2024_postechian_181

Page 1

POSTECHIAN ํฌ์Šคํ… ์ด๊ณต๊ณ„ ์ง„๋กœ ์„ค๊ณ„ ์•ˆ๋‚ด์„œ no.181 / 2024 ์•Œํ„ด์‹ญ ๊ฐ•์›๋„ ์ •์„ ๊ตฐ IBS ์˜ˆ๋ฏธ๋žฉ ๊ธฐํšํŠน์ง‘ ์šฐ์ฃผ ๊ฐœ๋ฐœ ํฌ๋ผ์ดํ”„ ๊ณต๋Œ€์ƒ์ด ์ž‘๊ณก๊ฐ€๊ฐ€ ๋˜๊ธฐ๊นŒ์ง€

์‚ฌ๋žŒ์ด ๋จธ๋ฌธ ์ž๋ฆฌ์— ๋‚จ๋Š” ์“ฐ๋ ˆ๊ธฐ๊ฐ€ ์šฐ์ฃผ์—๋„ ๋‚จ๊ณ  ์žˆ๋‹ค๋Š” ์‚ฌ์‹ค ์•Œ๊ณ  ๊ณ„์‹œ๋‚˜์š”?

์šฐ์ฃผ์“ฐ๋ ˆ๊ธฐ๋Š” ์šฐ์ฃผ์— ๋– ๋‹ค๋‹ˆ๋Š” ์“ฐ๋ ˆ๊ธฐ๋กœ, ๋‹ค์‹œ ํ™œ์šฉ๋˜์ง€ ์•Š๋Š” ๋ชจ๋“  ์ธ๊ณต ๋ฌผ์ฒด๋ฅผ ๋งํ•˜๋Š”๋ฐ์š”. ์ธ๊ฐ„์ด ์šฐ์ฃผ๋กœ ๋ณด๋‚ธ ๋กœ์ผ“์—์„œ ๋ถ„๋ฆฌ๋œ ๋ถ€์Šคํ„ฐ, ์ˆ˜๋ช…์ด ๋๋‚œ ์ธ๊ณต์œ„์„ฑ, ๊ทธ ์™ธ ํŒŒํŽธ์ด๋‚˜ ๋ถ€ํ’ˆ, ๋ˆ„์ถœ๋œ ๋ƒ‰๊ฐ์žฌ ๋“ฑ์ด ์žˆ์Šต๋‹ˆ๋‹ค. ๋Œ€๊ธฐ๊ฐ€ ์—†๋Š” ์šฐ์ฃผ ์† ์“ฐ๋ ˆ๊ธฐ๋Š” ์†Œ๋ฉธํ•˜์ง€ ์•Š์„๋ฟ๋”๋Ÿฌ ์šฐ์ฃผ์“ฐ๋ ˆ๊ธฐ์™€ ๋‹ค๋ฅธ ์œ„์„ฑ์ด ์ถฉ๋Œํ•˜๋ฉด ์ƒˆ๋กœ์šด ํŒŒํŽธ์ด ์ƒ๊ธฐ๊ธฐ ๋•Œ๋ฌธ์— ์šฐ์ฃผ์“ฐ๋ ˆ๊ธฐ๋Š” ๊ณ„์† ๋Š˜์–ด๋‚˜๋Š” ์ƒํ™ฉ์ž…๋‹ˆ๋‹ค. ์ด๋ ‡๊ฒŒ ์ฆ๊ฐ€ํ•œ ์šฐ์ฃผ์“ฐ๋ ˆ๊ธฐ๋Š” ์šฐ์ฃผ ์ง„์ถœ ๊ฒฝ๋กœ๋ฅผ ๋ง‰์„ ์ˆ˜๋„ ์žˆ์œผ๋ฉฐ, ์ง€๊ตฌ๋กœ ๋ถˆ์‹œ์ฐฉํ•ด ์œ„ํ—˜ํ•  ์ˆ˜ ์žˆ์Šต๋‹ˆ๋‹ค. ์šฐ์ฃผ์“ฐ๋ ˆ๊ธฐ๋ฅผ ์ฒ˜๋ฆฌํ•˜๊ธฐ ์œ„ํ•ด์„œ ์ง์ ‘ ์“ฐ๋ ˆ๊ธฐ๋ฅผ ์žก๊ฑฐ๋‚˜ ๊ถค๋„๋ฅผ ๋ฐ”๊พธ์–ด ๋Œ€๊ธฐ๊ถŒ์œผ๋กœ ๊ฐ€์ ธ์˜ค๋Š” ๋ฐฉ๋ฒ• ๋“ฑ์„ ํ™œ์šฉํ•˜ ๊ณ  ์žˆ์ง€๋งŒ, ์šฐ์ฃผ ๊ฐœ๋ฐœ์ด ๋ณธ๊ฒฉํ™”๋˜๋ฉฐ ์ฆ๊ฐ€ํ•  ์“ฐ๋ ˆ๊ธฐ๋ฅผ ์ฒ˜๋ฆฌํ•  ์ƒˆ๋กœ์šด ๋ฐฉ์•ˆ์ด ํ•„์š”ํ•ฉ๋‹ˆ๋‹ค. ์šฐ์ฃผ์“ฐ๋ ˆ๊ธฐ๋ฅผ ์ถ”์  ๊ฐ์‹œํ•˜๊ณ , ์šฐ์ฃผ์“ฐ๋ ˆ๊ธฐ๋กœ ์ธํ•œ ์—ฌ๋Ÿฌ ์œ„ํ—˜

์„ ์ค„์ผ ์ˆ˜ ์žˆ๋Š” ๊ธฐ์ˆ ์„ ๊ฐœ๋ฐœํ•  ์ˆ˜ ์žˆ๋„๋ก ์šฐ๋ฆฌ๊ฐ€ ์šฐ์ฃผ์“ฐ๋ ˆ๊ธฐ ๋ฌธ์ œ์— ๋Œ€ํ•ด ์ง€์†ํ•ด์„œ ๊ด€์‹ฌ์„ ๋‘๋Š” ๊ฒƒ ๋˜ํ•œ ์ค‘์š”ํ•  ๊ฒƒ ๊ฐ™์Šต๋‹ˆ๋‹ค!

์šฐ๋ฆฌ์˜ ์ž‘์€ ํ™˜๊ฒฝ ์ด์•ผ๊ธฐ
์šฐ์ฃผ์“ฐ๋ ˆ๊ธฐ

์ง€๊ธˆ ๋ฐ”๋กœ โ€˜ํฌ์Šคํ… ์ž…ํ•™ํŒ€โ€™ ์ฑ„๋„์„ ์ถ”๊ฐ€ํ•˜์„ธ์š” !

์นด์นด์˜คํ†ก ์‹คํ–‰ โ–ถ ์ƒ๋‹จ ๊ฒ€์ƒ‰์ฐฝ ํ„ฐ์น˜ โ–ถ

๊ฒ€์ƒ‰์ฐฝ์— ์ฑ„๋„๋ช… ์ž…๋ ฅ โ–ถ ์นด์นด์˜คํ†ก ์ฑ„๋„ ์ถ”๊ฐ€ (์ƒ๋‹ด์ง์›์—๊ฒŒ ๋ฉ”์‹œ์ง€ ๋ณด๋‚ด๊ธฐ)

์˜ˆ๋น„
ํฌ์Šคํ…Œํ‚ค์•ˆ๋“ค์—๊ฒŒ ์•Œ๋ฆฌ๋ฏธ๊ฐ€ ์œ๋‹ค!

https://forms.gle/8K4VSkrE7fgpve3s7

โ‘  ์žก์ง€์— ์‹ค๋ฆฐ ๋‚ด์šฉ์„ ๊ธฐ๋ฐ˜์œผ๋กœ ๋‹จ์–ด ํผ์ฆ ๋งžํžˆ๊ธฐ

โ‘ก QR์ฝ”๋“œ๋ฅผ ํ†ตํ•ด ๋งํฌ ์ ‘์†!!

โ‘ข ๋‹จ์–ด ํผ์ฆ์ด ๊ฐ€๋ฆฌํ‚ค๋Š” ๋‹จ์–ด๋ฅผ ๋งžํžˆ๊ณ  ์„ค๋ฌธ ์ฐธ์—ฌํ•˜๊ธฐ

โ‘ฃ ํฌ์Šคํ… ์•Œ๋ฆฌ๋ฏธ๊ฐ€ ์ค€๋น„ํ•œ ์„ ๋ฌผ ๋ฐ›๊ธฐ

ํฌ์Šคํ…Œํ‚ค์•ˆ ์ด๋ฒˆ ํ˜ธ, ์žฌ๋ฏธ์žˆ๊ฒŒ ์ฝ์œผ์…จ๋‚˜์š”?

๋‹จ์–ด ํผ์ฆ์„ ํ’€๊ณ  ์ •์„ฑ ๊ฐ€๋“ํ•œ ํ›„๊ธฐ๋ฅผ ๋‚จ๊ฒจ์ฃผ์‹œ๋ฉด

์„ ๋ฌผ์ด ํŒกํŒก! ์Ÿ์•„์ง‘๋‹ˆ๋‹ค.

1. ์ „์ž ๋˜๋Š” ์ •๊ณต์ด ์กด์žฌํ•  ํ™•๋ฅ ์ด 1/2์ด ๋˜๋Š” ์ค€์œ„

2. ํ•œ ์ข…๋ฅ˜์˜ ์›์ž๋กœ๋งŒ ์ด๋ฃจ์–ด์กŒ์œผ๋‚˜ ๊ทธ ์›์ž๋“ค์˜ ๋ฐฐ์—ด์ˆœ์„œ๋‚˜ ๋ฐฐ์—ด๊ตฌ์กฐ๊ฐ€ ๋‹ฌ๋ผ ์„ฑ์งˆ์ด ๋‹ค๋ฅธ ๋ฌผ์งˆ

3. ๊ณต์ „ํ•˜๋Š” ๋‘ ๊ฐœ์˜ ์ฒœ์ฒด ์‚ฌ์ด์—์„œ ์ค‘๋ ฅ๊ณผ ํƒ์‚ฌ์„ ์˜ ์›์‹ฌ๋ ฅ์ด ์ƒ์‡„๋˜์–ด ์‹ค์งˆ์ ์œผ๋กœ ์ค‘๋ ฅ์˜ ์˜ํ–ฅ์„ ๋ฐ›์ง€ ์•Š๊ฒŒ ๋˜๊ณ 

๋Š˜ ์ผ์ •ํ•œ ์œ„์น˜์— ์žˆ์„ ์ˆ˜ ์žˆ๋Š” ์ง€์ 

4. ์ž‘์€ ๋ถ„์ž๋“ค์ด ์„œ๋กœ ๊ฒฐํ•ฉํ•˜์—ฌ ๊ฑฐ๋Œ€ํ•œ ๊ณ ๋ถ„์ž๋ฅผ ๋งŒ๋“œ๋Š” ๋ฐ˜์‘

5. ์—ด์ ํ‰ํ˜•์ƒํƒœ์—์„œ ํŽ˜๋ฅด๋ฏธ์˜จ์ด ๋ณด์ด๋Š” ํ†ต๊ณ„์  ๋ถ„ํฌ

๊ณผํ•™ ๊ธฐ์ˆ ์„ ์‚ฌ๋ž‘ํ•˜๋ฉฐ ๊ธ€๋กœ๋ฒŒ ๋ฆฌ๋”์˜ ๊ฟˆ์„ ํ‚ค์šฐ๋Š” ๋‹น์‹ ์ด๋ผ๋ฉด ๊ผญ ์ฝ์–ด

๋ด์•ผ ํ•  ์žก์ง€, POSTECHIAN ๋…์ž ์—ฌ๋Ÿฌ๋ถ„ ๋ฐ˜๊ฐ‘์Šต๋‹ˆ๋‹ค. ์•ž์œผ๋กœ ๋”์šฑ

ํ’์„ฑํ•˜๊ณ  ์•Œ์ฐฌ โ€˜์ด๊ณต๊ณ„ ์ง„๋กœ ์„ค๊ณ„ ์•ˆ๋‚ด์„œโ€™๋ฅผ ๋งŒ๋“ค๊ณ ์ž ์—ฌ๋Ÿฌ๋ถ„์˜ ์˜๊ฒฌ์„

POSTECHIAN ์ œ์ž‘์— ๋ฐ˜์˜ํ•˜๋ ค ํ•ฉ๋‹ˆ๋‹ค.

7์›” 7์ผ๊นŒ์ง€ ๋งํฌ์— ์ ‘์†ํ•ด ์•„๋ž˜ ๋‹จ์–ด ํผ์ฆ์˜ ๋‹ต์„ ๋งžํžˆ๊ณ (ํ•„์ˆ˜) ์„ค๋ฌธ์— ์ฐธ์—ฌํ•ด ์ฃผ์‹œ๋ฉด ์ถ”์ฒจ์„ ํ†ตํ•ด ์†Œ์ •์˜ ์„ ๋ฌผ์„ ๋“œ๋ฆด ์˜ˆ์ •์ž…๋‹ˆ๋‹ค. ์—ฌ๋Ÿฌ๋ถ„์˜ ๋งŽ

์€ ์ฐธ์—ฌ์™€ ์œ ์ตํ•œ ์˜๊ฒฌ์„ ๊ธฐ๋‹ค๋ฆฝ๋‹ˆ๋‹ค.

1. ํฌ๊ธฐ๊ฐ€ 1์ด๋ฉฐ ๋‹ค์–‘ํ•œ ๋ฒกํ„ฐ์˜ ๊ธฐ๋ณธ ๋‹จ์œ„๊ฐ€ ๋˜๋Š” ๋ฒกํ„ฐ

2. ์•„๋ฌด๋Ÿฐ ๋ณ€ํ™”๊ฐ€ ์—†๋Š” ์กฐ์ž‘์ด์ง€๋งŒ ์ˆ˜ํ•™์  ์™„๊ฒฐ์„ฑ์„ ์œ„ํ•ด ํฌํ•จ๋˜์–ด์•ผ ํ•˜๋Š” ๋Œ€์นญ ์กฐ์ž‘

3. ์—ฌ๋Ÿฌ ๊ฐœ์˜ ๊ตฌ์„ฑ ์ž…์ž๊ฐ€ ๊ฒฐํ•ฉํ•˜์—ฌ ์ด๋ฃจ์–ด์ง„ ์ฒด๊ณ„์—์„œ ์ด๋“ค ๊ฒฐํ•ฉ์„ ๋Š์–ด ๊ตฌ์„ฑ ์ž…์ž๋กœ ๋ถ„๋ฆฌํ•˜๋Š” ๋ฐ ํ•„์š”ํ•œ ์—๋„ˆ์ง€

4. 0๊ณผ 1์ด๋ผ๋Š” ๋‘ ๊ฐœ์˜ ์ˆซ์ž๋งŒ์„ ์‚ฌ์šฉํ•˜์—ฌ ์ˆ˜๋ฅผ ๋‚˜ํƒ€๋‚ด๋Š” ์ง„๋ฒ•

5. ํ•ต์œตํ•ฉ ๋ฐ˜์‘์ด ์™ธ๋ถ€ ์—๋„ˆ์ง€ ํˆฌ์ž… ์—†์ด ์Šค์Šค๋กœ ์œ ์ง€๋  ์ˆ˜ ์žˆ๋Š” ์ƒํƒœ

๊ฐ€๋กœ ํผ์ฆ ์„ธ๋กœ ํผ์ฆ
1 1 2 3 3 4 4 5 5

ํฌ์Šคํ… ์ด๊ณต๊ณ„ ์ง„๋กœ ์„ค๊ณ„ ์•ˆ๋‚ด์„œ no.181 / 2024 CONTENTS

06

์—์„ธ์ด

๋ฐœํ–‰์ผ 2024. 4. 26.

๋ฐœํ–‰์ธ ๊น€์„ฑ๊ทผ

๋ฐœํ–‰์ฒ˜ ํฌํ•ญ๊ณต๊ณผ๋Œ€ํ•™๊ต ์ž…ํ•™ํŒ€ ๊ฒฝ๋ถ ํฌํ•ญ์‹œ ๋‚จ๊ตฌ ์ฒญ์•”๋กœ 77

ํŽธ์ง‘์ฃผ๊ฐ„ ์˜ค๋ฏผ์ง„ ๊ฐ•์ˆ˜ํ–ฅ

ํŽธ์ง‘๊ธฐํš ์‚ฌ์ˆ˜ํ˜„ ์ด์œ ๋ฆฌ ์กฐ์†Œํ˜œ

ํŽธ์ง‘์œ„์› ํฌ์Šคํ… ์•Œ๋ฆฌ๋ฏธ

๋””์ž์ธ & ์ œ์ž‘ |์ฃผ|๋””์ž์ธ๋Œ๋ฆผ t. 051-202-9201 f. 051-202-9206

์ •๊ฐ€ 5,000์›

๋ฐฐ์›€์˜ ๊ธธ, ์„ฑ์žฅ์˜ ๊ธธ

10

์•Œ๋ฆฌ๋ฏธ๊ฐ€ ๋งŒ๋‚œ ์‚ฌ๋žŒ

๊ธˆ๋„ํฌ ์„ ๋ฐฐ๋‹˜๊ณผ์˜ ์ธํ„ฐ๋ทฐ

14

์•Œํ„ด์‹ญ : ์•Œ๋ฆฌ๋ฏธ์˜ ์ผ์ผ ์ธํ„ด ์ฒดํ—˜๊ธฐ!

๊ฐ•์›๋„ ์ •์„ ๊ตฐ IBS ์˜ˆ๋ฏธ๋žฉ

18

๊ณ ๋“ฑํ•™์ƒ ๊ธฐ์ž๋‹จ ํฌ์ปค์Šค

์˜ค๋ช…์ฒ  ๊ต์ˆ˜๋‹˜์„ ๋งŒ๋‚˜๋‹ค!

22 ๊ธฐํšํŠน์ง‘ ์šฐ์ฃผ ๊ฐœ๋ฐœ

32

ํ—ฌ๋กœ๋…ธ๋ฒจ

์•„์ง ๊ฐ€๋ณด์ง€ ๋ชปํ•œ ์ž์—ฐ์˜ ์˜์—ญ ์†์œผ๋กœ

36

์ตœ์‹ ๊ธฐ์ˆ ์†Œ๊ฐœ

์ œ4์˜ ์ƒ โ€˜๋„ค๋งˆํ‹ฑโ€™ ์ตœ์ดˆ ๊ด€์ธก / ๊ทธ๋ž˜ํ•€ ๋ฐ˜๋„์ฒด์˜ ๋ฐœ๊ฒฌ / ๊ณตํฌ ๊ธฐ์–ต์„ ์กฐ์ ˆํ•˜๋Š” ์‹ ๊ฒฝ ์„ธํฌ ํ™•์ธ /

์œ ๊ธฐ ๊ด‘์†Œ์ž ๋ผ์ด๋‹ค ์„ผ์„œ ๊ฐœ๋ฐœ

38

ํฌ์Šคํ… ์—ฐ๊ตฌ์‹ค ํƒ๋ฐฉ๊ธฐ

Welcome to MARCH Lab! MARCH Lab | Robotics & Bionics

42 CES & NOBEL WEEK

43

ALIMI ON-AIR

ํฌ์Šคํ… ์ž…ํ•™ํŒ€ ํ™ˆํŽ˜์ด์ง€ ๋ฐ”๋กœ๊ฐ€๊ธฐ https://adm-u.postech.ac.kr https://adm-u.postech.ac.kr

NEW RC: ํฌ์Šคํ… ์•Œ๋ฆฌ๋ฏธ์˜

๊ธฐ์ˆ™์‚ฌ ์†Œ๊ฐœ V-LOG

44

ํฌ๋ผ์ดํ”„ ๊ณต๋Œ€์ƒ์ด ์ž‘๊ณก๊ฐ€๊ฐ€ ๋˜๊ธฐ๊นŒ์ง€

46

ํฌ๋ฆฌ์—์ดํ‹ฐ๋ธŒ ํฌ์Šคํ…Œํ‚ค์•ˆ ๊ณตํ•™๋„๋กœ์„œ์˜ ์‚ถ

48

ํฌ์Šคํ… ์นดํˆฐ

์šฐ๋‹นํƒ•ํƒ• ํฌ์Šคํ…Œํ‚ค์•ˆ์˜ ํ•˜๋ฃจ

๊ธฐ์ˆ™์‚ฌ(RC) / ํญํ’์˜ ์–ธ๋•

50

์‚ฌ์ด์–ธ์Šค ๋ธ”๋ž™๋ฐ•์Šค

๋ฒ”์ธ์€ ์–ธ์ œ๋‚˜ ํ”์ ์„ ๋‚จ๊ธด๋‹ค!

์™„์ „ ๋ฒ”์ฃ„๋ฅผ ๋ง‰๋Š” ์ˆ˜์‚ฌ์˜ ๋น„๋ฐ€

54

๊ณต๋Œ€์ƒ์ด ๋ณด๋Š” ์„ธ์ƒ + ๋ฌธ๊ตฌ์ 

์ƒ๋ช…๊ณผํ•™๊ณผ / ํ™”ํ•™๊ณผ / ์ปดํ“จํ„ฐ๊ณตํ•™๊ณผ / ๋ฌผ๋ฆฌํ•™๊ณผ

58

์ง€์‹๋”ํ•˜๊ธฐ โžŠ ๋ถ„์ž์˜ ๋Œ€์นญ์„ฑ

โž‹ ๋ฐ˜๋„์ฒด ๋‚ด ์บ๋ฆฌ์–ด ๋†๋„

60

๋งˆ๋ฅด์ฟ ์Šค ๋ผ๊ทธ๋ž‘์ง€์•ˆ ์—ญํ•™

62

์•Œ์Šคํ† ๋ฆฌ โžŠ ์ž๊ธฐ์ค‘์‹ฌ์  ์„ฑ์žฅ์˜ ์‹œ์ž‘ : ๋‚˜๋งŒ์„ ํ–ฅํ•œ ์ˆ˜ํ—˜

โž‹ ๋‚˜์˜ ๊ณผ๊ฑฐ๋Š” ๊ฒฐ๊ตญ ์•„๋ฆ„๋‹ค์› ๋‹ค

64

ํฌ์Šคํ…Œํ‚ค์•ˆ์„ ๋งŒ๋“ 

์•Œ๋ฆฌ๋ฏธ๋ฅผ ์†Œ๊ฐœํ•ฉ๋‹ˆ๋‹ค!

66

๋…์ž์„œํ‰ ํŽธ์ง‘ํ›„๊ธฐ

ํฌ์Šคํ…
06 ํฌ์Šคํ… ์—์„ธ์ด

๋ฐฐ์›€์˜ ๊ธธ, ์„ฑ์žฅ์˜ ๊ธธ

๊ธ€ ํฌ์Šคํ… ์ธ๋ฌธ์‚ฌํšŒํ•™๋ถ€ ์ด์ข…์‹ ๊ต์ˆ˜

ํฌ์Šคํ… ํ•™์ƒํ™๋ณด๋ด‰์‚ฌ๋‹จ์ฒด๋กœ ํ™œ๋™ํ•˜๊ณ  ๊ณ„์‹œ๋Š” ํ•™์ƒ๋“ค๋กœ๋ถ€ํ„ฐ ์–ด๋ ค์šด ๊ธ€ ์„ ํ•œ ํŽธ ์ฒญํƒ ๋ฐ›์•˜์Šต๋‹ˆ๋‹ค. ํฌ์Šคํ… ์ž…ํ•™์„ ํฌ๋งํ•˜๋Š” ์ „๊ตญ ํŒ”๋„์˜ ๊ณ ๊ต์ƒ, ํฌ์Šคํ…์˜ ์—ฌ๋Ÿฌ ๊ตฌ์„ฑ์›, ๋” ๋‚˜์•„๊ฐ€ ์ผ๋ฐ˜ ๋…์ž๊นŒ์ง€๋„ ์—ผ๋‘์— ๋‘๊ณ  ํ•™๋ฌธ์— ๋Œ€ํ•œ ๊ฒฌํ•ด๋ฅผ ์†Œ๊ฐœํ•˜๋Š” ๊ธ€์„ ์จ๋‹ฌ๋ผ๋Š” ๊ฒƒ์ด์—ˆ์Šต๋‹ˆ๋‹ค. ๋‹ค์–‘ํ•œ ๋…์ž๋“ค๊ป˜ ๊ณ ๋ฅด๊ฒŒ ๊ฐ€ ๋‹ฟ์„ ์ˆ˜ ์žˆ๋Š” ๊ธ€์„ ์“ฐ๋Š” ์–ด๋ ค์›€์€ ์ฐจ์น˜ํ•˜๊ณ ์„œ๋ผ๋„, ํ‰์†Œ ํ•™์ˆ  ํ™œ๋™์— ๋Œ€ํ•ด ๋ฌด์Šจ ๋Œ€๋‹จํ•œ ์ฒ ํ•™์„ ๋ฒผ๋ ธ์„ ๋ฆฌ ๋งŒ๋ฌดํ•œ ์ € ๊ฐ™์€ ๋ฒ”์†ํ•œ ์—ฐ๊ตฌ

์ž์—๊ฒŒ๋Š” โ€˜ํ•™๋ฌธ์— ๋Œ€ํ•œ ๊ฒฌํ•ดโ€™๋ผ๋Š” ์ฃผ์ œ ์ž์ฒด๊ฐ€ ์ƒ๋‹นํžˆ ๋ฒ„๊ฒ๊ฒŒ ๋А๊ปด์กŒ์Šต

๋‹ˆ๋‹ค. ๊ทธ๋Ÿผ์—๋„ ์‹ญ์ˆ˜ ๋…„์งธ โ€˜ํ•™๊ณ„โ€™๋ผ๋Š” ๊ณณ์— ๋ชธ๋‹ด๊ณ  ์žˆ๊ณ , ๋ช‡ ํ•ด ์ „๋ถ€ํ„ฐ๋Š”

ํฌ์Šคํ… ํ•™์ƒ๋“ค์˜ ๋ฐฐ์›€์„ ๋•๋Š” ์„ ์ƒ ์—ญํ• ์„ ํ•˜๊ณ  ์žˆ์œผ๋‹ˆ, ์ด์ฐธ์— ๊ณต๋ถ€ํ•˜

๋ฉฐ ์„ฑ์žฅํ•˜๋Š” ์‚ถ์— ๋Œ€ํ•œ ์ œ ์ƒ๊ฐ์„ ์ •๋ฆฌํ•˜์—ฌ ๊ธฐ๋ก์œผ๋กœ ๋‚จ๊ฒจ๋‘๋Š” ๊ฒƒ๋„ ๋œป

์ด ์žˆ๋Š” ์ผ์ด๊ฒ ๊ฑฐ๋‹ˆ ์‹ถ์—ˆ์Šต๋‹ˆ๋‹ค. ๊ณ ๋ฏผ์˜ ๊ฒฐ๊ณผ๋ฅผ ๋‹ค์Œ ์„ธ ๊ฐ€์ง€ ํ‚ค์›Œ๋“œ์—

๋‹ด์•„ ๊ณต์œ ํ•ฉ๋‹ˆ๋‹ค.

์ฒซ ๋ฒˆ์งธ ํ‚ค์›Œ๋“œ๋Š” โ€˜์šฐ์—ฐโ€™์ž…๋‹ˆ๋‹ค.

์ œ ํ•™๋ฌธ์˜ ์—ญ์ •์„ ๋˜๋Œ์•„๋ณผ ๋•Œ, ๊ฐ€์žฅ ๋จผ์ € ๋– ์˜ค๋ฅด๋Š” ๋ง์ด๊ธฐ๋„ ํ•ฉ๋‹ˆ๋‹ค. ๊ทธ

๋งŒํผ โ€˜์šฐ์—ฐํžˆโ€™ ์ฃผ์–ด์ง„ ๊ณ„๊ธฐ์— ์ด๋Œ๋ ค โ€˜์šฐ์—ฐํžˆโ€™ ์ƒ๊ฐํ•˜์ง€ ๋ชปํ–ˆ๋˜ ๋ฐฉํ–ฅ์œผ๋กœ

์ธ๋„๋˜์—ˆ๋˜ ๊ฒฝํ—˜์ด ๋งŽ์•˜์Šต๋‹ˆ๋‹ค. ํ•™์ฐฝ ์‹œ์ ˆ ์ €๋Š” ์ œ๊ฐ€ ๋ฌด์–ธ๊ฐ€ ์ƒˆ๋กœ์šด ๊ฒƒ

์„ ์ฐฝ์กฐํ•˜๋Š” ๊ฒƒ์„ ์ข‹์•„ํ•˜๋Š” ์‚ฌ๋žŒ์ธ ๊ฒƒ ๊ฐ™๋‹ค๊ณ  ์ƒ๊ฐํ–ˆ์Šต๋‹ˆ๋‹ค. ๋ง‰์—ฐํ•œ ๋งˆ

์Œ์— ๋ˆˆ์— ๋ณด์ด๋Š” ์ƒˆ๋กœ์šด ๊ฑด๋ฌผ์„ ์ง“๋Š” ๊ฒƒ๊ณผ ๊ด€๋ จ์ด ์žˆ๋Š” ๊ฑด์ถ•ํ•™์„ ์ „๊ณต

์œผ๋กœ ํƒํ•˜๋ฉด ์ข‹๊ฒ ๋‹ค๊ณ  ์ƒ๊ฐํ–ˆ์Šต๋‹ˆ๋‹ค. ๊ทธ๋ฆฌ๊ณ  ์ด๋Ÿฌํ•œ ๋œป์„ ๊ฐ„๊ฐ„์ด ์ฃผ๋ณ€

์‚ฌ๋žŒ๋“ค์—๊ฒŒ ์ด์•ผ๊ธฐํ•˜๊ณ  ๋‹ค๋…”์Šต๋‹ˆ๋‹ค. ๊ทธ๋Ÿฌ๋˜ ์–ด๋А ๋‚  ์ด์ œ๋Š” ์ •ํ™•ํžˆ ๋ˆ„ ๊ตฌ์˜€๋Š”์ง€ ๊ธฐ์–ต๋„ ์•ˆ ๋‚˜๋Š” ์–ด๋А ์นœ๊ตฌ๊ฐ€ ์™œ ๋ˆˆ์— ๋ณด์ด๋Š” ๊ฒƒ๋งŒ ๋งŒ๋“ค๋ ค๊ณ  ํ•˜

๋ƒ๊ณ  ๋ฌผ์—ˆ์Šต๋‹ˆ๋‹ค. ์šฐ์—ฐํžˆ ๋“ค์—ˆ๋˜ ๊ทธ ์งˆ๋ฌธ์ด ๊ทธ๋‚  ์ดํ›„ ์ œ๊ฒŒ ํ•˜๋‚˜์˜ ํ™”๋‘

๊ฐ€ ๋˜์—ˆ์Šต๋‹ˆ๋‹ค. ๊ทธ๋ฆฌ๊ณ  ๋ณด์ด์ง€ ์•Š๋Š” ๊ฒƒ์„, ๋‹ค์‹œ ๋งํ•ด ์–ด๋– ํ•œ ์ƒ๊ฐ๊ณผ ๊ด€์ 

์„ ์ƒˆ๋กœ์ด ๋งŒ๋“œ๋Š” ์ผ์ด ๋” ์žฌ๋ฏธ์žˆ์„ ๊ฒƒ ๊ฐ™๋‹ค๋Š” ๋‚˜๋ฆ„์˜ ๊ฒฐ๋ก ์„ ์–ป์—ˆ์Šต๋‹ˆ

๋‹ค. ๊ทธ๋ ‡๊ฒŒ ์ €๋Š” ๊ฑด์ถ•ํ•™ ๋Œ€์‹ ์— ์ธ๋ฌธํ•™์„, ๊ทธ์ค‘์—์„œ๋„ ์—ญ์‚ฌํ•™์„ ์ „๊ณตํ•˜ ๊ฒŒ ๋˜์—ˆ์Šต๋‹ˆ๋‹ค.

์—ญ์‚ฌํ•™๋„๋กœ์„œ ๊ณต๋ถ€๋ฅผ ์ด์–ด๋‚˜๊ฐ€๋Š” ๊ณผ์ •์—์„œ๋„ ์ค‘์š”ํ•œ ์ˆœ๊ฐ„๋งˆ๋‹ค ์ €๋Š” ์šฐ ์—ฐ์„ ๋ฏฟ์–ด๋ณด๊ธฐ๋กœ ํ–ˆ์Šต๋‹ˆ๋‹ค. ์„์‚ฌ๊ณผ์ • ๋•Œ๋Š” ์‚ฌํšŒ๊ฒฝ์ œ์‚ฌ๋ผ๋Š” ๋ถ„์•ผ๋ฅผ ์ฃผ๋กœ ๊ณต๋ถ€ํ–ˆ์Šต๋‹ˆ๋‹ค. ํ˜„์žฌ์˜ ์šฐ๋ฆฌ๋„ ๊ทธ๋Ÿฌํ•˜๋“ฏ, ์—ญ์‚ฌ ์† ์ธ๋ฌผ๋“ค์—๊ฒŒ๋„ โ€˜๋จน๊ณ  ์‚ฌ

๋Š” ๋ฌธ์ œโ€™๊ฐ€ ์ œ์ผ ์ค‘์š”ํ•˜๋ฆฌ๋ผ ์—ฌ๊ฒผ๋˜ ๊ฒƒ์ž…๋‹ˆ๋‹ค. ๊ทธ๋ ‡๊ฒŒ ๋†์—…, ๋จน๊ฑฐ๋ฆฌ, ํ™˜๊ฒฝ ์— ๋Œ€ํ•œ ๊ณต๋ถ€๋ฅผ ํ•˜๋‹ค๊ฐ€ โ€˜์šฐ์—ฐํžˆโ€™ ๋†์•ฝ, ํ™”ํ•™๋น„๋ฃŒ, ํŠธ๋ž™ํ„ฐ, ํ’ˆ์ข…๊ฐœ๋Ÿ‰ ์ข…์ž ๊ฐ™์€ ๊ณผํ•™ ๊ธฐ์ˆ ์  ์š”์†Œ๊ฐ€ ์ค‘์š”ํ•˜๋‹ค๋Š” ๋ฐ ์ƒ๊ฐ์ด ๋ฏธ์ณค์Šต๋‹ˆ๋‹ค. ๊ทธ๋ ‡๊ฒŒ ๋ฐ• ์‚ฌ๊ณผ์ • ๋•Œ๋Š” ์ „๊ณต์„ ๊ณผํ•™์‚ฌ๋กœ ํ‹€๊ฒŒ ๋˜์—ˆ์Šต๋‹ˆ๋‹ค. ๊ทธ๋ ‡๊ฒŒ ์–ด์ฉŒ๋‹ค ๋Šฆ์€ ๋‚˜ ์ด์— ์ด์—ญ๋งŒ๋ฆฌ็•ฐๅŸŸ่ฌ้‡Œ1์—์„œ ์™ธ๊ตญ์ธ ํ•™๋ถ€์ƒ๋“ค๊ณผ ์ผ๋ฐ˜์ƒ๋ช…๊ณผํ•™์ด๋‚˜ ์œ ์ „ ํ•™ ๊ฐœ๋ก  ๊ฐ™์€ ์ˆ˜์—…์„ ๋“ฃ๊ณ  ์žˆ๋Š” ์ €๋ฅผ ๋ฐœ๊ฒฌํ–ˆ์Šต๋‹ˆ๋‹ค. ๊ทธ๋ ‡๊ฒŒ ํฌ๊ณ  ์ž‘์€ ์šฐ ์—ฐ์˜ ์—ฐ์‡„๋ฅผ ๊ฑฐ๋“ญํ•˜๋‹ค๊ฐ€ ์ „ํ˜€ ์ธ์—ฐ์ด ์—†์„ ๊ฒƒ๋งŒ ๊ฐ™์•˜๋˜ ํฌ์Šคํ…์— ๋ถ€์ž„ ํ•ด ๊ณผํ•™์‚ฌ๋ฅผ ๊ฐ€๋ฅด์น˜๋Š” ์ผ๊นŒ์ง€ ์ƒ๊ฒผ์Šต๋‹ˆ๋‹ค.

๊ณ ๋ ค๋Œ€ํ•™๊ต ํ•™๋ถ€์‹œ์ ˆ 1. ๋‹ค๋ฅธ ๋‚˜๋ผ์˜ ์•„์ฃผ ๋จผ ๊ณณ 07

โ€˜์ง„๋กœโ€™๋ผ๋Š” ๊ฒƒ์€ ์ ์–ด๋„ ์ €ํ•œํ…Œ๋Š” โ€˜์ƒ๋‹ดโ€™์ด๋‚˜ โ€˜์„ค๊ณ„โ€™์˜ ๋Œ€์ƒ์ด๋ผ๊ธฐ๋ณด๋‹ค๋Š” ์šฐ์—ฐ์˜ ๋ฐ”๋‹ค ์œ„๋ฅผ ํ•ญํ•ดํ•˜๋Š” ๋А๋‚Œ์— ๊ฐ€๊นŒ์› ๋˜ ๊ฒƒ ๊ฐ™์Šต๋‹ˆ๋‹ค. ์ถœ๋ฐœ์ง€, ๊ฒฝ๋กœ, ๋„์ฐฉ์ง€๋ฅผ ๋ชจ๋‘ ์ธ์ง€ํ•˜๊ณ  ๊ฒฐ์ •ํ•œ ์ƒํƒœ์—์„œ ๋‚˜์•„๊ฐ€๋Š” ๊ธธ, ์ง„๋กœ้€ฒ่ทฏ๋„ ๋ฌผ๋ก  ํ›Œ๋ฅญํ•ฉ๋‹ˆ๋‹ค. ๊ทธ๋Ÿฌ๋‚˜ ์ข…์ข… ์šฐ๋ฆฌ๋Š” ์ถœ๋ฐœ์ง€, ๊ฒฝ๋กœ, ๊ฒฝ์œ ์ง€, ๋„์ฐฉ์ง€๋ฅผ ์ž˜ ์•Œ์ง€ ๋ชปํ•œ ์ฑ„, ์ง์ ‘ ๊ฒฝํ—˜ํ•˜์ง€ ๋ชปํ•œ ์ฑ„, ๊ทธ์ € ๋‚˜์•„๊ฐ ์ž์ฒด๋ฅผ ๊ฐ๋‹นํ•˜๋ฉฐ, ์šฐ์—ฐํžˆ

์ง„๋กœ์ƒ์— ์ถ”๊ฐ€๋œ ๋ณ€์ˆ˜๋‚˜ ์„ ํƒ์ง€๋ฅผ ๋†“๊ณ  ์ž„๊ธฐ์‘๋ณ€ํ•˜๋ฉฐ ๋ฐœ๊ฑธ์Œ์„ ๋‚ด๋””๋ŽŒ

์•ผ ํ•  ๋•Œ๋„ ์žˆ๋Š” ๊ฒƒ ๊ฐ™์Šต๋‹ˆ๋‹ค. ์šฐ์—ฐ์€ ๋ฌด์ง€, ๋‚ฏ์„ฆ, ๋ถˆ์•ˆ์„ ์ฃผ๊ธฐ๋„ ํ•˜์ง€๋งŒ, โ€˜์ง€๊ธˆ๊นŒ์ง€์˜ ๋‚˜โ€™๋ผ๋Š” ๊ด€์„ฑ์œผ๋กœ๋ถ€ํ„ฐ ๊ฐ€์žฅ ์ž์œ ๋กœ์šด ๋„์•ฝ์„ ๊ฐ€๋Šฅ์ผ€ ํ•˜๊ธฐ

๋„ ํ•ฉ๋‹ˆ๋‹ค. ๋งค๋ฒˆ ์šฐ์—ฐ์„ ๊ณผ์‹ ํ•˜๋Š” ๋„๋ฐ•์„ ํ•  ํ•„์š”๋Š” ์—†๊ฒ ์ง€์š”. ๊ทธ๋Ÿฌ๋‚˜ ์šฐ

์—ฐ์— ์ง€๋‚˜์น˜๊ฒŒ ๊ฐœ๋ฐฉ์ ์ด์ง€ ๋ชปํ•œ ํƒœ๋„๋ฅผ ์ทจํ•  ๊ฒฝ์šฐ, ์šฐ๋ฆฌ์˜ ์ •์‹ ๊ณผ ์‚ถ์€

์˜ˆ์ธก ๊ฐ€๋Šฅํ•œ ๋ฒ”์œ„ ๋„ˆ๋จธ๋กœ ๋ป—์–ด๋‚˜๊ฐ€๊ธฐ ์–ด๋ ค์›Œ์ง€๊ณ  ๋ง ๊ฒƒ์ž…๋‹ˆ๋‹ค.

๋ฐฐ์šฐ๋ฉฐ ์„ฑ์žฅํ•˜๋Š” ์‚ถ์— ๊ด€ํ•œ ์ œ ๋‘ ๋ฒˆ์งธ ํ‚ค์›Œ๋“œ๋Š” โ€˜๊ฐ๋‹นโ€™์ž…๋‹ˆ๋‹ค.

๋‚˜์ด๋ฅผ ๋ถˆ๋ฌธํ•˜๊ณ  ์ธ์ƒ์— ๋ฐฐ์›€์€ ๋์ด ์—†๋‹ค๊ณ ๋“ค ํ•ฉ๋‹ˆ๋‹ค. ๊ทธ๋Ÿฌ๋‚˜ ์ด ๊ธ€์˜

๋…์ž ์ค‘ ๋‹ค์ˆ˜๋Š” 10๋Œ€๋‚˜ 20๋Œ€๋ผ๊ณ  ์ „์ œํ•  ๋•Œ, ์—ฌ๋Ÿฌ๋ถ„์ด ํ˜„์žฌ ์‚ด๊ณ  ๊ณ„์‹œ

๋Š” ์‚ถ์˜ ๋‹จ๊ณ„๋Š” ํŠนํžˆ๋‚˜ โ€˜๋ฐฐ์›€โ€™๊ณผ โ€˜๊นจ์šฐ์นจโ€™์ด ์ฃผ๊ฐ€ ๋˜๋Š” ์‹œ์ ˆ์ž…๋‹ˆ๋‹ค. ์—ฌ๋Ÿฌ

๋ถ„๋“ค ๊ฐ€์šด๋ฐ ๋Œ€๋ถ€๋ถ„์€ โ€˜๋Œ€ํ•™โ€™์ด๋ผ๋Š” ๊ณต๊ฐ„์„ ๊ณง ๊ฒฝํ—˜ํ•˜๊ฒŒ ๋˜์‹œ๊ฑฐ๋‚˜ ์ด๋ฏธ

๊ฒฝํ—˜ํ•˜๋Š” ์ค‘์ด์‹ค ๊ฒƒ์ž…๋‹ˆ๋‹ค. ๋ฌธ์ž ๊ทธ๋Œ€๋กœ ๋Œ€ํ•™ๅคงๅญธ์—์„œ์˜ โ€˜ํฐ ๊ณต๋ถ€โ€™๋Š” ์—ฌ๋Ÿฌ

๋ถ„๋“ค์ด ๋ฐฐ์šฐ๊ณ  ๊นจ์šฐ์ณ ์ž์‹ ์˜ ์ „๋ฌธ์„ฑ์„ ๋Œ์–ด์˜ฌ๋ฆฌ๊ณ  ๋™์‹œ์— ์ƒ๊ฐ๊ณผ ๋งˆ์Œ

์˜ ํญ์„ ๋„“ํžˆ๊ฒŒ๋” ๋„์›€์„ ์ œ๊ณตํ•˜๋Š” ๋ฐ ๊ทธ ์กด์žฌ ์ด์œ ๊ฐ€ ์žˆ์Šต๋‹ˆ๋‹ค.

๊ทธ๋Ÿฐ๋ฐ ์ด๋Ÿฌํ•œ โ€˜ํฐ ๊ณต๋ถ€โ€™์—๋Š” ๋‚จ์ด ๋Œ€์‹ ํ•ด ์ค„ ์ˆ˜๋„ ์—†๊ณ  ๊ทธ์ € ์š”ํ–‰์„ ๋ฐ”

๋ž„ ์ˆ˜๋„ ์—†๋Š”, ์˜จ์ „ํžˆ ์ž๊ธฐ๊ฐ€ ์ฑ…์ž„์ง€๊ณ  ์งŠ์–ด์ ธ์•ผ ํ•˜๋Š” ๋ถ€๋ถ„์ด ๋ฐ˜๋“œ์‹œ ์žˆ

๊ธฐ ๋งˆ๋ จ์ž…๋‹ˆ๋‹ค. ๋ถ€๋ชจ๋‹˜, ๋‹ด์ž„์„ ์ƒ๋‹˜, ๊ณผ์™ธ ์„ ์ƒ๋‹˜, ํ•™์› ์„ ์ƒ๋‹˜, ๊ต์ˆ˜๋‹˜, ์‹ฌ์ง€์–ด ChatGPT๊นŒ์ง€, ์šฐ๋ฆฌ ์ฃผ๋ณ€์— ํ›Œ๋ฅญํ•œ ๊ณต๋ถ€ ๋„์šฐ๋ฏธ๊ฐ€ ์•„๋ฌด๋ฆฌ ๋งŽ๋”๋ผ

๋„, ์ด ์‚ฌ์‹ค์€ ๋ณ€ํ•˜์ง€ ์•Š์Šต๋‹ˆ๋‹ค. ํ•ด์•ผ ํ•  ๋•Œ์—, ํ•ด์•ผ ํ•  ๊ฒƒ์„, ๋ฒ„๊ฒ๋”๋ผ๋„

ํšŒํ”ผํ•˜์ง€ ์•Š๊ณ  ์˜จ์ „ํžˆ ์ง๋ฉดํ•˜์—ฌ, ์™„๋ฒฝํ•˜๊ฒŒ๋Š” ์•„๋‹์ง€๋ผ๋„ ์–ด๋–ป๊ฒŒ๋“  ํ•ด๋‚ด

๊ณ , ๊ทธ๋กœ๋ถ€ํ„ฐ ์˜ค๋Š” ๊ฒฐ๊ณผ์— ๋ณด๋žŒ์„ ๋А๋ผ๊ฑฐ๋‚˜ ์ž์กด๊ฐ์„ ๊ตณ๊ฒŒ ์„ธ์šฐ๊ณ , ํ˜น ๊ทธ

๊ฒฐ๊ณผ์— ์•„์‰ฌ์›€์ด ์žˆ๋”๋ผ๋„ ๋‹น๋‹นํ•˜๊ฒŒ ์ฑ…์ž„์„ ์ง€๊ณ  ๊ทธ๋‹ค์Œ ๋„์ „์„ ์ด์–ด๊ฐ€

๋Š” ํƒœ๋„๊ฐ€ ๋งค์šฐ ์ค‘์š”ํ•˜๊ณ  ๋˜ ์†Œ์ค‘ํ•ฉ๋‹ˆ๋‹ค. ๋ฐฐ์›€๊ณผ ์„ฑ์žฅ์— ๊ด€ํ•œ ํ•œ โ€˜๊ฐ๋‹นโ€™

์˜ ๊ณผ์ •์ด ๋ฉ‹๋“ค์–ด์ง„ ๊ฒฐ๊ณผ๋ณด๋‹ค ํ›จ์”ฌ ๋” ๋ณธ์งˆ์ ์ผ ์ˆ˜ ์žˆ์Šต๋‹ˆ๋‹ค. ์‹œํ—˜์—์„œ

๋ถ€์ •ํ–‰์œ„๋ฅผ ํ•˜์—ฌ ๋†’์€ ๊ฒฐ๊ณผ๋ฅผ ๋ฐ›์€ ํ•™์ƒ์„ ๋‘๊ณ , ํ•™๊ธฐ ๋ง ๊ณผ์ œ๋ฅผ ์ƒ์„ฑํ˜•

์ธ๊ณต์ง€๋Šฅ์— ์ „์ ์œผ๋กœ ์˜์กดํ•˜์—ฌ ๊ทธ๋Ÿด๋“ฏํ•˜๊ฒŒ ์ž‘์„ฑํ•ด A+ ํ•™์ ์„ ๋ฐ›์€ ํ•™

์ƒ์„ ๋‘๊ณ , ๊ธ์ •์ ์ธ ๋ฐฐ์›€๊ณผ ์„ฑ์žฅ์˜ ๊ฒฝํ—˜์ด ์กด์žฌํ–ˆ๊ธฐ๋ฅผ ๊ธฐ๋Œ€ํ•  ์ˆ˜๋Š” ์—†

๋Š” ๋…ธ๋ฆ‡์ž…๋‹ˆ๋‹ค. ๋‹ค๋ฅธ ์—ฐ๊ตฌ์ž์˜ ์—…์ ์„ ํ‘œ์ ˆํ•˜๊ฑฐ๋‚˜ ์ •๋‹นํ•˜๊ฒŒ ํ™œ์šฉํ•˜์ง€

์•Š์€ ์ฑ„ ๋‹จ๊ธฐ๊ฐ„ ์•ˆ์— ๋‹ค๋Ÿ‰์˜ ์—ฐ๊ตฌ ์„ฑ๊ณผ๋ฅผ ๊ฑฐ๋‘๋Š” ์—ฐ๊ตฌ์ž๋ฅผ ๋‘๊ณ  ํ•™๋ฌธ์„

๋…ผํ•  ์ˆ˜ ์—†์Šต๋‹ˆ๋‹ค. ์‹œํ—˜์—์„œ์˜ ๊ณ ๋“์ , ๋†’์€ ํ•™์ , ๋น ๋ฅด๊ณ  ๋งŽ์€ ์—ฐ๊ตฌ ์„ฑ๊ณผ

๋ผ๋Š” โ€˜๊ฒฐ๊ณผโ€™์—๋งŒ ์ง‘์ฐฉํ•œ ๋‚˜๋จธ์ง€ ๊ฐ๋‹น์˜ โ€˜๊ณผ์ •โ€™์„ ์‚ด์•„๋‚ด ๋ณธ ์ ์ด ์—†๋Š” ์‚ฌ

๋žŒ์€ ์–ธ์ œ๋‚˜ ์ดˆ์กฐํ•˜๊ณ  ๋น„๊ตดํ•  ์ˆ˜๋ฐ–์— ์—†์Šต๋‹ˆ๋‹ค. ์˜จ์ „ํžˆ ๋‚ด ๋ชซ์„ ๊ฐ๋‹นํ•ด

๋ณธ ์‚ฌ๋žŒ๋งŒ์ด ๋А๋‚„ ์ˆ˜ ์žˆ๋Š” ๋–ณ๋–ณํ•จ๊ณผ ๋ช…์˜ˆ๋กœ์›€์„ ๋ชจ๋ฅด๊ธฐ ๋•Œ๋ฌธ์ž…๋‹ˆ๋‹ค.

๊ฐ๋‹น์˜ ๊ณผ์ • ์ค‘๊ตญ ํ˜„์ง€์—ฐ๊ตฌ ํ•˜๋ฒ„๋“œ ๋Œ€ํ•™๊ต ๋ฐ•์‚ฌ๊ณผ์ • ์‹œ์ ˆ 08 ํฌ์Šคํ… ์—์„ธ์ด

ํ•จ๊ป˜ํ•œ ํ™”ํ•™๊ณผ 22ํ•™๋ฒˆ ๊น€์œ ๋นˆ ์•Œ๋ฆฌ๋ฏธ์™€ ์ปดํ“จํ„ฐ๊ณตํ•™๊ณผ 22ํ•™๋ฒˆ ๋ฐ•๊ธฐํ˜„ ์•Œ๋ฆฌ๋ฏธ

๋งˆ์ง€๋ง‰ ์„ธ ๋ฒˆ์งธ ํ‚ค์›Œ๋“œ๋Š” โ€˜๋ช…์‹ค์ƒ๋ถ€ๅๅฏฆ็›ธ็ฌฆโ€™์ž…๋‹ˆ๋‹ค.

์—ฌ๊ธฐ์„œ โ€˜๋ช…(๋ช…๋ชฉ)โ€™์€ ํƒ€์ดํ‹€, ํ•™๋ ฅ, ์ง์—…, ์ง์œ„, ์ž๊ฒฉ์ฆ, ์‹œํ—˜ ์ ์ˆ˜ ๊ฐ™์€ ๊ฒƒ๋“ค์ž…๋‹ˆ๋‹ค. ์ฆ‰๊ฐ์ ์ด๊ณ  ๋น„๊ต ๊ฐ€๋Šฅํ•ฉ๋‹ˆ๋‹ค. ๋ฐ˜ ๋ฉด, โ€˜์‹ค(์‹ค์ œ)โ€™์€ ๋œ ์ง๊ด€์ ์ด๊ณ  ๋Œ€์ฒด๋กœ ๋‹ค๋ฅธ ์‚ฌ๋žŒ๊ณผ ๋น„๊ตํ•  ์ˆ˜ ์—†๋Š” ๊ฒƒ๋“ค์ž…๋‹ˆ๋‹ค. ์‹ค๋ ฅ, ์ „๋ฌธ์„ฑ, ์ธํ’ˆ, ๊ฒฝ๋ฅœ, ๊นŠ์ด ๊ฐ™์€ ๋ง๋กœ ๋ญ‰๋šฑ๊ทธ๋ ค ํ‘œํ˜„ํ•  ์ˆ˜ ์žˆ์„ ๊ฒƒ ๊ฐ™์Šต๋‹ˆ๋‹ค. ์˜ค๋Š˜๋‚  ๋งŽ์€ ์‚ฌ๋žŒ์ด โ€˜๋ช…โ€™์˜ ๋ฌดํ•œ ์ƒ์Šน๋งŒ์„ ์ถ”๊ตฌํ•˜๋ฉฐ ์‚ฌ๋Š” ๊ฒƒ ๊ฐ™์Šต๋‹ˆ๋‹ค. ์ผ์›ํ™”๋˜๊ณ  ์ˆ˜์น˜ํ™”๋˜๊ณ  ๋“ฑ๊ธ‰ํ™”๋œ โ€˜๋ช…โ€™์˜ ์‚ฌ๋‹ค๋ฆฌ ์œ„์— ๋ชจ๋“  ์‚ฌ๋žŒ์„ ๋ฐ€์–ด ๋„ฃ๊ณ  ์˜ค๋กœ์ง€ ์„œ๋กœ ์œ„๋ƒ ์•„๋ž˜๋ƒ๋ฅผ ๋”ฐ์ง€๋Š” ์ผ ์—๋งŒ ๋ชฐ๋‘ํ•˜๋Š” ๊ฒƒ๋„ ๊ฐ™์Šต๋‹ˆ๋‹ค. ์‚ฌ์‹ค ์ง„์ •์œผ๋กœ ์„ฑ์žฅํ•˜๋Š” ์‚ถ์—๋Š” ์ด๋Ÿฌํ•œ โ€˜๋ช…โ€™์˜ โ€˜์ƒ์Šนโ€™๊ณผ ๋”๋ถˆ์–ด ๋ฐ˜๋“œ์‹œ โ€˜์‹คโ€™์˜ โ€˜์„ฑ์ˆ™โ€™ ๋„ ํ•„์š”ํ•ฉ๋‹ˆ๋‹ค. ์—ฌ๋Ÿฌ๋ถ„์ด โ€˜๋ช…โ€™๋งŒ์„ ์ข‡๊ธฐ๋ณด๋‹ค๋Š” โ€˜๋ช…โ€™๊ณผ โ€˜์‹คโ€™์„ ๋ชจ๋‘ ๊ฐ€๊พธ๋ฉฐ ์‚ด๊ณ ์ž ํ•  ๋•Œ, ๋” ์˜จ์ „ํ•œ ์ž๊ธฐ์™„์„ฑ์„ ๋„๋ชจ ํ•  ์ˆ˜ ์žˆ์œผ๋ฆฌ๋ผ ๋ฏฟ์Šต๋‹ˆ๋‹ค. ๋ฐ˜๋Œ€๋กœ โ€˜๋ช…โ€™์˜ ํˆฌ์Ÿ์— ์ง€์ณ ์ž๊ธฐ ์ž์‹ ๋ฐ–์— ๋ชจ๋ฅด๋Š” โ€˜์‹คโ€™์˜ ์„ธ๊ณ„ ์•ˆ์œผ๋กœ ๋งˆ๋ƒฅ ๊ฐ€๋ผ์•‰์•„์„œ๋„ ์•ˆ ๋  ๊ฒƒ ๊ฐ™์Šต๋‹ˆ๋‹ค. โ€˜๋ช…โ€™์œผ๋กœ ๋ฒˆ์—ญ๋˜์ง€ ๋ชปํ•œ โ€˜์‹คโ€™์€ ํƒ€์ธ์ด ์•Œ๊ธฐ ์‰ฝ์ง€ ์•Š์Šต๋‹ˆ๋‹ค. โ€˜์‹คโ€™๋งŒ์„ ์ถ”๊ตฌํ•˜๋Š” ์‚ถ์„ ์‚ด ๊ฒฝ์šฐ, ๋‹ค๋ฅธ ์‚ฌ๋žŒ๋“ค์ด, ์„ธ์ƒ์ด ๋‚˜์˜ ๋Šฅ๋ ฅ๊ณผ ๊ฐ€์น˜๋ฅผ ๋ชฐ๋ผ์ค€๋‹ค๋Š” ์›ํ†ตํ•จ์— ๋น ์ง€๊ธฐ ์‰ฝ์Šต๋‹ˆ๋‹ค. ๋”ฐ๋ผ์„œ ์ €๋Š” ์—ฌ๋Ÿฌ๋ถ„๊ณผ ์ œ๊ฐ€ ๋ฐฐ์›€๊ณผ ์„ฑ์žฅ์„ ๊ฑฐ๋“ญํ•˜๋ฉฐ โ€˜๋ช…โ€™๊ณผ โ€˜์‹คโ€™์„ ์„œ๋กœ ์™„์ „ํžˆ ์ผ์น˜์‹œํ‚ค์ง€๋Š” ๋ชปํ•˜๋”๋ผ๋„, ์–‘์ž๋ฅผ ์„œ๋กœ ์ตœ๋Œ€ํ•œ ๋ถ€ํ•ฉํ•˜๊ฒŒ ์ฑ™๊ฒจ๊ฐˆ ์ˆ˜ ์žˆ๋Š”

์ง€ํ˜œ๋กœ์šด ์‚ถ์„ ์‚ด ์ˆ˜ ์žˆ๊ธฐ๋ฅผ ๋ฐ”๋ž๋‹ˆ๋‹ค. ๊ทธ๋ ‡๊ฒŒ ์ •์‹ ์˜ ๊ตฌ๊น€์ด ์—†๊ณ  ์ž์‹ ๊ณผ ํƒ€์ธ์—๊ฒŒ ๋„ˆ๊ทธ๋Ÿฌ์šด โ€˜ํ•™์ธๅญธไบบโ€™์˜ ์‚ถ์„ ํž˜

๋‹ฟ๋Š” ๋ฐ๊นŒ์ง€ ์‚ด์•„๋‚˜๊ฐˆ ์ˆ˜ ์žˆ๊ธฐ๋ฅผ ์‘์›ํ•ฉ๋‹ˆ๋‹ค.

5์›” 10์ผ, ์—์„ธ์ด์™€๋Š” ๋‹ค๋ฅธ ๋งค๋ ฅ์˜ ์ด์ข…์‹ ๊ต์ˆ˜๋‹˜์„ ๋งŒ๋‚˜๋ณด์„ธ์š”! 09

์žฌ๋ฏธ์žˆ๋Š”์ง€ ์ƒ๊ฐํ•ด ๋ณด์„ธ์š”.

๋ฌด์—‡์„ ํ•  ๋•Œ ์‹œ๊ฐ„ ๊ฐ€๋Š” ์ค„ ๋ชจ๋ฅผ ์ •๋„๋กœ

์„ ๋ฐฐ๋‹˜๊ณผ์˜

์ธํ„ฐ๋ทฐ

๊ธˆ๋„ํฌ
10 ์•Œ๋ฆฌ๋ฏธ๊ฐ€ ๋งŒ๋‚œ ์‚ฌ๋žŒ

์ „๊ตญ์— ์žˆ๋Š” ํฌ์Šคํ…Œํ‚ค์•ˆ ๊ตฌ๋…์ž๋“ค์—๊ฒŒ ์ž๊ธฐ์†Œ๊ฐœ ๋ถ€ํƒ๋“œ๋ฆฝ๋‹ˆ๋‹ค.

์•ˆ๋…•ํ•˜์„ธ์š”. ์ €๋Š” ํฌ์Šคํ… ์‹ ์†Œ์žฌ๊ณตํ•™๊ณผ ํ•™๋ถ€๋Š” 09ํ•™๋ฒˆ, ๋Œ€ํ•™์›์€ 13ํ•™๋ฒˆ์œผ๋กœ ์กธ์—…ํ•œ 12๋ถ„๋ฐ˜ ๊ธˆ ๋„ํฌ์ž…๋‹ˆ๋‹ค.

ํ˜„์žฌ ํ•˜๊ณ  ๊ณ„์‹  ์ผ์„ ๊ฐ„๋‹จํžˆ ์†Œ๊ฐœํ•ด ์ฃผ์„ธ์š”.

