1105 E Altadonna St digital listing kit

Page 1


Subject Property

1106 E Altadonna St San Tan Valley AZ 85140 APN: 109-51-067

Data Provided By: First American Title Ins Co

WIRE FRAUD ALERT THINK DIFFERENTLY

Email-based, real estate fraud schemes are on the rise. One common scenario is altering wiring instructions with the intention of rerouting funds.

Keeping this in mind, First American Title is changing the way we receive payment information. It is imperative that we are familiar with the people in our transactions.

RELYING ON EMAIL ALONE IS NO LONGER AN OPTION.

Fraudsters often use email to send falsified wire instructions to unsuspecting victims. Please warn your buyers and sellers to only follow wire instructions they receive personally from First American Title.

Additionally, we will not accept disbursement instructions for seller or buyer funds via email OR from any third party (attorney, real estate agent, etc).

ALTERNATIVE INSTRUCTIONS?

If your buyer or seller receives alternative wiring instructions that appear to be from First American Title, make sure they contact their escrow officer at a trusted phone number for confirmation.

Know that our wiring instructions do not change so any communication is suspect. Our banking institution is First American Trust.

IN SHORT – wire instructions will not be accepted by email. New wire instructions must be hand-carried or uploaded to the First American Secure Portal.

Thank you for joining First American Title in fostering a secure real estate transaction process. Have questions or concerns? Please contact our office or your escrow officer.

LIMITATION OF LIABILITY FOR INFORMATIONAL REPORTS

IMPORTANT -- PLEASE READ CAREFULLY:

This report is not an insured product or service or a representation of the condition of title to real property. It is not an abstract, legal opinion, opinion of title, title insurance commitment or preliminary report, or any form of Title Insurance or Guaranty. This report is issued exclusively for the benefit of the Applicant therefor and may not be used or relied upon by any other person. This report may not be reproduced in any manner without First Americans prior written consent. First American does not represent or warrant that the information herein is complete or free from error, and the information herein is provided without any warranties of any kind, as-is, and with all faults. As a material part of the consideration given in exchange for the issuance of this report, recipient agrees that First Americans sole liability for any loss or damage caused by an error or omission due to inaccurate information or negligence in preparing this report shall be limited to the fee charged for the report. Recipient accepts this report with this limitation and agrees that First American would not have issued this report but for the limitation of liability described above. First American makes no representation or warranty as to the legality or propriety of recipient's use of the information herein.

Disclaimer

This REiSource report is provided "as is" without warranty of any kind, either express or implied, including without limitations any warrantees of merchantability or fitness for a particular purpose. There is no representation of warranty that this information is complete or free from error, and the provider does not assume, and expressly disclaims, any liability to any person or entity for loss or damage caused by errors or omissions in this REiSource report without a title insurance policy.

The information contained in the REiSource report is delivered from your Title Company, who reminds you that you have the right as a consumer to compare fees and serviced levels for Title, Escrow, and all other services associated with property ownership, and to select providers accordingly. Your home is the largest investment you will make in your lifetime and you should demand the very best.

