17070 W Silverbell Rd

Page 1

Subject Property

17070 W Silverbell Rd

Marana AZ 85653

APN: 208-12-0300

Data Provided By:

First American Title Ins Co

© 2024 CoreLogic. All rights reserved

Title Security Agency is officially becoming First American Title. Despite the name change, you can expect the same excellent service and familiar faces at your closings.

Our partnership with First American Title brings you the best of both worlds:

LOCAL EXPERTISE AND FORTUNE 500 RESOURCES.

Same great team

Same local knowledge

Same convenient locations

Same great service

Fortune® 500 company

Multicultural materials

Economic team, market data, and trends

Leading technology in a changing market

Our industry is navigating a challenging market. Our alignment with a seasoned industry leader, with over 130 years of experience, provides valuable resources and expert guidance as we adapt.

Thank you for your continued trust in us!

We truly appreciate your business and look forward to seeing you at the closing table soon.

THE BEST OF BOTH WORLDS

24-DID-0071-F1_CP-AZL_01
NEWS! FIRST AMERICAN - SOUTHERN ARIZONA ADMIN OFFICE 520.885.1600 tsa-administration@firstam.com First American Title Insurance Company, and the operating divisions thereof, make no express or implied warranty respecting the information presented and assume no responsibility for errors or omissions. First American, the eagle logo, First American Title, and firstam.com are registered trademarks or trademarks of First American Financial Corporation and/or its affiliates. ©2024 First American Financial Corporation and/or its affiliates. All rights reserved. NYSE: FAF
EXCITING

WIRE FRAUD ALERT THINK DIFFERENTLY

Email-based, real estate fraud schemes are on the rise. One common scenario is altering wiring instructions with the intention of rerouting funds.

Keeping this in mind, First American Title is changing the way we receive payment information. It is imperative that we are familiar with the people in our transactions.

RELYING ON EMAIL

ALONE

IS NO LONGER AN OPTION.

YOU SHOULD BE AWARE OF PRECAUTIONS IN THE REAL ESTATE CLOSING PROCESS

DO NOT TRUST EMAILED INSTRUCTIONS

Fraudsters often use email to send falsified wire instructions to unsuspecting victims. Please warn your buyers and sellers to only follow wire instructions they receive personally from First American Title.

Additionally, we will not accept disbursement instructions for seller or buyer funds via email OR from any third party (attorney, real estate agent, etc).

ALTERNATIVE INSTRUCTIONS?

If your buyer or seller receives alternative wiring instructions that appear to be from First American Title, make sure they contact their escrow officer at a trusted phone number for confirmation.

Know that our wiring instructions do not change so any communication is suspect. Our banking institution is First American Trust.

IN SHORT – wire instructions will not be accepted by email. New wire instructions must be hand-carried or uploaded to the First American Secure Portal.

Thank you for joining First American Title in fostering a secure real estate transaction process. Have questions or concerns? Please contact our office or your escrow officer.

For more information please contact your First American representative. www.firstam.com

01100180621
First American Title Insurance Company, and the operating divisions thereof, make no express or implied warranty respecting the information presented and assume no responsibility for errors or omissions. First American, the eagle logo, First American Title, and firstam.com are registered trademarks or trademarks of First American Financial Corporation and/or its affiliates. ©2023 First American Financial Corporation and/or its affiliates. All rights reserved. NYSE: FAF

LIMITATION OF LIABILITY FOR INFORMATIONAL REPORTS

IMPORTANT -- PLEASE READ CAREFULLY:

This report is not an insured product or service or a representation of the condition of title to real property. It is not an abstract, legal opinion, opinion of title, title insurance commitment or preliminary report, or any form of Title Insurance or Guaranty. This report is issued exclusively for the benefit of the Applicant therefor and may not be used or relied upon by any other person. This report may not be reproduced in any manner without First Americans prior written consent. First American does not represent or warrant that the information herein is complete or free from error, and the information herein is provided without any warranties of any kind, as-is, and with all faults. As a material part of the consideration given in exchange for the issuance of this report, recipient agrees that First Americans sole liability for any loss or damage caused by an error or omission due to inaccurate information or negligence in preparing this report shall be limited to the fee charged for the report. Recipient accepts this report with this limitation and agrees that First American would not have issued this report but for the limitation of liability described above. First American makes no representation or warranty as to the legality or propriety of recipient's use of the information herein.

