Dig Listing Kit w ccrs - Pima 102-17-177G

Page 1


Subject Property

5837 N Escondido Ln Tucson AZ 85704

APN: 102-17-177G

Data Provided By: First American Title Ins Co

WIRE FRAUD ALERT THINK DIFFERENTLY

Email-based, real estate fraud schemes are on the rise. One common scenario is altering wiring instructions with the intention of rerouting funds.

Keeping this in mind, First American Title is changing the way we receive payment information. It is imperative that we are familiar with the people in our transactions.

RELYING ON EMAIL ALONE IS NO LONGER AN OPTION.

Fraudsters often use email to send falsified wire instructions to unsuspecting victims. Please warn your buyers and sellers to only follow wire instructions they receive personally from First American Title.

Additionally, we will not accept disbursement instructions for seller or buyer funds via email OR from any third party (attorney, real estate agent, etc).

ALTERNATIVE INSTRUCTIONS?

If your buyer or seller receives alternative wiring instructions that appear to be from First American Title, make sure they contact their escrow officer at a trusted phone number for confirmation.

Know that our wiring instructions do not change so any communication is suspect. Our banking institution is First American Trust.

IN SHORT – wire instructions will not be accepted by email. New wire instructions must be hand-carried or uploaded to the First American Secure Portal.

Thank you for joining First American Title in fostering a secure real estate transaction process. Have questions or concerns? Please contact our office or your escrow officer.

LIMITATION OF LIABILITY FOR INFORMATIONAL REPORTS

IMPORTANT -- PLEASE READ CAREFULLY:

This report is not an insured product or service or a representation of the condition of title to real property. It is not an abstract, legal opinion, opinion of title, title insurance commitment or preliminary report, or any form of Title Insurance or Guaranty. This report is issued exclusively for the benefit of the Applicant therefor and may not be used or relied upon by any other person. This report may not be reproduced in any manner without First Americans prior written consent. First American does not represent or warrant that the information herein is complete or free from error, and the information herein is provided without any warranties of any kind, as-is, and with all faults. As a material part of the consideration given in exchange for the issuance of this report, recipient agrees that First Americans sole liability for any loss or damage caused by an error or omission due to inaccurate information or negligence in preparing this report shall be limited to the fee charged for the report. Recipient accepts this report with this limitation and agrees that First American would not have issued this report but for the limitation of liability described above. First American makes no representation or warranty as to the legality or propriety of recipient's use of the information herein.

Disclaimer

This REiSource report is provided "as is" without warranty of any kind, either express or implied, including without limitations any warrantees of merchantability or fitness for a particular purpose. There is no representation of warranty that this information is complete or free from error, and the provider does not assume, and expressly disclaims, any liability to any person or entity for loss or damage caused by errors or omissions in this REiSource report without a title insurance policy.

The information contained in the REiSource report is delivered from your Title Company, who reminds you that you have the right as a consumer to compare fees and serviced levels for Title, Escrow, and all other services associated with property ownership, and to select providers accordingly. Your home is the largest investment you will make in your lifetime and you should demand the very best.

