








EN EL TAMBO HACER





![]()




































5
Editorial
Se puso en marcha un proceso… …y ya nada fue igual
"Aprendamos de los procesos virtuosos de años atrás, pero sepamos construir nuestro futuro con lo que hacemos hoy cada vez mejor Sin dudas, hay todavía mucho margen posible de progreso Y en el mundo sigue creciendo la demanda de lo que nuestro agro y las agroindustrias producen todo un desafío”
6
8
Lechería argentina hacia el 2030 y más
Ing Agr MARCOS SNYDER
“Los tambos argentinos muestran una clara tendencia, con reducción de cantidad de pequeñas explotaciones, el crecimiento en eficiencia en todo tipo de tambo con variada intensidad, pero, en especial los grandes, la necesidad de mantener en agenda lo ambiental y el bienestar animal y la necesidad de ir capacitando al grupo humano con nuevas habilidades”
Carne vacuna, ¿Cómo transformar un commoditie en especiallity?
Lic. Víctor Tonelli
“Debemos pensar en cómo agregar valor a nuestra calidad y selección genética transformando un negocio de commodities en especialidades que permita estandarizar (tipificar) las diferentes calidades de carne ”


11
Reformas imprescindibles para un futuro mejor
Lic Gustavo Lacha Lazzari
“Una mirada a la política económica de un economista y empresario PYME que invierte, arriesga y paga quincenas”
15
Una ventana global para la ganadería argentina: oportunidad, desafíos y responsabilidad compartida
Ing P A Fernando Storni
“Las perspectivas de la ganadería de carne son claramente muy positivas De tranqueras hacia adentro debemos seguir creciendo en eficiencia y como cadena de ganados y carne aún quedan deberes para hacer”


18
Para lograr más y mejor pasto
Cultivo antecesor de praderas y verdeos
Ing Agr Santiago Pisonero
“La implantación de Praderas Permanentes (PP) y Verdeos de Invierno (VI) es un momento clave del año que no deberíamos desatender No deje de consultar con su asesor agronómico de confianza, recuerde que aporte profesional se paga solo con los errores que se evitan”

20
Una prometedora leguminosa anual de verano
El cultivo de Crotalaria juncea
Ing Agr Diego Bersachia
“Surge como una buena opción como cultivo de cobertura para la agricultura sostenible, garantizando la sanidad y fertilidad del suelo Tiene futuro como forrajera y promete diversificar los forrajes conservados”

22
El calendario nos recuerda
Para diciembre-enero tenga en cuenta
Producir XXI
“Mes a mes confeccionamos un listado de prácticas de manejo específicas y generales que deberían realizarse o monitorear periódicamente para un mejor funcionamiento de la empresa tambera”
24
El forraje conservado de calidad es fun-da-men-tal
Ing Agr MBA Gastón Urrets Zavalia
“En Argentina, los principales forrajes conservados a base de alfalfa son los henos y silajes Conocer sus principios de conservación es clave para una correcta confección y almacenamiento”
26
Presentamos la Comisión de Lechería de la Red BPA
RED DE BUENAS PRÁCTICAS AGROPECUARIAS
“Las Buenas Prácticas Agropecuarias (BPA) son una manera adecuada de producir y procesar los productos agropecuarios para que cumplan con los requerimientos necesarios para una producción sana, segura y amigable con el ambiente Consisten en hacer las cosas bien y dar garantías de ello”
29 Jornada Aprocal:
Hacia sistemas intensificados, eficientes y mucho más simples
TODO LECHERÍA
“En el XI Episodio de La Vaca alrededor de la Ubre organizado por Aprocal, Juan Grigera señaló que la intensificación de los sistemas de alimentación reside en tres aspectos clave: confort, consumo y magnesio Los datos son la clave”
33 Opciones de negocio:
cómo hacer plata con las vacas
Ing Agr Anibal Fernández Mayer
“Es clave tener en cuenta los distintos modelos productivos para apuntar a los mejores resultados económicos”
36 La ganadería de la Pampa Deprimida mejora su eficiencia y reduce emisiones
Visión Rural
“Un trabajo de INTA y universidades junto a productores evaluó 37 establecimientos ganaderos de la Pampa Deprimida Los resultados muestran que la intensificación ganadera aplicando buenas prácticas de manejo permite aumentar la producción de carne y, al mismo tiempo, reducir la huella de carbono”
40 Conflictos cruzados: las lecciones de El Padrino para las empresas familiares
Andrés Hatum / www lanacion com ar
“Para las pymes el dilema no pasa sólo por ver quién hereda el mando, sino por evitar que la sucesión se convierta en tragedia”
41 ESPACIO DE INTERÉS GENERAL
Faustino Oro logra su primera norma de gran maestro con tan solo 11 años
Mariano Sigman y David Martínez
“Faustino Oro, niño argentino de once años, acaba de lograr su primera norma de Gran Maestro Le bastaron siete partidas de nueve para obtener los seis puntos necesarios”

42
Frutas y verduras de verano: colores, sabores y beneficios
Lic Josefina Marcenaro
“El verano no solo nos regala días más largos y más sol; también nos ofrece una paleta vibrante de frutas y verduras que son un verdadero tesoro nutricional El consumo de alimentos de temporada no es solo una elección económica y de sabor superior, sino una estrategia inteligente para optimizar nuestra salud”









Muchas veces se ha mencionado en distintos medios masivos, redes, etc , el enor me trabajo realizado por el DAT P, D ep ar tam en to d e Asistencia Técnica a los Productores, de la Serenísima, a fines de los 70 y durante la década del 80 Fue una muy buena propuesta, realizada en el momento justo, y aprobada e impulsada por un extraordinario empresario como fue Don Pascual Mastellone .
No fue mérito exclusivo ni pr incipal de quienes dir igían el DATP, “fu e el g ru p o q u e h izo al g ru p o ” , como lo he expresado muchas veces Fueron casi 90 jóvenes Ingenieros agrónomos que, con entusiasmo y dedicación, pasaron por el DATP en esos años, y fueron 67 los que trabajaron juntos en el momento de mayor desarrollo, apoyados muy bien por los integrantes de Compra de Mater ia Pr ima Leche y por camioneros de recolección de leche de los tambos, quienes se beneficiaban si transpor taban más litros
Pero lo s verd ad ero s h éro es d e ese proceso fueron los productores. Ellos fueron los que concretaron los cambios en sus tambos, muchas veces convencidos y otras muchas porque no quer ían quedar atrás en algo que parecía que era muy bueno Ellos le dieron la opor tunidad de trabajar a ese grupo de jóvenes y muy responsables profesionales que llegaban a sus campos para mirar que hacía cada productor, cómo y por qué lo hacía y poco a poco le fueron apor tando su apoyo técnico y lo fueron desafiando a producir más y mejor, porque había un “marg en posible d e p ro g reso ” Sin conocer aún el concepto, todos nos fuimos metiendo en un proceso de “mejora continua”, entendida como “u n a esp iral vir tu o sa d e avance en mejores formas de trabajar, co rrig ien d o erro res y p o ten cian d o acier to s y así co n seg u ir resu ltad o s p ro d u ctivo s, eco n ó m ico s y so ciales crecientemente mejores”.
Se progresó en muchas áreas de la


producción, pero en esta opor tunidad y dada la época del año que ya estamos en pleno momento de resolver las siembras de otoño, destacamos el asombroso proceso de incremento de la superficie que cada tambo fue logrando con PP, praderas per manentes consociadas de gramíneas y leguminosas Eran los tiempos de “log rar can tid ad d e alim en to s p ara las vacas”. Primero era lograr cantidad, luego vendr ía la etapa de la calidad
En el “diagnóstico cero” o inicial, realizado en 1979, en los más de 3000 tambos remitentes se sembraban unas 9 000 hectáreas por año de PP, y esto era muy poco (menos de 3 has promedio por cada tambo, dato mentiroso porque muy pocos hacían PP) Había que desafiar a los productores En 1980 el lema de campaña fue “En el tambo hacer praderas es negocio”, y al año siguiente “Con mucha pradera su tambo es más negocio” Se batió el parche por radio y TV, se mandaron a los tambos circulares muy gráficas, con muchos dibujos sencillos sobre el tema y se ar maron mensajes técnicos en el boletín mensual Se ar maron char las técnicas y reuniones de campo y se concretaron miles de visitas individuales a los campos “afinando la punter ía” para cada caso Basta decir, como ejemplo, que se
distr ibuyeron 5.000 mazos de barajas de tr uco con el lema en el reverso y más de 10 000 calcomanías para la luneta de los vehículos con estos mensajes
Tres años después, con 5400 tambos remitentes, se sembraban casi 100 000 has/año, es decir un promedio de 18 has/tambo. Esto es un 500 % más en cada tambo promedio
Y ah o ra vo lvem o s al m o m en to actu al: ¿está Ud como productor planificando muy bien sus siembras de PP en otoño?, ¿ya conversó el tema con su asesor de confianza? Las buenas decisiones tomadas hoy definirán cuánta pastura de calidad tendrá para sostener producción, salud animal y márgenes económicos
El punto de par tida siempre es el cultivo antecesor Un antecesor mal manejado deja un rastro costoso: piso, compactación, malezas y baja disponibilidad de humedad Un lote que llega ordenado a la siembra garantiza mejores tasas de implantación y un arranque vigoroso
La elección de especies y mezclas no debe improvisarse Gramíneas y leguminosas con aptitud probada para la región, densidades adecuadas, fechas correctas y suelos con fer tilidad calibrada son la base de la estabilidad forrajera Cada error en esta primera etapa se paga con menos forraje cada año y por menos años
Aprendamos de los procesos vir tuosos de años atrás, pero sepamos constr uir nuestro futuro con lo que hacemos hoy cada vez mejor Sin dudas, h ay to d avía mucho margen posible de progreso. Y en el mundo sigue creciendo la demanda de lo que nuestro agro y las agroindustrias producen todo un desafío No debemos bajar los brazos, vamos por más y va nuestro deseo de Felices Fiestas y un muy buen 2026
Ing Agr Luis Marcenaro Director de PRODUCIR XXI

ING AGR MARCOS SNYDER snydermarcos@gmail.com
www dairylando com ar +54 9 2226 532-035

Los tambos argentinos muestran una clara tendencia, con reducción de cantidad de pequeñas explotaciones, el crecimiento en eficiencia en todo tipo de tambo con variada intensidad, pero, en especial los grandes, la necesidad de mantener en agenda lo ambiental y el bienestar animal y la necesidad de ir capacitando al grupo humano con nuevas habilidades.

