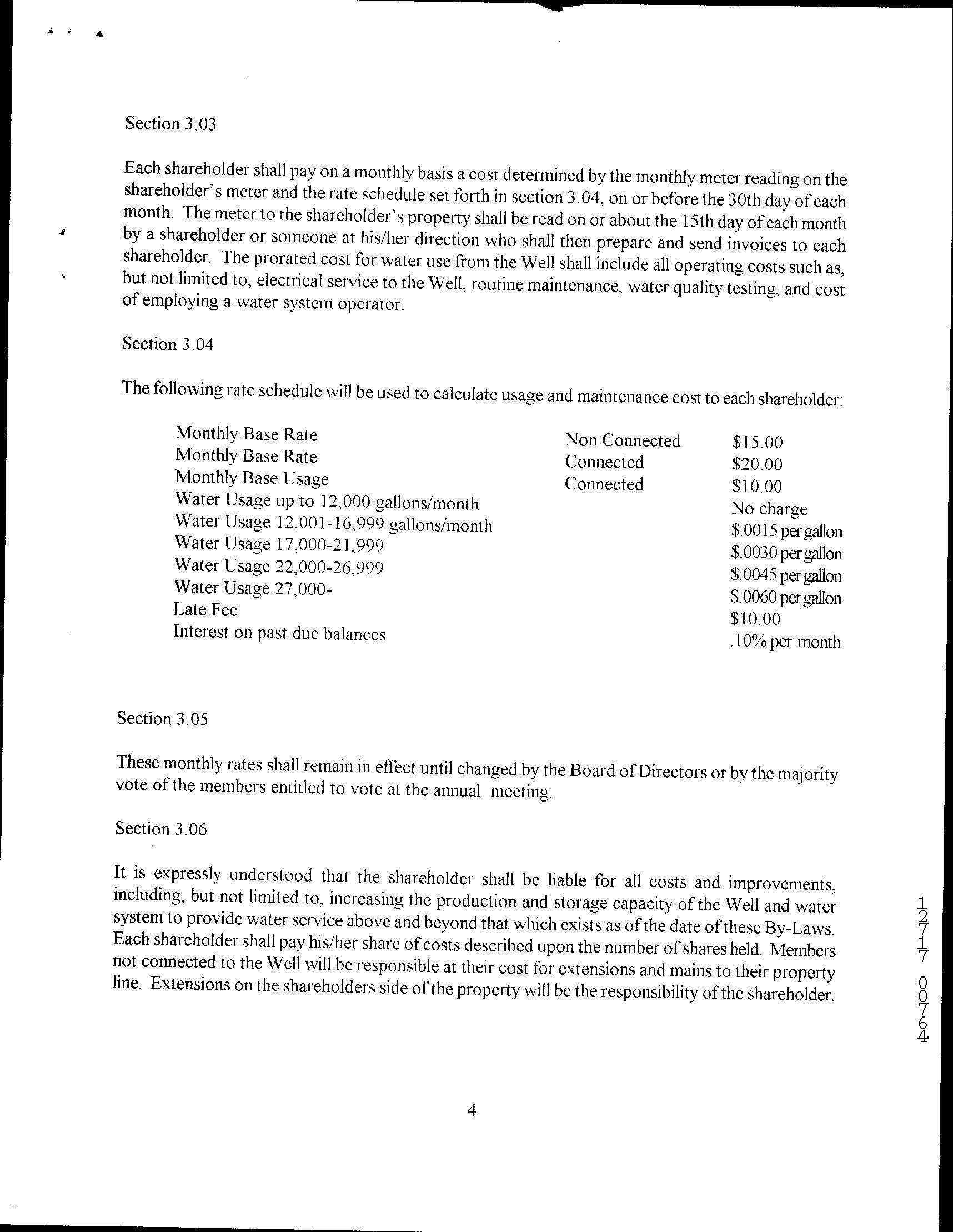
17065 S Copper Vision Trl

Page 1

Subject Property

17065 S Copper Vision Trl Vail AZ 85641 APN: 305-39-119B

Data Provided By: First American Title Ins Co

© 2024 CoreLogic. All rights reserved

WIRE FRAUD ALERT THINK DIFFERENTLY

Email-based, real estate fraud schemes are on the rise. One common scenario is altering wiring instructions with the intention of rerouting funds.

Keeping this in mind, First American Title is changing the way we receive payment information. It is imperative that we are familiar with the people in our transactions.

RELYING ON EMAIL ALONE IS NO LONGER AN OPTION.

