2036 E Julian Dr

Page 1


Subject Property

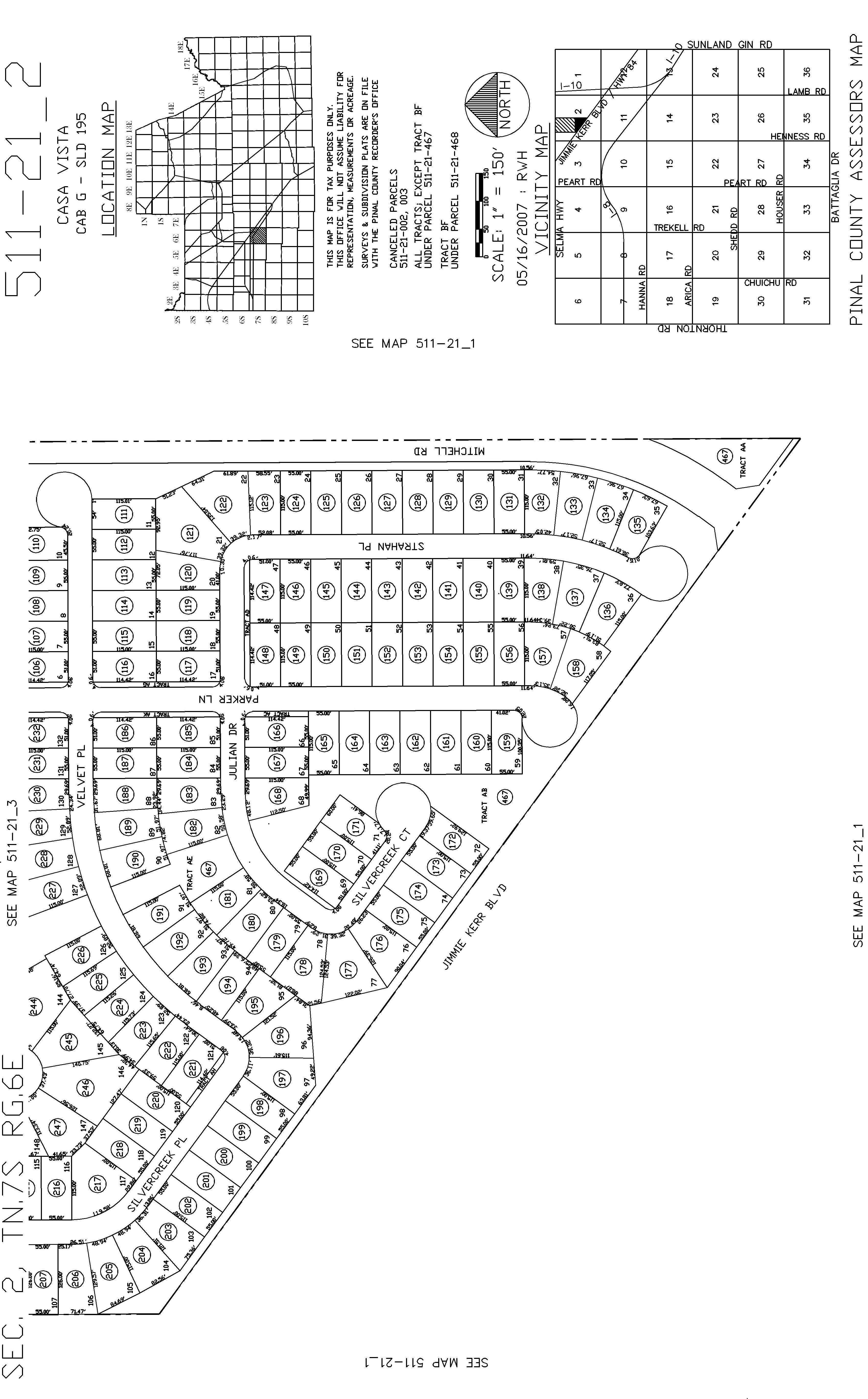
2036 E Julian Dr Casa Grande AZ 85122 APN: 511-21-177

WIRE FRAUD ALERT THINK DIFFERENTLY

Email-based, real estate fraud schemes are on the rise. One common scenario is altering wiring instructions with the intention of rerouting funds.