En un primer vistazo:
Evolución de los sistemas de producción en Argentina
Desde 1980 al 2023 y proyección 2030

Lo único constante es el cambio y en ese futuro presente la tecnología es una aliada que mejora la competitividad y reduce costos, que parecen la misma cosa, pero éstos, son sólo una par te de aquella Sea cual fuere el sistema que elijamos para producir, sea más o menos pastoril o en galpones, tiene destino de crecimiento, que por ahora lo hace, la lechería argentina total, a un 2,7% anual Esto es mucho más que la cantidad de habitantes y por lo tanto nos lleva indefectiblemente a prever mayores niveles de expor tación
Independientemente del modelo productivo, apoyado en que cualquier esquema, según su contexto y ambiente,
seguirán adelante aquellos que demuestren crecientes niveles de eficiencia, tanto productiva como de gestión empresar ial El principal desafío reside en la super vivencia de los tambos de pequeña escala, que constituyen casi la mitad de las explotaciones lecheras y que son claves para las economías regionales y el afianzamiento poblacional en el interior del país
A dem ás, el consum o mundial de leche viene creciendo y la provisión está en problemas, pues, por diferentes razones, Nueva Zelanda y Europa no pueden crecer y una buena par te de ese incremento de demanda será satisfecho por Estados Unidos y Sudamérica



LIC. VÍCTOR TONELLI
Productor y Consultor ganadero
victor@victortonelli com ar +54 9 11 4176-1655
Debemos pensar en cómo agregar valor a nuestra calidad y selección genética transformando un negocio de commodities en especialidades que permita estandarizar (tipificar) las diferentes calidades de carne.
LUna nueva era para la ganadería a extraordinar ia demanda mundial, los cambios en las políticas públicas que ahora dan previsibilidad y la disponibilidad de tecnología probada definen una nueva era para la ganadería en nuestro país
Sobre este punto cada vez hay menos dudas, pero surgen muchos interrogantes acerca de las estrategias y tácticas que per mitan concretar las opor tunidades
Hay que agregarles valor a nuestras carnes
Uno de los interrogantes, y no menor, plantea acerca de los cambios necesarios que per mitan agregar valor a nuestra calidad y selección genética transformando un negocio de commodities en especialidades
que per mita estandarizar (tipificar) las diferentes calidades de car ne siguiendo parámetros objetivos que las diferencien por su palatabilidad, extendiendo por ello a la satisfacción que se percibe al momento de su consumo Aspectos como ter neza, sabor, jugosidad y otros presentan diferencias en la valoración de consumidor y hay sido desarrollados y testeados a lo largo de décadas en sistemas de países que hoy lideran los mercados de nichos de alto valor en el mundo
Nuestros competidores ya lo hacen
EEUU y Australia, con más de 30 y 20 años, respectivamente, hay ido perfeccionando sistemas objetivos que, par tiendo

de diferentes parámetros, per miten predecir, con alta repetitividad, el grado de satisfacción de los consumidores a car nes que poseen deter minadas características vinculadas con las razas, la edad, el sexo, el sistema de alimentación, de procesamiento, maduración y finalmente de for ma de cocción de los productos
A lo largo de las últimas décadas, fue modificando la caracter ística de mayor valor, en los inicios el tema ter neza que pasó de representar hasta el 70% en la ponderación de valor, seguido por el sabor y la jugosidad Hoy, a medida que la selección y los procesos fueron unifor mando la ter neza, los dos últimos parámetros pasaron a ser los que generan la mayor demanda,


Carne vacuna...
El mar móreo o mar moleo (grasa intramuscular) de la car ne es uno de los parámetros (no el único) que defines niveles de calidad (cuanto mayor, mejor) y que alcanza, según diferentes estándares, diferencias de precios del 10, 15 o mas del 20% para diferentes grados de intensidad Tenemos las bases para hacerlo
Hasta ahora, nuestro país tiene un sistema de tipificación que no califica por estas características que definen la palatabilidad, pero si lo tiene desarrollado y ha avanzado en pruebas para que los frigoríficos, en for ma voluntar ia los puedan implementar y agregar valor a los cor tes de mayor calidad Es más, existen sistemas que interactúan con los celulares, que, enviando la foto de un bife a la nube, esta en segundos y a través de algor itmos, devuelve información precisa sobre la calidad objetiva, vinculada al potencial de satisfacción del consumidor que, claramente, valora este tipo de car ne
lo hacen
Dos ejemplos: los lideres del mercado global en los segmentos de nicho de alto valor, tienen esquemas que relación calidad con marmóreo, color de carne y grasa, área de ojo de bife, espesor de grasa dorsal y otros como se muestran a continuación:
En EE.UU.:

En Australia:

Mas allá de la complejidad de los sistemas, la excelente noticia es que estamos avanzando en adecuar estos procesos de tipificación en nuestro país, que la calidad de las razas y los procesos nos permitirán alcanzar los mejores estándares y que la selección ge-
nética que vienen desarrollando los criadores, desde hace años, sumado a los avances de la mejora de procesos, nos permitirán generar productos para competir de igual a igual en los mercados de mayor valor y esto, es una gran noticia que refirma el extraordinario momento que tenemos y debemos aprovechar


LIC GUSTAVO “LACHA” LAZZARI
Economista y empresario PyME
+54 9 11 3580 9830
@lacha @gdlazzari
a. Pasó un tiempo y decantamos.
b. La gente vota, siempre, “Fondo en lugar de For ma”, “Largo Plazo en lugar de Cor to Plazo”, “Proceso en lugar de Resultados” Mayor madurez de la que parece
c Entendiendo el resultado el gobier no se lanzó a refor mas claves. Las denomina “refor mas para el crecimiento”
2. Reformas Clave
a. Histórico. En breve se presentará en el Congreso dos refor mas claves Dos condiciones necesarias (no suficientes) para encarar un proceso de crecimiento sostenido





Una mirada a la política económica de un economista y empresario PYME que invierte, arriesga y paga quincenas.
Muchos borradores (al 24/11), ninguno oficial
b. Entiéndase . “Condición necesaria” significa que un proceso de crecimiento sostenido requiere una legislación laboral moder na (q u e p ro teja a lo s trab ajad o res sin fu n d ir a las em p resas) y un sistema fiscal sustentable, es decir, que recaude sin expoliar.
c. Sin estas reformas.. ¿puede haber crecimiento? Sí, pero en modo de recuperación sin transformación real de la Argentina. Tal como sucedió en exper iencias anter iores,
los procesos de crecimiento en los noventa y en el período 2003-2008, la rigidez laboral y la inviabilidad fiscal no sólo ahogaron tales procesos, sino que impidieron una transfor mación real en la productividad, la competitividad y el desarrollo de la economía A no confundirse Crecimiento sin refor ma no incluye, no resiste y no transfor ma
3. Las reformas
a. Reforma Fiscal
● La reforma fiscal es clave dada la
Servicios a Empresas de Auditoría y Consultoría Acompañando a los pacientes a abordar un estilo de vida saludable.
Atención presencial Atención virtual






turnos@josefinamarcenaro.com info@josefinamarcenaro.com josefinamarcenaronutricion 11 6421 8351


inviabilidad del sistema impositivo arg entino El sistema impositivo argentino es inviable
● Arg entina tiene muchos impuestos, altos y con un sistema de recaudación insostenible por lo injusto, gravoso y arbitrar io Un sistema basado en retenciones y percepciones que además de lo elevado de las alícuotas incrementa el costo violando el histór ico pr incipio de economicidad “El contr ibuyente paga más que lo que el estado recauda” La burocracia fiscal explica esa diferencia
● La refor ma fiscal debería incluir (de alguna manera, pacto fiscal, o el for mato que sea) a las provincias y municipios
● No hay chance de reducir la informalidad sin una refor ma fiscal de fuste a nivel nacional, provincial y municipal Todos los niveles de gobier no, todas las bases imponibles, todas las alícuotas.
● El bolsillo de las pymes es uno sólo. Una refor ma de los impuestos, para que tenga el impacto necesar io, debe incluir una mor igeración de la voracidad fiscal provincial y municipal
● Aún no está el texto. Al 9/11 el texto de la refor ma fiscal no fue difundido. No obstante es de esperar una refor ma disr uptiva que efectivamente reduzca la carga fiscal global, la distorsión de impositiva, la carga regulator ia del cumplimiento fiscal y promueva la competencia entre provincias.
● Objetivos ambiciosos pero imprescindibles
b Reforma Laboral
i. Contenidos : En tér minos de títulos la refor ma laboral (“Moder nización”) tiene tres contenidos
1. Reducción de costos del despido y contingencia laboral
a. Reducción de los costos indemnizatorios La refor ma laboral deber ía (deber ía) incluir un tope indemnizatorio para el caso de despidos Para comprender este punto es necesar io asumir dos verdades
● Ninguna empresa está diseñada para despedir sino para contratar
● Sin cer teza de finalizar un contrato no hay posibilidad de comenzar lo
b. Los altos costos indemnizatorios generan tres efectos
● Desaniman la contratación
● Generan pasivos contingentes inviables para pequeñas empresas
● Desprotegen al trabajador al disminuir la demanda potencial de empleo
c Los instr umentos que podr ían emplearse ser ían


Reformas imprescindibles para un futuro mejor
● Tope indemnizator io a diez meses de sueldo
● Fondo de cese laboral
● Seguro por cese laboral
d. Eliminación de la industria del juicio
i Los reclamos indemnizator ios suelen ter minar en los estrados judiciales donde, dado el for mato legal, los incentivos se canalizan hacia juicios largos, tediosos, llenos de instancias y per itos con costos crecientes para la empresa
ii Las consecuencias de la industr ia del juicio son:
● Reducción en el incentivo a contratar
● Costos contingentes indeter minados que der ivan en quebrantos patr imoniales y una peor calificación crediticia para la empresa
● Incentivos per versos en tér minos de
labor iosidad y relaciones laborales intra empresa
● Pérdida de credibilidad y reputación del sistema judicial El cual se extiende a otros ámbitos.
● Cultura rentística y anti productiva en el ambiente económico (Todas las par tes menos las empresas creen que tienen un plazo fijo al infinito)
● Clima laboral tenso anti productivo
● Los pasivos contingentes no determinados han conver tido a los juzgados laborales en cementer ios de pymes
2. Simplificación y adecuación a nuevos formatos de trabajo Confor me a las nuevas modalidades de trabajo, la actual legislación quedó obsoleta
Los temas der ivados de este requisito son
● Banco de Horas
● Par tición del per íodo vacacional
● Eliminación de la ultraactividad
● Acuerdos por empresas supletor ios del convenio
● Pagos de salar ios dinámicos (remuneración por objetivos)
3 Normalización del poder sindical
Hay var ias nor mas en estudio que afectan el poder sindical debido a
● Reglamentación del derecho de huelga estableciendo actividades esenciales (75% de cumplimiento) y de relevancia estratégica (50% de cumplimiento)
● Eliminación del apor te compulsivo y el pago mediante descuento de nómina
● Eliminación de la ultractividad


ING P A FERNANDO STORNI Presidente
Cámara Argentina de Feedlot fmstorni@gmail com

Las perspectivas de la ganadería de carne son claramente muy positivas. De tranqueras hacia adentro debemos seguir creciendo en eficiencia y como cadena de ganados y carne aún quedan deberes para hacer.