Fraudsters often use email to send falsified wire instructions to unsuspecting victims. Please warn your buyers and sellers to only follow wire instructions they receive personally from First American Title.

Additionally, we will not accept disbursement instructions for seller or buyer funds via email OR from any third party (attorney, real estate agent, etc).

ALTERNATIVE INSTRUCTIONS?

If your buyer or seller receives alternative wiring instructions that appear to be from First American Title, make sure they contact their escrow officer at a trusted phone number for confirmation.

Know that our wiring instructions do not change so any communication is suspect. Our banking institution is First American Trust.

IN SHORT – wire instructions will not be accepted by email. New wire instructions must be hand-carried or uploaded to the First American Secure Portal.

Thank you for joining First American Title in fostering a secure real estate transaction process. Have questions or concerns? Please contact our office or your escrow officer.

01100180621
IN THE REAL ESTATE CLOSING PROCESS For more information please contact your First American representative. www.firstam.com First American Title Insurance Company, and the operating divisions thereof, make no express or implied warranty respecting the information presented and assume no responsibility for errors or omissions. First American, the eagle logo, First American Title, and firstam.com are registered trademarks or trademarks of First American Financial Corporation and/or its affiliates. ©2023 First American Financial Corporation and/or its affiliates. All rights reserved. NYSE: FAF
DO NOT TRUST EMAILED INSTRUCTIONS YOU SHOULD BE AWARE OF PRECAUTIONS

LIMITATION OF LIABILITY FOR INFORMATIONAL REPORTS

IMPORTANT -- PLEASE READ CAREFULLY:

This report is not an insured product or service or a representation of the condition of title to real property. It is not an abstract, legal opinion, opinion of title, title insurance commitment or preliminary report, or any form of Title Insurance or Guaranty. This report is issued exclusively for the benefit of the Applicant therefor and may not be used or relied upon by any other person. This report may not be reproduced in any manner without First Americans prior written consent. First American does not represent or warrant that the information herein is complete or free from error, and the information herein is provided without any warranties of any kind, as-is, and with all faults. As a material part of the consideration given in exchange for the issuance of this report, recipient agrees that First Americans sole liability for any loss or damage caused by an error or omission due to inaccurate information or negligence in preparing this report shall be limited to the fee charged for the report. Recipient accepts this report with this limitation and agrees that First American would not have issued this report but for the limitation of liability described above. First American makes no representation or warranty as to the legality or propriety of recipient's use of the information herein.

Disclaimer

This REiSource report is provided "as is" without warranty of any kind, either express or implied, including without limitations any warrantees of merchantability or fitness for a particular purpose. There is no representation of warranty that this information is complete or free from error, and the provider does not assume, and expressly disclaims, any liability to any person or entity for loss or damage caused by errors or omissions in this REiSource report without a title insurance policy.

The information contained in the REiSource report is delivered from your Title Company, who reminds you that you have the right as a consumer to compare fees and serviced levels for Title, Escrow, and all other services associated with property ownership, and to select providers accordingly. Your home is the largest investment you will make in your lifetime and you should demand the very best.

Data
First American Title Ins Co
Provided By:
© 2024 CoreLogic. All rights reserved

Subject Property :   17065 S Copper Vision Trl Vail AZ 85641

Owner Information

Owner Name : Lakeview Ln Servicing Llc

Foreclosure Status: REO

Mailing Address : 17065 S Copper Vision Trl, Vail AZ 85641-9514 R013

Vesting Codes : / / Corporation

Owner Occupied Indicator : O

Location Information

Legal Description : W264' Of S2 Se4 Ne4 Ne4 2.00 Ac Sec 21-17-16

County : Pima, Az APN : 305-39-119B

Census Tract / Block : 41.27 / 1

Township-Range- Sect : 17S-16E-21

Market Area : 611

Owner Transfer Information

Recording/Sale Date : 03/07/2024 / 02/28/2024

Sale Price : $242,970

Last Market Sale Information

Recording/Sale Date : 12/23/2020 / 12/21/2020

Map Reference : 21-17S-16E

School District : Vail

Munic/Township : Vail

Document # : 670151

Deed Type : Trustee's Deed (foreclosure)

