caused by an error or omission due to inaccurate information or negligence in preparing this report shall be limited to the fee charged for the report. Recipient accepts this report with this limitation and agrees that First American would not have issued this report but for the limitation of liability described above. First American makes no representation or warranty as to the legality or propriety of recipient's use of the information herein.

Disclaimer
This REiSource report is provided "as is" without warranty of any kind, either express or implied, including without limitations any warrantees of merchantability or fitness for a particular purpose. There is no representation of warranty that this information is complete or free from error, and the provider does not assume, and expressly disclaims, any liability to any person or entity for loss or damage caused by errors or omissions in this REiSource report without a title insurance policy.
The information contained in the REiSource report is delivered from your Title Company, who reminds you that you have the right as a consumer to compare fees and serviced levels for Title, Escrow, and all other services associated with property ownership, and to select providers accordingly. Your home is the largest investment you will make in your lifetime and you should demand the very best.
Subject Property : AZ
Owner Information
Owner Name : Rezaimalek Allahar
Mailing Address : 3125 N Fontana Ave, Tucson AZ 85705-3970 C038
Location Information
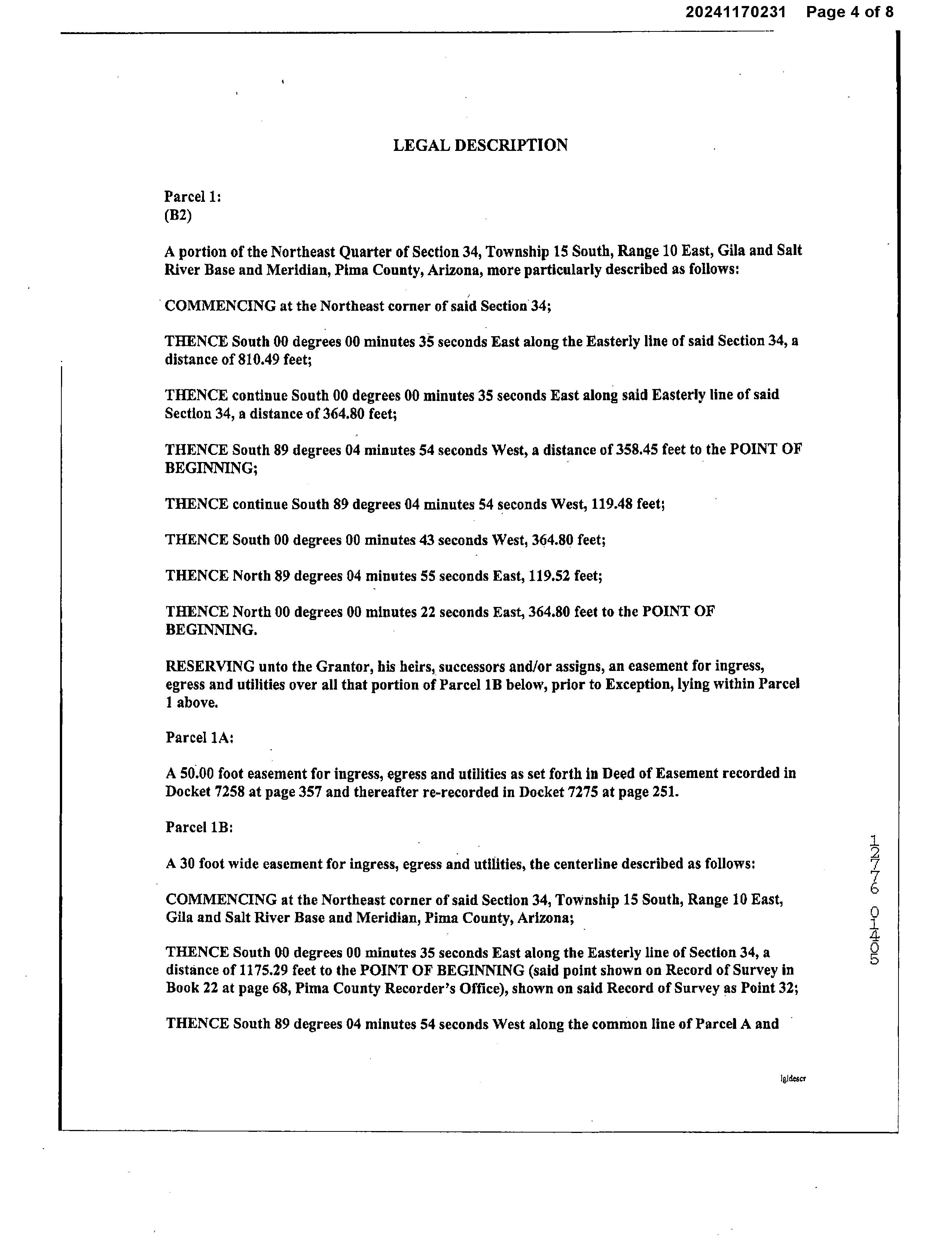
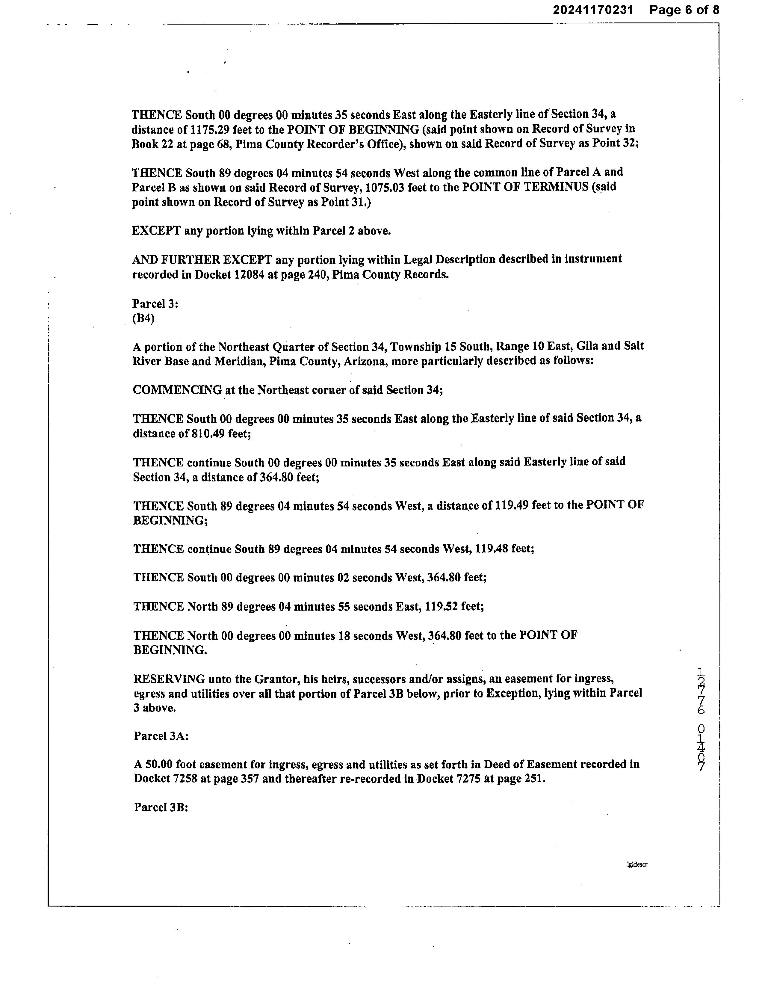
Legal Description : W119.52' E358.54' S364.80' N1540.09' Ne4 1 Ac Sec 34-15-10
County : Pima, Az
Township-Range- Sect : 15S-10E-34
