EL HERALDO DE MARTÍNEZ

En Tlapacoyan
![]()

En Tlapacoyan
Secundarias del municipio reciben valiosa información en el marco del Día Internacional de la Mujer


Gobernadora entrega el Premio Estatal a la Mujer, a la mejor estudiante del mundo

MORENA busca afiliar a 40 mil nuevos militantes

“México fue tratado con respeto”: Sheinbaum Alcalde Héctor Lagunes asiste a Sesión Solemne

Se preparan eventos culturales para atraer el turismo en esta región
MIGUEL BAUTISTA
MARTÍNEZ DE LA TORRE, VER. -
Para traer el turismo durante la presente temporada de Semana Santa, se tienen planeadas diversas actividades que incentiven la visita de locales y foráneos a este municipio de Martínez de la Torre. Javier Rivera Perdomo, director de turismo municipal, dijo que el flujo de turistas se prevé que empiece a arribar en los próximos días por el periodo vacacional, por lo que estarán celebrando el Día del Artesano, mismo que tendrá un impacto en la economía del municipio.
Destacó que se tiene planeado invitar a artistas del estado de Oaxaca, además del espectáculo de la Guelaguetza, el cual es un espectáculo internacional y que estará por primera vez en el municipio Martinense.
Recordó que en el municipio existen personas con mucho talento y que crean artesanías con las manos, en qué han puesto en alto el nombre de Martínez de la Torre.
Recordó que está en puerta del carnaval de los cítricos 2025, para luego dar pie al festival del taco que se está convirtiendo en una tradición anual en la capital mundial de los cítricos.
Se espera que este tipo de eventos cumplan con las expectativas y se rebase la asistencia de personas que se tuvo en el festival del taco y el carnaval 2024, por lo que invitó a la población a que se divierta con responsabilidad, ya que se ha tenido durante los festejos antes mencionados un saldo blanco y se espera que así finalice la temporada vacacional.

Presidente del Consejo Editorial
Dr. Rubén Pabello Rojas
Director General Ing. Stalin Sánchez Macías
Primera Sección
Viernes 7 de Marzo de 2025

En algunos casos, los ejidatarios tienen que pasar penurias para transportar sus productos
FACUNDO BARTOLO SALAZAR
MARTÍNEZ DE LA TORRE, VER. -
La zona norte insiste con la rehabilitación de caminos, la cual desde hace más de quince años ha sido un dolor de cabeza para los habitantes de las comunidades de la zona, pero especialmente para los ejidatarios que en algunos casos tienen que pasar penurias para transportar sus productos hacia la subasta de Martínez de la Torre, expresó Samuel de la Cruz Hernández, ejidatario de Díaz Mirón.
Manifestó que “a estas alturas ya necesitamos soluciones de fondo para esta problemática, porque,
de hecho, las condiciones del suelo traen como consecuencia que la humedad lo reblandezca, y si los caminos no tienen suficiente material, o no es el adecuado, de inmediato hay dificultades para transitar”. Por lo anterior, adelantó que se buscara el respaldo de las instancias de gobierno, incluyendo la SEDARPA, donde se tiene la esperanza de que su titular, el contador Rodrigo Calderón Salas, impulse de alguna manera las peticiones de los ejidos relacionadas con caminos, para emprender proyectos al respecto.
De la Cruz Hernández consideró que, en relación a ese asunto, los funcionarios deberían comprome-
dmartinenseproduccion@gmail.com
Gerente administrativo
L.C. Laura Ortiz Torres
Gerente de Marketing
L.C. Laura Ortiz Torres
Subdirector Sergio Guillén Fernández Jefe de Talleres Gildardo Daniel Flores
terse, con el propósito de que, conjuntamente con las autoridades ejidales se lleve a cabo la coordinación de los trabajos encaminados a realizar mejoramiento duradero de los caminos, mismos que deberían ser un impulso al desarrollo y progreso de las comunidades de esa zona. Dijo que sería deseable que en este mismo año se reanuden acciones de rehabilitación en la zona norte, sobre todo porque con las recientes lluvias los caminos han sufrido deterioro, mismo que se debería atender, con la finalidad de que no empeoren sus condiciones y, por lo tanto, la movilidad de pobladores y productores.
EL HERALDO DE MARTINEZ es una publicación diaria de lunes a sábado. Viernes 7 de Marzo de 2025 | Año 6 | No. 2159 | Editor responsable Ing. Eduardo Sánchez Macías. Número de certificado de Reserva de Derecho al Uso Exclusivo del Titulo 04-2017-090412182000-101. Certificado de Licitud 17081. Certificado de Licitud de Contenido 17081. Domicilio de la publicación, impreso y distribuido por Empresas Franes, S.A. de C.V., con domicilio en Boulevard Rafael Martínez de la Torre No. 168. Esq. 22 de Noviembre, Col. San Manuel, Martínez de la Torre, Ver., C.P. 93600. Tels.:(01 232) 324-85-46, 324-4676, 373-15-95, Fax 324-85-47
Apoyan y respaldan la profesionalización de los mexicanos
A través del Sistema Educativo Nacional
BRENDA PÉREZ AGUILAR
En la Cámara de Diputados, importante reunión sostiene la diputada federal, Mónica Herrera Villavicencio con la titular del Consejo Nacional de Normalización y Certificación de Competencias Laborales (CONOCER), María Guillermina Alvarado Moreno y el Director General de los Centros de Formación para el Trabajo, (CECATIS), José Gonzalo Espina Miranda.
El objetivo de este encuentro, indicó la legisladora fue, presentar la estrategia con la que se impulsará la profesionalización de los mexicanos a través del Sistema Educativo Nacional.

MARTÍNEZ DE LA TORRE, VER.En el VII Distrito
Entre los puntos más relevantes se encuentran: El “Plan México” para profesionalizar al sector productivo, “México te abraza” enfocado a migrantes repatriados, profesionalización de mujeres Emprendedoras, estrategias de movilidad, profesionalización de policías y profesionalización de trabajadores agrícolas.
“Con esta vinculación apoyamos y respaldamos los objetivos del Gobierno de México para profesionalizar en todos los rincones del país”, concluyó Herrera Villavicencio.

No se debe de permitir la violencia de ningún tipo
BRENDA PÉREZ AGUILAR
MARTÍNEZ DE LA TORRE, VER. -

Inició el proceso de afiliación mediante el cual visitaran colonias y comunidades para engrosar las filas del movimiento, anunció Modesto Velásquez Toral
SERGIO GUILLÉN F.
MARTÍNEZ DE LA TORRE, VER. -
El Promotor de la Cuarta Transformación en Martínez de la Torre, Modesto Velásquez Toral, anunció el arranque del proceso de afiliación del Movimiento de Regeneración Nacional -MORENA- en el VIIS Distrito, el cual tiene como meta afiliar a 40 ciudadanos a las filas del movimiento. En rueda de prensa, acompañado por Samuel Bello, representante de la Coordinación Distrital de MORENA, el Promotor de la 4T en este
A unas horas de la conmemoración del Día Internacional de la Mujer, abogados destacan, que es importante seguir fomentando la cultura de la denuncia. De acuerdo a lo informado por el abogado de esta región, Osvaldo Alfredo Serrano Herrera, deben seguir impulsando e implementando la cultura de la denuncia, puesto que las mujeres y hombres que son violentados no deben de quedarse callados.
Todos aquellos que sufren algún
municipio informó que tras el término del proceso interno de su partido político en la cual resultó ganador en la encuesta, sigue un trabajo intenso para fortalecer las filas y engrosar la militancia.
En este sentido, indicó que se ha iniciado el proceso de afiliación de nuevos militantes y para ello, se ha trazado una meta de 40 mil nuevos morenistas en el VII Distrito, en el caso de Martínez de la Torre será una cifra proporcional, para lo cual se realizará una campaña para ir a las colonias, comunidades y rancherías
tipo de violencia, no deben de quedarse callados, precisó, pues, aunque las autoridades han quedado mucho a deber, deben seguir impulsando la cultura de la denuncia.
Los fiscales deben de entender, apuntó, que son servidores públicos y que se deben a la sociedad.
“A veces los trámites son engorrosos, tardados y pareciera que las autoridades no les ponen atención, que son un número más, sin embargo,
a invitar a las y los ciudadanos sumarse a las filas del Movimiento de Regeneración Nacional. Velásquez Toral, señaló que se trata de un trabajo importante para llegar fortalecidos en los retos venideros, así mismo, anunció la apertura de la casa de afiliación de MORENA, la cual estará ubicada en la avenida Ignacio de la Llave, entre las calles Matamoros y Guerrero, en el centro de Martínez de la Torre, en las antiguas instalaciones del Tec de Martínez, misma que será inaugurada este viernes 07 de marzo.
tienen que seguir impulsando la cultura de la denuncia”, indicó. Por último, dejó en claro que no se debe de permitir la violencia de ningún tipo e invitó a la población para que denuncien aquel agresor físico, sexual y a las autoridades que en el abuso del poder lleguen a hacer uso innecesario de la fuerza; porque como sociedad no pueden permitir que se violenten los derechos de la ciudadanía.
Empresas de la región ofertan plazas para habitantes de Martínez de la Torre
COMUNICACIÓN SOCIAL
MARTÍNEZ DE LA TORRE, VER. -
Este jueves se llevó a cabo en el Parque José María Mata el “Chambatón Municipal”, a cargo de la Dirección de Desarrollo Económico del Gobierno de Martínez de la Torre, programa que responde a la preocupación de la alcaldesa, Alfa Citlalli Álvarez Vázquez por acercar opciones de empleo para todos los martinenses.
La jornada inició alrededor de las 10:00 horas, desde ese momento el equipo de Antonio Justo Quiroz, Director de Desarrollo Económico estuvo al pendiente para orientar y apoyar a las empresas y a los martinenses que llegaron al Parque para conocer las ofertas de empleo de las empresas que se sumaron a esta iniciativa.
Con actividades como esta, el Gobierno de Martínez de la Torre reafirma su compromiso con la economía de las familias martinenses, para mejores opciones en el marcado laboral, pero además apoya a las empresas para tener personal y seguir fortaleciendo al municipio.

Bachetón sigue mejorando vialidades
Los trabajos se continuarán realizando de manera paulatina en otros puntos del municipio
COMUNICACIÓN SOCIAL
MARTÍNEZ DE LA TORRE, VER. -
Dando seguimiento al Programa Bachetón Municipal, que es una iniciativa de la Presidenta Municipal Alfa Citlalli Álvarez Vázquez, se continúa mejorando las vialidades que conducen a las comunidades de todo municipio para que productores puedan sacar sus frutas de una manera segura, además para que la ciudadanía pueda trasladarse sin contratiempos a sus escuelas y centros de trabajo.



Con diversas acciones se le da nueva vida a este punto de reunión de las familias martinenses
COMUNICACIÓN SOCIAL
MARTÍNEZ DE LA TORRE, VER. -
El Parque Ecológico de Martínez de la Torre es un punto de reunión de las familias martinenses, ya sea para actividades sociales, recreativas o para hacer ejercicio, este lugar es referente del municipio, por lo que la adminis-
En esta ocasión por medio de la Dirección de Obras Públicas, a cargo de Jorge Fernández Aquino, estos trabajos se trasladaron a la carretera que conduce a Balsas de Agua, dónde el personal a su cargo llevó a cabo los trabajos de reparación de dicha vía, por la que ahora se transita con mayor seguridad. Es Bachetón Municipal fue un programa que se implementó por para atender los casos de baches que había en la ciudad donde se tuvo un importante avance en una primera etapa, por lo que al continuar con esas tareas han dado prioridad a los casos en los que se requiere la atención con mayor urgencia.
Las autoridades municipales han señalado que las actividades continuarán y que se espera sigan desarrollándolas de forma paulatina, por lo que solicitaron la comprensión de los vecinos para que esperen la llegada de este programa hasta colonias o comunidades.
tración de Alfa Citlalli Álvarez Vázquez, llevó este jueves una Jornada de Tequio para darle nueva vida.
Con la intervención de las direcciones del Ayuntamiento de Martínez de la Torre el personal se dispuso a realizar acciones de desmalezamiento, limpieza de áreas verdes, pintura de los andadores y mantenimiento a los
diversos espacios que conforman este Parque Ecológico.
Las Jornadas de Tequio siguen recorriendo colonias y comunidades del municipio, mejorando y recuperando espacios para beneficio de todas y todos, un compromiso que día a día cumple el Gobierno de Martínez de la Torre.






COMUNICACIÓN SOCIAL
MARTÍNEZ DE LA TORRE, VER. -
Con éxito iniciaron las “Charlas por el Bien de Todas”, actividad que en el marco de la conmemoración del Día Internacional de la Mujer que busca informar a los jóvenes estudiantes sobre el trascendental papel de la mujer en distintos ámbitos, iniciativa de la administración de la Presidenta Municipal, Alfa Citlalli Álvarez Vázquez, la cual se realiza
Inicia funciones el Comedor Municipal de la Finca La Soledad
Martinenses podrán acceder a alimentos todos los jueves en la sede del DIF Municipal
COMUNICACIÓN SOCIAL
MARTÍNEZ DE LA TORRE, VER. -
El Programa de “Comedores Municipales para todos”, ya abrió sus puertas en el DIF Municipal, pues a partir de hoy, cada jueves estarán brindando alimentos de 11:00 del día a las 14:00 horas, gracias a esta iniciativa de su Presidenta la Mtra. Elvira Vázquez Mendoza
municipio
con el apoyo de las Directoras de área del Ayuntamiento.
En esta primera jornada de las “Charlas por el bien de todas”, las escuelas que fueron visitadas por las Directoras del Gobierno Municipal encabezadas por la Síndica, Judith Garrido Ruíz visitaron las siguientes instituciones educativas; Telesecundaria José Vasconcelos, Escuela Secundaria Técnica 71, Secundaria Miguel Alemán, Secundaria Jaime Nunó, Se-
para ayudar en la alimentación de las familias que más lo requiera.
Este Comedor se suma a los comedores recién inaugurados que están ubicados en los Centros de Desarrollo Comunitario (CDC) de la Colonia Elba Esther Gordillo y de la Colonia Ejidal, que atienden martes y miércoles respectivamente y los jueves en el DIF Municipal, todos con el mismo horario de atención.
Estas son acciones que benefician a las familias más necesitadas del municipio, el DIF Municipal de Martínez de la Torre, siempre trabaja con sentido humano y teniendo como firme propósito ayudar a mejorar las condiciones de vida de todas las familias martinenses.
cundaria José María Mata y la Telesecundaria Vicente Guerrero, donde las y los jóvenes atendieron de muy buena forma esta visita.
Estas acciones continuarán este viernes, además por la tarde, en el Parque José María Mata en punto de las 16:00 horas se estará realizando la exposición, Mujeres en el Arte, donde se tendrá la oportunidad de conocer el trabajo artístico de las mujeres martinenses en diversas disciplinas.