1st Mtg Amount/Type : $246,944 / Fha

Sale Price : $251,500 1st Mtg Document # : 3580325

Document # : 3580324

Deed Type : Warranty Deed

Title Company : Catalina Title Agcy

Seller Name : Ehrlich Julie A

Prior Sale Information

Prior Rec/Sale Date : 07/31/2020 / 07/30/2020

Prior Sale Price : $142,000

Prior Doc Number : 2131142

Property Characteristics

Gross Area : 1,512

1st Mtg Term : 30

Price Per SqFt : $166.34

Prior Deed Type : Warranty Deed

Prior Lender : Vip Mtg

Prior 1st Mtg Amt/Type : $139,428 / Fha

Year Built / Eff : 1993 / 1993

Living Area : 1,512 # of Stories : 1

Parking Type : Garage

Construction : Steel/wood Customer Name : Kariann Keomaka Customer Company Name : First American Title

© 2024 CoreLogic. All rights reserved
Insurance Company Prepared On : 06/06/2024

Information

Use : Mh Non Subd Lot-affixed Mf Hm

Information

Use : Mh Non Subd Lot-affixed Mf Hm

Foreclosure Information

Foreclosure Stage : REO

Doc Type : TRUSTEE'S DEED (FORECLOSURE) Owner Name : Lakeview Ln Servicing Llc

REO Sale Date : 02/28/2024

Report Doc# : 670151 REO Sale Price : $242,970

Home Zoning : RH Lot Size : 87,120 County
Lot
State
Tax
Total Value : $107,727 Property Tax : $1,050.88 Current Year Total Value : $11,354 Total Taxable Value : $8,929 Tax Rate Area : 2000 Current Year Improvement Value : $5,554 Assessed Year : 2023 Market Value : $107,727 Current Year Land Value : $5,800 Tax Year : 2023 Current Assessed Year : 2025
Property
Land Use : Mobile
Acres : 2.00
REO
REO
Recording Date : 03/07/2024
Customer Name : Kariann Keomaka Customer Company Name : First American Title Insurance Company Prepared On : 06/06/2024 © 2024 CoreLogic. All rights reserved
REO
Sales
Criteria Subject Property Low High Average Sale Price $251,500 $130,000 $365,000 $210,655 Bldg/Living Area 1512 1408 1680 1536 Price Per Square Foot $166.34 $89 $233 $136.72 Year Built 1993 1987 2007 1996 Lot Size 87,120 43,560 211,266 96,268 Bedrooms Bathrooms Stories 1 1 1 1 Total Assessed Value $107,727 $57,604 $148,251 $88,766 Distance From Subject 0 0.52 4.81 3.78 Summary of Comparables # Address Sale Price Total Assessed Value Sale Date Bed Bath Living Area Lot Size Year Built Dist (Miles) Zoning S 17065 S Copper Vision Trl 251,500 107,727 12/23/2020 1,512 87,120 1993 RH 1 13333 E Black Horse Trl 365,000 110,532 11/07/2023 1,568 139,392 1988 0.52 RH 2 13675 E Blue Cactus Ln 130,000 57,604 05/07/2024 1,408 43,560 1999 4.42 GR-1 3 13341 S Hunting Dog Rd 180,000 67,461 05/14/2024 1,456 43,560 2007 4.56 GR-1 4 13875 E Collie Dr 228,275 59,983 09/18/2023 1,568 43,560 2001 4.6 GR-1 5 17900 S Gabler Ln # 17900 150,000 148,251 03/15/2024 1,680 211,266 1987 4.81 RH Distressed Sales = Customer Name : Kariann Keomaka Customer Company Name : First American Title Insurance Company Prepared On : 06/06/2024 © 2024 CoreLogic. All rights reserved
Analysis
Map Customer Name : Kariann Keomaka Customer Company Name : First American Title Insurance Company Prepared On : 06/06/2024 © 2024 CoreLogic. All rights reserved
Copper Vision
AZ 85641 Customer Name : Kariann Keomaka Customer Company Name : First American Title Insurance Company Prepared On : 06/06/2024 © 2024 CoreLogic. All rights reserved
Subject Property :   17065 S
Trl Vail
Customer Name : Kariann Keomaka Customer Company Name : First American Title Insurance Company Prepared On : 06/06/2024 © 2024 CoreLogic. All rights reserved

