1260 E McVicar Ave digital listing kit

Page 1


WIRE FRAUD ALERT THINK DIFFERENTLY

Email-based, real estate fraud schemes are on the rise. One common scenario is altering wiring instructions with the intention of rerouting funds.

Keeping this in mind, First American Title is changing the way we receive payment information. It is imperative that we are familiar with the people in our transactions.

RELYING ON EMAIL ALONE IS NO LONGER AN OPTION.

Fraudsters often use email to send falsified wire instructions to unsuspecting victims. Please warn your buyers and sellers to only follow wire instructions they receive personally from First American Title.

Additionally, we will not accept disbursement instructions for seller or buyer funds via email OR from any third party (attorney, real estate agent, etc).

ALTERNATIVE INSTRUCTIONS?

If your buyer or seller receives alternative wiring instructions that appear to be from First American Title, make sure they contact their escrow officer at a trusted phone number for confirmation.

Know that our wiring instructions do not change so any communication is suspect. Our banking institution is First American Trust.

IN SHORT – wire instructions will not be accepted by email. New wire instructions must be hand-carried or uploaded to the First American Secure Portal.

Thank you for joining First American Title in fostering a secure real estate transaction process. Have questions or concerns? Please contact our office or your escrow officer.

LIMITATION OF LIABILITY FOR INFORMATIONAL REPORTS

IMPORTANT -- PLEASE READ CAREFULLY:

This report is not an insured product or service or a representation of the condition of title to real property. It is not an abstract, legal opinion, opinion of title, title insurance commitment or preliminary report, or any form of Title Insurance or Guaranty. This report is issued exclusively for the benefit of the Applicant therefor and may not be used or relied upon by any other person. This report may not be reproduced in any manner without First Americans prior written consent. First American does not represent or warrant that the information herein is complete or free from error, and the information herein is provided without any warranties of any kind, as-is, and with all faults. As a material part of the consideration given in exchange for the issuance of this report, recipient agrees that First Americans sole liability for any loss or damage caused by an error or omission due to inaccurate information or negligence in preparing this report shall be limited to the fee charged for the report. Recipient accepts this report with this limitation and agrees that First American would not have issued this report but for the limitation of liability described above. First American makes no representation or warranty as to the legality or propriety of recipient's use of the information herein.

Disclaimer

This REiSource report is provided "as is" without warranty of any kind, either express or implied, including without limitations any warrantees of merchantability or fitness for a particular purpose. There is no representation of warranty that this information is complete or free from error, and the provider does not assume, and expressly disclaims, any liability to any person or entity for loss or damage caused by errors or omissions in this REiSource report without a title insurance policy.

The information contained in the REiSource report is delivered from your Title Company, who reminds you that you have the right as a consumer to compare fees and serviced levels for Title, Escrow, and all other services associated with property ownership, and to select providers accordingly. Your home is the largest investment you will make in your lifetime and you should demand the very best.