์ €๋Š” 2013๋…„๋ถ€ํ„ฐ 2017๋…„๊นŒ์ง€ ์„์‚ฌ, ๋ฐ•์‚ฌ ํ•™์œ„ ๋™์•ˆ ์—ฐ๊ตฌํ–ˆ๋˜ ์Šคํ…ํŠธ1, ๋‚ด์‹œ๊ฒฝ, ํ˜ˆ๋‹น ๊ด€๋ จ ๊ธฐ๊ธฐ ๋“ฑ ๋‹ค์–‘ํ•œ ์˜๋ฃŒ ๊ธฐ๊ธฐ๋ฅผ ์‹ค์ œ ์ œํ’ˆ์œผ๋กœ ๋งŒ๋“ค๊ธฐ ์œ„ํ•œ ์—ฐ๊ตฌ๋ฅผ ์ง„ํ–‰ํ•˜๊ณ  ์žˆ์Šต๋‹ˆ๋‹ค. ๊ทธ๋ฆฌ๊ณ  2018๋…„์— ๋ฐ• ์‚ฌ๋ฅผ ์กธ์—…ํ•œ ๋’ค๋กœ๋Š” ๊ตญ์™ธ์— ์žˆ๋Š” ๊ธ€๋กœ๋ฒŒ ๋ฉ”๋””์ปฌ ๊ธฐ์—…๋“ค๊ณผ ํ•จ๊ป˜ ์ผํ•˜๋ฉฐ ์ƒˆ๋กœ์šด ์œ ํ˜•์˜ ์˜๋ฃŒ ๊ธฐ๊ธฐ ๋ฅผ ๊ฐœ๋ฐœํ•˜๊ณ  ์–‘์‚ฐํ•˜๋Š” ์ผ์„ ์ฃผ๋œ ์—…๋ฌด๋กœ ๋งก๊ณ  ์žˆ์Šต๋‹ˆ๋‹ค.

์„์‚ฌ, ๋ฐ•์‚ฌ ๊ณผ์ •์„ ๊ฑฐ์น˜๋ฉฐ ์–ป์€ ๋‹ค์–‘ํ•œ ์•„์ด๋””์–ด๋ฅผ ๊ธฐ๋ฐ˜์œผ๋กœ โ€˜๋ฒ„๋ธ”๋Ÿฌโ€™๋ฅผ ์ฐฝ์—…ํ•˜์…จ๋‹ค๊ณ  ๋“ค ์—ˆ์Šต๋‹ˆ๋‹ค. ์—ฐ๊ตฌ ๊ณผ์ •์—์„œ ์–ด๋–ป๊ฒŒ ๋‹ค์–‘ํ•œ ํŠนํ—ˆ ์•„์ดํ…œ๋“ค์„ ๋– ์˜ฌ๋ฆฌ์‹ค ์ˆ˜ ์žˆ์—ˆ๋Š”์ง€, ๊ทธ๋ฆฌ๊ณ  ๊ทธ ๊ณผ์ •

์—์„œ ํฌ์Šคํ…์—์„œ์˜ ์ƒํ™œ์ด ์–ด๋–ค ๋„์›€์„ ์ฃผ์—ˆ๋Š”์ง€ ๊ถ๊ธˆํ•ฉ๋‹ˆ๋‹ค.

๋ณดํ†ต ๋…ผ๋ฌธ์„ ์“ฐ๋‹ค ๋ณด๋ฉด ๋™๊ธฐ๋“ค, ์„ ๋ฐฐ๋“ค๊ณผ ์—ฌ๋Ÿฌ ๋…ผ๋ฌธ์„ ์ฝ์–ด๋ณด๊ฒŒ ๋˜๋Š”๋ฐ์š”. ์ €๋Š” ํŠน์ดํ•˜๊ฒŒ ์ฑ…์ด๋‚˜

๋…ผ๋ฌธ์„ ํ†ตํ•˜์—ฌ ์•„์ด๋””์–ด๋ฅผ ์–ป๊ธฐ๋ณด๋‹ค๋Š” ๊ตญ๋‚ด์™ธ ์ „์‹œ ๋˜๋Š” ํ•™ํšŒ ํ™œ๋™์„ ๋งŽ์ด ์ฐธ์„ํ•˜๋ฉฐ ์ตœ์‹  ์—ฐ๊ตฌ

๋™ํ–ฅ์„ ์ง์ ‘ ๋ณด๊ณ  ๋“ค์œผ๋ฉด์„œ ์•„์ด๋””์–ด๋ฅผ ๊ตฌ์ฒดํ™”ํ•˜๊ณค ํ–ˆ์Šต๋‹ˆ๋‹ค. ๊ทธ๋ž˜์„œ ์ฃผ๊ธฐ์ ์œผ๋กœ ๋ฐฐ๋‚ญ์„ ๋ฉ”๊ณ  ํฌํ•ญ์„ ๋– ๋‚˜ ์„œ์šธ, ๋ฏธ๊ตญ, ์œ ๋Ÿฝ ๋“ฑ์—์„œ ์—ด๋ฆฌ๋Š” ์œ ๋ช… ํ•™ํšŒ, ์ „์‹œ, ์ฐฝ์—… ํ–‰์‚ฌ, ์ฐฝ์—… ๋Œ€ํšŒ ๋“ฑ์— ์ ๊ทน์ ์œผ ๋กœ ์ฐธ์„ํ–ˆ์Šต๋‹ˆ๋‹ค. ํฌ์Šคํ…์ด ์ง€์›ํ•ด ์ค€ ์—ฌ๋Ÿฌ ๊ธฐํšŒ๋ฅผ ๋†“์น˜์ง€ ์•Š๊ณ  ๋‹ค์–‘ํ•œ ํ–‰์‚ฌ๋ฅผ ๊ฒฝํ—˜ํ•ด ๋ณด์•˜๋˜ ๊ฒƒ

์ด ํฐ ๋„์›€์ด ๋œ ๊ฒƒ ๊ฐ™์•„์š”.

์„ ๋ฐฐ๋‹˜๊ป˜์„œ๋Š” ์ง€๋‚œ 2019๋…„ ํฌ๋ธŒ์Šค๊ฐ€ ์„ ์ •ํ•œ 30๋Œ€ ์ดํ•˜ ๊ธ€๋กœ๋ฒŒ ๋ฆฌ๋”๋กœ๋„ ์„ ์ •๋˜์‹ค ๋งŒํผ ๋›ฐ์–ด๋‚œ ์„ฑ๊ณผ๋ฅผ ๊ฑฐ๋‘์–ด ์˜ค์…จ๋Š”๋ฐ์š”. ์„ ๋ฐฐ๋‹˜๋งŒ์˜ ํŠน๋ณ„ํ•œ ์›๋™๋ ฅ์— ๋Œ€ํ•ด ๋ง์”€ํ•ด ์ฃผ์„ธ์š”.

์ €๋Š” 9๋…„ ๋™์•ˆ ํฌ์Šคํ…์—์„œ ์ƒํ™œํ•˜๋ฉฐ ๋ฐ•์‚ฌ๊ณผ์ •๊นŒ์ง€ ์ด์ˆ˜ํ•˜์ง€ ๋ชปํ–ˆ๋‹ค๋ฉด ์ด๋Ÿฌํ•œ ์˜๊ด‘ ๋˜ํ•œ ๋ˆ„๋ฆฌ

์ง€ ๋ชปํ–ˆ์„ ๊ฒƒ์ž…๋‹ˆ๋‹ค. ๋ฌผ๋ก  ๊ณต๋ถ€ํ•ด์•ผ ํ•  ์ƒˆ๋กœ์šด ๋‚ด์šฉ๋“ค๋„ ๋งŽ๊ณ , ๋งŽ์€ ํ•™์ ์„ ์ด์ˆ˜ํ•˜๋‹ค ๋ณด๋‹ˆ ๊ฐ€๋” ์€ ํ•˜๊ธฐ ์‹ซ์–ด์งˆ ๋•Œ๋„ ์žˆ์—ˆ์Šต๋‹ˆ๋‹ค. ๋์ด ๋ณด์ด์ง€ ์•Š์œผ๋‹ˆ, ๋„ˆ๋ฌด ๊ธด ์—ฌ์ •์ด ์•„๋‹Œ๊ฐ€ ํ•˜๋Š” ์ŠคํŠธ๋ ˆ์Šค๋ฅผ ๋ฐ›๊ธฐ๋„ ํ–ˆ์–ด์š”. ๊ฐ€์žฅ ์˜ˆ์œ ์ฒญ์ถ˜ ์‹œ๊ธฐ๋ฅผ ์—ฐ๊ตฌ์— ๋งค์ง„ํ•˜๋ฉฐ ๋ณด๋‚ด๋‹ค ๋ณด๋‹ˆ ํ•˜๋ฃจํ•˜๋ฃจ๋ฅผ ์žฌ๋ฏธ์žˆ๊ณ  ๋ณด ๋žŒ์ฐจ๊ฒŒ ๋ณด๋‚ด๋Š” ๊ฒƒ์ด ์ž์—ฐ์Šค๋ ˆ ์ œ ๋ชฉํ‘œ๊ฐ€ ๋œ ๊ฒƒ ๊ฐ™์•„์š”. ์‹œํ—˜๊ณผ ํ‰๊ฐ€์— ์ง€์น  ๋•Œ๋„ ๋งŽ์•˜์ง€๋งŒ, ์•„ ๊ธฐ์ž๊ธฐํ•œ ์บ ํผ์Šค์—์„œ ์นœ๊ตฌ๋“ค๊ณผ ์žฌ๋ฏธ์žˆ๋Š” ์‹œ๊ฐ„์„ ๋ณด๋‚ด๊ณ , ํ•ด๊ฐ€ ์ง€๋ฉด ๊ต๋‚ด ์ฃผ์  โ€˜ํ†ต๋‚˜๋ฌด์ง‘โ€™๋„ ์ข… ์ข… ๋ฐฉ๋ฌธํ•˜๊ณ , ํ‹ˆ๋‚˜๋ฉด ์šด๋™๋„ ์—ด์‹ฌํžˆ ํ•ด๋ณด๊ณ , ๊ทผ์ฒ˜ ๋ฐ”๋‹ท๊ฐ€์—์„œ ๋“œ๋ผ์ด๋ธŒ๋„ ํ•˜๋ฉด์„œ ์—ด์‹ฌํžˆ ์—ฐ๊ตฌ ์™€ ๊ณต๋ถ€์— ๋งค์ง„ํ•˜๋‹ค ๋ณด๋‹ˆ ์–ด๋А์ƒˆ ์กธ์—…์ด ๋‹ค๊ฐ€์™€ ์žˆ๋”๋ผ๊ณ ์š”. ์ œ๊ฐ€ ์š•์‹ฌ์ด ๋งŽ์€ ์„ฑํ–ฅ์ด๊ณ  ๋…ํ•˜ ๊ฒŒ ๋…ธ๋ ฅํ•œ ๊ฒƒ๋„ ์žˆ์ง€๋งŒ, ๋ฌด์—‡๋ณด๋‹ค ํ•˜๋ฃจํ•˜๋ฃจ๋ฅผ ์ฆ๊ธฐ์ž๋Š” ๋งˆ์ธ๋“œ๊ฐ€ ์ข‹์€ ์šด์„ ๊ฐ€์ ธ๋‹ค์ค„ ์ˆ˜ ์žˆ๋Š” ์›๋™๋ ฅ์ด ๋œ ๊ฒƒ ๊ฐ™์•„์š”. ๊ธ€ ๋ฌด์€์žฌํ•™๋ถ€ 23ํ•™๋ฒˆ 29๊ธฐ ์•Œ๋ฆฌ๋ฏธ ๊น€์„ธ๋ฏผ ์—ฌ๋Ÿฌ๋ถ„์˜ ๊ฟˆ์€ ๋ฌด์—‡์ธ๊ฐ€์š”? ๋Œ€ํ•™๊ต์— ์ž…ํ•™ํ•˜๊ณ  ํ•™๊ต์ƒํ™œ์„ ํ•˜๋‹ค ๋ณด๋ฉด, ๋งŽ์€ ํ•™์ƒ์ด โ€˜์—ฐ๊ตฌโ€™์™€ โ€˜์ฐฝ์—…โ€™์ด๋ผ๋Š” ์ง„๋กœ์˜ ๊ฐˆ๋ฆผ๊ธธ ์•ž์—์„œ ๊นŠ์€ ๊ณ ๋ฏผ์„ ํ•˜๊ณค ํ•ฉ๋‹ˆ๋‹ค. ์ด๋ฒˆ 181ํ˜ธ <์•Œ๋ฆฌ๋ฏธ๊ฐ€ ๋งŒ๋‚œ ์‚ฌ ๋žŒ>์—์„œ๋Š” ํฌ์Šคํ…์—์„œ ๋ฐ•์‚ฌ ํ•™์œ„๊นŒ์ง€ ์ทจ๋“ํ•˜์‹œ๊ณ , ์ดํ›„ 2019๋…„ ํฌ๋ธŒ์Šค๊ฐ€ ์„ ์ •ํ•œ 30์„ธ ์ดํ•˜ ๊ธ€๋กœ๋ฒŒ ๋ฆฌ๋”๋กœ ์„ ์ •๋˜์‹  ๋ฒ„๋ธ”๋Ÿฌ์˜ CEO ๊ธˆ๋„ํฌ ์„ ๋ฐฐ๋‹˜์˜ ์ด์•ผ๊ธฐ๋ฅผ ๋‹ด์•„๋ณด์•˜์Šต๋‹ˆ๋‹ค. ๊ทธ๋Ÿผ, ์šฐ๋ฆฌ ํ•จ๊ป˜ ๊ธˆ๋„ํฌ ์„ ๋ฐฐ๋‹˜์„ ๋งŒ๋‚˜๋ณผ๊นŒ์š”?

#1 #2 #3 #4 1. ํ˜ˆ๊ด€์˜ ๋‚ด๊ฐ•์„ ๋ฒŒ๋ฆฌ๋Š” ๊ธฐ๊ตฌ 11

์„ ๋ฐฐ๋‹˜๊ป˜์„œ ์—ฐ๊ตฌํ•˜๊ณ  ๊ณ„์‹œ๋Š” ์Šค๋งˆํŠธ ์˜๋ฃŒ๊ธฐ๊ธฐ๊ฐ€ ๊ต‰์žฅํžˆ ์‹ค์šฉ์ ์ธ ๋ถ„์•ผ๋กœ ๋ณด์ด๋Š” ๋ฐ์š”. ์ด๋Ÿฌํ•œ ๊ธฐ์ˆ ๋“ค์„ ์ฃผ์ œ๋กœ ์‚ผ์•„ ์ฐฝ์—…์„ ๊ฒฐ์‹ฌํ•˜์‹œ๊ฒŒ ๋œ ๊ณ„๊ธฐ๋ฅผ ์—ฌ์ญ™๊ณ  ์‹ถ์Šต๋‹ˆ๋‹ค.

์šฐ์„  ์žฌ๋ฏธ์žˆ์„ ๊ฒƒ ๊ฐ™์•˜์–ด์š”. ๊ทธ๋ฆฌ๊ณ  ์˜์›ํžˆ ํ•„์š”ํ•  ๊ฑฐ๋ผ๊ณ  ์ƒ๊ฐ๋˜๋Š” ํ•™๋ฌธ์„ ์„ ํƒํ•ด์„œ ์˜ค

๋žซ๋™์•ˆ ๋ˆ„๊ตฐ๊ฐ€์—๊ฒŒ ๋„์›€์ด ๋˜๋Š” ์ผ์„ ํ•˜๊ณ  ์‹ถ์—ˆ๊ธฐ์—, ํฅ๋ฏธ์™€ ์žฌ๋ฏธ๋ฅผ ๋ชจ๋‘ ๋А๋‚„ ์ˆ˜ ์žˆ๋Š”

์Šค๋งˆํŠธ ์˜๋ฃŒ๊ธฐ๊ธฐ ๋ถ„์•ผ๋กœ ํŒŒ๊ณ ๋“ค์—ˆ๋˜ ๊ฒƒ ๊ฐ™์•„์š”. ๋Œ€ํ•™์›์— ๋“ค์–ด๊ฐ€๊ธฐ ์ „๊นŒ์ง€๋Š” ์ฐฝ์—…์„ ๊ณ 

๋ คํ•œ ์ ์ด ์—†์—ˆ๋Š”๋ฐ, 2013๋…„ ๋Œ€ํ•™์› ์ž…ํ•™ ํ›„ ํ•ด๋‹น ๋ถ„์•ผ๋ฅผ ๊ณต๋ถ€ํ•˜๋˜ ์ค‘, 2016๋…„~2017

๋…„ ์ฏค์— ์ฐฝ์—… ๋ถ์ด ๋ถˆ์—ˆ์–ด์š”. ๋งˆ์นจ ์ œ๊ฐ€ ์—ฐ๊ตฌํ•˜๊ณ  ์žˆ๋Š” ์•„์ดํ…œ์ด ์ƒ์—…ํ™”๋ฅผ ์ง„ํ–‰ํ•˜๋Š” ๋ฐ

์œ ๋ฆฌํ•œ ๋ถ€๋ถ„์ด ๋งŽ๋‹ค ๋А๊ผˆ๊ณ , ๊ทธ๋ž˜์„œ โ€œ์ฐฝ์—…์„ ํ•ด๋ณด์ž!โ€ํ•˜๊ณ  ๊ฒฐ์‹ฌํ•˜๊ฒŒ ๋˜์—ˆ์–ด์š”. ์—ฌ๋Ÿฌ ๋ฐฉ

๋ฉด์—์„œ ๋…ธ๋ ฅํ•˜๋‹ค ๋ณด๋‹ˆ ๊ฒฝ์ง„๋Œ€ํšŒ์—์„œ ์ƒ์„ ๋ฐ›๊ธฐ๋„ ํ–ˆ๊ณ , ๊ทธ๋Ÿฌ๋ฉด์„œ ๊ฐ€์ง€๊ณ  ์žˆ๋˜ ์‚ฌ์—… ์•„์ด ํ…œ์ด ์ž์—ฐ์Šค๋Ÿฝ๊ฒŒ ํ™•์žฅ๋˜์ง€ ์•Š์•˜๋‚˜ ์‹ถ์–ด์š”.

ํ•™๋ถ€ ์กธ์—… ํ›„ ๋Œ€ํ•™์›์—์„œ ์—ฐ๊ตฌ๋ฅผ ์ง„ํ–‰ํ•˜์‹œ๋ฉฐ ๋ฒ„๋ธ”๋Ÿฌ๋ฅผ ์ฐฝ์—…ํ•˜์…จ๊ณ , ๋ฒ„๋ธ”๋Ÿฌ์˜

CEO์ด์‹  ๋™์‹œ์— ํƒ€ ๊ธฐ์—…์—์„œ์˜ ์—ฐ๊ตฌ์› ๋˜ํ•œ ๋ณ‘ํ–‰ํ•˜๊ณ  ๊ณ„์‹  ์„ ๋ฐฐ๋‹˜์ด ์ •๋ง ๋Œ€๋‹จํ•˜๊ฒŒ ๋А๊ปด์ง‘๋‹ˆ๋‹ค. ์ฐฝ์—…๊ณผ ์—ฐ๊ตฌ๋ฅผ ์ง„๋กœ๋กœ์จ ๊ณ ๋ฏผํ•˜๋Š” ํ›„๋ฐฐ๋“ค์—๊ฒŒ ์กฐ์–ธ ๋ถ€ํƒ๋“œ๋ฆฝ๋‹ˆ๋‹ค!

๋ฌด์—‡๋ณด๋‹ค ํ•˜๊ณ  ์‹ถ์€ ์ผ๊ณผ ์ž์‹  ์žˆ๋Š” ์ผ์„ ์„ ํƒํ•˜๋Š” ๊ฒƒ์ด ๊ฐ€์žฅ ์ค‘์š”ํ•œ ๊ฒƒ ๊ฐ™์•„์š”. ์–ด๋–ค

์ผ์„ ํ•˜๊ฒŒ ๋˜๊ฑด, ๋Œ€ํ•™๊ต์™€ ๋Œ€ํ•™์›์„ ์กธ์—…ํ•˜๊ณ  ๋‚œ ํ›„์—๋Š” ๋งค์ผ โ€˜์ผโ€™์— ๋ถ€๋”ชํžˆ๊ฒŒ ๋ฉ๋‹ˆ๋‹ค.

์ธ์ƒ์—์„œ 10๋…„์—์„œ 20๋…„ ๋™์•ˆ ๊ณต๋ถ€๋ฅผ ํ–ˆ๋‹ค๋ฉด, ์€ํ‡ดํ•˜๊ธฐ ์ „๊นŒ์ง€ 40๋…„์—์„œ 50๋…„์€ ์ง์žฅ

์„ ๋‹ค๋‹ˆ๊ธฐ ๋•Œ๋ฌธ์—, ์ •๋ง ๊ธด ์‹œ๊ฐ„ ๋™์•ˆ ์ฑ…์ž„๊ฐ์„ ๊ฐ€์ง€๊ณ  ์ผ์— ์ž„ํ•˜๊ฒŒ ๋  ํ…๋ฐ์š”. ์•ž์œผ๋กœ

์ธ์ƒ์—์„œ ์ƒ๋‹นํžˆ ๋งŽ์€ ๋ถ€๋ถ„์„ ์ฐจ์ง€ํ•  โ€˜์ผํ•˜๋Š” ์‹œ๊ฐ„โ€™์ด ์ตœ๋Œ€ํ•œ ๋‚˜์—๊ฒŒ ํ–‰๋ณตํ•˜๊ณ , ๋‚ด๊ฐ€ ์ฆ

๊ธธ ์ˆ˜ ์žˆ๋Š” ์‹œ๊ฐ„์ด ๋˜๋„๋ก ๋‚˜ ์ž์‹ ์ด ์–ด๋–ค ๊ฒƒ์„ ์ž˜ํ•˜๊ณ , ์–ด๋–ค ๊ฒƒ์„ ํ•  ๋•Œ ์‹œ๊ฐ„ ๊ฐ€๋Š” ์ค„ ๋ชจ

๋ฅผ ์ •๋„๋กœ ์žฌ๋ฏธ์žˆ๋Š”์ง€๋ฅผ ์ƒ๊ฐํ•ด ๋ณด์‹œ๋ฉด ์ข‹์„ ๊ฒƒ ๊ฐ™์•„์š”. ๊ทธ๋ฆฌ๊ณ  ์–ด๋–ค ๋ถ„์•ผ์— ์†Œ์†๋˜๋”

๋ผ๋„ ๊พธ์ค€ํžˆ ์ธ์ •๋ฐ›๊ณ  ์ข‹์€ ์‚ฌ๋žŒ๋“ค๊ณผ ์ผํ•  ๊ธฐํšŒ๋ฅผ ์–ป์„ ์ˆ˜ ์žˆ๋„๋ก, ์–ด๋””์—๋„ ๋’ค์ฒ˜์ง€์ง€

์•Š์„ ์ •๋„๋กœ ๋ณธ์ธ์˜ ์‹ค๋ ฅ์„ ๋‹จ๋‹จํžˆ ๋‹ค์ง€๋Š” ๊ฒƒ์ด ์ค‘์š”ํ•˜๋‹ค๊ณ  ์ƒ๊ฐํ•ฉ๋‹ˆ๋‹ค. ๋‚˜๋งŒ์˜ ๊ฐ•๋ ฅ

ํ•œ ๋ฌด๊ธฐ์™€ ๋ธŒ๋žœ๋“œ๋ฅผ ์ž˜ ์ค€๋น„ํ•˜์…”์„œ, ์ž์‹ ์ด ์„ ํƒํ•œ โ€˜๋‚ด๊ฐ€ ์‚ด๊ณ  ์‹ถ์€ ์‚ถโ€™์„ ์ฆ๊ธธ ์ˆ˜ ์žˆ์œผ ๋ฉด ์ข‹๊ฒ ์Šต๋‹ˆ๋‹ค.

๋งˆ์ง€๋ง‰์œผ๋กœ ์ด๊ณต๊ณ„ ์ง„๋กœ๋ฅผ ๊ฟˆ๊พธ๋ฉฐ ์ด ๊ธ€์„ ์ฝ์„ ํฌ์Šคํ…Œํ‚ค์•ˆ ๊ตฌ๋…์ž๋“ค์—๊ฒŒ ํ•œ ๋ง ์”€ ๋ถ€ํƒ๋“œ๋ฆฝ๋‹ˆ๋‹ค.

ํฌ์Šคํ…์„ ๋น„๋กฏํ•œ ๋Œ€ํ•™๊ต์—์„œ ์—ฌ๋Ÿฌ ์ข‹์€ ๊ธฐํšŒ๋“ค์„ ์–ป์œผ๋ฉด์„œ ์ž๊ธฐ ์ž์‹ ์„ ๋ฏฟ๊ณ , ์ตœ๊ณ ์˜ ์•„

์›ƒํ’‹์„ ๋งŒ๋“ค์–ด ๋ณด์„ธ์š”. ๋ฉ‹์ง„ ํฌํŠธํด๋ฆฌ์˜ค๋ฅผ ๊ฐ€์ง€๊ณ  ์žˆ๋‹ค๋ฉด ํ•ด์™ธ, ๊ตญ๋‚ด ์ƒ๊ด€์—†์ด ์–ด๋””์—์„œ

๋“  ์ข‹์€ ์„ฑ๊ณผ๋ฅผ ๋‚ผ ์ˆ˜ ์žˆ์„ ๊ฒƒ์ž…๋‹ˆ๋‹ค. โ€œ๋‚˜๋งŒ์˜ ๋ฌด๊ธฐโ€๋ฅผ ํ™•์‹คํ•˜๊ฒŒ ์ค€๋น„ํ•  ์ˆ˜ ์žˆ๋Š” ํ™˜๊ฒฝ์„

์ฐพ์•„์„œ, ์—ฌ๋Ÿฌ๋ถ„์ด ๋”์šฑ ๊ฐ•ํ•œ ์‚ฌ๋žŒ์œผ๋กœ ์„ฑ์žฅํ•  ์ˆ˜ ์žˆ์—ˆ์œผ๋ฉด ์ข‹๊ฒ ์Šต๋‹ˆ๋‹ค.

#5 #6 #7 12 ์•Œ๋ฆฌ๋ฏธ๊ฐ€ ๋งŒ๋‚œ ์‚ฌ๋žŒ

ํฌ์Šคํ…์—์„œ ์˜ค๋žซ๋™์•ˆ ๊ณต๋ถ€ํ•˜๋ฉฐ ์–ป์€ ์•„์ด๋””์–ด๋ฅผ ๋ฐ”ํƒ•์œผ๋กœ ์—ฐ๊ตฌ์™€ ์ฐฝ์—…์—์„œ์˜ ์„ฑ๊ณผ๋ฅผ ๋ชจ๋‘ ์ด ๋ฃจ์‹  ๊ธˆ๋„ํฌ ์„ ๋ฐฐ๋‹˜. ์ธํ„ฐ๋ทฐ๋ฅผ ์ง„ํ–‰ํ•˜๋ฉด์„œ, ์ˆ˜๋งŽ์€ ์ง„๋กœ์˜ ๊ฐˆ๋ฆผ๊ธธ์— ์„  ์ €์—๊ฒŒ๋„ ์•ž์œผ๋กœ์˜ ๊ณ„ ํš์„ ์ง„์ง€ํ•˜๊ฒŒ ๊ณ ๋ฏผํ•ด ๋ณผ ์ˆ˜ ์žˆ๋Š” ์œ ์ตํ•˜๊ณ  ์†Œ์ค‘ํ•œ ์‹œ๊ฐ„์ด์—ˆ์Šต๋‹ˆ๋‹ค. ์—ฌ๋Ÿฌ๋ถ„๋„ ๊ณผ์—ฐ ๋ณธ์ธ๋งŒ์ด ๊ฐ€์งˆ ์ˆ˜ ์žˆ๋Š” ๋ฌด๊ธฐ๋Š” ๋ฌด์—‡์ผ์ง€ ๊ณ ๋ฏผํ•˜๊ณ , ๊ทธ๊ฒƒ์„ ๋ฐœํœ˜ํ•  ์ง„๋กœ ๋ถ„์•ผ๋ฅผ ์ฐพ์•„๋ณด์‹œ๋Š” ๊ฑด ์–ด๋–จ๊นŒ์š”? ๋ฐ”์˜์‹  ์™€์ค‘์—๋„ ํฌ์Šคํ…Œํ‚ค์•ˆ ๊ตฌ๋…์ž ์—ฌ๋Ÿฌ๋ถ„์„ ์œ„ํ•ด ์‹œ๊ฐ„์„ ๋‚ด ์ฃผ์‹  ๊ธˆ๋„ํฌ ์„ ๋ฐฐ๋‹˜๊ป˜ ๋‹ค์‹œ ํ•œ ๋ฒˆ ๊ฐ์‚ฌ์˜ ๋ง์”€์„ ์ „ํ•˜๋ฉฐ ๊ธ€์„ ๋งˆ์นฉ๋‹ˆ๋‹ค.

13

์‚ฐ๊ณจ์งœ๊ธฐ ์ง€ํ•˜ 1,000m์— ์„ธ์›Œ์ง„

๊ฐ•์›๋„
์˜ˆ๋ฏธ๋žฉ ๊ธ€ ๋ฐ˜๋„์ฒด๊ณตํ•™๊ณผ 23ํ•™๋ฒˆ 29๊ธฐ ์•Œ๋ฆฌ๋ฏธ ๊น€์„ธํ˜„ 14 ์•Œํ„ด์‹ญ : ์•Œ๋ฆฌ๋ฏธ์˜ ์ผ์ผ ์ธํ„ด ์ฒดํ—˜๊ธฐ!
๊ณผํ•™์ž๋“ค์˜ ๋†€์ดํ„ฐ
์ •์„ ๊ตฐ IBS

# โ€˜์˜ˆ๋ฏธ์‚ฐ ์•„๋ž˜ ์ง€ํ•˜ 1,000m ์‹คํ—˜์‹ค์—์„œ ์šฐ์ฃผ์˜ ๊ธฐ์›์„ ๋ฐํžˆ๋‹คโ€™, ๊ฐ•์›๋„ ์ •์„ ๊ตฐ ์˜ˆ๋ฏธ๋žฉ ์•ˆ๋…•ํ•˜์„ธ์š”, ํฌ์Šคํ…Œํ‚ค์•ˆ ๊ตฌ๋…์ž ์—ฌ๋Ÿฌ๋ถ„! ์•Œ๋ฆฌ๋ฏธ๊ฐ€ ๊ต๋‚ด์™ธ ์œ ๋ช… ๊ธฐ์—…

๋ฐ ์—ฐ๊ตฌ์‹ค์„ ํƒ๋ฐฉํ•˜๋Š” ์•Œํ„ด์‹ญ์ด ์—ด๋‘ ๋ฒˆ์งธ ์ด์•ผ๊ธฐ๋กœ ๋Œ์•„์™”์Šต๋‹ˆ๋‹ค. ํ˜น

์‹œ ์•”ํ‘๋ฌผ์งˆ1์— ๋Œ€ํ•ด ๋“ค์–ด๋ณธ ์  ์žˆ์œผ์‹ ๊ฐ€์š”? ์ €๋Š” ์ง€๊ตฌ๊ณผํ•™ ์‹œ๊ฐ„์— ์กด

์žฌ ์—ฌ๋ถ€๋„ ๋ถˆ๋ถ„๋ช…ํ•œ ๋ฐ๋‹ค๊ฐ€ ํŠน์„ฑ๋„ ์•Œ๋ ค์ง€์ง€ ์•Š์€ ์ฑ„ ์šฐ์ฃผ๋ฅผ ๊ฐ€๋“ ๋ฉ”

์šฐ๊ณ  ์žˆ๋Š” ๋ฌผ์งˆ์ด๋ผ๊ณ  ๋ฐฐ์› ๋˜ ๊ธฐ์–ต์ด ๋‚ฉ๋‹ˆ๋‹ค. ํ•œ๊ตญ๋„ 2003๋…„๋ถ€ํ„ฐ ์ง€

ํ•˜ 600m ์–‘์–‘ ์ง€ํ•˜์‹คํ—˜์‹ค์„ ํ™œ์šฉ, ์ด ๋ฏธ์ง€์˜ ๋ฌผ์งˆ์„ ํƒ์ƒ‰ํ•˜๊ธฐ ์œ„ํ•œ ์—ฐ

๊ตฌ๋ฅผ ์ˆ˜ํ–‰ํ•˜๊ณ  ์žˆ์—ˆ์Šต๋‹ˆ๋‹ค. ๊ทธ๋ฆฌ๊ณ  ์ตœ๊ทผ ๋” ํฐ ๊ทœ๋ชจ์˜ ์‹คํ—˜์„ ์œ„ํ•ด ์ง€ํ•˜ 1,000m์— ๊ฑฐ๋Œ€ ์ง€ํ•˜์‹คํ—˜์‹ค์ด ์„ค๋ฆฝ๋˜์—ˆ๋‹ค๊ณ  ํ•ฉ๋‹ˆ๋‹ค. ๋ฏธ์Šคํ„ฐ๋ฆฌํ•œ ๋ฌผ์งˆ

์„ ๋ฐœ๊ฒฌํ•˜๊ธฐ ์œ„ํ•ด ์‹คํ—˜์‹ค์„ ์ง“๊ณ  ์—ฐ๊ตฌํ•˜๊ณ  ๊ณ„์‹œ๋Š” ๋ถ„๋“ค์ด ์žˆ๋‹ค๋‹ˆ, ๋†€๋ž

์ง€ ์•Š์œผ์‹ ๊ฐ€์š”? ์ €์™€ ๋ฐ•๋‹คํ˜„ ์•Œ๋ฆฌ๋ฏธ๊ฐ€ ๊ฐ•์›๋„ ์ •์„ ๊ตฐ ์˜ˆ๋ฏธ๋žฉ์œผ๋กœ ์ง์ ‘

์ฐพ์•„๊ฐ€ ๋ณด์•˜์Šต๋‹ˆ๋‹ค!

# ์„ธ๋Œ€๋ฅผ ์ด์€ ์—ฐ๊ตฌ๊ฐ€ ์ง„ํ–‰๋˜๋‹ค

์ •์„ ๊ตฐ ์‹ ๋™์์€ ๊ณ ์ฆˆ๋„‰ํ•˜๊ณ  ๊ฒฝ์น˜๊ฐ€ ์˜ˆ์œ ์ž‘์€ ๋งˆ์„์ด์—ˆ๋Š”๋ฐ์š”. ๊ทธ ๊ณณ์—์„œ ์ €ํฌ๋ฅผ ์•ˆ๋‚ดํ•ด ์ฃผ์‹ค ์†Œ์ค‘ํ˜ธ ๋ฐ•์‚ฌ๋‹˜์„ ๋งŒ๋‚˜ ์˜ˆ๋ฏธ๋žฉ์œผ๋กœ ์ด๋™ํ–ˆ์Šต

๋‹ˆ๋‹ค. ์˜ˆ๋ฏธ๋žฉ์€ ์ง€์ƒ ์—ฐ๊ตฌ์†Œ์™€ ์ง€ํ•˜ ์—ฐ๊ตฌ์†Œ๋กœ ๋‚˜๋‰˜์–ด ์žˆ์Šต๋‹ˆ๋‹ค. ํ๊ต๋œ ํ•™๊ต๋ฅผ ๊ฐœ์กฐํ•˜์—ฌ ์ง€์ƒ ์—ฐ๊ตฌ์†Œ๋กœ ์‚ฌ์šฉํ•˜๊ณ  ์žˆ์—ˆ๋Š”๋ฐ์š”, ๊ทธ๊ณณ์—์„œ ์˜ˆ๋ฏธ๋žฉ

์˜ ๊นŠ์€ ์ด์•ผ๊ธฐ๋ฅผ ๋“ค์„ ์ˆ˜ ์žˆ์—ˆ์Šต๋‹ˆ๋‹ค. ๋Œ€ํ•œ๋ฏผ๊ตญ์˜ ์ฒœ์žฌ ๋ฌผ๋ฆฌํ•™์ž, ์ดํœ˜ ์†Œ ๋ฐ•์‚ฌ๋‹˜์„ ์•„์‹œ๋‚˜์š”? ๊ทธ๋Š” ๋ฌผ๋ฆฌํ•™์˜ ๋ถˆ๋ชจ์ง€์˜€๋˜ ๋Œ€ํ•œ๋ฏผ๊ตญ์—์„œ ํƒœ์–ด

๋‚˜ ๋ฌผ๋ฆฌํ•™ ๋ถ„์•ผ์—์„œ ๋งŽ์€ ์—…์ ์„ ๋‚จ๊ธฐ๊ณ  ์ „ ์„ธ๊ณ„์ ์œผ๋กœ ํฐ ์ธ์ •์„ ๋ฐ›์•˜

์Šต๋‹ˆ๋‹ค. ํŠนํžˆ ์•”ํ‘๋ฌผ์งˆ์˜ ํ›„๋ณด ์ค‘ ํ•˜๋‚˜์ธ WIMP2๋ฅผ ์ œ์•ˆํ–ˆ๋Š”๋ฐ์š”, ์ˆ˜์‹ญ ๋…„์ด ์ง€๋‚œ ์ง€๊ธˆ ๊ทธ์˜ ์ •์‹ ์„ ์ด์€ ์ œ์ž๋“ค์ด ์ด๊ณณ ์˜ˆ๋ฏธ๋žฉ์—์„œ WIMP์˜ ์กด

์žฌ๋ฅผ ์‹คํ—˜์ ์œผ๋กœ ์ฆ๋ช…ํ•˜๊ธฐ ์œ„ํ•œ ์—ฐ๊ตฌ๋ฅผ ์ง„ํ–‰ํ•˜๊ณ  ์žˆ์Šต๋‹ˆ๋‹ค. ๊ทธ๋Ÿฌ๋‹ˆ ์˜ˆ

๋ฏธ๋žฉ์€ ํ•ต์ž…์ž ๋ฌผ๋ฆฌํ•™ ์‹คํ—˜์˜ ๋ถˆ๋ชจ์ง€์—์„œ ์—ฌ๋Ÿฌ ๊ณผํ•™์ž๊ฐ€ ๊ฝƒํ”ผ์šด ์—ด์ •๊ณผ

๊ทธ ์ •์‹ ์ด ๊ณ ์Šค๋ž€ํžˆ ์ „ํ•ด์ ธ ๋‚ด๋ ค์˜ค๊ณ  ์žˆ๋Š” ๊ณณ์ด๋ผ ๋ณผ ์ˆ˜ ์žˆ๊ฒ ์ฃ ? ์†Œ์ค‘ํ˜ธ

๋ฐ•์‚ฌ๋‹˜๊ป˜์„œ๋Š” ์ž์‹ ๊ณผ ๊ฐ™์ด ๋ฌผ๋ฆฌ์— ํ‘น ๋น ์ง„ ์‚ฌ๋žŒ๋“ค์ด ์˜ˆ๋ฏธ๋žฉ์— ๋ชจ์—ฌ ๊ฐ

์ž์˜ ์—ฐ๊ตฌ์— ๋ชฐ๋‘ํ•œ๋‹ค๋ฉด ๋‹ค์Œ ์„ธ๋Œ€์—๋Š” ์„ธ๊ณ„๋ฅผ ๋†€๋ผ๊ฒŒ ํ•  ์—ฐ๊ตฌ ์„ฑ๊ณผ๊ฐ€

๋‚˜์˜ฌ ๊ฒƒ์ด๋ผ ํ™•์‹ ํ•˜์…จ๋Š”๋ฐ์š”, ์–ด์ฉŒ๋ฉด ์˜ˆ๋ฏธ๋žฉ์—์„œ ๋…ธ๋ฒจ์ƒ ์ˆ˜์ƒ์ž๊ฐ€ ๋‚˜์˜ฌ ์ง€๋„ ๋ชจ๋ฅด๊ฒ ์Šต๋‹ˆ๋‹ค. ์ด๋Ÿฌํ•œ ๋ถ„๋“ค์˜ ์• ์ •์ด ๊ฐ€๋“ ๋‹ด๊ธด ์‹คํ—˜์‹ค์„ ๋‘˜๋Ÿฌ๋ณธ๋‹ค ๊ณ  ์ƒ๊ฐํ•˜๋‹ˆ ์•ž์œผ๋กœ์˜ ์ผ์ •์ด ๋”์šฑ ๊ธฐ๋Œ€๋˜์ง€ ์•Š๋‚˜์š”?

1. ์šฐ์ฃผ ๋ฌผ์งˆ์˜ ์•ฝ 95% ๋ฅผ ์ฐจ์ง€ํ•˜

๋Š” ๊ฒƒ์œผ๋กœ ์ƒ๊ฐ๋˜๋Š” ๋ฌผ์งˆ ๊ฐ€์„ค์ƒ

์˜ ํ˜•ํƒœ (์•”ํ‘ ๋ฌผ์งˆ: 27%, ์•”ํ‘

์—๋„ˆ์ง€: 68%)

2. โ€˜Weakly Interacting Massive Particlesโ€™. ์—ฌ๋Ÿฌ ๊ฐ€์ง€ ์•”ํ‘ ๋ฌผ์งˆ

ํ›„๋ณด ์ค‘ ์œ ๋ ฅํ•œ ๋ฌผ์งˆ๋กœ ๋ณด๊ณ  ์žˆ๋Š”

์ดˆ๋Œ€์นญ ์ž…์ž

# COSINE ์•”ํ‘๋ฌผ์งˆ ํƒ์ƒ‰ ์‹คํ—˜๊ณผ AMoRE - II ์ค‘์„ฑ๋ฏธ์ž ํŠน์„ฑ ์‹คํ—˜ ๋“œ๋””์–ด ์ง€ํ•˜ ์‹คํ—˜์‹ค์„ ๋ฐฉ๋ฌธํ•ด ๋ณผ ์‹œ๊ฐ„์ž…๋‹ˆ๋‹ค. ์ง€ํ•˜ ์‹คํ—˜์‹ค์€ ์•„์ง

์šด์˜ ์ค‘์ธ ์ฒ ๊ด‘ ์†์— ์žˆ์—ˆ์Šต๋‹ˆ๋‹ค. ์ดˆ์† 4m๋กœ ์ด๋™ํ•˜๋Š” ์—˜๋ฆฌ๋ฒ ์ดํ„ฐ๋ฅผ ํƒ€๊ณ  2๋ถ„ 30์ดˆ๋ฅผ ๋‚ด๋ ค๊ฐ€๋ฉด ์˜ˆ๋ฏธ์‚ฐ ์ •์ƒ์œผ๋กœ๋ถ€ํ„ฐ 1,000m ์•„๋ž˜์— ์žˆ

๋Š” ์‹คํ—˜์‹ค ์ž…๊ตฌ๋กœ ์ง„์ž…ํ•  ์ˆ˜ ์žˆ์Šต๋‹ˆ๋‹ค. COSINE ์‹คํ—˜์€ ๋Š˜ ์šฐ๋ฆฌ ์ฃผ๋ณ€

์•Œํ„ด์‹ญ์ธ ๋ฐ˜๋„์ฒด๊ณตํ•™ ๊ณผ 2 3 ๋ฒˆํ•™ ๊ธฐ92 ํ˜„์„ธ๊น€๋ฏธ ํ„ด์ธ์‹ญํ„ด์•Œ x ํ•™์žฌ์€๋ฌด ๋ถ€ 2 3 ํ•™๋ฒˆ 29๊ธฐ์•Œ๋ฆฌ๋ฏธ๋ฐ•๋‹คํ˜„ 15

์„ ์ง€๋‚˜๋‹ค๋‹ˆ์ง€๋งŒ, ์ „ํ˜€ ๋ฐ˜์‘ํ•˜์ง€ ์•Š๋Š” ์•”ํ‘๋ฌผ์งˆ์ด ๊ฒ€

์ถœ๊ธฐ์˜ ์›์žํ•ต๊ณผ ์ถฉ๋Œํ•˜์—ฌ ๋‚จ๊ธฐ๋Š” ์‹ ํ˜ธ๋ฅผ ํฌ์ฐฉํ•˜๋Š” ์‹ค

ํ—˜์ธ๋ฐ์š”. ์ด ์‹คํ—˜์˜ ํ•ต์‹ฌ์€ ์šฐ์ฃผ๋กœ๋ถ€ํ„ฐ ์ง€์ƒ์— ๋„๋‹ฌ

ํ•˜๋Š” ๋ฎค์˜จ ์ž…์ž3๋ฅผ ์ฐจํํ•˜๋Š” ๊ฒƒ์ž…๋‹ˆ๋‹ค. ๋ฎค์˜จ ์ž…์ž๊ฐ€ ๊ฒ€

์ถœ๊ธฐ์— ๋„๋‹ฌํ•ด ์‹ ํ˜ธ๋ฅผ ๋ฐœ์ƒ์‹œํ‚ค๋ฉด ์•”ํ‘๋ฌผ์งˆ์— ์˜ํ•ด ๋ฐœ

์ƒํ•œ ์‹ ํ˜ธ์ธ์ง€ ๋ฎค์˜จ ์ž…์ž์— ์˜ํ•ด ๋ฐœ์ƒํ•œ ์‹ ํ˜ธ์ธ์ง€ ๋ถˆ

๋ถ„๋ช…ํ•ด์ง€๊ธฐ ๋•Œ๋ฌธ์ž…๋‹ˆ๋‹ค. ๊ทธ๋ž˜์„œ ์˜ˆ๋ฏธ๋žฉ์€ ์ž์—ฐ ์ง€ํ˜•์„

์ด์šฉํ•˜์—ฌ ๋ฎค์˜จ์„ ์ฐจํํ•ฉ๋‹ˆ๋‹ค. ํƒ„๊ด‘ ๊นŠ์ด๋งŒํผ์˜ ๋•…๊ณผ

๊ทธ ์œ„์— ์žˆ๋Š” ์˜ˆ๋ฏธ์‚ฐ์ด ์ด ์‹คํ—˜์‹ค์„ ๋ฎค์˜จ์œผ๋กœ๋ถ€ํ„ฐ ์ง€

์ผœ์ฃผ๊ณ  ์žˆ๋Š” ์…ˆ์ž…๋‹ˆ๋‹ค.

COSINE ์‹คํ—˜์‹ค ๋‚ด๋ถ€์—๋Š” ๋‚ฉ ๋ฒฝ๋Œ๋กœ ๋‘˜๋Ÿฌ์‹ธ์ธ ๊ตฌ์กฐ๋ฌผ

์ด ์žˆ๋Š”๋ฐ์š”, ๋‚ฉ ๋ฒฝ๋Œ ์•ˆ์—๋Š” ์—ฐ๊ตฌ์›๋ถ„๋“ค์ด ์ˆ˜์ž‘์—…์œผ๋กœ

๋งŒ๋“  WIMP ๊ฒ€์ถœ๊ธฐ๊ฐ€ ์žˆ์—ˆ์Šต๋‹ˆ๋‹ค. ๋ฐ•์‚ฌ๋‹˜๊ป˜์„œ๋Š” ์—ฐ๊ตฌ์†Œ

๋‚ด ์ˆ˜๋งŽ์€ ์žฅ๋น„๋“ค์„ ์ง์ ‘ ์ œ์ž‘ํ•˜๊ณ  ์žˆ๋‹ค๋ฉฐ ์ž๋ถ€์‹ฌ์„ ๋“œ

๋Ÿฌ๋‚ด์…จ์Šต๋‹ˆ๋‹ค. ์—ฌ๊ธฐ์„œ ๋†€๋ผ๊ธฐ๋Š” ์ด๋ฅธ๋ฐ์š”, ์ค‘์„ฑ๋ฏธ์ž์˜

์„ฑ์งˆ์„ ๊ทœ๋ช…ํ•˜๊ธฐ ์œ„ํ•œ AMoRE-II ์‹คํ—˜4์„ ์œ„ํ•œ ์„ค๋น„๋Š”

ํ›จ์”ฌ ๋Œ€๋‹จํ–ˆ์Šต๋‹ˆ๋‹ค.

์•Œํ„ด์‹ญ : ์•Œ๋ฆฌ๋ฏธ์˜ ์ผ์ผ ์ธํ„ด ์ฒดํ—˜๊ธฐ!

AMoRE-II ์‹คํ—˜์ด ์ง„ํ–‰๋˜๊ณ  ์žˆ๋Š” ์—ฐ๊ตฌ์‹ค์„ ์ฒ˜์Œ ๋“ค์–ด์„ฐ

์„ ๋•Œ ์••๋„์ ์ธ ์Šค์ผ€์ผ์— ๋†€๋ž„ ์ˆ˜๋ฐ–์— ์—†์—ˆ์Šต๋‹ˆ๋‹ค. ์ง€

ํ•˜ ๊นŠ์€ ๊ณณ์— ๋™๊ตด์ฒ˜๋Ÿผ ํฐ ๊ตฌ๋ฉ์„ ๋šซ๊ณ  ๋“ค์–ด์„  ๊ฑฐ๋Œ€ ์‹ค

ํ—˜์žฅ๋น„๋Š” ์›…์žฅํ–ˆ์Šต๋‹ˆ๋‹ค. AMoRE-II์—์„œ๋Š” ๊ทน์ €์˜จ ๊ฒ€์ถœ

๊ธฐ๋ฅผ ์ด์šฉํ•˜์—ฌ 100Mo 5์˜ ์ด์ค‘๋ฒ ํƒ€๋ถ•๊ดด 6 ํ˜„์ƒ์„ ๊ด€์ธกํ•ฉ ๋‹ˆ๋‹ค. ์ด๊ณณ์—์„œ๋„ ๋ฎค์˜จ๊ณผ์˜ ์‹ธ์›€์€ ๊ณ„์†๋˜๋Š”๋ฐ์š”, ๊ฑฐ๋Œ€ ํ•œ ๊ฒ€์ถœ ์žฅ๋น„ ์œ„๋กœ๋Š” ์ˆœ๋„ 100%์˜ ๋ฌผ์ด ๋ฎค์˜จ ์‹ ํ˜ธ๋ฅผ ๊ฑธ

๋Ÿฌ ์ค‘์„ฑ์ž ์‹ ํ˜ธ๋ฅผ ๋ง‰์•„์ฃผ๊ณ  ์žˆ์—ˆ์Šต๋‹ˆ๋‹ค. ๊ทธ๋ฟ๋งŒ ์•„๋‹ˆ๋ผ ํ”Œ๋ผ์Šคํ‹ฑ ๋ฒฝ์œผ๋กœ ์žฅ๋น„๋ฅผ ํ•œ๋ฒˆ ๋‘˜๋Ÿฌ์‹ธ๊ณ , ์ด๋กœ๋„ ๋ถ€์กฑํ•ด ์—ฐ๊ตฌ์ง„๋“ค์ด ์ง์ ‘ ์ œ์ž‘ํ•œ ๋ฎค์˜จ ๊ฒ€์ถœ๊ธฐ๋ฅผ ๊ทธ ๊ฒ‰์œผ๋กœ ํ•œ ๋ฒˆ ๋” ๋‘˜๋Ÿฌ์‹ธ ์žก์Œ์„ ์ œ๊ฑฐํ•˜๋Š” ์—ญํ• ์„ ํ•˜๊ณ  ์žˆ๋‹ต๋‹ˆ๋‹ค.

4m ๋†’์ด์˜ ๊ทน์ €์˜จ ํƒฑํฌ๋ฅผ ์šด๋ฐ˜ํ•˜๊ธฐ ์œ„ํ•ด ์„ค์น˜๋œ ๊ฑฐ๋Œ€ ์—˜๋ฆฌ๋ฒ ์ดํ„ฐ๋„ ์žˆ์—ˆ๋Š”๋ฐ์š”, ์‹คํ—˜์ด ๋ณธ๊ฒฉ์ ์œผ๋กœ ์‹œ์ž‘๋˜๊ธฐ ์ „์ด๋ผ ์—˜๋ฆฌ๋ฒ ์ดํ„ฐ์— ํƒ„ ์ฑ„๋กœ ์‹คํ—˜์žฅ๋น„ ๋‚ด๋ถ€์— ๋“ค์–ด๊ฐ€ ๋ณผ ์ˆ˜ ์žˆ์—ˆ์Šต๋‹ˆ๋‹ค. ์•ˆ์—์„œ ๋ฐ”๋ผ๋ณด๋‹ˆ ์‹คํ—˜์žฅ๋น„์˜ ์›…์žฅํ•จ ๊ณผ ์ด ๋ชจ๋“  ๊ฒƒ๋“ค์„ ์ง์ ‘ ์ œ์ž‘ํ–ˆ์„ ์—ฐ๊ตฌ์ง„ ๋ถ„๋“ค์˜ ๋…ธ๊ณ ๋ฅผ ๊ณ ์Šค๋ž€ํžˆ ๋А๋‚„ ์ˆ˜ ์žˆ์—ˆ์Šต๋‹ˆ๋‹ค.

3. ์ „์ž์™€ ๊ฐ™์ด ๊ฒฝ์ž…์ž๋กœ ๋ถ„๋ฅ˜๋˜๋Š” ๊ธฐ๋ณธ ์ž…์ž ์ค‘ ํ•˜๋‚˜. ์ „์ž์™€ ๊ฐ™์ด ์ „ํ•˜๊ฐ€ -e์ด๋ฉฐ ์Šคํ•€์€ 1/2์ด์ง€ ๋งŒ, ์ „์ž๋ณด๋‹ค ํฐ ์งˆ๋Ÿ‰์„ ๊ฐ€์ง

4. AMoRE(Advanced Mo-based rare process experiment), ๋ชฐ๋ฆฌ ๋ธŒ๋ฐ๋„˜์˜ ํŠน๋ณ„ํ•œ ๋ถ•๊ดด ํ˜„์ƒ์„ ์ธก ์ •ํ•˜์—ฌ ์ค‘์„ฑ๋ฏธ์ž์˜ ๋ฏธ์ง€ ์„ฑ์งˆ์„ ๊ทœ๋ช…ํ•˜๋Š” ๊ฒƒ์„ ๋ชฉํ‘œ๋กœ ํ•˜๋Š” ์‹คํ—˜

5. ๋ชฐ๋ฆฌ๋ธŒ๋ฐ๋„˜-100, ๋™์œ„์›์†Œ๋กœ ์จ ์ž์—ฐ์— 9.6% ์กด์žฌํ•˜๊ณ  ์žˆ๋‹ค.

AMoRE ์‹คํ—˜์—์„œ๋Š” 96% ์ด์ƒ ๋†์ถ•ํ•˜์—ฌ ์‚ฌ์šฉ ์ค‘

6. ๋ฒ ํƒ€ ๋ถ•๊ดด๊ฐ€ ํ•œ๊บผ๋ฒˆ์— ๋‘ ๋ฒˆ ์ผ ์–ด๋‚˜๋Š” ๊ณผ์ •. ๋ฒ ํƒ€ ๋ถ•๊ดด ๊ณผ์ •์—

์„œ ํ•ต ๋‚ด๋ถ€์˜ ๋˜ ๋‹ค๋ฅธ ์ค‘์„ฑ์ž๊ฐ€ ์–‘์„ฑ์ž๋กœ ๋ณ€ํ•จ๊ณผ ๋™์‹œ์— ์ „์ž ๋ฐ ๋ฐ˜์ค‘์„ฑ๋ฏธ์ž๋ฅผ ๋ฐฉ์ถœํ•˜๋ฉฐ, ๋ถˆ์•ˆ์ • ํ•œ ํ•ต์ด ๋ถ•๊ดดํ•˜๋Š” ํ˜„์ƒ

16

# ์˜ˆ๋ฏธ๋žฉ, ๊ณผํ•™์ž๋“ค์˜ ๋†€์ดํ„ฐ๊ฐ€ ๋˜๋‹ค

์˜ˆ๋ฏธ๋žฉ์€ ์ง€๊ธˆ ๊ณผํ•™์ž๋“ค์˜ ๋†€์ดํ„ฐ๊ฐ€ ๋˜์–ด๊ฐ€๊ณ  ์žˆ์Šต๋‹ˆ๋‹ค. ๊ธฐ

์ƒ์ฒญ์—์„œ๋Š” ์˜ˆ๋ฏธ๋žฉ์ด ๋ฏธ์ฒ˜ ์™„๊ณต๋˜๊ธฐ๋„ ์ „๋ถ€ํ„ฐ ๋‹ฌ๋ ค์™€ ์ง€์ง„ํŒŒ ์ธก

์ • ์‹คํ—˜์„ ์ง„ํ–‰ํ–ˆ์Šต๋‹ˆ๋‹ค. ๊ทธ๋ฟ๋งŒ ์•„๋‹ˆ๋ผ ์—˜๋ฆฌ๋ฒ ์ดํ„ฐ๊ฐ€ ๋‚ด๋ ค๊ฐ€๋Š”

์ˆ˜์ง ๊ณต๊ฐ„์—์„œ ์บก์А์„ ์ž์œ  ๋‚™ํ•˜์‹œ์ผœ ๋ฌด์ค‘๋ ฅ ์ƒํƒœ์—์„œ ์•ฝ๋ฌผ์˜

์ž‘์šฉ์„ ์‹คํ—˜ํ•˜๋Š” ์—ฐ๊ตฌํŒ€๋„ ๋“ค์–ด์™€ ์žˆ์Šต๋‹ˆ๋‹ค. ๋‹ฌ ํƒ์‚ฌ์„ ์˜ ์„ฑ๋Šฅ

์„ ํ™•์ธํ•˜๊ธฐ ์œ„ํ•ด ๋™๊ตด ๊ธธ์— ๋‹ฌ๊ณผ ๋น„์Šทํ•œ ํ™˜๊ฒฝ์„ ์กฐ์„ฑํ•ด ์ž„๋ฌด ์ˆ˜

ํ–‰ ๋Šฅ๋ ฅ์„ ํ™•์ธํ•˜๋Š” ์‹คํ—˜๋„ ์ง„ํ–‰ํ•œ ๋ฐ” ์žˆ์Šต๋‹ˆ๋‹ค. ๊ฒŒ๋‹ค๊ฐ€ ๊ธฐ์—…์ด

์•„๋‹Œ ๋Œ€ํ•™ ์†Œ์†์˜ ์—ฐ๊ตฌ์‹ค์ด๋ผ๋ฉด ๋ฌด์ƒ์œผ๋กœ ์˜ˆ๋ฏธ๋žฉ์˜ ๊ณต๊ฐ„์„ ์ œ๊ณต

ํ•ด ์ฃผ๊ณ  ์žˆ๋‹ค๊ณ  ํ•˜๋„ค์š”!

์•„์ง ์‹คํ—˜์žฅ๋น„๊ฐ€ ๋“ค์–ด์„œ์ง€ ์•Š์€ ์ฑ„ ๋‚จ๊ฒจ์ง„ ์˜ˆ๋น„ ์‹คํ—˜์‹ค ๊ณต๊ฐ„๋„

๋ฐฉ๋ฌธํ•ด ๋ณด์•˜๋Š”๋ฐ์š”. ๋†’์ด๊ฐ€ ๋ช‡์‹ญ ๋ฏธํ„ฐ๋Š” ๋˜์–ด ๋ณด์ธ ์ด๊ณณ์€ ์•„๋ฆ„

๋‹ค์šด ๊ณต๊ฐ„์  ๋ถ„์œ„๊ธฐ ๋•์— ์˜ํ™” ์ดฌ์˜์ด ์ง„ํ–‰๋˜๊ธฐ๋„ ํ–ˆ๋‹ค๊ณ  ํ•ฉ๋‹ˆ๋‹ค.

์ €์™€ ๋ฐ•๋‹คํ˜„ ์•Œ๋ฆฌ๋ฏธ๋„ ์ด๊ณณ์—์„œ ์ ˆ๋ฌ˜ํ•œ ์ธ์ƒ์ƒท์„ ๊ฑด์กŒ๋Š”๋ฐ์š”.

์˜ˆ๋ฏธ๋žฉ์€ ๊ณผํ•™์ž๋ฟ๋งŒ ์•„๋‹ˆ๋ผ ๋ฌธํ™”, ์˜ˆ์ˆ  ์—ญ์‹œ ๊ณต์กดํ•  ์ˆ˜ ์žˆ๋Š”

๊ณต๊ฐ„์œผ๋กœ ๋‚˜์•„๊ฐ€๋Š” ๊ฒƒ์ด ์ตœ์ข… ๋ชฉํ‘œ๋ผ๊ณ  ํ•ฉ๋‹ˆ๋‹ค.