Owner Name : Gibbons Austin Michael

Sale Date : 01/02/2015

Recording Date : 01/02/2015

Price  : $120,000 Total Value : $107,880

$1,004.72 Land Use : Mobile Home

3.00 Stories : 1

Owner Name : Riggs Gary L

Recording Date : 02/07/1994 Sale Date : 02/07/1994

Price  : $36,500 Total Value : $122,199

$1,145.75

Owner Name : Grubb Tony G

Value : $165,553

/ Bath : / 1

Sfr

Recording Date : 01/10/2000

Tax : $1,718.28

Acres : 4.99

Owner Name : Gutzwiller Amy Living

Date : 04/10/2015 Sale Date : 04/07/2015

Price  : $42,000 Total Value : $72,588

Tax : $764 Land Use : Mobile Home

Acres : 5.00 Stories : 1

305-39-119A

Blt / Eff Yr Blt  : 1990 / 1990

17050
COPPER CUT TRL Distance 0.06 Miles
S
Sale
Property
Lot
Living Area :
Yr Blt / Eff Yr Blt :
1988 APN : 305-39-119C 17130 S COPPER CUT TRL Distance 0.07 Miles
Tax :
Acres :
1,848
1988 /
Sale
Property
Lot
Living Area :
Yr Blt / Eff Yr Blt :
1994 APN : 305-39-127A 17000 S COPPER CUT TRL Distance 0.07 Miles
Tax :
Land Use : Mobile Home
Acres : 5.00 Stories : 1
2,128
1994 /
Property
Lot
Living Area :
APN :
Yr Blt / Eff Yr Blt  : 1986 / 17060 S COPPER VISION TRL Distance 0.09 Miles
Total
Bed
Land Use :
1,551 Stories : 1
305-39-118C
Recording
Sale
Property
Lot
Customer Name : Kariann Keomaka Customer Company Name : First American Title Insurance Company Prepared On : 06/06/2024 © 2024 CoreLogic. All rights reserved
Trust
APN :
Yr

Owner Name : Allyn Casey Elizabeth

Recording Date : 10/31/2019 Sale Date : 10/29/2019

Price  : $295,000 Total Value : $148,649

$1,459.50 Land Use : Mobile Home

5.00

1

Owner Name : Monroe Barbara H

Recording Date : 04/04/2014 Sale Date : 03/31/2014

Value : $191,262

/ Bath : / 2

Owner Name : Lsf9 Master Participation

Sale Date : 06/06/2017

Value : $144,715

/ Bath : / 2

Price  : $172,000

$1,986.07

Recording Date : 07/03/2017

Price  : $68,000

$1,503.20

Owner Name : Hogan Linda M

Price  : $155,000 Sale Date : 04/00/2006

Tax : $1,014.90 Total Value : $72,000

Acres : 5.00 Land Use : Residential Acreage

Recording Date  : 04/28/2006

17131 S COPPER VISION TRL Distance 0.11 Miles
Sale
Property Tax :
Lot Acres :
Stories :
Living Area :
Yr Blt / Eff Yr Blt :
2003 APN : 305-39-127B 17020 S COPPER VISION TRL Distance 0.11 Miles
3,116
2003 /
Sale
Total
Property Tax :
Lot
Living Area :
Stories :
APN : 305-39-118A Yr Blt / Eff Yr Blt
1992
16950 S COPPER VISION TRL Distance 0.13 Miles
Bed
Acres : 4.99 Land Use : Sfr
2,160
2
:
/
Sale
Property
Lot
Land Use :
Living Area :
Stories :
APN : 305-39-117F Yr Blt / Eff Yr Blt  : 1998 / 17171 S COPPER VISION TRL Distance 0.13 Miles
Total
Tax :
Bed
Acres : 1.47
Sfr
1,296
1
Sale
Property
Lot
APN :
305-39-128F
Customer Name : Kariann Keomaka Customer Company Name : First American Title Insurance Company Prepared On : 06/06/2024 © 2024 CoreLogic. All rights reserved

Owner Name : Brand Lukas Recording Date : 07/23/2020 Sale Date : 07/20/2020

Price  : $275,000 Total Value : $163,855

Tax : $1,700.67 Bed / Bath : / 1

Acres : 4.98 Land Use : Sfr

1.5

13430
Distance 0.13 Miles
E COPPER CHIEF TRL
Sale
Property
Lot
Living
Stories :
APN :
Yr
Customer Name : Kariann Keomaka Customer Company Name : First American Title Insurance Company Prepared On : 06/06/2024 © 2024 CoreLogic. All rights reserved
Area : 1,675
305-39-117B
Blt / Eff Yr Blt  : 1985 /