Los mercados internacionales: oportunidad inédita
En un mundo que demanda proteínas de calidad, nuestro país cuenta con atr ibutos –sanidad, genética, exper iencias acumuladas– que lo
posicionan favorablemente a pesar de algunas tareas pendientes Pero aprovechar esta coyuntura no es automático: exige una intensa ar ticulación entre los actores de la cadena y un Estado que acompañe con políticas claras y previsibles


Para prevenir el empaste de su ganado

Suplemento con producto tensioactivo sintético, destinado a la suplementación de bovinos en condiciones de pastoreo, para prevenir el empaste.
El empaste ocurre en los planteos pastoriles, con base forrajeras constituidas por leguminosas
Una ventana global para la ganadería argentina: oportunidad, desafíos y responsabilidad compartida
El contexto global es auspicioso a pesar de algunas luces amar illas que se encienden China sigue siendo un destino clave para nuestra car ne, aunque hay signos de aler ta por la salvaguarda que examinan sus autor idades y sobre la que tendremos definiciones antes de fin de año Al mismo tiempo, el acceso a la Unión Europea plantea nuevos desafíos con motivo de la nor mativa de productos libres de deforestación
Por otro lado, tenemos dos negociaciones en marcha que podr ía representar una impor tante mejora de acceso a mercados Pr imero el ya histór ico acuerdo Unión Europea Mercosur y luego las recientes negociaciones para ampliar el acceso preferencial al mercado de los Estados Unidos
Una gran oportunidad argentina
Esa opor tunidad pasa por poder capturar en cada mercado el mayor valor de sus productos y crecer, sobre todo, en los mercados de alto valor que es lo que puede per mitir un crecimiento sostenido y sustentable de nuestra ganader ía Para lograr lo es fundamental que además de lograr nuevos accesos a mercados con acuerdos sanitar ios podamos poner foco y trabajar en mejorar las condiciones de acceso en los destinos que ya estamos abasteciendo Es más impor tante y tiene un impacto más rápido las mejoras comerciales que la aper tura de nuevos des-
tinos Por otro lado es clave una mirada desde el estado entendiendo que no podemos entrar y salir del mundo constantemente como nos ha sucedido además de calidad debemos ser proveedores confiables y consistentes en el tiempo
Es un sector ya consolidado como el pr incipal proveedor de car ne de calidad tanto para el mercado doméstico como para la expor tación y tendrá un rol fundamental dadas las caracter ísticas que buscan los impor tadore en la car ne de calidad asociadas a mar moleo y por ende a sabor, ter neza y jugosidad La industr ia nos señala que la demanda pasa en todos los destinos por car ne ter minada a corral con días de encierre suficientes para asegurar esa ter minación
Puer tas adentro tenemos desafíos no menores que tienen que alinearse para que podamos como cadena ser competitivos Los mercados a los que debemos abastecer tienen otros oferentes y muchas veces con ventajas comparativas. En ese aspecto tenemos desafíos tranqueras adentro que pasan por ser aún más eficientes de lo que somos, yendo cada vez más a la sintonía fina en nutrición sanidad y manejo donde creo que además tene-
mos el desafío inmediato de la automatización y análisis de una gran cantidad de infor mación que se genera en las producciones intensivas Por otro lado, es claro que la competitividad pasa también por adecuar y ajustar la carga impositiva donde no sólo tiene un rol el estado nacional sino fundamentalmente provincias y municipios con impuestos y tasas que es increíble que aún existan
La opor tunidad inter nacional para la ganader ía argentina es real y potente Pero para capturar la, no basta con buena voluntad: se necesita una estrategia nacional donde la cadena trabaje unida y el Estado actúe como garante y facilitador
La Argentina tiene potencial para producir mucho más sin aumentar el rodeo, a través de mejoras de eficiencia, valor agregado (60% de nuestro maíz se expor ta como tal) y mejores canales comerciales además de nuestro potente consumo inter no.
Solo si todos los eslabones cabañas, cr iadores, engordadores, consignatar ios, fr igor íficos y expor tadores convergen en una visión común, podremos sostener un crecimiento genuino El desafío es grande, pero la ventana no estará abier ta para siempre ¡Es ahora!





ING AGR SANTIAGO PISONERO
Asesor privado,
Mat Prof CIAFBA N°574 +54 9 2344 403307
La planificación es clave
La implantación de Praderas Per manentes y Verdeos de Invier no es un momento clave del año que no deberíamos desatender, y que muchas veces no reciben la misma impor tancia que un cultivo de cosecha de granos
No olvidemos la impor tancia que tienen los distintos eslabones de una Cadena Forrajera para que esta sea robusta en el tiempo Son todos impor tantes!! (Praderas, verdeos de Invier no/Verano, Reser vas y Campo Natural)
El equipo de siembra
Un apar tado especial deberíamos dedicar les a las Sembradoras En general
La implantación de Praderas Permanentes (PP) y Verdeos de Invierno (VI) es un momento clave del año que no deberíamos desatender. No deje de consultar con su asesor agronómico de confianza, recuerde que aporte profesional se paga solo con los errores que se evitan.
no disponemos de una maquinaria acorde para las semillas forrajeras y debemos lograr la mejor siembra posible con maquinar ia para sembrar tr igo y/ó soja Aquí radica la habilidad del responsable de la siembra para lograr la mejor regulación posible Siempre recordar que la Profundidad Real es “la cantidad de tierra que dejamos por encima de la semilla”.
El principal problema de los malos logros en praderas radica en el pequeño tamaño de semilla (escasas reser vas); son especies de lento crecimiento inicial que ante fechas de siembras tardías ó lotes enmalezados ven peligrar su implantación
Un buen antecesor es clave
En la rotación previa a la siembra, es i m p o r t a n t e t e n e r e n c u e n t a l o s c u l t i vo s
antecesores y el control de malezas para no tener sor presas en el año de implant a c i ó n , t o d o l o q u e p o d e m o s c o n t r o l a r a n t e s ; n o s ev i t a s o r p r e s a s a f u t u r o
Según la zona, planteo productivo y lote del campo se pueden elegir distintos buenos antecesores
Hay que considerar que la sem b radora tiene que trabajar sobre una sup e r f i c i e f i r m e , p a r e j a y c o n p o c o rastrojo que no condicione los sistemas de control de profundidad de la sembradora Si los rastrojos son muy abundant e s y e s p e c i a l m e n t e s i e s t á n m a l distr ibuidos, van a provocar una profundid a d d e s i e m b ra d e s p a r e j a , d e j a n d o s emilla entre el rastrojo, pero sin contacto con la tierra y otras en los sectores sin cobe r t ura a mayo r p ro fu nd i da d q u e l a d eseada

Un buen antecesor: libera el lote temprano sin malezas y con poco rastrojo
El Mal antecesor: libera el lote tarde y/ó sucio y/ó con mucho rastrojo.
Cuidado con los herbicidas utilizados antes
El mayor uso de herbicidas residuales registrado en los últimos años debido al incremento de malezas de difícil control, está generando cada vez más problemas de fitotoxicidad en la implantación de las praderas, con lo cual sug erimos prestar mucha atención y nota de los herbicidas utilizados antes de sembrar.
Opciones de cultivo antecesor con algunas observaciones:
1. Maíz de Silo de fecha temprana: libera el lote temprano con muy poco rastrojo. Tener presentes los herbicidas residuales utilizados
2. Moha para rollos: libera el lote temprano con muy poco rastrojo Tener
presentes los residuales utilizados Si el cultivo semilla, esperar que nazcan y controlar al momento de sembrar
3. Cultivos de Invierno: Libera el lote temprano, dejan mucho rastrojo (evaluar que hacemos), las pérdidas de cosecha pueden llegar a competir en la implantación Tener presentes los residuales utilizados
4. Girasol: libera el lote temprano, con muy poco rastrojo Tener presentes los herbicidas residuales utilizados
5 Verdeos de Verano de pastoreo: la fecha de liberación del lote lo manejamos nosotros, debemos finalizar el verdeo a tiempo Para dejar bajo rastrojo el último pastoreo debe ser intenso Evitar pastoreos con piso saturado Ojo con los herbicidas residuales utilizados
6. Maíz de Silo de fecha tardía: libera el lote TARDE con muy poco rastrojo. Tener presentes los residuales utilizados
7 Soja de Cosecha: libera el lote tarde, Deber ía ser un ciclo cor to Deja mucho rastrojo y mal distr ibuido Evaluar hacer rollos Tener presentes los herbicidas residuales utilizados
No utilizar praderas ó campo naturales como antecesores de nuevas siembras, en general están enmalezados, la presencia de insectos de suelos suele ser elevada y los lotes suelen estar compactados
En caso de sembrar en convencional la cama de siembra debe estar fina y fir me Para las siembras en directa asegurarse un lote con la superficie pareja
Siempre consulte a su asesor de confianza, cada zona y establecimiento tiene sus particularidades
• EMBOLSADORAS IMPLECOR con túnel de 9 y 10 pies de diámetro Seguimos brindando
previos a la campaña de primavera 2025 y verano 2026. Entre campañas alistamos equipos y en muchos casos damos apoyo para la correcta utilización del silaje

trabajamos con:
• CLAAS Jaguar 940 con CABEZAL ORBIS 600, 8 a 10 surcos















los micros sobre reservas de forrajes del Ing. Pablo Cattani en el programa Campo Directo, conducido por Iván Bettini









ING AGR DIEGO BERSACHIA
Asesor privado y Docente UNLu diego bersachia@yohoo com ar +54 9 2345 510554
Surge como una buena opción como cultivo de cobertura para la agricultura sostenible, garantizando la sanidad y fertilidad del suelo. Tiene futuro como forrajera y promete diversificar los forrajes conservados.