# ์ข‹์•„์„œ ํ•˜๋Š” ๋ฌผ๋ฆฌ

์†Œ์ค‘ํ˜ธ ๋ฐ•์‚ฌ๋‹˜์˜ ๋ฌผ๋ฆฌ์— ๋Œ€ํ•œ ๊ฟˆ์€ ์•„์ฃผ ์–ด๋ฆด ๋•Œ๋ถ€ํ„ฐ ์‹œ์ž‘๋

์Šต๋‹ˆ๋‹ค. ์–ธ์ œ๋ถ€ํ„ฐ ๋ฌผ๋ฆฌ๋ฅผ ์ข‹์•„ํ•˜์…จ๋А๋ƒ๋Š” ์งˆ๋ฌธ์— โ€œ์ •์‹  ์ฐจ๋ ค๋ณด

๋‹ˆ ์ €๋Š” ๋ฌผ๋ฆฌํ•™์„ ๊ณต๋ถ€ํ•˜๊ณ  ์žˆ์—ˆ๊ณ , ๋‹ค์‹œ ํ•œ๋ฒˆ ์ •์‹  ์ฐจ๋ ค๋ณด๋‹ˆ

๋ฌผ๋ฆฌํ•™๊ณผ์— ์ง„ํ•™ํ•ด ํ•ด์™ธ์—์„œ ๋ฐ•์‚ฌ ํ›„ ์—ฐ๊ตฌ๊ณผ์ •์„ ํ•˜๊ณ  ์žˆ์—ˆ๊ณ , ๋งˆ์ง€๋ง‰์œผ๋กœ ์ •์‹ ์„ ์ฐจ๋ ค๋ณด๋‹ˆ ์ด๊ณณ ์˜ˆ๋ฏธ๋žฉ์— ์žˆ์—ˆ์Šต๋‹ˆ๋‹ค.โ€

๋ผ๊ณ  ํ•˜์…จ์Šต๋‹ˆ๋‹ค. ๋ฐ•์‚ฌ๋‹˜๊ป˜์„œ๋Š” ์˜ˆ๋ฏธ๋žฉ์€ ๋ฌดํ•œํ•œ ๊ฐ€๋Šฅ์„ฑ์„ ๊ฐ€์ง€

๊ณ  ์žˆ์œผ๋ฉฐ ํ•  ๊ฒƒ์ด ๋„˜์ณ๋‚˜๋Š” ๊ณณ์ด๋ผ ๊ฐ•์กฐํ•˜์…จ์Šต๋‹ˆ๋‹ค. ๋ฐ•์‚ฌ๋‹˜๊ป˜

์„œ๋Š” โ€œ์˜ˆ๋ฏธ๋žฉ์ด ๊ณผํ•™์ž๋“ค์„ ์œ„ํ•œ ๋†€์ดํ„ฐ๊ฐ€ ๋˜๊ธฐ๋ฅผ ๋ฐ”๋ž๋‹ˆ๋‹ค.โ€

๋ผ๋ฉฐ ์˜ˆ๋ฏธ๋žฉ์˜ ๋น„์ „์„ ๋ฐํ˜€ ์ฃผ์…จ์Šต๋‹ˆ๋‹ค. ์ €ํฌ ์•Œ๋ฆฌ๋ฏธ๊ฐ€ ๋ฐฉ๋ฌธํ•œ

์˜ˆ๋ฏธ๋žฉ์˜ ๋ชจ์Šต์€ ์ด๋ฏธ ๋†€์ดํ„ฐ์™€ ๋‹ค๋ฆ„์—†์—ˆ์Šต๋‹ˆ๋‹ค. ๊ทธ๋ฆฌ๊ณ  ์˜ˆ๋ฏธ

๋žฉ์„ ๋‘˜๋Ÿฌ๋ณด๊ณ  ๋‚œ ์ง€๊ธˆ์€ ๋” ๋งŽ์€ ์‚ฌ๋žŒ์ด ์˜ˆ๋ฏธ๋žฉ์— ๋Œ€ํ•œ ๊ด€์‹ฌ๊ณผ

์• ์ •์„ ์Ÿ๊ธธ ๋ฐ•์‚ฌ๋‹˜๊ณผ ํ•จ๊ป˜ ๋ฐ”๋ผ๊ฒŒ ๋˜์—ˆ์Šต๋‹ˆ๋‹ค.

์˜ˆ๋ฏธ๋žฉ์— ๋Œ€ํ•œ ์†Œ์ค‘ํ˜ธ ๋ฐ•์‚ฌ๋‹˜์˜ ์• ์ •์€ ๋Œ€๋‹จํ–ˆ์Šต๋‹ˆ๋‹ค. ์ธํ„ฐ๋ทฐ๋ฅผ

ํ•˜๋ฉด์„œ ์ €๋„ ์ œ๊ฐ€ ์—ฐ๊ตฌํ•˜๊ณ  ์žˆ๋Š” ๊ณณ์„ ์ง„์‹ฌ์œผ๋กœ ์‚ฌ๋ž‘ํ•  ์ˆ˜ ์žˆ๋Š”

๊ณผํ•™์ž๊ฐ€ ๋˜๊ณ  ์‹ถ๋‹ค๋Š” ์ƒ๊ฐ์ด ๋“ค์—ˆ์Šต๋‹ˆ๋‹ค. ์—ฌ๋Ÿฌ๋ถ„์ด ๊ธ€์„ ์ฝ๊ณ  ์žˆ

๋Š” ์ง€๊ธˆ, ์ด ์ˆœ๊ฐ„์—๋„ ์˜ˆ๋ฏธ๋žฉ์—์„œ๋Š” ์ค‘์„ฑ๋ฏธ์ž์™€ ์•”ํ‘๋ฌผ์งˆ์˜ ๋น„๋ฐ€

์„ ๋ฐํžˆ๊ธฐ ์œ„ํ•œ ๋ฌผ๋ฆฌํ•™์ž๋“ค์˜ ์—ด์ •์ด ๋ถˆํƒ€๊ณ  ์žˆ์Šต๋‹ˆ๋‹ค. ์—ฌ๋Ÿฌ๋ถ„๋„

๋ฏธ๋ž˜์˜ ํฌ์Šคํ…Œํ‚ค์•ˆ์ด ๋˜์–ด ์ž์‹ ์ด ์‚ฌ๋ž‘ํ•˜๋Š” ์—ฐ๊ตฌ์‹ค์—์„œ, ์ž์‹ ์ด

์‚ฌ๋ž‘ํ•˜๋Š” ์—ฐ๊ตฌ๋ฅผ ํ•  ์ˆ˜ ์žˆ๋Š” ์‚ฌ๋žŒ์ด ๋˜์–ด ๋ณด๋Š” ๊ฒƒ์€ ์–ด๋–จ๊นŒ์š”?

์•Œ๋ฆฌ๋ฏธ๋“ค์˜ ์ผ์ผ ์ธํ„ด ์ฒดํ—˜๊ธฐ, 8์›” 2์ผ์— ๊ณต๊ฐœ๋ฉ๋‹ˆ๋‹ค! 17

๊ณ ๋“ฑํ•™์ƒ ๊ธฐ์ž๋‹จ ํฌ์ปค์Šค 11๊ธฐ ์˜ค๋ช…์ฒ 

๊ต์ˆ˜๋‹˜์„ ๋งŒ๋‚˜๋‹ค!

๊ต์ˆ˜๋‹˜๊ป˜์„œ๋Š” ์–ธ์ œ, ์–ด๋–ป๊ฒŒ ๋ฐ˜๋„์ฒด ๋ถ„์•ผ์— ๊ด€์‹ฌ์„ ๊ฐ–๊ฒŒ ๋˜์…จ๋‚˜์š”?

์ œ ์ƒ๊ฐ์—๋Š” ํ•™๋ถ€ ๋•Œ ๊ด€์‹ฌ์„ ๊ฐ–๊ฒŒ ๋œ ๊ฒƒ ๊ฐ™์•„์š”.

ํŠธ๋žœ์ง€์Šคํ„ฐ์— ๋Œ€ํ•ด ๋ฐฐ์šฐ๊ฒŒ ๋˜์—ˆ๋Š”๋ฐ ํŠธ๋žœ์ง€์Šคํ„ฐ๋กœ

๊ฒŒ์ดํŒ… ์†Œ์ž๋ฅผ ๋งŒ๋“ค๊ณ , ๊ฒฐ๊ตญ์—๋Š” ์ปดํ“จํ„ฐ๊นŒ์ง€ ๋งŒ๋“ค๊ฒŒ

๋˜๊ฑฐ๋“ ์š”. ์ปดํ“จํ„ฐ๋ฅผ ๋งŒ๋“œ๋Š” ๊ฒƒ๊นŒ์ง€ ํ•˜๊ณ  ๋‚˜๋‹ˆ,

์ง€๊ธˆ๊นŒ์ง€ ์ธ๋ฅ˜๊ฐ€ ์Œ“์•„์˜จ ๊ธฐ์ˆ ์ด ๋Œ€๋‹จํ•˜๋‹ค๋Š” ์–ด๋–ค

๊ฒฝ์™ธ๊ฐ์„ ๋А๋ผ๊ฒŒ ๋˜๋ฉด์„œ ๊ด€์‹ฌ์„ ๊ฐ€์ง„ ๊ฒƒ ๊ฐ™์Šต๋‹ˆ๋‹ค.

๊ต์ˆ˜๋‹˜๊ป˜์„œ ์—ฐ๊ตฌํ•˜๊ณ  ๊ณ„์‹œ๋Š” ์ €์ฐจ์› ๋ฐ˜๋„์ฒด๊ฐ€ ๋ฌด์—‡์ธ์ง€, ๊ธฐ์กด ๋ฐ˜๋„์ฒด์™€ ๋ฌด์Šจ ์ฐจ์ด์ ์ด ์žˆ๋Š”์ง€ ๊ถ๊ธˆ ํ•ฉ๋‹ˆ๋‹ค.

์ œ๊ฐ€ ์—ฐ๊ตฌํ•˜๊ณ  ์žˆ๋Š” ๋ฐ˜๋„์ฒด๋Š” ์ •ํ™•ํžˆ๋Š” 2์ฐจ์› ๋ฐ˜๋„์ฒด์ž…๋‹ˆ๋‹ค. 2์ฐจ์› ๋ฐ˜๋„์ฒด๋Š” ์›์ž ํ•œ ์ธต ํ˜น์€

์—ฌ๋Ÿฌ ์ธต์œผ๋กœ ์ด๋ฃจ์–ด์ง„ ๋ฐ˜๋„์ฒด ๋ฌผ์งˆ์ž…๋‹ˆ๋‹ค. ๊ทธ๋ž˜ํ•€, ํ‘๋ฆฐ๊ณผ ๊ฐ™์€ 2์ฐจ์› ๋ฌผ์งˆ์€ ์ „๊ธฐ์ „๋„์„ฑ์ด ๋งค์šฐ ๋†’๊ณ , ์–‡์œผ๋ฉฐ ๋‹จ๋‹จํ•œ ํŠน์„ฑ ๋•๋ถ„์— ํˆฌ๋ช…ํ•˜๊ณ , ์œ ์—ฐํ•œ ์†Œ์ž๋ฅผ

๋งŒ๋“ค ์ˆ˜ ์žˆ๊ฒŒ ๋ฉ๋‹ˆ๋‹ค. ๊ฒŒ๋‹ค๊ฐ€ 2์ฐจ์› ๋ฐ˜๋„์ฒด๋Š” ๊ธฐ์กด

๋ฐ˜๋„์ฒด ์†Œ์ž์˜ ๋ฌธ์ œ์ ์„ ํ•ด๊ฒฐํ•  ์ˆ˜๋„ ์žˆ์Šต๋‹ˆ๋‹ค.

๊ธฐ์กด์˜ ๋ฐ˜๋„์ฒด ์†Œ์ž๋Š” ๊ณต์ •์ด ๋ฐœ์ „ํ•˜๋ฉด์„œ ํ”ผ์น˜1๋ฅผ ์ˆ˜

๋‚˜๋…ธ๋ฏธํ„ฐ ํฌ๊ธฐ๊นŒ์ง€ ์ค„์ผ ์ˆ˜ ์žˆ๊ฒŒ ๋˜์—ˆ์ง€๋งŒ, ํ”ผ์น˜๊ฐ€

์ผ์ • ์ˆ˜์ค€๋ณด๋‹ค ์ž‘์•„์ง€๋ฉด Short Channel Effect๊ฐ€

๋ฐœ์ƒํ•˜์—ฌ ์›ํ•˜์ง€ ์•Š๋Š” ์ „๋ฅ˜๊ฐ€ ๋‹ค๋ฅธ ๊ณณ์œผ๋กœ ํ๋ฅด๊ฑฐ๋‚˜,

์ „๋ฅ˜๊ฐ€ ํ†ต์ œ๋˜์ง€ ์•Š๋Š” ์‹ ๋ขฐ์„ฑ์˜ ๋ฌธ์ œ๊ฐ€ ์ƒ๊น๋‹ˆ๋‹ค.

์—ฌ๊ธฐ์„œ ์ œ๊ฐ€ ์—ฐ๊ตฌํ•˜๊ณ  ์žˆ๋Š” ๊ฒƒ์ด 2์ฐจ์› ๋ฐ˜๋„์ฒด๋ฅผ

ํ†ตํ•ด ์ด๋Ÿฌํ•œ ๋ฌธ์ œ์ ์„ ํ•ด๊ฒฐํ•˜๋Š” ๊ฒƒ์ž…๋‹ˆ๋‹ค.

๊ธ€ ์˜ฅ๋น›๊ณ ๋“ฑํ•™๊ต 2ํ•™๋…„ ์ด์ˆ˜๋ฏผ 1. ๋ฐ˜๋„์ฒด ์นฉ์—์„œ ํŒจํ„ด์˜ ์‚ฌ์ด์ฆˆ์™€ ํŒจํ„ด ์‚ฌ์ด์˜ ๊ณต๊ฐ„์„ ํ•ฉ์นœ ๊ธธ์ด๋กœ, ํŒจํ„ด ์˜ ๋‹จ์œ„ ๊ธธ์ด๋ฅผ ๋งํ•จ Q Q A A 18 ๊ณ ๋“ฑํ•™์ƒ ๊ธฐ์ž๋‹จ ํฌ์ปค์Šค

์•ˆ๋…•ํ•˜์„ธ์š”! ํฌ์ปค์Šค 11๊ธฐ ์˜ฅ๋น›๊ณ ๋“ฑํ•™๊ต 2ํ•™๋…„ ์ด์ˆ˜๋ฏผ์ž…๋‹ˆ๋‹ค. ์ €๋Š” ๊ธฐ์ดˆ๊ณผํ•™์—ฐ๊ตฌ์› IBS์—์„œ ๋ฐ˜๋ฐ๋ฅด๋ฐœ์Šค ๋ฌผ์งˆ์„ ํ™œ์šฉํ•œ 2์ฐจ์› ๋ฐ˜๋„์ฒด๋ฅผ ์—ฐ๊ตฌํ•˜๊ณ  ๊ณ„์‹œ๋Š” ๋ฐ˜๋„์ฒด๊ณตํ•™๊ณผ ์˜ค๋ช…์ฒ  ๊ต์ˆ˜๋‹˜๊ณผ์˜ ์ธํ„ฐ๋ทฐ๋ฅผ ์ง„ํ–‰ํ–ˆ์Šต๋‹ˆ๋‹ค. ๋ชจ๋“  ์ธํ„ฐ๋ทฐ ๋‚ด์šฉ์„ ๋‹ด์ง€๋Š” ๋ชปํ–ˆ์ง€๋งŒ, ์˜์ƒ์— ๋‹ด๊ธฐ์ง€ ๋ชปํ•œ ํฅ๋ฏธ๋กœ์šด ๋‚ด์šฉ๋“ค์„ ์„ ์ •ํ•ด ๋‹ด์•„๋ดค์Šต๋‹ˆ๋‹ค!

๊ต์ˆ˜๋‹˜์˜ ์—ฐ๊ตฌ๋ฅผ ์กฐ์‚ฌํ•˜๋‹ค ๋ณด๋‹ˆ, 2์ฐจ์› ์žฌ๋ฃŒ

์‚ฌ์ด์˜ ๋’คํ‹€๋ฆฐ ๊ฐ๋„๊ฐ€ ๋ฌผ์งˆ์˜ ์ „๊ธฐ์ „๋„์„ฑ์— ์ฃผ๋Š”

๋ณ€ํ™”์— ๊ด€ํ•œ ์—ฐ๊ตฌ์ธ โ€˜Twistronicsโ€™์— ๊ด€์‹ฌ์„ ๊ฐ–๊ฒŒ ๋˜์—ˆ์Šต๋‹ˆ๋‹ค. ์–ด๋– ํ•œ ์›๋ฆฌ๋กœ ๋‘ ์ธต์˜ ๊ทธ๋ž˜ํ•€์ด ์ด๋ฃจ๋Š” ๊ฐ์— ๋”ฐ๋ผ ๋ฌผ์„ฑ์ด ๊ธ‰๋ณ€ํ•  ์ˆ˜ ์žˆ๋Š” ๊ฒƒ์ธ๊ฐ€์š”?

2์ฐจ์› ๋ฌผ์งˆ ๋‘ ์ธต์„ ์‚ด์ง ๋’คํ‹€๋ ค์„œ ๊ฒน์น˜๋ฉด ์ƒˆ๋กœ ์šด ์ฃผ๊ธฐ์ ์ธ ์ดˆ๊ฒฉ์ž๊ฐ€ ๋‚˜ํƒ€๋‚˜๊ณ , ์ƒˆ๋กœ์šด ์ดˆ๊ฒฉ์ž๋ฅผ

๋”ฐ๋ผ์„œ ๋ฌผ๋ฆฌ์ ์œผ๋กœ ์ „๊ธฐ์  ํผํ…์…œ์ด ๋งŒ๋“ค์–ด์ง€๊ฒŒ

๋ฉ๋‹ˆ๋‹ค. ์ฆ‰ ๋ฐด๋“œ ๊ตฌ์กฐ๊ฐ€ ๊ธฐ์กด ๋ฌผ์งˆ๊ณผ ์™„์ „ํžˆ ๋‹ฌ๋ผ์ง‘

๋‹ˆ๋‹ค. ์ด๋Ÿฐ ๋ฐฉ์‹์„ ํ†ตํ•ด ์ด๋ก ์ ์œผ๋กœ๋งŒ ์กด์žฌํ•  ์ˆ˜ ์žˆ๋Š”

๋ฐด๋“œ ๊ตฌ์กฐ๋ฅผ ์ธ๊ณต์ ์œผ๋กœ ์กฐ์ž‘ํ•ด์„œ ๋งŒ๋“ค์–ด ๋‚ผ ์ˆ˜ ์žˆ๋Š” ๊ฑฐ์˜ˆ์š”. ์ด๋ ‡๊ฒŒ ๋˜๋ฉด ๋ฌผ์งˆ ์•ˆ์—์„œ์˜ ์ „์ž ๊ฐ„ ์ƒํ˜ธ

์ž‘์šฉ์„ ์กฐ์ ˆํ•  ์ˆ˜ ์žˆ๊ณ , ๋ฐด๋“œ์˜ ์œ„์ƒํ•™์  ๊ตฌ์กฐ๋„ ๋ณ€ํ˜•์‹œํ‚ฌ ์ˆ˜ ์žˆ์Šต๋‹ˆ๋‹ค. ๊ทธ๋Ÿฌ๋ฉด ์ดˆ์ „๋„ ํ˜„์ƒ, ์œ„์ƒํ•™ ์  ์ ˆ์—ฐ์ฒด ์ƒํƒœ๋“ค์ด ๋งŒ๋“ค์–ด์งˆ ์ˆ˜ ์žˆ๊ณ , ์ด ์ƒํƒœ๋“ค์„ ์ „๊ธฐ์‹ ํ˜ธ๋ฅผ ์ด์šฉํ•˜์—ฌ ๋„˜๋‚˜๋“ค ์ˆ˜ ์žˆ์Šต๋‹ˆ๋‹ค. ๋ง ๊ทธ๋Œ€๋กœ โ€œ์ „์••์„ ์–ด๋–ป๊ฒŒ ๊ฑฐ๋А๋ƒโ€์— ๋”ฐ๋ผ ์ดˆ์ „๋„์ฒด, ์ ˆ์—ฐ์ฒด, ๊ฐ•์ž์„ฑ์ฒด, ๊ฐ•์œ ์ „์ฒด ์ค‘ ๋ฌด์—‡์ด ๋  ๊ฒƒ์ธ์ง€๋ฅผ ์กฐ์ ˆํ•  ์ˆ˜ ์žˆ๊ฒŒ ๋˜๋Š” ๊ฒ๋‹ˆ๋‹ค.

Q A 19

๊ธฐ์กด 2์ฐจ์› ๋ฐ˜๋„์ฒด์˜ ๋‹จ์ ์„ ๋ณด์™„ํ•˜๊ธฐ ์œ„ํ•ด ๋ฐ˜๋ฐ

๋ฅด๋ฐœ์Šค ์ด์ข… ๊ตฌ์กฐ ์†Œ์ž๋ฅผ ์ œ์ž‘ํ•˜๊ณ  ๊ณ„์‹  ๊ฒƒ์œผ๋กœ ์•Œ๊ณ 

์žˆ์Šต๋‹ˆ๋‹ค. ๋ฐ˜๋ฐ๋ฅด๋ฐœ์Šค ์ด์ข… ๊ตฌ์กฐ๊ฐ€ ๋ฌด์—‡์ด๋ฉฐ, ์™œ ํ•„์š” ํ•œ ๊ฒƒ์ธ๊ฐ€์š”?

2 ์ฐจ์› ๋ฐ˜๋„์ฒด์˜ ๋‹จ์ ์„ ๋ณด์™„ํ•˜๊ธฐ ์œ„ํ•ด์„œ๋ผ๊ธฐ

๋ณด๋‹ค๋Š” 2์ฐจ์› ๋ฐ˜๋„์ฒด ์†Œ์žฌ์˜ ๊ฐ€๋Šฅ์„ฑ์„ ์—ด๊ธฐ ์œ„ํ•ด ์ด์ข…

๊ตฌ์กฐ2๋ฅผ ์ œ์ž‘ํ•˜๊ณ  ์žˆ์Šต๋‹ˆ๋‹ค. ์ดˆ๊ฒฉ์ž๋ฅผ ์ธ๊ณต์ ์œผ๋กœ ์ œ

์ž‘ํ•˜๊ณ  ์–ด๋–ค ํ˜„์ƒ์ด ์žˆ๋Š”์ง€ ํƒ์ƒ‰ํ•œ ํ›„ ๊ทธ๊ฒƒ์„ ์ด์šฉํ•˜

์—ฌ ์ฐจ์„ธ๋Œ€ ์ปดํ“จํ„ฐ ๋˜๋Š” ์–‘์ž์ปดํ“จํ„ฐ ๋“ฑ์— ์‚ฌ์šฉํ•  ์ˆ˜ ์žˆ

๋Š” ์†Œ์ž๋ฅผ ์—ฐ๊ตฌํ•˜๋Š” ๊ฒƒ์ž…๋‹ˆ๋‹ค. ์ฆ‰, ์ž์—ฐ์ ์œผ๋กœ ์กด์žฌํ•˜

๋Š” ์†Œ์žฌ์—์„œ ๋ฒ—์–ด๋‚˜ ์ธ๊ณต์ ์ธ ์†Œ์žฌ๋ฅผ ์ด์šฉํ•œ ์†Œ์ž

๋ฅผ ๋งŒ๋“œ๋Š” ์—ฐ๊ตฌ์ด์ฃ . ์•ž์„œ ๋งํ•œ Twistronics๊ฐ€ ๋Œ€ํ‘œ

์ ์ธ๋ฐ, ์ด ๋ฐฉ๋ฒ•์€ ๊ทธ๋ž˜ํ•€๋ฟ๋งŒ ์•„๋‹ˆ๋ผ ์–ด๋–ค 2์ฐจ์› ๋ฌผ

์งˆ์„ ๋น„ํ‹€์–ด๋„ ๊ฐ€๋Šฅํ•œ ๋ฐฉ๋ฒ•์ž…๋‹ˆ๋‹ค. ๊ทธ๋ž˜์„œ ์–ด๋–ค ์†Œ

์žฌ๋ฅผ ๋น„ํ‹€์–ด ๋งŒ๋“ค์—ˆ๋Š”์ง€์— ๋”ฐ๋ผ ์˜ˆ์ธกํ•˜๊ธฐ ์–ด๋ ค์šด ๋‹ค

์–‘ํ•œ ํŠน์„ฑ์ด ๋งŒ๋“ค์–ด์ง‘๋‹ˆ๋‹ค. ์ด๋Ÿฐ ๋ฌผ์งˆ์„ ๋งŒ๋“ค๊ธฐ ์œ„

ํ•ด์„  ๋ฐ˜๋ฐ๋ฅด๋ฐœ์Šค ๋ฌผ์งˆ์ด ํ•„์ˆ˜์ ์ž…๋‹ˆ๋‹ค. ๋ฐ˜๋ฐ๋ฅด๋ฐœ์Šค

๋ฌผ์งˆ์˜ ํŠน์„ฑ์€ Dangling Bond3๊ฐ€ ์—†์–ด์„œ ์ธต์„ ๋งˆ์Œ

๋Œ€๋กœ, ์•ˆ์ •์ ์œผ๋กœ ์Œ“์„ ์ˆ˜ ์žˆ๋‹ค๋Š” ์ ์ž…๋‹ˆ๋‹ค. ์ด๋Ÿฌํ•œ ๋ฐ˜

๋ฐ๋ฅด๋ฐœ์Šค ๋ฌผ์งˆ์€ ์ข…๋ฅ˜๋„ ๋‹ค์–‘ํ•˜๊ธฐ์— ํŠน์„ฑ๋„ ๋‹ค์–‘ํ•ฉ๋‹ˆ

๋‹ค. ๊ทธ๋ž˜์„œ ์•„์ง ์—ฐ๊ตฌํ•  ๊ฒƒ์ด ์•„์ฃผ ๋งŽ์€ ๋ถ„์•ผ์ด์ง€์š”.

์ €์ฐจ์› ๋ฐ˜๋„์ฒด๊ฐ€ ๊ณ„์†ํ•ด์„œ ๋ฐœ์ „ํ•˜์—ฌ ์‹ค์ƒํ™œ์—๋„ ์“ฐ์ด๊ฒŒ ๋œ๋‹ค๋ฉด ์„ธ์ƒ์ด ์–ด๋–ป๊ฒŒ ๋ณ€ํ• ๊นŒ์š”?

์šฐ์„ ์€ ์œ ์—ฐํ•˜๊ณ  ํˆฌ๋ช…ํ•œ ์„ฑ์งˆ์„ ์ด์šฉํ•ด์„œ ํ”ผ๋ถ€์— ๋ถ€์ฐฉํ•˜๊ฑฐ๋‚˜ ์˜ท์ฒ˜๋Ÿผ ์ž…๋Š” ์›จ์–ด๋Ÿฌ๋ธ” ์ปดํ“จํ„ฐ์— ์ด์šฉํ•  ์ˆ˜ ์žˆ์„ ๊ฒƒ์ž…๋‹ˆ๋‹ค. ๋˜ํ•œ, ์ง‘์ ๋„ 4 ๋ฅผ ๊ต‰์žฅํžˆ ๋†’์ผ ์ˆ˜ ์žˆ๊ธฐ ๋•Œ๋ฌธ์— ๋‚˜๋…ธ ๋กœ๋ด‡์—๋„ ์“ฐ์ผ ์ˆ˜ ์žˆ์Šต๋‹ˆ๋‹ค.

๊ฒŒ๋‹ค๊ฐ€ ์ธ๊ณต์ง€๋Šฅ์„ ๋งŒ๋“ค ๋•Œ ๋งค์šฐ ํฐ ์ปดํ“จํ„ฐ์™€ ์„œ๋ฒ„๊ฐ€ ํ•„์š”ํ•œ๋ฐ, ๋†’์€ ์ง‘์ ๋„๋ฅผ ํ†ตํ•ด ์ด๋Ÿฐ ํฐ ํฌ๊ธฐ๋ฅผ ๊ฐœ์ธ์šฉ ์ปดํ“จํ„ฐ๋งŒ ํ•œ ํฌ๊ธฐ๋กœ ์ค„์ผ ์ˆ˜ ์žˆ์Šต๋‹ˆ๋‹ค. ๋” ๋‚˜์•„๊ฐ€ ์ƒ๊ฐํ•ด ๋ณธ๋‹ค๋ฉด ์• ํ”Œ์—์„œ ์ถœ์‹œํ•œ ๊ณต๊ฐ„ ์ปดํ“จํ„ฐ์ธ ๋น„์ „ ํ”„๋กœ ๊ฐ™์€ ๊ฒƒ์ด ์•ˆ๊ฒฝ, ํ˜น์€ ์ฝ˜ํƒํŠธ๋ Œ์ฆˆ์ฒ˜๋Ÿผ ์ž‘์•„์งˆ ์ˆ˜ ์žˆ์Šต๋‹ˆ๋‹ค. ๋งˆ์ง€๋ง‰์œผ๋กœ ๊ฐ€์žฅ ํ˜„์‹ค์ ์ธ ์žฅ์ ์€ ์†๋„๊ฐ€ ๊ธฐ์กด๋ณด๋‹ค ๋นจ๋ผ์ง„๋‹ค๋Š” ์ ์ž…๋‹ˆ๋‹ค.

2. ๋‹ค๋ฅธ ์ข…๋ฅ˜์˜ ๋ฐ˜๋„์ฒด ๋ฌผ์งˆ์„ ๊ฒฐ ํ•ฉํ•ด ๋งŒ๋“  ๊ตฌ์กฐ

3. ๊ฒฐ์ •์˜ ํ‘œ๋ฉด์„ ๊ตฌ์„ฑํ•˜๋Š” ์›์ž๋“ค ์ด ์ง์„ ์ด๋ฃจ์–ด ๊ฒฐํ•ฉํ•˜์ง€ ๋ชปํ•˜ ๊ณ  ๋Š์–ด์ง„ ์ƒํƒœ

4. ๋ฐ˜๋„์ฒด ์นฉ๋‹น ๋“ค์–ด๊ฐ€๋Š” ๋””์ง€ํ„ธ ์†Œ ์ž์˜ ์ˆ˜๋กœ, ์ง‘์  ๋ฐ€๋„๋ผ๊ณ ๋„ ํ•จ

Q A Q A 20 ๊ณ ๋“ฑํ•™์ƒ ๊ธฐ์ž๋‹จ ํฌ์ปค์Šค

ํฌ์Šคํ… ๋ฐ˜๋„์ฒด๊ณตํ•™๊ณผ๋งŒ์˜ ์žฅ์ ์ด๋‚˜ ์ฐจ๋ณ„์ ์€ ๋ฌด์—‡์ธ๊ฐ€์š”?

๋ฐ˜๋„์ฒด๊ณตํ•™๊ณผ์˜ ์žฅ์ ์€ ๋ฐ˜๋„์ฒด ๊ด€๋ จ ๊ณผ๋ชฉ๋“ค์„ ๋ฐฐ์›Œ์„œ ์‚ฐ์—…์— ๋ฐ”๋กœ ์“ธ ์ˆ˜ ์žˆ๋Š” ์ง€์‹์„ ์–ป์„ ์ˆ˜ ์žˆ๋‹ค๋Š” ์ ์ž…๋‹ˆ๋‹ค.

๋ฐ˜๋„์ฒด๋Š” ๋ฌผ๋ฆฌ, ํ™”ํ•™, ์‹ ์†Œ์žฌ, ์ „์ž๊ณตํ•™ ๋“ฑ์ด ํฌํ•จ๋œ ๊ด‘๋ฒ”์œ„ํ•œ ์ง€์‹์ด ํ•„์š”ํ•ฉ๋‹ˆ๋‹ค. ์ผ๋ฐ˜์ ์ธ ํ•˜๋‚˜์˜ ํ•™๋ถ€์—์„œ๋Š”

์ด๊ฒƒ์„ ์ „๋ถ€ ๋ฐฐ์šฐ๊ธฐ๋Š” ์–ด๋ ต๊ธฐ ๋•Œ๋ฌธ์—, ์ด๋Ÿฐ ์ง€์‹์„ ๋„“๊ฒŒ ๋ฐฐ์šธ ์ˆ˜ ์žˆ๋‹ค๋Š” ๋ฐ ์žฅ์ ์ด ์žˆ๋Š” ๊ฒƒ ๊ฐ™์Šต๋‹ˆ๋‹ค. ๋˜ํ•œ 3+3 ํ•™์„๋ฐ• ํ†ตํ•ฉ ์—ฐ๊ณ„ ํ”„๋กœ๊ทธ๋žจ์€ ์šฐ๋ฆฌ ํ•™๊ณผ๋งŒ์˜ ๊ฐ€์žฅ ํฐ ์ฐจ์ด์ ์ž…๋‹ˆ๋‹ค. ์ด๋Š” 3๋…„ ์•ˆ์— ํ•™์‚ฌ, 3๋…„ ์•ˆ์— ์„๋ฐ•์‚ฌ ๊ณผ์ •์„ ๋งˆ์น˜

๋Š” ํ”„๋กœ๊ทธ๋žจ์œผ๋กœ 3+3 ๊ณผ์ •์„ ์›ํ•˜๊ณ , ์ž๊ฒฉ ์š”๊ฑด์ด ๋˜๋Š” ํ•™์ƒ๋“ค์ด ์ˆ˜ํ–‰ํ•˜๋Š” ์ œ๋„์ž…๋‹ˆ๋‹ค. ํ•™๋ถ€์™€ ๋Œ€ํ•™์›์„ 6๋…„ ์•ˆ

์— ๋๋‚ด์•ผ ํ•˜๋ฏ€๋กœ ํ•™์ƒ๋“ค์˜ ๋ถ€๋‹ด์ด ์ปค์ง€๋Š” ์ ์ด ์šฐ๋ ค๋˜์ง€๋งŒ, ์„ฑ๊ณต์ ์œผ๋กœ ๋งˆ์น˜๋Š” ํ•™์ƒ๋“ค์€ ์ด๋ฅธ ์‹œ๊ธฐ์— ๋ฐ•์‚ฌํ•™์œ„๋ฅผ ๋ฐ›

์„ ์ˆ˜ ์žˆ๋‹ค๋Š” ์žฅ์ ์ด ์žˆ์–ด์„œ ํ˜„์žฌ ๋งŽ์€ ํ•™์ƒ์ด ์ด ๊ณผ์ •์— ์ฐธ์—ฌํ•˜๊ธฐ๋ฅผ ์›ํ•˜๊ณ  ์žˆ์Šต๋‹ˆ๋‹ค.

ํ•œ๊ตญ์˜ ๋ฐ˜๋„์ฒด ์‚ฐ์—…์„ ์ด๋Œ์–ด๊ฐ€๊ณ  ์‹ถ์–ด ํ•˜๋Š” ํ•™์ƒ๋“ค์—๊ฒŒ ์กฐ์–ธ ํ•œ๋งˆ๋”” ๋ถ€ํƒ๋“œ๋ฆฝ๋‹ˆ๋‹ค.

์ €๋Š” ํ•™์ƒ๋“ค์—๊ฒŒ ๋Š์ž„์—†์ด ์งˆ๋ฌธํ•˜๋ผ๊ณ  ๋งํ•ด์ฃผ๊ณ  ์‹ถ์Šต๋‹ˆ๋‹ค. ํ•™๋ฌธ์ด ๋˜์—ˆ๋“ , ์ผ์ด ๋˜์—ˆ๋“ , ์—ฐ๊ตฌ๊ฐ€ ๋˜์—ˆ๋“  ํ•ญ์ƒ ์งˆ๋ฌธ์„ ๋˜์ง€๊ณ  ๋‹ต์„ ์Šค์Šค๋กœ ์ฐพ์•„๋‚ด๋Š” ๊ณผ์ •์„ ๊ณ„์† ๋ฐ˜๋ณตํ•˜๋ผ๊ณ  ํ•ด์ฃผ๊ณ  ์‹ถ์–ด์š”. ๊ทธ๋Ÿฌ๋ฉด ๋‚˜์ค‘์— ์ž์‹ ์ด ๊ฑธ์–ด์˜จ ๊ธธ์„

๋’ค๋Œ์•„๋ดค์„ ๋•Œ ํ›„ํšŒํ•˜์ง€ ์•Š๋Š” ๊ธธ์„ ๊ณ„์† ๊ฑธ์„ ์ˆ˜ ์žˆ์„ ๊ฒƒ์ž…๋‹ˆ๋‹ค.

์ง€๊ธˆ๊นŒ์ง€ ๋ฐ˜๋„์ฒด๊ณตํ•™๊ณผ ์˜ค๋ช…์ฒ  ๊ต์ˆ˜๋‹˜๊ณผ์˜ ์ธํ„ฐ๋ทฐ ๋‚ด์šฉ์ด์—ˆ์Šต๋‹ˆ๋‹ค. ๊ต์ˆ˜๋‹˜๊ณผ์˜ ์ธํ„ฐ๋ทฐ๋ผ๋Š” ์†Œ์ค‘ํ•œ ๊ฒฝํ—˜์„ ํ• 

์ˆ˜ ์žˆ๊ฒŒ ํ•ด์ฃผ์‹  ์ž…ํ•™ํŒ€ ๊ฐ•์ˆ˜ํ–ฅ, ์˜ค๋ฏผ์ง„ ์„ ์ƒ๋‹˜๊ณผ ์•Œ๋ฆฌ๋ฏธ ๋ถ„๋“ค, ์ดฌ์˜ ๊ฐ๋…๋‹˜ ๋งˆ์ง€๋ง‰์œผ๋กœ ์ €๋ฅผ ์œ„ํ•ด ๊ธด ์‹œ๊ฐ„ ์จ์ฃผ์‹  ์˜ค๋ช…์ฒ  ๊ต์ˆ˜๋‹˜๊ป˜ ์ •๋ง ๊ฐ์‚ฌ๋“œ๋ฆฝ๋‹ˆ๋‹ค.

Q Q A A ๊ณ ๋“ฑํ•™์ƒ ๊ธฐ์ž๋‹จ ํฌ์ปค์Šค์˜ ์ด์•ผ๊ธฐ๋Š” 5์›” 24์ผ ๊ณต๊ฐœ๋ฉ๋‹ˆ๋‹ค! 21

์šฐ์ฃผ ๊ฐœ๋ฐœ

2024๋…„ 1์›” 20์ผ, ์ผ๋ณธ์˜ ํƒ์‚ฌ์„  ์Šฌ๋ฆผ(SLIM)์ด ๋‹ฌ ์ฐฉ๋ฅ™์— ์„ฑ๊ณตํ–ˆ์Šต๋‹ˆ๋‹ค. ์•ž์„œ ๊ตฌ์†Œ๋ จ๊ณผ ๋ฏธ๊ตญ, ์ค‘๊ตญ์ด ๋‹ฌ ์ฐฉ๋ฅ™์— ์„ฑ๊ณตํ–ˆ๊ณ , ์ง€๋‚œํ•ด์—๋Š” ์ธ๋„์˜ ์ฐฌ๋“œ๋ผ์–€ 3ํ˜ธ๊ฐ€ ๋‹ฌ ์ฐฉ๋ฅ™์— ์„ฑ๊ณตํ–ˆ๊ธฐ์— ์Šฌ๋ฆผ์€ ์„ธ๊ณ„ 5๋ฒˆ์งธ๋กœ ๋‹ฌ์— ์ฐฉ๋ฅ™ ํ•œ ํƒ์‚ฌ์„ ์ด ๋˜์—ˆ์Šต๋‹ˆ๋‹ค. ์šฐ๋ฆฌ๋‚˜๋ผ ์—ญ์‹œ ๋‹ฌ ํƒ์‚ฌ์„  ๋‹ค๋ˆ„๋ฆฌ๋ฅผ 2022๋…„ 8์›”์— ๋ฐœ์‚ฌํ–ˆ๊ณ , ํ˜„์žฌ ๋‹ฌ ๊ถค๋„๋ฅผ ๋Œ๋ฉฐ ๋‹ฌ ํƒ์‚ฌ ์ž„๋ฌด๋ฅผ ์ˆ˜ํ–‰ ์ค‘์ž…๋‹ˆ๋‹ค. ์ด์ฒ˜๋Ÿผ 20์„ธ๊ธฐ ์ค‘๋ฐ˜์— ์šฐ์ฃผ ๊ฐœ๋ฐœ์„ ์‹œ์ž‘ํ•œ ์ด๋ž˜๋กœ ์šฐ์ฃผ ๊ฐœ๋ฐœ์— ์ฐธ์—ฌํ•˜๋Š” ๊ตญ ๊ฐ€์˜ ์ˆ˜๋Š” ๋น ๋ฅด๊ฒŒ ์ฆ๊ฐ€ํ•˜๊ณ  ์žˆ์Šต๋‹ˆ๋‹ค. ๊ทธ๋ฟ๋งŒ ์•„๋‹ˆ๋ผ ์ง€๊ตฌ๊ด€์ธก ์œ„์„ฑ ๋ถ„์•ผ๋ฅผ ๋„˜์–ด ํ™”์„ฑ ๋“ฑ ์šฐ์ฃผํƒ์‚ฌ ๋ถ„์•ผ์—๋„ ์ง„์ž…ํ•˜๋ฉฐ ์ธ๋ฅ˜์˜ ์šฐ์ฃผ ๊ฐœ๋ฐœ์ด ๋”์šฑ ๋ฐœ์ „ํ•˜๊ณ  ์žˆ์Šต๋‹ˆ๋‹ค. ๊ทธ๋ ‡๋‹ค๋ฉด ์ธ๋ฅ˜๋Š” ์™œ ์šฐ์ฃผ ๊ฐœ๋ฐœ์— ํž˜์“ฐ๊ณ  ์žˆ๋Š” ๊ฒƒ์ผ๊นŒ ์š”? ์šฐ์ฃผ ๊ฐœ๋ฐœ์€ ์–ด๋–ป๊ฒŒ ์ด๋ฃจ์–ด์ง€๊ณ , ์šฐ๋ฆฌ๋Š” ์šฐ์ฃผ ๊ฐœ๋ฐœ์„ ํ†ตํ•ด ๋ฌด์—‡์„ ์–ป์œผ๋ ค๊ณ  ํ•˜๋Š” ๊ฒƒ์ผ๊นŒ์š”? ์ด๋ฒˆ ๊ธฐํš ํŠน์ง‘์„ ํ†ตํ•ด ์šฐ์ฃผ ๊ฐœ๋ฐœ์˜ ์ด์œ , ์šฐ์ฃผ ๊ฐœ๋ฐœ์˜ ๋ฐฉ๋ฒ•, ๊ทธ๋ฆฌ๊ณ  ์šฐ์ฃผ ๊ฐœ๋ฐœ์˜ ์ด์ ์— ๋Œ€ํ•ด ์•Œ์•„๋ด…์‹œ๋‹ค!

7์›”
๊ธฐํšํŠน์ง‘์˜
์˜์ƒ์œผ๋กœ
22 ๊ธฐํšํŠน์ง‘
5์ผ,
์ด์•ผ๊ธฐ๋ฅผ
๋งŒ๋‚˜๋ณด์„ธ์š”!
: ์šฐ์ฃผ ๊ฐœ๋ฐœ

์šฐ์ฃผ ๊ฐœ๋ฐœ์˜ ์ด์œ 

์šฐ๋ฆฌ๋‚˜๋ผ๋ฅผ ๋น„๋กฏํ•œ ์ „ ์„ธ๊ณ„ ๊ตญ๊ฐ€๋“ค์€ ์™œ ์šฐ์ฃผ ๊ฐœ๋ฐœ์„ ์ถ”

์ง„ํ•˜๋Š” ๊ฒƒ์ผ๊นŒ์š”? ๊ทธ ์ด์œ ๋Š” ๋งค์šฐ ๋‹ค์–‘ํ•œ๋ฐ์š”. ํ•™๋ฌธ์ 

์—ฐ๊ตฌ, ๊ฒฝ์ œ์  ์ด์ต ๋“ฑ์„ ์œ„ํ•ด ์šฐ์ฃผ ๊ฐœ๋ฐœ์ด ์ด๋ฃจ์–ด์ง€๊ธฐ๋„

ํ•˜์ง€๋งŒ, ์ธ๋ฅ˜์˜ ๋ฉธ์ข…์„ ๋ถˆ๋Ÿฌ์˜ฌ ์ˆ˜๋„ ์žˆ๋Š” ์†Œํ–‰์„ฑ ์ถฉ๋Œ์˜

์œ„ํ˜‘์—์„œ ๋ฒ—์–ด๋‚˜๊ธฐ ์œ„ํ•ด์„œ๋„ ์šฐ์ฃผ ๊ฐœ๋ฐœ์ด ํ•„์š”ํ•ฉ๋‹ˆ๋‹ค.

์ด๋ฒˆ ๊ผญ์ง€์—์„œ ํ•ด๋‹น ๋‚ด์šฉ์— ๋Œ€ํ•ด ์•Œ์•„๋ด…์‹œ๋‹ค!

์šฐ์ฃผ ๊ฐœ๋ฐœ์˜ ์ด์œ : ์†Œํ–‰์„ฑ ์ถฉ๋Œ์˜ ์œ„ํ˜‘

1. ํ‰๊ตฌ์Šค์นด ํญ๋ฐœ ๋‹น์‹œ ์‚ผ๋ฆผ์ด ํŒŒ๊ดด๋œ ๋ชจ์Šต

ํ”ํžˆ ์†Œํ–‰์„ฑ ์ถฉ๋Œ์ด๋ผ ํ•˜๋ฉด ๋ฐฑ์•…๊ธฐ-ํŒ”๋ ˆ์˜ค๊ธฐ ๋Œ€๋ฉธ์ข…1์„

๋– ์˜ฌ๋ฆด ๊ฒƒ์ž…๋‹ˆ๋‹ค. ์ด ๋•Œ๋ฌธ์— ์†Œํ–‰์„ฑ ์ถฉ๋Œ์€ ์šฐ๋ฆฌ์™€ ๋จผ ์ด

์•ผ๊ธฐ๋ผ๊ณ  ์ƒ๊ฐํ•  ์ˆ˜ ์žˆ์ง€๋งŒ, ๋น„๊ต์  ์ตœ๊ทผ์—๋„ ์†Œํ–‰์„ฑ ์ถฉ

๋Œ๋กœ ์ธํ•œ ํ”ผํ•ด๊ฐ€ ์žˆ์—ˆ๋‹ค๋Š” ์‚ฌ์‹ค์„ ์•Œ๊ณ  ๊ณ„์‹œ๋‚˜์š”? 1908

๋…„ ๋Ÿฌ์‹œ์•„์—์„œ ์ง๊ฒฝ 50~80 m์˜ ์†Œํ–‰์„ฑ์ด ๊ณต์ค‘์—์„œ ํญ

๋ฐœํ•˜๋Š” ํ‰๊ตฌ์Šค์นด ํญ๋ฐœ๋กœ ๋ฌด๋ ค 2,000km2์˜ ์ˆฒ์ด ํŒŒ๊ดด๋˜

์—ˆ๊ณ , 2013๋…„์—๋Š” ์ฒผ๋žด๋นˆ์Šคํฌ ์šด์„์šฐ ์‚ฌ๊ฑด์œผ๋กœ ์ธํ•ด ์•ฝ 1,500๋ช…์˜ ๋ถ€์ƒ์ž๊ฐ€ ๋ฐœ์ƒํ•œ ์ ๋„ ์žˆ์Šต๋‹ˆ๋‹ค. ์ง๊ฒฝ์ด ์ˆ˜ ํ‚ฌ

๋กœ๋ฏธํ„ฐ์— ๋‹ฌํ•˜๋Š” ์†Œํ–‰์„ฑ๋„ ๋งค์šฐ ๋งŽ์€๋ฐ, ๊ฒจ์šฐ ์ง๊ฒฝ ์ˆ˜์‹ญ

๋ฏธํ„ฐ์˜ ์†Œํ–‰์„ฑ์ด ์ถฉ๋Œํ•˜์ง€ ์•Š๊ณ ๋„ ์ด ์ •๋„์˜ ์œ„๋ ฅ์ด๋ผ๋ฉด

์†Œํ–‰์„ฑ ์ถฉ๋Œ์€ ์–ผ๋งˆ๋‚˜ ์œ„ํ˜‘์ ์ผ์ง€ ์ง์ž‘ํ•  ์ˆ˜ ์žˆ์Šต๋‹ˆ๋‹ค.

์†Œํ–‰์„ฑ ๋ฐœ๊ฒฌ

์†Œํ–‰์„ฑ ์ถฉ๋Œ์˜ ์œ„ํ˜‘์œผ๋กœ๋ถ€ํ„ฐ ๋ฒ—์–ด๋‚˜๊ธฐ ์œ„ํ•ด์„œ๋Š” ๋จผ์ € ์ง€

๊ตฌ์— ๊ทผ์ ‘ํ•œ ์†Œํ–‰์„ฑ์„ ํƒ์ง€ํ•  ์ˆ˜ ์žˆ์–ด์•ผ ํ•ฉ๋‹ˆ๋‹ค. ์ด๋•Œ ์ง€

๊ตฌ ๊ทผ์ ‘ ์†Œํ–‰์„ฑ์ด ๋„ˆ๋ฌด ์ž‘๊ฑฐ๋‚˜ ํ–‡๋น›์— ๊ฐ€๋ ค์ง€๋ฉด ๊ด€์ธก์—

์–ด๋ ค์›€์ด ๋ฐœ์ƒํ•˜๋Š”๋ฐ์š”. ์ด๋Ÿฌํ•œ ๊ฒฝ์šฐ, ๊ณ ์„ฑ๋Šฅ ๊ด‘์‹œ์•ผ ์•” ํ‘์—๋„ˆ์ง€ ์นด๋ฉ”๋ผ(DECam)๋ฅผ ์ด์šฉํ•  ์ˆ˜ ์žˆ์Šต๋‹ˆ๋‹ค.

๊ทธ๋ฆผ 2. DECam์˜ ๋‚ด๋ถ€ ๊ตฌ์กฐ(์ขŒ) / ๊ทธ๋ฆผ 3. ์ „ํ•˜ ๊ฒฐํ•ฉ ์†Œ์ž(์šฐ)

๊ทธ๋ฆผ 2์—์„œ ๋Œ€๊ฐ์„ ์œผ๋กœ ๋†“์ธ ํฐ์ƒ‰ ์›ํ†ตํ˜• ํŒ” ๋ถ€๋ถ„์ด ํ—ฅ์‚ฌ ํฌ๋“œ๋ผ๊ณ  ๋ถˆ๋ฆฌ๋Š” ๊ตฌ์กฐ์ž…๋‹ˆ๋‹ค. ํ—ฅ์‚ฌํฌ๋“œ๋Š” ๊ณต์•• ์‹ค๋ฆฐ๋”2

๋ฅผ ์ด์šฉํ•œ 6๊ฐœ์˜ ํ”ผ์Šคํ†ค์œผ๋กœ ์ด๋ฃจ์–ด์ ธ ์žˆ๋Š”๋ฐ, ์‹ค๋ฆฐ๋” ๋‚ด

๋ถ€ ๊ธฐ์ฒด๊ฐ€ ์••๋ ฅ์„ ๋ฐ›์œผ๋ฉด ํ”ผ์Šคํ†ค์ด ์œ„์•„๋ž˜๋กœ ์›€์ง์ด๋ฉฐ

ํ—ฅ์‚ฌํฌ๋“œ๊ฐ€ ๊ธธ์–ด์ง€๊ณ  ์งง์•„์ง‘๋‹ˆ๋‹ค. ์ด ํ—ฅ์‚ฌํฌ๋“œ์—๋Š” ๋น›์„

ํ†ต๊ณผ์‹œํ‚ค๋Š” ์…”ํ„ฐ, ๋น›์˜ ์„ธ๊ธฐ๋ฅผ ์กฐ์ ˆํ•˜๋Š” ํ•„ํ„ฐ, ๊ทธ๋ฆฌ๊ณ  ๋น›

์„ ๋ชจ์œผ๋Š” ๋ Œ์ฆˆ๊ฐ€ ์—ฐ๊ฒฐ๋˜์–ด ์žˆ์Šต๋‹ˆ๋‹ค. ์ด๋•Œ ์ดˆ์ ์„ ๋งž์ถ”

๊ธฐ ์œ„ํ•ด ํ—ฅ์‚ฌํฌ๋“œ๊ฐ€ ์›€์ง์ด๋ฉฐ ์ด๋“ค์˜ ์œ„์น˜๋ฅผ ์กฐ์ •ํ•ฉ๋‹ˆ๋‹ค.

์œ„์น˜ ์กฐ์ • ์ดํ›„ ์…”ํ„ฐ๊ฐ€ ์—ด๋ฆฌ๋ฉด ์•ˆ์ชฝ์˜ ์ „ํ•˜ ๊ฒฐํ•ฉ ์†Œ์ž์—

๋น›์ด ์ „๋‹ฌ๋ฉ๋‹ˆ๋‹ค. ๊ด‘๋‹ค์ด์˜ค๋“œ3๋กœ ์ด๋ฃจ์–ด์ง„ ์ „ํ•˜ ๊ฒฐํ•ฉ ์†Œ

์ž๋Š” ๊ทธ๋ฆผ 3๊ณผ ๊ฐ™์ด ๊ธฐํŒ์— ์–‡์€ ๋‘๊ป˜์˜ ์‹ค๋ฆฌ์ฝ˜ ์ ˆ์—ฐ์ธต

์ด ์žˆ๊ณ , ์ˆ˜๋งŽ์€ ์ถ•์ „๊ธฐ4๊ฐ€ ์„œ๋กœ ์—ฐ๊ฒฐ๋˜์–ด ์žˆ๋Š” ์†Œ์ž์ž…๋‹ˆ

๋‹ค. ๋น›์ด ์ „ํ•˜ ๊ฒฐํ•ฉ ์†Œ์ž์— ์กฐ์‚ฌ๋˜๋ฉด ๊ด‘๋‹ค์ด์˜ค๋“œ๊ฐ€ ์ด๋ฅผ

์ „์ž๋กœ ์ „ํ™˜ํ•ฉ๋‹ˆ๋‹ค. ์ด๋•Œ ์กฐ์‚ฌ๋œ ๋น›์˜ ์–‘์— ๋”ฐ๋ผ ์ƒ์„ฑ๋˜

๋Š” ์ „์ž์˜ ์–‘์ด ๊ฒฐ์ •๋˜๋ฉฐ, ์ถ•์ „๊ธฐ์— ๊ทธ๋งŒํผ์˜ ์ „ํ•˜5๊ฐ€ ์ €

์žฅ๋˜๊ณ  ์ฃผ๋ณ€์˜ ์ถ•์ „๊ธฐ๋กœ ์ „ํ•˜๊ฐ€ ์ „๋‹ฌ๋ฉ๋‹ˆ๋‹ค. ์ด๋ ‡๊ฒŒ ์ „๋‹ฌ

๋˜๋Š” ์ „ํ•˜๋Ÿ‰์ด ์‹ ํ˜ธ๊ฐ€ ๋˜์–ด ์ปดํ“จํ„ฐ๊ฐ€ ์ด ์‹ ํ˜ธ๋ฅผ ์ธ์‹ํ•˜๊ณ 

์ด๋ฏธ์ง€๋กœ ๋ณ€ํ™˜ํ•  ์ˆ˜ ์žˆ๊ฒŒ ๋ฉ๋‹ˆ๋‹ค. ์ด๋Ÿฐ ๊ณผ์ •์„ ํ†ตํ•ด ์นด๋ฉ”

๋ผ๋กœ ๊ด€์ธกํ•œ ๋ฌผ์ฒด๋ฅผ ์ด๋ฏธ์ง€๋กœ ๋ณผ ์ˆ˜ ์žˆ๊ฒŒ ๋˜๋Š” ๊ฒƒ์ž…๋‹ˆ๋‹ค.

1. ๊ธฐ์›์ „ 6,600๋งŒ๋…„ ์ „ ์ผ์–ด๋‚œ ๋Œ€ ๋ฉธ์ข…์œผ๋กœ, ํ”ํžˆ โ€˜๊ณต๋ฃก ๋Œ€๋ฉธ์ข…โ€™์ด ๋ผ๊ณ ๋„ ์•Œ๋ ค์ ธ ์žˆ์Œ

2. ์••์ถ• ๊ฐ€์Šค(๊ณต๊ธฐ)๋ฅผ ๋ฐ€์–ด๋‚ด๋Š” ๋ฐฉ ์‹์œผ๋กœ ์šด๋™ํ•˜๋Š” ์›ํ†ตํ˜• ํ”ผ์Šคํ†ค

3. ๋น›์„ ์ „๋ฅ˜๋กœ ์ „ํ™˜ํ•˜๋Š” ๋ฐ˜๋„์ฒด ์†Œ์ž

4. ๋‘ ๊ธˆ์†ํŒ์ด ๋งˆ์ฃผ๋ณด๊ณ  ์žˆ๋Š” ๊ตฌ ์กฐ๋กœ, ์ „ํ•˜๋ฅผ ์ €์žฅํ•˜๋Š” ์žฅ์น˜

5. ์–ด๋–ค ๋ฌผ์งˆ์ด ๊ฐ–๊ณ  ์žˆ๋Š” ์ „๊ธฐ์˜ ์–‘

๊ทธ๋ฆผ
๊ธฐํšํŠน์ง‘ โ‘ 
๊ธ€ ๋ฌด์€์žฌํ•™๋ถ€ 23ํ•™๋ฒˆ 29๊ธฐ ์•Œ๋ฆฌ๋ฏธ ๋ฐ•ํƒœ์ค€
23

ํ† ๋ฆฌ๋…ธ ์ฒ™๋„์™€ ํŒ”๋ ˆ๋ฅด๋ชจ ์ฒ™๋„

์ด๋ ‡๊ฒŒ ๋ฐœ๊ฒฌ๋œ ์†Œํ–‰์„ฑ์˜ ์œ„ํ—˜์„ฑ์„ ๋ถ„๋ฅ˜ํ•˜๊ธฐ ์œ„ํ•ด์„œ๋Š” ๊ธฐ

์ค€์ด ํ•„์š”ํ•œ๋ฐ์š”. ๊ทธ์ค‘ ํ•˜๋‚˜๊ฐ€ ๋ฐ”๋กœ ํ† ๋ฆฌ๋…ธ ์ฒ™๋„์ž…๋‹ˆ๋‹ค.

๊ทธ๋ฆผ 4. ํ† ๋ฆฌ๋…ธ ์ฒ™๋„ ํ‘œ

ํ† ๋ฆฌ๋…ธ ์ฒ™๋„๋Š” ์ง€๊ตฌ ๊ทผ์ ‘ ์ฒœ์ฒด์˜ ์šด๋™ ์—๋„ˆ์ง€์™€ ์ถฉ๋Œ ๊ฐ€

๋Šฅ์„ฑ์„ ๋ชจ๋‘ ๊ณ ๋ คํ•˜๋Š” ์ฒ™๋„๋กœ, ์ฒœ์ฒด์˜ ์œ„ํ—˜๋„๋ฅผ ๊ฐ€์žฅ ์œ„

ํ—˜ํ•˜์ง€ ์•Š์€ ๋‹จ๊ณ„์ธ 0๋ถ€ํ„ฐ ๊ฐ€์žฅ ์œ„ํ—˜ํ•œ ๋‹จ๊ณ„์ธ 10๊นŒ์ง€

๋ถ„๋ฅ˜ํ•ฉ๋‹ˆ๋‹ค. ๋”ฐ๋ผ์„œ ์ฒœ์ฒด์˜ ์šด๋™์—๋„ˆ์ง€๋Š” ๋งค์šฐ ํฌ์ง€๋งŒ

์ง€๊ตฌ์™€ ์ถฉ๋Œํ•  ๊ฐ€๋Šฅ์„ฑ์ด ๊ฑฐ์˜ ์—†๊ฑฐ๋‚˜, ์ถฉ๋Œ ๊ฐ€๋Šฅ์„ฑ์ด ๋†’

์•„๋„ ์šด๋™์—๋„ˆ์ง€๊ฐ€ ๋งค์šฐ ์ž‘๋‹ค๋ฉด ํ† ๋ฆฌ๋…ธ ์ฒ™๋„๋Š” 0์ด ๋ฉ

๋‹ˆ๋‹ค. ํ˜„์žฌ NASA๊ฐ€ ๋ถ„๋ฅ˜ํ•œ ์ง€๊ตฌ ๊ทผ์ ‘ ์ฒœ์ฒด ์ค‘ ํ† ๋ฆฌ๋…ธ ์ฒ™

๋„๊ฐ€ 1 ์ด์ƒ์ธ ๊ฒƒ์€ DECam์œผ๋กœ ๊ด€์ธกํ•œ 2023DW๊ฐ€ ํ† 

๋ฆฌ๋…ธ ์ฒ™๋„ 1๋กœ ์œ ์ผํ•ฉ๋‹ˆ๋‹ค. ์ฒ™๋„๋ฅผ 1๋กœ ๋ถ„๋ฅ˜ํ•œ ์ฒœ์ฒด๊ฐ€

๋‹จ 1๊ฐœ๋ฐ–์— ์—†๋Š” ๋งŒํผ, ํ† ๋ฆฌ๋…ธ ์ฒ™๋„๋Š” ์œ„ํ—˜๋„๋ฅผ ๋ฏผ๊ฐํ•˜

๊ฒŒ ๋ถ„๋ฅ˜ํ•˜๋Š” ๊ธฐ์ค€์€ ์•„๋‹™๋‹ˆ๋‹ค. ์ด๋ ‡๊ธฐ์— ๊ณผํ•™์ž๋“ค์€ ํ† 

๋ฆฌ๋…ธ ์ฒ™๋„ ๋Œ€์‹  ํŒ”๋ ˆ๋ฅด๋ชจ ์ฒ™๋„๋ฅผ ์ด์šฉํ•ฉ๋‹ˆ๋‹ค.