Data Provided By:

Disclaimer

This REiSource report is provided "as is" without warranty of any kind, either express or implied, including without limitations any warrantees of merchantability or fitness for a particular purpose. There is no representation of warranty that this information is complete or free from error, and the provider does not assume, and expressly disclaims, any liability to any person or entity for loss or damage caused by errors or omissions in this REiSource report without a title insurance policy.

The information contained in the REiSource report is delivered from your Title Company, who reminds you that you have the right as a consumer to compare fees and serviced levels for Title, Escrow, and all other services associated with property ownership, and to select providers accordingly. Your home is the largest investment you will make in your lifetime and you should demand the very best.

First
American Title Ins Co
© 2024 CoreLogic. All rights reserved

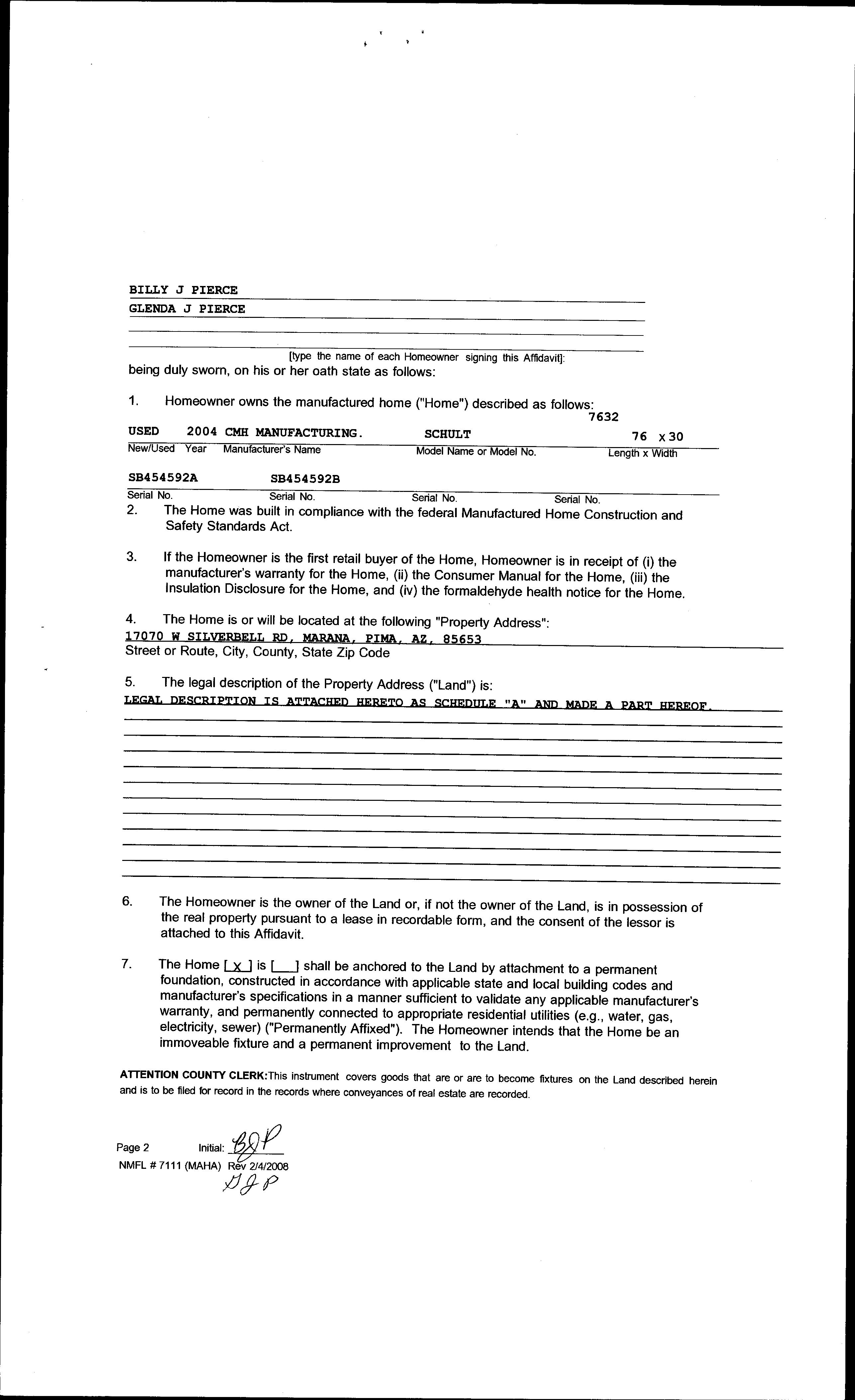
Subject Property :   17070 W Silverbell Rd Marana AZ 85653