Census Tract / block: 41.27 / 1     Year: 2020

Household Population Population by Age Count: 6,193 0 - 11 Estimate Current Year: 6,193 12 - 17 Estimate in 5 Years: 6,193 18 - 24 4.83% Growth Last 5 Years: 25 - 64 51.91% Growth Last 10 Years: 65 - 74 9.96% 75+ Household Size Household Income Current Year: 2,061 0 - $25,000 7.71% Average Current Year: 3 $25,000 - $35,000 5.82% Estimate in 5 Years: 2,061 $35,000 - $50,000 4.22% Growth Last 5 Years: $50,000 - $75,000 10.87% Growth Last 10 Years: $75,000 - $100,000 13.2% Male Population: 52.2% Above $100,000 58.18% Female Population: 47.8% Average Household Income: $113,954 Married People: 69.79% Unmarried People: 30.21% Housing Median Mortgage Payments Home Values Under $300: 0.72% Below $100,000: 10.17% $300 - $799: 28.57% $100,000 - $150,000: 3.49% $800 - $1,999: 50.92% $150,000 - $200,000: 14.7% Over $2,000: 19.78% $200,000 - $300,000: 30.83% Median Home Value: $274,800 $300,000 - $500,000: 37.36% Unit Occupied Owner: 94.42% Above $500,000: 3.44% Median Mortgage: $1,130 Customer Name : Kariann Keomaka Customer Company Name : First American Title Insurance Company Prepared On : 06/06/2024 © 2024 CoreLogic. All rights reserved
Rent
Year Built Unit Occupied Renter: 5.58% 1999 - 2000 Median Gross Rent: $1,063 1995 - 1998 Less Than $499 5.94% 1990 - 1994 $500 - $749 0% 1980 - 1989 7.23% $750 - $999 34.65% 1970 - 1979 0.72% $1000 and Over 59.41% 1900 - 1969 1.76% Education Enrollment Public Pre-Primary School: 0.28% Not Enrolled in School: 74.24% Private Pre-Primary School: 0.26% Not A High School Graduate: 4.43% Public School: 21.4% Graduate Of High School: 18.93% Private School: 4.36% Attended Some College: 23.39% Public College: 2.52% College Graduate: 37.32% Private College: 0.69% Graduate Degree: 15.93% Workforce Occupation: Manager/Prof: 54.23% Private Worker: 60.4% Technical: Government Worker: 23.77% Sales: 20.8% Self Employed Worker: 4.57% Administrative: Unpaid Family Worker: 2.77% Private House Hold: Farming: 5.2% Service: 16.23% Skilled: Protective Services: Blue-Collar: 8.73% Commute Time Less Than 15 Min: 3.98% 15 min - 28 min: 21.89% 30 min - 57 min: 71.54% Over 60 min: 2.58% Customer Name : Kariann Keomaka Customer Company Name : First American Title Insurance Company Prepared On : 06/06/2024 © 2024 CoreLogic. All rights reserved
Payments
Customer Name : Kariann Keomaka Customer Company Name : First American Title Insurance Company Prepared On : 06/06/2024 © 2024 CoreLogic. All rights reserved
Customer Name : Kariann Keomaka Customer Company Name : First American Title Insurance Company Prepared On : 06/06/2024 © 2024 CoreLogic. All rights reserved
Customer Name : Kariann Keomaka Customer Company Name : First American Title Insurance Company Prepared On : 06/06/2024 © 2024 CoreLogic. All rights reserved

Arizona Schools

For detailed information and statistics on Arizona schools please go to https://azreportcards.azed.gov/ First American Title Insurance Company, and the operating divisions thereof, make no express or implied warranty respecting the information presented and assume no responsibility for errors or omissions. First American, the eagle logo, First American Title, and firstam.com are registered trademarks or trademarks of First American Financial Corporation and/or its affiliates. ©2021 First American Financial Corporation and/or its affiliates. All rights reserved. NYSE: FAF 05117910421