Market Area : 312
APN : 208-64-0240
Owner Transfer Information
Recording/Sale Date : 04/26/2024 / 04/26/2024
Document # : 1170231
Last Market Sale Information
Recording/Sale Date : 08/30/2005 / 08/00/2005
Sale Price : $50,000
Title Company : Title Security Inc
Seller Name : Ota Of Cci Inc
Property Information
Use : Vac-res-rural Non Subd
Map Reference : 34-15S-10E
School District : Altar Valley
Munic/Township : Altar Valley
Deed Type : Warranty Deed
Document # : 1691173
Deed Type : Warranty Deed
Use : Vac-res-rural Non Subd Tax Information
Value : $6,250
Assessed Year : 2023
Assessed Year : 2025
Land
$938 Tax Year : 2023
Details of Comparables
Subject Property: Az
Owner Name: Rezaimalek Allahar / APN / Alternate APN: 208-64-0240 / Deed Type: Warranty Deed
Subdivision / Tract: / Lot Size: 43,560
Rec. Date / Price: 08/30/2005 / $50,000 Living Area:
Document #: 1691173
Total Tax Value: $6,250
#1 9434 S Vicki Dr Tucson Az 85736
Land Use: Residential Lot
Year Built / Eff: /
Bedrooms:
Bath(F/H): /
Owner Name: Eje Construction Llc / APN / Alternate APN: 208-56-0200 / Deed Type: Warranty Deed
Subdivision / Tract: Westway Homesites / Lot Size: 10,812
Rec. Date / Price: 08/14/2024 / $50,000 Living Area:
Document #: 2270388 Bedrooms:
Total Tax Value: $8,000
#2 9444 S Vicki Dr Tucson Az 85736
Land Use: Residential Lot
Year Built / Eff: /
Bath(F/H): /
Owner Name: Eje Construction Llc / APN / Alternate APN: 208-56-0190 / Deed Type: Warranty Deed
Subdivision / Tract: Westway Homesites / Lot Size: 11,512
Rec. Date / Price: 08/14/2024 / $50,000 Living Area:
Document #: 2270388
Total Tax Value: $8,000
Bedrooms:
Bath(F/H): /
#3 16375 W Sweet Jonquil Ct Tucson Az 85735
Owner Name: Diaz Erika I /Munoz Jose F