Owner Information

Owner Name : Pierce Glenda J

Mailing Address : 17070 W Silverbell Rd, Marana AZ 85653-9721 H003

Owner Occupied Indicator : O

Location Information

Legal Description : Cntrl Ptn Nely 783.73' Nwly 260.09' N & Adj Silverbell Rd Se4 Sw4 4.13 Ac Avid 4.13

Ac Sec 16-11-10

County : Pima, Az APN : 208-12-0300

Census Tract / Block : 44.19 / 2 Map Reference : 16-11S-10E

Township-Range- Sect : 11S-10E-16

School District : Marana

Market Area : 410 Munic/Township : Marana

Owner Transfer Information

Recording/Sale Date : 01/14/2005 / 01/00/2005

Deed Type : Joint Tenancy Deed

Sale Price : $30,000 1st Mtg Document # : 12469-7445

Document # : 12469-7439

Last Market Sale Information

Recording/Sale Date : 08/14/1996

Document # : 11712-3345

Seller Name : Owner Record

Property Characteristics

Gross Area : 2,280

Living Area : 2,280

Property Information

Deed Type : Deed (reg)

Year Built / Eff : 2006 / 2006 Parking Type : Carport

# of Stories : 1

Land Use : Mobile Home Zoning : RH

County Use : Mh Non Subd Lot-affixed Mf Hm

Lot Acres : 4.13

Construction : Steel/wood

Lot Size : 179,903

State Use : Mh Non Subd Lot-affixed Mf Hm

Customer Name : Kariann Keomaka Customer Company Name : First American Title Insurance Company Prepared On : 02/28/2024 © 2024 CoreLogic. All rights reserved

Tax Information

Total Value : $105,552 Property Tax : $1,427.63

Total Taxable Value : $9,693 Tax Rate Area : 0604

Assessed Year : 2023

Tax Year : 2023

Market Value : $105,552

Current Assessed Year : 2024

Current Year Total Value : $11,369

Current Year Improvement Value :

$6,669

Current Year Land Value : $4,700

Customer Name : Kariann Keomaka Customer Company Name : First American Title Insurance Company Prepared On : 02/28/2024 © 2024 CoreLogic. All rights reserved
No comparables data for selected property. Customer Name : Kariann Keomaka Customer Company Name : First American Title Insurance Company Prepared On : 02/28/2024 © 2024 CoreLogic. All rights reserved
Subject Property :   17070 W Silverbell Rd Marana AZ 85653 Customer Name : Kariann Keomaka Customer Company Name : First American Title Insurance Company Prepared On : 02/28/2024 © 2024 CoreLogic. All rights reserved
Customer Name : Kariann Keomaka Customer Company Name : First American Title Insurance Company Prepared On : 02/28/2024 © 2024 CoreLogic. All rights reserved

