Skip to main content

208 64 015A digital listing kit

Page 1


APN: 208-64-015A

WIRE FRAUD ALERT THINK DIFFERENTLY

Email-based, real estate fraud schemes are on the rise. One common scenario is altering wiring instructions with the intention of rerouting funds.

Keeping this in mind, First American Title is changing the way we receive payment information. It is imperative that we are familiar with the people in our transactions.

RELYING ON EMAIL ALONE IS NO LONGER AN OPTION.

Fraudsters often use email to send falsified wire instructions to unsuspecting victims. Please warn your buyers and sellers to only follow wire instructions they receive personally from First American Title.

Additionally, we will not accept disbursement instructions for seller or buyer funds via email OR from any third party (attorney, real estate agent, etc).

ALTERNATIVE INSTRUCTIONS?

If your buyer or seller receives alternative wiring instructions that appear to be from First American Title, make sure they contact their escrow officer at a trusted phone number for confirmation.

Know that our wiring instructions do not change so any communication is suspect. Our banking institution is First American Trust.

IN SHORT – wire instructions will not be accepted by email. New wire instructions must be hand-carried or uploaded to the First American Secure Portal.

Thank you for joining First American Title in fostering a secure real estate transaction process. Have questions or concerns? Please contact our office or your escrow officer.

LIMITATION OF LIABILITY FOR INFORMATIONAL REPORTS

IMPORTANT -- PLEASE READ CAREFULLY:

This report is not an insured product or service or a representation of the condition of title to real property. It is not an abstract, legal opinion, opinion of title, title insurance commitment or preliminary report, or any form of Title Insurance or Guaranty. This report is issued exclusively for the benefit of the Applicant therefor and may not be used or relied upon by any other person. This report may not be reproduced in any manner without First Americans prior written consent. First American does not represent or warrant that the information herein is complete or free from error, and the information herein is provided without any warranties of any kind, as-is, and with all faults. As a material part of the consideration given in exchange for the issuance of this report, recipient agrees that First Americans sole liability for any loss or damage caused by an error or omission due to inaccurate information or negligence in preparing this report shall be limited to the fee charged for the report. Recipient accepts this report with this limitation and agrees that First American would not have issued this report but for the limitation of liability described above. First American makes no representation or warranty as to the legality or propriety of recipient's use of the information herein.

Disclaimer

This REiSource report is provided "as is" without warranty of any kind, either express or implied, including without limitations any warrantees of merchantability or fitness for a particular purpose. There is no representation of warranty that this information is complete or free from error, and the provider does not assume, and expressly disclaims, any liability to any person or entity for loss or damage caused by errors or omissions in this REiSource report without a title insurance policy.

The information contained in the REiSource report is delivered from your Title Company, who reminds you that you have the right as a consumer to compare fees and serviced levels for Title, Escrow, and all other services associated with property ownership, and to select providers accordingly. Your home is the largest investment you will make in your lifetime and you should demand the very best.