Keeping this in mind, First American Title is changing the way we receive payment information. It is imperative that we are familiar with the people in our transactions.

RELYING ON EMAIL ALONE IS NO LONGER AN OPTION.

Fraudsters often use email to send falsified wire instructions to unsuspecting victims. Please warn your buyers and sellers to only follow wire instructions they receive personally from First American Title.

Additionally, we will not accept disbursement instructions for seller or buyer funds via email OR from any third party (attorney, real estate agent, etc).

ALTERNATIVE INSTRUCTIONS?

If your buyer or seller receives alternative wiring instructions that appear to be from First American Title, make sure they contact their escrow officer at a trusted phone number for confirmation.

Know that our wiring instructions do not change so any communication is suspect. Our banking institution is First American Trust.

IN SHORT – wire instructions will not be accepted by email. New wire instructions must be hand-carried or uploaded to the First American Secure Portal.

Thank you for joining First American Title in fostering a secure real estate transaction process. Have questions or concerns? Please contact our office or your escrow officer.

LIMITATION OF LIABILITY FOR INFORMATIONAL REPORTS

IMPORTANT -- PLEASE READ CAREFULLY:

This report is not an insured product or service or a representation of the condition of title to real property. It is not an abstract, legal opinion, opinion of title, title insurance commitment or preliminary report, or any form of Title Insurance or Guaranty. This report is issued exclusively for the benefit of the Applicant therefor and may not be used or relied upon by any other person. This report may not be reproduced in any manner without First Americans prior written consent. First American does not represent or warrant that the information herein is complete or free from error, and the information herein is provided without any warranties of any kind, as-is, and with all faults. As a material part of the consideration given in exchange for the issuance of this report, recipient agrees that First Americans sole liability for any loss or damage caused by an error or omission due to inaccurate information or negligence in preparing this report shall be limited to the fee charged for the report. Recipient accepts this report with this limitation and agrees that First American would not have issued this report but for the limitation of liability described above. First American makes no representation or warranty as to the legality or propriety of recipient's use of the information herein.

Disclaimer

This REiSource report is provided "as is" without warranty of any kind, either express or implied, including without limitations any warrantees of merchantability or fitness for a particular purpose. There is no representation of warranty that this information is complete or free from error, and the provider does not assume, and expressly disclaims, any liability to any person or entity for loss or damage caused by errors or omissions in this REiSource report without a title insurance policy.

The information contained in the REiSource report is delivered from your Title Company, who reminds you that you have the right as a consumer to compare fees and serviced levels for Title, Escrow, and all other services associated with property ownership, and to select providers accordingly. Your home is the largest investment you will make in your lifetime and you should demand the very best.

Subject Property :   2036 E Julian Dr Casa Grande AZ 85122

Owner Information

Owner Name : Riashi Jessica Danielle

Mailing Address : 2036 E Julian Dr, Casa Grande AZ 85122-6832 R090

Owner Occupied Indicator : O

Location Information

Legal Description : Lot 077 Casa Vista In Sec 02-07s-06e Cab G Sld 195 9414 Sq Ft .22ac

County : Pinal, Az

Census Tract / Block : 14.07 / 2

Township-Range- Sect : 07S-06E-02

Legal Lot : 77

Last Market Sale Information

Recording/Sale Date : 12/27/2021 / 12/20/2021

Sale Price : $345,990

Document # : 163081

APN : 511-21-177

Subdivision : Casa Vista

Map Reference : 0207S06E

1st Mtg Document # : 163082

1st Mtg Term : 30

Price Per SqFt : $184.23

Deed Type : Special Warranty Deed 2nd Mtg Amount/Type : $6,794 / Conv

1st Mtg Amount/Type : $339,722 / Fha

Title Company : First American Title

Seller Name : Wjh Sales Of Arizona Llc

Property Characteristics

Gross Area : 2,297

Living Area : 1,878

Above Grade : 1878

Parking Type : Attached Garage

Garage Area : 419

Roof Material : Concrete Tile

Cooling Type : Central

Exterior wall : Plaster

Air Cond : Central

Year Built / Eff : 2021 Construction : Steel/wood Quality : Average

# of Stories : 1

Property Information

Land Use : Sfr

Lot Acres : 0.22

Heat Type : Central

Lot Size : 9,583

State Use : Single Fam Resurban Subd

Customer Name : Kariann Keomaka

Customer Company Name : First American Title Insurance Company Prepared On : 08/16/2024