ํŒ”๋ ˆ๋ฅด๋ชจ ์ฒ™๋„(PS)๋Š” ์ฒœ์ฒด ์ถฉ๋Œ์˜ ์ƒ๋Œ€ ์œ„ํ—˜๋„๋ฅผ ๋กœ๊ทธ

์Šค์ผ€์ผ6๋กœ ๋‚˜ํƒ€๋‚ด๋Š” ์ฒ™๋„์ด๋ฉฐ, ๊ทธ ์œ„ํ—˜๋„๋Š” ์•„๋ž˜์™€ ๊ฐ™์ด

๋‚˜ํƒ€๋‚ผ ์ˆ˜ ์žˆ์Šต๋‹ˆ๋‹ค.

PS = log10

PI ๋Š” ์†Œํ–‰์„ฑ์ด ์ง€๊ตฌ์— ์˜ํ–ฅ์„ ์ค„ ํ™•๋ฅ , DT ๋Š” ์‚ฌ๊ฑด์ด ๋ฐœ

์ƒํ•˜๊ธฐ๊นŒ์ง€์˜ ์‹œ๊ฐ„(์—ฐ ๋‹จ์œ„)์„ ๋‚˜ํƒ€๋ƒ…๋‹ˆ๋‹ค. ์ถ”๊ฐ€๋กœ, ๋‹ค์ˆ˜

์˜ ์ฒœ์ฒด๊ฐ€ ์ถฉ๋Œํ•˜๋Š” ๊ฐ€๋Šฅ์„ฑ์„ ๊ณ„์‚ฐํ•˜๋Š” ๊ฒฝ์šฐ ๋ˆ„์  ํŒ”๋ ˆ

๋ฅด๋ชจ ์ฒ™๋„(PScum)๋ฅผ ์‚ฌ์šฉํ•ฉ๋‹ˆ๋‹ค.

PScum = log10(10PS 1 + 10PS 2 + 10PS 3 + )

ํŒ”๋ ˆ๋ฅด๋ชจ ์ฒ™๋„๊ฐ€ -2๋ณด๋‹ค ์ž‘์€ ๊ฒฝ์šฐ ์†Œํ–‰์„ฑ์˜ ์ถฉ๋Œ ๊ฐ€

๋Šฅ์„ฑ์ด ์—†๋Š” ๊ฒƒ์œผ๋กœ, -2์™€ 0 ์‚ฌ์ด์˜ ๊ฐ’์€ ์ง€์†์ ์ธ ๊ด€

์ฐฐ์ด ํ•„์š”ํ•œ ์ƒํƒœ๋กœ ๋ถ„๋ฅ˜ํ•ฉ๋‹ˆ๋‹ค. ์ด๋ ‡๊ฒŒ ์ธ๋ฅ˜๋Š” ์ฒด๊ณ„์ 

์ธ ๊ธฐ์ค€์„ ์„ธ์›Œ ์™ธ๋ถ€ ์ฒœ์ฒด์˜ ์ถฉ๋Œ์ด๋ผ๋Š” ์ž ์žฌ์  ์œ„ํ˜‘์—

๋Œ€๋น„ํ•˜๊ณ  ์žˆ์Šต๋‹ˆ๋‹ค.

์†Œํ–‰์„ฑ์˜

์ง์ ‘ ๋ฐ”๊พธ๋‹ค: DART ํ”„๋กœ์ ํŠธ

๊ทธ๋ฆผ 5. DART ํ”„๋กœ์ ํŠธ ์žฌํ˜„ ๊ทธ๋ฆผ

์†Œํ–‰์„ฑ 2023DW์ฒ˜๋Ÿผ ์ง€๊ตฌ์— ์ž ์žฌ์  ์œ„ํ˜‘์ด ๋˜๋Š” ์†Œํ–‰์„ฑ

์˜ ์ถฉ๋Œ ๋ฐฉ์–ด ์ „๋žต ์‹œํ—˜์„ ๋ชฉ์ ์œผ๋กœ, NASA๋Š” 2022๋…„ 9

์›”์— DART(Double Asteriod Redirection Test) ํ”„๋กœ

์ ํŠธ๋ฅผ ์‹ค์‹œํ–ˆ์Šต๋‹ˆ๋‹ค. DART๋ž€ ์Œ์†Œํ–‰์„ฑ ๊ถค๋„ ๋ณ€๊ฒฝ ์‹ค

ํ—˜์„ ์˜๋ฏธํ•˜๊ณ , ๊ทธ๋ฆผ 5์—์„œ ๋ณผ ์ˆ˜ ์žˆ๋“ฏ ๋””๋ชจํฌ์Šค ์†Œํ–‰์„ฑ

(Didymos B)7์— ์šฐ์ฃผ์„ ์„ ์ถฉ๋Œ์‹œ์ผœ ์†Œํ–‰์„ฑ ๊ถค๋„๋ฅผ ๋ณ€๊ฒฝ

ํ•˜๋Š” ํ”„๋กœ์ ํŠธ์ž…๋‹ˆ๋‹ค. ์ด ์ถฉ๋Œ ํ”„๋กœ์ ํŠธ๋กœ ๋””๋ชจํฌ์Šค์˜

๊ณต์ „์ฃผ๊ธฐ๊ฐ€ ์•ฝ 33๋ถ„ ์ค„์–ด ์˜ˆ์ƒ๋ณด๋‹ค ๋” ํฐ ํšจ๊ณผ๋ฅผ ๋‚ด์—ˆ๋Š”

๋ฐ์š”. ์ด๋Ÿฐ ๊ฒฐ๊ณผ๊ฐ€ ๋‚˜์˜ค๊ฒŒ ๋œ ์ด์œ ๋ฅผ ํ•จ๊ป˜ ์•Œ์•„๋ณผ๊นŒ์š”?

์ด๋ฅผ ์œ„ํ•ด DART ์šฐ์ฃผ์„ ์˜ ์šด๋™๋Ÿ‰ ์ค‘ ์–ผ๋งˆ๋‚˜ ๋งŽ์€ ์šด

๋™๋Ÿ‰์ด ๋””๋ชจํฌ์Šค๋กœ ์ „๋‹ฌ๋˜๋Š”์ง€๋ฅผ ๊ตฌํ•ด์•ผ ํ•ฉ๋‹ˆ๋‹ค. ์ถ”๊ฐ€

๋กœ, ๋””๋ชจํฌ์Šค๋Š” ์•„์ฃผ ์•ฝํ•œ ์ค‘๋ ฅ์œผ๋กœ ์—ฌ๋Ÿฌ ์•”์„์„ ์žก๊ณ 

์žˆ๋Š” ํŠน์ดํ•œ ๊ตฌ์กฐ๋ฅผ ๊ฐ–๊ณ  ์žˆ์Šต๋‹ˆ๋‹ค. ์ด ๊ตฌ์กฐ๋กœ ์ธํ•ด ์ถฉ

๋Œ ์‹œ ํผ์ ธ๋‚˜๊ฐ€๋Š” ๋ถ„์ถœ๋ฌผ์ด ๋””๋ชจํฌ์Šค์˜ ์šด๋™๋Ÿ‰์„ ๋ณ€ํ•˜

๊ฒŒ ํ•˜๋ฏ€๋กœ, ๋ถ„์ถœ๋ฌผ์˜ ์šด๋™๋Ÿ‰์„ ๊ตฌํ•ด์•ผ ํ•ฉ๋‹ˆ๋‹ค. ์ด๋Š” ์šด ๋™๋Ÿ‰ ๋ณด์กด ๋ฒ•์น™์œผ๋กœ ์„ค๋ช…ํ•  ์ˆ˜ ์žˆ๊ณ , ์ด์— ๋Œ€ํ•œ ์ˆ˜์‹์€ ์•„๋ž˜์™€ ๊ฐ™์Šต๋‹ˆ๋‹ค.

Mฮ”v = mU + m(ฮฒ -1)(ฮ• โˆ™U )ฮ•

Mฮ”v๋Š” ๋””๋ชจํฌ์Šค์˜ ์šด๋™๋Ÿ‰ ๋ณ€ํ™”๋Ÿ‰์„ ๋งํ•˜๋ฉฐ, mU๋Š” ์ถฉ ๋Œ ์ „ DART ์šฐ์ฃผ์„ ์˜ ์šด๋™๋Ÿ‰, ฮ•์€ ๋ถ„์ถœ๋ฌผ ์šด๋™๋Ÿ‰์˜ ๋ฐฉ ํ–ฅ์ž…๋‹ˆ๋‹ค. m ( ฮฒ - 1 )( ฮ• โˆ™U ) ฮ• ๋Š” ๋ถ„์ถœ๋ฌผ์˜ ์šด๋™๋Ÿ‰์ธ๋ฐ, m ( ฮฒ - 1 )( ฮ• โˆ™U ) ฮ• ๊ฐ€ 0์—์„œ ๋ฉ€์–ด์งˆ์ˆ˜๋ก ๋ถ„์ถœ๋ฌผ์ด ๋””๋ชจ ํฌ์Šค์˜ ์šด๋™๋Ÿ‰ ๋ณ€ํ™”์— ๋” ๋งŽ์ด ๊ธฐ์—ฌํ•œ๋‹ค๋Š” ๊ฒƒ์„ ์˜๋ฏธ ํ•ฉ๋‹ˆ๋‹ค.

๊ถค๋„๋ฅผ
PI E 4 5 24 ๊ธฐํšํŠน์ง‘ : ์šฐ์ฃผ ๊ฐœ๋ฐœ
0.03T

๊ทธ๋ฆผ 6. ์šฐ์ฃผ์„  ์ถฉ๋Œ ์ „ํ›„์˜ ๋””๋ชจํฌ์Šค ๊ถค๋„ ๋ณ€ํ™”

์ด๋•Œ ๋ถ„์ถœ๋ฌผ์˜ ์šด๋™๋Ÿ‰ ๋ณ€ํ™”์˜ ๊ธฐ์—ฌ ์ •๋„๋ฅผ ๊ตฌํ•˜๊ธฐ ์œ„ํ•ด, ๋ถ„์ถœ๋ฌผ์˜ ์šด๋™๋Ÿ‰๊ณผ ์šฐ์ฃผ์„  ์ถฉ๋Œ ์ „ ์šด๋™๋Ÿ‰์˜ ๋น„์œจ์„

๋‚˜ํƒ€๋‚ด๋Š” ฮฒ ์˜ ๊ฐ’์„ ์•Œ์•„์•ผ ํ•ฉ๋‹ˆ๋‹ค. ์ด๋•Œ ๊ตฌํ•˜๊ณ ์ž ํ•˜๋Š”

ฮฒ ์— ๋Œ€ํ•ด ์†Œํ–‰์„ฑ์˜ ์šด๋™ ๋ฐฉํ–ฅ์„ ๋‚˜ํƒ€๋‚ด๋Š” ๋‹จ์œ„ ๋ฒกํ„ฐ8 e t

๊ณผ ฮ” v ๋กœ ์•„๋ž˜์™€ ๊ฐ™์ด ์‹์„ ํ‘œํ˜„ํ•  ์ˆ˜ ์žˆ์Šต๋‹ˆ๋‹ค.

์ง€๊ธˆ๊นŒ์ง€ ์†Œํ–‰์„ฑ ๊ด€์ธก ๊ธฐ์ˆ , ํ† ๋ฆฌ๋…ธ ์ฒ™๋„์™€ ํŒ”๋ ˆ๋ฅด๋ชจ ์ฒ™ ๋„, ๊ทธ๋ฆฌ๊ณ  DART ํ”„๋กœ์ ํŠธ๋ฅผ ์‚ดํŽด๋ณด์•˜์Šต๋‹ˆ๋‹ค. ์ด๋ ‡๊ฒŒ ์ธ๋ฅ˜๋Š” ์†Œํ–‰์„ฑ ์ถฉ๋Œ์— ๋Œ€๋น„ํ•˜๊ณ  ์žˆ์ง€๋งŒ, NASA์— ๋”ฐ๋ฅด

๋ฉด ์•„์ง ๋ฐœ๊ฒฌ๋˜์ง€ ์•Š์€ ์†Œํ–‰์„ฑ์€ ์•ฝ 1๋งŒ 5์ฒœ์—ฌ ๊ฐœ์— ๋‹ฌ

ํ•œ๋‹ค๊ณ  ํ•ฉ๋‹ˆ๋‹ค. ๋งŒ์•ฝ ๋ฐœ๊ฒฌ๋˜์ง€ ์•Š์€ ๊ฑฐ๋Œ€ ์†Œํ–‰์„ฑ์ด ์ง€๊ตฌ

์— ์ถฉ๋Œํ•œ๋‹ค๋ฉด ์ธ๋ฅ˜๋Š” ์ƒ์กดํ•˜๊ธฐ ๋งค์šฐ ์–ด๋ ค์šธ ๊ฒƒ์ž…๋‹ˆ๋‹ค.

๋”ฐ๋ผ์„œ, ์ƒˆ ์ฃผ๊ฑฐ์ง€ ํƒ์ƒ‰ ๋“ฑ ์™ธ๋ถ€ ์œ„ํ˜‘์—์„œ ๋ฒ—์–ด๋‚˜๊ธฐ ์œ„

ํ•œ ์ƒˆ๋กœ์šด ํ•ด๊ฒฐ์ฑ…์„ ์ฐพ๊ธฐ ์œ„ํ•ด ์ธ๋ฅ˜๋Š” ๊ณ„์†ํ•ด์„œ ์šฐ์ฃผ ๊ฐœ

๋ฐœ์„ ์ง„ํ–‰ํ•ด์•ผ ํ•ฉ๋‹ˆ๋‹ค. ๋‹ค์Œ ๊ผญ์ง€์—์„œ ์šฐ์ฃผ ๊ฐœ๋ฐœ์€ ์–ด๋–ค

๋ฐฉ๋ฒ•์œผ๋กœ ์ด๋ฃจ์–ด์ง€๋Š”์ง€ ์•Œ์•„๋ณด๋„๋ก ํ•ฉ์‹œ๋‹ค!

6. ๊ด‘๋ฒ”์œ„ํ•œ ์ˆซ์ž๋ฅผ ๋กœ๊ทธ๋ฅผ ์ด์šฉ

๋น„์œจ๋กœ ๊ฐ„๊ฒฐํ•˜๊ฒŒ ํ‘œํ˜„ํ•˜ ๋Š” ๋ฐฉ๋ฒ•

7. ๊ทธ๋ฆผ 5์— ๋‚˜ํƒ€๋‚œ Didymos B์˜ ๋‹ค๋ฅธ ์ด๋ฆ„

์ด๋•Œ ฮฒ ๊ฐ’์ด 1 ๊ทผ์ฒ˜์ผ ๊ฒฝ์šฐ ์ฒซ ๋ฒˆ์งธ ์‹์˜ m ( ฮฒ - 1 )( ฮ•

โˆ™U )ฮ• ํ•ญ์ด 0์— ๊ฐ€๊นŒ์šด ๊ฐ’์„ ๊ฐ–๊ฒŒ ๋˜๋ฏ€๋กœ, ๋ถ„์ถœ๋ฌผ์ด ๋””

๋ชจํฌ์Šค์˜ ์šด๋™๋Ÿ‰ ๋ณ€ํ™”์— ํฌ๊ฒŒ ๊ธฐ์—ฌํ•˜์ง€ ์•Š์Œ์„ ์˜๋ฏธํ•ฉ

๋‹ˆ๋‹ค. ํ•˜์ง€๋งŒ ฮฒ ๊ฐ’์ด 2๋ณด๋‹ค ํฐ ๊ฒฝ์šฐ, ๋””๋ชจํฌ์Šค ์†Œํ–‰์„ฑ

์˜ ์šด๋™๋Ÿ‰ ๋ณ€ํ™”๋Ÿ‰์— ๋ถ„์ถœ๋ฌผ์ด ๊ธฐ์—ฌํ•œ ์ •๋„๊ฐ€ ์šฐ์ฃผ์„ ์ด

์ง์ ‘ ์ „๋‹ฌํ•œ ์šด๋™๋Ÿ‰๋ณด๋‹ค ํฌ๋‹ค๋Š” ๊ฒƒ์„ ์˜๋ฏธํ•ฉ๋‹ˆ๋‹ค. ๊ณ„

์‚ฐ ๊ฒฐ๊ณผ, ฮฒ ๊ฐ’์€ ์•ฝ 3.61 (1ฯƒ) ๋กœ ์†Œํ–‰์„ฑ ๋ถ„์ถœ๋ฌผ๋กœ ์ธ

ํ•ด ๋ฐœ์ƒํ•œ ์šด๋™๋Ÿ‰์ด ์šฐ์ฃผ์„  ์ถฉ๋Œ ์šด๋™๋Ÿ‰์˜ ์•ฝ 3.6๋ฐฐ ์ •

๋„๋กœ ๋งค์šฐ ์ปธ์Œ์„ ์•Œ ์ˆ˜ ์žˆ์Šต๋‹ˆ๋‹ค. ์ด๋Ÿฐ ์ด์œ ๋กœ ๊ทธ๋ฆผ 6

์—์„œ ๋ณผ ์ˆ˜ ์žˆ๋“ฏ ๋””๋ชจํฌ์Šค์˜ ๊ถค๋„๊ฐ€ ์‹ค์„ ์—์„œ ์ ์„ ์œผ๋กœ

์˜ˆ์ƒ๋ณด๋‹ค ํฌ๊ฒŒ ๋ณ€๊ฒฝ๋˜์—ˆ๋˜ ๊ฒƒ์ž…๋‹ˆ๋‹ค.

[๊ทธ๋ฆผ ์ถœ์ฒ˜]

๊ทธ๋ฆผ 1. โ€œ์†Œํ–‰์„ฑ ์ถฉ๋Œ์˜ ์œ„๋ ฅ์€ ์–ด๋А ์ •๋„์ผ๊นŒ? ์†Œํ–‰์„ฑ ์ถฉ๋Œ์„ ๋ง‰๊ธฐ ์œ„ํ•œ DART ํ”„๋กœ์ ํŠธโ€. ใ€Œํ•œํ™”์—์–ด๋กœ์ŠคํŽ˜์ด์Šคใ€. 2022.10.19. https://blog.naver.com/haspr/222904336147

๊ทธ๋ฆผ 2. Roy Briggs. โ€œDECam The Dark Energy Survey Cameraโ€. SlidePlayer .2009. https://slideplayer.com/slide/12874318/78/ images/7/EPS-HEP2009+DECam+I.Sevilla.jpg

๊ทธ๋ฆผ 3. โ€œDefinition of charge coupled device (CCD)โ€. Chemicool Dictionary. https://www.chemicool.com/definition/charge_coupled_ device_ccd.html

๊ทธ๋ฆผ 4. โ€œํ† ๋ฆฌ๋…ธ ์ฒ™๋„โ€. ใ€Œ์œ„ํ‚คํ”ผ๋””์•„ใ€. https://ko.wikipedia.org/wiki/% ED%86%A0%EB%A6%AC%EB%85%B8_%EC%B2%99% EB%8F%84

๊ทธ๋ฆผ 5. โ€œDARTโ€. THE EUROPEAN SPACE AGENCY. https://www.esa. int/Space_Safety/Hera/DART

๊ทธ๋ฆผ 6. Graykowski, A., Lambert, R.A., Marchis, F. et al. ใ€Œ Momentum transfer from the DART mission kinetic impact on asteroid Dimorphosใ€. 2023. https://doi.org/10.1038/s41586-02305852-9

[์ฐธ๊ณ  ์ž๋ฃŒ]

1. ๊ณฝ๋…ธํ•„. ใ€Œ์ด ์†Œํ–‰์„ฑ, 23๋…„ ๋’ค ์ง€๊ตฌ ์ถฉ๋Œํ• ๊นŒโ€ฆ์œ„ํ—˜๋„ 1์œ„๊ฐ€ ๋ฐ”๋€Œ์—ˆ๋‹คใ€. ใ€Žํ•œ๊ฒจ๋ก€ใ€. 2023.03.10. https://www.hani.co.kr/arti/science/science_ general/1083010.html

2. โ€œDark Energy Camera(DECam)โ€. THE DARK ENERGY SURVEY. 2016.01. https://www.darkenergysurvey.org/the-des-project/ instrument/

3. Graykowski, A., Lambert, R.A., Marchis, F. et al. โ€œMomentum transfer from the DART mission kinetic impact on asteroid Dimorphos.โ€. Nature 616. (2023): pp. 461โ€“464.

4. โ€œPalermo Technical Impact Hazard Scaleโ€. NASA. https://cneos.jpl. nasa.gov/sentry/palermo_scale.html

5. Steven R. Chesley, Paul W. Chodas, Andrea Milani, Giovanni B. Valsecchi and Donald K. Yeomans. โ€œQuantifying the Risk Posed by Potential Earth Impactsโ€. Icarus 159. (2002): pp. 423-432.

6. Tom Diehl. โ€œThe Dark Energy Survey Cameraโ€. Fermi National Accelerator Laboratory. 2011.

ํ•˜์—ฌ
8. ํฌ๊ธฐ๊ฐ€
+ 0.19 โ€“ 0.25 ฮฒ = 1 + (ฮ• โˆ™U )(ฮ• e t) (ฮ” v โˆ™ e t) - (Uโˆ™ e t) M m 25
1์ธ ๋ฒกํ„ฐ

๊ผญ์ง€ 1์—์„œ๋Š” ์šฐ์ฃผ ๊ฐœ๋ฐœ์˜ ์ด์œ ์— ๋Œ€ํ•ด ์•Œ์•„๋ณด์•˜์Šต๋‹ˆ๋‹ค.

๊ทธ๋ ‡๋‹ค๋ฉด ์šฐ์ฃผ ๊ฐœ๋ฐœ์€ ์–ด๋–ป๊ฒŒ ์ด๋ฃจ์–ด์ง€๋Š” ๊ฒƒ์ผ๊นŒ์š”? ์šฐ

์ฃผ ๊ฐœ๋ฐœ ๋ฐฉ๋ฒ•์€ ํฌ๊ฒŒ ์œ ์ธ ํƒ์‚ฌ์™€ ๋ฌด์ธ ํƒ์‚ฌ๋กœ ๋‚˜๋ˆŒ ์ˆ˜

์žˆ๋Š”๋ฐ์š”. ํ˜„์žฌ ์šฐ์ฃผ ๊ฐœ๋ฐœ ๋Œ€๋ถ€๋ถ„์€ ํƒ์‚ฌ์„ ์ด ์ฒœ์ฒด ํ‘œ๋ฉด

์„ ๋ถ„์„ํ•˜์—ฌ ์ง€๊ตฌ๋กœ ์ •๋ณด๋ฅผ ์†ก์‹ ํ•˜๋Š” ๋ฌด์ธ ํƒ์‚ฌ ๋ฐฉ์‹์œผ

๋กœ ์ด๋ฃจ์–ด์ง€๊ณ  ์žˆ์Šต๋‹ˆ๋‹ค. ์ด๋ฒˆ ๊ผญ์ง€์—์„œ๋Š” ๋ฌด์ธ ํƒ์‚ฌ์„ 

์ด ์–ด๋–ป๊ฒŒ ์šฐ์ฃผ๋กœ ๊ฐ€๋Š”์ง€, ์šฐ์ฃผ์—์„œ ๋ฌด์—‡์„ ํ•˜๋Š”์ง€ ์•Œ์•„

๋ณด๋„๋ก ํ•˜๊ฒ ์Šต๋‹ˆ๋‹ค.

์šฐ์ฃผ์—์„œ ํƒ์‚ฌ์„ ์˜ ๊ถค์ ์€ ๋ชฉํ‘œ ์ฒœ์ฒด์— ๋”ฐ๋ผ, ๊ทธ๋ฆฌ๊ณ  ํƒ

์‚ฌ ๋ชฉ์ ์— ๋”ฐ๋ผ ์ฐจ์ด๊ฐ€ ์žˆ์Šต๋‹ˆ๋‹ค. ๋‹ฌ, ํ™”์„ฑ, ํ† ์„ฑ ๋“ฑ ๋งŽ์€

์ฒœ์ฒด ์ค‘ ๋‹จ์—ฐ ๊ฐ€์žฅ ๋งŽ์€ ํƒ์‚ฌ ํšŸ์ˆ˜๋ฅผ ์ž๋ž‘ํ•˜๋Š” ๊ฒƒ์€ ๋‹ฌ

ํƒ์‚ฌ์ž…๋‹ˆ๋‹ค. ๋”ฐ๋ผ์„œ ์ง€๊ตฌ์—์„œ ๋‹ฌ๋กœ ํƒ์‚ฌ์„ ์„ ๋ณด๋‚ด๋Š” ๊ฒฝ

์šฐ๋ฅผ ์‚ดํŽด๋ณด๊ฒ ์Šต๋‹ˆ๋‹ค.

์ง์ ‘ ์ „์ด ๊ถค์ 

์ง€๊ตฌ์—์„œ ๋‹ฌ๋กœ ํƒ์‚ฌ์„ ์„ ๋ณด๋‚ด๋ ค๋ฉด ์–ด๋–ค ๊ฒฝ๋กœ๋กœ ๊ฐ€๋Š” ๊ฒƒ

์ด ๊ฐ€์žฅ ์ ํ•ฉํ• ๊นŒ์š”? ๋จผ์ € ์ง€๊ตฌ์™€ ๋‹ฌ์„ ์ž‡๋Š” ์ตœ๋‹จ ๊ฒฝ

๋กœ๋ฅผ ๋– ์˜ฌ๋ฆด ์ˆ˜ ์žˆ๋Š”๋ฐ์š”. ์ด๋ฅผ ์ง์ ‘ ์ „์ด ๊ถค์ ์ด๋ผ๊ณ 

ํ•ฉ๋‹ˆ๋‹ค. ์ตœ๋‹จ ๊ฒฝ๋กœ๋ผ๊ณ  ํ•˜๋ฉด ์ง์„ ์„ ๋– ์˜ฌ๋ฆด ์ˆ˜๋„ ์žˆ๊ฒ 

์ง€๋งŒ ์ฒœ์ฒด์˜ ์ž์ „ ๋ฐ ๊ณต์ „์„ ๊ณ ๋ คํ•˜๋ฉด ๊ทธ๋ฆผ 1 ์† ๊ณก์„ 

์ด ์ง€๊ตฌ์™€ ๋‹ฌ์„ ์ž‡๋Š” ์ตœ๋‹จ ๊ฒฝ๋กœ๊ฐ€ ๋ฉ๋‹ˆ๋‹ค. ์ตœ๋‹จ ๊ฒฝ๋กœ์ด

๊ธฐ ๋•Œ๋ฌธ์— ๋น„ํ–‰์‹œ๊ฐ„์ด 3~6์ผ๋กœ ๋งค์šฐ ์งง๋‹ค๋Š” ํŠน์ง•์ด ์žˆ

์Šต๋‹ˆ๋‹ค. ํ•˜์ง€๋งŒ ์ผ๋ฐ˜์ ์œผ๋กœ ๋ฌด์ธ ํƒ์‚ฌ์„ ์„ ์šฐ์ฃผ๋กœ ๋ณด๋‚ผ

๋•Œ๋Š” ์ง์ ‘ ์ „์ด ๊ถค์ ์„ ๋”ฐ๋ฅด์ง€ ์•Š์Šต๋‹ˆ๋‹ค. ๊ทธ ์ด์œ ๋Š” ํƒœ

์–‘์˜ ์ค‘๋ ฅ์„ ์ด์šฉํ•˜์ง€ ์•Š์•„ ๋งŽ์€ ์—ฐ๋ฃŒ๊ฐ€ ํ•„์š”ํ•˜๋ฉฐ, ๋ฌด

์ธ ์šฐ์ฃผ ํƒ์‚ฌ์„ ์€ ์œ ์ธ ํƒ์‚ฌ์„ ๊ณผ ๋‹ฌ๋ฆฌ ์ด๋ฅธ ์‹œ์ผ ์•ˆ์—

๋ชฉํ‘œ ์ฒœ์ฒด์— ๋„์ฐฉํ•˜์ง€ ์•Š์•„๋„ ๋˜๊ธฐ ๋•Œ๋ฌธ์ž…๋‹ˆ๋‹ค. ๋”ฐ๋ผ์„œ

์ผ๋ฐ˜์ ์ธ ๋ฌด์ธ ์šฐ์ฃผ ํƒ์‚ฌ์„ ์€ ์ตœ๋‹จ ๊ฒฝ๋กœ๊ฐ€ ์•„๋‹Œ ๊ฒฝ๋กœ๋ฅผ

๋”ฐ๋ผ ๋ชฉํ‘œ ์ฒœ์ฒด์— ๋„์ฐฉํ•ฉ๋‹ˆ๋‹ค. ์ด ์ค‘ ๋Œ€ํ‘œ์ ์ธ ๊ถค์ ์ด

๋ฐ”๋กœ WSB ์ „์ด ๊ถค์ ์ž…๋‹ˆ๋‹ค.

WSB ์ „์ด ๊ถค์ 

WSB(Weak Stability Boundary) ์ „์ด ๊ถค์ ์€ ํƒ์‚ฌ์„ 

์„ ํƒœ์–‘ ์ชฝ์œผ๋กœ ๋ณด๋ƒˆ๋‹ค๊ฐ€ ๋‹ฌ๋กœ ๋Œ์•„์˜ค๊ฒŒ ํ•˜๋Š” ๊ถค์ ์ธ๋ฐ

์š”. ํฅ๋ฏธ๋กญ๊ฒŒ๋„ ์ด ๊ถค์ ์€ ํƒ์‚ฌ์„ ์˜ ์—ฐ๋ฃŒ๋ฅผ ๊ฐ€์žฅ ๋งŽ์ด ์•„

๋‚„ ์ˆ˜ ์žˆ๋Š” ๊ฒฝ๋กœ์ž…๋‹ˆ๋‹ค. ์•„๋ž˜ ๊ทธ๋ฆผ์—์„œ ๋ณผ ์ˆ˜ ์žˆ๋“ฏ ์ง์ ‘

์ „์ด ๊ถค์ ์— ๋น„ํ•ด ๊ฒฝ๋กœ๊ฐ€ ๋งค์šฐ ๊ธธ๊ณ  ๋ณต์žกํ•œ๋ฐ ์–ด๋–ป๊ฒŒ ์—ฐ

๋ฃŒ๋ฅผ ์•„๋‚„ ์ˆ˜ ์žˆ๋Š” ๊ฒƒ์ผ๊นŒ์š”? ์ด๋Š” ํ•ด๋‹น ๊ฒฝ๋กœ๊ฐ€ ์ง€๊ตฌ์™€

ํƒœ์–‘ ์‚ฌ์ด์˜ ๋ผ๊ทธ๋ž‘์ฃผ์ ์„ ์ง€๋‚˜๊ธฐ ๋•Œ๋ฌธ์ž…๋‹ˆ๋‹ค.

๊ธฐํšํŠน์ง‘ โ‘ก ์šฐ์ฃผ ๊ฐœ๋ฐœ์˜
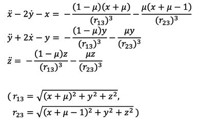
๊ธ€ ๋ฌด์€์žฌํ•™๋ถ€ 23ํ•™๋ฒˆ 29๊ธฐ ์•Œ๋ฆฌ๋ฏธ ๋ฐ•๋‹คํ˜„ ๊ทธ๋ฆผ 1. ์ง์ ‘ ์ „์ด ๊ถค์  ๊ทธ๋ฆผ 2. WSB ์ „์ด ๊ถค์ (์ƒ) / ๊ทธ๋ฆผ 3. ์ง€๊ตฌ, ํƒœ์–‘, ํƒ์‚ฌ์„ ์˜ ์œ„์น˜ ๊ด€๊ณ„(ํ•˜) 26 ๊ธฐํšํŠน์ง‘ : ์šฐ์ฃผ ๊ฐœ๋ฐœ
๋ฐฉ๋ฒ•

๋ผ๊ทธ๋ž‘์ฃผ์ ์—์„œ๋Š” ๊ณต์ „ํ•˜๋Š” ๋‘ ๊ฐœ์˜ ์ฒœ์ฒด์— ์˜ํ•œ ์ค‘๋ ฅ

๊ณผ ํƒ์‚ฌ์„ ์˜ ์›์‹ฌ๋ ฅ์ด ์ƒ์‡„๋ฉ๋‹ˆ๋‹ค. ๋”ฐ๋ผ์„œ ํƒ์‚ฌ์„ ์€ ์‹ค

์งˆ์ ์œผ๋กœ ์ค‘๋ ฅ์˜ ์˜ํ–ฅ์„ ๋ฐ›์ง€ ์•Š๊ฒŒ ๋˜์–ด ํ•œ ์œ„์น˜์— ์ •์ง€

ํ•ด ์žˆ์„ ์ˆ˜ ์žˆ์ฃ . ์ฆ‰, ๋ผ๊ทธ๋ž‘์ฃผ์ ์€ ์ง€๊ตฌ์™€ ํƒœ์–‘์ด๋ผ๋Š”

๋‘ ๊ฐœ์˜ ์งˆ์ 1์ด ํƒ์‚ฌ์„ ์— ๊ฐ€ํ•˜๋Š” ์ค‘๋ ฅ๊ณผ ํƒ์‚ฌ์„ ์˜ ์งˆ๋Ÿ‰

์ค‘์‹ฌ์  ๋ฐฉํ–ฅ์œผ๋กœ์˜ ์›์‹ฌ๋ ฅ์ด ์ •ํ™•ํžˆ ์ผ์น˜ํ•˜๋Š” ์ง€์ ์„

๋งํ•ฉ๋‹ˆ๋‹ค. ์ง€๊ตฌ์™€ ํƒœ์–‘ ์‚ฌ์ด์˜ ๋ผ๊ทธ๋ž‘์ฃผ์ ์€ ์ง€๊ตฌ, ํƒœ์–‘, ํƒ์‚ฌ์„ ์ด๋ผ๋Š” ์„ธ ๋ฌผ์ฒด ๊ฐ„์˜ ์šด๋™๋ฐฉ์ •์‹์—์„œ ์œ ๋„ํ•ด ๋‚ผ

์ˆ˜ ์žˆ์Šต๋‹ˆ๋‹ค. ๋ฐฉ์ •์‹์˜ ๋ฌผ๋ฆฌ๋Ÿ‰๋“ค์„ ํŽธ๋ฆฌํ•˜๊ฒŒ ๋ถ„์„ํ•  ์ˆ˜

์žˆ๋„๋ก ์ด ์ƒํ™ฉ์„ ๋ฌด์ฐจ์›ํ™”2ํ•œ ์šด๋™๋ฐฉ์ •์‹์€ ์•„๋ž˜์™€ ๊ฐ™

์Šต๋‹ˆ๋‹ค.

์•ž์„œ ๋งํ–ˆ๋“ฏ ๋ผ๊ทธ๋ž‘์ฃผ์ ์€ ํƒ์‚ฌ์„ ์ด ์‹ค์งˆ์ ์œผ๋กœ ์ค‘๋ ฅ

์˜ ์˜ํ–ฅ์„ ๋ฐ›์ง€ ์•Š๊ณ  ์ •์ง€ํ•ด ์žˆ์„ ์ˆ˜ ์žˆ๋Š” ํ‰ํ˜•์ ์ด๊ธฐ

์— ํ•ด๋‹น ์ง€์ ์—์„œ์˜ ์†๋„์™€ ๊ฐ€์†๋„๋Š” 0์ž…๋‹ˆ๋‹ค. ๋”ฐ๋ผ์„œ

x , y, z ๊ฐ์ฃผ3์™€ x , y , z ๊ฐ์ฃผ4๊ฐ€ ๋ชจ๋‘ 0์ผ ๋•Œ์˜ ์œ„์น˜ (xe, ye, ze)

๊ฐ€ ๋ฐ”๋กœ ๋ผ๊ทธ๋ž‘์ฃผ์ ์ž…๋‹ˆ๋‹ค. ์ด๋ ‡๊ฒŒ ๊ณ„์‚ฐํ•ด ๋‚ธ ๋ผ๊ทธ๋ž‘์ฃผ

์ ์€ ๊ทธ๋ฆผ 4์—์„œ ๋ณผ ์ˆ˜ ์žˆ๋“ฏ์ด L1 ~ L 5๋กœ ์ด 5๊ฐœ์ž…๋‹ˆ๋‹ค.

๋ฌผ๋ฆฌํ•™์—์„œ๋Š” ์ด ์ง€์ ๋“ค์„ ํ‰ํ˜•์ 5์ด๋ผ๊ณ  ๋ถ€๋ฅด๋Š”๋ฐ ๊ทธ

์ค‘ L1, L2, L3๋Š” ์•ˆ์ • ํ‰ํ˜•์ , L4, L5๋Š” ๋ถˆ์•ˆ์ • ํ‰ํ˜•์ ์— ํ•ด๋‹นํ•ฉ๋‹ˆ๋‹ค.

๊ทธ๋ฆผ 4. ๋ผ๊ทธ๋ž‘์ฃผ ์ 

์•ˆ์ • ํ‰ํ˜•์ ์—์„œ๋Š” ๋ฌผ์ฒด๋ฅผ ๋ฐ€์–ด๋„ ๋‹ค์‹œ ํ‰ํ˜•์ ์œผ๋กœ ๋Œ

์•„์˜ค์ง€๋งŒ, ๋ถˆ์•ˆ์ • ํ‰ํ˜•์ ์—์„œ๋Š” ์•„์ฃผ ์ž‘์€ ํž˜๋งŒ์œผ๋กœ๋„

๋ฌผ์ฒด๊ฐ€ ํ‰ํ˜•์ ์—์„œ ๋ฒ—์–ด๋‚œ๋‹ค๋Š” ํŠน์ง•์ด ์žˆ์Šต๋‹ˆ๋‹ค.

์•ˆ์ •์ ์ธ ํ‰ํ˜•์  ๋ถˆ์•ˆ์ •์ ์ธ ํ‰ํ˜•์ 

๊ทธ๋ฆผ 5. ์•ˆ์ • ํ‰ํ˜•์ ๊ณผ ๋ถˆ์•ˆ์ • ํ‰ํ˜•์ 

์ฆ‰, ๊ทธ๋ฆผ 4์—์„œ L4๋‚˜ L5์™€ ๊ฐ™์€ ๋ถˆ์•ˆ์ • ํ‰ํ˜•์ ์— ํ•ด๋‹นํ•˜

๋Š” ๋ผ๊ทธ๋ž‘์ฃผ์ ์—์„œ๋Š” ์•„์ฃผ ์ž‘์€ ์—ฐ๋ฃŒ๋งŒ์œผ๋กœ๋„ ์šฐ์ฃผ์„ ์„

์›€์ง์ผ ์ˆ˜ ์žˆ์ฃ . ๊ฒฐ๋ก ์ ์œผ๋กœ WSB ์ „์ด ๊ถค์ ์€ ์ง€๊ตฌ์™€ ๋‹ฌ

์‚ฌ์ด์˜ ๋ถˆ์•ˆ์ • ํ‰ํ˜• ์ƒํƒœ์˜ ๋ผ๊ทธ๋ž‘์ฃผ์ ์„ ์ง€๋‚˜๊ฐ€๊ธฐ ๋•Œ

๋ฌธ์— ์ด๋™ ๊ฑฐ๋ฆฌ๋Š” ๋‹ค๋ฅธ ๊ฒฝ๋กœ์— ๋น„ํ•ด ๊ธธ์ง€๋งŒ, ์—ฐ๋ฃŒ๋ฅผ ํฌ๊ฒŒ

์ ˆ๊ฐํ•  ์ˆ˜ ์žˆ์Šต๋‹ˆ๋‹ค.

๋ชฉํ‘œ ์ฒœ์ฒด์— ๋„๋‹ฌํ•œ ์šฐ์ฃผ ํƒ์‚ฌ์„ ์€ ์ฒœ์ฒด ํ‘œ๋ฉด์„ ํƒ์‚ฌํ•˜

๋ฉด์„œ ์ง€์งˆํ•™์  ํŠน์ง• ๋“ฑ์„ ๋ถ„์„ํ•˜๋Š”๋ฐ์š”. ์ด๋ฅผ ์œ„ํ•ด์„œ ํƒ์‚ฌ

์„ ์—๋Š” ์‹œ๋ฃŒ ์ธก์ • ์žฅ๋น„๊ฐ€ ์กด์žฌํ•ฉ๋‹ˆ๋‹ค. ์ด์ œ ์‹œ๋ฃŒ ์ธก์ • ์žฅ

๋น„์˜ ์›๋ฆฌ๋ฅผ ์ดํ•ดํ•˜๊ธฐ ์œ„ํ•ด ๋Œ€ํ‘œ์ ์ธ ์‹œ๋ฃŒ ์ธก์ • ๋ฐฉ๋ฒ•์ธ X

์„  ๊ด‘์ „์ž ๋ถ„๊ด‘๋ฒ•์— ๋Œ€ํ•ด ์ž์„ธํžˆ ์•Œ์•„๋ณด๋„๋ก ํ•˜๊ฒ ์Šต๋‹ˆ๋‹ค.

X์„  ๊ด‘์ „์ž ๋ถ„๊ด‘๋ฒ•

X์„  ๊ด‘์ „์ž ๋ถ„๊ด‘๋ฒ•(XPS)์„ ์ดํ•ดํ•˜๊ธฐ ์œ„ํ•ด์„œ๋Š” ๊ด‘์ „ํšจ

๊ณผ์— ๋Œ€ํ•ด ์•Œ์•„์•ผ ํ•ฉ๋‹ˆ๋‹ค. ๊ด‘์ „ํšจ๊ณผ๋Š” ๊ธˆ์†์ด ํ•œ๊ณ„ ์ง„๋™

์ˆ˜๋ณด๋‹ค ํฐ ์ง„๋™์ˆ˜๋ฅผ ๊ฐ€์ง„ ๋น›์„ ํก์ˆ˜ํ–ˆ์„ ๋•Œ ์ „์ž๋ฅผ ๋‚ด๋ณด

๋‚ด๋Š” ํ˜„์ƒ์ž…๋‹ˆ๋‹ค. ์ž…์‚ฌํ•œ ๊ด‘์ž์™€ ์ „์ž๊ฐ€ ์ถฉ๋Œํ•˜๋ฉด ๊ด‘์ž

์˜ ์—๋„ˆ์ง€๊ฐ€ ์ „์ž๋กœ ์ „๋‹ฌ๋ฉ๋‹ˆ๋‹ค. ์ „๋‹ฌ๋œ ์—๋„ˆ์ง€๊ฐ€ ๊ธˆ์†

์˜ ์ผํ•จ์ˆ˜๋ณด๋‹ค ์ž‘๋‹ค๋ฉด ๊ด‘์ „์ž๊ฐ€ ๋ฐฉ์ถœ๋˜์ง€ ์•Š์ง€๋งŒ, ์ผํ•จ

์ˆ˜๋ณด๋‹ค ํฌ๋‹ค๋ฉด ๊ด‘์ž์˜ ์—๋„ˆ์ง€์™€ ์ผํ•จ์ˆ˜์˜ ์ฐจ์ด๋งŒํผ์˜

์šด๋™์—๋„ˆ์ง€๋ฅผ ๊ฐ€์ง„ ๊ด‘์ „์ž๊ฐ€ ๋ฐฉ์ถœ๋ฉ๋‹ˆ๋‹ค. ๊ธˆ์†์˜ ์ข…๋ฅ˜

์— ๋”ฐ๋ผ ์›์ž์™€ ์ „์ž ์‚ฌ์ด์˜ ๊ณ ์œ ํ•œ ๊ฒฐํ•ฉ์—๋„ˆ์ง€6์ธ ์ผํ•จ

์ˆ˜(W)๊ฐ€ ์กด์žฌํ•˜๋Š”๋ฐ, ์ด๋•Œ ๊ฒฐํ•ฉ์—๋„ˆ์ง€๊ฐ€ ํด์ˆ˜๋ก ์ „์ž๋ฅผ

๋‚ด๋ณด๋‚ด๋Š” ๋ฐ ๋” ๋งŽ์€ ์—๋„ˆ์ง€๊ฐ€ ํ•„์š”ํ•˜๊ธฐ์— ๋” ๋†’์€ ์ง„๋™ ์ˆ˜์˜ ๊ด‘์ž๊ฐ€ ํ•„์š”ํ•ฉ๋‹ˆ๋‹ค. ๋ฐฉ์ถœ๋œ ๊ด‘์ „์ž์˜ ์šด๋™์—๋„ˆ์ง€ ๋Š” ์•„๋ž˜์™€ ๊ฐ™์€ ์‹์œผ๋กœ ๋‚˜ํƒ€๋‚  ์ˆ˜ ์žˆ์Šต๋‹ˆ๋‹ค.

Eb = hv - Ek - W

Ek : ๋ฐฉ์ถœ๋œ๊ด‘์ „์ž์˜์šด๋™์—๋„ˆ์ง€, hv : ์ž…์‚ฌ๋œ๊ด‘์ž์˜์—๋„ˆ์ง€, Eb : ์ „์ž์˜๊ฒฐํ•ฉ์—๋„ˆ์ง€ , W : ์ผํ•จ์ˆ˜

1. ๋ฌผ์ฒด์˜ ์งˆ๋Ÿ‰์ด ์ด์ง‘๊ฒฐํ•œ ๊ฒƒ์œผ ๋กœ ๊ฐ„์ฃผํ•˜๋Š” ์ด์ƒ์ ์ธ ์ 

2. ์ฐจ์›์„ ์ง€๋‹Œ ๋ณ€์ˆ˜๋‚˜ ์ˆ˜์‹์„ ์ฐจ ์›์ด ์—†๋Š” ์ƒํƒœ๋กœ ๋งŒ๋“œ๋Š” ๊ฒƒ

3. ์†๋„๋ฅผ ์˜๋ฏธํ•˜๋Š” ๋ณ€์ˆ˜

4. ๊ฐ€์†๋„๋ฅผ ์˜๋ฏธํ•˜๋Š” ๋ณ€์ˆ˜

5. ๋ฌผ์ฒด์— ์ž‘์šฉํ•˜๋Š” ์•Œ์งœํž˜์ด 0์ธ ์ง€์ 

6. ์—ฌ๋Ÿฌ ๊ฐœ์˜ ๊ตฌ์„ฑ์ž…์ž๊ฐ€ ๊ฒฐํ•ฉํ•˜ ์—ฌ ์ด๋ฃจ์–ด์ง„ ์ฒด๊ณ„์—์„œ ์ด๋“ค ๊ฒฐ ํ•ฉ์„ ๋Š์–ด ๊ตฌ์„ฑ์ž…์ž๋กœ ๋ถ„๋ฆฌ์‹œ ํ‚ค๋Š”๋ฐ ํ•„์š”ํ•œ ์—๋„ˆ์ง€

27

7. ๊ทธ๋ž˜ํ”„์ƒ์—์„œ x = a๋ฅผ ํฌํ•จํ•˜

๋Š” ์–ด๋–ค ์—ด๋ฆฐ๊ตฌ๊ฐ„์˜ y ๊ฐ’์ด a์—

์„œ์˜ y ๊ฐ’๋ณด๋‹ค ์ž‘์œผ๋ฉด a์—์„œ์˜ y ๊ฐ’์ด ํ”ผํฌ๊ฐ€ ๋จ

XPS๋Š” X์„ ์„ ๊ด‘์›์œผ๋กœ ์‚ฌ์šฉํ•˜์—ฌ ๊ด‘์ „ํšจ๊ณผ๋ฅผ ์ผ์œผํ‚ค๊ณ , ๋ฐฉ์ถœ๋œ ๊ด‘์ „์ž์˜ ์šด๋™์—๋„ˆ์ง€๋ฅผ ์ธก์ •ํ•˜์—ฌ ์œ„์˜ ์‹์— ๊ทผ

๊ฑฐํ•ด ๊ฒฐํ•ฉ์—๋„ˆ์ง€๋ฅผ ๊ตฌํ•ฉ๋‹ˆ๋‹ค. ์›์ž๊ฐ€ ๊ณ ์œ ํ•œ ๊ฒฐํ•ฉ์—๋„ˆ

์ง€ ๊ฐ’์„ ๊ฐ€์ง„๋‹ค๋Š” ์ ์„ ์ด์šฉํ•˜๋ฉด ์‹œ๋ฃŒ์˜ ๋ฌผ๋ฆฌํ™”ํ•™์  ์ •

๋ณด๋ฅผ ์•Œ์•„๋‚ผ ์ˆ˜ ์žˆ์Šต๋‹ˆ๋‹ค. XPS์˜ ๊ฒฐ๊ณผ๋กœ ๊ทธ๋ฆผ 6๊ณผ ๊ฐ™์€

ํ˜•ํƒœ์˜ ๊ทธ๋ž˜ํ”„๋ฅผ ์–ป์„ ์ˆ˜ ์žˆ๋Š”๋ฐ์š”. X์ถ•์€ ๊ฒฐํ•ฉ์—๋„ˆ์ง€,

Y์ถ•์€ ๊ฐ•๋„๋ฅผ ์˜๋ฏธํ•˜์—ฌ Y์ถ•์˜ ๊ฐ’์ด ํด์ˆ˜๋ก ๊ทธ ์—๋„ˆ์ง€์—

ํ•ด๋‹นํ•˜๋Š” ๊ฒฐํ•ฉ์˜ ์ˆ˜๊ฐ€ ๋งŽ๋‹ค๋Š” ๊ฒƒ์„ ์˜๋ฏธํ•ฉ๋‹ˆ๋‹ค.

๊ทธ๋ฆผ 6. XPS ๋ฐฉ์ถœ ์ŠคํŽ™ํŠธ๋Ÿผ

์กฐ๊ธˆ ๋” ๊ตฌ์ฒด์ ์œผ๋กœ ์„ค๋ช…ํ•˜๊ธฐ ์œ„ํ•ด ๊ทธ๋ฆผ 7์— ํ‘œํ˜„๋œ ํƒ„์†Œ

์™€ ์‚ฐ์†Œ๋กœ๋งŒ ๊ตฌ์„ฑ๋œ ๋ฌผ์งˆ์˜ ๊ทธ๋ž˜ํ”„๋ฅผ ์˜ˆ๋กœ ๋“ค์–ด๋ณด๊ฒ ์Šต๋‹ˆ

๋‹ค. ์ด๋•Œ ํƒ„์†Œ์™€ ์‚ฐ์†Œ๋กœ ๊ตฌ์„ฑ๋œ ๋ฌผ์งˆ์€ C-C, C-O, O-O ๊ฒฐ

ํ•ฉ์ด ์กด์žฌํ•  ์ˆ˜ ์žˆ๋‹ค๊ณ  ๊ฐ€์ •ํ•˜๊ฒ ์Šต๋‹ˆ๋‹ค. ์ฒซ ๋ฒˆ์งธ ๊ทธ๋ž˜ํ”„

์—์„œ๋Š” 2๊ฐœ์˜ ํ”ผํฌ7๊ฐ€ ์กด์žฌํ•˜๋ฉฐ ๊ฒฐํ•ฉ์—๋„ˆ์ง€์˜ ํฌ๊ธฐ๋ฅผ ํ†ต

ํ•ด ์ฒซ ๋ฒˆ์งธ ํ”ผํฌ๋Š” C-C ๊ฒฐํ•ฉ, ๋‘ ๋ฒˆ์งธ ํ”ผํฌ๋Š” O-O ๊ฒฐํ•ฉ์ž„

์„ ์•Œ ์ˆ˜ ์žˆ์Šต๋‹ˆ๋‹ค. ์ฒซ ๋ฒˆ์งธ ํ”ผํฌ๊ฐ€ ๋” ๋†’๋‹ค๋Š” ์ ์„ ํ†ตํ•ด

C-C ๊ฒฐํ•ฉ์ด O-O ๊ฒฐํ•ฉ๋ณด๋‹ค ๋งŽ๋‹ค๋Š” ์ •๋ณด๋„ ์–ป์–ด๋‚ผ ์ˆ˜ ์žˆ์Šต

๋‹ˆ๋‹ค. ๋‘ ๋ฒˆ์งธ ๊ทธ๋ž˜ํ”„๋„ 2๊ฐœ์˜ ํ”ผํฌ๊ฐ€ ์กด์žฌํ•˜์ง€๋งŒ, ๋‘ ํ”ผ

ํฌ ์‚ฌ์ด์—๋Š” ๊ธฐ์ค€์ ๊ณผ ๋‹ค๋ฅธ ๊ฐ•๋„๋ฅผ ๊ฐ€์ง€๊ณ  ์žˆ์Šต๋‹ˆ๋‹ค. ์ด๋ฅผ

ํ†ตํ•ด C-C์™€ O-O ๊ฒฐํ•ฉ์—๋„ˆ์ง€ ์ค‘๊ฐ„ ์ •๋„์˜ ์—๋„ˆ์ง€๋ฅผ ๊ฐ€์ง€

๋Š” ๊ฒฐํ•ฉ, ์ฆ‰ C-O ๊ฒฐํ•ฉ์ด ์กด์žฌํ•œ๋‹ค๋Š” ๊ฒƒ์„ ์•Œ ์ˆ˜ ์žˆ์Šต๋‹ˆ๋‹ค.

์ง€๊ธˆ๊นŒ์ง€ ํƒ์‚ฌ์„ ์ด ์šฐ์ฃผ๋กœ ๋‚˜์•„๊ฐ€๋Š” ๊ถค์ ๊ณผ ์ฒœ์ฒด์— ๋„

์ฐฉํ•œ ํƒ์‚ฌ์„ ์ด ์‹œ๋ฃŒ๋ฅผ ๋ถ„์„ํ•˜๋Š” ์›๋ฆฌ์— ๋Œ€ํ•ด ์•Œ์•„๋ณด์•˜

์Šต๋‹ˆ๋‹ค. ์ด๋ฒˆ ๊ผญ์ง€๋ฅผ ํ†ตํ•ด ์šฐ์ฃผ ๊ฐœ๋ฐœ์ด ์–ด๋–ป๊ฒŒ ์ด๋ฃจ์–ด์ง€

๋Š”์ง€ ์ดํ•ดํ•˜๋Š” ๋ฐ ๋„์›€์ด ๋˜์…จ์œผ๋ฉด ์ข‹๊ฒ ์Šต๋‹ˆ๋‹ค! ํ•œํŽธ ์ด

๋Ÿฌํ•œ ์šฐ์ฃผ ๊ฐœ๋ฐœ์€ ๋‹ค์–‘ํ•œ ์ด์ ์„ ์ง€๋‹ˆ๊ณ  ์žˆ๋Š”๋ฐ์š”. ์–ด๋–ค

์ด์ ๋“ค์ด ์žˆ๋Š”์ง€ ๋งˆ์ง€๋ง‰ ๊ผญ์ง€์—์„œ ์ž์„ธํžˆ ์•Œ์•„๋ณด๋„๋ก

ํ•˜๊ฒ ์Šต๋‹ˆ๋‹ค.

๊ทธ๋ฆผ 7. ํƒ„์†Œ, ์‚ฐ์†Œ๋กœ ๊ตฌ์„ฑ๋œ ๋ฌผ์งˆ์˜ XPS ๋ฐฉ์ถœ ์ŠคํŽ™ํŠธ๋Ÿผ

[๊ทธ๋ฆผ ์ถœ์ฒ˜]

๊ทธ๋ฆผ 1, 2. ํ•œ๊ตญํ•ญ๊ณต์šฐ์ฃผ์—ฐ๊ตฌ์›. ใ€Œ๋‹ฌ๋กœ ํ–ฅํ•˜๋Š” ๋„ค ๊ฐ€์ง€ ๊ธธใ€. 2020.6.12.

https://blog.naver.com/karipr/221998543357

๊ทธ๋ฆผ 3. Deep Campus. ใ€Œ[CR3BP] ๋ผ๊ทธ๋ž‘์ง€ ํฌ์ธํŠธ (Lagrange Point)ใ€. 2021.4.10.

https://pasus.tistory.com/118

๊ทธ๋ฆผ 4. ์ฒœ๋ฌธ์šฐ์ฃผ์ง€์‹์ •๋ณด. ใ€Œ๋ผ๊ทธ๋ž‘์ง€ ์—ญํ•™ใ€. 2017.3.31.

https://astro.kasi.re.kr/learning/pageView/5233

๊ทธ๋ฆผ 5. Fred A. Stevie. ใ€ŒIntroduction to x-ray photoelectron spectroscopyใ€. ใ€ŽJournal of Vacuum Science & Technology Aใ€ 38/061204(2020). 2~4pg.

๊ทธ๋ฆผ 6, 7. ใ€ŒXPS(X-ray Photoelectron Spectroscopy)ใ€. 2020.11.2. https://blog.naver.com/ayg589/222132943754

[์ฐธ๊ณ  ์ž๋ฃŒ]

1. ๊ฐ•์šฐ๊ด€. ใ€Œ๋ ˆ์ด์ € ์œ ๋„ ํ”Œ๋ผ์ฆˆ๋งˆ ๋ถ„๊ด‘๋ถ„์„๋ฒ•(LIBS)์„ ํ™œ์šฉํ•œ ์›์†Œ๋ถ„์„ใ€. ใ€ŽNEWS & INFORMATION FOR CHEMICAL ENGINEERSใ€ 29๊ถŒ 4ํ˜ธ. 2011. https://www.cheric.org/PDF/NICE/NI29/NI29-4-0460.pdf

2. ์ด์ˆœ๋ณด, ๋ถ€์ง„ํšจ. ใ€ŒX-ray ๊ด‘์ „์ž ๋ถ„๊ด‘๋ฒ•์˜ ์›๋ฆฌ์™€ ์‘์šฉใ€. ใ€Žํ•œ๊ตญํ‘œ๋ฉด๊ณต ํ•™ํšŒใ€. 23๊ถŒ 3ํ˜ธ(1990). 183~193pg

3. ํ•œ๊ตญํ•ญ๊ณต์šฐ์ฃผ์—ฐ๊ตฌ์›. ใ€Œ๋‹ฌ๋กœ ํ–ฅํ•˜๋Š” ๋„ค ๊ฐ€์ง€ ๊ธธใ€. 2020.6.12. https://blog.naver.com/karipr/221998543357

4. Deep Campus. ใ€Œ[CR3BP] ๋ผ๊ทธ๋ž‘์ง€ ํฌ์ธํŠธ (Lagrange Point) ใ€ 2021.4.10.

https://pasus.tistory.com/118

5. Fred A. Stevie. ใ€Œ Introduction to x-ray photoelectron spectroscopy ใ€ ใ€Ž Journal of Vacuum Science & Technology A ใ€ 38/061204(2020). 2~4pg.

XPS Intensity C O Binding Energy(eV) XPS Intensity C ๋†’์ด ์ƒ๊น€ O Binding Energy(eV) 28 ๊ธฐํšํŠน์ง‘ : ์šฐ์ฃผ ๊ฐœ๋ฐœ

์šฐ์ฃผ ๊ฐœ๋ฐœ์˜ ์ด์ 

๊ผญ์ง€ 2์—์„œ๋Š” ๋‹ฌ์—์„œ ์–ด๋–ป๊ฒŒ ํƒ์‚ฌ์„ ์„ ์ด์šฉํ•ด ์šฐ์ฃผ ๊ฐœ

๋ฐœ์„ ์ง„ํ–‰ํ•˜๋Š”์ง€ ์•Œ์•„๋ณด์•˜์Šต๋‹ˆ๋‹ค. ๊ทธ๋ ‡๋‹ค๋ฉด ์šฐ์ฃผ ๊ฐœ๋ฐœ์„

ํ†ตํ•ด ์šฐ๋ฆฌ๋Š” ๋ฌด์—‡์„ ์–ป์„ ์ˆ˜ ์žˆ๊ธฐ์— ์šฐ์ฃผ ๊ฐœ๋ฐœ์„ ๊ณ„์†ํ•˜

๋Š” ๊ฑธ๊นŒ์š”? ์ด๋ฒˆ ๊ผญ์ง€์—์„œ๋Š” ์šฐ์ฃผ ๊ฐœ๋ฐœ์ด ์šฐ๋ฆฌ์—๊ฒŒ ๊ฐ€์ ธ

๋‹ค ์ค„ ๋‹ค์–‘ํ•œ ์ด์ ์— ๋Œ€ํ•ด ์•Œ์•„๋ด…์‹œ๋‹ค!