Que por Instrumento Público Número 15,440 del presente año, pasado en el Protocolo de esta Notaría, los señores JOSÉ MANUEL MANTEROLA SAINZ y ELVIA FRANCESCA MANTEROLA CAMPOMANES, por derecho propio, acudieron a denunciar la Sucesión Testamentaria a bienes del finado señor FRANCISCO JAVIER MANTEROLA CABAÑAS.
Lo que se hace del conocimiento en general, para ser publicado por dos veces de 10 en 10 días en la Gaceta Oficial del Estado de Veracruz de Ignacio de la Llave y en el Periódico “El Heraldo de Martínez” de mayor circulación de esta Ciudad.
A T E N T A M E N T E: Martínez de la Torre, Ver., 04 de Marzo del 2025.
LICENCIADO MARIO MIGUEL DE LA FUENTE MACIEL NOTARIO ADSCRITO A LA NOTARÍA NÚMERO DOCE
Gobierno de Tlapacoyan coadyuva con C-4 en la promoción del 911
COMUNICACIÓN SOCIAL
TLAPACOYAN, VER. -
Un trabajo estrecho y coordinado, realiza el gobierno municipal que encabeza Salvador Murrieta Moreno, con el C4, con el propósito de generar vinculación con la comunidad estudiantil y docentes encaminadas a la prevención del delito, así mismo en la difusión del uso correcto del 911 y la aplicación mujer alerta.
El personal del Centro Estatal de Control, Comando, Comunicaciones y Cómputo (C4), a través de las pláticas informativas que implementan en las instituciones educativas de nivel media superior, brinda la información necesaria sobre la importancia que representa los reportes que se emiten a través del número 911.
El 911 sirve para homologar los distintos servicios de emergencia, es decir los reportes se canalizan a las Policías municipales, Fiscalía General del Estado, Cruz Roja, Bomberos, Protec-
Ayuntamiento alista “Expo Emprendedoras”
COMUNICACIÓN SOCIAL
TLAPACOYAN, VER. –
Mediante el impulso y respaldo del gobierno municipal que emana Salvador Murrieta Moreno, por cuarto año consecutivo, se llevará a cabo la “Expo Emprendedoras”, en el marco del Día Internacional de la Mujer, donde se crea el total apoyo a quienes son el pilar de la familia.
Las actividades tienen como objetivo principal otorgar espacios para la comercialización de artículos y alimentos que son elaborados y preparados por emprendedoras tlapacoyenses, quienes desde esta modalidad buscan sobresalir en sociedad.
La expo emprendedoras, tendrá una importante asistencia de más de 80 mujeres, mismas que estarán ubicadas en el parque central “Luis Escobar Toledano”, para mostrar al público la variedad de artículos y alimentos que elaboran desde el hogar.
Con estos espacios que brinda el ayuntamiento de Tlapacoyan se generan oportuni-
ción Civil, esto como parte a brindar con eficiencia la atención al reportante.
Además, se explica cómo funciona la aplicación para celular alerta mujer, alerta ciudadana, alerta empresarial, alerta hogar, mismos que la comunidad estudiantil debe conocer y utilizar de forma responsable.
Mediante estas acciones y estrategias en materia de prevención el alcalde Salvador Murrieta Moreno fortalece la colaboración y los lazos con el Centro Estatal de Control, Comando, Comunicaciones y Cómputo (C4), para concientizar a las juventudes en la cultura de la prevención, donde la seguridad conlleva al bienestar y estabilidad de las familias.

dades a las mujeres, quienes a través de la comercialización contribuyen a la mejora económica de las familias, donde el emprendimiento representa un sustento para el beneficio de las y los participantes.
De esta manera, el alcalde Salvador Murrieta Moreno refrendan el apoyo a las mujeres tlapacoyenses, quienes de manera diaria buscan sobresalir y a través del emprendimiento y el autoempleo, generar la remuneración económica, quienes con esfuerzo y dedicación generan bienestar. Cabe recordar que las actividades se estarán desarrollando durante este sábado 08 y domingo 09 de marzo, donde los consumidores podrán adquirir variedad de artículos y productos que elaboran y comercializan las emprendedoras tlapacoyenses.


Junto a la Presidenta del DIF Municipal atestiguan la entrega de la medalla “Premio Estatal de la Mujer 2025” en el Congreso del Estado
COMUNICACIÓN SOCIAL
SAN RAFAEL, VER. -
El Alcalde C.P. Héctor Lagunes Reyes y su esposa, la Enfermera Carmen Marín Martínez, asistieron a la sesión solemne para la entrega de la medalla “Premio Estatal de la Mujer 2025” en el Congreso del Estado. Esta participación destaca su compromiso con la igualdad de género y el reconocimiento a las mujeres destacadas en el Estado de Veracruz.
En este evento destacado, Angela Olarzan fue merecedora de la medalla por ser creadora de un asistente médico llamado “Ixtlilton”, la cual recibió de manos de la Gobernadora Ing. Rocío Nahle García.
En el Gobierno del alcalde Héctor Lagunes Reyes, se promueve un municipio igualitario, donde se reconoce y valora la contribución de las mujeres en la sociedad, trabajando juntos por un futuro más justo y equitativo.


Las actividades educativas tienen el respaldo por el gobierno municipal que preside Salvador Murrieta Moreno
COMUNICACIÓN SOCIAL
TLAPACOYAN, VER. -
Importante y destacada participación mostraron niñas y niños quienes fueron parte de las actividades académicas en la presentación de Cuentacuentos, donde a través de este trabajo que se realizan en las instituciones educativas se fomenta la lectura entre los alumnos. Fue en las instalaciones de la primaria “Manuel Alberto Ferrer”, donde funcionarios municipales del gobierno que preside Salvador Murrieta Moreno, asistieron en representación del mandatario local quienes presenciaron la participación de la niñez como parte del trabajo que realizan los mentores desde las aulas.
Los cuentacuentos es una persona que narra a otros
con el objetivo de divertir, recrear, rescatar y difundir historias que hablan sobre la vida y raíces, sin embargo, desde la edad estudiantil transmiten cultura y promueven el amor por los relatos y la lectura.
Además de fomentar los hábitos de lectura entre niñas y niños, la actividad logró el propósito de brindar un mensaje de autoestima y valoración personal, mismas que fueron evaluadas por un jurado calificador, quienes destacaron la participación y desenvolvimiento de cada estudiante.
Cabe señalar que las actividades demuestran el interés y compromiso de los mentores y los estudiantes de nivel primaria para desarrollarlos, además de formar parte a una educación integral, plena y acorde a la nueva modalidad educativa conforme a la nueva escuela mexicana en bien del alumnado quien debe leer para tener mayor conocimiento.




Ayuntamiento y
en pro de los productores de
Implementaron importantes recorridos para verificar posibles afectaciones por el pasado frente frío 24
COMUNICACIÓN SOCIAL
TLAPACOYAN, VER. -
Importantes lazos son los que mantiene el alcalde Salvador Murrieta Moreno con la Secretaria de Desarrollo Agropecuario, Rural y Pesca, SEDARPA a fin de fortalecer el campo en pro de las y los productores plataneros en Tlapacoyan. Recientemente, se contó con la visita del personal operativo de la (SEDARPA), quienes, en compañía del departamento de fomento agropecuario de Tlapacoyan, realizaron labores de campo para conocer las posibles afectaciones que podrían
existir en los cultivos por el paso del frente frío No. 24. Durante el recorrido se inspeccionaron los cultivos situados en las comunidades de; Pochotitan, Buena Vista, Platanozapan, Eytepequez y San Isidro, donde constataron que existen huertas con follaje quemado, esto como resultado a las bajas temperaturas del frente frío y la combinación de la masa de aire ártico del aquel 22 de enero del 2025. Es importante mencionar que los trabajos de campo implementados, van encaminados a conocer desde la Secretaria de Desarrollo Agropecuario, Rural y Pesca,

la radiografía del panorama que se mantiene en los cultivos de plátano en el municipio de Tlapacoyan. Mediante estas acciones y trabajo en conjunto, el presidente municipal Salvador Murrieta Moreno con la SEDARPA, se aplican ejes de acción y políticas públicas para atender, impulsar y mejorar las condiciones de las y los productores plataneros tlapacoyenses.
LICENCIADO MARIO MIGUEL DE LA FUENTE MACIEL NOTARIO ADSCRITO A LA NOTARIA NUMERO DOCE MARTINEZ DE LA TORRE, VERACRUZ. ESTADOS UNIDOS MEXICANOS
Que por Instrumento Público Número 15,085 de fecha 03 de Diciembre del año 2024, pasado ante la fe del Suscrito Notario Adscrito en el Protocolo de esta Notaría los señores JOSE ROGELIO y VICTOR MANUEL de apellidos TORAL PEREZ, en su carácter de HIJOS, solicitan el inicio de la tramitación extrajudicial de la Sucesión Intestamentaria a bienes del finado señor JOSE MANUEL TORAL LOMBARD.
Lo que se hace del conocimiento en general, para ser publicado por dos veces de 10 en 10 días en la Gaceta Oficial del Estado de Veracruz de Ignacio de la Llave y en el Periódico “El Heraldo de Martínez” de mayor circulación de esta Ciudad.
Martínez de la Torre, Ver., 03 de Diciembre del 2025.
YHADIRA PAREDES
XALAPA, VER.-
Luego de que el dirigente estatal de Movimiento Ciudadana diera a conocer que cuando menos 10 de sus aspirantes a presidentes municipales han sido amenazadas, la consejera presidenta del Organismo Público Local Electoral (OPLE), Marisol Delgadillo Morales, aclaró que el protocolo de seguridad para candidatos solo se activa durante el periodo de campañas.
Ante las acusaciones de Luis Carbonell, la titular del OPLE afirmó que el protocolo de acompañamiento solo se aplica durante el periodo de campañas, el cual comenzará el próximo 28 de abril. Sin embargo, dijo, el ente
Garantizada la seguridad para candidatos que lo soliciten formalmente:
trabaja de manera coordinada con autoridades electorales y del Estado para dar atención al tema.
“Esto ya lo estamos coordinando con el Instituto Nacional Electoral (INE) y las autoridades correspondientes para garantizar la seguridad en el estado”.
Por otra parte, Delgadillo Morales señaló que se concluyó con la instalación de los consejos municipales y se trabaja con el INE en la instalación de las casillas y las bodegas electorales para el proceso electoral ordinario.
“Están operando, ya están instalando. Estamos revisando y atendiendo algunos reportes que hemos recibido; se está verificando la situación para tomar las acciones correspondientes”.

manera formal así como su solicitud de protección ante las autoridades correspondientes si así lo consideran. Esto, en respuesta a las declaraciones del coordinador estatal de MC, Luis Carbonell de la Hoz, quien aseguró que aspirantes de su partido han sido intimidados para renunciar a sus candidaturas en las próximas elecciones municipales.
Reitera que es obligación del Estado brindar protección a la ciudadanía.
XALAPA, VER.-
La gobernadora de Veracruz, Rocío Nahle García, garantizó la seguridad de los aspirantes a un cargo de elección popular de nivel municipal en el proceso electoral que está en marcha. En entrevista en la sede del Congreso Local, exhortó a los candidatos que han denunciado de manera pública presuntas amenazas, a presentarlas de
Nahle García recordó que la Secretaría de Seguridad Pública (SSP) es la instancia encargada de brindar protección a los candidatos que lo requieran, siguiendo los protocolos establecidos para estos casos.
“Que se comuniquen, que lo hagan por escrito, y a todos los que se sientan amenazados se les garantizará seguridad”, afirmó.
Asimismo, reiteró su compromiso con la seguridad en todo el estado y subrayó que garantizarla es una responsabilidad fundamental del Gobierno de Veracruz.