Details of Comparables

Subject Property: 2036 E Julian Dr Casa Grande Az 85122

Owner Name: Riashi Jessica Danielle / APN / Alternate APN: 511-21-177 / Deed Type: Special Warranty Deed

Subdivision / Tract: Casa Vista / Lot Size: 9,583

Rec. Date / Price: 12/27/2021 / $345,990 Living Area: 1,878

Document #: 163081

Total Tax Value: $247,026

#1   2044 E Julian Dr Casa Grande Az 85122

Land Use: Sfr

Year Built / Eff: 2021 /

# of units:

Bedrooms: Pool:

Bath(F/H): /

Owner Name: Figueroa Marta /Figueroa Nelson

APN / Alternate APN: 511-21-181 / Deed Type: Warranty Deed

Subdivision / Tract: Casa Vista / Lot Size: 7,405

Rec. Date / Price: 12/08/2023 / $294,900 Living Area: 1,785

Document #: 89069

Total Tax Value: $235,755

#2   828 S Parker Pl Casa Grande Az 85122

Owner Name: Summit Living Spv I Llc /

Land Use: Sfr

Year Built / Eff: 2021 /

# of units:

Bedrooms:

Bath(F/H): /

APN / Alternate APN: 511-21-155 / Deed Type: Warranty Deed

Subdivision / Tract: Casa Vista / Lot Size: 6,534

Rec. Date / Price: 02/16/2024 / $290,000 Living Area: 1,620

Document #: 11380

Total Tax Value: $214,306

Land Use: Sfr

Year Built / Eff: 2021 /

# of units:

Bedrooms: Pool:

Bath(F/H): /

#3   767 S La Mesa Ct Casa Grande Az 85122

Owner Name: Hockaday Shawntella Hope /Geoffrey Glen

APN / Alternate APN: 511-21-247 / Deed Type: Special Warranty Deed

Subdivision / Tract: Casa Vista / Lot Size: 9,148

Land Use: Sfr

Year Built / Eff: 2022 / Rec. Date / Price: 08/30/2023 / $305,000 Living Area: 1,720

Document #: 64213

Total Tax Value: $6,200

# of units:

Bedrooms: Pool:

Bath(F/H): /

#4   759 S La Mesa Ct Casa Grande Az 85122

Owner Name: Angell Kayne / APN / Alternate APN: 511-21-249 / Deed Type: Special Warranty Deed

Subdivision / Tract: Casa Vista / Lot Size: 6,970

Land Use: Sfr

Year Built / Eff: 2022 / Rec. Date / Price: 08/29/2023 / $322,000 Living Area: 1,874

Document #: 63852

Total Tax Value: $6,200

# of units:

Bedrooms: Pool:

Bath(F/H): /

#5   2020 E Escondido Pl Casa Grande Az 85122

Owner Name: Lugo Jesus Nestor / APN / Alternate APN: 511-21-253 / Deed Type: Special Warranty Deed Land Use: Sfr

Subdivision / Tract: Casa Vista / Lot Size: 6,534

Year Built / Eff: 2022 / Rec. Date / Price: 08/30/2023 / $321,000 Living Area: 1,720

Document #: 64383

Total Tax Value: $6,200

# of units:

Bedrooms: Pool:

Bath(F/H): /

#6   2057 E Escondido Pl Casa Grande Az 85122

Owner Name: Clovis & Stacie Trust / APN / Alternate APN: 511-21-235 / Deed Type: Special Warranty Deed Land Use: Sfr

Subdivision / Tract: Casa Vista / Lot Size: 6,534

Year Built / Eff: 2023 / Rec. Date / Price: 09/21/2023 / $355,635 Living Area: 1,720

Document #: 70121

Total Tax Value: $6,200

# of units:

Bedrooms:

Bath(F/H): /

#7   2036 E Escondido Pl Casa Grande Az 85122

Owner Name: Robinson Robin / APN / Alternate APN: 511-21-257 / Deed Type: Special Warranty Deed

Subdivision / Tract: Casa Vista / Lot Size: 6,970

Land Use: Sfr

Year Built / Eff: 2022 / Rec. Date / Price: 08/31/2023 / $336,520 Living Area: 1,874

Document #: 65075

Total Tax Value: $6,200

# of units:

Bedrooms: Pool:

Bath(F/H): /

#8   2083 E Escondido Pl Casa Grande Az 85122

Owner Name: Hernandez Irene Michelle / APN / Alternate APN: 511-21-103 / Deed Type: Special Warranty Deed

Subdivision / Tract: Casa Vista / Lot Size: 6,534

Land Use: Sfr

Year Built / Eff: 2022 / Rec. Date / Price: 09/28/2023 / $336,995 Living Area: 1,874

Document #: 71991

Total Tax Value: $6,200

Bedrooms:

Bath(F/H): /

#9   2056 E Escondido Pl Casa Grande Az 85122

Owner Name: Magee Angelique J / APN / Alternate APN: 511-21-260 / Deed Type: Special Warranty Deed

Subdivision / Tract: Casa Vista / Lot Size: 6,970

# of units:

Pool:

Land Use: Sfr

Year Built / Eff: 2022 / Rec. Date / Price: 12/20/2023 / $318,000 Living Area: 1,720

Document #: 91889

Total Tax Value: $6,200

Bedrooms:

Bath(F/H): /

#10   2064 E Escondido Pl Casa Grande Az 85122

Owner Name: Zaragoza Adriana /Garcia Francisco Antonio Zarag

APN / Alternate APN: 511-21-262 / Deed Type: Special Warranty Deed

Subdivision / Tract: Casa Vista / Lot Size: 6,534

# of units:

Pool:

Land Use: Sfr

Year Built / Eff: 2023 / Rec. Date / Price: 09/25/2023 / $332,000 Living Area: 1,874

Document #: 70984

Total Tax Value: $6,200

# of units:

Bedrooms: Pool:

Bath(F/H): /

#11   2010 E Wetleaf Pl Casa Grande Az 85122

Owner Name: Wilson Chelsea /Wilson Christopher L

APN / Alternate APN: 511-21-291 / Deed Type: Warranty Deed

Subdivision / Tract: Casa Vista / Lot Size: 9,148

Land Use: Sfr

Year Built / Eff: 2022 / Rec. Date / Price: 04/12/2024 / $366,500 Living Area: 2,076

Document #: 26729

Total Tax Value: $6,200

Bedrooms:

Bath(F/H): /

#12   2088 E Escondido Pl Casa Grande Az 85122

Owner Name: Acosta Juan M C /Olivas Flor V A

APN / Alternate APN: 511-21-267 / Deed Type: Special Warranty Deed

Subdivision / Tract: Casa Vista / Lot Size: 6,534

Rec. Date / Price: 12/05/2023 / $328,995 Living Area: 1,874

Document #: 88069

Total Tax Value: $6,200

# of units:

Pool:

Land Use: Sfr

Year Built / Eff: 2022 /

# of units:

Bedrooms: Pool:

Bath(F/H): /

#13   2086 E Brooklyn Dr Casa Grande Az 85122

Owner Name: Mendez Living Trust / APN / Alternate APN: 511-21-308 / Deed Type: Special Warranty Deed

Subdivision / Tract: Casa Vista / Lot Size: 13,068

Land Use: Sfr

Year Built / Eff: 2021 / Rec. Date / Price: 07/24/2024 / $479,000 Living Area: 1,823

Document #: 55694

Total Tax Value: $272,334

#14   670 S Parker Ln Casa Grande Az 85122

# of units:

Bedrooms: Pool:

Bath(F/H): /

Owner Name: Atkins R G & R M Trust / APN / Alternate APN: 511-21-365 / Deed Type: Special Warranty Deed

Subdivision / Tract: Casa Vista / Lot Size: 8,276

Land Use: Sfr

Year Built / Eff: 2023 / Rec. Date / Price: 11/22/2023 / $373,000 Living Area: 1,877