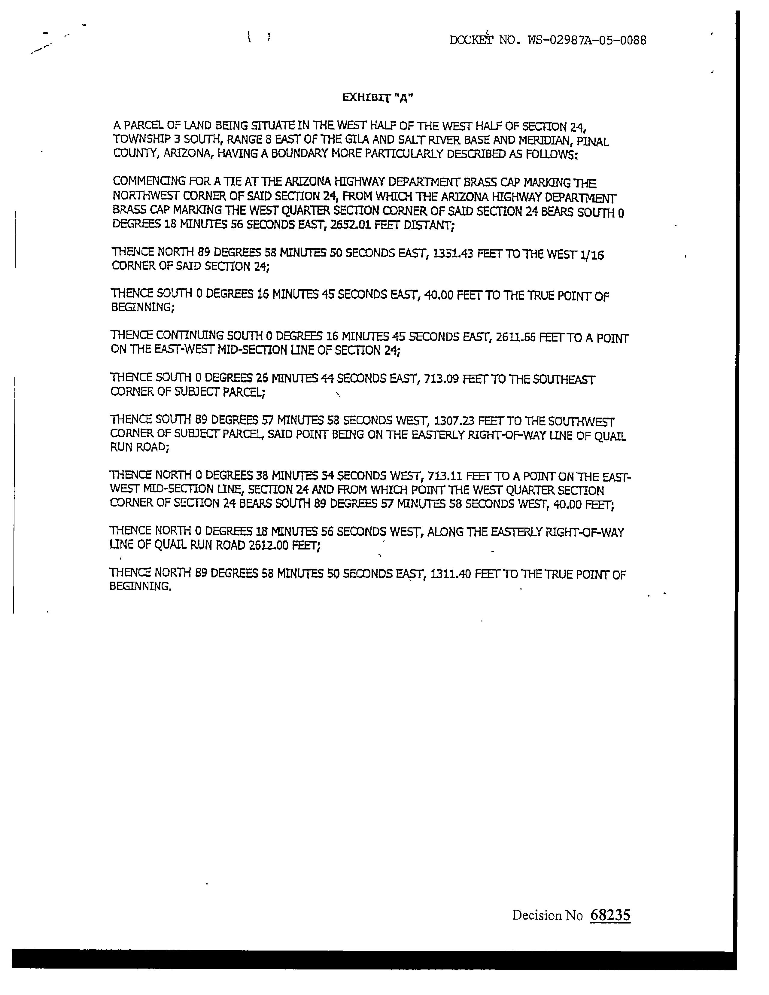
Subject Property :   1106 E Altadonna St San Tan Valley AZ 85140

Owner Information

Owner Name : Mcneela Christopher L

Mailing Address : 1106 E Altadonna St, San Tan Valley AZ 85140-7846 R011

Vesting Codes : Married Man / /

Owner Occupied Indicator : O

Location Information

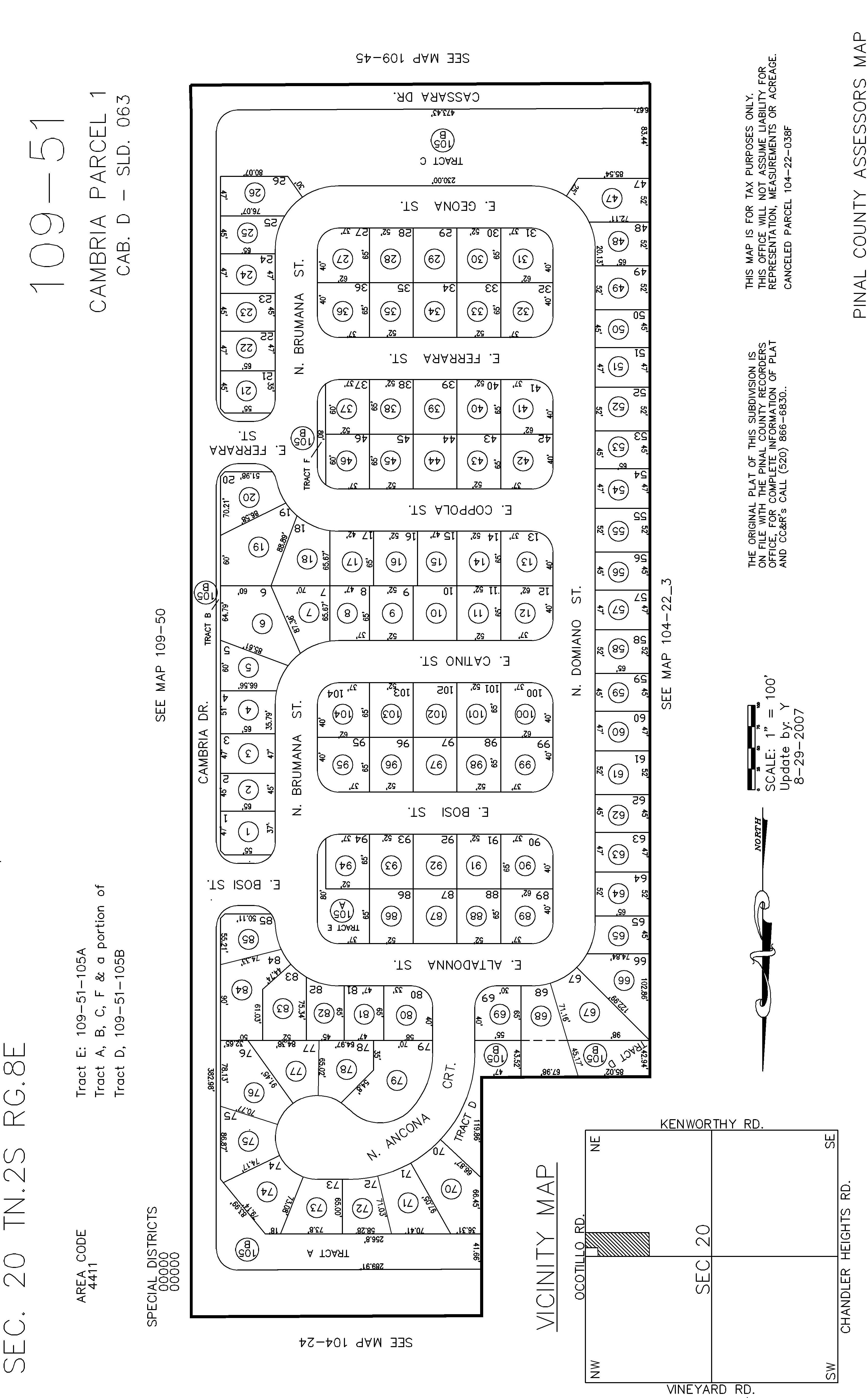
Legal Description : Cambria Parcel 1 Lot 67 Sec 20-2s-8e 5471 Sq Ft .13 Ac