์šฐ์ฃผ ๊ฐœ๋ฐœ์˜ ์ด์ : ์—๋„ˆ์ง€ ์ž์› ํ™•๋ณด

์šฐ์ฃผ ๊ฐœ๋ฐœ์„ ํ†ตํ•ด ์–ป์„ ์ˆ˜ ์žˆ๋Š” ๋Œ€ํ‘œ์ ์ธ ์ด์ ์€ ๋ฐ”๋กœ

์—๋„ˆ์ง€ ์ž์› ํ™•๋ณด์ž…๋‹ˆ๋‹ค. ์ง€๊ตฌ์— ๋ฌปํžŒ ์ž์›์€ ๋ฌดํ•œํ•˜์ง€

์•Š๊ธฐ์— ์ธ๋ฅ˜๋Š” ๋ฌดํ•œํ•œ ๊ฐ€๋Šฅ์„ฑ์ด ์žˆ๋Š” ์šฐ์ฃผ๋กœ ๋ˆˆ๊ธธ์„ ๋Œ

๋ ธ์Šต๋‹ˆ๋‹ค. ์ตœ๊ทผ ๊ฐ€์žฅ ์ฃผ๋ชฉ๋ฐ›๋Š” ์šฐ์ฃผ์ž์›์€ ๋ฐ”๋กœ ๋‹ฌ์— ์žˆ

๋Š” โ€˜ํ—ฌ๋ฅจ-3โ€™์ž…๋‹ˆ๋‹ค.

ํ—ฌ๋ฅจ-3๋Š” ํ•ต์œตํ•ฉ ๋ฐœ์ „์˜ ์—ฐ๋ฃŒ๋กœ ์ด์šฉ๋˜๋Š” ๋ฌผ์งˆ์ธ๋ฐ์š”.

ํ™˜๊ฒฝ์˜ค์—ผ์„ ์ผ์œผํ‚ค์ง€ ์•Š์œผ๋ฉด์„œ 1g๋งŒ์œผ๋กœ ์„ํƒ„ ์•ฝ

40t์— ๋‹ฌํ•˜๋Š” ์—๋„ˆ์ง€๋ฅผ ๋งŒ๋“ค์–ด ๋‚ธ๋‹ค๊ณ  ํ•ฉ๋‹ˆ๋‹ค. ๊ทธ๋Ÿผ,

ํ•ต์œตํ•ฉ ๋ฐœ์ „์— ๋Œ€ํ•ด์„œ ๋จผ์ € ์•Œ์•„๋ณผ๊นŒ์š”?

ํ•ต์œตํ•ฉ ๋ฐœ์ „์€ ํ•ต์œตํ•ฉ ๋ฐ˜์‘์˜ ์—๋„ˆ์ง€๋ฅผ ์ด์šฉํ•ด ์ „๊ธฐ๋ฅผ

์ƒ์‚ฐํ•ฉ๋‹ˆ๋‹ค. ๋ฐ˜์‘์˜ ๊ณผ์ •์—์„œ ๋ฐœ์ƒํ•˜๋Š” ์งˆ๋Ÿ‰๊ฒฐ์†1์ด ์—

๋„ˆ์ง€๋ฅผ ๋งŒ๋“ค์–ด ๋‚ด๋Š”๋ฐ์š”. ์ด๋•Œ ๋ฐฉ์ถœ๋˜๋Š” ์—๋„ˆ์ง€์˜ ์–‘์€

E = ฮ”mc2๋ผ๋Š” ์งˆ๋Ÿ‰-์—๋„ˆ์ง€ ๋“ฑ๊ฐ€ ๊ด€๊ณ„์‹์„ ํ†ตํ•ด ๊ณ„์‚ฐํ• 

์ˆ˜ ์žˆ์Šต๋‹ˆ๋‹ค.

๊ทธ๋ฆผ 1. ์งˆ๋Ÿ‰๊ฒฐ์†๊ณผ ์—๋„ˆ์ง€ ๋ฐœ์ƒ

์›์žํ•ต ์†์˜ ํ•ต๋ ฅ2์„ ๋Š๊ธฐ ์œ„ํ•ด ์™ธ๋ถ€์—์„œ ๊ฐ€ํ•ด์•ผ ํ•˜๋Š” ์—

๋„ˆ์ง€๋ฅผ ๊ฒฐํ•ฉ์—๋„ˆ์ง€๋ผ๊ณ  ํ•ฉ๋‹ˆ๋‹ค. ์›์ž์˜ ์ด๊ฒฐํ•ฉ์—๋„ˆ์ง€๋ฅผ

์›์žํ•ต์„ ๊ตฌ์„ฑํ•˜๊ณ  ์žˆ๋Š” ์–‘์„ฑ์ž์™€ ์ค‘์„ฑ์ž์˜ ์ˆ˜๋ฅผ ํ•ฉํ•œ

๊ฐ’์œผ๋กœ ๋‚˜๋ˆ„๋ฉด ํ•ต์ž3๋‹น ๊ฒฐํ•ฉ์—๋„ˆ์ง€๋ฅผ ๊ตฌํ•  ์ˆ˜ ์žˆ์Šต๋‹ˆ๋‹ค.

๊ทธ๋ฆผ 2. ํ•ต์ž๋‹น ๊ฒฐํ•ฉ์—๋„ˆ์ง€

ํ•ต์ž๋‹น ๊ฒฐํ•ฉ์—๋„ˆ์ง€๊ฐ€ ํด์ˆ˜๋ก ๊ฐ•ํ•˜๊ฒŒ ๊ฒฐํ•ฉ๋˜์–ด ์žˆ์–ด ์›์†Œ

๊ฐ€ ์•ˆ์ •์ ์ž…๋‹ˆ๋‹ค. ๊ทธ๋ฆผ 2๋ฅผ ๋ณด๋ฉด Fe๊ฐ€ ํ•ต์ž๋‹น ๊ฒฐํ•ฉ์—๋„ˆ

์ง€๊ฐ€ ๊ฐ€์žฅ ํฌ๋‹ค๋Š” ๊ฒƒ์„ ์•Œ ์ˆ˜ ์žˆ์Šต๋‹ˆ๋‹ค. ์›์†Œ๋Š” ์•ˆ์ •์ ์ธ

์ƒํƒœ๋กœ ๋ณ€ํ™”ํ•˜๋ ค ํ•˜๊ธฐ ๋•Œ๋ฌธ์— Fe๋ณด๋‹ค ์งˆ๋Ÿ‰์ˆ˜๊ฐ€ ์ž‘์€ ์›

์†Œ๋“ค์€ ์„œ๋กœ ์œตํ•ฉํ•˜๋ ค ํ•˜๊ณ , Fe๋ณด๋‹ค ์งˆ๋Ÿ‰์ˆ˜๊ฐ€ ํฐ ์›์†Œ๋“ค

์€ ๋ถ„์—ดํ•˜๋ ค ํ•  ๊ฒƒ์ž…๋‹ˆ๋‹ค.

n : ๋ฐ˜์‘์—์ด์šฉ๋˜๋Š”์›์ž๋“ค์˜๋ฐ€๋„, ฯ„E : ๊ฐ€๋‘ ์‹œ๊ฐ„, v : ์†๋„

T : ์ ˆ๋Œ€์˜จ๋„, Ech : ํ•ต์œตํ•ฉ์ƒ์„ฑ๋ฌผ์˜์—๋„ˆ์ง€, ฯƒ : ๋‹จ๋ฉด์ 

์œ„ ์‹์œผ๋กœ ๋‚˜ํƒ€๋‚ด์–ด์ง€๋Š” ๋กœ์Šจ ์กฐ๊ฑด์€ ํ•ต์œตํ•ฉ ๊ณผ์ •์—์„œ

๋ฐœ์ƒํ•˜๋Š” ์—๋„ˆ์ง€๊ฐ€ ์†์‹ค๋˜๋Š” ์—๋„ˆ์ง€๋ณด๋‹ค ์ปค์•ผํ•œ๋‹ค๋Š” ๋ถ€

๋“ฑ์‹์—์„œ ์œ ๋„ํ•  ์ˆ˜ ์žˆ์Šต๋‹ˆ๋‹ค. ์šฐ๋ณ€์˜ ๋Š” ์˜จ๋„์—

๋”ฐ๋ฅธ ํ•จ์ˆ˜์ธ๋ฐ์š”. ๋ฐ˜์‘์— ์ด์šฉ๋˜๋Š” ์›์ž๋“ค์˜ ๋ฐ€๋„์™€ ๊ฐ€

๋‘  ์‹œ๊ฐ„4์˜ ๊ณฑ nฯ„E์ด ์šฐ๋ณ€์˜ ์˜จ๋„์— ๋”ฐ๋ฅด๋Š” ํ•จ์ˆ˜์˜ ๊ฐ’๋ณด๋‹ค

ํฌ๋ฉด ํ•ต์œตํ•ฉ ๋ฐ˜์‘์—์„œ ๋ฐœ์ƒํ•˜๋Š” ์—๋„ˆ์ง€๊ฐ€ ์†์‹ค๋˜๋Š” ์—๋„ˆ

์ง€๋ณด๋‹ค ์ปค์ง€๊ฒŒ ๋ฉ๋‹ˆ๋‹ค.

1. ํ•ต๋ถ„์—ด, ํ•ต์œตํ•ฉ ๋“ฑ ๋‹ค์–‘ํ•œ ํ•ต๋ฐ˜ ์‘์—์„œ ๋ฐ˜์‘ ์ „๊ณผ ๋ฐ˜์‘ ํ›„์˜ ์› ์ž ์งˆ๋Ÿ‰์— ์ฐจ์ด๊ฐ€ ์ƒ๊ธฐ๋Š” ๊ฒƒ

2. ๋‘ ๊ฐœ ์ด์ƒ์˜ ํ•ต์ž๋“ค ์‚ฌ์ด์—์„œ ์ž‘์šฉํ•˜๋Š” ํž˜. ์–‘์„ฑ์ž์™€ ์ค‘์„ฑ์ž ๊ฐ€ ๊ฒฐํ•ฉํ•˜์—ฌ ์›์žํ•ต์„ ํ˜•์„ฑํ•  ์ˆ˜ ์žˆ๊ฒŒ ํ•จ

3. ํ•ต์„ ์ด๋ฃจ๋Š” ๊ธฐ๋ณธ ์ž…์ž๋กœ ์–‘์„ฑ ์ž์™€ ์ค‘์„ฑ์ž๋ฅผ ๋งํ•จ

4. ํ•ต์œตํ•ฉ์ด ์ผ์–ด๋‚  ์ˆ˜ ์žˆ๋Š” ๊ณ ์˜จ, ๊ณ ์••์˜ ์ƒํƒœ๋ฅผ ์ง€์†ํ•  ์ˆ˜ ์žˆ๋Š” ์‹œ๊ฐ„

๊ธฐํšํŠน์ง‘ โ‘ข
๊ธ€ ๋ฌด์€์žฌํ•™๋ถ€ 23ํ•™๋ฒˆ 29๊ธฐ ์•Œ๋ฆฌ๋ฏธ ์ด์šฉํ˜„
12
Ech<ฯƒv> nฯ„E โ‰ฅ 12T Ech<ฯƒv> 29
T

๊ทธ๋ฆผ 3. ๋กœ์Šจ ์กฐ๊ฑด

5. ์ˆ˜์†Œ์˜ ๋™์œ„์›์†Œ์ธ ์ค‘์ˆ˜์†Œ์™€ ์‚ผ

์ค‘์ˆ˜์†Œ๊ฐ€ ๋ฐ˜์‘ํ•˜์—ฌ ํ—ฌ๋ฅจ์ด ๋˜๋Š” ํ•ต์œตํ•ฉ ๋ฐ˜์‘

6. ์ฃผ๊ธฐ์ ์œผ๋กœ ํฌ๊ธฐ์™€ ๋ฐฉํ–ฅ์ด ๋ณ€ํ•˜ ๋Š” ์ „๋ฅ˜

๊ธฐํšํŠน์ง‘ : ์šฐ์ฃผ ๊ฐœ๋ฐœ

์œ„ ๊ทธ๋ž˜ํ”„๋Š” ๋กœ์Šจ ์กฐ๊ฑด์„ ๋งŒ์กฑํ•˜๊ธฐ ์œ„ํ•ด ํ•„์š”ํ•œ nฯ„E์˜ ์ตœ

์†Ÿ๊ฐ’์„ ๋‚˜ํƒ€๋‚ด๋Š”๋ฐ์š”. ๊ทธ๋ž˜ํ”„๋ฅผ ํ†ตํ•ด์„œ ๋ณผ ์ˆ˜ ์žˆ๋“ฏ์ด ๋น„

๊ต์  ๋‚ฎ์€ ์˜จ๋„์—์„œ๋Š” D-T ๋ฐ˜์‘5์ด ๊ฐ€์žฅ ๋‹ฌ์„ฑํ•˜๊ธฐ ์‰ฌ์›Œ

ํ•ต์œตํ•ฉ์˜ ์—ฐ๋ฃŒ๋กœ ์ฃผ๋กœ ์—ฐ๊ตฌ๋˜๊ณ  ์žˆ์Šต๋‹ˆ๋‹ค. ๊ทธ๋Ÿฌ๋‚˜ D-T

๋ฐ˜์‘์€ ์—ฐ๋ฃŒ์ธ ์‚ผ์ค‘์ˆ˜์†Œ๊ฐ€ ๋งค์šฐ ํฌ๊ท€ํ•˜๊ณ , ๋ฐ˜์‘์˜ ๊ฒฐ๊ณผ

๋ฌผ๋กœ ์ค‘์„ฑ์ž๊ฐ€ ์ƒ์„ฑ๋œ๋‹ค๋Š” ๋‹จ์ ์ด ์žˆ์Šต๋‹ˆ๋‹ค. ์ค‘์„ฑ์ž๊ฐ€

์ƒ์„ฑ๋˜๋ฉด ์›์ž๋“ค์ด ์ค‘์„ฑ์ž๋ฅผ ํก์ˆ˜ํ•ด ๋ฐฉ์‚ฌ์„ฑ ๋™์œ„์›์†Œ๊ฐ€

๋˜์–ด ๋ฐฉ์‚ฌ์„ ์ด ๋ฐœ์ƒํ•ฉ๋‹ˆ๋‹ค. ์ด๋Ÿฌํ•œ ๋‹จ์ ์„ ๋ชจ๋‘ ํ•ด์†Œํ•œ

์—ฐ๋ฃŒ๊ฐ€ ๋ฐ”๋กœ ํ—ฌ๋ฅจ-3์ž…๋‹ˆ๋‹ค. ํ—ฌ๋ฅจ-3๊ณผ ์ค‘์ˆ˜์†Œ๋ฅผ ๋ฐ˜์‘์‹œ

ํ‚ค๋Š” D-3He ๋ฐ˜์‘์€ ๋กœ์Šจ ์กฐ๊ฑด์„ ๋งŒ์กฑํ•˜๊ธฐ๋„ ์‰ฌ์šฐ๋ฉฐ ์ค‘

์„ฑ์ž๋ฅผ ์ƒ์„ฑํ•˜์ง€๋„ ์•Š์Šต๋‹ˆ๋‹ค.

2D + 3T โ†’ n + 4He + 17.6 MeV

2D + 3He โ†’ 1H + 4He + 18.3 MeV

์ง€๊ตฌ์—๋Š” ํ—ฌ๋ฅจ-3๊ฐ€ ๋งค์šฐ ์ ์ง€๋งŒ ๋‹ฌ์—๋Š” ์•ฝ 1๋ฐฑ๋งŒ t๊ฐ€๋Ÿ‰

์ด ์นจ์ „๋˜์–ด ์žˆ๋‹ค๊ณ  ํ•ฉ๋‹ˆ๋‹ค. ์šฐ์ฃผ ๊ฐœ๋ฐœ์ด ๋” ์ด๋ฃจ์–ด์ ธ ๋‹ฌ

์—์„œ ํ—ฌ๋ฅจ-3๋ฅผ ์ฑ„์ทจํ•  ์ˆ˜ ์žˆ๊ฒŒ ๋œ๋‹ค๋ฉด ์ธ๋ฅ˜์˜ ์—๋„ˆ์ง€ ๋ฌธ

์ œ๋ฅผ ํ•ด๊ฒฐํ•˜๋Š” ๋ฐ ๋งค์šฐ ํฐ ๋„์›€์ด ๋  ์ˆ˜ ์žˆ๊ฒ ์ฃ ?

์šฐ์ฃผ ๊ฐœ๋ฐœ์˜ ์ด์ : ์œ„์„ฑํ†ต์‹ ๊ธฐ์ˆ ์˜ ๋ฐœ์ „

์šฐ์ฃผ ๊ฐœ๋ฐœ์€ ๋‹ค์–‘ํ•œ ์ฒจ๋‹จ๊ณผํ•™๊ธฐ์ˆ ์˜ ๋ฐœ์ „์„ ๋™๋ฐ˜ํ•œ๋‹ค

๋Š” ์ด์ ๋„ ์žˆ์Šต๋‹ˆ๋‹ค. ์œ„์„ฑ๊ณผ ๊ด€๋ จ๋œ ๊ธฐ์ˆ ์ด ๋Œ€ํ‘œ์ ์ธ๋ฐ

์š”. ์œ„์„ฑ ๊ธฐ์ˆ ์— ๋Œ€ํ•ด ์•Œ์•„๋ณด๊ธฐ ์ „์— ๋จผ์ € ์œ„์„ฑ ๊ด€๋ จ ๊ธฐ

์ˆ ์˜ ๊ธฐ์ดˆ๊ฐ€ ๋˜๋Š” ๋ฌด์„ ํ†ต์‹ ์˜๊ธฐ๋ณธ ์›๋ฆฌ์— ๋Œ€ํ•ด ์•Œ์•„๋ณด

๊ฒ ์Šต๋‹ˆ๋‹ค.

๋ฌด์„ ํ†ต์‹ ์€ ์ „ํŒŒ๋ฅผ ํ†ตํ•ด ์ •๋ณด๋ฅผ ์ „๋‹ฌํ•˜๋Š” ๊ฒƒ์„ ๋งํ•ฉ๋‹ˆ

๋‹ค. ํฌ๊ฒŒ ์‹ ํ˜ธ๋ฅผ ํ†ตํ•ด ์ „ํŒŒ๋ฅผ ๋ฐœ์ƒ์‹œํ‚ค๋Š” ์†ก์‹ ๊ณผ ์ „ํŒŒ

๋ฅผ ์‹ ํ˜ธ๋กœ ๋ณ€ํ™˜ํ•˜๋Š” ์ˆ˜์‹ ์œผ๋กœ ๊ตฌ์„ฑ๋˜์–ด ์žˆ์Šต๋‹ˆ๋‹ค. ๊ต๋ฅ˜6

๋ฅผ ๋ฐœ์ƒ์‹œํ‚ค๋Š” ์ „์›์„ ๋„์ฒด ํŒ์— ์—ฐ๊ฒฐํ•˜๋ฉด ๋„์ฒด ํŒ ์‚ฌ

์ด ์ „๊ธฐ์žฅ์˜ ์„ธ๊ธฐ๊ฐ€ ๋ณ€ํ•˜๊ฒŒ ๋˜๊ณ , ๊ทธ์— ๋”ฐ๋ผ ์ž๊ธฐ์žฅ์ด

๋ณ€ํ•˜๋ฉฐ ์ „ํŒŒ๊ฐ€ ๋ฐœ์ƒํ•ฉ๋‹ˆ๋‹ค. ์ด ์ „ํŒŒ๋Š” ์ „๋ฅ˜์˜ ์„ธ๊ธฐ์™€

์ฃผํŒŒ์ˆ˜์— ์˜ํ–ฅ์„ ๋ฐ›์Šต๋‹ˆ๋‹ค. ์ฆ‰ ์ „๋ฅ˜์˜ ์„ธ๊ธฐ์™€ ์ฃผํŒŒ์ˆ˜๋กœ

ํ‘œํ˜„๋˜๋Š” ์ „๊ธฐ์  ์‹ ํ˜ธ๋ฅผ ์ „ํŒŒ์˜ ํ˜•ํƒœ๋กœ ๋ณ€ํ™”์‹œํ‚ฌ ์ˆ˜ ์žˆ

๋Š” ๊ฒƒ์ด์ฃ . ์ด๊ฒƒ์ด ์†ก์‹ ์˜ ์›๋ฆฌ์ž…๋‹ˆ๋‹ค. ์ด์™€ ๋ฐ˜๋Œ€๋กœ, ์ „

ํŒŒ๊ฐ€ ๋„์ฒด ํŒ์œผ๋กœ ๋“ค์–ด์˜ค๊ฒŒ ๋˜๋ฉด ์ „ํŒŒ์˜ ์„ธ๊ธฐ์™€ ์ฃผํŒŒ์ˆ˜

์— ๋”ฐ๋ผ ์œ ๋„ ์ „๋ฅ˜๊ฐ€ ๋ฐœ์ƒํ•˜๊ณ  ์ด๋ฅผ ์‹ ํ˜ธ๋กœ์จ ํ•ด์„ํ•˜

๋Š” ๊ฒƒ์ด ์ˆ˜์‹ ์˜ ์›๋ฆฌ์ž…๋‹ˆ๋‹ค.

์ˆ˜์‹ (์ „์žํŒŒ โ†’ ์ „๊ธฐ์‹ ํ˜ธ)

์†ก์‹ (์ „๊ธฐ์‹ ํ˜ธ โ†’ ์ „์žํŒŒ)

๊ทธ๋ฆผ 4. ์†ก์‹ ๊ณผ ์ˆ˜์‹ 

์šฐ์ฃผ ๊ฐœ๋ฐœ์„ ํ†ตํ•ด ๋งŽ์€ ์œ„์„ฑ์„ ์šฐ์ฃผ์— ๋„์šธ ์ˆ˜ ์žˆ์—ˆ์Šต๋‹ˆ

๋‹ค. ๋Œ€๊ธฐ๊ถŒ ๋ฐ–์œผ๋กœ ์˜์•„ ์˜ฌ๋ฆฐ ์ธ๊ณต์œ„์„ฑ์„ ์ด์šฉํ•˜์—ฌ ๋ฌด์„ 

ํ†ต์‹ ์„ ํ•˜๋Š” ๊ฒƒ์ด ์œ„์„ฑํ†ต์‹ ์ธ๋ฐ์š”. ์ตœ๊ทผ์—๋Š” ์œ„์„ฑํ†ต์‹ 

๊ธฐ์ˆ ์˜ ๋งŽ์€ ๋ฐœ์ „์ด ์ด๋ฃจ์–ด์กŒ์Šต๋‹ˆ๋‹ค. ๋Œ€ํ‘œ์ ์ธ ๊ฒƒ์ด ๋ฐ”

๋กœ ์ €๊ถค๋„ ์œ„์„ฑํ†ต์‹  ์‹œ์Šคํ…œ์ž…๋‹ˆ๋‹ค.

์ €๊ถค๋„ ์œ„์„ฑ์ด๋ž€ 300~1,500km ๊ณ ๋„์— ์žˆ๋Š” ์ธ๊ณต์œ„์„ฑ

์„ ๋งํ•ฉ๋‹ˆ๋‹ค. ๋‚ฎ์€ ๊ณ ๋„์— ์žˆ๊ธฐ์— 36,000km ๊ณ ๋„์— ์œ„

์น˜ํ•œ ์ •์ง€ ๊ถค๋„ ์œ„์„ฑ์— ๋น„ํ•ด ์ „ํŒŒ๊ฐ€ ์˜ค๊ฐ€๋Š” ์‹œ๊ฐ„์ด ๋น„๊ต

์  ์งง์€๋ฐ์š”. ๊ทธ ๋•Œ๋ฌธ์— ์ „ํŒŒ๊ฐ€ ์ฃผ์œ„์˜ ์˜ํ–ฅ์„ ์ ๊ฒŒ ๋ฐ›

์•„ ์ •๋ณด ์†์‹ค์ด ์ ๊ณ , ํ†ต์‹ ์˜ ์ง€์—ฐ๋„ ์•„์ฃผ ์ ์€ ํŽธ์ž…๋‹ˆ๋‹ค.

์ตœ๊ทผ์—๋Š” ์ €๊ถค๋„ ์œ„์„ฑ์„ ์ด์šฉํ•ด ์ดˆ๊ณ ์† ์ธํ„ฐ๋„ท์„ ์ œ๊ณต ํ•˜๋Š” ๊ธฐ์ˆ ์ด ์ฃผ๋ชฉ๋ฐ›๊ณ  ์žˆ์Šต๋‹ˆ๋‹ค. ๋งŽ์€ ์ˆ˜์˜ ์ €๊ถค๋„ ์œ„์„ฑ

์„ ๋ฐฐ์น˜ํ•ด ํ†ต์‹ ์ด ์ž˜๋˜์ง€ ์•Š๋Š” ์ง€์—ญ์—์„œ๋„ ๋น ๋ฅด๊ฒŒ ํ†ต์‹  ํ•  ์ˆ˜ ์žˆ๋„๋ก ํ•ด์ฃผ๋Š” ๊ธฐ์ˆ ์ธ๋ฐ์š”.

30

์ €๊ถค๋„ ์œ„์„ฑ์€ ํ•œ ๋Œ€๋‹น ์ง€์›ํ•˜๋Š” ํ†ต์‹ ์˜ ๊ฐ€์šฉ๋ฒ”์œ„๊ฐ€ ์ž‘

๊ธฐ ๋•Œ๋ฌธ์— ์ด ๊ธฐ์ˆ ์„ ์œ„ํ•ด์„œ๋Š” ์ˆ˜๋งŽ์€ ์œ„์„ฑ์ด ํ•„์š”ํ•˜๋‚˜, ์œ„์„ฑ ๋ฐœ์‚ฌ์— ๋“œ๋Š” ๋น„์šฉ์ด ๋„ˆ๋ฌด๋‚˜๋„ ๋†’๋‹ค๋Š” ๋ฌธ์ œ์ ์ด ์žˆ ์—ˆ์Šต๋‹ˆ๋‹ค. ๊ทธ๋Ÿฌ๋‚˜ ์ตœ๊ทผ ์ •๋ถ€ ์™ธ์—๋„ ๋‹ค์–‘ํ•œ ๋ฏผ๊ฐ„ ๊ธฐ์—…์ด

์šฐ์ฃผ ์œ„์„ฑ ๊ธฐ์ˆ  ๊ฐœ๋ฐœ์— ์ฐธ์—ฌํ•จ์œผ๋กœ์จ ์œ„์„ฑ ๋ฐœ์‚ฌ ๋น„์šฉ์ด ํš๊ธฐ์ ์œผ๋กœ ์ค„์–ด๋“ค๊ฒŒ ๋˜์–ด ์ €๊ถค๋„ ์œ„์„ฑํ†ต์‹  ์‹œ์Šคํ…œ์ด ๋ณธ

๊ฒฉ์ ์œผ๋กœ ์—ฐ๊ตฌ๋˜๊ธฐ ์‹œ์ž‘ํ–ˆ์Šต๋‹ˆ๋‹ค.

์ˆ˜๋งŒ ๋Œ€์˜ ์ €๊ถค๋„ ์œ„์„ฑ์„ ์ด์šฉํ•œ ํ†ต์‹ ์„ ํ•˜๊ธฐ ์œ„ํ•ด ์œ„์„ฑ

๊ฐ„ ํ†ต์‹ ์„ ๋œปํ•˜๋Š” ISL(Inter Satellite Links) ๊ธฐ์ˆ ์ด ๋ฐœ

์ „ํ•˜๊ณ  ์žˆ์Šต๋‹ˆ๋‹ค. ๊ธฐ์กด์˜ ์œ„์„ฑ ํ†ต์‹ ์€ ์ง€์ƒ์˜ ์ง€๊ตฌ๊ตญ๊ณผ

์œ„์„ฑ ๊ฐ„์˜ ํ†ต์‹ ๋งŒ์„ ์ด์šฉํ–ˆ์ง€๋งŒ, ISL ๊ธฐ์ˆ ์„ ์ด์šฉํ•˜๋ฉด ๊ธฐ

์ง€๊ตญ์„ ๊ฑฐ์น˜์ง€ ์•Š๊ณ  ์œ„์„ฑ ๊ฐ„์— ์ง์ ‘ ๋ฐ์ดํ„ฐ๋ฅผ ์ฃผ๊ณ ๋ฐ›์„

์ˆ˜ ์žˆ๊ธฐ์— ํ†ต์‹  ์ง€์—ฐ์‹œ๊ฐ„์„ ์ค„์ผ ์ˆ˜ ์žˆ์Šต๋‹ˆ๋‹ค.

๊ทธ๋ฆผ 5. Bent-Pipe Structure์™€ Regenerative Structure์˜ ํ†ต์‹  ์ง€์—ฐ์‹œ๊ฐ„

๋Ÿฐ๋˜๊ณผ ๋‰ด์š• ์‚ฌ์ด์—์„œ ํ†ต์‹ ํ•œ๋‹ค๊ณ  ๊ฐ€์ •ํ–ˆ์„ ๋•Œ, ISL์„

ํ™œ์šฉํ•˜์ง€ ์•Š๋Š” ๊ตฌ์กฐ(Bent-Pipe Structure)์™€ ISL์„

ํ™œ์šฉํ•˜๋Š” ๊ตฌ์กฐ(Regenerative Structure)์˜ ํ†ต์‹  ์ง€์—ฐ

์‹œ๊ฐ„์„ ๋น„๊ตํ•ด ๋ณด๋ฉด ๊ฐ๊ฐ 48ms, 46ms๋กœ ํ†ต์‹  ์ง€์—ฐ์‹œ

๊ฐ„์ด ๋‹จ์ถ•๋˜๋Š” ๊ฒƒ์„ ํ™•์ธํ•  ์ˆ˜ ์žˆ์Šต๋‹ˆ๋‹ค.

์ตœ๊ทผ์—๋Š” ISL์— FSO(Free Space Optics) ํ†ต์‹  ๋ฐฉ์‹์„ ์‚ฌ์šฉํ•˜๋Š”๋ฐ์š”. FSO ํ†ต์‹  ๋ฐฉ์‹์€ ๋‚˜๋…ธ๋ฏธํ„ฐ ์ •๋„์˜ ์งง์€ ํŒŒ์žฅ์˜ ๋ ˆ์ด์ € ๋น”์„ ํ†ต์‹  ์ˆ˜๋‹จ์œผ๋กœ ํ™œ์šฉํ•˜๋Š” ๋ฐฉ์‹์ž…๋‹ˆ ๋‹ค. ๋ ˆ์ด์ €๋Š” ์žฅ์• ๋ฌผ ํˆฌ๊ณผ๋ ฅ์ด ์•ฝํ•˜๋‹ค๋Š” ๋‹จ์ ์ด ์žˆ๋Š” ๋ฐ์š”. ์ง€๊ตฌ์—์„œ๋Š” ์•ˆ๊ฐœ ๋“ฑ์˜ ์žฅ์• ๋ฌผ์ด ์กด์žฌํ•˜๊ธฐ์— ์ž˜ ์‚ฌ์šฉํ•˜์ง€ ๋ชปํ–ˆ์œผ๋‚˜ ์ง„๊ณต์ธ ์šฐ์ฃผ ํ™˜๊ฒฝ์—์„œ๋Š” ์ด์šฉํ•  ์ˆ˜ ์žˆ์–ด ๋งŽ์€ ์—ฐ๊ตฌ๊ฐ€ ์ด๋ฃจ์–ด์ง€๊ณ  ์žˆ์Šต๋‹ˆ๋‹ค. ์šฐ์ฃผ ๊ฐœ๋ฐœ์ด ์•ž์œผ๋กœ ๊ณ„์†ํ•ด์„œ ์ด๋ฃจ์–ด์ง„๋‹ค๋ฉด ์ €๊ถค๋„ ์œ„์„ฑํ†ต์‹ ์„ ์ง ์ ‘ ์ด์šฉํ•ด ๋ณผ ์ˆ˜ ์žˆ๊ฒ ์ฃ ?

์ด๋ฒˆ ๊ผญ์ง€์—์„œ๋Š” ์šฐ์ฃผ ๊ฐœ๋ฐœ์„ ํ†ตํ•ด ์–ป์„ ์ˆ˜ ์žˆ๋Š” ๋‹ค์–‘ํ•œ ์ด์  ์ค‘ ์—๋„ˆ์ง€ ์ž์› ํ™•๋ณด์™€ ์œ„์„ฑํ†ต์‹  ๊ธฐ์ˆ ์˜ ๋ฐœ์ „์— ๋Œ€ ํ•ด ์ž์„ธํžˆ ์•Œ์•„๋ณด์•˜์Šต๋‹ˆ๋‹ค. ์ง€๊ธˆ, ์ด ์ˆœ๊ฐ„์—๋„ ์ธ๋ฅ˜๋Š” ๋‹ค ํ•จ๊ป˜ ํž˜์„ ํ•ฉ์ณ ์šฐ์ฃผ ๊ฐœ๋ฐœ์ด๋ผ๋Š” ๊ณผ์ œ๋ฅผ ํ•ด๊ฒฐํ•˜๋ฉฐ ๋‹ค์–‘ ํ•œ ๋ฐœ์ „์„ ์ด๋ค„๋‚ด๊ณ  ์žˆ์Šต๋‹ˆ๋‹ค. ์ด๋ฒˆ ๊ธฐํš ํŠน์ง‘์„ ์ฝ์œผ๋ฉฐ

์šฐ์ฃผ ๊ฐœ๋ฐœ์˜ ์ด์œ ์™€ ๋ฐฉ๋ฒ•์„ ์•Œ๊ฒŒ ๋˜๋Š” ๊ฒƒ๋ฟ๋งŒ ์•„๋‹ˆ๋ผ, ์ด๋ฅผ ์‹คํ˜„์‹œํ‚ค๊ธฐ ์œ„ํ•œ ๊ณผํ•™ ๊ธฐ์ˆ  ๋ฐœ์ „์˜ ํ•„์š”์„ฑ๊ณผ ์ค‘์š”์„ฑ

์— ๋Œ€ํ•ด์„œ๋„ ์•Œ๊ฒŒ ๋˜๋Š” ์‹œ๊ฐ„์„ ๋ณด๋ƒˆ์œผ๋ฉด ์ข‹๊ฒ ์Šต๋‹ˆ๋‹ค.

[๊ทธ๋ฆผ ์ถœ์ฒ˜]

๊ทธ๋ฆผ 1. โ€œโ…ค-2. ๋ณ„์˜ ์—๋„ˆ์ง€์› โ‘  [์›์‹œ๋ณ„๊ณผ ์ฃผ๊ณ„์—ด์„ฑ].โ€ ใ€ŒROOPLEETELCHAN_NETใ€. 2024๋…„ 3์›” 3์ผ.

https://m.blog.naver.com/venomous1st/222260500529. ๊ทธ๋ฆผ 2. Nuclear binding energy.โ€ Wikipedia. Feb 27, 2024.

https://en.wikipedia.org/wiki/Nuclear_binding_energy ๊ทธ๋ฆผ 3. โ€œLawson_criterion.โ€ Wikipedia. 27 Feb, 2024. https://en.wikipedia.org/wiki/Lawson_criterion

๊ทธ๋ฆผ 4. โ€œRF ํšŒ๋กœ ๊ฐœ๋… ์žก๊ธฐ โ€“ PART 10 โ–ถ Antenna (์•ˆํ…Œ๋‚˜).โ€ ใ€ŒRFDHใ€. 2024 ๋…„ 3์›” 3์ผ.

http://www.rfdh.com/bas_rf/begin/antenna.php3.

๊ทธ๋ฆผ 5. ์ฐจํ™์„ค, ๊น€์ข…๋ฏผ, ์ž„๋ณ‘์ฃผ, ์ด์ฃผํ˜•, ๊ณ ์˜์ฑ„. โ€์ €๊ถค๋„ ๊ตฐ์ง‘ ์œ„์„ฑ ๊ฐ„ ํ†ต์‹  ํ˜„ํ™ฉ ๋ฐ ์ฃผ์š” ๊ธฐ์ˆ  ๋™ํ–ฅ.โ€ ใ€Œํ•œ๊ตญํ†ต์‹ ํ•™ํšŒ๋…ผ๋ฌธ์ง€ใ€ 47, no.10 (2022) :1508-1518.

[์ฐธ๊ณ  ์ž๋ฃŒ]

1. โ€œํ•ต์œตํ•ฉ์ด๋ž€?.โ€ ใ€Œํ•œ๊ตญํ•ต์œตํ•ฉ์—๋„ˆ์ง€์—ฐ๊ตฌ์›ใ€. 2024๋…„ 2์›” 27์ผ. https://www.kfe.re.kr/menu.es?mid=a10201010000.

2. โ€œLawson_criterion.โ€ Wikipedia. Feb 27, 2024. https://en.wikipedia. org/wiki/Lawson_criterion.

3. ์ฐจํ™์„ค, ๊น€์ข…๋ฏผ, ์ž„๋ณ‘์ฃผ, ์ด์ฃผํ˜•, ๊ณ ์˜์ฑ„. โ€์ €๊ถค๋„ ๊ตฐ์ง‘ ์œ„์„ฑ ๊ฐ„ ํ†ต์‹  ํ˜„ํ™ฉ ๋ฐ ์ฃผ์š” ๊ธฐ์ˆ  ๋™ํ–ฅ.โ€ ใ€Œํ•œ๊ตญํ†ต์‹ ํ•™ํšŒ๋…ผ๋ฌธ์ง€ใ€ 47, no.10 (2022):1508-1518.

4. ์—„๋งŒ์„, ์žฅ๋™ํ•„, ์ด๋ณ‘์„ . โ€œ์ €๊ถค๋„ ๊ตฐ์ง‘ ํ†ต์‹ ์œ„์„ฑ ํƒ‘์žฌ์ฒด ๊ธฐ์ˆ  ๋™ํ–ฅ.โ€ ใ€Œ์ „์žํ†ต ์‹ ๋™ํ–ฅ๋ถ„์„ใ€ 37, no.3 (2022):41-51.

5. ๊น€์ง€์„ . โ€œ์ง€๊ตฌ์ €๊ถค๋„(LEO) ํ™œ์šฉ๋™ํ–ฅ ๋ฐ ์ •์ฑ…๊ณผ์ œ.โ€ ใ€Œ๊ตญ๊ฐ€์šฐ์ฃผ์ •์ฑ…์—ฐ๊ตฌ์„ผ ํ„ฐใ€. 2022๋…„ 11์›” 14์ผ.

https://stepi.re.kr/site/sprec/report/View.do;jsessionid=C81E93 A9AB31F407C4FB70C7D99DE6C7?reIdx=9&cateCont=S0501.

31

2023

๋…ธ๋ฒจ ๋ฌผ๋ฆฌํ•™์ƒ ์ด์•ผ๊ธฐ

์•„์ง ๊ฐ€๋ณด์ง€ ๋ชปํ•œ ์ž์—ฐ์˜ ์˜์—ญ ์†์œผ๋กœ

๊ธ€

ํฌ์Šคํ… ๋ฌผ๋ฆฌํ•™๊ณผ ๊น€๋™์–ธ ๋ช…์˜ˆ ๊ต์ˆ˜

๋ง‰์Šคํ”Œ๋ž‘ํฌ ํ•œ๊ตญ ํฌ์Šคํ… ์—ฐ๊ตฌ์†Œ ์•„ํ† ์ดˆ ๊ณผํ•™์„ผํ„ฐ ์„ผํ„ฐ์žฅ

32 ํ—ฌ๋กœ ๋…ธ๋ฒจ

2023๋…„ ๋…ธ๋ฒจ ๋ฌผ๋ฆฌํ•™์ƒ์ด ์•„ํ† ์ดˆ ํŽ„์Šค์˜ ๋ฐœ

์ƒ ์›๋ฆฌ ๊ทœ๋ช…๊ณผ ๊ทธ ๊ตฌํ˜„์— ๊ธฐ์—ฌํ•œ ๊ณผํ•™์ž์—๊ฒŒ

์ฃผ์–ด์กŒ๋‹ค. ์ด ๊ธ€์„ ํ†ตํ•ด์„œ ์•„ํ† ์ดˆ ๊ณผํ•™ ๊ธฐ์ˆ ์˜

์˜๋ฏธ์™€ ๊ทธ ์‹œ๋Œ€์  ๋ฐฐ๊ฒฝ์„ ๊ณต์œ ํ•˜๊ณ , ๋‹จ์ผ ์•„ํ† 

์ดˆ ํŽ„์Šค ๋ฐœ์ƒ ์›๋ฆฌ์™€ ์ด๋ฅผ ํ™œ์šฉํ•œ ๊ฑฐ์‹œ์„ธ๊ณ„์—

์„œ ๋ณผ ์ˆ˜ ์—†๋Š” ๋…ํŠนํ•œ ์–‘์ž ํ˜„์ƒ์ธ ์ „์ž ํ„ฐ๋„๋ง

์˜ ์‹ค์‹œ๊ฐ„ ๊ด€์ธก์„ ์„ค๋ช…ํ•˜๊ณ ์ž ํ•œ๋‹ค. ๋…์ž๊ฐ€ ์ƒˆ

๋กœ์šด ๊ณผํ•™์˜ ํŒจ๋Ÿฌ๋‹ค์ž„์ด ์—ด๋ฆฌ๊ณ  ์žˆ์Œ์„ ๊ณต๊ฐํ• 

์ˆ˜ ์žˆ๊ธฐ๋ฅผ ๋ฐ”๋ž€๋‹ค.

๋ถ„ํ•ด๋Šฅ ๋ณ€์ฒœ์‚ฌ. (์ถœ์ฒ˜: Rev. of Mod. Phys. 81, 163 (2009))

์ƒˆ๋กœ์šด ๊ณผํ•™์˜

ํŒจ๋Ÿฌ๋‹ค์ž„: ์ „์ž ์กฐ์ž‘์˜ ์‹œ๋Œ€

์ „์ž์™€ ๋น›์˜ ๊ณต์ƒ ๊ด€๊ณ„๋Š” ์ƒ๋ช… ํ˜„์ƒ์„ ๋น„๋กฏํ•œ ์‚ผ๋ผ๋งŒ์ƒ์˜ ๊ธฐ๋ณธ์ด ๋œ๋‹ค. ์ง€๊ตฌ์˜ ์—ฌ๋Ÿฌ ์ƒ๋ช… ํ˜„์ƒ์„ ๊ฐ€๋Šฅ์ผ€ ํ•˜๋Š”, ํƒœ์–‘ ์—๋„ˆ์ง€๋ฅผ ๊ณต๊ธ‰ํ•˜๋Š” ๋น›์€ ์ „์ž์˜ ๋ฏธ์‹œ์ ์ธ ์›€์ง์ž„์œผ๋กœ ๋ฐœ์ƒํ•œ๋‹ค. ์ „์ž๋Š” ์ด๋Ÿฐ

๋น›์„ ํก์ˆ˜ํ•ด ์ƒ๋ฌผํ•™์  ์—๋„ˆ์ง€(๊ด‘ํ•ฉ์„ฑ)๋‚˜ ์ฃผ์œ„๋ฅผ ๊ฐ์ง€ํ•  ์ˆ˜ ์žˆ๊ฒŒ ํ•ด ์ฃผ๋Š” ์ƒ๋ฌผํ•™์  ์‹ ํ˜ธ๋กœ ์ „ํ™˜ํ•œ

๋‹ค. ์ „์ž๋Š” ๋ถ„์ž์˜ ์ƒ์„ฑ, ์†Œ๋ฉธ, ๋ณ€ํ˜• ๋ฐ ์ƒ๋ฌผํ•™์  ๊ธฐ๋Šฅ์— ์˜ํ–ฅ์„ ๋ฏธ์นœ๋‹ค. ๋”ฐ๋ผ์„œ ์›์ž, ๋ถ„์ž ๋‚ด์—์„œ ์ „์ž์™€ ๊ด€๋ จ๋œ ์–‘์ž ํ˜„์ƒ์„ ์ดํ•ดํ•˜๊ณ  ์กฐ์ž‘ํ•˜๋Š” ๊ฒƒ์€ ๋งค์šฐ ์ค‘์š”ํ•˜๋‹ค.

์ „์ž ์šด๋™์˜ ์‹ค์‹œ๊ฐ„ ์กฐ์ž‘ ๋ฐ ์ œ์–ด์— ๋Œ€ํ•œ ๊ด€์‹ฌ์€ ์˜ค๋ž˜์ „๋ถ€ํ„ฐ ์žˆ์—ˆ์œผ๋ฉฐ, 1960๋…„๋Œ€ ๋ ˆ์ด์ €๊ฐ€ ๊ฐœ๋ฐœ ๋˜๋ฉด์„œ ์‹คํ˜„์˜ ์‹ค๋งˆ๋ฆฌ๋ฅผ ์ฐพ๊ฒŒ ๋˜์—ˆ๋‹ค. [๊ทธ๋ฆผ 1]์ด ๋ณด์—ฌ์ฃผ๋“ฏ์ด 1960๋…„์— ๋ ˆ์ด์ €๊ฐ€ ๊ฐœ๋ฐœ๋˜๊ธฐ ์ „๊นŒ์ง€

๋Š” ๋‚˜๋…ธ์ดˆ(10-9s)๋ณด๋‹ค ๋” ์งง์€ ์ˆœ๊ฐ„์— ์ง„ํ–‰๋˜๋Š” ํ˜„์ƒ๋“ค์„ ์ œ๋Œ€๋กœ ๊ด€์ธกํ•˜์ง€ ๋ชปํ–ˆ๋‹ค. ๋ ˆ์ด์ € ๊ฐœ๋ฐœ๊ณผ

๋”๋ถˆ์–ด ๊ด‘๊ธฐ์ˆ ์ด ๋ฐœ์ „ํ•จ์— ๋”ฐ๋ผ ๋” ๋น ๋ฅธ ํ˜„์ƒ์„ ๊ด€์ธกํ•  ์ˆ˜ ์žˆ๊ฒŒ ๋˜์—ˆ๊ณ , ์•„ํ† ์ดˆ(10-18s) ์‹œ๊ฐ„๋Œ€์— ์ผ์–ด๋‚˜๋Š” ์ „์ž ๊ทน๊ณ ์† ํ˜„์ƒ์˜ ์‹ค์‹œ๊ฐ„ ๊ด€์ธก์€ ์ˆ˜ ์ฃผ๊ธฐ ๋ ˆ์ด์ €(Few-Cycle Femtosecond Laser) ๊ธฐ์ˆ ์ด ๊ฐœ๋ฐœ๋œ ํ›„์ธ 2000๋…„๋Œ€์— ๋“ค์–ด์„œ์•ผ ๋น„๋กœ์†Œ ๊ฐ€๋Šฅํ•˜๊ฒŒ ๋˜์—ˆ๋‹ค. ๋˜ํ•œ ์ˆ˜ ์ฃผ๊ธฐ ๊ด‘ํŒŒ(FewCycle Light Wave)๋ฅผ ์ œ์–ดํ•  ์ˆ˜ ์žˆ๊ฒŒ ๋จ์— ๋”ฐ๋ผ, ์ „์ž์— ๊ฐ€ํ•˜๋Š” ํž˜์„ ์•„ํ† ์ดˆ ์‹œ๊ฐ„๋Œ€์—์„œ ์กฐ์ž‘ํ•  ์ˆ˜ ์žˆ๊ฒŒ ๋˜์—ˆ๊ณ  ๋‹จ์ผ ์•„ํ† ์ดˆ ํŽ„์Šค๋ฅผ ์‹คํ˜„ํ•  ์ˆ˜ ์žˆ๊ฒŒ ๋˜์—ˆ๋‹ค. ์ด๋Ÿฌํ•œ ์•„ํ† ์ดˆ ํŽ„์Šค ๋ฐœ์ƒ๊ณผ ๊ทธ ๊ด€๋ จ ๋ฌผ ๋ฆฌ ํ˜„์ƒ์˜ ๊ธฐ๋ณธ ์ดํ•ด๋ฅผ ์ œ๊ณตํ•œ P. Agostini, F Krausz, A. Lโ€™Huillier ๊ต์ˆ˜์—๊ฒŒ 2023๋…„ ๋…ธ๋ฒจ ๋ฌผ๋ฆฌ ํ•™์ƒ์ด ์ฃผ์–ด์ง€๊ฒŒ ๋˜์—ˆ๋‹ค[๊ทธ๋ฆผ 2].

์ด์ œ ์ธ๋ฅ˜๋Š” ์•„ํ† ์ดˆ ์‹œ๊ฐ„๋Œ€ ํ˜„์ƒ์„ ๊ด€์ธกํ•  ์ˆ˜ ์žˆ๋Š” ์ƒˆ๋กœ์šด ๋ˆˆ์„ ๊ฐ–๊ฒŒ ๋˜์—ˆ๋‹ค. ์˜ˆ๋ฅผ ๋“ค์–ด ์–ด๋–ค ํ™”ํ•™ ๋ฐ˜์‘์€ ์‰ฝ๊ฒŒ ์ผ์–ด๋‚˜๋Š”๋ฐ, ๋‹ค๋ฅธ ๋ฐ˜์‘์€ ์™œ ๊ทธ๋ ‡์ง€ ์•Š์€๊ฐ€์— ๋Œ€ํ•œ ํ†ต์ฐฐ๋ ฅ์„ ๊ฐ€์งˆ ์ˆ˜ ์žˆ๋‹ค. ์ด๋Ÿฐ ํƒ๊ตฌ

๋กœ ์ธํ•ด ์šฐ๋ฆฌ๋Š” ์ž์—ฐ์„ ์ƒˆ๋กœ์šด ์ฐจ์›์—์„œ ์ดํ•ดํ•˜๊ฒŒ ๋˜๊ณ , ํ•œ ์ฐจ์› ๋†’์€ ์ˆ˜์ค€์—์„œ ์ž์—ฐ์„ ํ†ต์ œํ•˜๊ณ  ์กฐ์ž‘ํ•  ์ˆ˜ ์žˆ๊ฒŒ ๋  ๊ฒƒ์ด๋‹ค. ์ด๋Š” ์ž์—ฐ ์†์—๋งŒ ์กด์žฌํ–ˆ๋˜ ๋น›๊ณผ ์ „์ž์˜ ๊ณต์กด์ด ๊ธฐ์ˆ ๋กœ๊นŒ์ง€ ํ™•์žฅ๋˜๋Š” ๊ฒƒ์œผ๋กœ, ๊ฒฐ๊ณผ์ ์œผ๋กœ ์•„์ง ๊ฐ€๋ณด์ง€ ๋ชปํ•œ ์ž์—ฐ์˜ ์˜์—ญ ์†์œผ๋กœ์˜ ์ƒˆ๋กœ์šด ๊ณผํ•™ ํŒจ๋Ÿฌ๋‹ค์ž„์ด ์—ด๋ฆฌ๋Š” ๊ฒƒ์ด

์ด๊ฒƒ์ด ๊ทธ๋“ค์—๊ฒŒ ๋…ธ๋ฒจ์ƒ์ด ์ฃผ์–ด์ง„

๊ทธ๋ฆผ 1. ๊ทน๊ณ ์† ํ˜„์ƒ ์ธก์ •
๊ทธ๋ฆผ 2. 2023๋…„ ๋…ธ๋ฒจ ๋ฌผ๋ฆฌํ•™์ƒ ์ˆ˜์ƒ์ž. ์•„ํ† ์ดˆ ๊ด‘ ํŽ„์Šค ๋ฐœ์ƒ ์›๋ฆฌ ์ดํ•ด ๋ฐ ๊ตฌํ˜„ ์™ผ์ชฝ๋ถ€ํ„ฐ Pierre Agostini, Ferenc Krausz, Anne Lโ€™Huillier(์ถœ์ฒ˜:
๋ง‰์Šคํ”Œ๋ž‘ํฌ ์–‘์ž๊ด‘ํ•™์—ฐ๊ตฌ์†Œ๊ณต,
์žฌ๋‹จ) 33
์˜คํ•˜์ด์˜ค์ฃผ๋ฆฝ๋Œ€,
BBVA
๋ฉฐ,
์ด์œ ์ด๋‹ค.

์–ด๋–ป๊ฒŒ ์•„ํ† ์ดˆ ๊ด‘ํŽ„์Šค๋ฅผ ๋ฐœ์ƒ์‹œํ‚ค๋Š”๊ฐ€?

์ˆ˜ ํ…Œ๋ผ์™€ํŠธ(TW), ์ˆ˜์‹ญ ํŽจํ† ์ดˆ(10-15s) ๋ ˆ์ด์ € ํŽ„์Šค๋ฅผ ํ—ฌ๋ฅจ, ์•„๋ฅด๊ณค ๋“ฑ ๋ถˆ

ํ™œ์„ฑ ๊ธฐ์ฒด์— 1014 W/cm2 ์ˆ˜์ค€์œผ๋กœ ์ง‘์†ํ•˜๋ฉด ์‹ฌํ•˜๊ฒŒ ๋ณ€์กฐ๋œ ๊ทน์ง„๊ณต ์ž

์™ธ์„  ์ŠคํŽ™ํŠธ๋Ÿผ(Extreme Ultraviolet Spectrum, EUV Spectrum)์ด

๋ฐœ์ƒํ•˜๊ฒŒ ๋˜๋Š”๋ฐ[๊ทธ๋ฆผ 3a], ์ด๋ฅผ ์ดํ•ดํ•˜๋Š” ๊ณผ์ •์—์„œ ์•„ํ† ์ดˆ ํŽ„์Šค๊ฐ€ ๋ฐœ์ƒ

ํ•˜๋Š” ๊ฒƒ์„ ์ธ์ง€ํ•˜๊ฒŒ ๋˜์—ˆ๋‹ค. ์›์ž ๋‚ด ์ „์ž๋Š” ์ฟจ๋กฑ ํผํ…์…œ์— ์˜ํ•ด์„œ ๊ตฌ์†

๋˜์–ด ์žˆ๋Š”๋ฐ, ๊ฐ•๋ ฅ ๋ ˆ์ด์ €์žฅ์ด ๊ฑธ๋ฆฌ๋ฉด ๊ทธ ์ฟจ๋กฑ ํผํ…์…œ์ด ์™œ๊ณก๋˜์–ด ์ „์ž

๋Š” ํ„ฐ๋„๋ง์„ ํ†ตํ•ด์„œ ์›์ž๋ฅผ ๋น ์ ธ๋‚˜์™€ ์ž์œ  ์ „์ž๊ฐ€ ๋œ๋‹ค[๊ทธ๋ฆผ 3b]. ์ด ์ž

์œ  ์ „์ž๋Š” ์™ธ๋ถ€ ๋ ˆ์ด์ € ์ „๊ธฐ์žฅ์˜ ์˜ํ–ฅ์„ ๋ฐ›์•„ ํŠน์ • ์šด๋™ ์—๋„ˆ์ง€๋ฅผ ๊ฐ€์ง€

๊ณ  ์›๋ž˜ ์›์ž์™€ ์ถฉ๋Œํ•˜๋ฉฐ, ์—ฐ์† ์ŠคํŽ™ํŠธ๋Ÿผ์˜ ๋น›์„ ๋ฐฉ์ถœํ•œ๋‹ค. ์ด๋Ÿฌํ•œ ๊ณผ

์ •์ด ๋ ˆ์ด์ € ์ „๊ธฐ์žฅ์˜ ๋ฐ˜ ์ฃผ๊ธฐ๋งˆ๋‹ค ๋ฐœ์ƒํ•˜์—ฌ[๊ทธ๋ฆผ 3c], ๋ ˆ์ด์ € ์ „๊ธฐ์žฅ์˜

๋ฐ˜ ์ฃผ๊ธฐ๋งˆ๋‹ค ์•„ํ† ์ดˆ EUV ํŽ„์Šค๊ฐ€ ์ƒ์„ฑ๋œ๋‹ค. ๋‹จ์ผ ์•„ํ† ์ดˆ ํŽ„์Šค(Isolated Attosecond Pulse)๋ฅผ ๋ฐœ์ƒ์‹œํ‚ค๊ธฐ ์œ„ํ•ด์„œ๋Š” ๋‹จ์ผ ์ฃผ๊ธฐ ๋˜๋Š” ์ˆ˜ ์ฃผ๊ธฐ ํŽจ

ํ† ์ดˆ ํŽ„์Šค๋ฅผ ์‚ฌ์šฉํ•˜๋ฉฐ, ๋ฐœ์ƒํ•œ EUV ๋น› ์ค‘์—์„œ ํŒŒ์žฅ์ด ๊ฐ€์žฅ ์งง์€ ์ชฝ์— ํ˜•

์„ฑ๋˜๋Š” ์—ฐ์†์ŠคํŽ™ํŠธ๋Ÿผ ๋ถ€๋ถ„์˜ ๋น›๋งŒ์„ ์„ ํƒํ•จ์œผ๋กœ์จ(Spectral Filtering)

๋‹จ์ผ ์•„ํ† ์ดˆ EUV ํŽ„์Šค๋ฅผ ์–ป๊ฒŒ ๋œ๋‹ค.

๊ณผํ•™์‚ฌ ์ตœ์ดˆ๋กœ ๋Œ€ํ‘œ์ ์ธ ์–‘์ž ํ˜„์ƒ์ธ

์ „์ž ํ„ฐ๋„๋ง ์‹ค์‹œ๊ฐ„ ๊ด€์ธก

์›์ž ์„ธ๊ณ„์—์„œ์˜ ์ „์ž ํ„ฐ๋„๋ง์€ ๊ฑฐ์‹œ์ ์ธ ์„ธ๊ณ„์—์„œ๋Š” ๋ณผ ์ˆ˜ ์—†๋Š” ๋Œ€ํ‘œ

์ ์ธ ์–‘์ž ํ˜„์ƒ์ด๋‹ค. ์ด ํ˜„์ƒ์ด ์•„ํ† ์ดˆ ์‹œ๊ฐ„๋Œ€์— ์ง„ํ–‰๋˜๋ฏ€๋กœ, ๋‹จ์ผ ์•„ํ† 

์ดˆ ๊ด‘ํŽ„์Šค๋ฅผ ์ด์šฉํ•ด์„œ ํ„ฐ๋„๋ง์„ ์‹ค์‹œ๊ฐ„์œผ๋กœ ๊ด€์ฐฐํ•˜๋Š” ๋ฐ ์„ฑ๊ณตํ•˜๋ฉด์„œ, ์›์ž ๋‚ด ์ „์ž ๋™์—ญํ•™ ์‹ค์‹œ๊ฐ„ ๊ด€์ธก ๋ฐ ํ›„์†์ ์ธ ์กฐ์ž‘์˜ ๋ฌธ์ด ๋ณธ๊ฒฉ์ ์œผ๋กœ

์—ด๋ ธ๋‹ค.

๋ ˆ์ด์ € ์ „๊ธฐ์žฅ์— ์˜ํ•ด ์›์ž์˜ ์ฟจ๋กฑ ์ „์œ„๊ฐ€ ์™œ๊ณก๋˜๋ฉด ์ „์ž๊ฐ€ ํ„ฐ๋„๋ง์„ ํ†ต

ํ•ด ํƒˆ์ถœํ•  ์ˆ˜ ์žˆ๋‹ค[๊ทธ๋ฆผ 4a]. ํ„ฐ๋„๋ง ํ™•๋ฅ ์€ ์ „๊ธฐ์žฅ์— ์—ญ๋น„๋ก€ํ•˜์—ฌ ์ง€์ˆ˜

ํ•จ์ˆ˜์ ์œผ๋กœ ๋ณ€ํ•˜๊ฒŒ ๋˜์–ด, ์ „๊ธฐ์žฅ์ด ์„ผ ๊ฒฝ์šฐ์—๋งŒ ๋งค์šฐ ์งง์€ ์‹œ๊ฐ„ ๋™์•ˆ์—

ํ„ฐ๋„๋ง์ด ์ผ์–ด๋‚˜๋Š” ๊ฒƒ์œผ๋กœ ์•Œ๋ ค์ ธ ์žˆ๋‹ค[๊ทธ๋ฆผ 4b]. ์•„ํ† ์ดˆ EUV ํŽ„์Šค๋กœ

์—ฌ๊ธฐ ์ƒํƒœ์˜ ์ด์˜จ์„ ์ƒ์„ฑํ•˜๊ณ , ์ด ์ƒํƒœ์˜ ์ „์ž๊ฐ€ ๋˜ ๋‹ค๋ฅธ ๋ ˆ์ด์ € ์žฅ์— ์˜

ํ•ด์„œ ํ„ฐ๋„๋ง ์ด์˜จํ™”๋˜๋Š” ์ƒํ™ฉ์„[๊ทธ๋ฆผ 4c] ์ƒ๊ฐํ•˜๋ฉด, ๊ทธ๋ฆผ 4d์ฒ˜๋Ÿผ ๋‹จ๊ณ„์ 

์œผ๋กœ ์ง„ํ–‰๋˜์–ด ๊ณ„๋‹จ ๋ชจ์–‘์„ ๋‚˜ํƒ€๋‚ผ ๊ฒƒ์ด ๊ธฐ๋Œ€๋œ๋‹ค. ์ด๋ฒˆ ๋…ธ๋ฒจ์ƒ ์ˆ˜์ƒ์ž

์ธ ํฌ๋ผ์šฐ์ธ  ๊ต์ˆ˜ ๊ทธ๋ฃน์€ Ne ๊ฐ€์Šค[๊ทธ๋ฆผ 5a, ์ค‘์„ฑ Ne๊ณผ ์ด์˜จํ™”๋œ Ne์˜ ๊ด€

๋ จ ์—๋„ˆ์ง€ ์ค€์œ„]๋ฅผ ์‚ฌ์šฉํ•˜์—ฌ, ๋‹จ์ผ ์•„ํ† ์ดˆ EUV ํŽ„์Šค๋ฅผ ๊ฐ€์ง€๊ณ  ์‹คํ—˜ํ•˜์—ฌ

์ด์˜จํ™” ๊ณผ์ •์ด ๊ณ„๋‹จ์‹์œผ๋กœ ์ง„ํ–‰๋œ๋‹ค๋Š” ๊ฒƒ์„ ์‹ค์‹œ๊ฐ„์œผ๋กœ ๊ด€์ฐฐํ•˜์˜€๋‹ค[๊ทธ

๋ฆผ 5b]. ์ด๋Š” ๋งˆ์น˜ ๋ฏธ๊ตญ ์•„ํด๋กœ ์šฐ์ฃผ์„ ์ด ๋‹ฌ ์ฐฉ๋ฅ™์— ์„ฑ๊ณตํ•˜๋ฉฐ ์šฐ์ฃผ ํƒํ—˜

์˜ ์ƒˆ๋กœ์šด ๋ฌธ์„ ์—ฐ ๊ฒƒ์ฒ˜๋Ÿผ, ์ธ๊ฐ„์ด ๊ฐ€๋ณด์ง€ ๋ชปํ–ˆ๋˜ ์–‘์ž ํ˜„์ƒ์˜ ์‹ค์‹œ๊ฐ„ ์ธก

์ • ๋ฐ ์กฐ์ž‘์˜ ๋ฌธ์„ ์—ฌ๋Š” ํฐ ํš์„ ๊ทธ์€ ๊ฒƒ์ด๋‹ค.