PIMA COUNTY

05249570321 TUCSON INT'L AIRPORT Air Force WSilverbellRd SSantaRitaRd N M t L emmon Hwy ESascoRd NF38 W Avra Valley Rd E Grand Va ey Dr NAguirre R d N L u c k e R d N W e n t z R d N Wa terman Mounta i n R d N Anway Rd W El Tiro Rd N Trico Rd W Tucker Rd W Rudas l Rd W Manvi e Rd SSanJoaquinRd WBopp Rd W Snyder H l Rd S M a r s e a r R d W Park Rd W Hermans Rd W Hermans Rd W Guy St W Bush Rd S G a v e y R d N C a e R i n c o n a d o S W m o R d S Shaw Rd S Sierrita Mountain Rd S K o b R d W TwinButtes Rd W Mcgee Ranch Rd S E s t a n c a D r EDesertDove E Hemlock Dr N Bea r C a n y o n R d W E Camino Del Cerro E Fairmount St S Swan Rd NFrontageRd W Emigh Rd W Fort Lowe Rd N P u m p S t a t ion dR E Nona Rd Ch efButteRd Lo al Ave N Trico Rd S Cattle Tank Rd Evalyn Rd SOwlHead R a n c h Rd GasLineRd S P ec a n R d N T r c o R d W Bayard Rd S S a n d a r o R d W i l l owSpri n gsRd N Dove Mountain Blvd SHelvetiaRd WAnamax Mine Rd W G a c i a R a n hc R d Road424 WRagged Top Rd W Ruby Star Dr WBritten RanchRd W Pima Mine Rd S Mcgee Ranch R d E Edw n Rd SGuildRd 8 0 NKINNEYRD S PICACHO HWY E BAUMGARTNER RD N S A N D A R I O R D N ANWAY RD W VALENCIA RD W MOORE RD W INA RD N 1 S T A V E E SUNRISE DR E SNYDER RD NSILVERBELLRD N S O L D I E R T R L E RIVER RD E PRINCE RD E SPEEDWAY BLVD S FREEMAN RD E 22ND ST E 22ND ST W IRVINGTON RD S N O G A L E S H W Y W VALENCIA RD SMISSIONRD W SPEEDWAY BLVD S O L D S P A N I S H T RL W NARANJA DR W TWIN PEAKS RD W PICTURE ROCKS RD W MANVILLE RD SKINNEYRD W MILE WIDE RD E SAHUARITA RD N TRICO RD S S A N D A R O R D PARK LINK DR S OLD N O G ALES HW Y S H O U G H T O N R D S L A C A N A D A DR W HELMET PEAK RD WAJOHWY N S W A N R D S KOLB RD S HOUGHTON RD W TANGERINE RD E GRANT RD S H O U G H T O N R D 9 5 WAJOHWY E VALENCIA RD NORACLE R D I10 I-19 77 77 77 86 86 286 10 19 10 10 Corona de Tucson Casas Adobes Catalina Green Valley Oracle Picture Rocks Three Points Vail Summit Tanque Verde Tucson Sahuarita Red Rock Saddlebrooke Marana Oro Valley Rillito Summerhaven Willow Canyon Oracle Junction Cortaro Continental Littletown 20 30 13 15 51 39 12 01 01 08 10 16 11 06
School District Information This map is provided for general location only. Please contact school districts for actual street boundaries SCHOOL DISTRICTS 15 AJO UNIFIED 111 N. Well Road, Ajo, AZ 85321 520.387.5618 51 ALTAR VALLEY ELEMENTARY 10105 S. Sasabe Road, Tucson, AZ 85736 520.822.1484 10 AMPHITHEATER UNIFIED 701 W. Wetmore, Tucson, AZ 85705 520.696.5000 16 CATALINA FOOTHILS UNIFIED 2101 E. River Road, Tucson, AZ 85718 520.209.7500 39 CONTINENTAL ELEMENTARY 1991 E. Whitehouse Canyon, Green Valley, AZ 85614 520.625.4581 08 FLOWING WELLS UNIFIED 1556 W. Prince Road, Tucson, AZ 85705 520.696.8800 06 MARANA UNIFIED 11279 W. Grier Road, Marana, AZ 85653 520.682.3243 11 PIMA COUNTY JTED 2855 W. Master Pieces Dr, Tucson, AZ 85741 520.352.5833 30 SAHUARITA UNIFIED 350 W. Sahuarita Road, Sahuarita, AZ 85629 520.625.3502 12 SUNNYSIDE UNIFIED 2238 E. Ginter Road, Tucson, AZ 85706 520.545.2000 13 TANQUE VERDE UNIFIED 2300 N. Tanque Verde Loop, Tucson, AZ 85749 520.749.5751 01 TUCSON UNIFIED 1010 E. 10th Street, Tucson, AZ 85717 520.225.6000 20 VAIL UNIFIED 10701 E. Mary Ann Cleveland Way, Tucson, AZ 85747 520.879.2000 First American Title Insurance Company, and the operating divisions thereof, make no express or implied warranty respecting the information presented and assume no responsibility for errors or omissions. First American, the eagle logo, First American Title, and firstam.com are registered trademarks or trademarks of First American Financial Corporation and/or its affiliates. ©2021 First American Financial Corporation and/or its affiliates. All rights reserved. NYSE: FAF