17050 W SILVERBELL RD Distance 0.05 Miles

Owner Name : Jensen Lola E Trust

Sale Date : 11/00/2004

Total Value : $142,010

Land Use : Mobile Home

Stories : 1

Yr Blt / Eff Yr Blt : 2006 / 2006

Recording Date : 11/09/2004

Sale Price  : $30,000

Property Tax : $1,967.84

Lot Acres : 4.06

Living Area : 2,772

APN : 208-12-031A

17090 W SILVERBELL RD Distance 0.06 Miles

Owner Name : De Leon Domingo

Sale Date : 03/15/2007

Total Value : $134,912

Land Use : Mobile Home

Recording Date : 03/16/2007

Sale Price  : $168,100

Property Tax : $1,301.10

Lot Acres : 4.70

Stories : 1 Living Area : 600

Yr Blt / Eff Yr Blt : 1998 / 1998

APN : 208-12-0290

17010 W SILVERBELL RD Distance 0.08 Miles

Owner Name : Murphy Michael D

Sale Date : 10/16/2014

Total Value : $104,677

Land Use : Mobile Home

Stories : 1

Yr Blt / Eff Yr Blt : 2006 / 2006

Recording Date : 12/31/2014

Sale Price  : $79,900

Property Tax : $1,028.12

Lot Acres : 4.13

Living Area : 2,280

APN : 208-12-031B

17051 W SILVERBELL RD Distance 0.11 Miles

Owner Name : Ostrom Donald E

Sale Date : 05/01/2009

Total Value : $150,128

Land Use : Mobile Home

Recording Date : 07/21/2009

Sale Price  : $206,000

Property Tax : $2,072.10

Lot Acres : 4.28

Stories : 1 Living Area : 2,772

Yr Blt / Eff Yr Blt : 1999 / 1999

APN : 208-12-0330

Customer Name : Kariann Keomaka Customer Company Name : First American Title Insurance Company Prepared On : 02/28/2024 © 2024 CoreLogic. All rights reserved