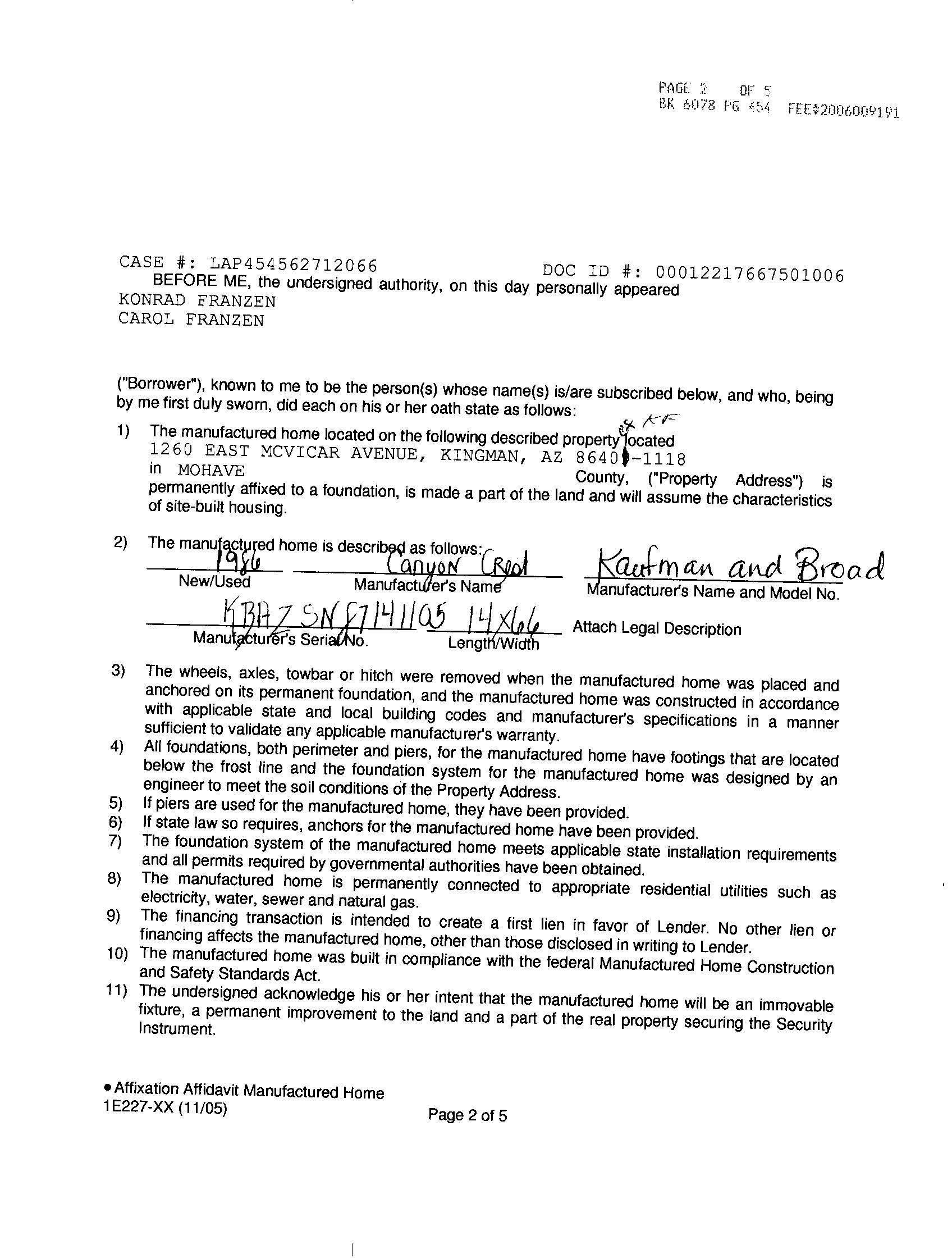
Subject Property :   1260 E Mcvicar Ave Kingman AZ 86409

Owner Information

Owner Name : Franzen Konrad / Franzen Carol

Mailing Address : 1260 E Mcvicar Ave, Kingman AZ 86409-1118 H045

Vesting Codes : / / Community Property

Owner Occupied Indicator : O

Location Information

Legal Description : New Kingman Addition Unit 11 Tr 1104 T22n R16w Sec 30 Blk 221 Lot 9

County : Mohave, Az

Census Tract / Block : 9507.08 / 1

Township-Range- Sect : 22N-16W-30

Legal Lot : 9

Legal Block : 221

Last Market Sale Information

APN : 324-26-085

Alternate APN : R0189181

Subdivision : New Kingman Add

Map Reference : 3022N16W / 3022N16W

Tract : 1104

Recording/Sale Date : 01/27/2006 / 01/03/2006 1st Mtg Amount/Type : $67,929 / Va

Sale Price : $66,500 1st Mtg Document # : 6078-439

Document # : 6078-434 1st Mtg Term : 30

Deed Type : Warranty Deed Price Per SqFt : $82.61

Title Company : State Title Co.