La galardonada ha desarrollado proyectos que transforman vidas en comunidades.
XALAPA, VER.-
En sesión solemne del Congreso del Estado, la gobernadora Rocío Nahle García entregó el Premio Estatal a la Mujer a Ángela Elena Olazarán Laureano, joven originaria de Papantla, quien en 2024 fue reconocida con el Global Student Prize como la mejor estudiante del mundo.
Acompañada por las presidentas del Poder Legislativo y Judicial, la Mandataria destacó la trayectoria de Ángela, resaltando su dedicación, talento y compromiso social, que la han convertido en un ejemplo para las juventudes veracruzanas y del país.
“Es un gusto entregar este reconocimiento a una joven que, a su corta edad, ha demostrado una gran capacidad de innovación y superación. Desde su natal Papantla, ha desarrollado proyectos que han impactado a muchas personas, como su aplicación Ixtlitón para el Bienestar”, expresó.
La Comisión Especial de la LXVII Legislatura determinó otorgar esta
Se van por vacunar a más de 5 millones de cabezas de ganado
YHADIRA PAREDES
XALAPA, VER.-
Se prevé vacunar en los próximos 5 años un total de 5 millones de cabezas ganado contra la tuberculosis, bruce -
distinción a Olazarán Laureano por su contribución en el campo de la tecnología, la salud y la educación.
En el marco del Año de la Mujer Indígena 2025, su historia cobra un significado especial al ser un referente de esfuerzo y orgullo para las comunidades originarias del estado.
La Gobernadora resaltó la importancia de reconocer los logros de la juventud en vida, enfatizando que estos premios no deben reservarse solo para trayectorias consolidadas a lo largo de décadas, sino también para quienes, desde temprana edad, generan un impacto positivo en la sociedad.
“Desde el Gobierno de Veracruz te decimos, Angelita, cuentas con todo nuestro apoyo. Nos sentimos profundamente orgullosos de ti y de todo lo que representas”.
En su intervención, Olazarán Laureano destacó la importancia de la equidad de género en todos los ámbitos de la sociedad, así como su compromiso con la educación y la tecnología como herramientas para transformar realidades.
losis y rabio paralítica, con el fin de mantener la calidad de exportación en el hato ganadero veracruzano.
El subsecretario de Ganadería y Pesca de la Secretaría de Desarrollo Agropecuario, Rural y Pesca, Carlos Manuel Jiménez Díaz, explicó que se vacunarán en un primer bloque 550 mil cabezas de ganado.
“Tenemos el reto y el objetivo de vacunar casi cinco millones de cabezas en Veracruz en los próximos cinco años y medio, lo que permitirá conservar el estatus A en Veracruz, que habilita la

“Necesitamos escritoras, ingenieras, líderes comunitarias, científicas, empresarias y activistas, todas unidas con un mismo propósito: abrir puertas para las generaciones que vienen detrás de nosotras”, afirmó.
Finalmente, hizo un llamado a inspirar con el ejemplo: “La palabra convence, pero el ejemplo arrastra. Quiero que mi ejemplo sea una in-
exportación de los animales”.
Jiménez Díaz señaló que en Veracruz existen dos zonas ganaderas: la zona A, que permite la exportación y abarca desde Cosamaloapan hasta Pánuco, y que cumple con la reglamentación correspondiente; y la zona B, que se extiende de Cosamaloapan a Las Choapas, en la que se trabajará para convertirla en zona A en los próximos años. Además, la actual administración va por un proceso de regularización de las unidades de producción pecuarias para actualizar el padrón ganadero en la entidad.
vitación a la transformación y a la construcción de un futuro donde ninguna niña tenga que pedir permiso para soñar en grande”. Próximamente, Ángela representará a México en un evento científico en el Space Center de Houston, donde presentará un proyecto de investigación en el Museo Oficial de la NASA, consolidando así su camino en el mundo de la ciencia y la tecnología.


La titular del ICATVER acompañó a la Gobernadora
Rocío Nahle García a la entrega del Premio Estatal a la Mujer
2025 a la joven originaria de Papantla, Ángela Elena
Olazarán Laureano
DE LA REDACCIÓN
MARTÍNEZ DE LA TORRE, VER.-
La Directora General del Instituto de Capacitación para el Trabajo del Estado de Veracruz -ICATVER-, Profesora Adriana Esther Martínez Sánchez, acompañó a la Gobernadora de Veracruz,


Ingeniera Rocío Nahle García, a la Sesión Solemne de la LXVII Legislatura del Congreso de Veracruz, en la cual ante la presencia de las tres titulares de los poderes del Estado, se entregó el Premio Estatal a la Mujer 2025 a Ángela Elena Olazarán Laureano, joven originaria del municipio de Papantla. En vísperas del Día Internacional de la Mujer, la GobernadoraRocíoNahleGarcía; la titular del Poder Legislativo, Diputada Tanya Carola Viveros
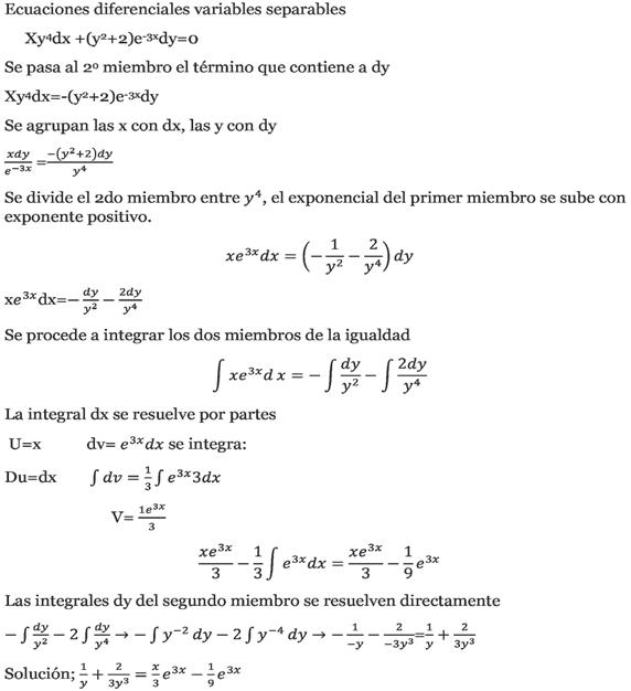
LAS MATEMÁTICAS NO SON TAN DIFÍCILES ECUACIONES DIFERENCIALES VARIABLES SEPARABLES

Cházaro y la presidenta del Tribunal Superior de Justicia y del Consejo de la Judicatura del Poder Judicial del estado, Magistrada Lisbeth Aurelia Jiménez Aguirre, se dieron cita para reconocer a una destacada veracruzana por su importante trayectoria de excelencia científica, social y académica, particularmente para brindar atención médica virtual utilizando las redes informáticas.
La Profesora Adriana Esther Martínez Sánchez, dijo que la joven profesionista Ángela
Elena Olazarán Laureano debe ser inspiración para todas y todos los mexicanos para alcanzar sus metas, superarse y al mismo tiempo, contribuir al desarrollo y bienestar de sus regiones, tal y como lo ha hecho la oriunda de Papantla quien, a su corta edad, ha superado grandes desafíos siendo hoy inspiración para niñas y estudiantes del país.
“Desde nuestras trincheras, estamos llamados el impulsar el avance en la igualdad para las
mujeres, pues como los ha dicho nuestra Presidenta Claudia Sheinbaum: este es el tiempo de mujeres, pues todas tienen derecho a ser lo que ella quieran sin que nadie limite su desarrollo, pueden ser políticas, científicas, ingenieras, gobernadoras, diputadas y hasta comandantas supremas”, expresó la titular del ICATVER.
Martínez Sánchez felicitó así a la ganadora del Premio Estatal a la Mujer 2025 y reiteró su compromiso para seguir trabajando con determinación y pasión, desde su trinchera, para seguir impulsando el desarrollo integral de las veracruzanas, siguiendo el liderazgo de la Gobernadora Rocío Nahle García para que nadie se quede atrás, para que juntas seguir rompiendo barreras que impidan el crecimiento de las mujeres veracruzanas, porque por amor a Veracruz, es tiempo de mujeres.
JUAN DAVID CASTILLA
VER.-
Veracruz es una de las entidades de la República Mexicana con más unidades de producción de ganado bovino.
El 55.5% de las existencias en las unidades de producción, se concentraban en Veracruz, Jalisco, Chihuahua, Chiapas, Durango, Tabasco, Sonora y Michoacán.
El Instituto Nacional de Estadística y Geografía (Inegi) reveló que la cría del ganado bovino tiene como propósito principal producir carne y leche, además de la producción conjunta de ambos productos. En septiembre de 2022, se captaron 24.8 millones de existencias de ganado bovino.
Lacríadeavesseconcentróen 6 entidades federativas: Jalisco, Veracruz, Yucatán, Puebla, Durango y Aguascalientes. Se incrementaron en 46.4% las

existencias de aves de corral, de 2007 a 2022. La sequía es la principal causa de pérdida de unidades de producción agropecuaria, reporta el Inegi. La ganadería comprende actividades de cría, cuidado, reproducción, engorda y uso de ganado bovino, porcino, ovino, caprino y aves de corral,
así como el aprovechamiento de colmenas y la cría de équidos, pavos y conejos. En conmemoración del Día Nacional de la Ganadería (6 de marzo), el Instituto Nacional de Estadística y Geografía ofrece información sobre las principales especies ganaderas, con base en el Censo Agropecuario (CA), 2022.
Primera Sección
Viernes 7 de Marzo de 2025
Durante los últimos días se han reportado varios casos en el estado de Veracruz donde personas desaparecidas han sido localizadas, pero sin vida. Esto ha ocurrido en diversos municipios de la entidad, recientemente en Altotonga, Emiliano Zapata y Alvarado, lo que ha consternado a la población veracruzana.
Los familiares de las víctimas lamentan que los índices de violencia hayan repuntado durante las últimas semanas en el estado.
El caso más reciente es la del médico veterinaria Angélica Virgen Camacho y su hija Esthefanía Ferrari Virgen, quienes habían sido reportadas como desaparecidas desde el pasado 11 de febrero en el municipio de Alvarado y fueron localizadas sin vida.
La Fiscalía General del Estado (FGE), a cargo de Verónica Hernández Giadáns, informó que, derivado de labores de investigación de gabinete y campo, las mujeres, identificadas con las iniciales
A.V.C. y E.F.V., fueron encontradas muertas y una persona fue detenida presuntamente relacionada con el secuestro agravado de las víctimas.
La dependencia estatal solicitó y obtuvo una orden de cateo por parte de un juez, para inspeccionar un inmueble en el municipio de Alvarado, ubicado muy cerca de la zona conurbada Veracruz-Boca del Río.
Las mujeres fueron privadas de la libertad por sujetos armados en el fraccionamiento Lomas de La Rioja, en la locali-
dad Antón Lizardo, municipio de Alvarado, una importante zona turística de la entidad veracruzana.
Angélica Virgen Camacho, de 53 años, era médico veterinaria y su hija Esthefanía Ferrari Virgen, de 24 años, estudiaba Biología en el Instituto Tecnológico de Boca del Río.
Sus cuerpos fueron localizados al interior de un inmueble de la zona conocida como “El Bayo”, en la costa de Alvarado, a pocos kilómetros de donde fueron secuestradas por un comando.
Estos hechos ocurrieron previo al Día Internacional de las Mujeres, que se conmemora cada 8 de marzo (8M), fecha en que se realiza una ola de movilizaciones en el país por parte de colectivas feministas para exigir que cese la violencia en su contra.
INVESTIGAN CASO DE VÍCTOR
El adolescente Víctor Emanuel Cano Jiménez, de 15 años, había sido reportado como desaparecido y fue localizado sin vida en la localidad La Estanzuela, municipio de Emiliano Zapata, cerca de la ciudad de Xalapa.
Estos hechos se dieron a conocer la noche del pasado lunes 3 de marzo, luego de más de 24 horas de que se emitiera la ficha de búsqueda.
De acuerdo con los primeros reportes, Víctor Emanuel fue hallado muerto en las inmediaciones del río que cruza por el poblado mencionado.
Sus familiares y amigos habían difundido en redes sociales la ficha de búsqueda donde se detallaba que el joven fue visto por último mes el domingo 2 de marzo en la misma comunidad La Estanzuela.

Hasta el momento, las autoridades no se han pronunciado para dar a conocer el motivo de la desaparición y su muerte. Solo se sabe que continúan las investigaciones para el esclarecimiento del caso.
En las redes sociales, sus parientes también habían solicitado la ayuda de la ciudadanía para difundir los rasgos particulares y la fotografía de Víctor Emanuel.
El pasado domingo por la noche fue la última vez que fue visto con vida. Las cámaras de videovigilancia lo captaron caminando solo por una calle de La Estanzuela.
Vestía una playera negra y un pantalón corto, se dirigía a la tienda. Cerca de esa zona, se encuentra un barranco, donde un día después sería encontrado sin vida.
El adolescente estudiaba en la Escuela de Bachilleres Antonio María de Rivera, turno diurno, en la ciudad de Xalapa, cuya institución también se sumó a la búsqueda.
“Toda la comunidad de la Escuela de Bachilleres Antonio María de Rivera Diurna se une a la pena que embarga a la familia Cano Jiménez por la irreparable pérdida de su hijo y alumno de nuestra institución”, se pronunció la escuela.
VIRIDIANA, SIN VIDA
Viridiana Durán de la Cruz fue encontrada muerta y había sido reportada como desaparecida desde el 30 de enero de 2024 en el municipio de Altotonga, ubicado en la zona montañosa central de Veracruz.
Sus familiares y amigos confirmaron en hecho y difundie-

ron diversos mensajes en las redes sociales para expresar su dolor tras esta pérdida.
“Vuelta alto Viri. Me quedo con el grato recuerdo de haber podido coincidir en esta vida, con aquella última salida aquel 29 de diciembre del 2023”, se lee.
El miércoles 5 de marzo fue entregado el cuerpo a sus familiares, después de un año y dos meses de búsqueda. Ella había salido de su casa rumbo al trabajo en el municipio de Altotonga, cercano a Perote.
Fue captada por una cámara de videovigilancia cerca del parque del municipio. En ese momento ella vestía chamarra color rosa, pantalón y tenis azules. Al momento de su desaparición, Viridiana, tenía 24 años.
Desde la desaparición, sus familiares y amigos, emprendieron la búsqueda tanto en campo como a través de las redes sociales para que su fotografía a más personas.
Altotonga se localiza en la sierra y colinda con municipios rumbo al norte del estado de Veracruz, como Jalacingo, Atzalan, Misantla, Tenochtitlan, Tatatila y Las Minas por mencionar algunos.
ANOMALÍAS PASADAS
La activista Olga Lidia Salazar Hernández denunció que la anterior administración de la Comisión Estatal de Búsqueda de Veracruz (CEBV) mantuvo ocultas las fichas para localizar a su hija Marion Ivette Sampayo Salazar, desaparecida desde el 14 de enero de 2011 en la ciudad de Poza Rica, en la zona norte de la entidad.
La señora acusó que, en esa administración, a cargo de Brenda Cerón Chagoya, tam-