๊ทธ๋ฆผ 4. ๋ ˆ์ด์ € ์ „๊ธฐ์žฅ ํ•˜์—์„œ ์ „์ž ํ„ฐํ„ธ๋ง์— ๋Œ€ํ•œ ์–‘์ž ์—ญํ•™์  ์˜ˆ์ธก ๋ชจ๋ธ. ์ถœ์ฒ˜: Nature 446, 627 (2007) ๊ทธ๋ฆผ 3. (a) ๊ณ ์ฐจ์กฐํ™”ํŒŒ ์ŠคํŽ™ํŠธ๋Ÿผ (b) ์ค€ ๊ณ ์ „์  3๋‹จ๊ณ„ ๋ชจ๋ธ. ๊ฐ•๋ ฅํ•œ ๋ ˆ์ด์ € ์ „๊ธฐ์žฅ์— ์˜ํ•ด ์›์ž ์ฟจ๋กฑ ์ „์œ„๊ฐ€ ์™œ๊ณก๋˜๋ฉด ํ„ฐ๋„๋ง ํ˜„์ƒ์„ ํ†ตํ•ด ์ „์ž๊ฐ€ ์ด์˜จํ™”๋œ๋‹ค. ์ด ์ž์œ  ์ „์ž๋Š” ๋ ˆ์ด์ € ์ „๊ธฐ์žฅ์— ์˜ํ•˜์—ฌ ๋‹ค์‹œ ์›๋ž˜ ์›์ž ์™€ ์ถฉ๋Œํ•˜๋ฉฐ ์•„ํ† ์ดˆ ๊ด‘์„ ๋ฐœ์ƒํ•œ๋‹ค. (c) ๋ฐ˜ ์ฃผ๊ธฐ๋งˆ๋‹ค ์ถฉ๋Œ์ด ๋ฐœ์ƒํ•˜์—ฌ, ์•„ํ† ์ดˆ ํŽ„์Šค ์—ด(Train of Attosecond Pulses, ํŒŒ๋ž€์ƒ‰)์ด ์ƒ์„ฑ๋œ๋‹ค.

๊ทธ๋ฆผ 5. (a) 90eV EUV ๊ด‘์ž๋Š” Ne2+๋ณด๋‹ค Ne1+์— ๋Œ€ํ•ด ๋” ๋†’์€ ํ™•๋ฅ ๋กœ ๋‹จ์ผ ์ „ํ•˜ ๋˜๋Š” ์ด์ค‘ ์ „ํ•˜ Ne๋ฅผ ์ƒ์„ฑ ํ•œ๋‹ค. ํ›„์† ๋ ˆ์ด์ € ์žฅ์€ ์ด๋Ÿฌํ•œ ์—ฌ๊ธฐ ์ƒํƒœ์—์„œ ์ „์ž๋ฅผ ์ด์˜จํ™”์‹œํ‚ค๊ฒŒ ๋œ๋‹ค. (b) ์ด์˜จํ™” ์–‘ ์‹คํ—˜ ๋ฐ์ดํ„ฐ (๊ตต์€ ๋นจ๊ฐ„

์ƒ‰ ์„ ) (c) ์‹คํ—˜ ์กฐ๊ฑด์— ๋Œ€ํ•œ ํ„ฐ๋„๋ง ์ด์˜จํ™”์˜ Keldysh ์ด๋ก  ๊ธฐ๋ฐ˜ ์˜ˆ์ธก. ์ถœ์ฒ˜: Nature 446, 627 (2007)

34 ํ—ฌ๋กœ ๋…ธ๋ฒจ
a b c a b c a c b d

6. ์ž์—ฐ์—์„œ ์ผ์–ด๋‚˜๋Š” ๊ธฐ๋ณธ ํ˜„์ƒ์˜ ์‹œ๊ฐ„๋Œ€. ์ „์ž ๊ฐ„

๋ถ„์ž ๋‚ด ์ „ํ•˜ ์ด๋™ ๋“ฑ ์ˆ˜ ํŽจํ† ์ดˆ, ์•„ํ† ์ดˆ ์‹œ๊ฐ„๋Œ€์—์„œ ์ผ์–ด๋‚˜ ๋Š” ํ˜„์ƒ(์ ์ƒ‰ ์ ์„  ์˜์—ญ)์— ๋Œ€ํ•œ ์‹ค์‹œ๊ฐ„ ์ธก์ • ๋ฐ ์กฐ์ž‘์˜ ๋ฌธ์ด ์—ด๋ฆฐ ๊ฒƒ์ด๋‹ค. ์ด ์˜์—ญ์€ ์ด์ „์—๋Š” ๋™์—ญํ•™์ ์œผ๋กœ ํƒ๊ตฌ๋˜์ง€ ๋ชปํ•˜์˜€๋‹ค.

์–ด๋””์— ์‘์šฉํ•  ๊ฒƒ์ธ๊ฐ€ ๊ทธ๋ฆฌ๊ณ  ์ „๋ง์€?

[๊ทธ๋ฆผ 6]์€ ์ž์—ฐ์—์„œ ์ผ์–ด๋‚˜๋Š” ๊ธฐ๋ณธ ํ˜„์ƒ๋“ค์ด ์–ด๋–ค ์‹œ๊ฐ„๋Œ€์—์„œ ์ผ์–ด๋‚˜๋Š” ์ง€๋ฅผ ๋ณด์—ฌ์ฃผ๊ณ  ์žˆ๋‹ค. ๋‹จ์ผ

์•„ํ† ์ดˆ EUV ํŽ„์Šค๋ฅผ ํ™œ์šฉํ•จ์œผ๋กœ ์ˆ˜ ํŽจํ† ์ดˆ, ์•„ํ† ์ดˆ ์‹œ๊ฐ„๋Œ€์—์„œ ์ผ์–ด๋‚˜๋Š” ์ „์ž ์ƒํ˜ธ ์ž‘์šฉ, ๋‚ด๊ฐ ์ „

์ž ์ „์ด, ๋ถ„์ž ๋‚ด ์ „ํ•˜ ์ด๋™ ๋“ฑ์„ ๋น„๋กœ์†Œ ๊ด€์ธกํ•  ์ˆ˜ ์žˆ๊ฒŒ ๋œ ์…ˆ์ด๋‹ค. ๊ธฐ์กด ํŽจํ† ์ดˆ ํ™”ํ•™ ๋ฐ˜์‘ ์—ฐ๊ตฌ๋„ ์•„ํ† ์ดˆ ํŽ„์Šค์˜ ๋„์›€์œผ๋กœ ์ƒˆ๋กœ์šด ์ฐจ์›์˜ ์—ฐ๊ตฌ๊ฐ€ ๊ฐ€๋Šฅํ•ด์ง„๋‹ค. ํ˜„์žฌ ์•„ํ† ์ดˆ EUV ํŽ„์Šค์˜ ๊ด‘์ž ์—๋„ˆ์ง€ ๋Š” 100 eV ์ดํ•˜์—ฌ์„œ, ์—ฐ๊ตฌ ๋Œ€์ƒ์ด ์ œํ•œ์ ์ด๋‹ค. ์—ฐ๊ตฌ ๋Œ€์ƒ์˜ ํ™•์žฅ์„ ์œ„ํ•ด์„œ๋Š” X์„  ์˜์—ญ์—์„œ์˜ ์•„ํ†  ์ดˆ ํŽ„์Šค ๋ฐœ์ƒ์ด ํ•„์š”ํ•˜๋‹ค. ์ด๋Ÿฐ ํŽ„์Šค๋Š” ์•„ํ† ์ดˆ ์‹œ๊ฐ„ ํ•ด์ƒ๋„์™€ ์›์ž ์ˆ˜์ค€์˜ ๊ณต๊ฐ„ ํ•ด์ƒ๋„๋ฅผ ๊ฐ–์ถ˜ ๋„ ๊ตฌ๋กœ ์‚ฌ์šฉ๋  ์ˆ˜ ์žˆ๋‹ค.

๋ฐฑ ๋ฒˆ ๋“ฃ๋Š” ๊ฒƒ๋ณด๋‹ค ํ•œ ๋ฒˆ ๋ณด๋Š” ๊ฒƒ์ด ๋” ๋‚ซ๋‹ค๋Š” ๋ง์ฒ˜๋Ÿผ, ์•„ํ† ์ดˆ ๊ณผํ•™์€ ์ด์ „์— ์•Œ์ง€ ๋ชปํ•˜๋˜ ์ƒˆ๋กœ์šด ํ˜„ ์ƒ์„ ๋ณด์—ฌ์ฃผ๋ฉฐ ์ธ๋ฅ˜๊ฐ€ ์ž์—ฐ์„ ์ดํ•ดํ•˜๋Š” ํญ์„ ๋„“ํ˜€์ค„ ๊ฒƒ์ด๋‹ค. ์ด์— ๋”ฐ๋ผ ํ–ฅํ›„ 21์„ธ๊ธฐ์—๋Š” ์ƒ๋ช…์˜ ๊ธฐ ๋ณธ ๊ตฌ์„ฑ ์š”์†Œ์™€ ๊ทธ ๋ณตํ•ฉ์ฒด๋ฅผ ํฌํ•จํ•˜์—ฌ ๋ชจ๋“  ๋ฌธ์ œ์˜ ๋‚ด๋ถ€ ์ž‘๋™ ์›๋ฆฌ์— ๋Œ€ํ•œ ์ดํ•ด๊ฐ€ ํฌ๊ฒŒ ์ฆ์ง„ํ•˜๊ณ , ์ด์— ๋Œ€ํ•œ ๋ฐœ์ „์ด ์ด๋ฃจ์–ด์งˆ ๊ฒƒ์œผ๋กœ ์˜ˆ์ƒ๋œ๋‹ค. ๊ทธ๋ฆฌ๊ณ  โ€˜์ธก์ •ํ•  ์ˆ˜ ์—†๋Š” ๊ฒƒโ€™์— ๋Œ€ํ•œ ์ •์˜๊ฐ€ ๋‹ค์‹œ ๋‚ด๋ ค ์ ธ์•ผ ํ•  ๊ฒƒ์ด๋‹ค.

35
๊ทธ๋ฆผ
์ƒํ˜ธ ์ž‘์šฉ, ๋‚ด๊ฐ ์ „์ž
์ „์ด,

์ตœ์‹ ๊ธฐ์ˆ  ์†Œ๊ฐœ

์ œ4์˜ ์ƒ โ€˜๋„ค๋งˆํ‹ฑโ€™ ์ตœ์ดˆ ๊ด€์ธก

๊ณ ์ฒด, ์•ก์ฒด, ๊ธฐ์ฒด ์ค‘ ์–ด๋””์—๋„ ํฌํ•จ๋˜์ง€ ์•Š์€ ์ƒ

์ด ์žˆ๋‹ค๋Š” ์‚ฌ์‹ค, ์•Œ๊ณ  ๊ณ„์…จ๋‚˜์š”? ์–‘์ž ์ƒํƒœ์—์„œ

์ œ4์˜ ์ƒ ๋„ค๋งˆํ‹ฑ์„ ๋ฐœ๊ฒฌํ–ˆ๋‹ค๊ณ  ํ•ฉ๋‹ˆ๋‹ค! ๋„ค๋งˆ

ํ‹ฑ์ด๋ž€ ์•ก์ฒด์™€ ๊ณ ์ฒด์˜ ์„ฑ์งˆ์„ ๋™์‹œ์— ๊ฐ–๋Š” ๋ฌผ์งˆ

๋กœ, ์•ก์ฒด์™€ ๊ฐ™์ด ์ž์œ ๋กญ๊ฒŒ ์›€์ง์ด๋Š” ๋™์‹œ์— ๊ณ ์ฒด

์ฒ˜๋Ÿผ ๋ถ„์ž์˜ ๋ฐฐ์—ด์ด ๊ทœ์น™์ ์ž…๋‹ˆ๋‹ค. ๋˜ํ•œ, ๋„ค๋งˆ

ํ‹ฑ์€ 4๊ฐœ์˜ ๊ทน์„ ๊ฐ€์ง€๊ณ  ์žˆ๋Š”๋ฐ์š”. ์ž์„์ด 2๊ฐœ

์˜ ๊ทน์œผ๋กœ ์ž๊ธฐ ์Œ๊ทน์ž๋ฅผ ํ˜•์„ฑํ•˜๋Š” ๊ฒƒ๊ณผ ์œ ์‚ฌํ•˜

๊ฒŒ, ์‚ฌ๊ทน์ž์˜ ์ „ํ•˜ ๋ถ„ํฌ๋ฅผ ๊ด€์ฐฐํ•˜๋ฉด ์ „ํ•˜์˜ ๋ถ€ํ˜ธ

๊ฐ€ ์„œ๋กœ ๋‹ค๋ฅธ ๋„ค ์ „ํ•˜๊ฐ€ ํ˜•์„ฑํ•˜๋Š” ์ „๊ธฐ ํผํ…์…œ์˜

ํ˜•ํƒœ๋ฅผ ๋ณด์ž…๋‹ˆ๋‹ค. ์‚ฌ๊ทน์ž์˜ ์ „ํ•˜ ๋ถ„ํฌ๋Š” ์ž์„์˜

์Œ๊ทน์ž์ฒ˜๋Ÿผ ์ž์„ฑ์„ ๋ ๊ณ  ์žˆ์ง€๋Š” ์•Š์ง€๋งŒ ์ „์ž ์šด

๋™์— ์˜ํ•œ ์–‘์ž ์Šคํ•€์ด ํŠน์ดํ•˜๋‹ค๋Š” ํŠน์ง•์ด ์žˆ์Šต

๊ทธ๋ž˜ํ•€ ๋ฐ˜๋„์ฒด์˜ ๋ฐœ๊ฒฌ

์—ฌ๋Ÿฌ๋ถ„์€ ๊ทธ๋ž˜ํ•€์— ๋Œ€ํ•ด ์•Œ๊ณ  ๊ณ„์‹œ๋‚˜์š”? ๊ทธ๋ž˜

ํ•€์€ ํƒ„์†Œ ๋™์†Œ์ฒด3 ์ค‘ ํ•˜๋‚˜๋กœ, ์—ด์ „๋„๋„๊ฐ€ ๋†’๊ณ 

์ „๊ธฐ ์ „๋„๋„๋Š” ๋‚ฎ์•„ ๊ฟˆ์˜ ์†Œ์žฌ๋กœ ์ฃผ๋ชฉ๋ฐ›๊ณ  ์žˆ

์Šต๋‹ˆ๋‹ค. ํ•˜์ง€๋งŒ ์ž์—ฐ ์ƒํƒœ์—์„œ๋Š” ๋ฐ˜๋„์ฒด์˜ ํ•„

์ˆ˜์ ์ธ ํŠน์„ฑ์ธ โ€˜๋ฐด๋“œ ๊ฐญ(Band Gap) โ€™4์ด ์—†์–ด

์„œ ์ „์ž ์žฌ๋ฃŒ๋กœ ํ™œ์šฉํ•˜๊ธฐ ์–ด๋ ค์› ๋Š”๋ฐ์š”. ๋ฐด๋“œ ๊ฐญ

์ด ์—†๋‹ค๋Š” ๊ฒƒ์€ ์›์žํ•ต์— ๊ฒฐํ•ฉํ•œ ์ „์ž๊ฐ€ ํฐ ์—

๋„ˆ์ง€ ์†Œ๋ชจ ์—†์ด ์ž์œ  ์ „์ž๊ฐ€ ๋˜๊ณ , ๋‹ค์‹œ ๋Œ์•„์˜ฌ

์ˆ˜ ์žˆ๋‹ค๋Š” ๊ฒƒ์„ ์˜๋ฏธํ•ฉ๋‹ˆ๋‹ค. ์ด๋Š” ์ „์ž์˜ ํ๋ฆ„

์„ ํ†ต์ œํ•  ์ˆ˜ ์—†๊ฒŒ ํ•˜๊ณ  ๊ฒฐ๊ตญ ์ „์ž ์žฌ๋ฃŒ๋กœ ์‚ฌ์šฉ

ํ•  ์ˆ˜ ์—†๋Š” ์ด์œ ๊ฐ€ ๋ฉ๋‹ˆ๋‹ค. ๊ทธ๋Ÿฐ๋ฐ, ์ตœ๊ทผ ๋ฏธ๊ตญ ์กฐ

์ง€์•„๊ณต๋Œ€(Georgia Tech) ๋ฌผ๋ฆฌํ•™๊ณผ ์›”ํ„ฐ ๋“œ ํžˆ

์–ด(Walt A. de Heer) ๊ต์ˆ˜ํŒ€์€ ๊ณผํ•™ ์ €๋„ โ€˜๋„ค

์ด์ฒ˜โ€™(Nature)์—์„œ ํƒ„ํ™”๊ทœ์†Œ(Silicon Carbide)

์›จ์ดํผ์— ์„ฑ์žฅ์‹œํ‚จ ์—ํ”ผํƒ์…œ ๊ทธ๋ž˜ํ•€(Epitaxial Graphene) 5์œผ๋กœ ๊ธฐ๋Šฅ์„ฑ ๋ฐ˜๋„์ฒด๋ฅผ ๋งŒ๋“œ๋Š” ๋ฐ

๋‹ˆ๋‹ค. ์ด์— ๋”ฐ๋ผ ๊ธฐ์กด์˜ ๋ฌผ์งˆ๊ณผ ๋‹ค๋ฅธ ๋ฌผ๋ฆฌ์  ์„ฑ

์งˆ์„ ๊ฐ€์ง€๊ณ  ์žˆ๋Š”๋ฐ์š”. ๊ณ ์ฒด์™€ ์•ก์ฒด์˜ ์„ฑ์งˆ์„ ๋ชจ

๋‘ ๊ฐ–๋Š” ์ด์œ ์ด๊ธฐ๋„ ํ•ฉ๋‹ˆ๋‹ค. ์ด์ „๋ถ€ํ„ฐ ๋„ค๋งˆํ‹ฑ ์ƒ

์ด ์กด์žฌํ•  ๊ฒƒ์ด๋ผ๊ณ  ์˜ˆ์ธก๋˜์–ด ์™”์—ˆ์ง€๋งŒ, ๊ด€์ธก์žฅ

๋น„์˜ ํ•œ๊ณ„๋กœ ์‹ค์ œ๋กœ ๊ฒ€์ถœํ•ด ๋‚ด์ง€ ๋ชปํ•˜๊ณ  ์ด๋ก ์ 

์œผ๋กœ๋งŒ ์กด์žฌํ–ˆ์Šต๋‹ˆ๋‹ค. ์ด ๋ฌธ์ œ๋ฅผ ํ•ด๊ฒฐํ•˜๊ณ ์ž ํฌ

์Šคํ… ๊น€๋ฒ”์ค€ ๊ต์ˆ˜ํŒ€์€ ๋ฏธ๊ตญ ์•„๋ฅด๊ณค์—ฐ๊ตฌ์†Œ์™€ ํ˜‘

์—…ํ•ด ๊ฐœ๋ฐœํ•œ ์ƒˆ๋กœ์šด ์žฅ๋น„ โ€˜RIXSโ€™์™€ ํฌํ•ญ๊ฐ€์†๊ธฐ

์—ฐ๊ตฌ์†Œ์˜ ๊ฐ€์†๊ธฐ ๋น”๋ผ์ธ ๋“ฑ์„ ์ด์šฉํ•ด ์‹คํ—˜์„ ์ง„

ํ–‰ํ–ˆ๋Š”๋ฐ์š”. ์ด ๊ณผ์ •์—์„œ ๊ณ ์˜จ ์ดˆ์ „๋„์ฒด ํ›„๋ณด๋ฌผ

์งˆ๋กœ ๊ผฝํžˆ๋Š” ์ด๋ฆฌ๋“ ์‚ฐํ™”๋ฌผ(Sr2IrO4)์— X์„ ์„ ์กฐ

์‚ฌํ•˜๋ฉฐ ์–‘์ž ์Šคํ•€์„ ๊ด€์ฐฐํ–ˆ์Šต๋‹ˆ๋‹ค. ๊ฒฐ

๊ณผ์ ์œผ๋กœ 230~260K์˜ ์˜จ๋„ ๋ฒ”์œ„์—์„œ

๊ทธ๋ฆผ 1๊ณผ ๊ฐ™์ด ์ด๋ฆฌ๋“ ์‚ฐํ™”๋ฌผ์˜ ์Šคํ•€

๋„ค๋งˆํ‹ฑ1 ์ƒ์„ ๊ด€์ฐฐํ–ˆ์Šต๋‹ˆ๋‹ค. ์Šคํ•€ ๋„ค๋งˆ

ํ‹ฑ ์ƒ์˜ ๋…ํŠนํ•œ ์ „ํ•˜ ๋ถ„ํฌ๋Š” ๊ฐ•ํ•œ ์–‘์ž

์–ฝํž˜ 2์„ ์ผ์œผํ‚ค๋Š” ๋‹ค์–‘ํ•œ ์Šคํ•€ ์•ก์ฒด

๋ฐœ๊ฒฌ์˜ ๋‹จ์„œ๊ฐ€ ๋œ๋‹ค๊ณ  ํ•ฉ๋‹ˆ๋‹ค. ์Šคํ•€ ์•ก

์ฒด๋Š” ์–‘์ž ์–ฝํž˜์ด ๊ฐ•ํ•œ ๋ฌผ์งˆ์˜ ์ƒํƒœ๋ฅผ

๋งํ•˜๋Š”๋ฐ์š”. ์–‘์ž ์–ฝํž˜์ด ๊ฐ•ํ•œ ๋ฌผ์งˆ์€ ์–‘์ž์ปด

ํ“จํ„ฐ ๋“ฑ ์–‘์ž ์ •๋ณด ๊ธฐ์ˆ ์—์˜ ํ™œ์šฉ์„ฑ์ด ๋งค์šฐ ๋†’

์Šต๋‹ˆ๋‹ค. ์Šคํ•€ ์•ก์ฒด๋กœ ๋งŒ๋“ค์–ด์ง„ ์–‘์ž์ปดํ“จํ„ฐ๋ฅผ ์‚ฌ

์šฉํ•  ๋ฏธ๋ž˜๊ฐ€ ๋จธ์ง€์•Š์€ ๊ฒƒ ๊ฐ™๋„ค์š”!

[๊ฐ์ฃผ]

1. ๋„ค๋งˆํ‹ฑ์—์„œ ์Šคํ•€์— ์˜ํ•œ ๋ถ„์ž ์ถ•์˜ ๋ฐฐํ–ฅ ์ˆœ์„œ๋ฅผ ํฌํ•จํ•œ ์ƒํƒœ

2. ๋‘ ์ž…์ž๊ฐ€ ๋จผ ๊ฑฐ๋ฆฌ์— ์žˆ์–ด๋„ ๊ณ„์† ์—ฐ๊ฒฐ๋˜์–ด ํ•œ ์ž…์ž์— ํ–‰ํ•ด์ง€๋Š” ์ž‘

์šฉ์ด ๋‹ค๋ฅธ ์ž…์ž์—๊ฒŒ๋„ ์ฆ‰๊ฐ์ ์œผ๋กœ ์˜ํ–ฅ์„ ๋ฏธ์น˜๊ฒŒ ํ•˜๋Š” ๋ฌผ๋ฆฌ์  ํ˜„์ƒ

[์ฐธ๊ณ  ์ž๋ฃŒ & ๊ทธ๋ฆผ ์ถœ์ฒ˜]

B. J. Kim, J. W. Kim, and H. Kim, โ€œQuantum spin nematic phase in a square-lattice iridate,โ€ Nature, December 13, 2023

๊ทธ๋ฆผ 1. ์‚ฌ๊ฐ๊ฒฉ์ž ์ด๋ฆฌ๋“ ์‚ฐํ™”๋ฌผ์—์„œ ์‚ฌ๊ทน์ž ์งˆ์„œ

์„ฑ๊ณตํ–ˆ๋‹ค๊ณ  ํ•ฉ๋‹ˆ๋‹ค. ์—ฐ๊ตฌํŒ€์€ ํƒ„ํ™”๊ทœ์†Œ ์›จ์ดํผ ํ‘œ๋ฉด์— ๊ทธ๋ž˜ํ•€์„ ์„ฑ์žฅ์‹œํ‚ค๋Š” ๋ฐฉ๋ฒ•์„ ์‚ฌ์šฉํ•˜์—ฌ

๋ฐด๋“œ ๊ฐญ ๋ฌธ์ œ๋ฅผ ํ•ด๊ฒฐํ–ˆ์Šต๋‹ˆ๋‹ค. ๊ธฐ์กด์— ๋ฐ˜๋„์ฒด๋กœ

์‚ฌ์šฉ๋˜๋˜ ํƒ„ํ™”๊ทœ์†Œ๋Š” ๊ทธ๋ž˜ํ•€๋ณด๋‹ค๋Š” ์ „๊ธฐ์ „๋„๋„

๊ฐ€ ๋‚ฎ์ง€๋งŒ ๋ฐด๋“œ ๊ฐญ์ด ์กด์žฌํ•˜๋Š” ๋ฌผ์งˆ์ธ๋ฐ์š”. ํƒ„

ํ™”๊ทœ์†Œ๋ฅผ ๊ทธ๋ž˜ํ•€์— ๊ฒฐํ•ฉํ•ด ๊ทธ๋ž˜ํ•€์ด ๋ฐด๋“œ ๊ฐญ์„

๊ฐ€์ง€๊ฒŒ ํ•˜์˜€์Šต๋‹ˆ๋‹ค. ํ•ด๋‹น ๊ณผ์ •์€ ๊ทธ๋ฆผ 2์— ๋‚˜ํƒ€

๋‚˜ ์žˆ๋Š”๋ฐ์š”. ์ „์ž๊ธฐ์žฅ์„ ์ด์šฉํ•ด ๊ฐ€์—ด๋œ ํƒ„์†Œ ๊ธฐ

์ฒด๋ฅผ ํ‘œ๋ฉด์— ๋ถ€์ฐฉ์‹œ์ผœ ์—ํ”ผํ…์…œ ๊ทธ๋ž˜ํ•€์„ ์ƒ์„ฑ

์‹œํ‚ต๋‹ˆ๋‹ค. ์—ํ”ผํƒ์…œ ๊ทธ๋ž˜ํ•€ ๋ฐ˜๋„์ฒด๋Š” ๊ธฐ์กด์˜ ์‹ค

๋ฆฌ์ฝ˜ ๋ฐ˜๋„์ฒด๋ณด๋‹ค ์ „์ž ์ด๋™์„ฑ์ด 10๋ฐฐ ์ด์ƒ

๋†’์•˜์Šต๋‹ˆ๋‹ค. ์ด๋Š” ์ „์ž๊ฐ€ ๋งค์šฐ ๋‚ฎ์€ ์ €ํ•ญ์œผ

๋กœ ์ด๋™ํ•ด ๋ฐ˜๋„์ฒด์˜ ์ž‘๋™์†๋„๋ฅผ ๋” ๋น ๋ฅด๊ฒŒ ํ•  ์ˆ˜ ์žˆ๋‹ค๋Š” ๊ฒƒ์„ ์˜๋ฏธํ•ฉ๋‹ˆ๋‹ค. ์—ฐ๊ตฌํŒ€์€ ๊ทธ

๋ž˜ํ•€ ๋ฐ˜๋„์ฒด๊ฐ€ ์ ์  ๋” ๋นจ๋ผ์ง€๋Š” ์ปดํ“จํŒ… ์†

๋„์™€ ์ „์ž๊ธฐ๊ธฐ์˜ ๊ทน์†Œํ˜•ํ™”๋กœ ์ธํ•ด ํ•œ๊ณ„์—

์ง๋ฉดํ•œ ์‹ค๋ฆฌ์ฝ˜ ๋ฐ˜๋„์ฒด๋ฅผ ๋Œ€์ฒดํ•  ์ˆ˜ ์žˆ๋Š” ๋Œ€

์•ˆ์ด ๋  ๊ฒƒ์œผ๋กœ ๊ธฐ๋Œ€ํ•œ๋‹ค๊ณ  ์ „ํ–ˆ์Šต๋‹ˆ๋‹ค. 10

๋…„ ๋’ค ์ฏค์—” ๊ทธ๋ž˜ํ•€ ๋ฐ˜๋„์ฒด๋กœ ์ด๋ฃจ์–ด์ง„ ์ „์ž ๊ธฐ๊ธฐ๋ฅผ ์‚ฌ์šฉํ•˜๊ณ 

์žˆ์„๊นŒ์š”?

[๊ฐ์ฃผ]

3. ํ•œ ์ข…๋ฅ˜์˜ ์›์ž๋กœ๋งŒ ์ด๋ฃจ์–ด์กŒ์œผ๋‚˜ ๊ทธ ์›์ž๋“ค์˜ ๋ฐฐ์—ด์ˆœ์„œ๋‚˜ ๋ฐฐ์—ด๊ตฌ ์กฐ๊ฐ€ ๋‹ฌ๋ผ ์„ฑ์งˆ์ด ๋‹ค๋ฅธ ๋ฌผ์งˆ

4. ๋  ์ด๋ก ์—์„œ ์›์ž๊ฐ€ ๋ ์™€ ์ „๋„ ๋  ์‚ฌ์ด ํ‹ˆ์„ ๋งํ•จ

5. ๋‹ค๋ฅธ ๋ฌผ์งˆ์˜ ํ‘œ๋ฉด์— ๊ทธ๋ž˜ํ•€ ๊ฒฐ์ •์„ ๊ฐ–๋„๋ก ์„ฑ์žฅ์‹œํ‚จ ๊ฒƒ

[๊ทธ๋ฆผ ์ถœ์ฒ˜]

Georgia Tech, โ€œResearchers Create First Functional Semiconductor Made from Graphene,โ€ Georgia Tech Research Horizons (blog), March 5, 2024,

Walt A. de Heer et al. โ€œUltrahigh-mobility semiconducting epitaxial graphene on silicon carbide,โ€ Nature. 2024

๊ทธ๋ฆผ 2. ํŠน์ˆ˜ํ•œ ์šฉ๊ด‘๋กœ๋ฅผ ์ด์šฉํ•œ ์—ํ”ผํƒ์…œ ๊ทธ๋ž˜ํ•€ ์ œ์ž‘

36 ์ตœ์‹ ๊ธฐ์ˆ  ์†Œ๊ฐœ

๊ธ€ ๋ฌด์€์žฌํ•™๋ถ€ 23ํ•™๋ฒˆ 29๊ธฐ ์•Œ๋ฆฌ๋ฏธ ํ™ฉํ˜„์ค€

๊ณตํฌ ๊ธฐ์–ต์„ ์กฐ์ ˆํ•˜๋Š” ์‹ ๊ฒฝ ์„ธํฌ ํ™•์ธ

์˜ค์‹นํ•œ ๊ณตํฌ์˜ํ™”๋ฅผ ๋ณด๊ณ  ๋ฌด์„œ์šด ์žฅ๋ฉด์ด ๊ณ„์† ๋– 

์˜ฌ๋ผ ์ž ์„ ์„ค์ณ๋ณธ ์ ์ด ์žˆ์œผ์‹ ๊ฐ€์š”? ์‹ฌํ•œ ๊ณตํฌ

์— ๋Œ€ํ•œ ๊ธฐ์–ต์€ ํŠธ๋ผ์šฐ๋งˆ๋กœ ์ด์–ด์ง€๊ธฐ๋„ ํ•˜๋Š”๋ฐ

์š”. ์ตœ๊ทผ ๊ณตํฌ์— ๋Œ€ํ•œ ๊ธฐ์–ต์„ ์กฐ์ ˆํ•˜๋Š” ๋ฉ”์ปค๋‹ˆ์ฆ˜

์ด ๊ทœ๋ช…๋˜์—ˆ๋‹ค๊ณ  ํ•ฉ๋‹ˆ๋‹ค! ๊ธฐ์กด์˜ ๊ณตํฌ ๊ธฐ์–ต ๊ด€

๋ จ ์—ฐ๊ตฌ๋Š” ์‹ ๊ฒฝ์„ธํฌ์™€ ์‹œ๋ƒ…์Šค6 ์ˆ˜์ค€์—์„œ ์ด๋ฃจ์–ด

์กŒ์Šต๋‹ˆ๋‹ค. ์ธ์ ‘ ์‹ ๊ฒฝ์„ธํฌ ๊ฐ„ ์‹œ๋ƒ…์Šค๋Š” ๋„ˆ๋ฌด ์ข์•„

๋ฉ”์ปค๋‹ˆ์ฆ˜์„ ๊ด€์ฐฐํ•˜๋Š” ๋ฐ ๊ธฐ์ˆ ์ ์œผ๋กœ ํ•œ๊ณ„๊ฐ€ ์žˆ

์–ด, ๋Œ€๋ถ€๋ถ„์˜ ์—ฐ๊ตฌ๋Š” ๋น„๊ต์  ์‹œ๋ƒ…์Šค๊ฐ€ ๋„“์€ ํฅ๋ถ„

์„ฑ ์‹ ๊ฒฝ์„ธํฌ7์™€ ๊ด€๋ จ๋œ ์—ฐ๊ฒฐ๋งŒ์„ ๋‹ค๋ฃจ์—ˆ์Šต๋‹ˆ๋‹ค.

๊ทธ ๊ฒฐ๊ณผ ์ „์ฒด ๋ฉ”์ปค๋‹ˆ์ฆ˜์„ ํŒŒ์•…ํ•˜๋Š” ๋ฐ ํ•œ๊ณ„๊ฐ€

์žˆ์—ˆ์ฃ . ํ•˜์ง€๋งŒ ์ตœ๊ทผ ๊ธฐ์ดˆ๊ณผํ•™์—ฐ๊ตฌ์› ๊ฐ•๋ด‰๊ท  ์—ฐ

๊ตฌํŒ€์€ ๊ทธ๋ฆผ 3์ฒ˜๋Ÿผ ๋‡Œ์˜ ํ•œ ์˜์—ญ ๋‚ด์— ์žˆ๋Š” ์ธ

์ ‘ ์‹ ๊ฒฝ์„ธํฌ๋“ค ์‚ฌ์ด์˜ ์‹œ๋ƒ…์Šค๋ฅผ ํ‘œ์ง€ํ•  ์ˆ˜ ์žˆ๋Š”

โ€˜LCD-eGRASPโ€™ ๊ธฐ์ˆ ์„ ๊ฐœ๋ฐœํ•˜์˜€์Šต๋‹ˆ๋‹ค. ์ด ๊ธฐ

์ˆ ์„ ํ†ตํ•ด ์‹œ๋ƒ…์Šค์˜ ๊ฒฝ๊ณ„๋ฅผ ๋” ๋ช…ํ™•ํ•˜๊ฒŒ ๊ตฌ๋ถ„ํ•˜

์—ฌ ์‹ ๊ฒฝ์„ธํฌ์˜ ํ™œ์„ฑํ™”๋ฅผ ์ž˜ ํŒŒ์•…ํ•  ์ˆ˜ ์žˆ๊ฒŒ ๋˜

์—ˆ๋Š”๋ฐ์š”. ์ด๋ฅผ ๋ฐ”ํƒ•์œผ๋กœ ๊ธฐ์ €์™ธ์ธกํŽธ๋„์ฒด8์˜ ์‹ 

๊ฒฝ์„ธํฌ๊ฐ€ ๊ธฐ์–ต์„ ์กฐ์ ˆํ•˜๋Š” ๋ฉ”์ปค๋‹ˆ์ฆ˜์„ ๋ฐํ˜€๋ƒˆ

์Šต๋‹ˆ๋‹ค. ๊ทธ ๋‚ด์šฉ์€ ์‹ ๊ฒฝ์„ธํฌ ์ค‘ ์†Œ๋งˆํ† ์Šคํƒ€ํ‹ด ์ธ

ํ„ฐ๋‰ด๋Ÿฐ9์˜ ์ผ๋ถ€๊ฐ€ ๊ณตํฌ ๊ธฐ์–ต์ด ํ˜•์„ฑ๋  ๋•Œ ํŠน์ดํ•˜

๊ฒŒ ํ™œ์„ฑํ™”๋˜๋ฉฐ, ์ด๋•Œ ํ™œ์„ฑํ™”๋œ ๋‰ด๋Ÿฐ์ด ํ™œ์„ฑํ™”๋˜

์ง€ ์•Š์€ ๊ฒƒ์— ๋น„ํ•ด ๋” ๋†’์€ ์‹ ๊ฒฝ ํฅ๋ถ„์„ฑ์„ ๋ณด์ธ

๋‹ค๋Š” ๊ฒƒ์ž…๋‹ˆ๋‹ค. ์ธํ„ฐ๋‰ด๋Ÿฐ์˜ ์‹ ๊ฒฝ ํฅ๋ถ„์„ฑ์ด ๋†’์•„

์ง€๋ฉด ๋” ๋งŽ์€ ์–ต์ œ ํ˜ธ๋ฅด๋ชฌ์„ ๋ถ„๋น„ํ•˜์—ฌ ๊ณตํฌ ์ƒํ™ฉ

์„ ์–ต์ œํ•  ์ˆ˜ ์žˆ๋Š” ๊ฒƒ์ด์ฃ ! ๊ทธ๋ฆฌ๊ณ  ๊ณตํฌ ์ƒํ™ฉ์—

์„œ ๋ฒ—์–ด๋‚˜๋ฉด ํ™œ์„ฑํ™”๋˜์—ˆ๋˜ ์†Œ๋งˆํ† ์Šคํƒ€ํ‹ด ์ธํ„ฐ๋‰ด

๋Ÿฐ์˜ ํฅ๋ถ„์„ฑ์ด ๋‚ฎ์•„์ง€๋ฉฐ ๊ณตํฌ ๊ธฐ์–ต์ด ์ €์žฅ๋˜์—ˆ

๋‹ค๊ณ  ํ•ฉ๋‹ˆ๋‹ค. ์ด ๊ธฐ์ˆ ์„ ํ†ตํ•ด ๋‰ด๋Ÿฐ์˜ ํฅ๋ถ„์„ฑ์„ ์กฐ

์ ˆํ•˜๋Š” ๊ธฐ์ˆ ์„ ๋ฐœ์ „์‹œ์ผœ ์™ธ์ƒ ํ›„ ์ŠคํŠธ๋ ˆ์Šค ์žฅ์• 

์™€ ๊ฐ™์€ ์งˆ๋ณ‘์˜ ํ•ด๊ฒฐ์ฑ…์œผ๋กœ์จ์˜ ์ƒˆ๋กœ์šด ๊ฐ€๋Šฅ์„ฑ์ด

์ œ๊ธฐ๋˜์—ˆ์Šต๋‹ˆ๋‹ค. ์–ผ๋ฅธ ๊ธฐ์ˆ ์ด ๊ฐœ๋ฐœ๋˜์–ด ๊ณตํฌ์˜ํ™”

๋ฅผ ๋ณด๊ณ ๋„ ๊ฟ€์ž ์„ ์ž˜ ์ˆ˜ ์žˆ์œผ๋ฉด ์ข‹๊ฒ ๋„ค์š”! [๊ฐ์ฃผ]

6. ๋‰ด๋Ÿฐ์ด๋ผ๋Š” ์‹ ๊ฒฝ์„ธํฌ์˜ ๋ถ€๋ถ„ ์ค‘ ์ž๊ทน์„ ์„ธํฌ ๋ฐ–์œผ๋กœ ์ „๋„์‹œํ‚ค๋Š” ๋Œ๊ธฐ ์ธ ์ถ•์‚ญ์˜ ๋๋ถ€๋ถ„๊ณผ ๋‹ค์Œ ๋‰ด๋Ÿฐ ์‚ฌ์ด์˜ ํ‹ˆ์œผ๋กœ, ์‹ ๊ฒฝ์ „๋‹ฌ๋ฌผ์งˆ์ด ์˜ค๊ฐ

7. ๋‡Œ์™€ ์ฒ™์ˆ˜ ๋‚ด์—์„œ ์‹ ํ˜ธ๋ฅผ ์ „๋‹ฌํ•˜๋Š” ๋ฐ ์ค‘์š”ํ•œ ์—ญํ• ์„ ํ•˜๋Š” ์ค‘์ถ”์‹  ๊ฒฝ๊ณ„(CNS)์˜ ์‹ ๊ฒฝ ์„ธํฌ ์œ ํ˜•

8. ๊ฐ์ •์„ ๊ด€์žฅํ•˜๋Š” ์•„๋ชฌ๋“œ ๋ชจ์–‘์˜ ๋‡Œ๋ถ€์œ„์˜ ํ•˜์ธก ๋ฐ”๊นฅ ๋ถ€๋ถ„์œผ๋กœ ๊ณตํฌ

์™€ ๊ด€๋ จ๋œ ๊ธฐ์–ต๊ณผ ํ•™์Šต์„ ๊ด€์žฅํ•จ

9. ์–ต์ œ ํ˜ธ๋ฅด๋ชฌ์„ ๋ฐฉ์ถœํ•˜๋Š” ์ค‘์ถ”์‹ ๊ฒฝ๊ณ„์—์„œ ๋ฐœ๊ฒฌ๋˜๋Š” ํŠน์ • ์œ ํ˜•์˜ ์–ต

์ œ ๋‰ด๋Ÿฐ. ๊ณตํฌ๊ธฐ์–ต์„ ์–ต์ œํ•˜๋Š” ํ˜ธ๋ฅด๋ชฌ์„ ๋ฐฉ์ถœํ•จ

[๊ทธ๋ฆผ ์ถœ์ฒ˜]

TaeHyun Kim , Dong Il Choi , Ja Eun Choi at al, โ€œActivated somatostatin interneurons orchestrate memory microcircuits,โ€ Neuron. 2024 Jan 17.

๊ทธ๋ฆผ 3. LCD-eGRASP ๊ธฐ์ˆ ์„ ์ด์šฉํ•œ ์ธ์ ‘ ๋‰ด๋Ÿฐ ๊ฐ„ ์‹œ๋ƒ…์Šค ํ‘œ์ง€

๋‹จํŒŒ ์ ์™ธ์„  ์‹ ํ˜ธ ๋ถ„์„ ๊ฐ€๋Šฅํ•œ ์œ ๊ธฐ ๊ด‘์†Œ์ž ๋ผ์ด๋‹ค ์„ผ์„œ ๊ฐœ๋ฐœ

์ตœ๊ทผ ์ฃผ๋ชฉ๋ฐ›๊ณ  ์žˆ๋Š” ์„ผ์„œ์ธ ๋ผ์ด๋‹ค(LiDAR)์—

๋Œ€ํ•ด์„œ ์•Œ๊ณ  ๊ณ„์‹œ๋‚˜์š”? ๋ผ์ด๋‹ค๋Š” ๋น›์„ ์‚ฌ์šฉํ•˜

์—ฌ ์žฅ์• ๋ฌผ๊ณผ์˜ ๊ฑฐ๋ฆฌ์™€ ์œ„์น˜๋ฅผ ํŒŒ์•…ํ•˜๋Š” ๋“ฑ ์ž

์œจ์ฃผํ–‰ ์ž๋™์ฐจ์˜ ๋ˆˆ ์—ญํ• ์„ ํ•˜๋Š” ์„ผ์„œ์ž…๋‹ˆ๋‹ค.

์ด๋•Œ ๋ผ์ด๋‹ค๋Š” ์ ์™ธ์„ ์„ ์‚ฌ์šฉํ•˜๋Š”๋ฐ์š”. ๊ธด ํŒŒ์žฅ

์„ ์ง€๋‹Œ ์ ์™ธ์„ ์€ ์—๋„ˆ์ง€๊ฐ€ ์ž‘์•„ ์ˆ˜์ฆ๊ธฐ์™€ ๋จผ์ง€

์— ์˜ํ•œ ์‚ฐ๋ž€ ๋ฐ ํก์ˆ˜์˜ ์˜ํ–ฅ์„ ๋œ ๋ฐ›๋Š” ์„ฑ์งˆ์„

๊ฐ–๊ธฐ ๋•Œ๋ฌธ์ž…๋‹ˆ๋‹ค. ๊ธฐ์กด ์ ์™ธ์„  ์„ผ์„œ๋Š” ๋ฌด๊ธฐ ๊ด‘์†Œ

์ž10(Inorganic Photodiode)๋ฅผ ์ฃผ๋กœ ์‚ฌ์šฉํ–ˆ์œผ

๋‚˜ ์žฌ๋ฃŒ์˜ ๊ฐ€๊ฒฉ๊ณผ ์ œ์กฐ ๊ณต์ •์˜ ๋ณต์žก์„ฑ์œผ๋กœ ๊ฐ€๊ฒฉ

์‹ค์šฉ์„ฑ์ด ๋–จ์–ด์กŒ์Šต๋‹ˆ๋‹ค. ๊ทธ ๋Œ€์ฒด์ œ๋กœ ์œ ๊ธฐ ๊ด‘ ์†Œ์ž(Organic Photodiode)๋ฅผ ์ด์šฉํ•˜๋ ค ํ–ˆ์œผ

๋‚˜ ๋น„๊ต์  ๋‚ฎ์€ ์ „ํ•˜ ์ „๋„๋„ ๋•Œ๋ฌธ์— ์–ด๋ ค์›€์„

๊ฒช์—ˆ์Šต๋‹ˆ๋‹ค. ํฌ์Šคํ… ์ •๋Œ€์„ฑ ๊ต์ˆ˜ํŒ€์€ ๋ฌธ์ œ ํ•ด๊ฒฐ ์„ ์œ„ํ•ด ๋„ํ•‘(Doping)11 ๊ณผ์ •์„ ์ถ”๊ฐ€ํ–ˆ์Šต๋‹ˆ๋‹ค.

์—ฐ๊ตฌํŒ€์€ ๋จผ์ € ๋„ํ•‘์„ ํ†ตํ•ด ๋ฌถ์ธ ํด๋ผ๋ก 12๊ณผ ์ž

์œ ๋กœ์šด ํด๋ผ๋ก ์„ ๋งŒ๋“ค์—ˆ์Šต๋‹ˆ๋‹ค. ๊ทธ๋ฆผ 4์˜ i์—์„œ

๋ณผ ์ˆ˜ ์žˆ๋“ฏ์ด, ๋น›์—๋„ˆ์ง€๋ฅผ ๊ฐ์ง€ํ•˜๋ฉด ํด๋ผ๋ก ์ด

์œ ๊ธฐ ๊ด‘์†Œ์ž ๋ถ„์ž์— ๊ฒฐํ•ฉํ•˜๋ฉด์„œ ๋ถ„์ž ๊ฐ„ ์ƒํ˜ธ์ž‘

์šฉ์ด ๋Š˜์–ด๋‚˜ ์ด๋™์„ฑ์ด ๊ฐ์†Œํ•˜๊ณ , ์ „๊ธฐ ์ „๋„๋„๊ฐ€

๋‚ฎ์•„์ง‘๋‹ˆ๋‹ค. ๋ฐ˜๋ฉด, ๊ทธ๋ฆผ 4์˜ iii์ฒ˜๋Ÿผ ํด๋ผ๋ก ์ด ์ž

์œ ๋กœ์šฐ๋ฉด ํด๋ผ๋ก ๊ณผ ์œ ๊ธฐ ๊ด‘์†Œ์ž ๋ถ„

์ž ๋ชจ๋‘ ์ „๊ธฐ ์ „๋„์— ๊ธฐ์—ฌํ•  ์ˆ˜ ์žˆ์œผ

๋ฏ€๋กœ ์ „๊ธฐ ์ „๋„๋„๊ฐ€ ๋†’์•„์ง‘๋‹ˆ๋‹ค. ์—ฐ

๊ตฌํŒ€์€ ์ด ๋‘ ํด๋ผ๋ก  ์ƒํƒœ ๊ฐ„ ์ „ํ™˜์„

์›ํ™œํžˆ ํ•˜๋„๋ก ๋ถ„์ž์˜ ๊ตฌ์กฐ์™€ ์—๋„ˆ

์ง€ ์ค€์œ„๋ฅผ ํ†ต์ œํ•˜์—ฌ ์ตœ์ข…์ ์œผ๋กœ ๊ธฐ์กด

์ ์™ธ์„  ์„ผ์„œ ๋Œ€๋น„ ๋ถ„์„ ์„ฑ๋Šฅ์ด 100

๋ฐฐ ํ–ฅ์ƒ๋œ ์œ ๊ธฐ ๊ด‘์†Œ์ž ์ ์™ธ์„  ์„ผ์„œ

๋ฅผ ๊ฐœ๋ฐœํ–ˆ์Šต๋‹ˆ๋‹ค. ์ด ๊ธฐ์ˆ ์ด ๋ผ์ด๋‹ค

์— ์ ์šฉ๋˜๋ฉด ๋” ์‹ธ๊ณ  ์•ˆ์ „ํ•œ ์ž์œจ์ฃผ ํ–‰ ์ž๋™์ฐจ๋ฅผ ํƒˆ ์ˆ˜ ์žˆ๊ฒ ์–ด์š”!

๋ฌผ์งˆ์—์„œ ์ „์ž์™€ ๊ฒฉ์ž์ง„๋™ ๊ฐ„ ์ƒํ˜ธ์ž‘์šฉ์œผ๋กœ ๋‚˜ํƒ€๋‚˜ ๋Š” ์ƒˆ๋กœ์šด ์ „์ž

[๊ทธ๋ฆผ ์ถœ์ฒ˜]

Dae Sung Chung, Sangjun Lee, Juhyeok Lee at al, โ€œShortwave Infrared Organic Photodiodes Realized by Polaron Engineering,โ€ Advanced Materials, 28 November 2023

๊ทธ๋ฆผ 4. ๋‹จํŒŒ ์ ์™ธ์„ ์— ์˜ํ•œ ๋ฌถ์ธ ํด๋ผ๋ก ์—์„œ ์ž์œ  ํด๋ผ๋ก ์œผ๋กœ์˜ ์ „ํ™˜

[๊ฐ์ฃผ] 10. ๋น› ์—๋„ˆ์ง€๋ฅผ ์ „๊ธฐ ์—๋„ˆ์ง€๋กœ ๋ณ€ํ™˜ํ•˜๋Š” ๊ธฐ๋Šฅ์„ ๊ฐ€์ง€๋Š” ์žฅ์น˜ 11. ๊ด‘์†Œ์ž์˜ ์ „๊ธฐ์  ํŠน์„ฑ์„ ๊ฐ•ํ™”ํ•˜๊ธฐ ์œ„ํ•ด ๋‹ค๋ฅธ ์›์ž๋‚˜ ๋ถ„์ž๋ฅผ ๋„ฃ๋Š” ๋ฐฉ์‹ 12. ๊ณ ์ฒด ์ƒํƒœ์˜
37

MARCH ์—ฐ๊ตฌ์‹ค์—์„œ๋Š” ์ธ๊ฐ„์˜ ๋Šฅ๋ ฅ์„ ํ–ฅ์ƒํ•˜๊ณ  ํ™•์žฅํ•  ์ˆ˜ ์žˆ๋Š” ์ง๊ด€์ ์ด๊ณ  ๋ชฐ์ž… ๊ฐ€๋Šฅํ•œ ์ธ๊ฐ„-๋กœ๋ด‡ ์ธํ„ฐํŽ˜์ด์Šค์— ๊ด€ํ•œ ์—ฐ ๊ตฌ๋ฅผ ์ˆ˜ํ–‰ํ•˜๊ณ  ์žˆ์Šต๋‹ˆ๋‹ค. ์šฐ๋ฆฌ ์—ฐ๊ตฌ์‹ค์€ MARCH ๋กœ๋ณดํ‹ฑ์Šค ๊ทธ๋ฃน๊ณผ MARCH ๋ฐ”์ด์˜ค๋‹‰์Šค ๊ทธ๋ฃน ๋‘ ๋ถ€๋ฌธ์œผ๋กœ ๋‚˜๋ˆ„์–ด์ ธ ์žˆ์œผ๋ฉฐ, ์‚ฌ๋žŒ์˜ ์˜๋„๋ฅผ ์˜ˆ์ธกํ•ด ๋กœ๋ด‡์„ ์ œ์–ดํ•˜๊ณ , ๋กœ๋ด‡์ด ๊ฐ์ง€ํ•˜๋Š” ๊ฐ๊ฐ์„ ์‚ฌ๋žŒ์—๊ฒŒ ์ง๊ด€์ ์œผ๋กœ ์ „๋‹ฌํ•˜๋Š” MARCH Surrogate(๋Œ€ ๋ฆฌ์ธ ๋กœ๋ด‡) ๊ฐœ๋ฐœ์„ ๋ชฉํ‘œ๋กœ ๋‹ค์–‘ํ•œ ์ฒจ๋‹จ ๊ธฐ์ˆ ์„ ์œตํ•ฉํ•˜๊ณ  ์žˆ์Šต๋‹ˆ๋‹ค. ๋กœ๋ณดํ‹ฑ์Šค ๊ทธ๋ฃน์€ ์ธ๊ฐ„์˜ ์•ˆ์ „์„ ๋ณด์žฅํ•˜๊ธฐ ์–ด๋ ค์šด ๊ทนํ•œ ํ™˜๊ฒฝ์—์„œ ์ž‘์—…์„ ์ˆ˜ํ–‰ํ•  ์ˆ˜ ์žˆ๋Š” ์ž์œจ ๋กœ๋ด‡์˜ ๋ฌผ์ฒด ์กฐ์ž‘, ์ž‘์—… ๊ณ„ํš, ๋ฉ”์ปค๋‹ˆ์ฆ˜ ์„ค๊ณ„, ์ œ์–ด, ์ธ๊ณต์ง€๋Šฅ ๋“ฑ์˜ ๋ณต์žกํ•œ ๋ฌธ์ œ๋ฅผ ํ•ด

๊ฒฐํ•˜๋Š” ๋ฐ ์ค‘์ ์„ ๋‘๊ณ  ์žˆ์Šต๋‹ˆ๋‹ค. ํ•œํŽธ, ๋ฐ”์ด์˜ค๋‹‰์Šค ๊ทธ๋ฃน์€ ๊ทผ์ „๋„๋ฅผ ๊ธฐ๋ฐ˜์œผ๋กœ ํ•œ ๋น„์ง€๋„ ํ•™์Šต ๋ฐฉ์‹์˜ ๋™์ž‘ ์˜๋„ ์˜ˆ์ธก, ์ƒ

์ฒด ์‹ ํ˜ธ ๊ธฐ๋ฐ˜ ์ œ์Šค์ฒ˜ ์ธ์‹ ๊ธฐ์ˆ , ์ ˆ๋‹จ ํ™˜์ž๋ฅผ ์œ„ํ•œ ๋กœ๋ด‡ ์˜์ˆ˜ ๊ฐœ๋ฐœ, ์นจ์Šตํ˜• ์‹ ๊ฒฝ ์ธํ„ฐํŽ˜์ด์Šค๋ฅผ ํ†ตํ•œ ๋™์ž‘ ๋ฐ ์ด‰๊ฐ์˜ ์‹ ๊ฒฝ ์‹ 

ํ˜ธ ๋ถ„์„ ๋ฐ ๋ณต์› ๊ธฐ์ˆ ์„ ๊ฐœ๋ฐœํ•ฉ๋‹ˆ๋‹ค. ์ง€๊ธˆ๋ถ€ํ„ฐ ์šฐ๋ฆฌ ์—ฐ๊ตฌ์‹ค์—์„œ ์ˆ˜ํ–‰ํ•˜๊ณ  ์žˆ๋Š” ์ตœ์‹  ์—ฐ๊ตฌ ์ฃผ์ œ๋ฅผ ์†Œ๊ฐœํ•ด ๋“œ๋ฆฌ๊ฒ ์Šต๋‹ˆ๋‹ค.

Welcome to MARCH Lab! MARCH Lab | Robotics &
๊ธ€ ํฌ์Šคํ… ๊ธฐ๊ณ„๊ณตํ•™๊ณผ ๊น€๊ธฐํ›ˆ ๊ต์ˆ˜ ์˜๋ฃŒ๋ณด์กฐ๋กœ๋ด‡ ๋ฐ ํ–…ํ‹ฑ์Šค ์—ฐ๊ตฌ์‹ค 38 ํฌ์Šคํ… ์—ฐ๊ตฌ์‹ค ํƒ๋ฐฉ๊ธฐ
Bionics

๋กœ๋ณดํ‹ฑ์Šค ๊ทธ๋ฃน์—์„œ๋Š” ์‚ฌ๋žŒ์ด ์ง์ ‘ ์ˆ˜ํ–‰ํ•˜๊ธฐ ์–ด๋ ต๊ฑฐ๋‚˜ ์œ„ํ—˜ํ•œ ์ผ์„ ๋กœ๋ด‡์ด ๋Œ€์‹  ์ˆ˜ํ–‰ํ•  ์ˆ˜ ์žˆ๋„๋ก ํ•˜๋Š” ์—ฐ๊ตฌ๋ฅผ ์ง„ํ–‰ ์ค‘์ž…๋‹ˆ ๋‹ค. ๋ณ‘์› ํ™˜๊ฒฝ์—์„œ ์‚ฌ๋žŒ ๋Œ€์‹  ์ ‘์ด‰์‹ ๋ฐฉ์—ญ ์ž‘์—…์„ ์ˆ˜ํ–‰ํ•  ์ˆ˜ ์žˆ๋Š” ์ž๋™ํ™” ๋ชจ๋ฐ”์ผ ๋งค๋‹ˆํ“ฐ๋ ˆ์ดํ„ฐ ๋กœ๋ด‡ ๊ฐœ๋ฐœ์ด ๊ทธ ์˜ˆ์ž…๋‹ˆ๋‹ค. ์ด ์ž‘์—…์€ ์ธ์‹, ๊ณ„ํš, ๋กœ๋ด‡ ์ œ์–ด ๋“ฑ์˜ ๊ธฐ์ˆ  ์—ฐ๊ตฌ๋ฅผ ํ•„์š”๋กœ ํ•ฉ๋‹ˆ๋‹ค.

๋ฌผ์ฒด๋ฅผ ์žก๊ธฐ ์œ„ํ•œ ๋‹ค์–‘ํ•œ ์ „๋žต ์ค‘, ํฌ๊ฑฐ๋‚˜ ์–‡์€ ๋ฌผ์ฒด๋ฅผ ๋ฐ€์–ด์„œ ์žก๊ธฐ ์‰ฌ์šด ์œ„์น˜๋กœ ์กฐ์ž‘ํ•œ ๋’ค ๋กœ๋ด‡์ด ๊ทธ ๋ฌผ์ฒด๋ฅผ ์žก๋Š” ๋ฐ€๊ธฐ ์กฐ์ž‘

์„ ์ˆ˜ํ–‰ํ•  ์ˆ˜ ์žˆ๋„๋ก ํ•˜๋Š” ์ž๋™ํ™” ํ”„๋ ˆ์ž„์›Œํฌ์— ๋Œ€ํ•œ ์—ฐ๊ตฌ๋„ ์ง„ํ–‰ ์ค‘์ž…๋‹ˆ๋‹ค.