Subject

Property :    AZ

Owner Information

Owner Name : Landon Linda L

Mailing Address : 1465 W Prestwick Dr, Green Valley AZ 85622-5634 C058

Vesting Codes : Unmarried Woman / /

Location Information

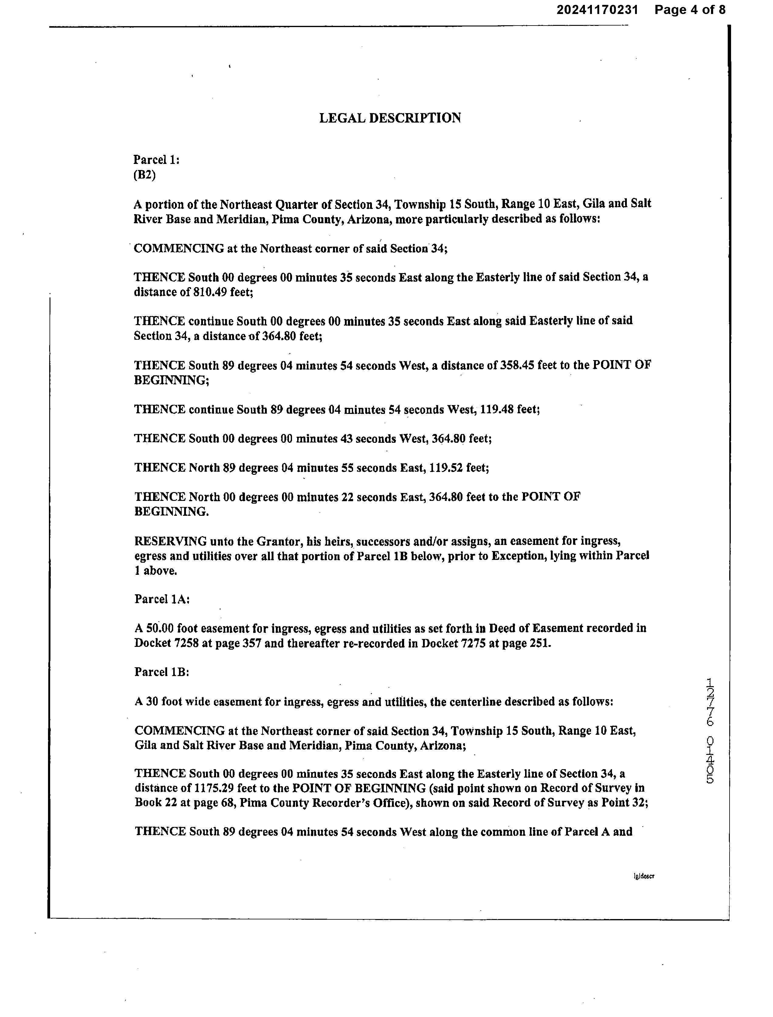
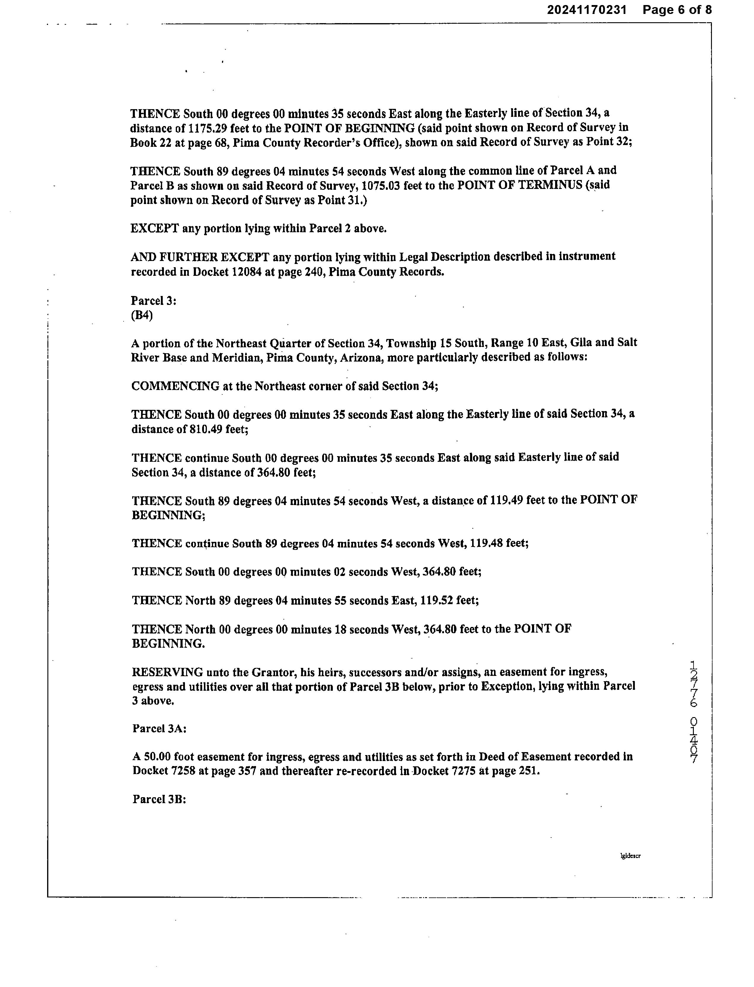
Legal Description : S364.80' N1175.29' E597' Ne4 5 Ac Sec 34-15-10

County : Pima, Az

Township-Range- Sect : 15S-10E-34

Market Area : 312

APN : 208-64-015A

Owner Transfer Information

Recording/Sale Date : 07/26/2005 / 07/18/2005

Document # : 12602-1825

Property Information

Tax Information

Map Reference : 34-15S-10E

School District : Altar Valley

Munic/Township : Altar Valley

Deed Type : Warranty Deed

Details of Comparables

Subject Property:  Az

Owner Name: Landon Linda L / APN / Alternate APN: 208-64-015A / Deed Type:

Subdivision / Tract: / Lot Size: 217,800

Rec. Date / Price: / $ Living Area:

Document #:

Total Tax Value: $41,000

#1   8328 S Howling Coyote Trl Tucson Az 85735

Land Use: Residential Acreage

Year Built / Eff: /

/

Owner Name: Pinedo Miguel A A / APN / Alternate APN: 208-58-005D / Deed Type: Warranty Deed

Subdivision / Tract: / Lot Size: 217,800

Rec. Date / Price: 03/15/2024 / $35,900 Living Area:

Document #: 750349

Total Tax Value: $33,000

Land Use: Residential Acreage

Year Built / Eff: /

/

No street map for selected property.

Owner Name : Urquidez Nydia

Date : 09/00/1985

Price  : $20,000

Tax : $504.61 Total Value : $34,000

Acres : 3.00 Land Use : Mobile Home

Blt / Eff Yr Blt  : 2022 / 2022

Owner Name : Peterson Stevan A

Date : 05/27/2011

Value : $60,800

Use : Mobile Home

1

Blt / Eff Yr Blt : 1990 / 1990

Owner Name : Jenkins Robert W

Date : 08/03/2004

$22,000

Use : Residential Lot

208-64-006A

Date : 06/14/2011

Price  : $55,000

$727.44

Acres : 1.00

Area : 1,568

208-64-0220 Recording Date  : 08/11/2004

Owner Name : Becerril Rachel N

Value : $25,832

Date : 08/28/2000

Tax : $267.98 Land Use : Mobile Home

Acres : 1.00

1 APN : 208-64-005D

Blt / Eff Yr Blt  : 1993 / 1993

9145 S SILVER STAR DR

Owner Name : Zimmerman Josiah

Date : 08/09/2019

Value : $22,000

Land Use : Residential Lot

Recording Date  : 08/21/2019

Price  : $12,000

1.00

208-64-0210

Census Tract / block:      Year: 2020

Arizona Schools

PIMA COUNTY

SEARCH PARAMETERS

PARCEL:  208-64-015A

PARCEL: 208-64-015A

OWNER: LANDON LINDA L     12602 1825 07/26/2005  MAIL: 990 BORDEN VILLA DR  SANTA ROSA CA 95401-4447

LEGAL: S364.80' N1175.29' E597' NE4 5 AC SEC 34-15-10

CURRENT TAXES

END SEARCH

Turn static files into dynamic content formats.

Create a flipbook