Lender : Countrywide Hm Lns Inc

Seller Name : Thomas Helen M Trust

Prior Sale Information

Prior Rec/Sale Date : 04/11/1994 / 04/11/1994

Prior Doc Number : 2385-806

Property Characteristics

Gross Area : 805

Living Area : 805

Above Grade : 805

Year Built / Eff : 1986

# of Stories : 1

Prior Deed Type : Warranty Deed

Roof Material : Composition Shingle

Porch Type : Metal Porch

Construction : Steel/wood Patio Type : Wood Deck

Heat Type : Forced Air

Cooling Type : Forced Air

Exterior wall : Hardboard

Air Cond : Evap Cooler

Quality : Average

Property Information

Land Use : Mobile Home Lot Lot Size : 6,098 Sewer Type : Septic Tank Lot Acres : 0.14 Water Type : Type Unknown State Use : Mh Subd Lotaffixed Mf Home Tax Information Total Value : $28,869

2023

Details of Comparables

Subject Property: 1260 E Mcvicar Ave Kingman Az 86409

Owner Name: Franzen Konrad /Franzen Carol APN / Alternate APN: 324-26-085 /R0189181 Deed Type: Warranty Deed

Subdivision / Tract: New Kingman Add /1104

Lot Size: 6,098

Rec. Date / Price: 01/27/2006 / $66,500 Living Area: 805

Document #: 6078-434

Total Tax Value: $28,869

#1   1570 E Potter Ave Kingman Az 86409

Owner Name: Odell Karla / APN / Alternate APN: 324-25-375A / R0188696

Land Use: Mobile Home Lot

Year Built / Eff: 1986 /

# of units:

Bedrooms: Pool:

Bath(F/H): /

Deed Type: Warranty Deed Land Use: Mobile Home Lot

Subdivision / Tract: New Kingman Add /1104 Lot Size: 12,197

Rec. Date / Price: 08/21/2023 / $100,000 Living Area: 915

Document #: 510

Total Tax Value: $34,067

#2   1580 E Packard Ave Kingman Az 86409

Owner Name: Fager Dale /

APN / Alternate APN: 324-25-327 / R0188544

Bath(F/H): /

Year Built / Eff: 1984 /

# of units:

Deed Type: Warranty Deed

Subdivision / Tract: New Kingman Add /1104 Lot Size: 6,970

Rec. Date / Price: 02/23/2024 / $63,000 Living Area: 709

Document #: 74

Land Use: Mobile Home Lot

Year Built / Eff: 1972 /

#

Bedrooms:

Total Tax Value: $15,188 Bath(F/H): /

#3   1549 Devlin Ct Kingman Az 86409

Owner Name: Koalska Ronald /Koalska Patricia

APN / Alternate APN: 324-25-263 / R0188308

Deed Type: Warranty Deed

Subdivision / Tract: New Kingman Add /1104 Lot Size: 10,019

Rec. Date / Price: 04/19/2024 / $60,000 Living Area: 857

Document #: 59

Land Use: Mobile Home Lot

Year Built / Eff: 1984 /

# of units:

Bedrooms:

Total Tax Value: $32,232 Bath(F/H): /

#4   4929 Steinke Dr Kingman Az 86409

Owner Name: Glick Susan A /Alm Rick APN / Alternate APN: 330-22-216 / R0202776

Deed Type: Warranty Deed

Subdivision / Tract: Kingman Camelback /1106 Lot Size: 24,394

Rec. Date / Price: 01/12/2024 / $91,000 Living Area: 924

Document #: 21

Total Tax Value: $45,431

#5   1620 E John L Ave Kingman Az 86409

Owner Name: Jackson Brian J J / APN / Alternate APN: 324-25-139A / R0189803

Bedrooms:

Bath(F/H): /

Land Use: Mobile Home Lot

Year Built / Eff: 1973 /

# of units:

Pool:

Deed Type: Warranty Deed

Subdivision / Tract: New Kingman Add /1104 Lot Size: 14,375

Rec. Date / Price: 12/06/2023 / $169,900 Living Area: 902

Document #: 867

Total Tax Value: $50,214

#6   2314 E Ames Ave Kingman Az 86409

Land Use: Mobile Home Lot

Year Built / Eff: 1989 /

# of units:

Bedrooms: Pool:

Bath(F/H): /

Owner Name: Zavala Luis A /Zavala Charife APN / Alternate APN: 324-22-170 / R0187159

Deed Type: Warranty Deed

Subdivision / Tract: New Kingman Add /1103 Lot Size: 6,098

Rec. Date / Price: 12/07/2023 / $135,800 Living Area: 840

Document #: 994

Total Tax Value: $15,785

#7   2120 E Hearne Ave Kingman Az 86409

Owner Name: Posh Properties-arizona Llc / APN / Alternate APN: 324-23-210 / R0189164

Subdivision / Tract: New Kingman Add /1104

Land Use: Mobile Home Lot

Year Built / Eff: 1976 /

# of units:

Bedrooms: Pool:

Bath(F/H): /

Deed Type: Warranty Deed Land Use: Mobile Home Lot

Lot Size: 6,098

Rec. Date / Price: 01/04/2024 / $75,000 Living Area: 710

Document #: 4

Total Tax Value: $28,871

Year Built / Eff: 1970 /

# of units:

Bedrooms:

Bath(F/H): /

#8   2215 E Hearne Ave Kingman Az 86409

Owner Name: Greene Calvin / APN / Alternate APN: 324-23-264 / R0189336

Subdivision / Tract: New Kingman Add /1104

Deed Type: Warranty Deed

Size: 6,970

Rec. Date / Price: 08/14/2023 / $85,000 Living Area: 823

Document #: 469

Total Tax Value: $26,623

#9   2135 E John L Ave Kingman Az 86409

Owner Name: Weaver Family Trust / APN / Alternate APN: 324-23-192 / R0189116

Subdivision / Tract: New Kingman Add /1104

Bedrooms:

Bath(F/H): /

Land Use: Mobile Home Lot

Year Built / Eff: 1989 /

#

Deed Type: Warranty Deed Land Use: Mobile Home Lot

Size: 6,534 Year Built / Eff: 2007 /

Rec. Date / Price: 01/16/2024 / $78,000 Living Area: 768

Document #: 86 Bedrooms:

Total Tax Value: $42,699 Bath(F/H): /

#10   2381 E Potter Ave Kingman Az 86409

Owner Name: Brennan James / APN / Alternate APN: 324-21-501 / R0187995

Deed Type: Warranty Deed

Subdivision / Tract: New Kingman Add /1103 Lot Size: 6,970

Rec. Date / Price: 11/03/2023 / $120,000 Living Area: 784

Document #: 244

Total Tax Value: $42,148

Bedrooms:

Bath(F/H): /

#11   2334 E Thompson Ave Kingman Az 86409

Owner Name: Atibagos Henry / APN / Alternate APN: 324-22-366 / R0187714

Subdivision / Tract: New Kingman Add /1103

Deed Type: Warranty Deed

Lot Size: 6,098

Rec. Date / Price: 09/01/2023 / $80,000 Living Area: 840

Document #: 627

Total Tax Value: $28,333

Bedrooms:

Bath(F/H): /

Land Use: Mobile Home Lot

Year Built / Eff: 1985 /

# of units:

Pool:

Land Use: Mobile Home Lot

Year Built / Eff: 1989 /

# of units:

Pool:

#12   2100 E Northfield Ave Kingman Az 86409

Owner Name: Harmann Glenn / APN / Alternate APN: 324-23-093 / R0188805

Subdivision / Tract: New Kingman Add /1104

Deed Type: Warranty Deed

Size: 6,098

Rec. Date / Price: 09/13/2023 / $70,000 Living Area: 720

Document #: 208

Total Tax Value: $29,388

#13   2380 Lass Ave Kingman Az 86409

Owner Name: Stafford Deborah A / APN / Alternate APN: 324-21-380A / R0260096

Subdivision / Tract: New Kingman Add /1103

Bedrooms:

Bath(F/H): /

Land Use: Mobile Home Lot

Year Built / Eff: 1971 /

# of units:

Deed Type: Warranty Deed

Land Use: Mobile Home Lot

Size: 13,068 Year Built / Eff: 1988 /

Rec. Date / Price: 11/21/2023 / $60,000 Living Area: 784

Document #: 945

Total Tax Value: $41,661

#14   2440 E Carver Ave Kingman Az 86409

Owner Name: Hannah Coy / APN / Alternate APN: 324-21-613 / R0186374

Bedrooms:

Bath(F/H): /

#

Deed Type: Warranty Deed

Subdivision / Tract: New Kingman Add /1103 Lot Size: 6,098

Rec. Date / Price: 07/06/2023 / $69,000 Living Area: 924

Document #: 695

Total Tax Value: $24,227

#15   2155 E Neal Ave Kingman Az 86409

Land Use: Mobile Home Lot

Year Built / Eff: 1978 /

# of units:

Bedrooms: Pool:

Bath(F/H): /

Owner Name: Sexton L Separate Prop Trust / APN / Alternate APN: 324-23-117 / R0188881

Deed Type: Warranty Deed

Subdivision / Tract: New Kingman Add /1104 Lot Size: 6,098

Rec. Date / Price: 03/11/2024 / $100,000 Living Area: 914

Document #: 772

Total Tax Value: $33,791

Land Use: Mobile Home Lot

Year Built / Eff: 1988 /

# of units:

Bedrooms: Pool:

Bath(F/H): /

#16   2394 E Lass Ave Kingman Az 86409

Owner Name: Eidson Larry /Eidson Carol APN / Alternate APN: 324-21-377 / R0187576

Deed Type: Special Warranty Deed Land Use: Mobile Home Lot

Subdivision / Tract: New Kingman Add /1103 Lot Size: 6,098

Rec. Date / Price: 10/13/2023 / $45,000 Living Area: 840

Document #: 899

Total Tax Value: $43,117

#17   2360 E Leroy Ave Kingman Az 86409

Owner Name: Dima Jayne / APN / Alternate APN: 324-22-401 / R0187824

Bath(F/H): /

Year Built / Eff: 1991 /

# of units:

Deed Type: Warranty Deed Land Use: Mobile Home Lot

Subdivision / Tract: New Kingman Add /1103 Lot Size: 6,098 Year Built / Eff: 1985 /

Rec. Date / Price: 12/01/2023 / $90,000 Living Area: 840

Document #: 376 Bedrooms:

Total Tax Value: $29,191 Bath(F/H): /

#18   2075 E Butler Ave Kingman Az 86409

Owner Name: Wheeler Hidie / APN / Alternate APN: 324-23-068A / R0188715

# of units:

Deed Type: Quit Claim Deed Land Use: Mobile Home Lot

Subdivision / Tract: New Kingman Add /1104 Lot Size: 12,197 Year Built / Eff: 1972 /

Rec. Date / Price: 11/22/2023 / $30,000 Living Area: 720

Document #: 52095

Total Tax Value: $29,542

# of units:

Bedrooms:

Bath(F/H): /

Owner Name : Jenkins Judy L

Sale Date : 08/00/1996

Total Value : $26,061

Subdivision : New Kingman Add

Recording Date : 08/20/1996

Price  : $24,500

Land Use : Mobile Home Lot Lot Acres : 0.14

Stories : 1

Blt / Eff Yr Blt : 1984 /

Owner Name : Harris Elda F

Area : 304

324-26-084

Subdivision : New Kingman Add Sale Date : 07/19/1994 Recording Date : 07/19/1994

Total Value : $16,316

Tax : $168.78 Land Use : Mobile Home Lot

Acres : 0.14

Stories : 1 Living Area : 936

Blt / Eff Yr Blt : 1969 /

Owner Name : Mc Lean Robert

Date : 10/14/2011 Sale Date : 09/29/2011

Price  : $38,000 Total Value : $56,435

Tax : $79.38

Land Use : Mobile Home Lot Lot Acres : 0.28

Stories : 1 Living Area : 1,464 Yr Blt / Eff Yr Blt : 1978 / APN : 324-26-068A Subdivision  : New Kingman Add