County : Pinal, Az APN : 109-51-067

Census Tract / Block : 2.19 / 1

Township-Range- Sect : 02S-08E-20

Legal Lot : 67

Last Market Sale Information

Subdivision : Cambria I

Map Reference : 2002S08E

Recording/Sale Date : 05/03/2010 / 02/00/2010 1st Mtg Amount/Type : $86,700 / Cnv

Sale Price : $85,000 1st Mtg Document # : 42347

Document # : 42345 1st Mtg Term : 30

Deed Type : Special Warranty Deed Price Per SqFt : $54.14

Title Company : First American Title

Lender : Jp Morgan Chase Bk

Seller Name : Hsbc Bank Usa National Ass

Prior Sale Information

Prior Rec/Sale Date : 10/14/2004 / 09/00/2004

Prior Sale Price : $137,431

Prior Doc Number : 82039

Prior Deed Type : Special Warranty Deed

Prior Lender : Mit Lending

Prior 1st Mtg Amt/Type : $135,516 / Fha

Prior 1st Mtg Rate/Type : $4.50 / Adjustable Int Rate Loan

Property Characteristics

Gross Area : 1,570

Living Area : 1,570

Above Grade : 1570

Year Built / Eff : 2004

# of Stories : 2

Parking Type : Built-in

Property Information

Land Use : Sfr

Lot Acres : 0.13

Tax Information

Garage Area : 420

Roof Type : Truss-joist

Foundation : Concrete

Cooling Type : Central

Exterior wall : Plaster

Porch Type : Slab

Roof Material : Concrete Tile Air Cond : Central

Construction : Steel/wood Quality : Average

Heat Type : Central

5,471

Floor Cover : Carpet

State Use : Single Fam Resurban Subd

Details of Comparables

Subject Property: 1106 E Altadonna St San Tan Valley Az 85140

Owner Name: Mcneela Christopher L / APN / Alternate APN: 109-51-067 / Deed Type: Special Warranty Deed

Subdivision / Tract: Cambria I / Lot Size: 5,471

Rec. Date / Price: 05/03/2010 / $85,000 Living Area: 1,570

Document #: 42345

Total Tax Value: $240,536

Land Use: Sfr

Year Built / Eff: 2004 /

# of units:

Bedrooms: Pool:

Bath(F/H): /

#1   1116 E Altadonna St San Tan Valley Az 85140

Owner Name: Smm & Kff Trust /

APN / Alternate APN: 109-51-068 / Deed Type: Warranty Deed

Subdivision / Tract: Cambria I /D Lot Size: 3,441

Rec. Date / Price: 08/02/2024 / $240,000 Living Area: 1,736

Document #: 58816

Total Tax Value: $230,939

Land Use: Sfr

Year Built / Eff: 2003 /

# of units:

Bedrooms:

Bath(F/H): /

#2   40528 N Domiano St San Tan Valley Az 85140

Owner Name: Armstrong James / APN / Alternate APN: 109-51-060 / Deed Type: Warranty Deed

Subdivision / Tract: Cambria I / Lot Size: 2,925

Land Use: Sfr

Year Built / Eff: 2004 / Rec. Date / Price: 01/11/2024 / $355,000 Living Area: 1,570

Document #: 2403

Total Tax Value: $215,995

Bedrooms:

Bath(F/H): /

#3   1141 E Catino St San Tan Valley Az 85140

Owner Name: Pickett Antonio Jr /Jimenez Denice

APN / Alternate APN: 109-51-009 / Deed Type: Warranty Deed

Subdivision / Tract: Cambria Prcl I / Lot Size: 3,380

# of units:

Pool:

Land Use: Sfr

Year Built / Eff: 2003 / Rec. Date / Price: 09/29/2023 / $349,900 Living Area: 1,434

Document #: 72703

Total Tax Value: $204,801

Bedrooms:

Bath(F/H): /

#4   1171 E Catino St San Tan Valley Az 85140

Owner Name: Tellez Nikolas / APN / Alternate APN: 109-51-006 / Deed Type: Warranty Deed

Subdivision / Tract: Cambria I / Lot Size: 6,272

# of units:

Pool:

Land Use: Sfr

Year Built / Eff: 2003 / Rec. Date / Price: 03/26/2024 / $355,000 Living Area: 1,570

Document #: 21929

Total Tax Value: $243,408

# of units:

Bedrooms: Pool:

Bath(F/H): /

On : 09/03/2024

#5   1151 E Ferrara St San Tan Valley Az 85140

Owner Name: Melton Andrea L /Melton Hayden J

APN / Alternate APN: 109-51-036 / Deed Type: Special Warranty Deed

Subdivision / Tract: Cambria Prcl 1 / Lot Size: 3,896

Rec. Date / Price: 03/01/2024 / $324,900 Living Area: 1,570

Document #: 15180

Total Tax Value: $223,358

Bedrooms:

Bath(F/H): /

#6   40375 N Parisi Pl San Tan Valley Az 85140

Owner Name: Lent-allen Kacy L /Allen Taylor L

APN / Alternate APN: 109-50-060 / Deed Type: Warranty Deed

Subdivision / Tract: Cambria Prcl 2 / Lot Size: 8,116

Rec. Date / Price: 04/09/2024 / $410,000 Living Area: 1,717

Document #: 25745

Total Tax Value: $286,744

Land Use: Sfr

Year Built / Eff: 2003 /

# of units:

Pool:

Land Use: Sfr

Year Built / Eff: 2003 /

# of units:

Bedrooms: Pool:

Bath(F/H): /

#7   882 E Lamonte St San Tan Valley Az 85140

Owner Name: Wheeler Thomas J /

APN / Alternate APN: 109-48-127 / Deed Type: Warranty Deed

Subdivision / Tract: Cambria Prcl 03 / Lot Size: 5,325

Rec. Date / Price: 03/29/2024 / $320,000 Living Area: 1,451

Document #: 22971

Total Tax Value: $228,251

Bedrooms:

Bath(F/H): /

#8   40288 N Calabria St San Tan Valley Az 85140

Owner Name: Eiland Carla /Eiland James Jr

APN / Alternate APN: 109-48-012 / Deed Type: Warranty Deed

Subdivision / Tract: Cambria Prcl 03 / Lot Size: 3,780

Rec. Date / Price: 05/09/2024 / $344,900 Living Area: 1,432

Document #: 34915

Total Tax Value: $212,841

Bedrooms:

Bath(F/H): /

#9   809 E Impreria St San Tan Valley Az 85140

Owner Name: Dunbar Colleen /Dunbar Brandan

APN / Alternate APN: 109-48-137 / Deed Type: Warranty Deed

Subdivision / Tract: Cambria Prcl 03 / Lot Size: 4,095

Rec. Date / Price: 05/13/2024 / $320,000 Living Area: 1,451

Document #: 35576

Total Tax Value: $214,382

Land Use: Sfr

Year Built / Eff: 2002 /

# of units:

Pool:

Land Use: Sfr

Year Built / Eff: 2003 /

# of units:

Pool:

Land Use: Sfr

Year Built / Eff: 2002 /

# of units:

Bedrooms:

Bath(F/H): /

#10   1590 E Paint Horse Pl San Tan Valley Az 85140

Owner Name: Brunkhorst James P /Brunkhorst Tracy L

APN / Alternate APN: 104-22-051 / Deed Type: Warranty Deed

Subdivision / Tract: / Lot Size: 59,677

Rec. Date / Price: 12/07/2023 / $575,000 Living Area: 1,464

Document #: 88769

Total Tax Value: $388,191

Land Use: Sfr

Year Built / Eff: 1998 /

# of units:

Bedrooms:

Bath(F/H): /

#11   925 E Nardini St San Tan Valley Az 85140

Owner Name: George Samantha M /George Ryan

APN / Alternate APN: 109-45-088 / Deed Type: Warranty Deed

Subdivision / Tract: Cambria Prcl 04 / Lot Size: 6,100

Land Use: Sfr

Year Built / Eff: 2001 / Rec. Date / Price: 01/02/2024 / $369,400 Living Area: 1,654

Document #: 378

Total Tax Value: $249,403

Bedrooms:

Bath(F/H): /

#12   41159 N Stenson Dr San Tan Valley Az 85140

Owner Name: Mcknight Amy /Mcknight Benjamin Iii

APN / Alternate APN: 109-26-477 / Deed Type: Warranty Deed

Subdivision / Tract: Taylor Ranch / Lot Size: 6,098

Land Use: Sfr

Year Built / Eff: 2006 /

Rec. Date / Price: 11/21/2023 / $400,000 Living Area: 1,776 #

Document #: 85233

Total Tax Value: $253,971

Bedrooms:

Bath(F/H): /

#13   1259 E Pollino St San Tan Valley Az 85140

Owner Name: Randall Dallas M /Randall Dallas R

APN / Alternate APN: 109-46-093 / Deed Type: Warranty Deed

Subdivision / Tract: Cambria Prcl 6 / Lot Size: 5,170

Land Use: Sfr

Year Built / Eff: 2002 / Rec. Date / Price: 06/28/2024 / $369,000 Living Area: 1,618

Document #: 49090

Total Tax Value: $243,959

# of units:

Bedrooms: Pool:

Bath(F/H): /

#14   1686 E Nardini St San Tan Valley Az 85140

Owner Name: Opendoor Property Trust I / APN / Alternate APN: 109-47-084 / Deed Type: Warranty Deed

Subdivision / Tract: Cambria Prcl 07 / Lot Size: 6,600

Rec. Date / Price: 08/16/2024 / $337,200 Living Area: 1,387

Document #: 62183

Total Tax Value: $234,661

Bedrooms:

Bath(F/H): /

#15   39865 N Passaro Dr San Tan Valley Az 85140

Owner Name: Ramirez Ricardo /Ramirez Martha

APN / Alternate APN: 109-49-010 / Deed Type: Special Warranty Deed

Subdivision / Tract: Cambria Prcl 05 / Lot Size: 4,950

Rec. Date / Price: 02/29/2024 / $360,000 Living Area: 1,580

Document #: 14591

Total Tax Value: $239,498

Land Use: Sfr

Year Built / Eff: 2002 /

# of units:

Pool:

Land Use: Sfr

Year Built / Eff: 2004 /

# of units:

Bedrooms: Pool:

Bath(F/H): /

#16   1704 E Nardini St San Tan Valley Az 85140

Owner Name: Nikolaus Jacob R / APN / Alternate APN: 109-47-083 / Deed Type: Warranty Deed

Subdivision / Tract: Cambria Prcl 07 / Lot Size: 6,600

Land Use: Sfr

Year Built / Eff: 2002 / Rec. Date / Price: 03/29/2024 / $383,000 Living Area: 1,688

Document #: 22974

Total Tax Value: $264,161

# of units:

Bedrooms: Pool:

Bath(F/H): /

Name : Lisa Mrazek

Company Name : First American Title Insurance Company Prepared On : 09/03/2024

#17   1358 E Santa Fiore St San Tan Valley Az 85140

Owner Name: Sapp Ethan G / APN / Alternate APN: 109-46-079 / Deed Type: Warranty Deed

Subdivision / Tract: Cambria / Lot Size: 5,170

Land Use: Sfr

Year Built / Eff: 2001 / Rec. Date / Price: 03/11/2024 / $350,000 Living Area: 1,618

Document #: 17446

Total Tax Value: $241,522

# of

Bedrooms: Pool:

Bath(F/H): /

#18   40430 N Przewalski St San Tan Valley Az 85140

Owner Name: Perry Maegan / APN / Alternate APN: 109-21-051 / Deed Type: Warranty Deed

Subdivision / Tract: Las Praderas / Lot Size: 6,885

Land Use: Sfr

Year Built / Eff: 2002 / Rec. Date / Price: 12/21/2023 / $340,000 Living Area: 1,355

Document #: 92356

Total Tax Value: $244,682

Bedrooms:

Bath(F/H): /

#19   39908 N Calabria St San Tan Valley Az 85140

Owner Name: Shrader Karissa /Adam Christian APN / Alternate APN: 109-48-058 / Deed Type: Warranty Deed

Subdivision / Tract: Cambria Prcl 03 / Lot Size: 3,780

Land Use: Sfr

Year Built / Eff: 2002 / Rec. Date / Price: 09/20/2023 / $359,900 Living Area: 1,451

Document #: 69832

Total Tax Value: $212,991

#20   850 E Tucci St San Tan Valley Az 85140

Bedrooms:

Bath(F/H): /

Owner Name: Huerta Ernesto Jr /Thompson Leah

APN / Alternate APN: 109-48-069 / Deed Type: Warranty Deed

Subdivision / Tract: Cambria Prcl 03 / Lot Size: 3,780

# of units:

Pool:

Land Use: Sfr

Year Built / Eff: 2002 / Rec. Date / Price: 04/17/2024 / $375,000 Living Area: 1,658

Document #: 27937

Total Tax Value: $216,969

Bedrooms:

Bath(F/H): /

# of units:

Pool:

Owner Name : Lowry Tamarra

Sale Date : 07/07/2016

Total Value : $256,074

Land Use : Sfr

Stories : 2

Blt / Eff Yr Blt : 2003 /

Subdivision  : Cambria I

Owner Name : Progress Residential Borrower

Sale Date : 10/01/2021

Recording Date : 07/12/2016

Price  : $187,500

Tax : $1,068.76

Acres : 0.12

1,509

Recording Date : 10/08/2021

Price  : $348,000 Total Value : $222,221

Land Use : Sfr

Stories : 2

Tax : $1,290.02

Acres : 0.07

1,628

Blt / Eff Yr Blt : 2004 / APN : 109-51-065

Owner Name : Escue Bryant

Sale Date : 02/07/2018

Total Value : $223,629

Recording Date : 02/09/2018

Price  : $179,000

$1,088.38

Land Use : Sfr Lot Acres : 0.08

Stories : 2

Area : 1,629

Yr Blt / Eff Yr Blt : 2004 / APN : 109-51-069

Subdivision  : Cambria I

Owner Name : Hernandez Jesus Manuel Jr

Recording Date : 03/24/2020

Sale Date : 03/23/2020 Sale Price  : $207,000

Total Value : $196,304

Tax : $922.70

Land Use : Sfr Lot Acres : 0.08

Stories : 1 Living Area : 1,178

Yr Blt / Eff Yr Blt : 2004 / APN : 109-51-064

Subdivision  : Cambria I

Name : Lisa Mrazek

09/03/2024

Owner Name : Ecke Melissa M

Sale Date : 10/02/2021

Total Value : $212,388

Land Use : Sfr

Stories : 2

Blt / Eff Yr Blt : 2003 /

Subdivision  : Cambria I

Owner Name : Garner Brett Dee

Sale Date : 03/21/2018

N

Recording Date : 10/13/2021

Price  : $321,100

Tax : $1,012.74

Acres : 0.09

Area : 1,434

Recording Date : 03/23/2018

Price  : $147,000 Total Value : $194,065

Land Use : Sfr

Stories : 1

Blt / Eff Yr Blt : 2003 /

Owner Name : Webb Maxia K

Tax : $1,056.64

Acres : 0.08

Area : 1,178

Recording Date : 11/17/2009

Sale Date : 11/12/2009 Sale Price  : $95,000

Total Value : $231,180

$1,341.28

Land Use : Sfr Lot Acres : 0.09

Stories : 2 Living Area : 1,640

Yr Blt / Eff Yr Blt : 2004 / APN : 109-51-090

Subdivision  : Cambria I

Owner Name : Az Fair Investments Llc

Sale Date : 06/15/2009

Total Value : $207,419

Recording Date : 06/17/2009

Sale Price  : $70,000

$1,226.10

Land Use : Sfr Lot Acres : 0.07

Stories : 2 Living Area : 1,512

Yr Blt / Eff Yr Blt : 2003 / APN : 109-51-063

Subdivision  : Cambria I

1146 E ALTADONNA ST Distance 0.04 Miles

Owner Name : Acosta Jose Pablo Villa

Recording Date : 10/29/2004

Sale Date : 10/00/2004 Sale Price  : $138,081

Total Value : $220,094

Land Use : Sfr

Tax : $1,083.92

Acres : 0.08

Stories : 2 Living Area : 1,550

Yr Blt / Eff Yr Blt : 2004 / APN : 109-51-080

Subdivision  : Cambria I

1131 E ALTADONNA ST Distance 0.04 Miles

Owner Name : Ruiz Trust

Recording Date : 08/13/2004

Sale Date : 08/04/2004 Sale Price  : $112,685 Total Value : $192,501

Land Use : Sfr

Stories : 1

Tax : $1,069.80

Acres : 0.08

Area : 1,141

Yr Blt / Eff Yr Blt : 2004 / APN : 109-51-087

Subdivision  : Cambria I

Census Tract / block: 2.19 / 1     Year: 2020

Arizona Schools

PIMA COUNTY

SEARCH PARAMETERS

PARCEL:  109-51-0670

PARCEL: 109-51-0670 2

OWNER: MCNEELA CHRISTOPHER L     2010 42345 05/03/2010

SITUS: 1106 E ALTADONNA ST SAN TAN VALLEY

MAIL: 1106 E ALTADONNA ST  SAN TAN VALLEY AZ 85140

LEGAL: CAMBRIA PARCEL 1 LOT 67 SEC 20-2S-8E 5471 SQ FT .13 AC

CURRENT TAXES

INFORMATION THROUGH 08/15/2024

11900 12566 14613 14900 15625

24002 30001

2010 42345 SW

SW

2004 82038 QD K HOVNANIAN GREAT WESTERN 08/14/2003 3,147,100    2003 56173 WD GREAT WESTERN COMMUNITIES I M

SFR

Turn static files into dynamic content formats.

Create a flipbook
Issuu converts static files into: digital portfolios, online yearbooks, online catalogs, digital photo albums and more. Sign up and create your flipbook.