APN / Alternate APN: 208-63-016A / Deed Type: Warranty Deed
Subdivision / Tract: / Lot Size: 42,689
Land Use: Residential Lot
Year Built / Eff: /
# of units:
Pool:
Land Use: Residential Lot
Year Built / Eff: / Rec. Date / Price: 02/23/2024 / $26,500 Living Area:
Document #: 540250
Total Tax Value: $5,880
Bedrooms:
Bath(F/H): /
# of units:
Pool:
No street map for selected property.
9155 S SILVER STAR DR
Owner Name : Jenkins Robert W
Price : $34,000 Sale Date : 08/03/2004
Total Value : $22,000
Land Use : Residential Lot
Recording Date : 08/11/2004 9167 S SILVER STAR DR
Owner Name : Dobson Clifford Lloyd
Tax : $227.58
Acres : 1.00
208-64-0220
Recording Date : 09/15/2005 Sale Date : 09/01/2005
$27,422
$32,900
$287.10
Land Use : Mobile Home Lot Acres : 0.87 Stories : 1 APN : 208-64-0280 Yr Blt / Eff Yr Blt : 2005 / 2005
9175 S SILVER STAR DR
Owner Name : Mc Pherson Colin
Sale Date : 07/00/2005
Recording Date : 09/01/2005
: $32,900 Total Value : $28,422
Tax : $276.17
Land Use : Mobile Home Lot Acres : 1.00
Stories : 1 APN : 208-64-0270
Yr Blt / Eff Yr Blt : 2005 / 2005
9145 S SILVER STAR DR Distance 0.07 Miles
Owner Name : Zimmerman Josiah Sale Price : $12,000
Sale Date : 08/09/2019
Total Value : $22,000
Land Use : Residential Lot
Recording Date : 08/21/2019
Tax : $227.58
1.00
208-64-0210
Owner Name : Zimmerman Josiah
Sale Date : 06/20/2018
Recording Date : 07/02/2018
Price : $123,000 Total Value : $65,352
$797.22 Land Use : Mobile Home
0.87 Stories : 1
Blt / Eff Yr Blt : 2005 / 2005
Owner Name : Bonkowski Garry Recording Date : 05/10/2006 Sale Date : 04/00/2006
Value : $27,422
Use : Mobile Home
1
Blt / Eff Yr Blt : 2008 / 2008
Price : $33,300
Tax : $299.31
Census Tract / block: Year: 2020