16990 W SILVERBELL RD Distance 0.12 Miles

Owner Name : Murphy Michael D

Sale Date : 07/00/1996

Recording Date : 08/14/1996

Sale Price  : $35,000

Total Value : $69,428 Property Tax : $640.52

Land Use : Mobile Home

Stories : 1

Yr Blt / Eff Yr Blt : 1987 / 1987

Lot Acres : 4.13

Living Area : 1,960

APN : 208-12-0320

17150 W SILVERBELL RD Distance 0.14 Miles

Owner Name : Peters Timothy S

Sale Date : 10/18/2005

Total Value : $289,322

Bed / Bath : / 2

Land Use : Sfr

Stories : 1

Yr Blt / Eff Yr Blt  : 2017 /

Recording Date : 10/26/2005

Sale Price  : $49,900

Property Tax : $2,797.49

Lot Acres : 4.14

Living Area : 2,562

APN : 208-12-0270

17151 W SILVERBELL RD Distance 0.14 Miles

Owner Name : Scaramuzzo Gary

Sale Date : 08/10/2005

Total Value : $137,387

Land Use : Mobile Home

Stories : 1

Yr Blt / Eff Yr Blt : 1997 / 1997

17015 W SILVERBELL RD

Owner Name : Neptune Spear Farm Llc

Total Value : $52,000

Land Use : Residential Acreage

Recording Date : 08/17/2005

Sale Price  : $180,000

Property Tax : $1,886.11

Lot Acres : 4.40

Living Area : 2,576

APN : 208-12-0340

Distance 0.19 Miles

Property Tax : $944.67

Lot Acres : 13.00

APN : 208-13-005C

Customer Name : Kariann Keomaka Customer Company Name : First American Title Insurance Company Prepared On : 02/28/2024 © 2024 CoreLogic. All rights reserved
Census Tract / block: 44.19 / 2     Year: 2020 Household Population Population by Age Count: 6,196 0 - 11 Estimate Current Year: 5,919 12 - 17 Estimate in 5 Years: 4,929 18 - 24 9.43% Growth Last 5 Years: 6.67% 25 - 64 51.76% Growth Last 10 Years: -194.57% 65 - 74 10.62% 75+ Household Size Household Income Current Year: 2,302 0 - $25,000 23.41% Average Current Year: 2.69 $25,000 - $35,000 10.86% Estimate in 5 Years: 2,117 $35,000 - $50,000 17.64% Growth Last 5 Years: -4.39% $50,000 - $75,000 16.68% Growth Last 10 Years: -9.44% $75,000 - $100,000 13.99% Male Population: 49.97% Above $100,000 17.42% Female Population: 50.03% Average Household Income: $48,281 Married People: 48.05% Unmarried People: 51.95% Housing Median Mortgage Payments Home Values Under $300: 9.23% Below $100,000: 39.21% $300 - $799: 36.92% $100,000 - $150,000: 25.61% $800 - $1,999: 50.68% $150,000 - $200,000: 16.38% Over $2,000: 3.17% $200,000 - $300,000: 6.94% Median Home Value: $123,500 $300,000 - $500,000: 8.19% Unit Occupied Owner: 79.54% Above $500,000: 3.66% Median Mortgage: $626 Customer Name : Kariann Keomaka Customer Company Name : First American Title Insurance Company Prepared On : 02/28/2024 © 2024 CoreLogic. All rights reserved
Rent Payments Year Built Unit Occupied Renter: 20.46% 1999 - 2000 Median Gross Rent: $805 1995 - 1998 Less Than $499 35.41% 1990 - 1994 $500 - $749 13.88% 1980 - 1989 10.69% $750 - $999 24.4% 1970 - 1979 17.1% $1000 and Over 26.32% 1900 - 1969 2.81% Education Enrollment Public Pre-Primary School: 0% Not Enrolled in School: 77.55% Private Pre-Primary School: 0.4% Not A High School Graduate: 10.82% Public School: 18.77% Graduate Of High School: 33.92% Private School: 3.68% Attended Some College: 34.23% Public College: 4.36% College Graduate: 16.95% Private College: 1.5% Graduate Degree: 4.08% Workforce Occupation: Manager/Prof: 18.88% Private Worker: 73.01% Technical: Government Worker: 16.9% Sales: 37.68% Self Employed Worker: 3.07% Administrative: Unpaid Family Worker: 3.91% Private House Hold: Farming: 7.7% Service: 23.76% Skilled: Protective Services: Blue-Collar: 19.69% Commute Time Less Than 15 Min: 14.9% 15 min - 28 min: 25.62% 30 min - 57 min: 54.57% Over 60 min: 4.91% Customer Name : Kariann Keomaka Customer Company Name : First American Title Insurance Company Prepared On : 02/28/2024 © 2024 CoreLogic. All rights reserved
Customer Name : Kariann Keomaka Customer Company Name : First American Title Insurance Company Prepared On : 02/28/2024 © 2024 CoreLogic. All rights reserved
Customer Name : Kariann Keomaka Customer Company Name : First American Title Insurance Company Prepared On : 02/28/2024 © 2024 CoreLogic. All rights reserved
Customer Name : Kariann Keomaka Customer Company Name : First American Title Insurance Company Prepared On : 02/28/2024 © 2024 CoreLogic. All rights reserved
Arizona Schools For detailed information and statistics on Arizona schools please go to https://azreportcards.azed.gov/ First American Title Insurance Company, and the operating divisions thereof, make no express or implied warranty respecting the information presented and assume no responsibility for errors or omissions. First American, the eagle logo, First American Title, and firstam.com are registered trademarks or trademarks of First American Financial Corporation and/or its affiliates. ©2021 First American Financial Corporation and/or its affiliates. All rights reserved. NYSE: FAF 05117910421