CCrotalaria juncea o Cáñamo de Bengala rotalar ia juncea, también conocida como Cáñamo de Bengala, es una especie estival de ciclo anual de la familia de las leguminosas Es un cultivo muy precoz que llega a los 2 metros de altura y alcanza a producir hasta 8 toneladas MS/ha en 70-80 días desde la siembra.
Sus características principales son:
✔ Elevada producción de Biomasa: alcanza producciones de 4-8 ton MS/ha en aproximadamente 80 días.
✔ Fijación de Nitrógeno (N): La Crotalaria establece una simbiosis con bacterias que le per mite fijar hasta 200 kgN/ha de

nitrógeno atmosférico Equivalente a 435 kg/ha de urea De esta manera se reduce la necesidad de fer tilizantes químicos
✔ Descompactación del Suelo: Posee una raíz principal pivotante (profunda y fuer te), lo que ayuda a romper las capas compactadas del suelo, mejorando las condiciones físicas, químicas y biológicas de los suelos.
✔ Supresión de malezas: Su rápido crecimiento proporciona una excelente cober tura, compitiendo eficientemente contra las malezas
✔ Protección contra la erosión: La cober tura que genera protege el suelo de la erosión causada por el viento y la lluvia
✔ Control de Nematodos: Crotalaria tiene un efecto nematicida natural, siendo muy efectiva para suprimir o controlar poblaciones de nematodos
La Crotalaria puede ser utilizada con dos propósitos principales:
1) Cultivo de S er vicio en co b er tu ra y como abono verde, incor porándose al
suelo: Se emplea en la agr icultura por sus notables beneficios para la salud del suelo y el rendimiento de los cultivos poster iores En este aspecto, Aapresid destaca estos beneficios y posiciona a la crotalaria como una opción interesante para mantener los suelos vivos durante el verano cuando no se ocupa con cultivos de renta
2) Como forraje: La crotalar ia es una forrajera de alta calidad Apor ta proteína a la dieta del animal, con valores que oscilan entre 18% y 22%, dependiendo del momento de cor te. Puede ser utilizada en pastoreo directo y para la confección de reser vas forrajeras en for ma de henos o ensilajes En la zona de Luján el productor y asesor Oscar Kise obtuvo resultados positivos utilizando a la crotalar ia en mezcla con Moha. En un per íodo de 70 días desde la siembra la crotolar ia inició la floración, un poco antes que emergieran las panojas de la moha
En la foto se puede obser var a Oscar Kise en el lote donde se realizó el cultivo

La densidad de siembra va a depender del destino que se la va a dar a la crotalaria
✔ Como cultivo de cober tura: 18 kg/ha
✔ Para silaje: 25 kg/ha
✔ En asociaciones con moha, por ejemplo: 8-10 kg/ha
















✔ No descuide la suplementación de sus rodeos, es especial las VO de reciente par to. Aunque tenga mucho pasto en sus potreros esas vacas no pueden consumirlo porque la capacidad de su rumen está transitoriamente disminuida por la presión que ejercía el ternero antes de nacer
✔ Por esta razón las vacas de reciente par to requieren mayor proporción de alimentos concentrados. Ingéniese para darle más a las que más merecen, así logrará más leche con menos granos o balanceados
✔ Cuide al máximo su recurso animal, mejore el manejo de la crianza y recría, son el futuro de su tambo
✔ Haga la mayor cantidad posible de rollos y ensilada de primavera, esos forrajes conser vados son por demás impor tantes para su producción de leche y carne y Ud no debería requerir el ser vicio “a último momento” y “quedar en la cola”.
✔ Resuelva utilizar fer tilización foliar en verdeos y cultivos de ensilada, los resultados lo asombrarán.
✔ Vea en que potreros le entra una Moha, estamos en fecha optima para la siembra y tendrá así un lote libre de malezas y muy adecuado para sembrar sobre ella praderas y verdeos de invierno
✔ Cuidado con el empaste. Tenga cuidado con los rebrotes tiernos de primavera, controle empastes Tenga carminativo en su campo y utilícelo a full en estos meses Recuerde que una vaca muer ta por empaste paga el antiempaste de todo el año.
✔ Vaya resolviendo qué lotes sembrará con PP en otoño, recuerde programar un buen antecesor para combatir malezas y acumular humedad. La Moha podría ser una buena opción y le dará muchos rollos en poco tiempo.
✔ Maneje muy cuidadoso el pasto, recuerde que recorriendo los potreros semanalmente puede ir resolviendo cuales saltar el pastoreo y así sumar forraje conser vado (rollos o silaje).
✔ Evite el estrés calórico en sus animales. Tener sombras y aguadas adecuadas las vacas se lo pagan en leche y las terneras y recría en mejor estado.
✔ No falle en la detección del celo. Si tiene poco personal para detección de celo, piense en utilizar alguna herramienta que lo ayude.
✔ Converse con su veterinario y planifiquen vacunaciones y otras actividades sanitarias y reproductivas.
✔ Júntese con su gente a pensar, planificar, revisar, el personal es clave
✔ Resuelva bien el tema de los efluentes del tambo, recuerde que un tambo para ser sustentable debe cuidar mucho el ambiente e incluso mejorarlo.
✔ Siéntese con el asesor de confianza para ajustar la marcha del programa de trabajo y analizar índices productivos y económicos
✔ Implemente un sistema de registro de datos sencillo y eficaz, y ponga en marcha así un Programa de Gestión que sea su guía empresarial
✔ Tenga un Programa sanitario preventivo, es mejor prevenir que curar.
✔ Busque de simplificar su sistema, más sencillo es más posible y mejor.



FINANCIACIÓN en litros de leche

Dándole más a las que más merecen.
Permite trabajar con un solo rodeo de vacas.
Logra la asignación diferenciada del concentra en el ordeño a cada vaca, teniendo en cuenta variables productivas y de manejo.


TECNOLOGÍA DE RÁPIDO RECUPERO
Un mejor manejo del concentrado y el incremento en producción aseguran el retorno de la inversión.
ADAPTABILIDAD
El sistema está pensado para ser instalado en un tambo convencional, con mínimas modif icaciones y con recupero del equipo en campo alquilado.
CONEXIÓN
Registro de datos desde cualquier dispositivo, esté conectado a internet o no.




SOLUCIONES A MEDIDA
De rápida y sencilla implementación, ideal para tambos de más de 6 bajadas.
APP DE MUY FÁCIL USO
Con versiones para Administrador, Tambero y Controlador lec hero
COSTO RAZONABLE
Porq ue está desar rollado por productores que saben de la realidad del tambo.

Convenio de Vinculación Tecnológica



ING AGR MBA
GASTÓN URRETS ZAVALIA
INTA Manfredi
Se conser van por secado (método físico): mantener el forraje bien seco detiene la respiración celular y la acción microbiana, preser vando los nutrientes.
Se presentan en for matos como rollo, megafardo, fardo, cubo (con fibra efectiva) o pellet (sin fibra efectiva)
Los silajes
Se conser van por fer mentación anaeróbica (método químico) Se producen en silo bolsa, puente, tor ta, silopaq o siloline La clave es un preoreo rápido y una buena compactación para asegurar anaerobiosis y fermentaciones adecuadas, minimizando pérdidas de nutrientes
En Argentina, los principales forrajes conservados a base de alfalfa son los henos y silajes. Conocer sus principios de conservación es clave para una correcta confección y almacenamiento.
Existen dos formatos de silaje de alfalfa muy distintas
Son el silaje de fibra entera, confeccionado con rollos o megafardos húmedos preoreados envueltos en film, conocidos como silopack o siloline según el caso, o bien el silaje cosechado con picadora y luego embolsado o compactado en silos puentes, bunker o tor ta
En general la primera metodología implica el uso de una bandeja o cama que tome a las unidades de rollos o megafardos y las envuelva en el film Los rollos o



megafardos, dado su peso al contener porcentajes de agua muy superiores a los del heno, limita a que el tamaño de cada unidad debe ser menor que cuando se confeccionan henos Una alter nativa al silopack es el siloline en el que los rollos son envueltos en línea ahorrando el film de las caras planas.
Estas opciones de ensilado se justifican sobre todo en situaciones en que no se cuenta con ser vicio de picado o no se logra disponer del mismo en tiempo y for ma
Picado y compactación para silo
✔ Pre-oreo: No se deben usar cabezales de cor te directo La alfalfa requiere secado al sol, por lo tanto debe utilizarse recolector pick up para esta tarea.
✔ Inoculantes y aditivos: La alfalfa es difícil de ensilar por su bajo contenido de azúcares solubles y su alto poder tampón Se recomienda usar acidificantes (como ácido fór mico o sus sales) para bajar el pH antes de la fermentación Aplicar bacter ias lácticas (>100 000 UFC/g) mejora la fer menta-

ción y estabilidad del silo Para no perder cantidad y calidad de silaje es muy impor tante usas un muy buen inoculante, de calidad comprobada
✔ Otros aditivos: Se pueden sumar melaza, lactosuero u otros.
✔ Silo bolsa: cor te ideal de 1,5–2 cm
✔ Silo bunker o tor ta: usar el menor tamaño posible para facilitar la compactación.
✔ La unifor midad del picado es esencial
para un buen flujo y compactación del material
✔ Andanas poco voluminosas generan cor tes irregulares por mal funcionamiento de los rodillos alimentadores
✔ Es clave par tir de pasturas densas y juntar suficiente volumen de forraje
✔ Compactar de for ma rápida y eficiente para eliminar aire, evitar fer mentaciones no deseadas y lograr anaerobiosis, es decir fer mentación en ausencia de oxígeno.