Owner Name : Walls Edith

Value : $28,364

New Kingman Add

Acres : 0.28 Land Use : Mobile Home Lot

Area : 1,440

Stories : 1 APN : 324-26-107A Yr Blt / Eff Yr Blt  : 1978 /

Owner Name : Sharits Richard D

Sale Date : 03/11/1989

Total Value : $26,981

Recording Date : 00/00/1989

Price  : $28,000

Tax : $313.98 Land Use : Mobile Home Lot

Stories : 1

Blt / Eff Yr Blt : 1982 /

Subdivision  : New Kingman Add

Acres : 0.14

Area : 924

Owner Name : White David Recording Date : 02/28/2023 Sale Date : 02/09/2023

Value : $92,503

Use : Sfr

Stories : 1.5

Blt / Eff Yr Blt : 1984 /

Subdivision  : New Kingman Add

Owner Name : Murphy Ronald A

Sale Date : 09/18/2002

$97,433

Use : Mobile Home

Price  : $121,000

Tax : $429.02

Acres : 0.14

1,152

Recording Date : 10/31/2002

Price  : $74,000

$893.62

0.28

Yr Blt / Eff Yr Blt : 1980 / Living Area : 2,115

Subdivision : New Kingman Add APN : 324-26-045A

1280 E CARVER AVE Distance 0.06 Miles

Owner Name : Rowlands Ronald

Sale Date : 06/14/2001

Recording Date : 07/27/2001

Price  : $65,900 Total Value : $62,826

$608.30 Land Use : Mobile Home Lot

Stories : 1

0.28

Area : 1,344

Yr Blt / Eff Yr Blt : 1978 / APN : 324-26-043A

Subdivision  : New Kingman Add

Name : Lisa Mrazek

1170 E MCVICAR AVE

Owner Name : Miller Leroy

Sale Date : 09/12/2022

Total Value : $6,182

Land Use : Vacant Land (nec)

Subdivision : New Kingman Add

1240 E SUFFOCK AVE

Owner Name : Muir Sheldon A

Recording Date : 09/16/2022

Sale Price  : $12,000

Tax : $85.76

Acres : 0.14

324-26-092

Subdivision : New Kingman Add Total Value : $19,397

Land Use : Mobile Home Lot

Tax : $192.30

Acres : 0.14

Stories : 1 Living Area : 560 Yr Blt / Eff Yr Blt : 1977 / APN : 324-26-127

Census Tract / block: 9507.08 / 1     Year: 2020

Arizona Schools

PIMA COUNTY

SEARCHED BY: + FIRST AMERICAN TITLE,FC0,LMRA

SEARCHED DATE: 07/01/2024 10:21 AM PDT,RL13

PARCEL:  324-26-085

PARCEL: 324-26-085

SITUS: 1260 E MCVICAR AVE KINGMAN 86409-1118

MAIL: 1260 E MCVICAR AVE KINGMAN AZ 86409-1118

LEGAL: NEW KINGMAN ADDITION UNIT 11 TR 1104 T22N R16W SEC 30 BLK 221 LOT 9

CURRENT OWNER(S)

FRANZEN KONRAD

FRANZEN CAROL CPWRS

ADDITIONAL PROPERTY INFORMATION STANDARD LAND USE: MOBILE HOME LOT

ACQ DATE: 2006-01-27 DOC#:  6078 434

END SEARCH

Turn static files into dynamic content formats.

Create a flipbook
Issuu converts static files into: digital portfolios, online yearbooks, online catalogs, digital photo albums and more. Sign up and create your flipbook.