COUNTY

05249570321 TUCSON INT'L AIRPORT Air Force WSilverbellRd SSantaRitaRd N M t L emmon Hwy ESascoRd NF38 W Avra Valley Rd E Grand Va ey Dr NAguirre R d N L u c k e R d N W e n t z R d N Wa terman Mounta i n R d N Anway Rd W El Tiro Rd N Trico Rd W Tucker Rd W Rudas l Rd W Manvi e Rd SSanJoaquinRd WBopp Rd W Snyder H l Rd S M a r s e a r R d W Park Rd W Hermans Rd W Hermans Rd W Guy St W Bush Rd S G a v e y R d N C a e R i n c o n a d o S W m o R d S Shaw Rd S Sierrita Mountain Rd S K o b R d W TwinButtes Rd W Mcgee Ranch Rd S E s t a n c a D r EDesertDove E Hemlock Dr N Bea r C a n y o n R d W E Camino Del Cerro E Fairmount St S Swan Rd NFrontageRd W Emigh Rd W Fort Lowe Rd N P u m p S t a t ion dR E Nona Rd Ch efButteRd Lo al Ave N Trico Rd S Cattle Tank Rd Evalyn Rd SOwlHead R a n c h Rd GasLineRd S P ec a n R d N T r c o R d W Bayard Rd S S a n d a r o R d W i l l owSpri n gsRd N Dove Mountain Blvd SHelvetiaRd WAnamax Mine Rd W G a c i a R a n hc R d Road424 WRagged Top Rd W Ruby Star Dr WBritten RanchRd W Pima Mine Rd S Mcgee Ranch R d E Edw n Rd SGuildRd 8 0 NKINNEYRD S PICACHO HWY E BAUMGARTNER RD N S A N D A R I O R D N ANWAY RD W VALENCIA RD W MOORE RD W INA RD N 1 S T A V E E SUNRISE DR E SNYDER RD NSILVERBELLRD N S O L D I E R T R L E RIVER RD E PRINCE RD E SPEEDWAY BLVD S FREEMAN RD E 22ND ST E 22ND ST W IRVINGTON RD S N O G A L E S H W Y W VALENCIA RD SMISSIONRD W SPEEDWAY BLVD S O L D S P A N I S H T RL W NARANJA DR W TWIN PEAKS RD W PICTURE ROCKS RD W MANVILLE RD SKINNEYRD W MILE WIDE RD E SAHUARITA RD N TRICO RD S S A N D A R O R D PARK LINK DR S OLD N O G ALES HW Y S H O U G H T O N R D S L A C A N A D A DR W HELMET PEAK RD WAJOHWY N S W A N R D S KOLB RD S HOUGHTON RD W TANGERINE RD E GRANT RD S H O U G H T O N R D 9 5 WAJOHWY E VALENCIA RD NORACLE R D I10 I-19 77 77 77 86 86 286 10 19 10 10 Corona de Tucson Casas Adobes Catalina Green Valley Oracle Picture Rocks Three Points Vail Summit Tanque Verde Tucson Sahuarita Red Rock Saddlebrooke Marana Oro Valley Rillito Summerhaven Willow Canyon Oracle Junction Cortaro Continental Littletown 20 30 13 15 51 39 12 01 01 08 10 16 11 06
map is provided for general location only. Please contact school districts for actual street boundaries SCHOOL DISTRICTS 15 AJO UNIFIED 111 N. Well Road, Ajo, AZ 85321 520.387.5618 51 ALTAR VALLEY ELEMENTARY 10105 S. Sasabe Road, Tucson, AZ 85736 520.822.1484 10 AMPHITHEATER UNIFIED 701 W. Wetmore, Tucson, AZ 85705 520.696.5000 16 CATALINA FOOTHILS UNIFIED 2101 E. River Road, Tucson, AZ 85718 520.209.7500 39 CONTINENTAL ELEMENTARY 1991 E. Whitehouse Canyon, Green Valley, AZ 85614 520.625.4581 08 FLOWING WELLS UNIFIED 1556 W. Prince Road, Tucson, AZ 85705 520.696.8800 06 MARANA UNIFIED 11279 W. Grier Road, Marana, AZ 85653 520.682.3243 11 PIMA COUNTY JTED 2855 W. Master Pieces Dr, Tucson, AZ 85741 520.352.5833 30 SAHUARITA UNIFIED 350 W. Sahuarita Road, Sahuarita, AZ 85629 520.625.3502 12 SUNNYSIDE UNIFIED 2238 E. Ginter Road, Tucson, AZ 85706 520.545.2000 13 TANQUE VERDE UNIFIED 2300 N. Tanque Verde Loop, Tucson, AZ 85749 520.749.5751 01 TUCSON UNIFIED 1010 E. 10th Street, Tucson, AZ 85717 520.225.6000 20 VAIL UNIFIED 10701 E. Mary Ann Cleveland Way, Tucson, AZ 85747 520.879.2000 First American Title Insurance Company, and the operating divisions thereof, make no express or implied warranty respecting the information presented and assume no responsibility for errors or omissions. First American, the eagle logo, First American Title, and firstam.com are registered trademarks or trademarks of First American Financial Corporation and/or its affiliates. ©2021 First American Financial Corporation and/or its affiliates. All rights reserved. NYSE: FAF
PIMA
School District Information This