En Argentina hay instituciones qué trabajan en las Buenas Prácticas
La R ed de B uenas P rácticas A gropecuarias (Red BPA) es un espacio de diálogo y consenso con más de 90 instituciones públicas y pr ivadas de Argentina que desarrollan diversas actividades en relación a las BPA Cuenta con comisiones técnicas específicas En esta nota presentam os la C om isión de Lecher ía
La misión de la Red BPA es contribuir al desarrollo sostenible promoviendo las buenas prácticas agropecuarias en diálogo con la comunidad.
Las Buenas Prácticas Agropecuarias (BPA) son una manera adecuada de producir y procesar los productos agropecuarios para que cumplan con los requerimientos necesarios para una producción sana, segura y amigable con el ambiente. Consisten en hacer las cosas bien y dar garantías de ello.
La Comisión de Lecher ía tuvo su pr imera reunión el 24 de mayo de 2018 Desde entonces se realizan encuentros periódicos para alinear iniciativas, apor tar y difundir exper iencias, generar mater iales técnicos, colaborar con el intercambio y capacitación, fomentar y cooperar para la implementación de las Buenas Prácticas Lecheras (BPL).
Ya cuenta con más de 80 reuniones, mater ial propio de referencia, entre otros logros
Está for mada por más de 20 instituciones tanto del ámbito público, pr ivado, como académico entre otros, que además involucran a toda la cadena láctea; Es un espacio técnico de referencia que se encuentra a disposición de todos actores de la cadena láctea.
En agosto del 2021 se realizó el lanzamiento de su pr imer producto, el documento: “B u en as P rácticas L ech eras, Guía para la implementación en la producción de leche bovina” que se consolidó como mater ial técnico de referencia.
Escaneando el QR podrás descargar la guía de for ma gratuita


Este grupo de instituciones integran la comisión de lechería

Te presentamos algunas herramientas de implementación desarrolladas por instituciones que integran la comisión
LECHECK es una aplicación para teléfonos celulares que facilita la implementa-
ción de BPL, a través de su uso se pretende mejorar la productividad y calidad de la leche, asegurar la inocuidad y propender a lograr una mejor adaptación y mitigación al cambio climático y de esta manera lograr Establecimientos Lecheros Climáticamente Inteligentes (ELCI) Respondiendo a la necesidad de generar he-
¿Vivienda en el campo?
rramientas ágiles para el sector lácteo que ayuden a gestionar y dar garantías de calidad Se trabajó con países de América del sur, centroamér ica y El Car ibe en su desarrollo, en el marco de un proyecto


Ni muy caro, ni muy barato, simplemente, lo que Ud. necesita, pero de la mejor calidad.
Presentamos la Comisión de Lechería de la Red BPA
FONTAGRO con subsidio del Ministerio de Industrias Pr imar ias de Nueva Zelanda
La app es muy intuitiva, de libre disponibilidad tanto para teléfonos Android y IOS Lecheck tiene un sitio web: lecheck app donde hay un video tutor ial y también un curso vir tual gratuito en https://campus agroglobalcampus com/
Actualmente tiene 1037 usuar ios provenientes de 12 países de la región y 917 establecimientos lecheros dados de alta Lo que da un total de 130 000 BP relevadas desde marzo del 2023.
TAMBERAS es una herramienta interactiva desarrollada por el INTA y la FunPEL
Cuenta con una platafor ma web en la cual encontrarás fichas técnicas, listas de relevamiento y mater ial estratégico para la implementación de las BPL También cuenta con un gr upo de whatsapp y se realizan encuentros per iódicos presenciales y vir tuales

Asociarse al club y
par ticipar no tiene costo, se puede hacer desde el siguiente enlace: www clubtambero.org
Hay más de 50 fichas técnicas con infor mación sobre las BPL y ar ticuladas desde 3 ejes ¿porque es impor tante? ¿como lo hago? y ¿cómo lo controlo?
Cuenta con una comunidad de más de 2 000 socios, entre productores, profesionales asesores y técnicos.
NORMA IRAM 14400:2022 per mite cer tificar la implementación de las BPL mediante auditorías oficiales de la Nor ma IRAM 14400 de BPPL
Fué creada en Argen tina, qué toma entre sus referencias al documento “B uenas
P rácticas Lecheras, G uía para la im plem entación en la pr ducción de leche bovina

Todas estas he rram ientas son complem entar ias, pudiendo utilizarse una o más combinandolas
¿Cuál
Desde el punto de vista industr ial las BPL son más que impor tantes, son IMP R E S C IN D IB LE S si querem os avanzar con una lecher ía organizada, responsable, inocua y abier ta al mundo
Las BPL per miten auditar a los proveedores de mater ia pr ima para asegurarnos la calidad y la inocuidad
Además, las herramientas usadas permiten la gestión de tambos, zonas, recorr idos, etc., para ir apoyando las necesidades y el crecim iento de la producción pr imar ia
Por último, son un requisito para poder acceder a los m ercados de diferentes par tes del mundo
Si te interesa sumar te a la comisión o poner te en contacto podes hacer lo escr ibiendo al siguiente e-mail: info@redbpa org ar



PICADO DE FORRAJES DESDE 1986



40 años de experiencia al ser vicio del productor


NOS ESPECIALIZAMOS EN PICADO DE FORRAJES, con una trayectoria de cuatro décadas en el sector agropecuario. Contamos con MAQUINARIA DE ÚLTIMA TECNOLOGÍA, mapeo de lotes y equipos altamente capacitados.
Realizamos SILOS AÉREOS Y EMBOLSADOS, adaptándonos a las necesidades de cada productor.

Calidad, eficiencia y compromiso en cada trabajo.
FUENTE: TODOLECHERIA
www todolecheria com ar

En el XI Episodio de La Vaca alrededor de la Ubre organizado por Aprocal, Juan Grigera señaló que la intensificación de los sistemas de alimentación reside en tres aspectos clave: confort, consumo y magnesio. Los datos son la clave.


n Argentina hay diversos modos en los sistemas de alimentación
Los sistemas intensificados han crecido en complejidad, aun en los sistemas pastor iles y en las diversas estrategias de estabulación, y hay experiencias de manejo diferentes y muy competitivas en nuestro país
Juan Gr igera hace hincapié en que lo que define los resultados productivos y de rentabilidad es el manejo de los prepar-
tos y de la vaca en transición “Allí reside la eficiencia en reproducción y una buena par te de la clave está en el confor t de nuestros animales”, adelanta y precisa el profesional Gr igera asegura que en este tema no se ha avanzado lo que se debiera y en algunos casos se tienen los mismos parámetros que se registraban 20 años atrás.
Gr igera señala que la segunda cuestión que define resultados tiene que ver

con el consumo de MS, pues allí está la base de una transición exitosa, justifica “Hay que tentar a las vacas para que incrementen el consumo”, apunta el profesional
La tercera cuestión -dijo el profesionaltiene que ver con lo niveles de Magnesio a las que exponemos nuestras vacas al momento del prepar to “Las hipomagnesem ias en prepar to es el pr incipal predisponente a la hipocalcemia al momento



Hacia sistemas intensificados, eficientes y mucho más simples
del par to”, relacionó y precisó: “Si se tuvieran que pr ior izar tres aspectos en el prepar to ser ían: confor t, consumo y magnesio”
El monitoreo de las enfer medades cr íticas con infor mación confiable nos ayudará a prevenir enfer medades y evitar problemas productivos y costos extra “Es impor tante en monitoreo del pH de la or ina en las vacas en prepar to, y el monitoreo de la cetosis en las dos semanas pospar to Estos registros son impor tantes
y muy deter minantes cuando se avanza en la intensificación”, apuntó Gr igera
Desafíos en los sistemas de pastoreo
Hay tres áreas relegadas en los sistemas pastor iles:
1- H ay q u e p o n er m ás esfu erzo en la producción de pasto Tenemos un potencial enor me en la calidad, persisten-
cia y perennidad en las pasturas “E s necesar io analizar los suelos, diseñar estrategias de fer tilización diferentes
E n S udáfr ica fer tilizan con 850 kg de urea por hectárea por año”, comparó el especialista “Debemos poner en el pasto el mismo esfuerzo que ponemos en otros aspectos”, precisó
El otro tema impor tante es el manejo de los pastoreos “Hay que tratar de tener pisos más altos de pasto para el invier no Con ello nos evitamos llevar los


Único sistema
BAJOS COSTOS FACILIDADES DE PAGO
Consulte referentes en todas las cuencas lecheras





Córdoba 160 (6030) VEDIA (Bs. As.)
Tel/fax (02354) 422481 Cel (0236) 154533109

animales a campo, y suplementar previo o poster ior al ordeñe”, aconsejó
2 - E l o tro tem a tien e q u e ver co n el confor t, par ticular mente con el calor y la existencia de barro Hay que cuidar el estado de los callejones y los accesos al tambo, pues en este punto no se avanzado lo suficiente
3.- P ro to co lizar el m an ejo d el p asto . “Tenemos herramientas y lo podemos hacer con estrategias sencillas Observar la pastura y analizar los nudos de una alfalfa pues si se demora tres días por nudo no tenemos el crecimiento necesario para pastorear, limitando el ingreso de los animales pues necesitaremos 25 días para que aparezcan los 8/9 nudos al momento de alimentar nuestras vacas”, resumió Grigera
Estrategias para el pastoreo
¿Cómo fer menta el pasto en el r umen de la vaca? Hay que tener en cuenta la fer mentación de la pastura con la consi-


guiente presencia de N amoniacal en el rumen de una vaca, y de allí podremos diseñar una estrategia de suplementación acorde a cada necesidad
“Si decidimos pastorear bien temprano debemos saber que por condiciones de hum edad y otras cuestiones nuestro
pasto fer menta muy rápido En el pr imer despunte de la pastura, a las dos horas se produce una fer mentación muy rápida con una presencia amoniacal impor tante, cuestión que ya no será tal cuando las vacas ingieran otros tramos de la planta de la pastura”, diferenció Gr igera

Beneficios de triple impacto:
Limpieza y desinfección ecológica en: Industria
a) Proceso CIP, con ahorros en agua, tiempos y productos químicos, con nulo riesgo operativo.

b) Sanitización de equipos, salas de proceso y barreras sanitarias.
Tambos y granjas avícolas y porcinas
a) Mejora en calidad de agua de bebida.
b) Mejor conversión alimento - carne.
c) Sanitización global de equipos y salas
d) Barreras sanitarias sin riesgos operativos.
e) Control de olores y diarreas.
f) Tratamiento de efluentes.