bién fueron obstaculizadas búsquedas, no sólo de Marion Ivette, sino de otros integrantes del colectivo “Unidos por amor a nuestros desaparecidos de Poza Rica”.
La entrevistada mencionó que, hasta esta nueva administración, que encabezan Lutgarda Madrigal Valdez, encargada de despacho, y Juan José Valdez Cano, actual jefe de Departamento de Búsqueda, se reactivaron las jornadas.
Mencionó que tras el cambio de administración se reactivó la difusión y volanteo de las fichas de cada colectivo de búsqueda, lo que se había retrasado durante dos o tres años.
También comentó que se requieren las actualizaciones de expedientes en la Fiscalía General del Estado y atención personalizada a colectivos y víctimas indirectas.
Doña Olga Lidia reactivó el volanteo para buscar a su hija en la zona sur de Veracruz, en busca de información sobre su paradero.
“Y ahí mismo me fueron entregadas alrededor de 12 lonas que tenían guardadas en la Comisión, entonces estas lonas las guardó Brenda y Fernanda que eran las que antes estaban a cargo de la Comisión Estatal de Búsqueda”, detalló. Recordó que las lonas que mantenían ocultas se colocan en sitios públicos de los municipios como parte de la difusión.
Cabe recordar que Olga Lidia Salazar Hernández, ganó un amparo que tramitó el 5 de marzo de 2024 ante el Poder Judicial de la Federación (PJF), lo que le permitió volantear y pegar las fichas de su hija desaparecida desde hace 14 años.




FDS #HERALDOS MARTÍNEZ DE LA TORRE, VER.-
Muchas felicidades para la profesora de inglés y empren-
dedora Sara Vázquez quien recibió las inmensas muestras de cariño y amor de sus seres queridos en una serie de festejos digno de una Reyna. ¡Felicidades!


A partir de hoy, y a lo largo de los próximos diez días, Saturno dominará sobre el cielo, y puede ser una época incómoda para ti, en la que te veas obligado a hacer lo que te impone el destino.
Estos próximos diez días, a partir de hoy, estarán muy dominados por Saturno y por ello te conviene ser prudente, hacer las cosas más con la cabeza que con los sentimientos e impulsos. Además, te llevarás un desengaño de alguien.
Desde hoy, hasta el día 17, Saturno tendrá una influencia muy poderosa, por eso no debes extrañarte, o preocuparte más de la cuenta, si en estos días el trabajo, o los asuntos mundanos, se vuelven más complicados de la cuenta.
A partir de hoy, y a lo largo de los próximos diez días, Saturno dominará sobre el cielo, y eso te dará la ocasión de ver las cosas con mayor realismo y objetividad, utilizar más la cabeza y no tanto los sentimientos e impulsos.
Una poderosa influencia de Saturno, a partir de hoy y hasta el día 17, te va a traer algunos momentos difíciles en la economía o la vida íntima, incluso podría causarte una pequeña crisis, o que sufras un desengaño. Pero va a ser el punto de partida.
Saturno dominará sobre el cielo desde hoy hasta el día 17, más o menos, y podría tener un efecto negativo para tus uniones y asociaciones, favoreciendo alguna crisis o incluso ruptura.
Debido a una fuerte influencia de Saturno, en los próximos diez días a partir de hoy, debes tener mucha prudencia para todos los asuntos relacionados con el trabajo y las cosas mundanas, incluyendo las finanzas.
Saturno va a ejercer una influencia muy fuerte a partir de hoy y hasta el día 17, más o menos. Afortunadamente, transita de un modo favorable para Escorpio, pero, no obstante, estos días pueden ser algo difíciles para ti.
Hoy comienza una etapa de unos diez días, en la que Saturno se hallará muy poderoso, y eso tú lo vas a notar, sobre todo, en el ámbito familiar, el hogar y la vida íntima, donde tendrás que afrontar algunas dificultades.
Debido a la influencia dominante que Saturno ejercerá de hoy al día 17, debes procurar moverte con algo más de prudencia y pensando bien las cosas antes de hacerlas. No te fíes demasiado de amigos, compañeros u otras personas.
Hoy comienza una breve etapa, de unos diez días, que estará muy dominada por Saturno, y por ello en este periodo debes ser muy precavido y prudente en relación con tus asuntos materiales y financieros. Si tienes que hacer una importante operación.
La influencia de Saturno será poderosa a partir de hoy y hasta los próximos diez días. Van a ser días difíciles o poco agradables, las obligaciones y sacrificios prevalecerán sobre los momentos de ocio o alegría.

El director mexicano explica que ‘Memoria’, es una historia de amor con mucha realidad y que no es condescendiente con el espectador; disponible desde hoy en varias salas de todo el país
AGENCIA
CIUDAD DE MÉXICO
El hijo pródigo de los festivales internacionales Michel Franco estaba en un momento muy positivo de su vida cuando escribió el guion de Memoria, su séptima película.
Para ella, siempre pensó en Jessica Chastain, una ganadora al Oscar, para interpretar a Sylvia, una mujer con un pasado muy doloroso, cuya vida adquiere un nuevo matiz cuando conoce a un Saul (Peter Sarsgaard) hombre con demencia.
Si bien es cierto que ésta fue la primera colaboración entre Franco y Chastain (ya van por una tercera), por poco se ve totalmente truncada.
“A Jessica le gustaba mi cine
y fue una cosa entre los agentes que se coordinó. Ella pensaba que en la parte de en medio, en el punto crítico del guion, donde se define qué tipo de película va a ser, se enfrentan y encaran los dos personajes, que seguramente iba a ser una película muy oscura, en la que todo iba a salir muy mal y que iba a ser una historia sobre venganza.
“Y pensó: ‘No me interesa hacer esto”, pero se sorprendió mucho que, dos páginas después, hay un giro por completo en la narrativa y eso fue lo que le convenció a Jessica”, contó el cineasta mexicano en entrevista con Excélsior.
Presentada en el Festival de Cine de Venecia del 2023, Memoria se alzó con muy buenas críticas de parte de la audiencia y Peter Sarsgaard (presente en la cartelera actual con Septiembre 5), fue reconocido con el Premio a Mejor Actor en dicho certamen.
“La elección de Peter tuvo que ver con la química entre los personajes, quería que fuera especial, así que le pregunté (a Jessica) con quién le gustaría trabajar y me dio tres nombres. Peter fue el que más me interesó, fue el primero al que conocí y ya, así se
decidió.
“Le gustó mucho el libreto y le representó un reto importante la parte de la demencia. Además, Peter nunca había tenido un reconocimiento de ese tamaño y me dio mucho gusto que lo premiaran en Venecia”, agregó el realizador vía Zoom.
Dentro de la filmografía de Franco, de 45 años, Memoria es quizá la cinta más esperanzadora de su trabajo al plasmar a dos personas completamente rotas que coinciden en espacio y tiempo. Ella, una mujer exalcohólica, que vivió un momento muy traumático en su familia en la juventud, desea olvidar lo que sufrió, mientras que él se enfrenta a una demencia que lo vulnera en su día a día.
“No fue algo que antes de escribir el guion pensé: ‘voy a hacer justo esta relación que termina siendo de amor entre el que no puede recordar y la que no puede olvidar’, sino descubrí que de eso se trataba cuando tenía el primer tratamiento. Así que decidí que se tenía que llamar Memoria.
Fue una sorpresa para mí también”, compartió el ganador del Premio Especial del Jurado de la sección Una cierta mirada, del festival de cine de Cannes, por su cinta Las hijas de Abril, en 2017.
Fue tras haber filmado Sundown que, estando en la casa de su colega y amigo, el actor Tim Roth, que Franco le contó la idea de filmar una historia que le estaba rondando en la cabeza.
“Es una película que escribí cuando estaba en una etapa de mi vida en la que sentía mucha paz, con ánimo positivo y creo que toda esa calidez se refleja en la pantalla, sin dejar de ser mi cine y sin perseguir algo forzado.Creo que lo más difícil es hacer una historia de amor que sea una realidad, no una fórmula que es condescendiente con el espectador”, reflexionó Franco.
El también director de Nuevo orden, Daniel & Ana y Chronic rodó Memoria en Nueva York, en 2022, y tras tener un importante historial como realizador, se le preguntó a Franco cómo veía Memoria dentro de su filmografía, cuando muchos la definen como su película más “luminosa”. “Todas son muy humanas, pero la
diferencia en Memoria, me parece, es el estudio de personajes muy rotos, a quienes la vida los ha tratado de manera no fácil y; sin embargo, encuentran la fuerza para salir adelante y encontrarse, y creo que ahí está la luz de la película. No obstante, el acierto me parece que está en las buenas actuaciones, que hacen que todo esto sea genuino y no sea una imposición de director diciendo: ‘Ahora hay buena onda y ya’. Es un trabajo a profundidad que hicieron los actores y entonces me parece que ahí es en donde vale mucho la pena la película”, remató Michel Franco.
Hace un par de semanas, Michel Franco y Chastain presentaron en la Berlinale su nueva película Dreams, junto al bailarín mexicano Isaac Hernández.
Memoria está disponible desde hoy en cines de México y comparte cartelera con Mickey 17, Presencia y otras.
SOBRE MEMORIA
Dirige: Michel Franco
Actúan: Jessica Chastain, Peter Sarsgaard, Jessica Harper, Elsie Fisher, Josh Charles y Brooke Timber.
Género: Drama
País: México, Estados Unidos, Chile y Alemania.
Año: 2024
Duración: 103 minutos.

En cuestiones empresariales, políticas y sociales, lo cual brinda a las integrantes de ese género una gran proyección
FACUNDO BARTOLO SALAZAR
MARTÍNEZ DE LA TORRE, VER.-
Las mujeres conquistan cada vez más y mejores espacios, no solamente en los temas tradicionales en los que se han desempeñado, sino también en cuestiones empresariales, políticas y sociales, lo cual brinda a las integrantes de ese género una gran proyección y empoderamiento que definitivamente impulsaran a Martínez de la Torre en su trayectoria como una ciudad importante y progresista, expuso Aurora López Pérez, coordinadora de grupos de mujeres.
Reconoció que “es motivo de orgullo que al estar próxima la celebración del Día Internacional de la Mujer el 8 de marzo, se aparezcan en el escenario mujeres realmente destacadas en sus diferentes
áreas de acción, y como ejemplo de ello es digna de mencionarse a Lupita Bustos, quien recientemente ha escalado la representación de mujeres empresarias a nivel estatal, lo cual es muy notable”. Confió en que personas con ese nivel sigan inspirando, no solamente a las empresarias, sino también a otras mujeres, mismas que se desenvuelven en otros ámbitos.
López Pérez destacó que, definitivamente, Lupita Bustos hizo un excelente papel en lo que se refiere al contacto que se logró concretar con el embajador de Kuwait, lo cual se espera que sea de gran beneficio para Martínez de la Torre, especialmente en lo relacionado al comercio internacional, en el que destaca la exportación de limón persa, que ha dado fama a este municipio y la región.
Dijo que, ante ese futuro prometedor, en el que son mujeres quienes han tenido participación clave, se tiene la esperanza de que Martínez de la Torre siga siendo cuna indiscutible de mujeres que forjan su trayectoria, dejando huella en los diferentes espacios donde desarrollan labor, y no solamente eso, sino que se impulsan unas con otras, para contribuir a su fortalecimiento y el de esta ciudad y municipio.


ÁLVARO GUERRERO SAN RAFAEL, VER.-
En el marco conmemorativo del día Internacional de las Mujeres. El Instituto Municipal de las Mujeres (IMM) de San Rafael efectuará este sábado 08 de junio se desarrollará la cuarta edición de la Carrera Atlética de las Mujeres, un evento que se ha convertido en tradición en la localidad.
En entrevista con Citlalli Gerón Méndez, titular de IMM de este municipio, comentó que se encuentra entusiasmada por la efectuación de la cuarta edición, lo que considera que será una jornada de lucha,
JUAN CARLOS JIMÉNEZ B. TLAPACOYAN,
VER .-
La producción platanera en el municipio se vio afectada tras el paso de los frentes fríos, por lo que se realizaran recorridos en cada una de las comunidades donde se encuentran las parcelas afectadas para cuantificar los daños, esto en coordinación el presidente del Sistema Producto Plátano de Veracruz. Roberto Vargas, integran-
te del Consejo de Vigilancia de la Asociación Agrícola de Productores de Plátanos de Tlapacoyan, dio a conocer que será a partir de este jueves cuando se inicie un recorrido por las diversas hectáreas de este municipio y empiecen a surgir los datos preliminares en torno a los daños.
Destacando que estas acciones se realizaran en coordinación con ingeniero Sergio Graillet, presidente del Sistema Producto Plátano de Veracruz,
quien busca tener información y estadísticas de primera mano. Estimando que la mayor afectación en la parte alta donde con las bajas temperaturas las hojas de los plátanos se queman y con las altas temperaturas comienzan a secarse. Esperando que puedan tener toda la información recabada para que en el tiempo más rápido y con ello hacer la solicitud de declaratoria de afectación a la producción platanera en Tlapacoyan.
exigencia y demandas por los derechos humanos para las mujeres. Aunque es un trabajo que se realiza diariamente, sin que sea en una fecha específica. Para esta ocasión, la carrera se efectuará a las cinco de la tarde, de lo que contará con cuatro categorías, en donde tendrán oportunidad de participar niñas desde los diez años hasta mujeres de cualquier edad, con el único requisito principal de tener ganas de participar. Y es que no solamente será la carrera, también dijo que se realizará la Feria de Mujeres Emprendedoras, en cual, brindará un espacio de manera gratuita con mobiliario y deco-
ración para que las mujeres emprendedoras puedan hacer su muestreo de sus productos. Además de la venta de productos en la plaza fundadores, también otros sectores de emprendedoras ofrecerán sus servicios de belleza sin costo y de contar con un espectáculo musical con una imitadora de Paquita la del Barrio, que estará homenajeando a la reconocida cantante veracruzana.
Señaló que este tipo de iniciativas, refuerza su compromiso con la equidad de género, el emprendimiento y la visibilización de la lucha por los derechos de las mujeres a través del deporte y la cultura.