๋˜ ๋‹ค๋ฅธ ์—ฐ๊ตฌ ์‚ฌ๋ก€๋กœ๋Š” ์‚ฌ๋žŒ์ด ์ˆ˜ํ–‰ํ•ด์•ผ ํ•˜๋Š” ์œ„ํ—˜ ์ž‘์—…์„ ๋กœ๋ด‡์œผ๋กœ ์•ˆ์ „ํ•˜๊ฒŒ ์ˆ˜ํ–‰ํ•  ์ˆ˜ ์žˆ๋„๋ก ํ•˜๋Š” ๋กœ๋ด‡ ์›๊ฒฉ ์ž‘์—… ์‹œ์Šคํ…œ

๊ฐœ๋ฐœ์ด ์žˆ์Šต๋‹ˆ๋‹ค. ํœด๋Œ€ํฐ์—์„œ ๋ฒ„ํŠผ์„ ๋ˆ„๋ฅผ ๋•Œ ๋ฐœ์ƒํ•˜๋Š” ์ง„๋™๊ณผ ๊ฐ™์ด ์ด‰๊ฐ์„ ๋‹ค์–‘ํ•œ ํ˜•ํƒœ๋กœ ์ „๋‹ฌํ•  ์ˆ˜ ์žˆ๋Š” ํ–…ํ‹ฑ ํ”ผ๋“œ๋ฐฑ๊ณผ

๊ฐ€์ƒ ํ˜„์‹ค ๊ธฐ๋ฐ˜ ์‹œ๋ฎฌ๋ ˆ์ด์…˜ ๊ธฐ์ˆ ์„ ํ†ตํ•ฉํ•˜์—ฌ ๋ณด๋‹ค ๋” ์ง๊ด€์ ์ด๊ณ  ํšจ์œจ์ ์ธ ๋กœ๋ด‡ ์ž‘์—…์„ ๊ฐ€๋Šฅํ•˜๊ฒŒ ํ•ฉ๋‹ˆ๋‹ค.

๊ทธ๋ฆผ 1. ๋ฐฉ์—ญ ์ž๋™ํ™” ๋กœ๋ด‡ ๊ทธ๋ฆผ 2. ๋ฌผ์ฒด ๋ฐ€๊ธฐ ์กฐ์ž‘ ์ž๋™ํ™” ๋กœ๋ด‡ ๋กœ๋ด‡ ์›๊ฒฉ ์ž‘์—… ์‹œ์Šคํ…œ ๊ทธ๋ฆผ 3. ์œ„ํ—˜ ์ž‘์—…์˜ 39

๋ชฉํ‘œ ์ž‘์—…์„ ์ˆ˜ํ–‰ํ•˜๊ธฐ ์œ„ํ•œ ๋กœ๋ด‡ ์ œ์–ด ๋ฐฉ๋ฒ•์€ ์ธ๊ฐ„์ด ๋กœ๋ด‡ ์ œ์–ด์— ๊ฐœ์ž…ํ•˜๋Š” ์ •๋„์— ๋”ฐ๋ผ ๋กœ๋ด‡ ์ž๋™ํ™”์™€ ๋กœ๋ด‡ ์›๊ฒฉ ์ œ์–ด๋กœ ๊ตฌ๋ถ„ํ•  ์ˆ˜ ์žˆ์Šต๋‹ˆ๋‹ค. ์šฐ๋ฆฌ ์—ฐ๊ตฌ์‹ค์—์„œ๋Š” ๋กœ๋ด‡ ์›๊ฒฉ ์ œ์–ด์™€ ๋กœ๋ด‡ ์ž๋™ํ™” ๊ฐ„์˜ ๊ฐ„๊ฒฉ์„ ์ค„์ด๊ธฐ ์œ„ํ•œ ์—ฐ๊ตฌ๋„ ์ง„ํ–‰ ์ค‘์ž…๋‹ˆ๋‹ค. ์ด๋Š” ์‚ฌ๋žŒ์ด ๋กœ๋ด‡ ์—๊ฒŒ ์ž‘์—…์„ ์ง๊ด€์ ์œผ๋กœ ๊ฐ€๋ฅด์น˜๊ณ , ๋กœ๋ด‡์ด ์Šค์Šค๋กœ ํ•™์Šตํ•˜์—ฌ ๋” ๋ณต์žกํ•œ ์ž‘์—…๊นŒ์ง€ ์ˆ˜ํ–‰ํ•  ์ˆ˜ ์žˆ๋„๋ก ํ•˜๋Š” ๊ฒƒ์„ ๋ชฉํ‘œ๋กœ ํ•ฉ๋‹ˆ๋‹ค.

๋˜ํ•œ ์„ธํฌ์™€ ๊ฐ™์€ ์ƒ์ฒด ์กฐ์ง์„ ์กฐ์ž‘ํ•˜๊ธฐ ์œ„ํ•œ ๋กœ๋ด‡ ๊ธฐ์ˆ ๋„ ์—ฐ๊ตฌํ•˜๊ณ  ์žˆ์Šต๋‹ˆ๋‹ค. ์‚ฌ๋žŒ์ด ์†๊ฐ€๋ฝ์„ ์ด์šฉํ•˜์—ฌ ๋ฌผ์ฒด๋ฅผ ์ •๊ตํ•˜๊ฒŒ ๋‹ค๋ฃจ๋“ฏ, ๋กœ๋ด‡๋„ ๋ฌผ์ฒด๋ฅผ ์กฐ์ž‘ํ•˜๊ธฐ ์œ„ํ•œ ์žฅ์น˜(๊ทธ๋ฆฌํผ)๊ฐ€ ํ•„์š”ํ•ฉ๋‹ˆ๋‹ค. ์˜ˆ๋ฅผ ๋“ค์–ด, 3D ๋ฐ”์ด์˜ค ํ”„๋ฆฐํŒ…๋œ ์ธ๊ณต ์žฅ๊ธฐ ๋ชจ๋“ˆ์„ ์ ์ธตํ•˜

์—ฌ ํฐ ๋ชจ๋“ˆ๋กœ ๋งŒ๋“œ๋Š” ๊ณผ์ •์—์„œ, ๋ชจ๋“ˆ์„ ํŒŒ์† ์—†์ด ์•ˆ์ „ํ•˜๊ณ  ์ •๋ฐ€ํ•˜๊ฒŒ ์กฐ์ž‘ํ•  ์ˆ˜ ์žˆ๋Š” ๋น„์ ‘์ด‰ ๊ทธ๋ฆฌํผ์˜ ๊ฐœ๋ฐœ์— ๋Œ€ํ•œ ์—ฐ๊ตฌ๋„ ์ง„ํ–‰ํ•˜๊ณ  ์žˆ์Šต๋‹ˆ๋‹ค.

๋ฐ”์ด์˜ค๋‹‰์Šค ๊ทธ๋ฃน์—์„œ๋Š” ์ ˆ๋‹จ ํ™˜์ž๊ฐ€ ๋” ์‹ ์†ํ•˜๊ณ  ์ง๊ด€์ ์œผ๋กœ ์˜์ˆ˜๋ฅผ ์‚ฌ์šฉํ•  ์ˆ˜ ์žˆ๋„๋ก ํ‘œ๋ฉด ๊ทผ์ „๋„๋ฅผ ๊ธฐ๋ฐ˜์œผ๋กœ ํ•œ ๋น„์ง€๋„

๋ฐฉ์‹์˜ ๋™์ž‘ ์˜๋„ ์˜ˆ์ธก ๋ฐ ์ œ์Šค์ฒ˜ ์ธ์‹ ๊ธฐ์ˆ ์— ๊ด€ํ•œ ์—ฐ๊ตฌ๋ฅผ ์ง„ํ–‰ ์ค‘์ž…๋‹ˆ๋‹ค. ๊ทผ์ „๋„๋Š” ๊ทผ์œก์ด ์ˆ˜์ถ•ํ•  ๋•Œ ๋ฐœ์ƒํ•˜๋Š” ์ƒ์ฒด ์‹ ํ˜ธ

์˜ ์ผ์ข…์œผ๋กœ ์ธ์ฒด ๋™์ž‘์— ๋Œ€ํ•œ ์ •๋ณด๋ฅผ ๋‹ด๊ณ  ์žˆ์œผ๋ฉฐ, ์ด ์‹ ํ˜ธ๋ฅผ ์ธก์ •ํ•˜๊ธฐ ์œ„ํ•œ ์‹ ๋ขฐ์„ฑ ์žˆ๋Š” ๊ทผ์ „๋„ ์„ผ์„œ ๊ฐœ๋ฐœ์— ๋Œ€ํ•œ ์—ฐ๊ตฌ๋„

์ง„ํ–‰๋˜๊ณ  ์žˆ์Šต๋‹ˆ๋‹ค.

๊ธฐ๋ฐ˜์œผ๋กœ ํ•™์Šต ๊ฐ€๋Šฅํ•œ ์ž๋™ํ™” ๋กœ๋ด‡ ๊ทธ๋ฆผ 4. ์‚ฌ๋žŒ์— ์˜ํ•ด ์ˆ˜ํ–‰๋œ ์ž‘์—… ๊ทธ๋ฆผ 5. ์ˆ˜์ค‘์—์„œ ์ธ๊ณต ์žฅ๊ธฐ ๋ชจ๋“ˆ์„ ์กฐ์ž‘ํ•  ์ˆ˜ ์žˆ๋Š” ๋น„์ ‘์ด‰์‹ ๊ทธ๋ฆฌํผ ๊ทธ๋ฆผ 6. ์ ˆ๋‹จ ํ™˜์ž๋ฅผ ์œ„ํ•œ ํ‘œ๋ฉด ๊ทผ์ „๋„ ๊ธฐ๋ฐ˜ ์˜์ˆ˜ 40 ํฌ์Šคํ… ์—ฐ๊ตฌ์‹ค ํƒ๋ฐฉ๊ธฐ

๋” ๋‚˜์•„๊ฐ€, ์ ˆ๋‹จ ํ™˜์ž์˜ ์†์‹ค๋œ ์ด‰๊ฐ์„ ๋ณต์›ํ•˜์—ฌ ๋” ๋‚˜์€ ์˜์ˆ˜ ์‚ฌ์šฉ ๊ฒฝํ—˜์„ ์ œ๊ณตํ•˜๊ธฐ ์œ„ํ•œ ์นจ์Šตํ˜• ์‹ ๊ฒฝ ์ธํ„ฐํŽ˜์ด์Šค ๊ฐœ๋ฐœ์—๋„ ์ฃผ๋ ฅํ•˜๊ณ  ์žˆ์Šต๋‹ˆ๋‹ค. ์ด๋ฅผ ํ†ตํ•ด ์‹ ๊ฒฝ ์‹ ํ˜ธ๋ฅผ ์ทจ๋“ํ•  ์ˆ˜ ์žˆ๋Š” ์‹œ์Šคํ…œ์„ ๊ตฌ์ถ•ํ•˜๊ณ , ์ทจ๋“ํ•œ ์‹ ํ˜ธ๋ฅผ ํ†ตํ•ด ๋™์ž‘ ๋ฐ ์ด‰๊ฐ์„ ๋ณต์›ํ•˜๋Š” ์—ฐ๊ตฌ๋ฅผ ์ˆ˜ํ–‰ํ•˜๊ณ  ์žˆ์Šต๋‹ˆ๋‹ค.

๊ทธ๋ฆผ 7. ์ด‰๊ฐ ๋ณต์›์„ ์œ„ํ•œ

์นจ์Šตํ˜• ์‹ ๊ฒฝ ์ธํ„ฐํŽ˜์ด์Šค

๊ทธ๋ฆผ 8. ์—ฐ๊ตฌ์‹ค์—์„œ ๊ฐœ๋ฐœ๋œ

์ฃผ์š” ์ œํ’ˆ๋“ค

์šฐ๋ฆฌ ์—ฐ๊ตฌ์‹ค์€ ๋กœ๋ด‡ ๊ธฐ์ˆ ์˜ ๊ธฐ์ดˆ๋ถ€ํ„ฐ ์ƒ์šฉํ™”์— ์ด๋ฅด๊ธฐ๊นŒ์ง€ ๊ด‘๋ฒ”์œ„ํ•œ ์—ฐ๊ตฌ๋ฅผ ์ง„ํ–‰ํ•˜๋ฉฐ, ์ด ๊ณผ์ •์—์„œ ๋กœ๋ด‡ ๋””์ž์ธ๊ณผ ์ œํ’ˆ ๊ฐœ๋ฐœ

์— ์ค‘์ ์„ ๋‘๊ณ  ์žˆ์Šต๋‹ˆ๋‹ค. ๊ทธ๋ฆผ 8์€ ์šฐ๋ฆฌ ์—ฐ๊ตฌ์‹ค์—์„œ ๊ฐœ๋ฐœํ•œ ์ฃผ์š” ์ œํ’ˆ๋“ค์ž…๋‹ˆ๋‹ค.

๋™์˜์ƒ๊ณผ ๋…ผ๋ฌธ ๋“ฑ ๋ณด๋‹ค ์ž์„ธํ•œ ๋‚ด์šฉ์€ ์—ฐ๊ตฌ์‹ค ํ™ˆํŽ˜์ด์ง€(http://march.postech.ac.kr)์— ๊ฒŒ์‹œ๋˜์–ด ์žˆ์Šต๋‹ˆ๋‹ค.

41

์ „๊ตญ์˜ ํฌ์Šคํ…Œํ‚ค์•ˆ ๊ตฌ๋…์ž ์—ฌ๋Ÿฌ๋ถ„, ์•ˆ๋…•ํ•˜์„ธ์š”!

ํฌ์Šคํ…์€ ํ•™์ƒ๋“ค์—๊ฒŒ ํ•™์—…์ ์ธ ์ง€์›๋ฟ๋งŒ ์•„๋‹ˆ๋ผ ์ง์ ‘ ๋„“์€ ์„ธ๊ณ„๋ฅผ ๊ฒฝํ—˜ํ•  ๊ธฐํšŒ๋„ ์ œ๊ณตํ•ด ์ค๋‹ˆ๋‹ค!

ํŠนํžˆ 2023๋…„๋ถ€ํ„ฐ๋Š” CES์™€ Nobel Week ์ค‘ ํ•™์ƒ๋“ค์ด ๊ฐ์ž ๊ฐ€๊ณ  ์‹ถ์€ ๊ณณ์„ ์„ ํƒํ•˜์—ฌ ์„ธ๊ณ„์ ์ธ

ํ–‰์‚ฌ์— ์ฐธ์—ฌํ•  ๊ธฐํšŒ๋ฅผ ์ œ๊ณตํ•˜๊ณ  ์žˆ์Šต๋‹ˆ๋‹ค. CES(Consumer Electronics Show)๋Š” ์ธํ…”, ๋งˆ์ด ํฌ๋กœ์†Œํ”„ํŠธ ๋“ฑ ์ตœ๊ณ ์˜ IT ๊ธฐ์—…๋“ค์ด ์ฐธ์—ฌํ•˜๋Š” ์„ธ๊ณ„ ์ตœ๋Œ€ ๊ทœ๋ชจ์˜ ๊ธฐ์ˆ  ๋ฐ•๋žŒํšŒ์ž…๋‹ˆ๋‹ค.

๋˜ํ•œ, Nobel Week๋Š” ๋งค๋…„ ๋…ธ๋ฒจ ์žฌ๋‹จ์—์„œ ๋…ธ๋ฒจ์ƒ ์‹œ์ƒ์‹๊ณผ ์—ฐ๊ณ„ํ•ด์„œ ์‹œํ–‰ํ•˜๋Š” ์„ธ๊ณ„์ ์ธ ํ–‰์‚ฌ

์ž…๋‹ˆ๋‹ค. ํฌ์Šคํ… Nobel Week ํŒŒ๊ฒฌ๋‹จ์€ ์ด ํ–‰์‚ฌ ์ฐธ์—ฌ์™€ ๋”๋ถˆ์–ด, ์ธ๊ทผ ์ž๋งค๋Œ€ํ•™ ๋ฐ ์—ฐ๊ตฌ๊ธฐ๊ด€ ๋ฐฉ๋ฌธ

๋„ ํ–ˆ๋‹ค๊ณ  ํ•ฉ๋‹ˆ๋‹ค. ์ด๋ฒˆ ํ˜ธ์—๋Š” ํŠน๋ณ„ํžˆ ์ด ํ–‰์‚ฌ๋“ค์— ๋‹ค๋…€์˜จ ์•Œ๋ฆฌ๋ฏธ ์„ ๋ฐฐ๋‹˜๋“ค๊ป˜์„œ ํ˜„์žฅ์˜ ์ƒ์ƒํ•จ์„ ๋‹ด์€

VLOG๋ฅผ ์ค€๋น„ํ•ด ์ฃผ์…จ๋‹ค๊ณ  ํ•ฉ๋‹ˆ๋‹ค! ๊ทธ๋Ÿผ, ๊ฐ™์ด ๊ทธ ํ˜„์žฅ ์†์œผ๋กœ ๋– ๋‚˜๋ณผ๊นŒ์š”?

ํฌ์Šคํ… ๋…ธ๋ฒจ์œ„ํฌ ํŒŒ๊ฒฌ๋‹จ์€ 5์›” 3์ผ ๊ณต๊ฐœํ•ฉ๋‹ˆ๋‹ค! CES VLOG๋Š” 5์›” 3์ผ ๊ณต๊ฐœํ•ฉ๋‹ˆ๋‹ค! 42 CES & NOBEL WEEK

NEW

RC:

์•Œ๋ฆฌ๋ฏธ์˜ ๊ธฐ์ˆ™์‚ฌ ์†Œ๊ฐœ V-log

ํŒŒ๋ฆ‡ํŒŒ๋ฆ‡ํ•œ ๋ด„๋‚ ์ด ์ง€๋‚˜ ์–ด๋А๋ง ์‹ฑ๊ทธ๋Ÿฌ์šด ์—ฌ๋ฆ„์ด ๋‹ค๊ฐ€์˜ค๊ณ  ์žˆ์Šต๋‹ˆ๋‹ค. ์ง€๊ธˆ์ฏค์ด๋ฉด ๋‹ค๋“ค ์ƒˆ ํ•™๋…„์— ์ ์‘์„ ์™„๋ฃŒํ•˜๊ณ  ๋‚จ์€ ํ•™๊ธฐ๋ฅผ ํ™œ๊ธฐ์ฐจ๊ฒŒ ๋ณด๋‚ด๊ณ  ์žˆ์„ ๊ฒƒ ๊ฐ™์€๋ฐ์š”. ์˜ฌํ•ด ์—ฌ๋Ÿฌ๋ถ„๋“ค์˜ ํ•™๊ต์ƒํ™œ์— ์ƒˆ๋กญ๊ฒŒ ์ƒ๊ฒจ๋‚œ ๋ณ€ํ™”๋“ค์ด ์žˆ์„๊นŒ์š”?

ํฌ์Šคํ…์—๋Š” ์žฌํ•™์ƒ๋“ค์ด ๋งค์šฐ ๊ธฐ๋ปํ•  ๋ณ€ํ™”๊ฐ€ ์ฐพ์•„์™”์Šต๋‹ˆ๋‹ค. ๋ฐ”๋กœ ์ „๋ฉด ๋ฆฌ๋‰ด์–ผ๋œ ํฌ์Šคํ… ๊ธฐ์ˆ™์‚ฌ์ธ๋ฐ์š”! RC๋Š” Residential College์˜ ์•ฝ์ž๋กœ์„œ, ํฌ์Šคํ… 1ํ•™๋…„ ์ „์›๊ณผ 2ํ•™๋…„ ์ผ๋ถ€๊ฐ€ ๊ฑฐ์ฃผํ•˜๋Š” ๊ธฐ์ˆ™์‚ฌ์ž…๋‹ˆ ๋‹ค. ํฌ์Šคํ… ์žฌํ•™์ƒ๋“ค์—๊ฒŒ RC๋Š” ์ฃผ๊ฑฐ ๊ณต๊ฐ„์˜ ์˜๋ฏธ๋ฅผ ๋„˜์–ด ๋ฐฐ์›€๊ณผ ๋‹ค์–‘ํ•œ ์ทจ๋ฏธ๋ฅผ ์œ„ํ•œ ๊ณต๊ฐ„์œผ๋กœ๋„ ํ™œ์šฉ ๋˜๋Š”๋ฐ์š”. ๋ฆฌ๋‰ด์–ผ๋œ RC์—๋Š” ํ•™์ƒ๋“ค์ด ์ฒด๋ ฅ์„ ๊ธฐ๋ฅผ ์ˆ˜ ์žˆ๋Š” ํ—ฌ์Šค์žฅ๊ณผ, ๊ณต๋ถ€ ์ŠคํŠธ๋ ˆ์Šค๋ฅผ ํ•œ๊ป ๋‚ ๋ ค์ค„ ๋…ธ๋ž˜๋ฐฉ, ๊ทธ๋ฆฌ๊ณ  ์˜ํ™”๋ฅผ ์ฆ๊ธธ ์ˆ˜ ์žˆ๋Š” ์‹œ๋„ค๋งˆ์‹ค๊นŒ์ง€ ์žˆ๋‹ค๊ณ  ํ•ฉ๋‹ˆ๋‹ค! ํฌ์Šคํ… ์žฌํ•™์ƒ๋“ค์€ ์ƒˆ๋กญ๊ฒŒ ํƒ„์ƒํ•œ RC ๋‚ด ๊ณต๊ฐ„๋“ค์—์„œ ์–ด๋– ํ•œ ๋‹ค์–‘ํ•œ ์ทจ๋ฏธ ์ƒํ™œ์„ ์ฆ๊ธธ๊นŒ์š”? ํ•จ๊ป˜ ์•Œ์•„๋ด…์‹œ๋‹ค!

๊ธฐ์ˆ™์‚ฌ ์†Œ๊ฐœ๊ฐ€ ๊ถ๊ธˆํ•˜๋‹ค๋ฉด?

7์ผ ๊ณต๊ฐœํ•ฉ๋‹ˆ๋‹ค!

์•Œ๋ฆฌ๋ฏธ์˜
6์›”
43 ALIMI ON-AIR
ํฌ์Šคํ…

๊ณต๋Œ€์ƒ์ด ์ž‘๊ณก๊ฐ€๊ฐ€ ๋˜๊ธฐ๊นŒ์ง€

์–ด๋ ค์šด ์ˆ˜ํ•™ ๋ฌธ์ œ์—์„œ ์‹ค๋งˆ๋ฆฌ๋ฅผ ์ฐพ๊ณ , ๋ฌผ๋ฆฌํ•™ ๋ฒ•์น™์œผ๋กœ ์ž์—ฐ ํ˜„์ƒ์„ ์„ค๋ช…ํ•˜๋Š” ๊ฒƒ์— ํฅ๋ถ„ํ–ˆ๋˜ ์ œ๊ฐ€ ํฌ์Šคํ…์— ์ฒ˜์Œ

์ž…ํ•™ํ•œ ์ˆœ๊ฐ„์˜ ์„ค๋ ˜์ด ์•„์ง๋„ ๊ธฐ์–ต๋‚ฉ๋‹ˆ๋‹ค. ์ €๋Š” โ€˜์ธ๋ฅ˜์˜ ํ–‰๋ณต์— ๊ธฐ์—ฌํ•˜๊ณ  ์‹ถ๋‹คโ€™๋ผ๋Š” ๊ฟˆ์„ ์ด๋ฃจ๊ธฐ ์œ„ํ•ด ํฌ์Šคํ…์— ์ง„ ํ•™ํ•˜์˜€์Šต๋‹ˆ๋‹ค. ๋‹จ์ˆœํžˆ ์ธ๊ฐ„์ด ํŽธ๋ฆฌํ•ด์ง€๋Š” ๊ธฐ์ˆ ์„ ๊ฐœ๋ฐœํ•˜๊ณ  ์‹ถ์€ ๊ฒŒ ์•„๋‹Œ, ์ธ๊ฐ„์ด ํ–‰๋ณตํ•˜์ง€ ์•Š์€ ์ด์œ ์— ๋Œ€ํ•ด ํƒ๊ตฌ ํ•˜๊ณ  ๊ทธ๊ฒƒ๋“ค์„ ๋ณด๋‹ค ๊ทผ๋ณธ์ ์œผ๋กœ ํ•ด๊ฒฐํ•ด ์ค„ ์ˆ˜ ์žˆ๋Š” ๊ธฐ์ˆ ์„ ๋งŒ๋“ค์–ด ๋‚˜๊ฐ€๊ณ  ์‹ถ์—ˆ์Šต๋‹ˆ๋‹ค. ํ•œํŽธ์œผ๋กœ ์ €๋Š” ์Œ์•…์„ ์ •๋ง ์ข‹์•„ํ•˜๊ณ , ์Œ์•…์˜ ํž˜์„ ๋ฏฟ๋Š” ์‚ฌ๋žŒ์ด์—ˆ์Šต๋‹ˆ๋‹ค. ํŠนํžˆ ์ค‘ํ•™๊ต ๋•Œ ์ฒ˜์Œ ๋ฐฐ์šด ์‹ค์šฉ ์Œ์•… ํ”ผ์•„๋…ธ1 ๋•๋ถ„์— ์Œ์•…์— ํฐ ํฅ๋ฏธ

๋ฅผ ๋А๋ผ๊ธฐ ์‹œ์ž‘ํ–ˆ๋Š”๋ฐ, ์‹ค์šฉ ์Œ์•…์€ ์ œ๊ฒŒ ์•…๋ณด์— ์ ํžˆ์ง€ ์•Š์€ ์Œ๋“ค๋„ ์ƒ์ƒํ•ด์„œ ํ‘œํ˜„ํ•  ์ˆ˜ ์žˆ๊ฒŒ ํ•ด์ฃผ์—ˆ์Šต๋‹ˆ๋‹ค. ์ด๋ฅผ

ํ†ตํ•ด ์ €๋Š” ์•„๋ฌด๋Ÿฐ ์•…๋ณด ์—†์ด๋„ ์ฆ‰ํฅ ์—ฐ์ฃผ๋ฅผ ํ•  ์ˆ˜ ์žˆ๊ฒŒ ๋˜์—ˆ์Šต๋‹ˆ๋‹ค. ๊ณต๋ถ€ํ•˜๋‹ค๊ฐ€ ์ง‘์ค‘์ด ์•ˆ ๋  ๋•Œ ํ˜ผ์ž ์Œ์•…์‹ค์— ๊ฐ€

์„œ ๊ทธ ์ˆœ๊ฐ„์˜ ๊ธฐ๋ถ„์„ ์ฆ‰ํฅ ์—ฐ์ฃผ๋กœ ํ‘œํ˜„ํ•˜๊ณค ํ–ˆ์Šต๋‹ˆ๋‹ค. ์Œ์•…์—๋Š” ์ €์˜ ๋งˆ์Œ์„ ์น˜์œ ํ•˜๋Š” ํž˜์ด ์žˆ์—ˆ์Šต๋‹ˆ๋‹ค.

17ํ•™๋ฒˆ ๊น€์Šน์ผ

1. ๋˜๋Š” ์žฌ์ฆˆํ”ผ์•„๋…ธ, ์˜ค์„ ์ง€ ์—†์ด ์ฝ”๋“œ(chord)๋ฅผ

๋ณด๊ณ  ์—ฐ์ฃผํ•˜๋Š” ๋ฐฉ๋ฒ•์„ ๋ฐฐ์›€

2. ํ˜„์žฌ๋Š” ๋ฒ„์Šคํ‚น ๋™์•„๋ฆฌ๋กœ ๋ถ„๋ฅ˜๋˜์–ด ์žˆ์Œ

ํ•œ๋•Œ ์Œ์•… ์ชฝ ์ง„๋กœ๋ฅผ ๊ณ ๋ฏผํ•˜๊ธฐ๋„ ํ•˜์˜€์œผ๋‚˜, โ€˜๋„ˆ๋Š” ๊ณต๋ถ€๋„ ์ž˜ํ•˜๋‹ˆ๊นŒ ์Œ์•…์€ ์ทจ๋ฏธ๋กœ ํ•˜๋ฉด ๋œ๋‹คโ€™๋ผ๋Š” ๋ถ€๋ชจ๋‹˜์˜ ๋ง์”€

์— ์„ค๋“๋˜์–ด ์ผ์ฐ์ด ์Œ์•…์— ๋Œ€ํ•œ ๊ฟˆ์„ ๋‚ด๋ ค๋†“์€ ์ฑ„๋กœ ์Šค๋ฌด ์‚ด์˜ ๊ณต๋Œ€์ƒ์ด ๋˜์—ˆ์Šต๋‹ˆ๋‹ค. ์ƒˆ๋‚ด๊ธฐ์˜€๋˜ ์ €๋Š” ๋‹น์‹œ ์ž‘๊ณก ๋™์•„๋ฆฌ์˜€๋˜ โ€˜GT LOVEโ€™2์— ๊ฐ€์ž…ํ•˜์—ฌ ์Œ์•…์— ๋Œ€ํ•œ ์—ด์ •์„ ์ด์–ด ๋‚˜๊ฐ€๊ฒŒ ๋˜์—ˆ์Šต๋‹ˆ๋‹ค. 400๊ณก์ด ๋„˜๋Š” ์ˆ˜๋งŽ์€ ๋ฌด๋Œ€์— ์ฐธ์—ฌํ–ˆ๊ณ , ํ›„๋ฐฐ๋“ค์—๊ฒŒ ์•…๊ธฐ๋ฅผ ๊ฐ€๋ฅด์น˜๋ฉฐ ์—ฐ์ฃผ์˜ ์ฆ๊ฑฐ์›€์„ ์•Œ๋ ค์ฃผ๊ธฐ๋„ ํ–ˆ์Šต๋‹ˆ๋‹ค. ์Œ์•…์„ ์ข‹์•„ํ•˜๋Š” ์ด๋“ค๊ณผ ์˜ค๋žœ ์‹œ๊ฐ„ ์„ ๋ณด๋‚ด๋ฉด์„œ ์Œ์•…์€ ๊ณต๋Œ€์ƒ์ธ ์ œ ์‚ถ์— ์ ์  ๊นŠ๊ฒŒ ์Šค๋ฉฐ๋“ค๊ธฐ ์‹œ์ž‘ํ–ˆ์Šต๋‹ˆ๋‹ค. ๋™์•„๋ฆฌ ํ™œ๋™ ์™ธ์—๋„ ์ €๋Š” ๊ฐœ์ธ ์œ ํŠœ๋ธŒ ์ฑ„

๋„์„ ๊ฐœ์„คํ•ด ์—ฐ์ฃผํ•œ ์Œ์•… ์˜์ƒ์„ ์˜ฌ๋ฆฌ๊ณ , ๊ต๋‚ด ๋ฒ„์Šคํ‚น๋„ ์‹ญ์—ฌ ์ฐจ๋ก€ ๊ธฐํšํ•˜์˜€์Šต๋‹ˆ๋‹ค. โ€˜๊ณต๋Œ€๋Š” ๊ณต๋ถ€๋งŒ ํ•˜๋Š” ์žฌ๋ฏธ์—†

๋Š” ํ•™๊ตโ€™๋ผ๋Š” ์ด๋ฏธ์ง€๋ฅผ ๊นจ๊ณ  ์‹ถ์—ˆ๊ณ , ๊ณต๋ถ€๋กœ ์ง€์ณ ์žˆ์„ ์‚ฌ๋žŒ๋“ค์—๊ฒŒ ์ง€๋‚˜๊ฐ€๋‹ค๊ฐ€ ๋งˆ์ฃผ์น  ์ˆ˜ ์žˆ๋Š” ์†Œ์†Œํ•œ ํ–‰๋ณต์„ ์ฃผ ๊ณ  ์‹ถ์—ˆ์Šต๋‹ˆ๋‹ค. ๋ฒ„์Šคํ‚น์„ ์ˆ˜์ฐจ๋ก€ ์ง„ํ–‰ํ•˜๋Š” ๊ฒƒ์ด ์‰ฝ์ง€๋งŒ์€ ์•Š์•˜์Šต๋‹ˆ๋‹ค. ๋ฒ„์Šคํ‚น์˜ ์žฅ์†Œ ์„ ์ •์ด๋‚˜ ์ค€๋น„ ๋ถ€์กฑ ๋“ฑ์˜ ๋ฌธ ์ œ๋กœ ๋ˆ„๊ตฐ๊ฐ€์—๊ฒŒ ์†Œ์Œ์„ ์ฃผ๊ธฐ๋„ ํ–ˆ์Šต๋‹ˆ๋‹ค. ๊ทธ๋Ÿผ์—๋„ ์Œ์•… ํ™œ๋™์„ ๊ณ„์†ํ•ด ๋‚˜๊ฐˆ ์ˆ˜ ์žˆ์—ˆ๋˜ ๊ฑด ๋งค ๋ฒ„์Šคํ‚น๊ณผ ๊ณต์—ฐ๋งˆ๋‹ค ๋…ธ๋ž˜๋ฅผ ๋“ฃ๋Š” ๊ด€๊ฐ์˜ ํ–‰๋ณตํ•œ ๋ฏธ์†Œ๋“ค์ด ์žˆ์—ˆ๊ณ , ์Œ์•…์œผ๋กœ ์ธํ•ด ์น˜์œ ๋ฅผ ๋ฐ›๊ณ  ์ฆ๊ฑฐ์›€์„ ์–ป์—ˆ๋‹ค๋Š” ๊ด€๊ฐ๋“ค์˜ ๊ฐ์‚ฌํ•œ ํ›„ ๊ธฐ๊ฐ€ ์žˆ์—ˆ๋˜ ๋•๋ถ„์ž…๋‹ˆ๋‹ค.

IT์œตํ•ฉ๊ณตํ•™๊ณผ
๊ธ€
๋ฒ„์Šคํ‚น ๋ฐด ๋“œ ๊ณต ์—ฐ 44 ํฌ๋ผ์ดํ”„

์ด๋Ÿฐ ๊ฒฝํ—˜์„ ํ†ตํ•ด ์ €๋Š” ์Œ์•…์ด ์ธ๊ฐ„์„ ํ–‰๋ณตํ•˜๊ฒŒ ํ•ด์ค„ ์ˆ˜ ์žˆ๋Š” ๊ฐ•๋ ฅํ•œ ๋„๊ตฌ๊ฐ€ ๋  ๊ฒƒ์ด๋ผ ๊ตณ๊ฒŒ ๋ฏฟ๊ฒŒ ๋˜ ์—ˆ์Šต๋‹ˆ๋‹ค. ์Œ์•…๊ณผ ๊ณตํ•™์„ ๊ฒฐํ•ฉํ•˜์—ฌ ์‚ฌ๋žŒ๋“ค์„ ๋” ํ–‰๋ณตํ•˜๊ฒŒ ํ•ด์ค„ ์ˆ˜ ์žˆ๋Š” ํ•ด๊ฒฐ์ฑ…์„ ์ œ์‹œํ•˜๊ณ ์ž ํ–ˆ๊ณ , ํ•™๊ณผ ์ „๊ณต ์ˆ˜์—…์ธ โ€˜์ฐฝ์˜์„ค๊ณ„โ€™3์—์„œ โ€˜์‚ฌ๋žŒ๊ณผ ํ•จ๊ป˜ ํ•ฉ์ฃผํ•˜๋Š” AIโ€™, โ€˜์ž‘๊ณก๊ฐ€์˜ ํ™”์„ฑ ํŽธ๊ณก์„ ๋„์™€์ฃผ๋Š” AIโ€™์™€ ๊ฐ™์€ ์ฃผ์ œ๋กœ ์—ฐ๊ตฌ๋ฅผ ์ง„ํ–‰ํ•˜์˜€์Šต๋‹ˆ๋‹ค. ์Œ์•…๊ณผ IT ๊ธฐ์ˆ ์— ๊ด€ํ•ด ๊ณต๋ถ€ํ•˜๋Š” ์ผ์€ ํฅ๋ฏธ๋กœ์› ๊ณ , ์˜ค๋””์˜ค ์ •๋ณด ๋ฅผ ์ •๋ณดํ™”, ์ˆ˜์น˜ํ™”ํ•˜๋Š” ๋‹ค์–‘ํ•œ ๊ธฐ์ˆ ์„ ๋ฐฐ์› ์Šต๋‹ˆ๋‹ค. ํ•˜์ง€๋งŒ โ€˜์ข‹์€ ์Œ์•…โ€™์ด ๋ฌด์—‡์ธ์ง€, ์–ด๋–ค ์Œ์•…์ด ์‚ฌ๋žŒ

์˜ ๋งˆ์Œ์„ ์–ด๋–ป๊ฒŒ ์›€์ง์ผ ์ˆ˜ ์žˆ๋Š”์ง€๋Š” ์ •ํ˜•ํ™”ํ•  ์ˆ˜ ์—†๋Š” ์ด๋ก  ๋ฐ–์˜ ์˜์—ญ์ด์—ˆ๊ธฐ์— ์•„์‰ฌ์›€์ด ๋‚จ์•˜์Šต๋‹ˆ

๋‹ค. ์ด์ฆˆ์Œ ์ €๋Š” ๋‹ค์‹œ ์ง„์ง€ํ•œ ์ง„๋กœ ๊ณ ๋ฏผ์„ ํ•˜๊ฒŒ ๋˜์—ˆ์Šต๋‹ˆ๋‹ค. ๋‹น์‹œ ์ œ๊ฐ€ ๊ฐ€์žฅ ์‹œ๊ฐ„์„ ๋งŽ์ด ์“ฐ๊ณ  ์ฆ๊ฒ๊ฒŒ ํ•œ ์ผ์ด ๋ฌด์—‡์ธ์ง€ ๋Œ์•„๋ณด๋‹ˆ ๊ทธํ•ด ์ €๋Š” ์Œ์•…์— ๊ฐ€์žฅ ๋งŽ์€ ์‹œ๊ฐ„๊ณผ ์• ์ •์„ ์Ÿ์•˜๊ณ , ๊ทธ๋‹ค์Œ์œผ๋กœ ์นœ๊ตฌ์™€ ํ•™์ƒ๋“ค์„ ๊ฐ€๋ฅด์น˜๋Š” ์ผ์—, ๊ทธ๋ฆฌ๊ณ  ์ •์ž‘ ์ฝ”๋”ฉ๊ณผ ๊ณต๋ถ€์—๋Š” ์ƒ๋Œ€์ ์œผ๋กœ ๊ฐ€์žฅ ์ ์€ ์‹œ๊ฐ„์„ ๋“ค์˜€์Šต๋‹ˆ๋‹ค.

์‚ฌ์‹ค ๊ทธ๋•Œ๊นŒ์ง€๋„ ์Œ์•…์„ ์ง„๋กœ๋กœ ์„ ํƒํ•  ์šฉ๊ธฐ๋Š” ์—†์—ˆ์Šต๋‹ˆ๋‹ค. ํ˜„์‹ค์ ์œผ๋กœ ๊ฒฝ์ œ์ ์ธ ์š”์†Œ๋„ ์ƒ๊ฐํ•ด์•ผ

ํ–ˆ๊ธฐ ๋•Œ๋ฌธ์ž…๋‹ˆ๋‹ค. ๊ทธ๋ž˜์„œ ์ €๋Š” ๋จผ์ € โ€˜๊ฐ•์‚ฌโ€™๋ผ๋Š” ์ง์—…์„ ํ†ตํ•ด ํ•™์ƒ๋“ค์—๊ฒŒ ์„ ํ•œ ์˜ํ–ฅ๋ ฅ์„ ๋ผ์น˜๋Š” ์‚ฌ๋žŒ ์ด ๋˜๊ฒ ๋‹ค๊ณ  ๊ฒฐ์‹ฌํ–ˆ์Šต๋‹ˆ๋‹ค. ๊ณง๋ฐ”๋กœ ํœดํ•™ ํ›„ ์ƒ๊ฒฝํ•˜์—ฌ ์ˆ˜ํ•™ ๊ฐ•์‚ฌ๋กœ์„œ ์ผํ•˜๊ฒŒ ๋˜์—ˆ๊ณ , ์„œ์šธ์— ์˜จ ๊น€์— ์Œ์•…์„ ๋” ๋ฐฐ์šฐ๊ณ ์ž ์‹ค์šฉ ์Œ์•…ํ•™์›๋„ ๋“ฑ๋กํ•˜์˜€์Šต๋‹ˆ๋‹ค. ๊ทธ๋•Œ ์‹ค์šฉ ์Œ์•…ํ•™์› ์›์žฅ๋‹˜๊ป˜์„œ ์ œ๊ฒŒ ์žฌ๋Šฅ์ด

์žˆ๋‹ค๋ฉฐ ์˜ˆ๋Œ€ ์ž‘๊ณก ์ž…์‹œ๋ฅผ ๊ถŒ์œ ํ•˜์…จ๊ณ , ์Œ์•…์— ์ง„์‹ฌ์ด์—ˆ๋˜ ์ €๋Š” ์ „๊ณต์ƒ๋“ค๊ณผ ์‹ค๋ ฅ์„ ๊ฒจ๋ค„๋ณผ ์ข‹์€ ๊ธฐํšŒ

๋ผ ์ƒ๊ฐํ•˜์—ฌ ์Šน๋‚™ํ•˜์˜€์Šต๋‹ˆ๋‹ค. ํ™”, ๋ชฉ, ํ† ์š”์ผ์—๋Š” ์ˆ˜ํ•™ ์„ ์ƒ๋‹˜, ๋‚˜๋จธ์ง€ ์š”์ผ์—๋Š” ์˜ˆ๋Œ€ ์ž…์‹œ์ƒ์ด ๋˜์–ด

๋งค์šฐ ๋ฐ”์œ ์‹œ๊ฐ„์„ ๋ณด๋‚ด๋ฉด์„œ, ์ €๋Š” ์ œ๊ฐ€ ๊ต์œก๋ณด๋‹ค ์Œ์•…์— ํ›จ์”ฌ ๊ด€์‹ฌ์„ ๋‘๊ณ  ์žˆ๋‹ค๋Š” ๊ฒƒ์„ ํ™•์‹ ํ–ˆ๊ณ , ์ž…

์‹œ๊ฐ€ ์–ผ๋งˆ ๋‚จ์ง€ ์•Š์€ 9์›”์— ์ˆ˜ํ•™ ๊ฐ•์‚ฌ๋ฅผ ๊ทธ๋งŒ๋‘์—ˆ์Šต๋‹ˆ๋‹ค. ๋Œ€์‹  ํฌ์Šคํ… ์กธ์—…์„ ์œ„ํ•ด ๋งˆ์ง€๋ง‰ ํ•™๊ธฐ ์ˆ˜

์—…์„ ๋“ค์œผ๋ฉฐ ์ž…์‹œ๋ฅผ ๋ณ‘ํ–‰ํ–ˆ์ฃ . ๋‹ค๋ฅธ ์ž…์‹œ์ƒ๋ณด๋‹ค ์Œ์•…์— ๋ชฐ์ž…ํ•  ์ˆ˜ ์žˆ๋Š” ์‹œ๊ฐ„์ด ํ˜„์ €ํžˆ ๋ถ€์กฑํ–ˆ๊ธฐ์— ์ตœ ์„ ์„ ๋‹คํ•  ๋ฟ ์ข‹์€ ๊ฒฐ๊ณผ๋ฅผ ๊ธฐ๋Œ€ํ•˜๊ธด ํž˜๋“ค์—ˆ์Šต๋‹ˆ๋‹ค.

3. IT์œตํ•ฉ๊ณตํ•™๊ณผ์—์„œ ์กธ์—…ํ•˜๊ธฐ ์œ„ํ•ด ๋ฐ˜๋“œ์‹œ ๋“ค์–ด์•ผ ํ•˜๋Š” ์—ฐ๊ตฌ ๊ณผ๋ชฉ ์œผ๋กœ, ์ด ๋„ค ํ•™๊ธฐ์— ๊ฑธ์ณ ํ•™๊ธฐ๋ณ„๋กœ IT ๊ธฐ์ˆ ์„ ํ™œ์šฉํ•˜๋Š” ์—ฐ๊ตฌ ์ฃผ์ œ๋ฅผ ์„ ์ •ํ•˜๊ณ  ๊ต์ˆ˜๋‹˜๊ณผ ์ผ๋Œ€์ผ ๋ฉด๋‹ด์„ ํ†ตํ•ด ์ง€์†ํ•ด์„œ ๋ณด์™„ํ•˜์—ฌ ๊ฒฐ๊ณผ ๋ฌผ์„ ๋‚ด์•ผ ํ•จ

์˜ˆ๋Œ€ ์ž…์‹œ๋ฅผ ์ค€๋น„ํ•˜๋Š” ๊ณผ์ •์—์„œ ๋•๋ถ„์— ์ €๋Š” ์ž‘๊ณก์— ์žˆ์–ด ์ œ๊ฐ€ ๋‚จ๋“ค๋ณด๋‹ค ๋” ์ž˜ ํ‘œํ˜„ํ•  ์ˆ˜ ์žˆ๋Š” ์‚ฌ์šด๋“œ๊ฐ€ ์žˆ์Œ์„ ๋ฐœ๊ฒฌํ–ˆ์Šต๋‹ˆ๋‹ค. ๊ณต๋Œ€์ƒ์ด๋ผ๋Š” ์ €์˜ ๊ฐœ์„ฑ์„ ์‚ด๋ ค ์ž์ž‘๊ณก์— ์ˆ˜ํ•™์ ์ธ ์š”์†Œ๋“ค์„ ์‚ฝ์ž…ํ•˜๊ธฐ๋„ ํ•˜์˜€์Šต

๋‹ˆ๋‹ค. ์Œ์•…์œผ๋กœ ๋ˆ์„ ๋ฒŒ ์ˆ˜๋„ ์žˆ๊ฒ ๋‹ค๋Š” ์ž์‹ ๊ฐ์ด ์ƒ๊ฒผ๊ณ  ์ง์—…์œผ๋กœ์„œ์˜ ์Œ์•…์„ ์ƒ๊ฐํ•˜๊ฒŒ ๋˜์—ˆ์Šต๋‹ˆ๋‹ค. ๋ฌด์—‡ ๋ณด๋‹ค ์Œ์•…์€ ์–ธ์ œ๋‚˜ ์ œ๊ฐ€ ๊ฐ€์žฅ ์ข‹์•„ํ•˜๋Š” ์ผ์ด์—ˆ์Šต๋‹ˆ๋‹ค. ์•„๋งˆ ์ œ๊ฐ€ ๊ฐ€์žฅ ์ž˜ํ•œ ์ ์€, ํ”ผ์•„๋…ธ๋ฅผ ์ฒ˜์Œ ๋ฐฐ์šฐ๊ธฐ

์‹œ์ž‘ํ•œ 5์‚ด๋ถ€ํ„ฐ ์‰ฌ์ง€ ์•Š๊ณ  ์ง€๊ธˆ๊นŒ์ง€ ํ”ผ์•„๋…ธ๋ฅผ ์ณ์™”๋‹ค๋Š” ์ , ์ฆ‰ ์ข‹์•„ํ•˜๋Š” ๊ฒƒ์„ ๋†“์ง€ ์•Š๊ณ  ๊พธ์ค€ํžˆ ํ•ด์™”๋‹ค๋Š”

์ ์ผ ๊ฒƒ์ž…๋‹ˆ๋‹ค. ๋•๋ถ„์— ์ €๋Š” ๊ธฐ์ ์ ์œผ๋กœ ์‹ค์šฉ์Œ์•… ๋ถ„์•ผ์—์„œ ๊ฐ€์žฅ ๋“ค์–ด๊ฐ€๊ธฐ ํž˜๋“ค๋‹ค๋Š” ๋‘ ๋Œ€ํ•™์œผ๋กœ๋ถ€ํ„ฐ ํ•ฉ ๊ฒฉ ์†Œ์‹์„ ๋“ฃ๊ฒŒ ๋˜์—ˆ๊ณ , โ€˜์„œ์šธ์˜ˆ์ˆ ๋Œ€ํ•™๊ตโ€™๋กœ์˜ ์ง„ํ•™์„ ๊ฒฐ์ •ํ•˜๊ฒŒ ๋˜์—ˆ์Šต๋‹ˆ๋‹ค. ์ง„๋กœ๋ฅผ ๋ณ€๊ฒฝํ•˜๊ฒŒ

๊ธˆ๋„ ํฌ์Šคํ…์— ์ž…ํ•™ํ•œ ๊ฒƒ์„ ํ›„ํšŒํ•˜์ง€ ์•Š์Šต๋‹ˆ๋‹ค. ํฌ์Šคํ…์€ ์ง€๊ธˆ์˜ ์ œ ์„ฑ๊ฒฉ๊ณผ ๊ฐ€์น˜๊ด€, ์‚ฌ๊ณ ๋ฐฉ์‹์— ๋งŽ์€ ์˜ ํ–ฅ์„ ์ฃผ์—ˆ๊ณ , ์ €์—๊ฒŒ ๊ฐœ์„ฑ์„ ๋ถ€์—ฌํ•ด ์ฃผ์—ˆ์Šต๋‹ˆ๋‹ค. ๊ณต๋Œ€์˜€๊ธฐ์— ์Œ์•…์„ ์ž˜ํ•ด์•ผ ํ•œ๋‹ค๋Š” ๋ถ€๋‹ด๊ฐ ์—†์ด ๋งˆ์Œ๊ป ํ•ด๋ณผ ์ˆ˜ ์žˆ์—ˆ๊ณ , ์˜คํžˆ๋ ค ์ผ์ฐ์ด ์Šค๋ฌด ์‚ด์— ์‹ค์šฉ์Œ์•…๊ณผ์— ์ง„ํ•™ํ–ˆ๋‹ค๋ฉด ์ง€๊ธˆ์ฒ˜๋Ÿผ ์ˆœ์ˆ˜ํ•˜๊ฒŒ ์Œ์•…์„ ๋ฐ”๋ผ๋ณผ ์ˆ˜ ์—†์—ˆ์„์ง€๋„ ๋ชจ๋ฆ…๋‹ˆ๋‹ค. ๋ฌด์Šจ ๊ฒฝํ—˜์ด๋“  ์ž˜ ์ƒ๊ฐํ•ด ๋ณด๋ฉด ๋ฐฐ์šธ ์ ์ด ์žˆ์—ˆ๊ณ , ํ—›๋œ ๊ฒƒ์€ ์—†์—ˆ์Šต๋‹ˆ๋‹ค.

ํฌ์Šคํ…์— ์ž…ํ•™ํ•œ ํ›„ ์ˆ˜ํ•™ ๊ฐ•์‚ฌ๋กœ ์ผํ•˜๋‹ค๊ฐ€ ์„œ์šธ์˜ˆ๋Œ€์— ์ง„ํ•™ํ•˜๋Š” ์ปค๋‹ค๋ž€ ๋ณ€ํ™”๋“ค์€ ๋งˆ๋ฒ•์ฒ˜๋Ÿผ ์ผ์–ด๋‚˜์ง€ ์•Š์•˜์Šต๋‹ˆ๋‹ค. ํ‰์†Œ์— โ€˜๋ฌด์—‡์„ ์œ„ํ•ด ์‚ด๊นŒโ€™, โ€˜์–ด๋–ค ์‚ฌ๋žŒ์ด ๋ ๊นŒโ€™์™€ ๊ฐ™์€ ๊ณ ๋ฏผ์„ ์˜ค๋žœ ์‹œ๊ฐ„ ๋™์•ˆ ์ถ•์ ํ•ด ์˜จ ๊ฒƒ ์ด ์ œ๊ฐ€ ์‹ค์ฒœํ•ด์•ผ ํ•  ์ด์œ ์ด์ž ์›๋™๋ ฅ์ด ๋˜์—ˆ๋˜ ๊ฒƒ ๊ฐ™์Šต๋‹ˆ๋‹ค. ์‚ฌ์‹ค ์ €๋Š” ์ด์ œ ์ƒˆ๋กœ์šด ์ถœ๋ฐœ์„ ์— ๋ง‰ ์„œ๊ฒŒ ๋œ ๊ฒƒ๋ฟ์ž…๋‹ˆ๋‹ค. ์—ฌ๋Ÿฌ๋ถ„์€ ์ €๋ณด๋‹ค ํ›จ์”ฌ ๋” ๋นจ๋ฆฌ, ํ™•๊ณ ํ•œ ์ง„๋กœ ๊ฒฐ์ •์„ ํ•˜๊ฒŒ ๋ ์ง€๋„ ๋ชจ๋ฆ…๋‹ˆ๋‹ค. ์—ฌ๋Ÿฌ๋ถ„์ด ๋ฌด์—‡ ์„ ํ•˜๊ณ  ์‹ถ์€์ง€ ๋Š์ž„์—†์ด ๊ณ ๋ฏผํ•˜๊ณ , ํ•ด์•ผ๊ฒ ๋‹ค๋Š” ์ƒ๊ฐ์ด ๋“ค์—ˆ์„ ๋•Œ ๋ฐ”๋กœ ์‹ค์ฒœ์— ์˜ฎ๊ธธ ์ˆ˜ ์žˆ๋‹ค๋ฉด, ์—ฌ๋Ÿฌ๋ถ„ ๋˜ํ•œ ๊ณตํ•™์ž๋“ , ์˜ˆ์ˆ ๊ฐ€๋“ , ํ˜น์€ ์—ฌ๋Ÿฌ๋ถ„์ด ์›ํ•˜๋Š” ๋ฌด์—‡์ด๋“  ๋  ์ˆ˜ ์žˆ์„ ๊ฒƒ์ด๋ผ ๋ฏฟ์Šต๋‹ˆ๋‹ค. ๊ทธ๊ฒƒ์ด ํฌ์Šคํ…์ด ๋ผ๋Š” ์šธํƒ€๋ฆฌ ์•ˆ์ด๋“ , ๊ทธ ์–ด๋””์—์„œ๋“  ๋ง์ด์ฃ ! ์‚ฌ์‹ค ์ €๋Š” โ€˜์ปค์„œ ๋ญ˜ ํ•˜๊ณ  ์‹ถ๋ƒ?โ€™๋Š” ์‹์˜ ์งˆ๋ฌธ์„ ๊ทธ๋ฆฌ ์ข‹์•„ํ•˜ ์ง€ ์•Š์Šต๋‹ˆ๋‹ค. ์šฐ๋ฆฌ๋Š” ์–ธ์ œ ์ฃฝ์„์ง€ ๋ชจ๋ฅด๊ธฐ ๋•Œ๋ฌธ์ด์ฃ . ๊ทธ๋ ‡๊ธฐ ๋•Œ๋ฌธ์— โ€˜์‚ฌ๋žŒ๋“ค์„ ํ–‰๋ณตํ•˜๊ฒŒ ํ•ด์ฃผ๊ณ  ์‹ถ๋‹คโ€™๋ผ ๋Š” ์ €์˜ ๊ฟˆ์€ ๋ฏธ๋ž˜์˜ ์ผ์ด ์•„๋‹Œ, ์˜ค๋Š˜์˜ ์ œ๊ฐ€ ์ž‘๊ฒŒ๋‚˜๋งˆ ์‹ค์ฒœํ•ด ๋‚˜๊ฐˆ ์ˆ˜ ์žˆ๋Š” ์ผ์ด์—ˆ์Šต๋‹ˆ๋‹ค. ์—ฌ๋Ÿฌ๋ถ„๋„ ํ˜„ ์žฌ, ํ˜น์€ ์˜ค๋Š˜ ์ž์‹ ์ด ์ด๋ฃฐ ์ˆ˜ ์žˆ๋Š” ๊ฟˆ์ด ๋ฌด์—‡์ธ์ง€ ๊ณ ๋ฏผํ•˜๋‹ค ๋ณด๋ฉด, ๋ฏธ๋ž˜์—๋„ ๊ผญ ๊ทธ ๊ฟˆ์„ ์ด๋ฃจ๋ฉฐ ์‚ด๊ณ  ์žˆ์„ ๊ฒƒ์ด๋ผ ๊ธฐ๋Œ€ํ•ฉ๋‹ˆ๋‹ค!

๋œ ์ €๋Š” ์ง€
์˜ˆ๋Œ€์ž…์‹œ ์ฐฝ์˜์„ค๊ณ„ 45

๊ณตํ•™๋„๋กœ์„œ์˜ ์‚ถ

๊ธ€ ํ™”ํ•™๊ณตํ•™๊ณผ 20ํ•™๋ฒˆ ๊ถŒ๊ธฐํ˜„

ํฌ์Šคํ…Œํ‚ค์•ˆ ๊ตฌ๋…์ž ์—ฌ๋Ÿฌ๋ถ„ ์•ˆ๋…•ํ•˜์„ธ์š”, 2020๋…„์— ํฌ์Šคํ…์— ์ž…ํ•™ํ•˜์—ฌ ํ˜„์žฌ๋Š” ๋Œ€ํ•™์›์— ์ž…ํ•™ํ•œ ๊ถŒ๊ธฐํ˜„์ž…๋‹ˆ๋‹ค. ๋Œ€ํ•™์› ์ƒ์ด ๋˜์—ˆ์ง€๋งŒ, ์—ฌ์ „ํžˆ ์ €๋Š” ํ•ด๋ณด๊ณ  ์‹ถ์€ ๊ฒƒ๊ณผ ๋„์ „ํ•˜๊ณ  ์‹ถ์€ ๊ฒƒ๋“ค์ด ๋งŽ์œผ๋ฉฐ ์ง„๋กœ์— ๋Œ€ํ•œ ๋Š์ž„์—†๋Š” ๊ณ ๋ฏผ๊ณผ ๋ฐœ์ „์„ ๊ฑฐ๋“ญ ํ•˜๊ณ  ์žˆ์Šต๋‹ˆ๋‹ค. ๋Œ€ํ•™์›์ƒ์ธ ์ €๋„ ๊ทธ๋Ÿฌํ•œ๋ฐ, ํ•˜๋ฌผ๋ฉฐ ๋Œ€๋ถ€๋ถ„ ๊ณ ๋“ฑํ•™์ƒ์ด์‹ค ํฌ์Šคํ…Œํ‚ค์•ˆ ๊ตฌ๋…์ž ์—ฌ๋Ÿฌ๋ถ„๊ป˜์„œ๋Š” ๊ณ ๋ฏผ์ด ๋งŽ ์œผ๋ฉด ๋” ๋งŽ์œผ๋ฆฌ๋ผ ์ƒ๊ฐํ•ฉ๋‹ˆ๋‹ค. ๊ทธ๋Ÿฌํ•œ ์—ฌ๋Ÿฌ๋ถ„์˜ ๊ณ ๋ฏผ์— ์กฐ๊ธˆ์ด๋‚˜๋งˆ ๋„์›€์ด ๋˜๊ณ ์ž, ๊ธฐ์—…๊ฐ€๋ฅผ ๊ฟˆ๊พธ๋Š” ํ•œ ๊ณตํ•™๋„์˜ ์ฐฝ์—… (์—์ฝ”ํ…ํŠธ) ์—ฌ์ •์— ๋Œ€ํ•ด ๋ง์”€๋“œ๋ฆฌ๊ณ ์ž ํ•ฉ๋‹ˆ๋‹ค.

ํฌ์Šคํ…์€ ์ด์ „๋ถ€ํ„ฐ ์—ฐ๊ตฌ์ค‘์‹ฌ๋Œ€ํ•™์ด๋ผ๋Š” ํƒ€์ดํ‹€๊ณผ ๋”๋ถˆ์–ด ๊ตญ๋‚ด ์ตœ๊ณ ์˜ ์ฐฝ์—…์ง€์›๋Œ€ํ•™์ด๋ผ๋Š” ๋ช…์„ฑ์„ ๊ฐ€์ง€๊ณ  ์žˆ์—ˆ์Šต๋‹ˆ

๋‹ค. ์ž์—ฐ์Šค๋ ˆ ํ•™๋ถ€์ƒ๋“ค์€ ์ฐฝ์—…์— ๋Œ€ํ•œ ์ •๋ณด๋ฅผ ๋งŽ์ด ์ ‘ํ•˜๊ฒŒ ๋˜์—ˆ๊ณ , ์ € ์—ญ์‹œ ์ฒ˜์Œ์—๋Š” ๋‹จ์ˆœ ํ˜ธ๊ธฐ์‹ฌ์œผ๋กœ ์ฐฝ์—…์— ๋Œ€ํ•ด ์•Œ ์•„๊ฐ€๊ธฐ ์‹œ์ž‘ํ•˜๋ฉฐ ๊ด€๋ จ ๊ต๊ณผ๋ชฉ์„ ์ˆ˜๊ฐ•ํ•˜๋Š” ๊ฒƒ์ด ์ „๋ถ€์˜€์Šต๋‹ˆ๋‹ค. ๊ทธ๋Ÿฌ๋‹ค ์šฐ์—ฐํžˆ ํ•ด์™ธ์—์„œ ๋ฒ„์„ฏ ๊ท ์‚ฌ๋ฅผ ์ด์šฉํ•˜์—ฌ ์นœํ™˜๊ฒฝ ์ƒ๋ถ„ํ•ด์„ฑ ํ”Œ๋ผ์Šคํ‹ฑ์œผ๋กœ ํƒˆ๋ฐ”๊ฟˆํ•œ๋‹ค๋Š” ๊ธฐ์‚ฌ๋ฅผ ์ฝ๊ฒŒ ๋˜์—ˆ๊ณ , ์ด์— ํฅ๋ฏธ๋ฅผ ๋А๋ผ๊ฒŒ ๋œ ๊ฒƒ์ด ์ฐฝ์—…์— ๋Œ€ํ•œ ์—ฌ์ •์˜ ์ฒซ ์‹œ์ž‘์ด ์—ˆ์Šต๋‹ˆ๋‹ค. ๋ฏธ์ƒ๋ฌผํ•™์— ๊ด€์‹ฌ์ด ๋งŽ์•˜๋˜ ์ €๋Š” ๊ท ์‚ฌ๋ฅผ ์—ฐ๊ตฌํ•˜๊ณ  ์‹คํ—˜์„ ์ง„ํ–‰ํ•˜๋ฉฐ ์ด์— ๋Œ€ํ•œ ํฐ ๋ฐœ์ „ ๊ฐ€๋Šฅ์„ฑ์„ ๋ณด์•˜๊ณ , ๋•Œ ๋งˆ์นจ ํ•œ๊ตญ์—์„œ๋„ ๊ท ์‚ฌ๊ฐ€ ํ์ž์›์œผ๋กœ ๋ถ„๋ฅ˜๋˜์—ˆ๊ธฐ์— ์ด๋ฅผ ์ด์šฉํ•˜์—ฌ ์นœํ™˜๊ฒฝ์ ์ธ ์†Œ์žฌ๋ฅผ ๋งŒ๋“œ๋Š” ์‚ฌ์—…์— ๋งŽ์€ ๊ด€์‹ฌ์„ ๊ฐ€์กŒ ์Šต๋‹ˆ๋‹ค. ๊ทธ๋Ÿฌ๋˜ ์ค‘ โ€˜์นœํ™˜๊ฒฝ ๋ถ€ํ‘œ ์‹œ์žฅโ€™์„ ์•Œ๊ฒŒ ๋˜์—ˆ์Šต๋‹ˆ๋‹ค.