Hacia sistemas intensificados, eficientes y mucho más simples
Se tiene que apor tar una suplementación que complemente al apor te del pasto, y que no se super ponga con la proteína del pasto, que tenga otra dinámica de fer mentación pero que asigne N en el r umen y de ese modo que esté más tiempo disponible Se trata de disponer de una proteína pasante en las dietas para vacas de alta producción
El confor t es esencial en cualquier estrategia y por supuesto la calidad del agua disponible, abundante y fresca Par ticular mente en los sistemas de confinamiento, muchas veces se cree que el techo constituye un elemento decisivo en el confor t de nuestro rodeo, este es un aspecto impor tante pero no es el único
Lo mismo la calidad de las reser vas, de los forrajes conser vados es otro de los elementos centrales en los resultados Junto a esto el otro elemento tiene que ver con el monitoreo de la presentación física de las dietas y las lecturas del comedero
“ E s i m p o r t a n t e y s i m p l e d e a d m i n i strar. Calidad de forrajes y con ello la var i a b i l i d a d q u e s e t i e n e e n nu e s t r o p a í s respecto a la presencia de almidón, en la calidad de los silajes y la constitución de las fibras Atendamos la presencia de almidón, pero no despreciemos la calidad de la fibra constituyente”, destaca el investigador Un silo debe tener entre 34 y 38% de MS, almidón y una buena calidad de fibra. El almidón se puede administrar por fuera, corregir lo poster ior mente, pero la calidad de fibra será deter minante en la frecuencia de ordeñe en los sistemas robotizados
En un gr upo de tambos ar mamos dietas de alta y baja calidad, manteniendo los concentrados y allí vemos que podemos apuntar a 10 litros más que con dietas de baja calidad El heno es el mismo en los dos planteos El costo es el mismo pero los resultados son muy diferentes G r i
nfección del silo es deter minante, par ticul a r m e n t
mienda estar presente al momento de la c
azar
El otro momento impor tante es la ext ra c c i ó
aspectos a cuidar, y con ello mucha var iabilidad en el alimento que le presentamos a la vaca
Hay que poner le mucha atención a las l e c t u ra s d
m e d e
A
m a r p l a n
l a s de lectura con códigos simples que permitan llevar a un gráfico las lecturas Es indelegable estar en el campo, mirando, r ev i s a n
elaboración



ANÍBAL FERNÁNDEZ MAYER
Master Sc, y Doctor en Cs Veterinarias, Director Ejecutivo de la Consultora Internacional de Producción y Nutrición de bovinos (carne y leche) Afmayer56@yahoo.com.ar +54 9 2923 641420
Es clave tener en cuenta los distintos modelos productivos para apuntar a los mejores resultados económicos.
Planificación con objetivos claros
Hay que hacer una buena “planificación” de los recursos que permitan elaborar un flujo de fondos (financiero) adecuado a las expectativas de cada empresa ganadera, para los próximos 6-8 meses
Los sistemas de producción de car ne se ven afectados por una gran variabilidad y volatibilidad, tanto por cambios en el mercado comprador (consumo inter no y expor tación) como por las condiciones climáticas (sequías o inundaciones) Todo ello hace que sea imprescindible evaluar

diferentes alter nativas productivas que se ajusten a los cambios recién citados y que garanticen el mejor resultado económico, es decir la rentabilidad
Para ello, es muy impor tante for talecer dichos sistemas productivos fijando objetivos claros y hacer todos los cambios y ajustes que sean necesarios Además, se debe jerarquizar la producción de pasto (calidad y cantidad), el uso de suplementación “estratégica” (energética y/o proteica), reser vas (rollos o silajes de planta entera) y aplicar el mejor manejo que sea posible (pesadas per iódicas, uso de alambrado eléctr ico, etcétera) Y por, sobre todo, hacer una buena “planifica-
ción” de los recursos que per mitan elaborar un flujo de fondos (financiero) adecuado a las expectativas de cada empresa ganadera, para los próximos 68 meses.
Entre otras var iables, se debe jerarquizar la producción de pasto (calidad y cantidad) En este marco, estas son las alter nativas de producción:
Primera opción:
● Recr ía a pasto con o sin suplementación “estratégica” (energética y/o proteica).

Opciones de negocio: cómo hacer plata con las vacas
● Ter minación a pasto con o sin suplementación “estratégica” (energética y/o proteica)
Segunda opción:
● Ter minación a Corral
En cuanto a las var iantes, se deben tener en cuenta:
● Recr ía I a pasto con o sin suplementación “estratégica” y recr ía II a corral (con suplementación energética y proteica y rollos o silajes de planta entera)
● Ter minación a corral (con suplementación energética y proteica y rollos o silajes de planta entera)
● También recría I y II y ter minación (todo a corral con suplementación energética y proteica y rollos o silajes de planta entera)
Tercera variante: recr ía I y II y ter mi-
nación (todo a pasto, sin ninguna suplementación)
En este marco, los objetivos deben ser buscar la mayor producción de car ne con el menor costo de producción posible (menor pesos o dólares por kilo de car ne producido)
Sobre las ganancias diar ias de peso, promedio, hay que considerar :
● Recr ía I y II (500 a 700 gramos por cabeza/día) para todas las alter nativas
● Ter minación (1° opción y 3° var iante): mayor de 1 kg/cabeza/día
● Ter minación (2° opción y 1°-2° var iante): mayor de 1 2 a 1 3 kg/cabeza/día
En cuanto a la duración del ciclo completo (recr ía y ter minación) se tiene en cuenta: consumo inter no (380-420 kg/cabeza): menor de 12 meses posdestete; expor tación (460-500 kg/cabeza): menor

de 18 meses posdestete
Ajustar la carga animal a las ganancias diar ias de peso fijadas como objetivo generalmente serían, para consumo inter no, menores a 2 cabezas/ha y para expor tación, 3 a 4 cabezas/ha
Respecto del uso de suplementos (energéticos y/o proteicos) y subproductos de agroindustr ia (energéticos y/o proteicos) “más económicos” y que estén libres de micotoxinas (hongos)
Se deben seguir tips para los distintos modelos

Distribuidor Oficial
Nuestros equipos
● Cargadoras
● Excavadoras
● Motoniveladoras
● Retroexcavadoras
● Compactadores
Nuestras fortalezas
✔Brindamos un servicio personalizado.
✔Garantizamos servicios y reparaciones de calidad, resguardando el valor del equipo y alargando su vida útil.
✔Tenemos servicio y soporte técnico permanente.





En cuanto a los esquemas de producción, vale considerar: Recría a pasto.
● Verdeos de invier no (avenas, cebadas, centenos, tr igo o tr iticale)
● Raigrás (cultivado o natural)
● Pasturas (alfalfa + gramíneas o Lotus + Gramíneas
● Rollos o Silajes de planta entera (de la mejor calidad posible).
Terminación a pasto
● Verdeos de invier no (avenas, cebadas, centenos, tr igo o tr iticale)
● Raigrás (cultivado o natural)
● Pasturas (alfalfa + gramíneas o Lotus + gramíneas)
● Suplementación “estratégica” (energéticos y/o proteicos) y subproductos de agroindustria (energéticos y/o proteicos) de acuerdo a las ganancias diarias de peso que se haya fijado como objetivo
● Rollos o silajes de planta entera (de la mejor calidad posible)
● Suplementación “estratégica” (energéticos y/o proteicos) y subproductos de agroindustr ia (energéticos y/o proteicos) de acuerdo a las ganancias diarias de peso que se haya fijado como objetivo, libres de micotoxinas (hongos)
● Rollos (de menor costo, aunque sean de menor calidad) o silajes de planta entera (de la mejor calidad posible)
● Pesadas per iódicas (gr upos muestra, ±20 animales como mínimo).
● Recr ía I y II y ter minación (todo a pasto): cada 30 días
● Recr ía I y II y ter minación (todo a corral): cada 15 días
● Verdeos de invier no, raigrás y pasturas: cambios cada 2 a 3 días/parcela
● Sorgos forrajeros (BMR o azucarados): cambios cada 3 a 5 días/parcela Para las recr ías I, II y ter minación












FUENTE: VISIÓN RURAL

El desafío de producir más y mejor
En la Pampa Depr imida bonaerense, investigadores y extensionistas de las EEA Balcarce y EEA Cuenca del Salado del INTA, de la Facultad de Ciencias Exactas y Naturales de la UNMdP y de la Facultad de Agronomía de la UNCPBA, caracter izaron 37 establecimientos (22 de cr ía, 4 de cr ía–recr ía y 11 de ciclo completo), con una superficie promedio de 763 hectáreas y una carga promedio de 0,74 unidades ganaderas por hectárea. Durante el desarrollo del trabajo se incor poraron dos innovaciones destacadas: un modelo para la estimación de la huella de carbono y una platafor ma par ticipativa de trabajo en red