SEARCH PARAMETERS

PARCEL:  305-39-119B

PARCEL: 305-39-119B

OWNER: LAKEVIEW LOAN SERVICING LLC  AFFIDAVIT    2024 670151 03/07/2024

SITUS: 17065 S COPPER VISION TRL VAIL

MAIL: 3637 SENTARA WAY  VIRGINIA BEACH, VA 23452

LEGAL: W264' OF S2 SE4 NE4 NE4 2.00 AC SEC 21-17-16

CURRENT TAXES INFORMATION THROUGH 05/28/2024

IMPROVEMENTS

SALES

2020 3580324 WD EHRLICH JULIE ANNE /

13170 3728 WD DOYLE DAVID T/TRACY A 04/01/2002

ADDITIONAL PROPERTY INFORMATION STANDARD LAND USE: MOBILE HOME LOT

11768 1983 JD IRWIN WARREN G

END SEARCH

+ FIRST AMERICAN TITLE, FC0, KWAL PIMA, AZ
INVESTIGATIVE SEARCH RESULTS PAGE 1 OF 1
06/06/2024  09:03AM  Q7IJ
INSTRUMENT REC DATE
LAND IMPR EXEMPT RATE AREA SPECIAL DISTRICTS PRIMARY  8,929  0  0  9.0724  2000 SECONDARY  5,500  5,273  0  4.3518  2023 TOTAL TAX BILLED 1,050.88 2023  TAX AMT TAX DUE INTEREST DATE PAID TOTAL DUE FIRST HALF  525.44  0.00  0.00  10/26/2023  0.00  SECOND HALF  525.44  0.00  0.00  04/30/2024  0.00  TOTAL CURRENT TAXES DUE 06/24 0.00 07/24 0.00
MOBILE HOME  PHYSICAL CONDITION   ABOVE AVERAGE BLDG SQFT  1,512 FULL CASH VALUE  107,727 YEAR BUILT  1993 LAND USE  08 39 NUMBER OF STORIES  1.0 LOT SIZE  2.000 ACRES STORIES HEIGHT  0 SCHOOL DISTRICT  2000 EXTERIOR WALLS LAND FULL CASH VALUE  55,000 GRADE MATERIALS IMPR FULL CASH VALUE  52,727
SALE DATE SALE AMOUNT INSTRUMENT TYPE SELLER NAME VALIDITY 12/23/2020 251,500
215,000
10/29/2007
114,000

Covenants, Conditions & Restrictions

Thank you for the opportunity to be of service.

Restrictions indicating a preference, limitation or discrimination based on race, color, religion, sex, handicap, familial status, or national origin are hereby deleted to the extent such restrictions violate 42 USC 3604(c).

This information is furnished without fee and without benefit of a complete title search. No liability is assumed by First American Title. If it is desired that liability be assumed, you may apply for a policy of title insurance with First American Title Insurance Company.