ALINE GARCÍA MISANTLA, VER.-
Médicos tradicionales, brujos y chamanes tendrán una carga de trabajo para este viernes 7 de marzo, pues, es el primer viernes de marzo, en donde los hechizos, los rituales y las limpias son lo que predomina.
Luis Enrique Sánchez Borjas, médico tradicional explicó
DE LA REDACCIÓN
XALAPA, VER.-
Con motivo del Día Internacional de la Mujer, el Instituto Mexicano del Seguro Social (IMSS) en Veracruz Norte llevó a cabo actividades en conmemoración de la lucha por la
que Misantla aún conserva sus usos y tradiciones, por lo que este municipio predomina la medicina tradicional, es decir, remedios con hierbas, purificaciones, sahumerios, limpias, la sanación del alma y el espíritu.
Dijo que en la actualidad en el municipio de Misantla existen más de 70 médicos tradicionales, distribuidos en diferentes puntos del muni-
cipio, y quienes tendrán este viernes una gran carga de trabajo, iniciando desde las 6 de la mañana sus actividades hasta la media noche, pues, en este día, es donde la gente acude a realizarse algún trabajo esotérico, para despojarse de las malas vibras, purificar el aura, y prepararse para estar bien todo el año.
Manifestó que, a comparación de un día normal, en el primer viernes de marzo esperan que se incremente su trabajo en un 90% más, en donde acuden desde los niños hasta los adultos mayores, toda una familia entera, quienes se preparan y quieren ahuyentar las malas energías y estar limpios, purificados en lo que resta del año.
Expresó que esta fecha es muy sagrada, porque se utiliza para purificaciones, las limpias son una tradición de índole prehispánica, y la utilización de las platas medicinales, como la ruda, el albacar, el romero, el copal, el huevo, son lo más utilizado en este día.
Finalizó diciendo que cada uno de los diversos médicos tradicionales tiene diversas técnicas, el manejo de emergerías para ayudar en la sanación de las personas.

cer mejor atención.
Por instrucciones de la dirección General de la CAEV, la oficina operadora de la Comisión de Agua del Estado de Veracruz, concluyo con la recepción del pago anual anticipado el cual se dio durante enero y culminando el 28 de febrero, informó Tito Don Juan Macías.
Quien señaló que cerca de 450 usuarios en rezago de pagos, mientras que los que van mes por mes pagando el servicio son cerca de 650 de los beneficiarios, es importante que aprovechen el pago anticipado ya que con el recurso obtenido se utiliza para el mantenimiento a equipos de bombeo y ofre-
igualdad de género, la participación y el empoderamiento de las mujeres en todos los ámbitos. En este día, la Jefatura de
Servicios de Salud en el Trabajo, Prestaciones Económicas y Sociales organizó una activación física en la explanada

delegacional y se instaló en el pasillo central del Centro de Seguridad Social (CSS) Xalapa, una muestra cultural titulada
Por lo que la invitación se hizo extensiva a los usuarios para que aprovecharan el 10% de descuento, para jubilados y pensionados se les descontó el 50 % solo en enero y febrero. A pesar de ello los usuarios que no se han acercado a realizar sus pagos, pueden a las oficinas que se localizan en Morelos número 500 entre Zaragoza y Enríquez para darles facilidades y hagan un convenio de pago.
Siendo esto un gran apoyo para la oficina operadora debido a que con estos pagos se puede dar una mayor atención a las líneas de conducción del vital líquido que abarca el casco de la ciudad, colonias y algunas comunidades.
“Mujeres que inspiran”; donde se expusieron imágenes de mujeres ilustres que han contribuido a la causa feminista. En estas actividades participaron trabajadoras y trabajadores de las distintas áreas médicas y administrativas de la representación.



Badminton y Básquetbol suman destacadas participaciones en los Selectivos Preestatales de los Juegos CONADE
COMUNICACIÓN SOCIAL
MARTÍNEZ DE LA TORRE, VER.-
El pasado fin de semana los selec-
cionados martinenses de Badminton y Básquetbol tuvieron una destacada participación en el Preestatal de los Juegos Deportivos CONADE 2025, poniendo en alto el nombre de Martínez de la Torre, por lo que la administración que encabeza, la Presidenta Municipal, Alfa Citlalli Álvarez Vázquez reconoce su esfuerzo.
Los resultados son los siguientes: Oswaldo Tadeo Domínguez y Pedro Gabriel Peña Aguilar - Plata Sub-17 Varonil

Constanza Lameiras Reséndiz y Regina García Bastián - Bronce en Singles Sub 15 Femenil: Regina García Bastián y Camila Medina González - Plata en Dobles Femenil
Constanza Lameiras Reséndiz y Pablo Tlemoyotzi Hernánez - Plata en la Sub 15 Dobles Mixtos Oswaldo Tadeo Domínguez - Bronce en el Singles Sub 17 Varonil De ellos, Constanza Lameiras Reséndiz ha conseguido su pase al Nacional representando al Estado de
Veracruz en la Categoría Sub 15 femenil. Por su parte en la disciplina de Básquetbol los equipos que representan a Martínez de la Torre los equipos de esta especialidad tuvieron una destacada participación, en la que demostraron que el nivel del baloncesto martinense está en constante desarrollo. Los atletas martinenses siguen trayendo al municipio muy buenos resultados, esfuerzo de deportistas, padres de familia y entrenadores, por lo que la administración municipal continuará respaldando su desarrollo.



a mano, sin embargo, nunca se había mencionado ni el rival ni la sede de este duelo.
En el marco de su gira del adiós, el Hijo del Santo bajará el telón de su brillante carrera dentro del pancracio apostando su incógnita el próximo 6 de abril del presente año en la Ciudad de México.
De acuerdo a una publicación del propio enmascarado de plata, el icónico luchador reveló que este encuentro se dará ante uno de sus más acérrimos rivales y no justamente Blue Demon Jr. sino Fuerza Guerrera.
El escenario será la Arena Ciudad de México donde la ‘Leyenda de plata’ y el ‘Mosco de la Merced’ encenderán el cuadrilátero de la capital del país, sitio donde ambos gladiadores decidieron poner en juego lo más preciado que tienen dentro de este deporte. Cabe destacar que desde que inicio de la gira de despedida del Hijo del Santo, misma que ha visitado ya varios estados del país, se esperaba que se jugara la máscara en un mano
Tras la noticia, las redes sociales estallaron luego de darse a conocer que el aguerrido Fuerza Guerrera sería el rival en cuestión pues los usuarios aseguraron que será una gran lucha entre ambos atletas, aunque muchos se decepcionaron al saber que no sería con Blue Demon Jr.
¿CUÁNDO Y DÓNDE SERÁ LA LUCHA?
La función donde se jugará algo más que el orgullo el Hijo del Santo y Fuerza Guerrera será el 6 de abril del 2025 en la Arena Ciudad de México, ubicada en la alcaldía Azcapotzalco. El evento está programado para comenzar a las 17:00 horas.
En cuanto a los costos de los boletos para ser testigos de esta histórica lucha, estos tendrán un costo que va de los 251 hasta los 5 mil 600 pesos en la mejor localidad del inmueble y podrán ser adquiridos por internet en Boletomóvil.


yardas en seis años.
Raiders de Las Vegas mandó un mensaje claro: Maxx Crosby no sólo es el alma de su defensa, es el jugador que define su identidad. Y para asegurarse de que su motor incansable siga rugiendo en plata y negro, le han dado una extensión de contrato de tres años y 106.5 millones de dólares, con 91.5 millones garantizados. Con este acuerdo, Crosby se convierte en el jugador mejor pagado de la NFL que no es quarterback.
Un ascenso brutal para alguien que, hace cinco años, llegó a la liga como una apuesta de cuarta ronda en el Draft.
Cuando Raiders tomó a Crosby en 2019, muchos lo vieron como un proyecto a largo plazo. Un ala defensiva alto y espigado de Eastern Michigan, sin la etiqueta de estrella colegial que llevan otros pass rushers al llegar a la National Football League (NFL).
Pero desde el primer momento, Crosby jugó como si cada salida de balón fuera el último de su vida. Su intensidad en el campo se volvió su sello, y con cada golpe al quarterback rival, fue dejando claro que no era un jugador del montón. Hoy, con 59.5 capturas en su carrera, cuatro selecciones al Pro Bowl y múltiples honores All-Pro, es una de las fuerzas más temidas en la liga.
El futbol americano es una liga de quarterbacks, pero los que los persiguen también tienen su valor. Crosby ha demostrado que es uno de los más efectivos en esa tarea, promediando más de 10 capturas por temporada y acumulando 105 tacleadas para pérdida de
El contrato que acaba de firmar redefine el mercado para los defensivos. En un mundo donde los equipos invierten millones en proteger a sus pasadores, Raiders ha hecho lo contrario: apostar fuerte por un hombre que los destruye.
DAK AYUDA A ABRIR ESPACIO SALARIAL
Cowboys de Dallas reestructuraron el contrato del quarterback Dak Prescott, creando 37 millones de dólares en espacio salarial para la próxima temporada baja.
Esta reestructuración sigue a su contrato previamente firmado por cuatro campañas por 240 millones de dólares, el más grande en la historia de la NFL.
Al mismo tiempo, el contrato del receptor abierto CeeDee Lamb también fue reestructurado mientras el equipo se prepara para la agencia libre y se enfoca en firmar una extensión lucrativa con el defensor Micah Parsons. Prescott, quien tuvo una temporada complicada debido a una lesión en el tendón de la corva, está ansioso por el próximo año con el nuevo entrenador en jefe Brian Schottenheimer. Prescott, seleccionado tres veces al Pro Bowl, tiene un récord de 76-46 en 122 partidos como titular desde que Dallas lo eligió en la cuarta ronda del Draft de la NFL de 2016. Ha lanzado para 31,437 yardas con 213 touchdowns y 82 intercepciones.
Si bien la reestructuración proporciona un alivio inmediato del tope salarial, el contrato de Prescott sigue siendo elevado y su desempeño la temporada pasada estuvo por debajo de las expectativas.


AGENCIA
CIUDAD DE MÉXICO
Konosuke Takeshita, figura de AEW-NJPW-DDT, defendió con éxito su Campeonato de Peso Abierto Never tras vencer a Ángel de Oro en el choque estelar del Viernes Espectacular del Consejo Mundial de Lucha Libre (CMLL), que se realizó en la Arena México. Ambos luchadores recurrieron a sus mejores castigos desde el inicio de la batalla. En una de las acciones, Konosuke Takeshita levantó a Ángel de Oro contra la barrera de protección, lo que ocasionó que su adversario se lastimara, presentando una herida profunda. A pesar de ello, el representante del CMLL no desistió y se fue en busca de la haza-
ña. Sin embargo, el gladiador japonés aplicó su letal “Raging Fire” para llevarse la victoria y retener el Campeonato Peso Abierto Never.
LA CDMX ES BICAMPEONA DEL TORNEO DE ESCUELAS DEL CMLL Por segundo año consecutivo, la Ciudad de México se proclamó triunfadora del Torneo de Escuelas del CMLL. En esta ocasión estuvo integrada por Troyano, Alexius, Fury Boy, Poseidón y Péndulo, quienes se impusieron a los luchadores de Querétaro y Puebla. En la tercera lucha de la noche, Rocky Romero recurrió a su estilo rudo para llevar a la victoria al Hijo del Villano III y El Difunto, ya que se apoyó de las cuerdas para dar cuenta
Lamine Yamal se quedará
de Flip Gordon, quien terminó molesto por llevarse de esa forma la derrota junto a Blue Panther y Capitán Suicida. Para calentar motores rumbo a la función femenil del viernes 7 de marzo, Zeuxis y Sanely fueron descalificadas, ya que le quitaron la máscara a India Sioux, quien a pesar de la victoria junto a Persephone, no le agradó la acción de sus oponentes. También en la función aparecieron Viva Van y Johnnie Robbie, quienes tendrán una serie de presentaciones en las funciones del CMLL como representantes de NJPW Strong.
En la lucha inicial, Los Dulces AtrapaSueños (Rey Cometa, Espíritu Negro y Dulce Gardenia) impusieron sus condiciones ante Espanto Jr., El Coyote y Barboza.
AGENCIA BARCELONA
El jugador del Barcelona Lamine Yamal está listo para extender su contrato con el cuadro de LaLiga, esto luego de una reunión que sostuvo su agente Jorge Mendes con la directiva la noche del martes 4 de marzo de 2025.
“Lo importante ahora es la parte deportiva, Lamine tiene un futuro muy, muy importante”, dijo Mendes a los medios españoles tras una reunión con el presidente del Barca, Joan Laporta, en Lisboa en declaraciones recogidas por la agencia Reuters.
“La reunión ha ido muy bien. Lamine Yamal va a renovar con el Barcelona”, destacó el agente en un video que se reprodujo en el programa El Chiringuito en donde el representante luso dijo que el jugador se siente cómodo en el equipo.
¿CUÁNDO VENCE EL

ACTUAL CONTRATO DE LAMINE YAMAL CON EL BARCELONA?
El acuerdo entre el Barcelona y Lamine Yamal vence en 2026, pero ambas partes han comenzado a negociar para asegurar su permanencia, aunque con ajustes económicos dado que, actualmente, el salario del jugador está lejano a lo que se considera podría percibir tras haber salido de la cantera del club.
“Quiero jugar en LaLiga y quiero hacerlo en el Barca. Y
sí, renovaré mi contrato”, dijo Yamal hace unas semanas en donde daba entender su deseo de mantenerse en el equipo. Se espera que su nuevo acuerdo sea firmado cuando él cumpla 18 años, esto sucederá el próximo 13 de julio. “No sé cuándo firmaré el nuevo contrato, pero creo que será pronto”, expresó el jugador en una entrevista hace dos meses.
El actual acuerdo tiene una cláusula de rescisión valuada en mil millones de euros.