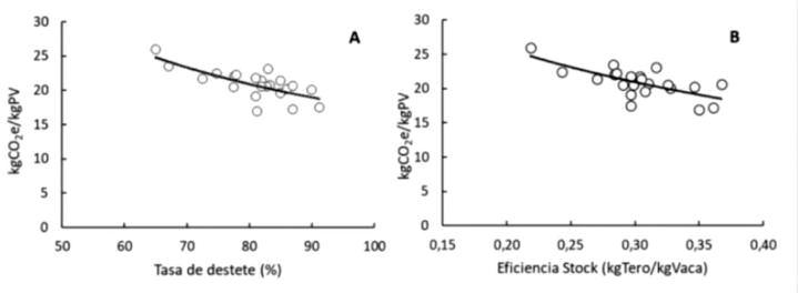
Un trabajo de INTA y universidades, junto a productores, evaluó 37 establecimientos ganaderos de la Pampa Deprimida. Los resultados muestran que la intensificación ganadera aplicando buenas prácticas de manejo permite aumentar la producción de carne y, al mismo tiempo, reducir la huella de carbono.
Indicadores productivos: luces y sombras
En los sistemas de cr ía evaluados, el destete promedio fue del 80,7 %, con un peso medio al destete de 182 kg y una producción de car ne de 99 kg por hectá-
rea por año Estos valores representan un incremento del 7% en la tasa de destete, 7 kg más por animal y 29 kg adicionales de car ne por hectárea en comparación con los promedios regionales. Entre los factores deter minantes para este aumento en la producción se destacan la mejora en la

condición cor poral al par to, el control de enfer medades reproductivas, la duración del per íodo de ser vicio y el valor genético de los reproductores
Por otro lado, los establecimientos de ciclo completo analizados alcanzaron una producción promedio de 152 kg de car ne por hectárea por año, con pesos de faena de 362 kg para vaquillonas y 424 kg para novillos Estos últimos lograron una ganancia diar ia de peso de 0,77 kg por animal durante todo el ciclo de recr ía y engorde, siendo alimentados pr incipalmente a corral en la etapa final (10 establecimientos finalizaron a corral y 1 fue completamente pastor il) Las ganancias de peso durante la recría y el aumento del peso de faena se identifican como factores clave para mejorar la productividad de los sistemas de ciclo completo en la región
Los indicadores revelan una var iabilidad productiva y ambiental impor tante entre establecimientos, lo que abre un margen de mejora mediante ajustes en manejo y adopción tecnológica En var ios par tidos de la región, los cálculos de INTA

Área del estudio en la Pampa Deprimida
estiman que, con mejoras en índices reproductivos y en las etapas de recría y engorde, se podr ía incrementar la producción hasta 50 %.
El estudio estimó la huella de carbono de los establecimientos ganaderos utili-
zando una herramienta desarrollada localmente en el marco de un convenio entre el INTA y WWF, calibrada con datos regionales Esta herramienta se encuentra alineada con las Guías del IPCC 2019 y ha sido validada a nivel de establecimiento
Los resultados en establecimientos de cría mostraron que la huella promedio fue 20,9 kg de CO2 equivalente por kilo de peso vivo producido, con una var iabilidad significativa según el manejo reproductivo, la tasa y el peso de los destetes, y que a medida que la producción de car ne fue mayor, la huella de carbono disminuyó (Figura 1)
En los sistemas de ciclo completo la huella de carbono fue 16,1 kg de CO2 equivalente por kilo de peso vivo producido y var ió según el manejo productivo (duración del ciclo y calidad del forraje y suplementos utilizados, entre otros factores) Se obser vó que cuando las ganancias diar ias de peso superaron los 600 gramos por animal, la huella se redujo a 15 kg CO2 e/kg de peso vivo (Figura 2) En contraste, con ganancias diar ias infe-

La ganadería de la Pampa Deprimida mejora su eficiencia y reduce emisiones
r iores a 450 gramos, la huella superó los 20 kg CO2 e/kg
En los establecimientos analizados, más del 80% de las emisiones totales se or iginaron por los animales, pr incipalmente por metano entér ico (70% o más) Este dato, que surgió de la desagregación de las distintas fuentes de emisión generadas en todo el proceso productivo tranqueras adentro, confir ma que mejorar la eficiencia de la conversión del forraje en car ne es la clave no solo para elevar la productividad, sino también para reducir el impacto ambiental de la actividad.
Como explicó el extensionista de la AER Olavarr ía del INTA, Paulo Recavarren: “los resultados confir man que los establecimientos que mejoran la tasa y el peso al destete, las ganancias diarias de peso vivo en la recr ía y optimizan la conversión en la etapa de ter minación, no solo obtienen mejores márgenes económicos, sino que también reducen proporcionalmente sus emisiones por kilo de car ne producido”
institucional y trabajo conjunto
Un apor te central del proyecto fue la creación de una platafor ma par ticipativa regional, que reunió a productores, asesores, técnicos de INTA, de la UNCPBA y de la UNMdP y de otras instituciones Este espacio de diálogo y co-diseño per mitió generar confianza, intercambiar saberes y definir estrategias adaptadas a cada realidad productiva El trabajo en terreno (visitas, talleres y retroalimentación personalizada) facilitó la identificación de “puntos cr íticos” tranqueras adentro y la construcción social de estrategias de mejora adaptadas a cada sistema productivo
Este enfoque per mitió a los productores contar con infor mación propia y confiable, base para tomar mejores decisiones tranqueras adentro
El trabajo confir ma que la ganader ía de la Pampa Depr imida enfrenta un doble
1
Indicadores productivos y huella de carbono en establecimientos de cría. 1A. Tasa de destete. 1B. Eficiencia de stock

2
Indicadores productivos y huella de carbono en establecimientos de ciclo completo. 2A. Ganancia diaria de peso de novillitos. 2B. Ganancia diaria de peso de vaquillonas

desafío: disminuir la brecha productiva y reducir su huella ambiental Ambos objetivos no se contraponen, sino que se potencian: la intensificación sostenible per mite producir más car ne con menor impacto ambiental.
La incor poración de indicadores ambientales en el análisis de los establecimientos, junto con una mirada sistémica sobre rodeos, forrajes y recursos, resulta fundamental. Al mismo tiempo, el for talecimiento de la ar ticulación institucional y la par ticipación de los productores y asesores ganaderos aseguran la apropiación de tecnologías y su sostenibilidad en el tiempo
A escala global, sin embargo, el panorama es distinto: cerca del 75% de las emisiones de gases de efecto inver nadero
provienen de los combustibles fósiles En ese contexto, la ganadería representa una fracción menor del total, pero con un gran potencial de diferenciación y cer tificación como actividad que puede contr ibuir a mitigar emisiones y secuestrar carbono a través de prácticas de manejo e incor poración de tecnología adaptadas a cada establecimiento
El mensaje que deja el estudio es contundente: la intensificación sostenible es una estrategia probada a campo, con resultados concretos en productividad y ambiente Un hor izonte posible y necesar io para consolidar una ganadería competitiva y sustentable en la región más emblemática de la car ne argentina





Con una jornada que reunió a productores, distribuidores, y referentes del sector lechero, DeLaval celebró los 10 años del sistema de ordeño robótico VMS™ en Argentina, marcando una década de innovación, evolución tecnológica y crecimiento de la robótica aplicada a la lechería nacional.
El encuentro, contó también con la presencia de Flavio Mastellone y Manuel Chiappe, subsecretar io de Producción Agropecuaria y Forestal Fue un espacio para compar tir exper iencias, aprendizajes y una mirada hacia el futuro de una lecher ía cada vez más eficiente, sustentable y centrada en la calidad de vida y de trabajo del equipo humano y en el bienestar animal
Durante el evento, se repasaron los principales hitos de la robótica de ordeño en el país y se destacó el impacto que el sistema VMS™ tuvo en la transfor mación productiva de los tambos argentinos
El Vicepresidente de DeLaval, Ezequiel Cabona, junto al Vicepresidente de Tetra Pak, Alejandro Chan, encabezaron la apertura institucional, resaltando el compromiso del gr upo con la innovación y destacando la aper tura del negocio a nivel global
El programa incluyó diser taciones técnicas a cargo de Miguel Taver na (INTA Rafaela), Maur icio Benzaquen (asesor en
nutr ición) y Salvador Di Stéfano (economista), quienes abordaron temas como la evolución del ordeño robótico, la impor tancia de la nutrición en los sistemas automatizados y las perspectivas económicas actuales
Además, se presentó un panel con productores usuarios de VMS™ y un espacio de innovaciones DeLaval, donde se compar tieron nuevas soluciones orientadas a la sustentabilidad y la gestión inteligente del tambo
Como un verdadero sistema de ordeño voluntario, el DeLaval VMS™ V300 trabaja naturalmente para lograr vacas más sanas, más tranquilas, lo que significa mayor longevidad, productividad, reproducción y rendimiento Con el ordeño inteligente más suave jamás creado, el nivel de vacío y el ritmo de la pulsación se ajustan automáticamente en cada pezón, con la finalidad de ordeñar a cada vaca logrando el máxima cosecha de leche, en el menor tiempo y sin afectar la salud de la ubre

● Mejora la longevidad de las vacas
● Mejora la fer tilidad
● Mejora la salud de la ubre
Sobre DeLaval
DeLaval es líder mundial en soluciones completas para la producción lechera. Con más de 140 años de experiencia, la compañía desarrolla tecnologías orientadas a mejorar la eficiencia, la calidad de vida y de trabajo del equipo humano, el bienestar animal y la sustentabilidad de los sistemas productivos En Argentina, DeLaval acompaña a los productores a través de una amplia red de distribuidores oficiales, brindando soporte técnico, capacitación y soluciones integrales para tambos de todos los tamaños