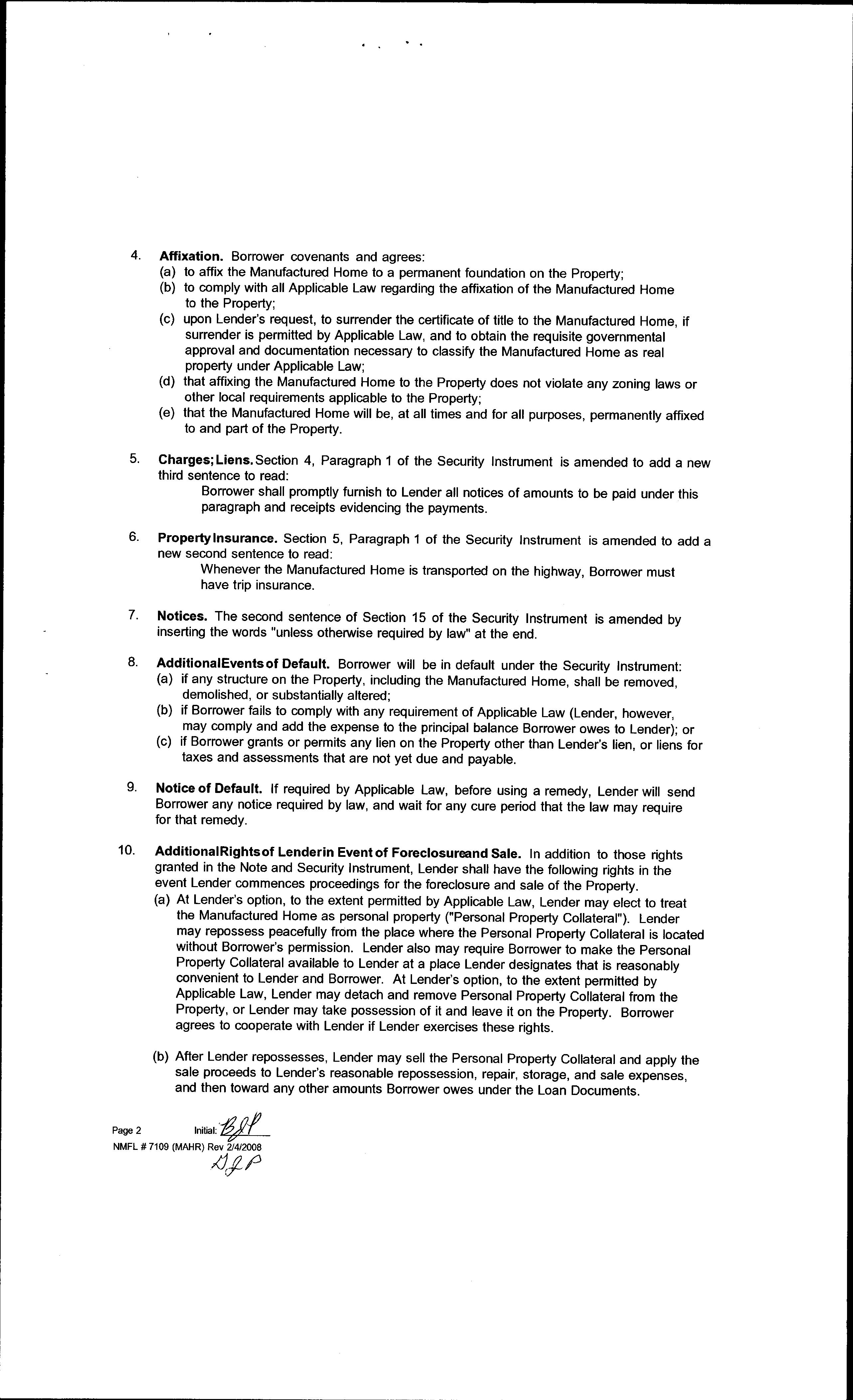
PARCEL:  208-12-0300

PARCEL: 208-12-0300

SEARCH PARAMETERS

INSTRUMENT REC DATE

OWNER: PIERCE BILLY J & GLENDA J JT/RS     12469 7439 01/14/2005

SITUS: 17070 W SILVERBELL RD PC

MAIL: 17070 W SILVERBELL RD  MARANA AZ 85653-9721

LEGAL: CNTRL PTN NELY 783.73' NWLY 260.09' N & ADJ SILVERBELL RD SE4 SW4 4.13 AC AVID 4.13 AC SEC 16-11-10

+ FIRST AMERICAN TITLE, FC0, KWAL PIMA, AZ 02/28/2024  09:27AM  Q7IJ  INVESTIGATIVE SEARCH RESULTS PAGE 1 OF 1
CURRENT TAXES
LAND IMPR EXEMPT RATE AREA SPECIAL DISTRICTS PRIMARY  9,693  0  0  8.7691  0604 SECONDARY  4,300  6,255  0  7.6141  2023 TOTAL TAX BILLED 1,427.63 2023  TAX AMT TAX DUE INTEREST DATE PAID TOTAL DUE FIRST HALF  713.82  0.00  0.00  10/18/2023  0.00  SECOND HALF  713.81  713.81  0.00  713.81  TOTAL CURRENT TAXES DUE 02/24 713.81 03/24 713.81 (ESTIMATED) IMPROVEMENTS MOBILE HOME  BLDG SQFT  0 FULL CASH VALUE  105,552 YEAR BUILT  2005 LAND USE  08 39 NUMBER OF STORIES  1.0 LOT SIZE  4.130 ACRES STORIES HEIGHT  0 SCHOOL DISTRICT  0604 EXTERIOR WALLS LAND FULL CASH VALUE  43,000 GRADE MATERIALS IMPR FULL CASH VALUE  62,552 SALES SALE DATE SALE AMOUNT INSTRUMENT TYPE SELLER NAME VALIDITY 01/14/2005 30,000    12469 7439 JD HILLIARD RON TRUSTEE ADDITIONAL PROPERTY INFORMATION STANDARD LAND USE: MOBILE HOME LOT END SEARCH
INFORMATION THROUGH 01/28/2024
Page 1 of 6 02/28/2024 10:32 AM
Page 2 of 6 02/28/2024 10:32 AM
Page 3 of 6 02/28/2024 10:32 AM
Page 4 of 6 02/28/2024 10:32 AM
Page 5 of 6 02/28/2024 10:32 AM
Page 6 of 6 02/28/2024 10:32 AM
Page 1 of 12 02/28/2024 10:32 AM
Page 2 of 12 02/28/2024 10:32 AM
Page 3 of 12 02/28/2024 10:32 AM
Page 4 of 12 02/28/2024 10:32 AM
Page 5 of 12 02/28/2024 10:32 AM
Page 6 of 12 02/28/2024 10:32 AM
Page 7 of 12 02/28/2024 10:32 AM
Page 8 of 12 02/28/2024 10:32 AM