Subject Property :   5837 N Escondido Ln Tucson AZ 85704

Owner Information

Owner Name : Escondido I Llc

Mailing Address : 6448 N Shannon Rd, Tucson AZ 85741-3028 C020

Vesting Codes : / / Corporation

Owner Occupied Indicator : A

Location Information

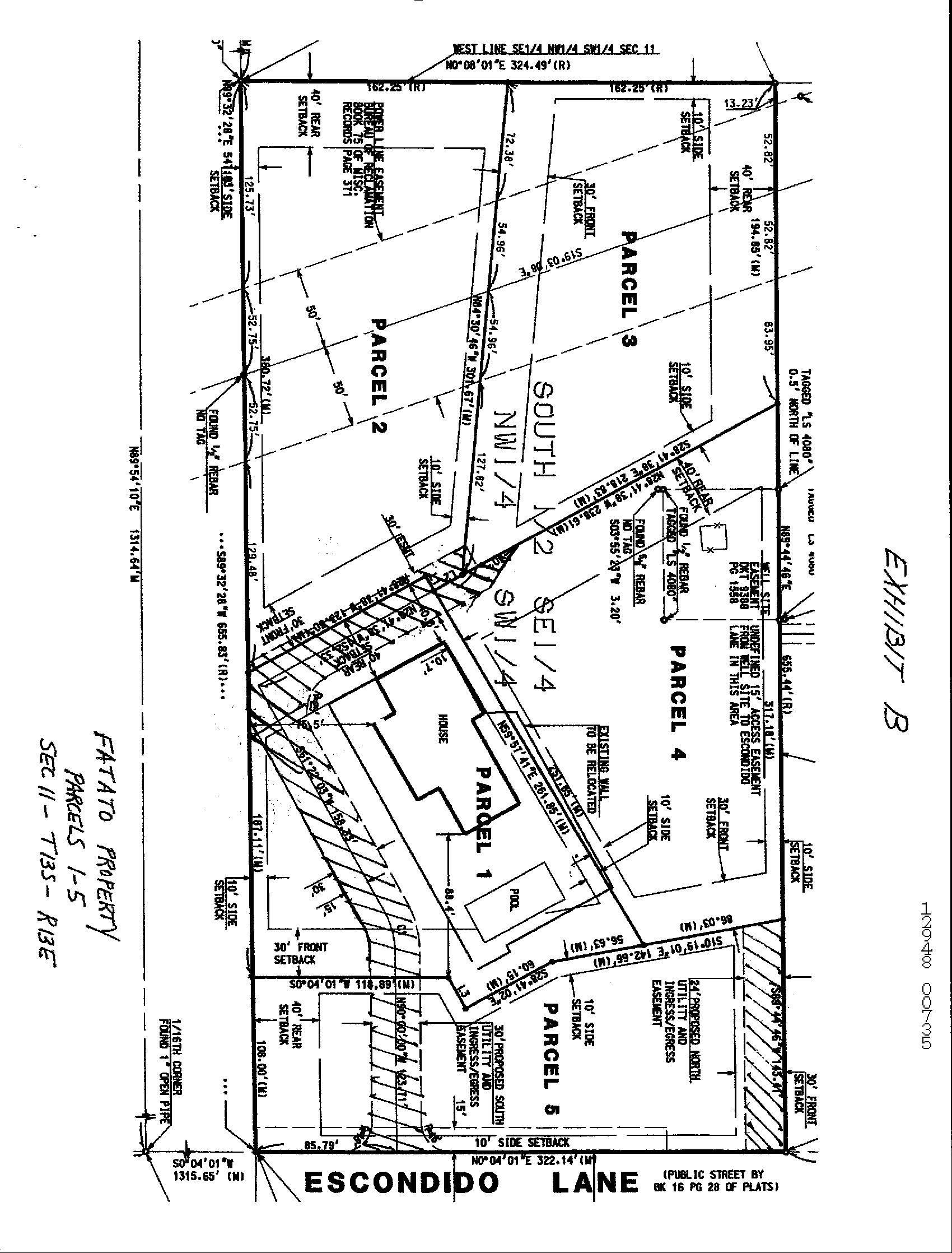
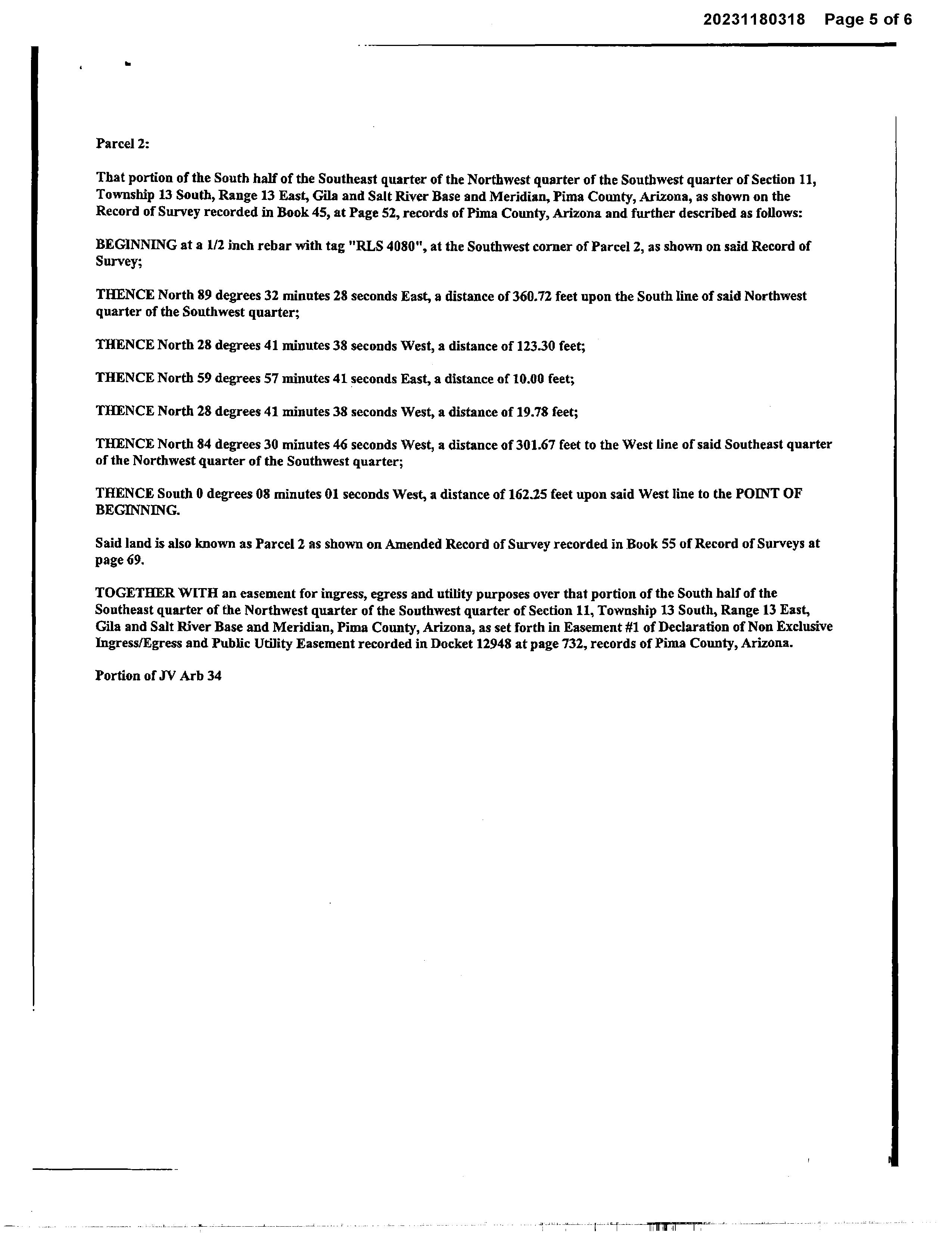
Legal Description : Ptn Pcl 3 Rs 45/52 Aka N162.25' S324.50' W301.67 S2 Se4 Nw4 Sw4 .99 Ac Sec 11-13-13