FUENTE:
Andrés Hatum www lanacion com ar
Las empresas familiares tienen algo de entrañable También de salvaje Son el nido y la trinchera El asado de los domingos y la guerra silenciosa por el control del Excel Si uno quiere entender lo mejor y lo peor de este tipo de organizaciones, no hace falta leer tratados de management: basta con mirar El Padrino, la película dirigida por Francis Ford Coppola y protagonizada por Marlon Brando y Al Pacino Vito Corleone, patriarca por excelencia, representa al fundador que empieza desde abajo, con intuición y calle, que constr uye poder a fuerza de alianzas, favores y silencios No tenía un MBA, pero entendía de estrategia más que muchos egresados con PowerPoint Como todo buen fundador, quería dos cosas: que su negocio creciera y que quedara en familia. El problema es que, como sucede en tantas empresas familiares, esas dos cosas no siempre van de la mano
El dilema de los Corleone es el mismo de muchas pymes: cómo pasar del “Don” al “nosotros” sin que todo vuele por los aires.
Vito es ese fundador que sabe todo, que decide todo, que opina de todo, y que confunde sucesión con clonación No quiere que sus hijos lo reemplacen: quiere que sean él, pero con menos arrugas Ese deseo es, al mismo tiempo, su fuerza y su condena
Son muchas las empresas familiares que viven atrapadas entre la admiración por el fundador y el terror a tocar lo que “siempre funcionó” Porque, seamos honestos: la figura del fundador es sagrada Casi mística
En la pared cuelga su retrato, flanqueado por el balance y la estampita de San Cayetano Pero esa devoción, si no se acompaña de un plan real de sucesión y profesionalización, es un ancla que arrastra la empresa al fondo Los hijos, por su par te, representan esa segunda generación que carga con la herencia como si fuera una her nia. Sonny, el impulsivo, encar na al heredero que cree que liderar es gr itar más fuer te Tom Hagen,
Para las pymes el dilema no pasa sólo por ver quién hereda el mando, sino por evitar que la sucesión se convierta en tragedia
“el consigliere” , es el outsider que logra sentarse en la mesa chica, pero jamás será “uno de sangre” Y Michael, el brillante y frío, es el que menos quer ía el negocio familiar, pero ter mina en el trono, solo, endurecido, víctima del mandato que no eligió, pero que cumplió a la perfección
La transición generacional en las empresas familiares no es solo un cambio de nombre en la puerta. Es una operación a corazón abierto. Si se hace mal, se rompe la empresa.
Si se hace muy tarde, la empresa ya está rota Y si se hace sin profesionalizar, lo único que cambia es la fir ma en los cheques. Hay casos donde la sucesión parece más una escena de Shakespeare que una asamblea de director io: traiciones, alianzas secretas, y algún que otro exilio estratégico a la sucursal menos rentable
Uno de los temas más ur ticantes es la incor poración de gente de fuera Profesionales ajenos a la familia que llegan con títulos, experiencia y un par de ideas Para muchos fundadores, son un mal necesario Para muchos hijos, una amenaza. Y para el resto de la familia, un cuer po extraño que no entiende la “mística” de la organización, esa mezcla indescifrable de afecto y caos
La profesionalización de una empresa familiar es como invitar a cenar a un nutricionista a la fiesta del lechón: te va a decir cosas que no querés escuchar Que hay que poner procesos, que hay que separar los roles, que no se puede contratar al primo solo porque es el primo Que el directorio no puede ser la sobremesa del domingo. Y que el “siempre lo hicimos así” no es una política, sino una trampa
Pero más allá de los estereotipos, las empresas familiares tienen una enor me potencia Son resilientes, tenaces, emocionalmente comprometidas. Tienen un propósito que va más allá del resultado tr i -

El dilema de los Corleone es el mismo de muchas pymes: cómo pasar del “Don” al “nosotros” sin que todo vuele por los aires
mestral Lo que falta, muchas veces, es entender que el afecto no reemplaza al gobierno cor porativo Que la confianza no suple al control Y que ser familia no garantiza una buena gestión, aunque a veces ayude
El caso de los Corleone es, al fin y al cabo, una tragedia
Porque el sueño del padre de tener una empresa fuer te y una familia unida se convier te en una pesadilla El negocio crece, pero se aleja de sus valores fundacionales La familia se desintegra, los vínculos se enfrían, y Michael ter mina reinando en un imperio que ya no tiene alma Profesionalizó la organización, sí Pero al costo de perder todo lo demás
La moraleja no es que las empresas familiares estén condenadas Todo lo contrario Pueden ser potentes, transfor madoras, incluso más humanas Pero para eso hay que atreverse a hablar de lo que no se habla: del poder, de la herencia, de los egos, de los límites, de los conflictos tapados con vino patero Hay que dejar de actuar como si la familia fuera una garantía y empezar a tratarla como lo que es: un activo que hay que cuidar, pero también regular
La pregunta clave: ¿qué tipo de legado queremos dejar? ¿Un imperio que da miedo o una empresa que da futuro? ¿Un apellido en bronce o una cultura que inspire? El Padr ino no es solo una saga de mafiosos Es un tratado de management con aroma a ravioles de la nonna del domingo y pólvora Y como todo buen tratado, nos deja una enseñanza brutal: si no separamos los afectos de las decisiones, ter minamos matando a uno de los nuestros Y eso, claro, nunca sale en la reunión de accionistas
PD: Cualquier semejanza con una pyme real es pura coincidencia
El mundo del ajedrez ha encontrado a su nuevo Mozart:
Faustino Oro, niño argentino de once años, acaba de lograr su primera norma de Gran Maestro. Le bastaron siete partidas de nueve para obtener los seis puntos necesarios.

Por MARIANO SIGMAN y DAVID MARTÍNEZ
Extraído de www.infobae.com
¿Cómo se explica que un niño tan joven alcance un nivel que solo una élite logra?

Aers Ericsson estudió este miso durante décadas e intentó nver tir la intuición en ciencia, ser vando prodigios Concluyó epcional no surge de un don inexplicable, sino del modo en que se ejercita ese don, superando el “umbral OK”, donde lo que hacemos es aceptable pero no nos exige Per manecer ahí resulta reconfor tante, pero no genera aprendizaje La clave es salir de ese umbral, forzar los límites. Esto caracter iza a los prodigios: tienen facilidad y encuentran placer en habitar esa zona incómoda donde el esfuerzo es máximo Así se explica lo que parece imposible
Tienen una vir tud inicial facilidad especial para el dibujo, música o ajedrez pero lo decisivo es que esa vir tud se convier te en pasión Esa pasión los arrastra a pasar horas en la práctica deliberada, donde otros apenas resisten minutos Se crea un círculo vir tuoso: la vir tud alimenta

la pasión, la pasión multiplica la vir tud, y la r ueda gira cada vez más rápido Magnus Car lsen, campeón del mundo y posiblemente el mejor jugador de la histor ia, dice que es tan bueno porque ama el juego incondicionalmente. No juega por presión ni por vencer, sino porque el ajedrez es su for ma natural de estar en el mundo
En tiempos oscuros y de cier ta incer tidumbre, nos aferramos con esperanza a los prodigios, pues son ejemplos de talento, trabajo, disciplina y esfuerzo. Pero también aparece la mezquindad Frente a lo sor prendente y lo increíblemente inusual como el br illo de Faustino, una tr ibu de conspiracionistas emerge A todos los genios les pasa: son admirados, a veces incomprendidos y se les pide lo imposible. Nadie exigir ía a otro, y mucho menos a un niño de once años, que salve al mundo o a una patria Hay que recordar que Faustino solo es un niño que juega ajedrez extraordinar iamente bien Su misión no es salvar, sino disfr utar, inventar, iluminar. Nuestra tarea es dejar los vivir su don en tranquilidad, disfr utar y mirar los con respeto y gratitud
En estos días en Madrid se organizó un tor neo, Leyendas contra Prodigios, para repensar la pregunta sobre el or igen del talento: ¿los prodigios nacen o se hacen? Este debate cr uza el depor te, la música y el ar te. Esta rara apar ición de genios precoces nos recuerda a Mozar t, Nadia Com neci o Messi en sus inicios El ajedrez per mite que un niño juegue igual a igual con una leyenda que lleva medio siglo en la élite, como Viktor Korchnoi que jugó a su máximo nivel más allá de los 70 años o Mijaíl Tal, que enfer mo y débil ganó a Garr y Kasparov Este tor neo abre un “exper imento natural” para obser var la interacción entre generaciones de distintos tiempos y estilos
Mar iano Sigman, físico y neurocientífico, junto a David Mar tínez, ajedrecista y entrenador, fir m an este texto fascinante que ilum ina cóm o la pasión y el trabajo pueden conver tir un don en un talento excepcional Faustino O ro ilustra con su ejemplo el poder de amar incondicionalmente lo que uno hace, superando limites, y cómo ese amor crea la r ueda vir tuosa del genio










Lic JOSEFINA MARCENARO
Licenciada en Nutrición jmarcenaro@hotmail com @josefinamarcenaronutricion

Durante la estación más cálida del año, nuestro cuer po tiene necesidades específicas, principalmente una mayor hidratación y una protección reforzada contra el estrés oxidativo
Y es precisamente aquí donde la naturaleza nos da la respuesta: las frutas y verduras de verano están genéticamente diseñadas para cumplir con esta misión
1. El Arcoíris de la Salud:
Nutrientes por Color
El secreto para una dieta completa y protectora se encuentra en la variedad de colores Cada pigmento es un poderoso compuesto con beneficios únicos para el organismo Te invito a llenar tu plato con todos estos tonos:
2. La Hidratación es la Estrella
Una de las pr incipales ventajas de los productos estacionales es su altísimo contenido de agua, que oscila entre el 80% y el 90% En días de calor intenso, consumir estos alimentos es una for ma deliciosa y eficiente de complementar nuestra ingesta de líquidos, ayudando a:
✔ Regular la temperatura cor poral
✔ Mantener el buen funcionamiento del metabolismo
✔ Favorecer la eliminación de toxinas gracias a su efecto diurético.







El verano no solo nos regala días más largos y más sol; también nos ofrece una paleta vibrante de frutas y verduras que son un verdadero tesoro nutricional. El consumo de alimentos de temporada no es solo una elección económica y de sabor superior, sino una estrategia inteligente para optimizar nuestra salud


Fr utas como la sandía y el melón son campeonas en hidratación, mientras que verduras como el pepino y el tomate son la base ideal para ensaladas refrescantes
Los vegetales de verano, especialmente cuando se consumen enteros, son una fuente excelente de fibra Esto es fundamental porque ayudan a:
✔ Mejorar la salud digestiva: Favorece el tránsito intestinal y previene el estreñimiento.
✔ Controlar el peso: La fibra aumenta la sensación de saciedad, lo que ayuda a moderar la ingesta calórica total.
✔ Equilibrar los niveles de azúcar y colesterol en la sangre
Tips para obtener el máximo provecho de estos alimentos:
✔ Consume la cáscara/piel siempre que sea posible: Asegúrate de lavar bien tus frutas y verduras
✔ Come 1 de tus 2 porciones diarias de verdura cruda
✔ Prioriza la fruta entera sobre el jugo: Al masticar la fr uta, aprovechas toda su fibra y controlas mejor el índice glucémico
✔ No le temas a lo congelado (sin aditivos): Si bien lo fresco y de estación es lo ideal, las frutas y verduras congeladas (siempre que tengan o no tengan sodio o azúcar añadido) siguen siendo alter nativas nutritivas y convenientes
Este verano, no busques solo saciar tu sed o tu apetito, busca nutrirte con el poder del color.