Page 9 of 12 02/28/2024 10:32 AM
Page 10 of 12 02/28/2024 10:32 AM
Page 11 of 12 02/28/2024 10:32 AM
Page 12 of 12 02/28/2024 10:32 AM
Page 1 of 25 02/28/2024 10:32 AM
Page 2 of 25 02/28/2024 10:32 AM
Page 3 of 25 02/28/2024 10:32 AM
Page 4 of 25 02/28/2024 10:32 AM
Page 5 of 25 02/28/2024 10:32 AM
Page 6 of 25 02/28/2024 10:32 AM
Page 7 of 25 02/28/2024 10:32 AM
Page 8 of 25 02/28/2024 10:32 AM
Page 9 of 25 02/28/2024 10:32 AM
Page 10 of 25 02/28/2024 10:32 AM
Page 11 of 25 02/28/2024 10:32 AM
Page 12 of 25 02/28/2024 10:32 AM
Page 13 of 25 02/28/2024 10:32 AM
Page 14 of 25 02/28/2024 10:32 AM
Page 15 of 25 02/28/2024 10:32 AM
Page 16 of 25 02/28/2024 10:32 AM
Page 17 of 25 02/28/2024 10:32 AM
Page 18 of 25 02/28/2024 10:32 AM
Page 19 of 25 02/28/2024 10:32 AM
Page 20 of 25 02/28/2024 10:32 AM
Page 21 of 25 02/28/2024 10:32 AM
Page 22 of 25 02/28/2024 10:32 AM
Page 23 of 25 02/28/2024 10:32 AM
Page 24 of 25 02/28/2024 10:32 AM
Page 25 of 25 02/28/2024 10:32 AM
Page 1 of 8 02/28/2024 10:32 AM
Page 2 of 8 02/28/2024 10:32 AM
Page 3 of 8 02/28/2024 10:32 AM
Page 4 of 8 02/28/2024 10:32 AM
Page 5 of 8 02/28/2024 10:32 AM
Page 6 of 8 02/28/2024 10:32 AM
Page 7 of 8 02/28/2024 10:32 AM
Page 8 of 8 02/28/2024 10:32 AM
Page 1 of 6 02/28/2024 10:32 AM
Page 2 of 6 02/28/2024 10:32 AM
Page 3 of 6 02/28/2024 10:32 AM
Page 4 of 6 02/28/2024 10:32 AM
Page 5 of 6 02/28/2024 10:32 AM
Page 6 of 6 02/28/2024 10:32 AM
Page 1 of 4 02/28/2024 10:32 AM
Page 2 of 4 02/28/2024 10:32 AM
Page 3 of 4 02/28/2024 10:32 AM
Page 1 of 3 02/28/2024 10:32 AM
Page 2 of 3 02/28/2024 10:32 AM
Page 3 of 3 02/28/2024 10:32 AM

Turn static files into dynamic content formats.

Create a flipbook
Issuu converts static files into: digital portfolios, online yearbooks, online catalogs, digital photo albums and more. Sign up and create your flipbook.