Nombre:
Dirección:


PERLA SANDOVAL/AVC NOTICIAS
Ángela Elena Olazarán Laureano, Premio estatal de la mujer, dijo que es necesario que en el tiempo actual “ninguna niña tenga que pedir permiso para brillar en grande”.
“Se busca abrir caminos para que las generaciones futuras tengan un terreno más fértil y con más oportunidades, con menos barreras porque como dice una frase que llevo conmigo: la palabra convence, pero el ejemplo arrastra, quiero que mi ejemplo sea para la acción, la transformación, la construcción de un futuro para que ninguna niña tenga que pedir permiso para soñar en grande”, dijo al recibir el galardón en el Congreso de Veracruz durante la sesión solemne de este viernes.
En su mensaje afirmó que los jóvenes siempre han luchado contra las barreras económicas y discriminación, pero con tolerancia y trabajo lograron resultados.
“Desde hace años he trabajado con un solo objetivo que es luchar porque las personas, pero especialmente las niñas y las mujeres tengan acceso a espacios de ciencia y tecnología porque el talento no entiende genero ni fronteras, pero sí depende de las oportunidades”.
La estudiante originaria de Papantla señaló que la educación y la tecnología sirven como una forma de cambiar realidades.
Añadió que a través de sus proyectos ha confirmado que la tecnología es una herramienta clave y poderosa para frenar las brechas y lograr mejores vías, especialmente en comunidades remotas, así como en la comunidad.
“Esta lucha es necesaria, para lograr el desarrollo se requiere del arte, de la educación, de la medicina, la economía, el deporte, la ciencia, la tecnología y en cada espacio que las mujeres tengan la oportunidad porque la equidad de género no es exclusiva de una disciplina, sino un derecho que se debe garantizar en todos los espacios y la sociedad, por eso necesitamos científicas, empresarias, docentes, artistas, activistas, todas unidas con un mismo propósito, a fin de que quienes vengan detrás de nosotras encuentren un mundo con menos barreras y más oportunidades”.
Por su parte, la gobernadora de Veracruz, Rocío Nahle García, reconoció la labor de Ángela Elena Olazarán Laureano y destacó que desde la administración estatal se busca impulsar a los jóvenes que tienen proyectos de desarrollo pensados para mejorar la vida de la sociedad.


Recordó que Ángela desarrolló el proyecto Ixtlilton que nació durante la pandemia por Covid-19, mientras estudiaba en el Conalep de Papantla, mismo que lo llevó a obtener el premio como la mejor estudiante del mundo.
“Estaba desarrollando un proyecto para diagnosticar y ayudar a las comunidades más vulnerables, precisamente de donde ella proviene, esa es la importancia de la sensibilidad, de ahí radica su fortaleza, entre otras cosas”.
La gobernadora comentó que se debe tomar el ejemplo de la estudiante que ha buscado mejorar la calidad de vida de las personas, especialmente de las comunidades alejadas.
“Cómo no sentirse orgullosos de Ángela, que a los 18 años ha demostrado que los jóvenes y las mujeres pueden tener un amplio desarrollo en los espacios donde se lo propongan, es un gusto entregar el premio a una joven que a su corta edad tiene una preparación amplia y que con su originalidad se ha superado, ha destacado y es una inspiración para las estudiantes de México”.
ÁNGELA, LA MEJOR ESTUDIANTE DEL MUNDO RECIBE EL PREMIO A LA MUJER EN VERACRUZ
Con 18 años de edad, la joven ori-
ginaria de Papantla, Ángela Elena Olazarán Laureano, recibió el galardón del Premio a la Mujer 2025 en el Congreso del Estado; entre sus logros académicos figura haber sido nombrada como la mejor estudiante del mundo.
El pasado 30 de enero el pleno de los diputados aprobó entregarle este reconocimiento al haber sido seleccionada entre 35 propuestas ciudadanas.
La joven es egresada del Conalep 244 “Manuel Maples Arce” de Papantla y fue reconocida como la mejor estudiante del mundo al obtener el galardón Global Student Prize 2024; recibió este prestigioso premio durante la Asamblea General de la ONU en Nueva York.
Con ello se convirtió en ser la primera mujer y primera estudiante latinoamericana en obtener este reconocimiento mundial en el que contendieron más de 11 mil jóvenes de 176 países.
El galardón lo obtuvo por la creación de Ixtlilton, un asistente médico virtual impulsado por inteligencia artificial que es capaz de diagnosticar 21 enfermedades, tras la realización de una serie de preguntas directas a la persona que lo utiliza.
La estudiante de la carrera de Ingeniería en Tecnologías de la Información y Negocios Digitales en la Universidad Anáhuac ha señalado
que el proyecto Ixtlilton nació durante la pandemia por COVID-19 como una forma de hacer un presupuesto diagnóstico de personas que viven en comunidades rurales y tienen dificultades para acceder a una atención médica oportuna y adecuada.
Narró que Ixtlilton fue llamado así en honor a la deidad de la medicina y que actualmente busca no solo sea ayudante en la detección de COVID-19, sino intentar con enfermedades más complejas, como cardiovasculares o respiratorias.
A sus 18 años, Ángela ha sido estudiante embajadora de CoSpaces Edu Ford Microsoft y acreedora a la medalla de plata en la OVI 2022. Es bicampeona estatal, nacional y mundial de robótica.
También fue galardonada con la presea “Ingeniero Bernardo Quintana Arrioja” en la categoría de Excelencia Académica Conalep 2023, el máximo galardón que otorga la institución a sus alumnos.
Obtuvo el premio Honorable Student Award en el concurso Huawei Developer Competition LATAM 2023 y presentó el proyecto “Ixtlilt” en Space Exploration Educators Conference (SEEC) 2024 en el Space Center Houston de la NASA.
Cabe destacar que recibió el título de Mejor Estudiante en STEM en México por su trayectoria de excelencia científica, social y académica, y desarrollar proyectos basados en Sciencie, Tecnology, Engineering and Mathematics (STEM).
Ángela Olazarán también ha sido Premio Estatal de la Juventud en la categoría Logro Académico; ha hablado en el Senado de la República sobre la importancia de incluir carreras STEM en el currículo mexicano, así como desarrollar habilidades socioemocionales en los estudiantes.
A principios de este año, ella y su equipo de Nakú Robotics participaron virtualmente en una conferencia sobre IA y educación espacial que se llevó a cabo en el Centro Espacial de Houston de la NASA.
El 25 de octubre de 2024 el Ayuntamiento de Xalapa le entregó un reconocimiento en sesión solemne, realizada en la sala de Cabildo. El reconocimiento le fue entregado por el alcalde de Xalapa, Ricardo Ahued Bardahuil, quien señaló que con su labor ha desarrollado soluciones innovadoras con impacto social, entre las que destaca un asistente médico virtual con inteligencia artificial. Por su parte, los diputados locales determinaron entregarle el Premio Estatal a la Mujer en una sesión solemne con la presencia de los poderes legislativo, ejecutivo y judicial.


DAVID MARTÍNEZ CIUDAD DE MÉXICO.-
La presidenta Claudia Sheinbaum Pardo resaltó que México fue tratado con mucho respeto en la llamada de este jueves con el Presidente de Estados Unidos, Donald Trump, con quien acordó que a nuestro país no se le requerirá pagar aranceles en los productos que se encuentren dentro del Tratado entre México, Estados Unidos y Canadá (T-MEC), lo cual tendrá vigencia hasta el 2 de abril, fecha en la que EUA anunciará aranceles recíprocos para todos los países.
“México fue tratado con mucho respeto. Y llegamos a este acuerdo que realmente beneficia a ambas naciones: Seguir colaborando, cooperando en distintos temas y al mismo tiempo, en el marco del respeto entre nosotros, mantener esta cooperación”, destacó durante la conferencia matutina: “Las mañaneras del pueblo”.
Explicó que durante la llamada le expuso al Presidente Trump una gráfica que muestra que los resultados que ha tenido el Gobierno de México particularmente en febrero se reflejan en una reducción de 41.5 por ciento en las incautaciones de fentanilo en la frontera, de acuerdo con datos del Customs and Border Protection (CBP) de los EUA.
“Le dije: ‘Estamos teniendo resultados, presidente Trump. ¿Por qué ahora que puso las tarifas, pues cómo vamos a seguir cooperando, colaborando, con algo que daña al

pueblo de México? Y no fue ni amenaza, nada, nada, nada, sencillamente: ‘Entiéndame a mí que, para mí, lo más importante es mi pueblo’. Y que yo necesito, pues seguir colaborando y cooperando con ustedes, pero necesitamos igualdad de circunstancias”, comentó.
Precisó que la disminución de las incautaciones de fentanilo se debe en gran medida a las acciones en materia de seguridad que se han impulsado como el envío desde el 3 de febrero de 10 mil elementos de la Guardia Nacional a la frontera entre México y Estados Unidos; así como la decisión del Gabinete de Seguridad de enviar a 29 personas privadas de la libertad a Estados Unidos.
“Si nosotros estamos incautando más fentanilo en México, pues va a pasar menos fentanilo a los Estados
Unidos, cosa que hemos estado informando cada 15 días”, agregó. Asimismo, comentó que durante la conversación abordaron los acuerdos a los que los equipos de ambos gobiernos llegaron durante reuniones en Washington en días pasados en las que establecieron trabajar en la reducción del tráfico de drogas ilegales de México a Estados Unidos y reducción del tráfico de armas ilegales de Estados Unidos a México. La Jefa del Ejecutivo Federal destacó que no solo es un logro de la Presidenta de México, sino de todas y todos los mexicanos.
“Yo, la verdad, quiero decir que fuimos tratados con mucho respeto. Digo ‘fuimos’, porque sí, es a la Presidenta de México, pero es al pueblo de México, porque yo repre-
sento al pueblo de México. Que todo lo planteamos siempre en este mes y siempre lo vamos a plantear por convicción: Que se puede colaborar, coordinarnos, hacer muchas cosas juntos siempre en el marco de respeto a nuestra soberanía, que es la posición que siempre hemos planteado”, aseveró.
Aseguró que esta no será la última llamada que sostenga con su homólogo de los Estados Unidos ya que hay muchos temas que deben seguir platicando como el respeto a los mexicanos que viven del otro lado de la frontera.
Destacó que México tiene que trabajar hacia adelante en el fortalecimiento de su soberanía de autosuficiencia, lo cual es parte del Plan México y del fortalecimiento del mercado interno para generar un desarrollo económico con bienestar. Recordó que el próximo domingo 9 de marzo, a las 12:00 horas, se reunirá en el Zócalo de la Ciudad de México con las y los mexicanos en un festival donde explicará el acuerdo al que se llegó con el Presidente Trump, además de que aprovechará para recordar la importancia de la reforma al Poder Judicial.
“Voy a explicar el logro que significa este acuerdo entre los presidentes y entre nuestros pueblos, y vamos a invitar ahí a grupos musicales para festejar con el pueblo de México”, añadió.
Por ello, invitó a todas y todos los mexicanos, así como a los paisanos que viven en los Estados Unidos, a acudir al Zócalo capitalino.