County : Pima, Az APN : 102-17-177G

Census Tract / Block : 46.18 / 1

Township-Range- Sect : 13S-13E-11

Market Area : 15

Owner Transfer Information

Recording/Sale Date : 12/01/2008 / 10/00/2008

Document # : 13444-2794

Last Market Sale Information

Recording/Sale Date : 09/29/2004 / 09/27/2004

Sale Price : $557,500

Document # : 1890782

Deed Type : Warranty Deed

1st Mtg Amount/Type : $390,250 / Cnv

Title Company : Title Guaranty

Lender : American Sterling Bk

Seller Name : Tricoli Karen A

Property Information

Map Reference : 11-13S-13E

School District : Amphitheater

Munic/Township : Amphitheater

Deed Type : Warranty Deed

1st Mtg Document # : 13444-2800

1st Mtg Int. Rate/Type : 4.75% / Adjustable Int Rate Loan

1st Mtg Document # : 12397-4726

1st Mtg Term : 30

2nd Mtg Amount/Type : $167,250 / Conv

Land Use : Residential Lot Zoning : CR-1 Lot Size : 42,689

County Use : Vac-res-urban Non Subd Lot Acres : 0.98

State Use : Vac-res-urban Non Subd

Name : Jeremiah

Customer Company Name : First American Prepared On : 11/05/2024

Tax : $1,653.36

Assessed Year : 2025

Taxable Value : $11,183

Year Total Value : $18,150 Assessed Year : 2023

Year Land Value : $18,150 Tax Year : 2023

Details of Comparables

Subject Property: 5837 N Escondido Ln Tucson Az 85704

Owner Name: Escondido I Llc / APN / Alternate APN: 102-17-177G / Deed Type: Warranty Deed

Subdivision / Tract: / Lot Size: 42,689

Rec. Date / Price: 09/29/2004 / $557,500 Living Area:

Document #: 1890782

Total Tax Value: $98,000

Land Use: Residential Lot

Year Built / Eff: /

# of

Bedrooms: Pool:

Bath(F/H): /

#1   1440 W River Terrace Dr Tucson Az 85704

Owner Name: Rhodock Holdings Llc / APN / Alternate APN: 104-01-048C / Deed Type: Warranty Deed

Subdivision / Tract: Rillito Gardens / Lot Size: 23,473

Rec. Date / Price: 06/14/2024 / $30,000 Living Area:

Document #: 1660143

Total Tax Value: $44,100

#2   680 W River Rd Tucson Az 85704

Land Use: Residential Lot

Year Built / Eff: /

Bedrooms: Pool:

Bath(F/H): /

Owner Name: Martinez Gerardo /Martinez Melissa APN / Alternate APN: 105-08-002L / Deed Type: Warranty Deed

Subdivision / Tract: / Lot Size: 11,082

Rec. Date / Price: 04/25/2024 / $173,000 Living Area:

Document #: 1160267

Total Tax Value: $57,000

#3   672 W River Rd Tucson Az 85704

Bedrooms:

Bath(F/H): /

Owner Name: Martinez Gerardo /Martinez Melissa

APN / Alternate APN: 105-08-002P / Deed Type: Warranty Deed

Subdivision / Tract: / Lot Size: 18,442

Rec. Date / Price: 04/25/2024 / $215,000 Living Area:

Document #: 1160007

Total Tax Value: $70,000

#4   2117 W Wetmore Rd Tucson Az 85705

Bedrooms:

Bath(F/H): /

Owner Name: Beccerra Juan M O /De La Luz Hernande Maria

APN / Alternate APN: 103-06-002D / Deed Type: Warranty Deed

Subdivision / Tract: Plum Acres / Lot Size: 10,854

Rec. Date / Price: 08/09/2024 / $185,000 Living Area:

Document #: 2220255

Total Tax Value: $42,000

Bedrooms:

Land Use: Residential Lot

Year Built / Eff: /

# of units:

Pool:

Land Use: Residential Lot

Year Built / Eff: /

# of units:

Pool:

Land Use: Residential Lot

Year Built / Eff: /

# of units:

Pool:

Bath(F/H): / Customer Name : Jeremiah Stiffler Customer Company Name : First American Prepared On : 11/05/2024

#5   1333 W El Caminito Pl Tucson Az 85705

Owner Name: Build My House Llc / APN / Alternate APN: 104-11-051A / Deed Type: Warranty Deed

Subdivision / Tract: / Lot Size: 16,989

Rec. Date / Price: 04/19/2024 / $150,000 Living Area:

Document #: 1100662

Total Tax Value: $50,000

#6   Az

Land Use: Residential Lot

Year Built / Eff: /

Bedrooms: Pool:

Bath(F/H): /

Owner Name: Iduco Llc / APN / Alternate APN: 106-05-0620 / Deed Type: Warranty Deed

Subdivision / Tract: Simmons Road Sub / Lot Size: 6,000

Land Use: Residential Lot

Year Built / Eff: / Rec. Date / Price: 08/23/2024 / $170,000 Living Area: #

Document #: 2360693

Total Tax Value: $32,000

Bedrooms:

Bath(F/H): /

#7   7137 N Thunderhead Dr Tucson Az 85718

Owner Name: Improve & Design Homes Llc / APN / Alternate APN: 108-05-137G / Deed Type: Warranty Deed

Subdivision / Tract: Gila & Salt River Base & Merid / Lot Size: 30,928

Rec. Date / Price: 07/25/2024 / $215,000 Living Area:

Document #: 2070205

Total Tax Value: $130,000

#8   4140 N Fortune Loop Tucson Az 85719

Bedrooms:

Bath(F/H): /

Owner Name: Obson Investors Llc / APN / Alternate APN: 108-20-3090 / Deed Type: Warranty Deed

Subdivision / Tract: Limberlost Twnhses / Lot Size: 2,688

Rec. Date / Price: 01/03/2024 / $390,000 Living Area:

Document #: 30431

Total Tax Value: $28,000

#9   4142 N Fortune Loop Tucson Az 85719

Bedrooms:

Bath(F/H): /

Owner Name: Monroy Ana C / APN / Alternate APN: 108-20-3100 / Deed Type: Warranty Deed