Document #: 85532

Total Tax Value: $6,200

Bedrooms:

Bath(F/H): /

#15   661 S Davidson Ln Casa Grande Az 85122

Owner Name: Deshaw Gary Jean /Deshaw Rosemarie

APN / Alternate APN: 511-21-418 / Deed Type: Special Warranty Deed

Subdivision / Tract: Casa Vista / Lot Size: 8,276

# of units:

Pool:

Land Use: Sfr

Year Built / Eff: 2023 / Rec. Date / Price: 08/30/2023 / $394,995 Living Area: 1,823

Document #: 64198

Total Tax Value: $6,200

# of units:

Bedrooms: Pool:

Bath(F/H): /

#16   662 S Davidson Ln Casa Grande Az 85122

Owner Name: Praest Bryan Patrick / APN / Alternate APN: 511-21-359 / Deed Type: Special Warranty Deed

Subdivision / Tract: Casa Vista / Lot Size: 8,276

Land Use: Sfr

Year Built / Eff: 2023 / Rec. Date / Price: 08/21/2023 / $375,000 Living Area: 1,811

Document #: 61559

Total Tax Value: $6,200

# of units:

Bedrooms: Pool:

Bath(F/H): /

#17   655 S Davidson Ln Casa Grande Az 85122

Owner Name: Hunter William Andrew /Hunter Natalie Wanda

APN / Alternate APN: 511-21-417 / Deed Type: Special Warranty Deed Land Use: Sfr

Subdivision / Tract: Casa Vista / Lot Size: 8,276

Year Built / Eff: 2022 / Rec. Date / Price: 08/28/2023 / $399,995 Living Area: 1,823

Document #: 63462

Total Tax Value: $6,200

#18   657 S Lamar Pl Casa Grande Az 85122

Owner Name: Steele Dallis J T /

# of units:

Bedrooms:

Bath(F/H): /

APN / Alternate APN: 511-21-424 / Deed Type: Special Warranty Deed Land Use: Sfr

Subdivision / Tract: Casa Vista / Lot Size: 8,276

Year Built / Eff: 2022 / Rec. Date / Price: 11/20/2023 / $356,995 Living Area: 1,874

Document #: 84868

Total Tax Value: $6,200

#19   653 S Lamar Pl Casa Grande Az 85122

Bedrooms:

Bath(F/H): /

Owner Name: Ortiz Bonny / APN / Alternate APN: 511-21-425 / Deed Type: Special Warranty Deed Land Use: Sfr

Subdivision / Tract: Casa Vista / Lot Size: 8,276

Year Built / Eff: 2022 / Rec. Date / Price: 12/04/2023 / $340,000 Living Area: 2,049

Document #: 87775

Total Tax Value: $6,200

Bedrooms:

Bath(F/H): /

#20   2044 E Prairie Dog Dr Casa Grande Az 85122

# of units:

Pool:

Owner Name: Chol Titchan / APN / Alternate APN: 511-21-385 / Deed Type: Special Warranty Deed Land Use: Sfr

Subdivision / Tract: Casa Vista / Lot Size: 8,276

Year Built / Eff: 2022 / Rec. Date / Price: 12/28/2023 / $355,000 Living Area: 1,877

Document #: 93517

Total Tax Value: $6,200

Bedrooms:

Bath(F/H): /

# of units:

Pool:

Owner Name : Kapur Romir

Sale Date : 01/27/2022

Total Value : $196,095

Land Use : Sfr

Stories : 1

Subdivision  : Casa Vista

Owner Name : Dang Qui N

Sale Date : 12/20/2021

Recording Date : 01/31/2022

Price  : $350,000

Tax : $1,375.52

Acres : 0.18

Recording Date : 01/03/2022

Price  : $330,990 Total Value : $236,496

Land Use : Sfr

Tax : $2,054.16

Acres : 0.20 Stories : 1

Owner Name : Ace Investments Ii Llc

Sale Date : 01/07/2022

Recording Date : 01/12/2022

Price  : $385,000 Total Value : $235,755

Land Use : Sfr

Tax : $2,041.22

Acres : 0.15

Stories : 1 Living Area : 1,785

Yr Blt / Eff Yr Blt : 2021 / APN : 511-21-175

Subdivision  : Casa Vista

2040 E JULIAN DR

Owner Name : Pham Howard Hao

Recording Date : 01/12/2022

Sale Date : 12/21/2021 Sale Price  : $304,990

Total Value : $212,064

Land Use : Sfr

Tax : $1,837.74

Acres : 0.15

Stories : 1 Living Area : 1,545

Yr Blt / Eff Yr Blt : 2021 / APN : 511-21-179

Subdivision  : Casa Vista Customer Name : Kariann Keomaka Customer Company Name : First American Title Insurance Company Prepared On : 08/16/2024

819 S SILVERCREEK CT

Owner Name : Cai Bin

Recording Date : 12/22/2021

Sale Date : 12/20/2021 Sale Price  : $315,000

Total Value : $219,174

Tax : $1,898.80

Land Use : Sfr Lot Acres : 0.15

Stories : 1

Area : 1,620 Yr Blt / Eff Yr Blt : 2021 / APN : 511-21-174

Subdivision  : Casa Vista 812 S

Owner Name : Gohil Rakeshkumar

Recording Date : 11/23/2021

Sale Date : 07/13/2021 Sale Price  : $322,490

Total Value : $218,852

Land Use : Sfr

Stories : 1

Tax : $1,896.04

Acres : 0.15

Area : 1,620 Yr Blt / Eff Yr Blt : 2021 / APN : 511-21-169

Subdivision  : Casa Vista

Owner Name : Dang Qui N

Recording Date : 02/28/2022

Sale Date : 02/10/2022 Sale Price  : $331,990

Total Value : $244,987

Tax : $2,129.66

Land Use : Sfr Lot Acres : 0.22

Stories : 1 Living Area : 1,878

Yr Blt / Eff Yr Blt : 2021 / APN : 511-21-196

Subdivision  : Casa Vista

Owner Name : Kosasih Nelly

Recording Date : 02/28/2022

Sale Date : 01/26/2022 Sale Price  : $313,990

Total Value : $214,177

Tax : $1,859.14

Land Use : Sfr Lot Acres : 0.17

Stories : 1 Living Area : 1,545

Yr Blt / Eff Yr Blt : 2021 / APN : 511-21-195

Subdivision  : Casa Vista Customer Name : Kariann Keomaka Customer Company Name : First American Title Insurance Company Prepared On : 08/16/2024

816 S SILVERCREEK CT

Owner Name : Shahid Wagas

Recording Date : 12/29/2021

Sale Date : 12/22/2021 Sale Price  : $327,490

Total Value : $243,100

Tax : $1,940.60

Land Use : Sfr Lot Acres : 0.15

Stories : 1

Area : 1,878

Yr Blt / Eff Yr Blt : 2021 / APN : 511-21-170

Subdivision  : Casa Vista

2042 E JULIAN DR

Owner Name : Genaro Aaron

Recording Date : 01/04/2022

Sale Date : 12/21/2021 Sale Price  : $300,990 Total Value : $194,066

Tax : $1,684.88

Land Use : Sfr Lot Acres : 0.16

Stories : 1

Area : 1,372

Yr Blt / Eff Yr Blt : 2021 / APN : 511-21-180

Subdivision  : Casa Vista

Census Tract / block: 14.07 / 2     Year: 2020

Arizona Schools

SEARCH PARAMETERS

PARCEL:  511-21-1770

PARCEL: 511-21-1770 9

OWNER: RIASHI JESSICA  AFFIDAVIT    2021 163081 12/27/2021

SITUS: 2036 E JULIAN DR CASA GRANDE

MAIL: 619 S SAN MARCOS CT

LEGAL: LOT 077 CASA VISTA IN SEC 02-07S-06E CAB G SLD 195 9414 SQ FT .22AC

CURRENT TAXES INFORMATION THROUGH 08/15/2024

11900 14613 14900 15625 16601

01/21/2009    2009 5733 SW LAND FUND E LLC

END SEARCH

Turn static files into dynamic content formats.

Create a flipbook
Issuu converts static files into: digital portfolios, online yearbooks, online catalogs, digital photo albums and more. Sign up and create your flipbook.