Page 1 of 2 06/06/2024 9:16 AM
Page 2 of 2 06/06/2024 9:16 AM
Page 1 of 28 06/06/2024 9:18 AM
Page 2 of 28 06/06/2024 9:18 AM
Page 3 of 28 06/06/2024 9:18 AM
Page 4 of 28 06/06/2024 9:18 AM
Page 5 of 28 06/06/2024 9:18 AM
Page 6 of 28 06/06/2024 9:18 AM
Page 7 of 28 06/06/2024 9:18 AM
Page 8 of 28 06/06/2024 9:18 AM
Page 9 of 28 06/06/2024 9:18 AM
Page 10 of 28 06/06/2024 9:18 AM
Page 11 of 28 06/06/2024 9:18 AM
Page 12 of 28 06/06/2024 9:18 AM
Page 13 of 28 06/06/2024 9:18 AM
Page 14 of 28 06/06/2024 9:18 AM
Page 15 of 28 06/06/2024 9:18 AM
Page 16 of 28 06/06/2024 9:18 AM
Page 17 of 28 06/06/2024 9:18 AM
Page 18 of 28 06/06/2024 9:18 AM
Page 19 of 28 06/06/2024 9:18 AM
Page 20 of 28 06/06/2024 9:18 AM
Page 21 of 28 06/06/2024 9:18 AM
Page 22 of 28 06/06/2024 9:18 AM
Page 23 of 28 06/06/2024 9:18 AM
Page 24 of 28 06/06/2024 9:18 AM
Page 25 of 28 06/06/2024 9:18 AM
Page 26 of 28 06/06/2024 9:18 AM
Page 27 of 28 06/06/2024 9:18 AM
Page 28 of 28 06/06/2024 9:18 AM
Page 1 of 20 06/06/2024 9:18 AM
Page 2 of 20 06/06/2024 9:18 AM
Page 3 of 20 06/06/2024 9:18 AM
Page 4 of 20 06/06/2024 9:18 AM
Page 5 of 20 06/06/2024 9:18 AM
Page 6 of 20 06/06/2024 9:18 AM
Page 7 of 20 06/06/2024 9:18 AM
Page 8 of 20 06/06/2024 9:18 AM
Page 9 of 20 06/06/2024 9:18 AM
Page 10 of 20 06/06/2024 9:18 AM
Page 11 of 20 06/06/2024 9:18 AM
Page 12 of 20 06/06/2024 9:18 AM
Page 13 of 20 06/06/2024 9:18 AM
Page 14 of 20 06/06/2024 9:18 AM
Page 15 of 20 06/06/2024 9:18 AM
Page 16 of 20 06/06/2024 9:18 AM
Page 17 of 20 06/06/2024 9:18 AM
Page 18 of 20 06/06/2024 9:18 AM
Page 19 of 20 06/06/2024 9:18 AM
Page 20 of 20 06/06/2024 9:18 AM
Page 1 of 4 06/06/2024 9:18 AM
Page 2 of 4 06/06/2024 9:18 AM
Page 3 of 4 06/06/2024 9:18 AM
Page 4 of 4 06/06/2024 9:18 AM
Page 1 of 36 06/06/2024 9:18 AM
Page 2 of 36 06/06/2024 9:18 AM
Page 3 of 36 06/06/2024 9:18 AM
Page 4 of 36 06/06/2024 9:18 AM
Page 5 of 36 06/06/2024 9:18 AM
Page 6 of 36 06/06/2024 9:18 AM
Page 7 of 36 06/06/2024 9:18 AM
Page 8 of 36 06/06/2024 9:18 AM
Page 9 of 36 06/06/2024 9:18 AM
Page 10 of 36 06/06/2024 9:18 AM
Page 11 of 36 06/06/2024 9:18 AM
Page 12 of 36 06/06/2024 9:18 AM
Page 13 of 36 06/06/2024 9:18 AM
Page 14 of 36 06/06/2024 9:18 AM
Page 15 of 36 06/06/2024 9:18 AM
Page 16 of 36 06/06/2024 9:18 AM
Page 17 of 36 06/06/2024 9:18 AM
Page 18 of 36 06/06/2024 9:18 AM
Page 19 of 36 06/06/2024 9:18 AM
Page 20 of 36 06/06/2024 9:18 AM
Page 21 of 36 06/06/2024 9:18 AM
Page 22 of 36 06/06/2024 9:18 AM
Page 23 of 36 06/06/2024 9:18 AM
Page 24 of 36 06/06/2024 9:18 AM
Page 25 of 36 06/06/2024 9:18 AM
Page 26 of 36 06/06/2024 9:18 AM
Page 27 of 36 06/06/2024 9:18 AM
Page 28 of 36 06/06/2024 9:18 AM
Page 29 of 36 06/06/2024 9:18 AM
Page 30 of 36 06/06/2024 9:18 AM
Page 31 of 36 06/06/2024 9:18 AM
Page 32 of 36 06/06/2024 9:18 AM
Page 33 of 36 06/06/2024 9:18 AM
Page 34 of 36 06/06/2024 9:18 AM
Page 35 of 36 06/06/2024 9:18 AM
Page 36 of 36 06/06/2024 9:18 AM
Page 1 of 3 06/06/2024 9:18 AM
Page 2 of 3 06/06/2024 9:18 AM
Page 3 of 3 06/06/2024 9:18 AM
Page 1 of 3 06/06/2024 9:18 AM
Page 2 of 3 06/06/2024 9:18 AM
Page 3 of 3 06/06/2024 9:18 AM
Page 1 of 3 06/06/2024 9:18 AM
Page 2 of 3 06/06/2024 9:18 AM
Page 3 of 3 06/06/2024 9:18 AM

Turn static files into dynamic content formats.

Create a flipbook
Issuu converts static files into: digital portfolios, online yearbooks, online catalogs, digital photo albums and more. Sign up and create your flipbook.