Taxista se incorpora a carretera federa sin precaución, un motociclista terminó herido en un hospital
JUAN CARLOS JIMÉNEZ B. TLAPACOYAN, VER. -
Cuantiosos daños materiales y una persona lesionada fue el saldo que arrojo fuerte accidente vehicular sobre la carretera federal número 129, en el tramo Tlapacoyan – Martínez de la Torre, donde un motociclista resultó herido al colisionar con un vehículo de alquiler cuyo conductor le cortó el paso.
Bomberos voluntarios, participaron
JUAN CARLOS JIMÉNEZ B. TLAPACOYAN, VER. -
Personal de Bomberos Voluntarios de este municipio atendió un incendio de pastizal en la localidad Frijolares, donde por suerte el fuego no avanzo gran extensión de terreno.
Fue tras una petición de apoyo de vecinos de unas parcelas cercanas en el que mencionaban que un incendio avanzaba de manera y podría llegar a varias parcelas sino se actuaba de manera rápida.
Por lo que el personal de Bomberos voluntarios de Tlapacoyan, iniciaron los trabajos en el área formando cortafuegos para que de esta manera las llamas no avanzaran más.
Lográndolo controlar varios minutos más tarde, destacando que este incendio se había generado luego de que personas que ocupan estas tierras para siembra, primero hacen la quema de la hierba, pero esta vez perdieron el control del mismo avanzando rápidamente el fuego.
Los hechos ocurrieron a la altura de la colonia las Américas, donde las unidades quedaron varadas, averiadas y el conductor del caballo de acero, tendido sobre el pavimento con golpes contusos como resultado del choque. Transcendió́ que el motociclista circulaba sobre la vía federal con dirección a Tlapacoyan, sin embargo, el taxista aparentemente al tratar de ingresar a la colonia las Américas hizo corte de circulación embistiendo al
masculino, quedando proyectado al pavimento.
Las unidades involucradas; es marca Italika, color negro, placas de circulación 17YVG5 del estado de Veracruz, mientras que el responsable fue el taxi, placas de circulación A-303XGE, del estado, número económico 212, sitio CTM, quedado averiado de la parte delantera.
Al lugar arribaron paramédicos de servicio de Protección Civil quienes


procedieron a brindar la asistencia al conductor de la moto quien fue valorado y trasladado a la sala de urgencias del hospital para la atención de los galenos. Además, Policías Municipales se hicieron cargo del hecho terrestre en la toma de conocimiento y en espera del arribo de autoridades de la Guardia Nacional para proceder a lo conducente y ordenar el retiro de los vehículos y el deslinde de responsabilidades.
Paramédicos atienden a hombre con hemorragia
YECUATLA, VER. -
Vecinos del municipio de Yecuatla solicitaron el apoyo de los servicios de emergencia, pues, en la vía publica estaba una persona del sexo masculino tirada y con sagrado abundante.
Los paramédicos se trasladaron de inmediato al lugar indicado, donde encontraron al afectado con signos de sangrado interno y debilitamiento general, siguiendo los protocolos de emergencia, procedieron a valorarlo y brindarle atención prehospitalaria, estabilizándolo antes de su traslado.
También se contó con el apoyo de la Policía Municipal de Yecuatla, quienes resguardaron la zona, los paramédicos realizaron el protocolo correspondiente y trasladaron al paciente al Hospital regional de Misantla IMSS-Bienestar para que recibiera una mejor atención médica.



Hombre joven identificado como Francisco Arturo, es atacado a balazos en calles de la colonia Rodríguez Cano de Martínez de la Torre
MARTÍNEZ DE LA TORRE, VER. -
Una persona joven del sexo masculino identificado con el nombre de Francisco Arturo T.A. alias “El Paco”, fue ejecutado a balazos cuando se encontraba en calles de la colonia Rodríguez Cano de esta ciudad, la agresión se registró sobre la calle Miguel Hidalgo, en el tramo comprendido entre Emiliano Zapata y Fernando Gutiérrez Barrios del antes mencionado sector.
Fue alrededor de las 20:15 horas de este jueves, cuándo lugareños reportaron varias detonaciones -por lo menos entre cinco o seis- percatándose posteriormente de que en la antes mencionada vialidad se encontraba una persona tirada boca abajo y herido de gravedad.
Luego del llamado de emergencia, al lugar se movilizaron elementos de la Policía Municipal, así como personal de la Secretaría de Seguridad Pública, quienes aseguraron la zona e iniciaron un operativo para tratar
El saldo de un accidente entre un auto y un motociclista
TLAPACOYAN, VER. -
La noche del miércoles se registró un accidente entre un auto de la marca Dodge, color rojo y una motocicleta de color oscura, dejó como saldo una persona lesionada y daños materiales. Los hechos en el crucero que

de dar con los presuntos agresores.
Pese a que se solicitó el apoyo de paramédicos, nada se pudo hacer para auxiliar a la víctima por lo que fue declarado muerto y la zona permaneció bajo acordonamiento.
Personal de la Policía Ministerial y de Servicios Periciales arribaron a la escena para iniciar las indagatorias
conforma la avenida Rayón con calle Abasolo, en la zona centro d este municipio, lugar en dónde se quedaron los conductores con sus respectivas unidades.
Al sitio arribo personal de la Policía y Tránsito Municipal además de paramédicos de protección civil quienes fueron apoyo al lesionado.
Las unidades quedaron bajo resguardo de Tránsito para que realicen el peritaje correspondiente para el deslinde de responsabilidades.
correspondientes en torno a este hecho, posteriormente el cadáver fue levantado y trasladado al SEMEFO de esta ciudad a la espera de ser reclamado y entregado a sus familiares, fue identificado con el nombre de Francisco Arturo T.A. alias “El Paco”, era vecino de ese mismo sector poblacional.





EL UNIVERSAL
CIUDAD DE MÉXICO
La divisa mexicana en los mercados internacionales concluyó alrededor de 20.30 pesos por dólar, lo que significó una apreciación de 0.55% o 11 centavos respecto a la jornada anterior, de acuerdo con información de Bloomberg.
Con este resultado, la divisa mexicana liga tres sesiones de ganancias frente al billete verde con lo que acumula una apreciación de 1.89% o 39 centavos en dicho periodo.
Por su parte, el dólar al menudeo terminó este jueves en 20.78 pesos a la venta en las ventanillas de las sucursales de Banamex, 0.57% o 12 centavos por debajo del cierre del miércoles.
La apreciación del peso en la jornada de este jueves se debió a que Trump canceló temporalmente los aranceles y concedió una nueva prórroga de un mes, aparentemente motivado por una conversación con Sheinbaum sobre la reducción del tráfico de fentanilo.
Esta decisión brinda alivio temporal a empresas exportadoras, pero la incertidumbre persiste, ya que el riesgo de que los aranceles finalmente se apliquen sigue presente. De concretarse en abril, las empresas mexicanas enfrentarían mayores costos, posible fuga de inversión y aumento en los precios al consumidor, mientras que una respuesta de México con aranceles de represalia podría generar presión inflacionaria, advirtió Felipe Mendoza, analista de mercados financieros ATFX LATAM.
Adicional a esto, en Estados Unidos se han publicado indicadores consistentes con el deterioro de la actividad económica, lo que genera especulación de que la Reserva Federal podría recortar la tasa de interés en varias ocasiones antes de que termine el año, lo que también favorece a la divisa nacional, estimó, Gabriela Siller, directora de análisis económico y financiero de grupo Base.
En la canasta amplia de principales cruces, las divisas más apreciadas hoy son: el rublo ruso con 1.46%, el rand sudafricano con 0.95%, el franco suizo con 0.78%, el yen japonés con 0.55%, el peso mexicano con 0.55% y la corona noruega con 0.27%.
El mercado de capitales cerró la sesión con resultados mixtos entre los principales índices bursátiles a nivel global. En Estados Unidos, se observan pérdidas debido al nerviosismo del mercado sobre la situación económica.
El Dow Jones registró una pérdida de 0.99%, el Nasdaq Composite mostró una caída de 2.61%, mientras que el S&P 500 retrocedió 1.78%.
En México, el Índice de Precios y Cotizaciones de la BMV cerró la sesión con una ganancia de 0.2%, ligando tres sesiones al alza, algo que no ocurría desde el 11 al 13 de febrero. Al interior, resaltaron las ganancias de las emisoras como América Móvil, con un aumento de 3.3%; Femsa, 1.7%; Cemex, 1.7%; Industrias Peñoles, 2.8%; y Vesta, 2.8%.

Esta tarde, la Sección Instructora rechazó admitir a proceso la solicitud de desafuero del diputado Cuauhtémoc Blanco.
Por tres votos en contra de los diputados oficialistas Hugo Eric Flores (Morena), Adriana Belinda Quiroz (Morena) y Raúl Bolaños-Cacho Cué (PVEM); y sólo uno a favor de Germán Martínez (PAN).
“Yo fui derrotado en admitir el asunto, el día de hoy. Yo no me presto a impunidades, vengo aquí no a culpabilizar a nadie, pero sí a revisar completamente los expedientes sin andar arrastrando los pies”, dijo Germán Martínez al término de la reunión de la Sección Instructora.
La mañana de este jueves 6 de marzo, la presidenta de México, Claudia Sheinbaum Pardo, informó que el país no tendrá que pagar aranceles a Estados Unidos sobre los productos incluidos en el Tratado entre México, Estados Unidos y Canadá (T-MEC). Esta noticia se dio a conocer después de una llamada telefónica entre Sheinbaum y el presidente estadounidense, Donald Trump. Asimismo, en su cuenta en Truth Social, el presidente de EU también mencionó que después de hablar con Sheinbaum, acordaron que México no tendrá que pagar Aranceles en todo lo que caiga dentro del T-MEC, y aclaró que la suspensión se mantendrá vigente “hasta el 2 de abril”.
¿Cuáles son los productos que no pagarán aranceles por estar incluidos en el T-MEC?
Según la Secretaría de Economía de México, entre los principales productos que no deberán pagar aranceles se encuentran:
» Vehículos y sus partes
» Equipo mecánico
» Aparatos eléctricos
» Equipos de medición y médicoquirúrgicos
» Combustibles minerales
» Bebidas y licores
» Vinagre
» Muebles y colchones
» Frutas y hortalizas
» Plásticos y sus manufacturas. Además, según esta misma fuente algunos de los productos alimenticios más exportados por México también están protegidos bajo el T-MEC. Entre ellos destacan: la cerveza, el tequila, el aguacate, el tomate, los berries (como la frambuesa y la mora), el pimiento, la carne de bovino, las fresas, productos de panadería, confitería, y otros como maíz, trigo, miel, café y chocolate.

que no pagarán aranceles por estar incluidos en el T-MEC

¿QUÉ ES EL T-MEC?
El T-MEC, que entró en vigor el 1 de julio de 2020, representa una versión modernizada del Tratado de Libre Comercio de América del Norte (TLCAN), que había sido firmado en 1994. Este tratado no solo ha renovado los términos del acuerdo comercial original, sino que también ha tenido un impacto directo en la economía de los tres países, al permitir una mayor integración de los mercados y la eliminación de obstáculos arancelarios. De acuerdo con la Secretaría de Economía, el acuerdo fue firmado en noviembre de 2018 por tres presidentes: el entonces presidente de México, Enrique Peña Nieto; el presidente de Estados Unidos, Donald Trump; y el primer ministro de Canadá, Justin Trudeau, en una ceremonia que también contó con la presencia del exsecretario de Economía, Ildefonso Guajardo Villarreal.
Para exigir la abrogación de la Ley del Instituto de Seguridad y Servicios Sociales de los Trabajadores del Estado (ISSSTE), el próximo viernes la Coordinadora Nacional de los Trabajadores de la Educación (CNTE) realizará una marcha del Ángel de la Independencia al Zócalo de la Ciudad de México.
La movilización iniciará a las nueve de la mañana y participarán diversos contingentes de la Coordinadora. Junto con la movilización se realizará un paro de labores de 48 horas en los estados bastiones de la CNTE, como Ciudad de México, Oaxaca, Chiapas, Guerrero y Michoacán.
La CNTE advirtió que las acciones podrían intensificarse con un paro de 72 horas y, posteriormente un paro nacional indefinido.
“Esta es sólo una etapa más en el camino. La lucha sigue y se intensificará. Pronto avanzaremos al Paro de 72 horas, mientras preparamos las condiciones para el Paro Nacional Indefinido”, escribió el gremio magisterial en sus redes sociales.
Pedro Hernández, secretario general de la sección 9, expresó que la iniciativa de reforma a la
EL
UNIVERSAL CIUDAD DE MÉXICO
La Central Mexicana de Servicios Generales de Alcohólicos Anónimos aseguró que las mujeres son más vulnerables al alcohol que los hombres, pues, de acuerdo con sus estimaciones, de los 14 mil grupos de recuperación que pertenecen a la Central de AA, 110 mil miembros están en recuperación, y de éstos, el 21% son mujeres.
“El alcohol me permitía ser parte de los demás. Inicias bebiendo y llega un momento en que sentía que al fin era yo, y sólo así lograba sentirme con una chispa para disfrutar la vida. Hice todo para funcionar en una sociedad, pero después estuve tirada en mi dignidad. Al llegar a AA tuve que aceptar que tenía una enfermedad y ese fue el primer paso real que me regaló la alegría de vivir por fin sin anestesia”, compartió una mujer que buscó ayuda en AA.
“Si yo no hubiera encontrado en Alcohólicos Anónimos esa esperanza, seguramente estaría muerta o en un