Subdivision / Tract: Limberlost Twnhses / Lot Size: 2,604

Rec. Date / Price: 01/10/2024 / $415,000 Living Area:

Document #: 100340

Total Tax Value: $28,000

Bedrooms:

Bath(F/H): /

Land Use: Residential Lot

Year Built / Eff: /

# of units:

Pool:

Land Use: Residential Lot

Year Built / Eff: /

# of units:

Pool:

Land Use: Residential Lot

Year Built / Eff: /

# of units:

Pool:

Name : Jeremiah Stiffler

Company Name : First American Prepared On : 11/05/2024

Owner Name : Escondido I Llc Sale Price  : $557,500

Sale Date : 09/27/2004

Total Value : $102,000

Land Use : Residential Acreage

Recording Date  : 09/29/2004

Owner Name : Marshall-santillan Raven J

Tax : $1,723.16

Acres : 1.07

102-17-177F

Recording Date : 06/16/2020

Sale Date : 06/03/2020 Sale Price  : $380,000

Total Value : $327,289

Bed / Bath : / 3

Tax : $3,280.66

Acres : 2.50 Land Use : Sfr

Area : 1,566

1

Owner Name : Melvinateo Llc

Recording Date : 06/27/2024

Sale Date : 06/26/2024 Sale Price  : $2,500,000 Total Value : $743,166

Land Use : Nursing Home

Stories : 1

$7,466.53

Acres : 0.98

Area : 4,631

Yr Blt / Eff Yr Blt : 2008 / 2008 APN : 102-17-177H

5825 N ESCONDIDO LN Distance 0.06 Miles

Owner Name : Melvinateo Llc

Sale Date : 06/26/2024

Total Value : $722,555

Land Use : Nursing Home

Stories : 1

Yr Blt / Eff Yr Blt : 1965 / 1965

Recording Date : 06/27/2024

Price  : $2,500,000

$7,745.54

Acres : 0.94

Area : 4,804

102-17-177E

Name : Jeremiah Stiffler Customer Company Name : First American Prepared On : 11/05/2024

1221 W LAS LOMITAS RD

Owner Name : Williams Dale

Recording Date : 07/01/2011

Sale Date : 06/27/2011 Sale Price  : $445,000

Total Value : $483,077

Tax : $4,506.21

Bed / Bath : / 2 Lot Acres : 2.27

Land Use : Sfr

Area : 2,730 Stories : 1

102-17-179C Yr Blt / Eff Yr Blt  : 1956 / 5785 N ESCONDIDO LN

Owner Name : Moore Douglas R Iii

Recording Date : 01/15/2021

Sale Date : 01/12/2021 Sale Price  : $500,000 Total Value : $314,215

Bed / Bath : / 3

Tax : $3,611.47

Acres : 1.50 Land Use : Sfr

Area : 2,124 Stories : 1

102-17-182E Yr Blt / Eff Yr Blt  : 1996 /

Name : Jeremiah Stiffler

Company Name : First American Prepared On : 11/05/2024

Census Tract / block: 46.18 / 1     Year: 2020

Arizona Schools

PIMA COUNTY

SEARCH PARAMETERS

PARCEL:  102-17-177G

PARCEL: 102-17-177G

OWNER: ESCONDIDO I LLC     13444 2794 12/01/2008

SITUS: 5837 N ESCONDIDO LN PC

MAIL: PO BOX 91740  TUCSON AZ 85752-1740

LEGAL: PTN PCL 3 RS 45/52 AKA N162.25' S324.50' W301.67 S2 SE4 NW4 SW4 .99 AC SEC 11-13-13

CURRENT TAXES

ADDITIONAL PROPERTY INFORMATION

RESIDENTIAL LOT END SEARCH

Covenants, Conditions & Restrictions

Thank you for the opportunity to be of service.

Restrictions indicating a preference, limitation or discrimination based on race, color, religion, sex, handicap, familial status, or national origin are hereby deleted to the extent such restrictions violate 42 USC 3604(c).

This information is furnished without fee and without benefit of a complete title search. No liability is assumed by First American Title. If it is desired that liability be assumed, you may apply for a policy of title insurance with First American Title Insurance Company.

Turn static files into dynamic content formats.

Create a flipbook
Issuu converts static files into: digital portfolios, online yearbooks, online catalogs, digital photo albums and more. Sign up and create your flipbook.