Ley del ISSSTE, enviada por el Poder
Ejecutivo el pasado 7 de febrero a la Cámara de Diputados, “no sienta las bases para emprender la transformación estructural del ISSSTE, y de ser aprobada, se impondrá una contrarreforma que atenta contra los trabajadores”, además de que no contempla una exigencia central: regresar a la jubilación por años de servicio. Al menos 28 años para maestras, y 30 años para maestros.
Indicó que el objetivo central de la iniciativa es “imponer un incremento de 2.7 por ciento a las aportaciones de los trabajadores del Estado, y si bien en un primer momento afecta a quienes reciben salarios por arriba de 10 Unidades de Medida y Actualización (UMAs), compromete a todos los trabajadores, además de que se afianza la aplicación

psiquiátrico, producto de mi forma de vivir y de pensar. AA nos ha vuelto la vida a mi familia y a mí, y eso es algo que agradezco infinitamente”, agregó.
Alcoholismo no discrimina
En este sentido, Irma Hernández Berber, maestra en Psicología, destacó que, si bien el alcoholismo no discrimina, las mujeres enfrentan desafíos “únicos” que dificultan su proceso de recuperación. Además, lamentó que a menudo las barreras sociales, el estigma, las presiones familiares y laborales impidan que las mujeres busquen el apoyo necesario para superar la enfermedad.
“El alcoholismo afecta a millones de personas en todo el mundo, pero las mujeres enfrentan desafíos particulares como la vergüenza, la falta de respeto, la poca empatía, que dificultan su acceso al tratamiento y su proceso de recuperación”, dijo.
de las UMAs para el pago de pensiones y jubilaciones”.
Aseguró que “no es suficiente que se diga se va a pausar esa iniciativa, ya tenemos experiencia con albazos que se han dado en periodos vacacionales del magisterio, además de que la propuesta tampoco garantiza que ese incremento se traduzca en una verdadera mejora de los servicios de salud y en la transformación del ISSSTE, que demanda recursos, que no pueden salir del bolsillo de los trabajadores”.
Al respecto, el profesor Isael González, líder del magisterio chiapaneco, enfatizó que los maestros agrupados en la CNTE “no vamos a hacer que el gobierno federal nos diga que no hay recursos (para atender al ISSSTE) y que nos regrese la interrogante sobre dónde van a encontrar esos fondos”.
Aunado a ello, Hernández Berber indicó que las mujeres son más vulnerables que los hombres a los efectos del alcohol, incluso aunque beban cantidades menores, y advirtió que el consumo excesivo de éste puede aumentar el riesgo de problemas de salud, como enfermedades hepáticas, daño cerebral y cáncer de mama.
Asimismo, señaló que aunque las mujeres tienen las mismas probabilidades que los hombres de recuperarse de la dependencia del alcohol, pueden tener más dificultades para acceder al tratamiento, por lo que, sostuvo, es esencial que la sociedad reconozca que el alcoholismo no es una debilidad, sino una enfermedad que requiere tratamiento profesional y apoyo.
“En las reuniones de AA ellas pueden compartir sus experiencias y encontrar la fuerza colectiva para seguir adelante. La recuperación es posible, y cada mujer tiene derecho a vivir una vida plena, libre de adicciones. No importa el tiempo que haya pasado, siempre hay un lugar para quienes desean encontrar la paz interior”, concluyó.
Ante ello, la Central Mexicana de Servicios Generales de Alcohólicos Anónimos AC reconoció la importancia de crear espacios seguros donde las mujeres puedan encontrar el apoyo y la comprensión que necesitan para sanar y transformar sus vidas.
Se gana un mes para aranceles
EL UNIVERSAL CIUDAD DE MÉXICO
A pesar de que se ganó un mes más a los aranceles que impondrá Estados Unidos a las exportaciones mexicanas, la constante es la falta de certeza que se provoca en las inversiones, de acuerdo con empresarios.
“La realidad es que a nadie y particularmente al sector empresarial, no le gusta la incertidumbre”, dijo el presidente de la American Society, Larry Rubin.
Añadió que lo mejor es que “siempre haya una gran colaboración entre México y Estados Unidos, se cumplan los acuerdos a los que se lleguen, pues esta incertidumbre debe reducirse o desaparecer. Este es nuestro deseo como iniciativa privada e instamos a los dos gobiernos, de México y Estados Unidos, a lograr acuerdos para que esta certidumbre sea mayor”.
El presidente de la Confederación Patronal de la República Mexicana (Coparmex), Juan José Sierra, dijo que “esto es parte de la incertidumbre que no es buena para la situación económica del país, porque hemos visto que venimos de una desaceleración económica de 2024”, hay reducción de empleos y “nos pone en las puertas de una recesión”.
Aunque existen reglas claras que se marcaron en el T-MEC para marcar las reglas del comercio entre los tres países, hay amenazas de que se impondrán aranceles, por lo que Coparmex rechaza esas decisiones unilaterales.
El presidente del Consejo Coordinador Empresarial (CCE), Francisco Cervantes, dijo que ante el hecho de que cada mes surgen amenazas “vamos a tener que trabajar de la mano con las contrapartes y el secretario de Economía” y aprovechar que hay buena relación de la presidenta Claudia Sheinbaum con el mandatario de Estados Unidos, Donald Trump.
Por otra parte, la Asociación Mexicana de Agentes de Carga (Amacarga) dijo que el acuerdo del gobierno mexicano con el estadounidense de aplazar al 2 de abril la aplicación de aranceles del 25% “dará un respiro y permitirá que se destraben las largas filas de camiones registradas en las últimas horas en la frontera y en los cruces aduanales”.
“Sin embargo, no desaparece la incertidumbre. Es fundamental lograr un acuerdo duradero y de largo plazo para dar confianza y tranquilidad a inversionistas, a los mercados y a las operaciones del comercio exterior”, dijo el presidente de Amacarga, Juan Pablo Pacheco.
EL
UNIVERSAL CIUDAD DE MÉXICO
Activistas realizaron un performance a las afueras del Congreso de la Ciudad de México y se “bañaron con sangre”; mientras que diputados del PVEM reiteraron que cerrarán los accesos a la sede del Poder Legislativo local este 11 de marzo para exigir que se apruebe la iniciativa ciudadana preferente contra las corridas de toros, misma que actualmente está frenada por el Poder Judicial.
Alrededor de las 12:00 horas los animalistas llegaron a las escalinatas del Congreso local, se desnudaron, se pusieron de pie, se colocaron unos cuernos, tomaron una cubeta con la leyenda: “El Congreso permite el baño de sangre”, la cual contenía un líquido rojo que se asemejaba a la sangre, y se la rociaron por todo su cuerpo.
Al respecto, el coordinador de los diputados del PVEM Jesús Sesma lamentó que la mayoría en el Congreso actúe a conveniencia cuando hay intromisiones del Poder Judicial.
Recordó que en el caso de la inmobiliaria Trepi, que busca cambiar el uso de suelo de una parte del Bosque de Chapultepec, todos los diputados rechazaron un amparo que les otorgó el Poder Judicial, pero ahora, porque no les conviene a algunos, aceptan esta intromisión.
Por lo anterior, dijo, el próximo martes “vamos a cerrar el Congreso de esta Ciudad porque es la fecha límite para poder votar este dictamen, un dictamen proveniente de una iniciativa ciudadana, la primera en la historia, que está en nuestra Constitución y que no hemos podido darle el turno porque no lo han querido ciertos diputados”.
Asimismo, adelantó que el jueves 13 irán a cerrar los accesos del Poder Judicial local porque “si ellos se meten a mi casa, el Congreso, yo me meto a la de ellos hasta que se cumpla”.
En este sentido, la priista Tania Larios anunció que también acompañara a los animalistas en sus protestas y que los votos de los dos diputados de su bancada son a favor de prohibir las corridas de toros.

El Instituto Nacional Electoral tendrá los resultados finales de la elección judicial hasta el 15 de junio, es decir, dos semanas después de la jornada electoral. En esta fecha está previsto que realice el cómputo nacional en una sesión del Consejo General.
El lineamiento para el cómputo de votos establece los plazos estimados por cargo, de acuerdo con un simulacro realizado por el Consejo Distrital 08 de la Ciudad de México.
Para la Suprema Corte el tiempo de cómputo sería entre 2 a 3 días, del 1 al 3 de junio como máximo; para el Tribunal de Disciplina Judicial, un día, el 4 de junio; y las magistraturas de Sala Superior del Tribunal Electoral, un día, el 5 de junio.
En el caso de las magistraturas de las salas regionales se estima un día, el 6 de junio; para magistraturas de circuito dos días, del 7 al 8 de junio; finalmente, para jueces de distrito serán dos días más, del 9 al 10 de junio.
Una vez que se tengan los cómputos a nivel distrital, el 12 de junio se instalarán los Consejos Locales en sesión para realizar el cómputo por entidad federativa. Y en la cabecera de cada circunscripción se harán los de las salas regionales del TEPJF.
Hasta el 15 de junio, dos semanas después de la jornada electoral, se sesionará para realizar el cómputo nacional de la votación obtenida para todos los cargos.
A diferencia de los cómputos distritales de las elecciones ordinarias, que se realizan el miércoles siguiente a la elección de manera ininterrumpida, en la elección judicial se plantea otro formato. Ante el recorte presupuestal, se plan-
Padres de niños con cáncer reclaman desabasto de medicamentos
EL UNIVERSAL CIUDAD DE MÉXICO
El apoyo de 6 mil 400 pesos bimestrales que dará el gobierno federal a los padres de niños con cáncer no servirá de nada si no se termina con el desabasto de medicamentos, señaló Israel Rivas, integrante del Movimiento Nacional por la Salud Papás de Niños con Cáncer.
“Todavía no se soluciona el grave problema del desabasto que hemos tenido en esta larguísima noche de desabasto, que ha durado más de seis años, estos 6 mil 400 bimestrales no van a servir absolutamente de nada”, afirmó.

tea realizar los conteos mediante jornadas de 12 horas al día, seis por cada grupo de trabajo.
Los recesos se realizarán durante la noche, y cada jornada iniciará a las 8:00 horas. Excepto el día de la votación, que comenzará a las 18:00 horas con el cierre de casillas.
Lo anterior, pese a que la consejera presidenta, Guadalupe Taddei afirmó que se tendrían los resultados de ministros de la Corte la misma noche de la elección, aunque aún no han definido el mecanismo para hacer este conteo.
En la elección judicial no habrá conteo de votos en casillas, sino que se comenzará el cómputo en las juntas distritales desde el 1 de junio.
La consejera Dania Ravel expuso que en los simulacros realizados se puso a prueba el modelo para el desarrollo de los cómputos distritales, basado en la participación de grupos de trabajo, y además de evaluar los requerimientos operativos, se midieron los tiempos aproximados para llevar a cabo el escrutinio y cómputo de cada boleta confor-

Explicó que los tratamientos contra el cáncer son muy costosos, y el apoyo del gobierno federal apenas servirá para solventar una parte de los traslados y comidas cuando los menores tienen que acudir a una cita médica, pero no resuelve la falta de medicamentos.
“No hay que olvidar que un niño o una niña con cáncer no lleva solo un medica-
me a las distintas opciones de candidaturas posibles en su diseño por tipo de elección.
“En los lineamientos que hoy se nos presentan se prevé un máximo de 10 días para que los distritos electorales finalicen con el cómputo de todas las elecciones”, dijo.
La consejera Carla Humphrey expuso que si bien la ley no prevé el cómputo de los 32 consejos locales, se considera relevante que dichos órganos se encarguen de la suma de los resultados a nivel circuito judicial y cabecera de circunscripción plurinominal, con el objetivo de facilitar la sumatoria de resultados que realizará este Consejo General. Mandan a impresión boletas para Tribunal de Disciplina
El Consejo General del INE aprobó la lista definitiva de las candidaturas al Tribunal de Disciplina Judicial, para mandar a imprimir las boletas junto con las de la Suprema Corte de Justicia de la Nación y la Sala Superior del Tribunal Electoral.
Para este cargo serán 38 candidaturas, 20 mujeres y 18 hombres, según detalló la consejera Carla Humphrey. La consejera presidenta, Guadalupe Taddei, señaló que tienen un avance de 55.8% de la impresión de boletas de la SCJN y la Sala Superior del Tribunal Electoral.
Esto corresponde a 69 millones 396 mil 552 boletas para la Corte; así como 9 millones 829 mil 994 boletas para la Sala Superior. También se ordenó la publicación de las listas de magistraturas de salas regionales del TEPJF, magistraturas de circuito y juzgadores de distrito, en caso de que existan correcciones o declinaciones.
mento, es una combinación de muchos medicamentos y son tratamientos muy largos y muy caros”, precisó.
Dijo que este programa “es, en parte, un reconocimiento tácito del gobierno, al fracaso del sistema de salud que ha tenido el pasado gobierno de Andrés Manuel López Obrador”.
“Dijo durante 14 veces que ahora sí iba a haber medicamentos, estamos viviendo todavía parte de esa crisis, y ojalá también se pueda mejorar estos medicamentos, los servicios médicos en general, las plazas para médicos, para especialistas y, sobre todo, que haya medicamentos en tiempo y forma”, subrayó.
Dijo que el desabasto de medicamentos ha provocado que la tasa de sobrevida en los niños con cáncer se reduzca, ya que antes de estaba entre 75 y 80%.
“Hoy estamos por debajo del 50%, no es justo lo que se ha hecho con este continuo desabasto de medicamentos que ha puesto en riesgo a la vida de muchos menores, han fallecido muchos por no tener sus medicamentos”, lamentó.





En ataques simultáneos, asesinan a Eduardo M.C. y a “El Balatas, en Casitas, municipio de Tecolutla.
Dos individuos fueron ejecutados la tarde de este jueves en la comunidad de Casitas, ubicado en la zona turística de Costa Esmeralda, perteneciente al municipio de Tecolutla, al lugar se movilizaron autoridades de los tres niveles de gobierno.
Aproximadamente a las 15:00 horas de este jueves, dos ataques se registraron de manera prácticamente
simultánea dejando como saldo dos personas fallecidas, trascendió que la primera de las víctimas fue identificada como Eduardo M.C., de 44 años de edad, quién se trasladaba en una bicicleta en la calle 1 de junio, en la entrada a dicha comunidad, cuándo sin mediar palabra a un individuo le disparó en la cabeza quitándole la vida de manera instantánea.
La segunda de las víctimas, atacada en otro acceso a unas cuantas calles
de dónde se registró el primer asesinato, fue identificado como Carlos “N”, mejor conocido como “El Balatas”, cuya humanidad terminó también tendida en medio de un charco de sangre.
Luego de la agresión simultánea los asesinos escaparon, mientras que los habitantes de ese sector dieron parte a los servicios de emergencia, la zona fue asegurada por elementos de la Policía Municipal y de la Secre-

taría de Seguridad Pública, al tiempo que se solicitó la presencia de elementos de la Policía Ministerial y de Servicios Periciales.
Al sitio también llegó personal del Ejército Mexicano y de la Guardia Nacional. Ambos cadáveres fueron levantados luego del procesamiento de la escena de los hechos para posteriormente ser llevados al Servicio de Medicina Forense a la espera de ser reclamados por sus familiares.