๋ชจ๋‘ ๋ฐ”๋‹ค ์œ„์— ๋– ๋‹ค๋‹ˆ๋Š” ํ•˜์–€ ๋ฌผ์ฒด๋ฅผ ๋ณด์‹  ์  ์žˆ์œผ์‹ค ๊ฒ๋‹ˆ๋‹ค. ๋ฐ”๋กœ ์Šคํ‹ฐ๋กœํผ ๋ถ€ํ‘œ์ธ๋ฐ์š”, ๊ตญ๋‚ด ๋ถ€ํ‘œ ์ด์ˆ˜๋Š” ์•ฝ 5,000 ๋งŒ ๊ฐœ ์ •๋„ ๋˜๋Š”๋ฐ, ์ด ์ค‘ ๋‹จ 1๊ฐœ๋งŒ ๋ฏธ์ˆ˜๊ฑฐ๋˜๋”๋ผ๋„ 750๋งŒ ์กฐ๊ฐ์— ๋‹ค๋‹ค๋ฅด๋Š” ๋ฏธ์„ธํ”Œ๋ผ์Šคํ‹ฑ์ด ๋ฐœ์ƒํ•˜๊ณค ํ•ฉ๋‹ˆ๋‹ค. ์—ฐ๊ฐ„ ๋ถ€ ํ‘œ ํ‰๊ท  ํˆฌ๊ธฐ๋Ÿ‰์„ ๊ณ ๋ คํ•œ๋‹ค๋ฉด, ์Šคํ‹ฐ๋กœํผ ๋ถ€ํ‘œ๋กœ ์ธํ•œ ํ•ด์–‘ ํ™˜๊ฒฝ ์˜ค์—ผ์€ ์šฐ๋ฆฌ๊ฐ€ ์ƒ๊ฐํ•˜๋Š” ๊ฒƒ ๊ทธ ์ด์ƒ์œผ๋กœ ์‹ฌ๊ฐํ–ˆ์Šต๋‹ˆ๋‹ค

์ด๋Ÿฌํ•œ ๋ฌธ์ œ๋ฅผ ํ•ด๊ฒฐํ•˜๊ธฐ ์œ„ํ•ด ํ•ด์–‘์ˆ˜์‚ฐ๋ถ€์—์„œ๋Š” โ€˜2025 ์Šคํ‹ฐ๋กœํผ ๋ถ€ํ‘œ Zeroํ™”โ€™์ •์ฑ…์„ ๋ฐœํ‘œํ•˜์—ฌ ๋ชจ๋“  ์Šคํ‹ฐ๋กœํผ ๋ถ€ํ‘œ๋ฅผ ํšŒ์ˆ˜ํ•˜๊ณ , ์ „๋ฉด ์นœํ™˜๊ฒฝ ๋ถ€ํ‘œ๋กœ ๋Œ€์ฒดํ•˜๊ฒ ๋‹ค๊ณ  ๋ฐœํ‘œํ–ˆ์Šต๋‹ˆ๋‹ค. ์‹ค์ œ๋กœ ์นœํ™˜๊ฒฝ ๋ถ€ํ‘œ๋ฅผ ๊ณต๊ธ‰ํ•˜๊ณ ๋„ ์žˆ์ง€๋งŒ, ๊ธฐ์กด ์Šคํ‹ฐ๋กœํผ ๋ถ€ ํ‘œ์— ๋น„ํ•ด ์นœํ™˜๊ฒฝ ๋ถ€ํ‘œ์˜ ๋‚ด๊ตฌ์„ฑ๊ณผ ๊ฐ€๊ฒฉ์ด ์ข‹์ง€ ์•Š์•˜๊ธฐ ๋•Œ๋ฌธ์— ์–ด๋ฏผ๋“ค์˜ ๋ฐ˜๋Œ€ ๋ชฉ์†Œ๋ฆฌ๋Š” ๋งค์šฐ ์ปธ์Šต๋‹ˆ๋‹ค.

46 ํฌ๋ฆฌ์—์ดํ‹ฐ๋ธŒ ํฌ์Šคํ…Œํ‚ค์•ˆ

์ด๋Ÿฌํ•œ ๋ฌธ์ œ๋ฅผ ํ•ด๊ฒฐํ•˜๊ธฐ ์œ„ํ•ด ์นœํ™˜๊ฒฝ ๋ถ€ํ‘œ์— ๊ด€

ํ•œ ์—ฐ๊ตฌ๊ฐ€ ์‹œ์ž‘๋˜์—ˆ์œผ๋ฉฐ, ์ €๋Š” ๊ท ์‚ฌ๋ฅผ ๊ธฐ๋ฐ˜์œผ๋กœ

์—ฌ๋Ÿฌ ๋ฌผ์งˆ์„ ํ˜ผํ•ฉ ๋ฐฐ์–‘ํ•˜์—ฌ ์ƒ๋ถ„ํ•ดํ•  ์ˆ˜ ์žˆ๋Š” ๋ถ€

ํ‘œ๋ฅผ ์ œ์ž‘ํ•œ๋‹ค๋Š” ์•„์ดํ…œ์œผ๋กœ ์ฐฝ์—…์— ๋„์ „ํ•˜๊ฒŒ

๋˜์—ˆ์Šต๋‹ˆ๋‹ค. ๋ชฉํ‘œ๋Š” ํ™˜๊ฒฝ์„ฑ๊ณผ ๋‚ด๊ตฌ์„ฑ์„ ๊ฐœ์„ ํ•˜๋ฉด

์„œ๋„, ๊ฒฝ์ œ์„ฑ์„ ๊ฐ–์ถ˜ ์Šค๋งˆํŠธํŒœ ์‹œ์„ค์„ ๊ตฌ์ถ•ํ•˜์—ฌ

์‹œ์žฅ์—์„œ ๊ฒฝ์Ÿ ์šฐ์œ„๋ฅผ ์ฐจ์ง€ํ•˜๋Š” ๊ฒƒ์ด์—ˆ์Šต๋‹ˆ๋‹ค.

๊ทธ ๊ณผ์ •์—์„œ ์—ฐ๊ตฌ๊ฐ€ ์ด ์„ธ ๊ฐ€์ง€ ์ฃผ์ œ๋กœ ์ง„ํ–‰๋˜์—ˆ

์Šต๋‹ˆ๋‹ค. ์ฒซ ๋ฒˆ์งธ๋Š” โ€˜์†Œ์žฌ ๊ฐœ๋ฐœโ€™๋กœ, ๊ท ์‚ฌ์˜ ํŠน์œ  ์„ฌ

์œ  ์กฐ์ง์„ ๊ธฐ๋ฐ˜์œผ๋กœ ๊ธฐ์กด ์Šคํ‹ฐ๋กœํผ๋ณด๋‹ค ๋‚ด๊ตฌ์„ฑ

์ด 5๋ฐฐ ๊ฐ•ํ•˜๋ฉด์„œ๋„ ์ƒ๋ถ„ํ•ดํ•  ์ˆ˜ ์žˆ๋Š” ์†Œ์žฌ๋ฅผ ๊ฐœ

๋ฐœํ•˜๋Š” ๊ฒƒ์— ์ฃผ๋ ฅํ•˜์˜€์Šต๋‹ˆ๋‹ค. ๋‘ ๋ฒˆ์งธ ์ฃผ์ œ๋Š”

โ€˜์–‘์‚ฐ/์ œ์กฐโ€™๋กœ, ๋žฉ ์Šค์ผ€์ผ์—์„œ ํ”Œ๋žœํŠธ ๊ทœ๋ชจ๋กœ ๊ณต

์ • ๊ทœ๋ชจ๋ฅผ ํ‚ค์› ์„ ๋•Œ ๋ฐœ์ƒํ•  ์ˆ˜ ์žˆ๋Š” ๋ฌผ์„ฑ ์ฐจ์ด

๋ฅผ ํ‘œ์ค€ ํŽธ์ฐจ 5% ์ด๋‚ด๋กœ ์ค„์ด๋„๋ก ํ•˜๋Š” ์—ฐ๊ตฌ์™€

์ œํ’ˆ๋ณ„ ์นœํ™˜๊ฒฝ ์ฝ”ํŒ…์— ๋Œ€ํ•œ ์—ฐ์† ๊ณต์ •์„ ๊ฐœ๋ฐœ,

์ด๋ฅผ ํ†ตํ•ด ๋ฏธ์„ธํ”Œ๋ผ์Šคํ‹ฑ ๋ฐœ์ƒ๋Ÿ‰์„ ์ œ๋กœํ™”์‹œํ‚ค

๋Š” ์—ฐ๊ตฌ๊นŒ์ง€ ์ง„ํ–‰ํ•˜๊ฒŒ ๋˜์—ˆ์Šต๋‹ˆ๋‹ค. ๋งˆ์ง€๋ง‰ ์„ธ ๋ฒˆ

์งธ ์ฃผ์ œ๋Š” โ€˜์‹ ๋ขฐ๋„/๋‚ด๊ตฌ์„ฑ ํ‰๊ฐ€โ€™๋กœ, ํŠนํžˆ ํ•ด๋‹น ๋ถ„

์•ผ์˜ ๊ฒฝ์šฐ ๊ธฐ๊ณ„๊ณตํ•™๊ณผ ์ด์•ˆ๋‚˜ ๊ต์ˆ˜๋‹˜๊ณผ ์†Œ์† ์—ฐ

๊ตฌ์›๋ถ„๋“ค์˜ ํฐ ๋„์›€์„ ๋ฐ›์•„ ๊ธฐ๊ณ„์  ๋ฌผ์„ฑ๊ฐ’์„ ์ธก

์ •ํ•˜๊ณ  ์ด๋ฅผ ๊ฐœ์„ ํ•˜๋Š” ์—ฐ๊ตฌ๋ฅผ ์ง„ํ–‰ํ•˜์˜€์Šต๋‹ˆ๋‹ค.

๊ฒฝ์ œ์„ฑ์„ ์œ„ํ•ด ์œ„ ์—ฐ๊ตฌ๋ฅผ ์ธ-ํ•˜์šฐ์Šค ๊ธฐ์ˆ ๋กœ ์ง„ํ–‰

ํ•˜๊ณ ์ž ํ•˜์˜€๊ณ , ๊ฐ๊ฐ์— ๊ด€ํ•œ ์—ฐ๊ตฌ๊ฐ€ ์„ฑ๊ณผ๋ฅผ ๋‚ด

๊ธฐ ์‹œ์ž‘ํ•˜๋ฉด์„œ ๊ธฐ์ˆ ์  ๊ฒ€์ฆ์„ ์–ด๋А ์ •๋„ ์ธ์ •๋ฐ›

์•˜๊ณ , ์ด ๋•๋ถ„์— ์ผ์ฐจ์ ์œผ๋กœ ์ฐฝ์—…์— ๋Œ€ํ•œ ํ™•์‹ ์ด

๋“ค์—ˆ๋˜ ๊ฒƒ ๊ฐ™์Šต๋‹ˆ๋‹ค.

์ฐฝ์—… ์ง€์›์— ๊ฐ•์ ์„ ๊ฐ€์ง€๋Š” ํฌ์Šคํ…๋‹ต๊ฒŒ, ์ œ๊ฐ€ ๋„

์›€์„ ๋ฐ›์€ ๊ฒƒ์€ ๋น„๋‹จ ์—ฐ๊ตฌ ์ง€์›๋ฟ๋งŒ์ด ์•„๋‹ˆ์—ˆ์Šต

https://www.unicornfactory.co.kr/article/2023112311083024195

๋‹ˆ๋‹ค. ์ฐฝ์˜ ICT 4.0 ํ˜์‹ 

์ธ์žฌ์‚ฌ์—…์„ ํ†ตํ•ด ์‚ฌ์—…ํ™”

์ชฝ์œผ๋กœ๋„ ํฌ๊ฒŒ ์ง€์›์„ ๋ฐ›

์„ ์ˆ˜ ์žˆ์—ˆ๊ณ , ์—ฐ๊ตฌ ์„ฑ๊ณผ๋กœ

์—ฐ๋ฝ ์ฃผ์‹  ์นœํ™˜๊ฒฝ ๋ถ€ํ‘œ ์‚ฌ

์—… ๊ด€๋ จ ๋‹ด๋‹น์ž๋“ค๊ณผ์˜ ํ˜‘

์—… ๋•๋ถ„์— ๋”์šฑ ๋น ๋ฅด๊ฒŒ ์„ฑ

์žฅํ•  ์ˆ˜ ์žˆ์—ˆ์Šต๋‹ˆ๋‹ค. Sk

hynix์—์„œ ๊ฐœ์ตœํ•œ ์‚ฌํšŒ์ 

๋ฌธ์ œํ•ด๊ฒฐ ๋Œ€ํšŒ์—์„œ ์ตœ์šฐ

์ˆ˜์ƒ์„ ๋ฐ›์•„ ๊ธฐ์ˆ ์ /์‚ฌ์—…

์  ์ง€์›์— ๋Œ€ํ•œ ํ˜‘์˜๋ฅผ ์ง„ํ–‰ํ•˜๊ธฐ๋„ ํ•˜์˜€๊ณ , ์ฐฝ์—…

์— ๋Œ€ํ•œ ๊ฒฝํ—˜์ด ์žˆ์–ด ์ œ๊ฒŒ ํฐ ๋„์›€์„ ์ฃผ์‹  ์„ ๋ฐฐ๋‹˜

๋„ ๊ณ์— ์žˆ์—ˆ์Šต๋‹ˆ๋‹ค. ์ถฉ๋ถ„ํ•œ ์ง€์›๊ณผ ํ•จ๊ป˜ํ–ˆ๋˜ ์šฐ

์ˆ˜ํ•œ ํŒ€์›๋“ค, ๊ทธ๋ฆฌ๊ณ  ์ด๋ฅผ ํ†ตํ•ด ์–ป์–ด๋‚ธ ์„ฑ๊ณผ๋ฅผ ๋ณด

๋ฉด์„œ๋„ ์ฐฝ์—…ํ•˜์ง€ ์•Š์„ ์ˆ˜๋Š” ์—†์—ˆ๊ณ , ๊ทธ๋Ÿฌํ•œ ํ™•์‹ 

์†์— ์ง€๋‚œ 2023๋…„ 5์›”๋ถ€ํ„ฐ ๋ณธ๊ฒฉ์ ์œผ๋กœ ์ฐฝ์—…ํ•˜๊ฒŒ ๋˜์—ˆ์Šต๋‹ˆ๋‹ค.

์ œ์กฐ์—… ๊ธฐ๋ฐ˜์˜ ์Šคํƒ€ํŠธ์—…์ด์—ˆ๋˜ ๋งŒํผ ๊ฐ€์žฅ ๊ฑธ๋ฆผ

๋Œ์ด ๋˜์—ˆ๋˜ ์ ์ด ์žˆ์—ˆ๋‹ค๋ฉด ๊ทธ๊ฒƒ์€ ๋ฐ”๋กœ ์ € ์ž์‹ 

์ด์—ˆ์„ ๊ฒƒ์ž…๋‹ˆ๋‹ค. ํ”Œ๋ผ์Šคํ‹ฑ ์‚ฌ์ถœ ๊ณต์ •์— ๋Œ€ํ•ด ๊ฒฝ

ํ—˜ ํ•˜๋‚˜ ์—†๊ณ , ํ•™์‚ฌ ํ•™์œ„๋„ ์ทจ๋“ํ•˜์ง€ ๋ชปํ•œ ์ƒํ™ฉ์—

์„œ ์ œ์กฐ์—…์„ ์šด์˜ํ•œ๋‹ค๋Š” ๊ฒƒ์€ ํ•˜๋Š˜์˜ ๋ณ„ ๋”ฐ๊ธฐ์™€

๋„ ๊ฐ™์•˜์Šต๋‹ˆ๋‹ค. ์‹ค์ œ๋กœ ๊ทธ๋Ÿฌํ•œ ๋ถ€๋ถ„์—์„œ ๊ฐ•ํ•œ ๋น„

ํŒ์„ ๋ฐ›๊ธฐ๋„ ํ–ˆ์—ˆ์Šต๋‹ˆ๋‹ค. ์ด๋ฅผ ๊ทน๋ณตํ•˜๊ธฐ ์œ„ํ•ด ์ง

์ ‘ ๋›ฐ์–ด๋‹ค๋‹ˆ๋ฉฐ ์ž๋ฌธ๊ณผ ์กฐ์–ธ์„ ์–ป๊ธฐ ์‹œ์ž‘ํ–ˆ์Šต๋‹ˆ

๋‹ค. ์ผ๋ฉด์‹์ด ์—†๋˜ ๊ต์ˆ˜๋‹˜๊ป˜ ์—ฐ๋ฝ๋“œ๋ ค ์ œ ์‚ฌ์—…์„

์„ค๋ช…ํ•ด ๋“œ๋ฆฌ๋ฉด์„œ ๋„์›€์„ ์š”์ฒญํ•˜๊ธฐ๋„ ํ•˜์˜€๊ณ , ์ฐฝ

์—…๊ณผ ๊ด€๋ จ๋œ ๋„์›€์„ ๋ฐ›์„ ์ˆ˜ ์žˆ๋Š” ๊ฒƒ์ด๋ผ๋ฉด ์–ด๋–ค

๊ฒƒ์ด๋“  ๋‹ค ๋ค๋ฒผ๋“ค๊ณ  ๋ณด์•˜์Šต๋‹ˆ๋‹ค. ๊ทธ๋Ÿฌ๋‹ค ๋ˆˆ์„ ๋– 

๋ณด๋‹ˆ ๊ตญ๋‚ด ์ตœ๊ณ  ๋Œ€ํ•™์˜ ๊ต์ˆ˜๋‹˜๊ณผ ์—ฐ๊ตฌ์›๋ถ„๋“ค์ด

์ œ ๊ธฐ์ˆ  ์—ฐ๊ตฌ๋ฅผ ์ง€์›ํ•ด ์ฃผ๊ณ  ๊ณ„์…จ๊ณ , ์œ ๋ช…ํ•œ VC๋“ค

๊ณผ ์ด์•ผ๊ธฐ๋ฅผ ๋‚˜๋ˆ„๋ฉฐ ์‚ฌ์—…์— ๋Œ€ํ•œ ๋ฐฉํ–ฅ์„ฑ์— ๋Œ€ํ•ด

์ง„์ง€ํ•˜๊ณ ๋„ ๊นŠ์€ ์ด์•ผ๊ธฐ๋ฅผ ๋‚˜๋ˆ„๊ณ  ์žˆ์—ˆ์Šต๋‹ˆ๋‹ค.

๋ฌด์ž‘์ • ์ง€์›ํ•ด ๋ณด์•˜๋˜ ์ง€์›์‚ฌ์—… ๋ฐ ๊ฒฝ์—ฐ๋Œ€ํšŒ์—์„œ

๋„ ์—ฐ์ „์—ฐ์Šนํ•˜์˜€๊ณ , ํ•œ ์ ์˜ ๊ตญ๋ฌด์ด๋ฆฌ์ƒ๊ณผ ์„ธ ์ 

์˜ ์žฅ๊ด€์ƒ์„ ํฌํ•จํ•œ 13ํšŒ ์ˆ˜์ƒ์„ ํ•˜๊ณ  ๋‚ฌ์„ ๋•Œ

๋น„๋กœ์†Œ ์ œ๊ฐ€ ์–ด๋ ค์›€์„ ๊ทน๋ณตํ•˜๊ณ  ํ•œ ๋‹จ๊ณ„ ์„ฑ์žฅํ–ˆ

๋‹ค๋Š” ๊ฒƒ์„ ๊นจ๋‹ฌ์•˜์Šต๋‹ˆ๋‹ค. ๊ทธ๋Ÿฌํ•œ ๊ณผ์ •์„ ๊ฑฐ์ณค์ง€

๋งŒ, ์—ฌ์ „ํžˆ ์ €๋Š” ๋ชจ๋ฅด๋Š” ๊ฒƒ์ด ๋งŽ์•˜๊ณ  ์„ฑ์žฅํ•ด์•ผ ํ–ˆ ์Šต๋‹ˆ๋‹ค. ํŠนํžˆ ํ™˜๊ฒฝ ์ชฝ ์ œ์กฐ ์Šคํƒ€ํŠธ์—…์— ๋„์ „ํ•˜๊ธฐ

์—๋Š” ์ง€๊ธˆ๊นŒ์ง€๋„ ํ™˜๊ฒฝ์„ฑ๊ณผ ๊ฒฝ์ œ์„ฑ์„ ํ‰๊ฐ€ํ•˜๋Š” ์ธก

๋ฉด์—์„œ ์—ฌ๋Ÿฌ ์ง€์‹์„ ๋ฐฐ์›Œ์•ผ๋งŒ ํ–ˆ๊ณ , ๊ทธ๋ž˜์„œ ๋Œ€ํ•™

์›์— ์ง„ํ•™ํ•˜์—ฌ ๊ณต๋ถ€๋ฅผ ๊ณ„์†ํ•˜๊ณ ์ž ํ•ฉ๋‹ˆ๋‹ค. ์ด๋ ‡

๊ฒŒ ์ €๋Š” ์˜ค๋Š˜๋„ ์ฐฝ์—…๊ณผ ์—ฐ๊ตฌ๋ฅผ ๋ณ‘ํ–‰ํ•˜๋Š”, ๊ธฐ์—…๊ฐ€ ๋ฅผ ๊ฟˆ๊พธ๋Š” ๊ณตํ•™๋„๋กœ์„œ ์‚ด์•„๊ฐ€๊ณ  ์žˆ์Šต๋‹ˆ๋‹ค.

ํฌ์Šคํ…Œํ‚ค์•ˆ ๊ตฌ๋…์ž ์—ฌ๋Ÿฌ๋ถ„, ์ œ๊ฐ€ ์กธ์—… ๋‹น์‹œ ์—ฐ์„ค

๋Œ€ํ‘œ๋กœ์„œ ๊ฐ•์กฐํ–ˆ๋˜ ๋ถ€๋ถ„ ์ค‘ ํ•˜๋‚˜๊ฐ€ ๋ฐ”๋กœ โ€˜๊ณตํ•™๋„

๋กœ ์‚ฌ๋Š” ์‚ถโ€™๊ณผ โ€˜๋ชฉํ‘œ๊ฐ€ ์žˆ๋Š” ์‚ถโ€™์ž…๋‹ˆ๋‹ค. ์ฝ”๋ฏธ๋””์–ธ

์ด ๋Œ€์ค‘๋“ค์—๊ฒŒ ์›ƒ์Œ์„ ์„ ์‚ฌํ•˜๊ธฐ ์œ„ํ•ด ๋…ธ๋ ฅํ•˜๋Š”

๊ฒƒ์ฒ˜๋Ÿผ ๊ณตํ•™๋„๋Š” ์ธ๋ฅ˜์˜ ์‚ถ์˜ ์งˆ์„ ํ–ฅ์ƒ์‹œํ‚ค๊ธฐ

์œ„ํ•ด ๋…ธ๋ ฅํ•˜๊ณ , ๊ทธ ๋ฐฉ๋ฒ•์€ ๋ฌด์ˆ˜ํžˆ ๋งŽ์Šต๋‹ˆ๋‹ค. ์–ด๋–ค

์ฝ”๋ฏธ๋””์–ธ์€ ๋ฐฉ์†ก์‚ฌ TV ์‡ผ์— ์ถœ์—ฐํ•˜์—ฌ ์›ƒ์Œ์„ ์„ 

์‚ฌํ•˜๊ณ , ๋˜ ์–ด๋–ค ์ฝ”๋ฏธ๋””์–ธ๋“ค์€ ํ”Œ๋žซํผ์„ ํ†ตํ•ด ์›ƒ

์Œ์„ ์„ ์‚ฌํ•˜๊ธฐ๋„ ํ•˜๋Š” ๊ฒƒ์ฒ˜๋Ÿผ ๋ง์ด์ฃ . ๊ณตํ•™๋„ ์—ญ

์‹œ ๋งˆ์ฐฌ๊ฐ€์ง€์ž…๋‹ˆ๋‹ค. ํ”ํžˆ๋“ค ๊ณตํ•™๋„๋ผ๊ณ  ํ•˜๋ฉด ์—ฐ

๊ตฌ์†Œ์—์„œ ๋ฐค๋‚ฎ์œผ๋กœ ์—ฐ๊ตฌํ•˜๋Š” ๋ชจ์Šต์„ ๋– ์˜ฌ๋ฆฌ๊ธฐ ์‰ฝ

์ง€๋งŒ, ์–ด๋–ค ๊ณตํ•™๋„๋Š” ์—ฐ๊ตฌ ์„ฑ๊ณผ๋ฅผ ๊ธฐ๋ฐ˜์œผ๋กœ ๋น„์ฆˆ

๋‹ˆ์Šค ๋ชจ๋ธ์„ ๋งŒ๋“ค๊ธฐ๋„ ํ•ฉ๋‹ˆ๋‹ค. ๋‹จ์ˆœํžˆ ์ง์—…์— ๋Œ€

ํ•œ ๊ณ ๋ฏผ๋ณด๋‹ค๋Š” ๋ณธ์ธ์˜ ์ง„์‹ค๋œ ๋ชฉํ‘œ๊ฐ€ ๋ฌด์—‡์ธ์ง€, ๋งŒ์•ฝ ๊ณตํ•™๋„๊ฐ€ ๋˜๊ณ  ์‹ถ๋‹ค๋ฉด ์–ด๋–ค ๊ณตํ•™๋„๋กœ ์‚ด์•„ ๊ฐ€๊ณ  ์‹ถ์€์ง€ ํ•œ๋ฒˆ์ฏค ๊ณ ๋ฏผํ•ด ๋ณด์‹œ๋ฉด ์ง„๋กœ ์„ค๊ณ„์—

์žˆ์–ด ํฐ ๋„์›€์ด ๋  ๊ฒƒ ๊ฐ™์Šต๋‹ˆ๋‹ค.

์ด ๊ธ€์„ ๋นŒ๋ ค ์ œ ๊ฒฝํ—˜์„ ๊ณต์œ ํ•  ์ˆ˜ ์žˆ๊ฒŒ ๊ธฐํšŒ๋ฅผ

์ฃผ์‹  ํฌ์Šคํ… ์•Œ๋ฆฌ๋ฏธ ์—ฌ๋Ÿฌ๋ถ„๊ป˜ ๊ฐ์‚ฌ์˜ ์ธ์‚ฌ๋ฅผ ๋“œ ๋ฆฝ๋‹ˆ๋‹ค. ๋˜ํ•œ ๊ธฐ์ˆ ์  ์—ฐ๊ตฌ ์ง€์›์„ ์•„๋‚Œ์—†์ด ํ•ด์ฃผ

์‹  ๊ธฐ๊ณ„๊ณตํ•™๊ณผ ์ด์•ˆ๋‚˜ ๊ต์ˆ˜๋‹˜, ์ œ ๋ชฉํ‘œ์— ๋Œ€ํ•ด ๊ณต

๊ฐํ•ด ์ฃผ์‹œ๊ณ  ๋”ฐ๋œปํ•˜๊ฒŒ ๋ฐ˜๊ฒจ์ฃผ์‹  ํ™”ํ•™๊ณตํ•™๊ณผ ํ•œ

์ง€ํ›ˆ ๊ต์ˆ˜๋‹˜๊ป˜๋„ ๊ฐ์‚ฌ์˜ ์ธ์‚ฌ๋ฅผ ๋“œ๋ฆฌ๊ณ  ์‹ถ์Šต๋‹ˆ ๋‹ค. ๊ฐ์‚ฌํ•ฉ๋‹ˆ๋‹ค.

47
48 ํฌ์Šคํ… ์นดํˆฐ
49 ๊ธ€ / ๊ทธ๋ฆผ ์ƒ๋ช…๊ณผํ•™๊ณผ 22ํ•™๋ฒˆ ์ด์˜ˆ๋ฆฐ
๋ฒ”์ธ์€ ์–ธ์ œ๋‚˜ ํ”์ ์„ ๋‚จ๊ธด๋‹ค!
์™„์ „ ๋ฒ”์ฃ„๋ฅผ ๋ง‰๋Š” ์ˆ˜์‚ฌ์˜ ๋น„๋ฐ€

๊ธ€ ํ™”ํ•™๊ณผ 22ํ•™๋ฒˆ 28๊ธฐ ์•Œ๋ฆฌ๋ฏธ ๊น€์œ ๋นˆ

โ€œ์šฐ๋ฆฌ๋Š” ์˜ค๋กœ์ง€ ๊ณผํ•™์  ์ง„์‹ค๋งŒ์„ ์ถ”๊ตฌํ•œ๋‹ค.โ€

๊ตญ๋ฆฝ๊ณผํ•™์ˆ˜์‚ฌ์—ฐ๊ตฌ์› ์œค๋ฆฌ ํ—Œ์žฅ์˜ ์ฒซ ๋ฒˆ์งธ ํ•ญ๋ชฉ์ž…๋‹ˆ๋‹ค. ์ด ๋ง์„ ์ฆ๋ช…์ด๋ผ๋„ ํ•˜๋“ฏ, ๋‹ค์–‘ํ•œ ๋ฒ”

์ฃ„ ์‚ฌ๊ฑด๋“ค์ด ๊ณผํ•™ ์ˆ˜์‚ฌ๋ฅผ ํ†ตํ•ด ํ•ด๊ฒฐ๋˜๊ณ  ์žˆ์ฃ . ํ•˜์ง€๋งŒ ๋งค์ฒด์—์„œ ์†Œ๊ฐœ๋˜๋Š” ์ˆ˜์‚ฌ ์ด์•ผ๊ธฐ๋ฅผ ๋“ค

์–ด๋ณด๋ฉฐ โ€˜์ € ์ •๋„๋Š” ๋“คํ‚ค์ง€ ์•Š์„ ์ˆ˜ ์žˆ์„ ๊ฑฐ ๊ฐ™์€๋ฐ?โ€™๋ผ๊ณ  ์ƒ๊ฐํ•ด ๋ณธ ์  ์žˆ์ง€ ์•Š๋‚˜์š”? ์‹ค์ œ๋กœ

์ˆ˜์‚ฌ๋ง์„ ํ”ผํ•˜๊ณ ์ž ํ•˜๋Š” ๋ฒ”์ฃ„์ž๋“ค์˜ ๋ฒ”์ฃ„ ์ˆ˜๋ฒ•์ด ์ ์  ๋ฐœ์ „ํ•˜๊ณ  ์žˆ๋‹ค๊ณ  ํ•ฉ๋‹ˆ๋‹ค. ๊ทธ๋ ‡์ง€๋งŒ ๊ผญ

๊ผญ ์ˆจ๊ฒจ์ง„ ๋ฒ”์ธ์˜ ํ”์ ๋„ ์žก์•„๋‚ด๋Š” ๊ณผํ•™ ์ˆ˜์‚ฌ ๊ธฐ๋ฒ•๋“ค์ด ์žˆ๋‹ต๋‹ˆ๋‹ค!

์ฐธ๊ณ 

1. ์ •์ƒ์šฐ, โ€œhemoglobin, heme, globin - ํ˜ˆ์ƒ‰์†Œ, ํ—ด, ๊ธ€๋กœ๋นˆ.โ€ ใ€Œ์ „๋‚จ๋Œ€ํ•™๊ต ์˜๊ณผ๋Œ€ํ•™ใ€. 2017๋…„ 12์›” 21์ผ. ttps://medicine.jnu.ac.kr/xboard/board.php?mode=view&number=16481&tbnum=27&sCat=0&page=1&keyset=&searchword=

2. โ€œLuminolโ€ LibreTexts CHEMISTRY. n.d. https://chem.libretexts.org/Ancillary_Materials/Demos_Techniques_and_Experiments/Lecture_Demonstrations/Luminol

3. Melad G, Paulis. โ€œWhat can glove impression evidence reveal about assailants? A pilot study.โ€ Forensic Sci Res. Vol.7. (2022): 29โ€“39. https://www.ncbi.nlm.nih.gov/pmc/articles/PMC8942492/

4. โ€œโ€˜๋•€โ€™ ๋•Œ๋ฌธ์— ๋œ๋ฏธ ์žกํžŒ ๋นˆ์ง‘ํ„ธ์ด.โ€ ใ€ŒYTNใ€. 2016๋…„ 02์›” 29์ผ. https://www.ytn.co.kr/_ln/0103_201602291925483391

5. ํ•œ๋ˆ๊ทœ, โ€œ์Œ์ฃผ ์ธก์ •๊ธฐ์˜ ์›๋ฆฌ์™€ ์Œ์ฃผ์ฒ˜๋ฒŒ ๊ธฐ์ค€.โ€ ใ€ŒLG์ผ€๋ฏธํ† ํ”ผ์•„ใ€. 2015๋…„ 2์›” 27์ผ. https://blog.lgchem.com/2015/02/breathalyzer/

6. ๊ตญ๋ฆฝ๊ณผํ•™์ˆ˜์‚ฌ์—ฐ๊ตฌ์›. โ€œ์Œ์ฃผ ๋Œ€์‚ฌ์ฒด๋ฅผ ์ด์šฉํ•œ ์ง€๋Šฅํ˜• ์Œ์ฃผ๋ฒ”์ฃ„ ํ•ด๊ฒฐ.โ€ ใ€Œ๊ตญ๋ฆฝ๊ณผํ•™์ˆ˜์‚ฌ์—ฐ๊ตฌ์› NFS ํ™๋ณด๊ด€ใ€. 2018๋…„ 12์›” 10์ผ https://www.nfs.go.kr/site/nfs/ex/bbs/View.do?cbIdx=69&bcIdx=1000689&parentSeq=1000689

7. ๊ตญ๋ฆฝ๊ณผํ•™์ˆ˜์‚ฌ์—ฐ๊ตฌ์›, โ€œ์Œ์ฃผ ๋Œ€์‚ฌ์ฒด๋ฅผ ์ด์šฉํ•œ ๋ฒ•ํ™”ํ•™๋ถ„์•ผ ๊ฐ์ •์„œ๋น„์Šค.โ€ ใ€Œ๊ตญ๋ฆฝ๊ณผํ•™์ˆ˜์‚ฌ์—ฐ๊ตฌ์› NFS ํ™๋ณด๊ด€ใ€. 2018๋…„ 12์›” 20์ผ

https://www.nfs.go.kr/site/nfs/ex/bbs/View.do?cbIdx=69&bcIdx=1001033&parentSeq=1001033

๊ทธ๋ฆผ ์ถœ์ฒ˜

๊ทธ๋ฆผ 1. ์ง€๋ช…ํ›ˆ. โ€œ์žฅ๊ฐ‘ ๋ผ๊ณ  ์™„์ „๋ฒ”์ฃ„?โ€ฆ ๊ฟˆ๊นจ!โ€ ใ€Œ๋™์•„์ผ๋ณดใ€. 2009๋…„ 9์›” 25์ผ.

https://www.donga.com/news/It/article/all/20090925/8813824/1

๊ทธ๋ฆผ 3. โ€œํ—ค๋ชจ๊ธ€๋กœ๋นˆโ€ Wikipedia. n.d.

https://ko.wikipedia.org/wiki/%ED%97%A4%EB%AA%A8%EA%B8%80%EB%A1%9C%EB%B9%88

์ž๋ฃŒ
TOP SECRET 50 ์‚ฌ์ด์–ธ์Šค ๋ธ”๋ž™๋ฐ•์Šค

์ง€๋ฌธ์€ ์žฅ๊ฐ‘์„ ๋ผ๋ฉด ๊ฐ€๋ ค์ง€๋Š” ๊ฑฐ ์•„๋‹ˆ์•ผ?

์ง€๊ตฌ์ƒ์˜ ๋ชจ๋“  ์‚ฌ๋žŒ์€ ์„œ๋กœ ๋‹ค๋ฅธ ์ง€๋ฌธ์„ ๊ฐ€์ง€๊ณ  ์žˆ์œผ๋ฉฐ, ์ด ๋•Œ๋ฌธ์— ์ง€๋ฌธ์€ ๋ฒ”์ฃ„ ์ˆ˜์‚ฌ์— ๋งŽ์ด ์‚ฌ์šฉ๋˜๋Š”๋ฐ์š”. ์ง€

๋ฌธ์„ ์ˆจ๊ธฐ๊ธฐ ์œ„ํ•ด ๋ฒ”์ธ๋“ค์€ ์žฅ๊ฐ‘์„ ๋ผ๊ณค ํ•ฉ๋‹ˆ๋‹ค. ๊ทธ๋ ‡๋‹ค๋ฉด ์†์ž๊ตญ์„ ์ฐพ๋Š” ๋ฐฉ๋ฒ•์€ ํฌ๊ธฐํ•ด์•ผ ํ•˜๋Š” ๊ฑธ๊นŒ์š”?

์•„๋‹™๋‹ˆ๋‹ค. ์ˆ˜์‚ฌ๋Œ€๋Š” ์žฅ๊ฐ‘ ์ž๊ตญ, ์ฆ‰ ์žฅ๊ฐ‘ํ”์œผ๋กœ ๋ฒ”์ธ์„ ์ฐพ๊ธฐ๋„ ํ•œ๋‹ต๋‹ˆ๋‹ค! ์žฅ๊ฐ‘์—๋Š” ๋จผ์ง€๋‚˜ ํ™, ๋˜๋Š” ๋ฒ”์ฃ„ ํ˜„์žฅ์—

๋‚จ์•„ ์žˆ๋˜ ํ˜ˆํ”๋“ค์ด ์ž˜ ๋ฌป์Šต๋‹ˆ๋‹ค. ๋”ฐ๋ผ์„œ ์žฅ๊ฐ‘์„ ๋‚€ ์†์œผ๋กœ ๋‹ค๋ฅธ ํ‘œ๋ฉด์„ ๋งŒ์ง€๋ฉด ๊ทธ ์žฅ๊ฐ‘์˜ ๋ฌด๋Šฌ๋Œ€๋กœ ์ž๊ตญ์ด ๋‚จ

๋Š” ๊ฒƒ์ด์ฃ . ์ˆ˜์‚ฌ๋Œ€๋Š” ์ด ์žฅ๊ฐ‘์˜ ๋ฌด๋Šฌ๋ฅผ ์ ค๋ผํ‹ดํŒ์ด๋‚˜ ์ง€๋ฌธ ๋ถ„๋ง์„ ์ด์šฉํ•ด ์–ป์–ด๋‚ผ ์ˆ˜ ์žˆ์Šต๋‹ˆ๋‹ค. ์žฅ๊ฐ‘์€ ๊ทธ ์ข…๋ฅ˜

์— ๋”ฐ๋ผ ๋งŒ๋“ค์–ด์ง€๋Š” ๋ฌด๋Šฌ๊ฐ€ ๋ชจ๋‘ ๋‹ค๋ฅธ๋ฐ์š”. ๊ทธ๋Ÿฌ๋ฉด ์žฅ๊ฐ‘ํ”์œผ๋กœ ๋ฌด์—‡์„ ์•Œ ์ˆ˜ ์žˆ์„๊นŒ์š”? ๋จผ์ € ์žฅ๊ฐ‘์˜ ์žฌ์งˆ์ž…๋‹ˆ

๋‹ค. ์žฅ๊ฐ‘์€ ์ฃผ๋กœ ๊ฐ€์ฃฝ, ์ฒœ, ๊ณ ๋ฌด ๋“ฑ์˜ ์žฌ์งˆ์— ๋”ฐ๋ผ ๋‚จ๋Š” ์ž๊ตญ์ด ๋ชจ๋‘ ๋‹ค๋ฆ…๋‹ˆ๋‹ค. ์ด๋ฅผ ํ†ตํ•ด ๋ฒ”์ธ์ด ์–ด๋–ค ์ข…๋ฅ˜์˜ ์žฅ ๊ฐ‘์„ ์‚ฌ์šฉํ–ˆ๋Š”์ง€ ์•Œ ์ˆ˜ ์žˆ์ฃ .

ํ•˜์ง€๋งŒ ์žฌ์งˆ์„ ์•„๋Š” ๊ฒƒ๋งŒ์œผ๋กœ ์ˆ˜์‚ฌ์— ๊ฒฐ์ •์ ์ธ ์˜ํ–ฅ์„ ๋ฏธ์น˜๊ธฐ์—” ๋ถ€์กฑํ•˜๊ฒ ์ฃ ? ์žฅ๊ฐ‘์ด ๊ฐ™์€ ์žฌ์งˆ๋กœ ๋งŒ๋“ค์–ด์กŒ๋”

๋ผ๋„ ์žฅ๊ฐ‘์„ ์ œ์กฐํ•œ ๋ฐฉ๋ฒ•์€ ๋‹ค๋ฅผ ์ˆ˜ ์žˆ์œผ๋ฉฐ ์ด์— ๋”ฐ๋ผ ์žฅ๊ฐ‘ํ”์˜ ํ˜•ํƒœ๋Š” ๋‹ฌ๋ผ์ง‘๋‹ˆ๋‹ค. ๋˜ํ•œ, ์žฅ๊ฐ‘์„ ์‚ฌ์šฉํ•˜๋‹ค๊ฐ€

์ƒ๊ธด ๊ตฌ๋ฉ, ์ฐข์–ด์ง„ ํ”์  ๋“ฑ์˜ ํŠน์ง•๋„ ์žฅ๊ฐ‘์˜ ๊ณ ์œ  ํŠน์„ฑ์ฒ˜๋Ÿผ ๋‚จ์•„ ์žˆ์„ ์ˆ˜ ์žˆ์–ด์š”. ์ด๊ฒƒ๋“ค์€ ๋ชจ๋‘ ์žฅ๊ฐ‘ํ”์— ๋‚จ์•„ ์„œ ์žฅ๊ฐ‘์„ ๊ตฌ๋ถ„ํ•  ์ˆ˜ ์žˆ๋Š” ์ฆ๊ฑฐ๊ฐ€ ๋œ๋‹ต๋‹ˆ๋‹ค. ๋ง๋ถ™์—ฌ, ์žฅ๊ฐ‘์œผ๋กœ ์‚ฌ๋žŒ์„ ํŠน์ •ํ•  ์ˆ˜ ์žˆ๋Š” ์ฆ๊ฑฐ๋ฅผ ๊ฐ์ถœ ์ˆ˜ ์žˆ๋‹ค๊ณ  ์ƒ ๊ฐํ•  ์ˆ˜ ์žˆ์ง€๋งŒ ์‹ค์ œ๋กœ๋Š” ๊ทธ๋ ‡์ง€ ์•Š์Šต๋‹ˆ๋‹ค. ๋งŒ์•ฝ ์žฅ๊ฐ‘์„ ๋‚€ ์†์—์„œ ๋•€์ด ๋‚˜์„œ ๊ทธ ๋•€์ด ์žฅ๊ฐ‘ํ”๊ณผ ํ•จ๊ป˜ ํ‘œ๋ฉด์— ๋ฌป ์—ˆ๋‹ค๋ฉด, ์ด๋Š” ์ค‘์š”ํ•œ ์ฆ๊ฑฐ๊ฐ€ ๋  ์ˆ˜ ์žˆ์Šต๋‹ˆ๋‹ค. ๋•€์— ์„ž์ธ ์†Œ๋Ÿ‰์˜ ์ƒํ”ผ์„ธํฌ๋กœ๋„ DNA๋ฅผ ์ฆํญ์‹œํ‚ค๋ฉด ๊ฐœ๊ฐœ์ธ์„ ๊ตฌ๋ถ„ ํ•  ์ˆ˜ ์žˆ๋Š” ๋‹จ์„œ๊ฐ€ ๋˜๊ฑฐ๋“ ์š”!

PART # 1
์žฅ๊ฐ‘ํ”
๊ทธ๋ฆผ 1. ์žฅ๊ฐ‘์˜ ์žฌ์งˆ๊ณผ ๊ทธ์— ๋”ฐ๋ฅธ ์žฅ๊ฐ‘ํ” ๋ชฉ์žฅ๊ฐ‘๊ณผ ๋ชฉ์žฅ๊ฐ‘ํ” ๋„ํŠธ์žฅ๊ฐ‘๊ณผ ๋„ํŠธ์žฅ๊ฐ‘ํ” ๊ณ ๋ฌด์žฅ๊ฐ‘๊ณผ ๊ณ ๋ฌด์žฅ๊ฐ‘ํ” 51

์Œ์ฃผ

๋Œ€์‚ฌ์ฒด ์‹œํ—˜๋ฒ•

์Œ์ฃผ ์—ฌ๋ถ€๋Š” ์‹œ๊ฐ„์ด ์ง€๋‚˜๋ฉด ์ˆจ๊ธธ ์ˆ˜ ์žˆ๋Š”๊ฑฐ ์•„๋‹ˆ์•ผ?

์Œ์ฃผ ์šด์ „ ์ค‘์— ์‚ฌ๊ณ ๊ฐ€ ๋‚ฌ๋‹ค๋ฉด ์–ด๋–ป๊ฒŒ ํ•ด์•ผ ํ• ๊นŒ์š”? ์†”์งํ•˜๊ฒŒ ์ž˜๋ชป์„ ํ„ธ์–ด๋†“์œผ๋ฉด ์ข‹๊ฒ ์ง€๋งŒ, ์ฒ˜๋ฒŒ๋ฐ›๊ณ  ์‹ถ์ง€ ์•Š

์•„ ์ž ์ ํ–ˆ๋‹ค๊ฐ€ ๋‚˜์ค‘์—์•ผ ๋‚˜ํƒ€๋‚˜๋Š” ๊ฒฝ์šฐ๊ฐ€ ์žˆ๋‹ค๊ณ  ํ•ฉ๋‹ˆ๋‹ค. ์ด ๊ฒฝ์šฐ์— ์‚ฌ๊ณ  ๋‹น์‹œ ์Œ์ฃผ๋ฅผ ํ–ˆ๋Š”์ง€์— ๋Œ€ํ•œ ์—ฌ๋ถ€๊ฐ€

ํ™•์‹ค์น˜ ์•Š์•„ ๋ฌด์ฃ„๋กœ ํŒ๊ฒฐ๋ฐ›์€ ์‚ฌ๋ก€๋„ ์žˆ๋Š”๋ฐ์š”. ๊ณผํ•™ ์ˆ˜์‚ฌ๋Š” ์ด๋Ÿฐ ๋ฌธ์ œ๋ฅผ ๋ฐฉ์ง€ํ•˜๊ธฐ ์œ„ํ•ด ๊ธฐ์กด์˜ ์Œ์ฃผ ๊ฒ€์‚ฌ์™€๋Š” ๋‹ค๋ฅธ ์ƒˆ๋กœ์šด ์‹œํ—˜๋ฒ•์„ ์ œ์•ˆํ–ˆ์Šต๋‹ˆ๋‹ค. ๊ธฐ์กด์˜ ์Œ์ฃผ ๊ฒ€์‚ฌ๋Š” ํ˜ˆ์ค‘์•Œ์ฝ”์˜ฌ๋†๋„ ์ธก์ •๋ฒ•์„ ์‚ฌ์šฉํ•ฉ๋‹ˆ๋‹ค. ์Œ์ฃผ์ธก์ •๊ธฐ๋Š”

๋‚ ์ˆจ ์†์— ์žˆ๋Š” ์•Œ์ฝ”์˜ฌ ๋†๋„๋ฅผ ํ†ตํ•ด ํ˜ˆ์ค‘์•Œ์ฝ”์˜ฌ๋†๋„ ์ˆ˜์น˜๋ฅผ ์ถ”์ •ํ•˜๋Š”๋ฐ์š”. ์Œ์ฃผํ•œ ์‚ฌ๋žŒ์˜ ๋‚ ์ˆจ์—๋Š” ์•Œ์ฝ”์˜ฌ ๋ถ„

์ž๊ฐ€ ํฌํ•จ๋˜์–ด ์žˆ์Šต๋‹ˆ๋‹ค. ์•Œ์ฝ”์˜ฌ์ด ์Œ์ฃผ์ธก์ •๊ธฐ ์† ๋ฐฑ๊ธˆ ์ „๊ทน์˜ ์–‘๊ทน์— ๋‹ฌ๋ผ๋ถ™์œผ๋ฉด ์‚ฐํ™”๋˜๋ฉฐ ์ „๊ทน์— ์ „๊ธฐ๋ฅผ ํ

๋ฅด๊ฒŒ ํ•ฉ๋‹ˆ๋‹ค. ์ฆ‰, ๋‚ ์ˆจ ์† ์•Œ์ฝ”์˜ฌ์ด ๋งŽ์„์ˆ˜๋ก ์ „๋ฅ˜์˜ ์„ธ๊ธฐ๊ฐ€ ์ปค์ง€๊ณ , ์ด๋ฅผ ํ†ตํ•ด ํ˜ˆ์ค‘์•Œ์ฝ”์˜ฌ๋†๋„๋ฅผ ์ธก์ •ํ•  ์ˆ˜ ์žˆ ๊ฒŒ ๋˜๋Š” ๊ฒƒ์ด์ฃ ! ๊ทธ๋Ÿฌ๋‚˜ ํ˜ˆ์•ก ์•ˆ ์—ํƒ„์˜ฌ ๋†๋„๋Š” ๋น ๋ฅด๊ฒŒ ๊ฐ์†Œํ•˜๋ฏ€๋กœ ํ˜ˆ์ค‘์•Œ์ฝ”์˜ฌ๋†๋„ ์ธก์ •๋ฒ•์€ ์Œ์ฃผ ํ›„ 8์‹œ๊ฐ„๋งŒ

์ง€๋‚˜๋„ ์Œ์ฃผ ์—ฌ๋ถ€๋ฅผ ์•Œ๊ธฐ ํž˜๋“ญ๋‹ˆ๋‹ค. ๋˜ํ•œ, ์ด ๊ฒ€์‚ฌ๋ฒ•์€ ์Œ์ฃผ ์‹œ๊ธฐ๋ฅผ ์ •ํ™•ํžˆ ์•Œ๊ธฐ ํž˜๋“ค๋‹ค๋Š” ๋‹จ์ ๋„ ์žˆ์ฃ . ์ด๋ฅผ ๋ณด

์™„ํ•˜๊ธฐ ์œ„ํ•ด ์ œ์•ˆ๋œ ๊ฒ€์‚ฌ๋Š” ๋ฐ”๋กœ ์Œ์ฃผ ๋Œ€์‚ฌ์ฒด ์‹œํ—˜๋ฒ•์ž…๋‹ˆ๋‹ค. ํ˜ˆ์•ก๊ณผ ์†Œ๋ณ€์„ ํ†ตํ•ด ์Œ์ฃผ ์—ฌ๋ถ€๋ฅผ ํ™•์ธํ•˜๋Š” ์ด ์‹œ

ํ—˜๋ฒ•์€ ์ฒด๋‚ด์—์„œ ์•Œ์ฝ”์˜ฌ์„ ๋ถ„ํ•ดํ•˜๋ฉฐ ๋ฐœ์ƒํ•˜๋Š” ๋ถ€์‚ฐ๋ฌผ์„ ํ™•์ธํ•˜๋Š” ๋ฐฉ๋ฒ•์ž…๋‹ˆ๋‹ค. ์•„๋ž˜ ๊ทธ๋ฆผ์—์„œ ๋ณผ ์ˆ˜ ์žˆ๋“ฏ ์•Œ์ฝ”

์˜ฌ์ด ์ฒด๋‚ด์— ๋“ค์–ด์˜ค๋ฉด ์ด๋ฅผ ๋ถ„ํ•ดํ•˜๋Š” ๊ณผ์ •์—์„œ EtS(์—ํ‹ธ ํ™ฉ์‚ฐ)์™€ EtG(์—ํ‹ธ๊ธ€๋ฃจ์ฟ ๋กœ๋‚˜์ด๋“œ)๋ผ๋Š” ๋ฌผ์งˆ์ด ๋ฐœ์ƒ ํ•ฉ๋‹ˆ๋‹ค.

์ด ๋ฌผ์งˆ๋“ค์€ ์—ํƒ„์˜ฌ๋ณด๋‹ค ๋Šฆ๊ฒŒ ์ƒ์„ฑ๋˜๊ณ  ์Œ์ฃผ ํ›„ 3์‹œ๊ฐ„์ด ์ง€๋‚˜์„œ์•ผ ์ตœ๊ณ  ๋†๋„์— ๋‹ค๋‹ค๋ฆ…๋‹ˆ๋‹ค. ๋”ฐ๋ผ์„œ ์Œ์ฃผ ๋Œ€์‚ฌ

์ฒด ์‹œํ—˜๋ฒ•๊ณผ ํ˜ˆ์ค‘์•Œ์ฝ”์˜ฌ๋†๋„ ์ธก์ •๋ฒ•์„ ๋™์‹œ์— ์‚ฌ์šฉํ•˜๋ฉด ์Œ์ฃผ ์—ฌ๋ถ€์™€ ์Œ์ฃผ ์‹œ๊ธฐ๋ฅผ ๋”์šฑ ์ •ํ™•ํžˆ ์•Œ ์ˆ˜ ์žˆ์Šต๋‹ˆ๋‹ค.

ํŠนํžˆ ์Œ์ฃผ ๋Œ€์‚ฌ์ฒด ์‹œํ—˜๋ฒ•์„ ์ด์šฉํ•˜๋ฉด ์Œ์ฃผ ํ›„ ์ตœ๋Œ€ 3์ผ๊นŒ์ง€๋„ ์Œ์ฃผ ์—ฌ๋ถ€๋ฅผ ์•Œ ์ˆ˜ ์žˆ๋‹ค๊ณ  ํ•˜๋‹ˆ, ์ด์ œ ๋”์šฑ ์ •ํ™•

ํ•œ ์Œ์ฃผ ๊ฒ€์‚ฌ๋ฅผ ํ•  ์ˆ˜ ์žˆ๊ฒ ์ฃ ?

PART # 2
๊ทธ๋ฆผ 2. ์ฒด๋‚ด ์•Œ์ฝ”์˜ฌ ๋ถ„ํ•ด ๊ณผ์ • 52 ์‚ฌ์ด์–ธ์Šค ๋ธ”๋ž™๋ฐ•์Šค

๋ฃจ๋ฏธ๋†€ ๋ฐ˜์‘ ํ˜ˆํ”์€ ๋ง๋”ํžˆ ์ง€์›Œ๋ฒ„๋ฆฌ๋ฉด ๋˜๋Š” ๊ฑฐ ์•„๋‹ˆ์•ผ?

๋ฒ”์ฃ„ ํ˜„์žฅ์ด๋ผ๊ณ  ํ•˜๋ฉด ๊ฐ€์žฅ ๋จผ์ € ์ƒ๊ฐ๋‚˜๋Š” ์ฆ๊ฑฐ๋ฌผ์€ ํ˜ˆํ”์ž…๋‹ˆ๋‹ค. ๊ณผํ•™ ์ˆ˜์‚ฌ๋Œ€๋Š” ํ˜„์žฅ์— ๋‚จ์•„ ์žˆ๋Š” ํ˜ˆํ”์œผ๋กœ

DNA ์ •๋ณด๋ฅผ ์ฐพ์•„๋‚ด๊ฑฐ๋‚˜ ํ•์ž๊ตญ์˜ ํ˜•ํƒœ๋ฅผ ๋ถ„์„ํ•˜์—ฌ ์‚ฌ๊ฑด ์ค‘ ์ผ์–ด๋‚ฌ๋˜ ์ผ์„ ์œ ์ถ”ํ•˜๊ณค ํ•ฉ๋‹ˆ๋‹ค. ํ˜น์‹œ ๋ฐœ๊ฐ๋˜๊ธฐ ์ „์—

ํ•์ž๊ตญ์„ ๋ชจ๋‘ ์ง€์šฐ๊ฑฐ๋‚˜, ํ”ผ๊ฐ€ ๋ฌป์€ ์˜ท์„ ๋นจ๋ฉด ๋˜๋Š” ๊ฒŒ ์•„๋‹์ง€ ํ•˜๋Š” ์˜๋ฌธ์ด ์žˆ์ง€ ์•Š์•˜๋‚˜์š”? ํ•˜์ง€๋งŒ ๋ฃจ๋ฏธ๋†€ ๋ฐ˜์‘

์„ ์ด์šฉํ•˜๋ฉด ์ˆจ๊ฒจ๋‘” ํ˜ˆํ”์„ ๋ชจ๋‘ ์ฐพ์•„๋‚ผ ์ˆ˜ ์žˆ์Šต๋‹ˆ๋‹ค! ๋จผ์ € ํ˜ˆ์•ก์˜ ๊ตฌ์„ฑ์— ๋Œ€ํ•ด ์•Œ์•„๋ด…์‹œ๋‹ค.

ํ˜ˆ์•ก์€ ํ˜ˆ์žฅ๊ณผ ํ˜ˆ๊ตฌ๋กœ ๊ตฌ์„ฑ๋˜์–ด ์žˆ๋Š”๋ฐ์š”. ํ˜ˆ์žฅ์€ ๋‹จ๋ฐฑ์งˆ๊ณผ ๋‹น ๋“ฑ์ด

๋…น์•„ ์žˆ๋Š” ์•ก์ฒด์ž…๋‹ˆ๋‹ค. ํ˜ˆ๊ตฌ๋Š” ํ˜ˆ์žฅ์„ ๋– ๋‹ค๋‹ˆ๋Š” ํ˜ˆ์•ก ์„ธํฌ๋กœ ๊ทธ ์ข…

๋ฅ˜๋กœ๋Š” ์ ํ˜ˆ๊ตฌ, ํ˜ˆ์†ŒํŒ, ๊ทธ๋ฆฌ๊ณ  ์ ํ˜ˆ๊ตฌ๊ฐ€ ์žˆ์Šต๋‹ˆ๋‹ค. ์ ํ˜ˆ๊ตฌ๋Š” ์‚ฐ์†Œ๋ฅผ

์šด๋ฐ˜ํ•˜๋Š” ์—ญํ• ์„ ํ•˜๋Š” ๋„๋„› ๋ชจ์–‘์˜ ์„ธํฌ์ธ๋ฐ์š”. ์ ํ˜ˆ๊ตฌ๊ฐ€ ๋ถ‰์€ ์ด์œ 

๋Š” ๋ถ‰์€์ƒ‰์˜ ํ—ค๋ชจ๊ธ€๋กœ๋นˆ์„ ํฌํ•จํ•˜๊ธฐ ๋•Œ๋ฌธ์ž…๋‹ˆ๋‹ค. ํ—ค๋ชจ๊ธ€๋กœ๋นˆ์€ 4๊ฐœ

์˜ ํ—ด(Heme)์ด๋ผ๋Š” ๊ตฌ์กฐ๋กœ ์ด๋ฃจ์–ด์ ธ ์žˆ์Šต๋‹ˆ๋‹ค. ํ—ด์€ ๋‹จ๋ฐฑ์งˆ์˜ ์ผ์ข…

์ธ ํฌ๋ฅดํ•€๊ณผ ์ฒ -ํฌ๋ฅดํ”ผ๋ฆฐ ์†Œ๋‹จ์œ„์ฒด๊ฐ€ ๊ฒฐํ•ฉํ•œ ๋ณตํ•ฉ์ฒด์ž…๋‹ˆ๋‹ค. ์ฒ -ํฌ๋ฅด

ํ”ผ๋ฆฐ ์†Œ๋‹จ์œ„์ฒด์˜ ์ฒ ์ด ์‚ฐ์†Œ์™€ ๊ฒฐํ•ฉํ•˜์—ฌ ์ ํ˜ˆ๊ตฌ์˜ ์‚ฐ์†Œ ์šด๋ฐ˜์ด ๊ฐ€๋Šฅ

ํ•ด์ง€๊ฒŒ ๋ฉ๋‹ˆ๋‹ค. ๋ฃจ๋ฏธ๋†€ ์šฉ์•ก์€ ํ˜ˆ์•ก๊ณผ ๋ฐ˜์‘ํ•˜๋ฉด ํŒŒ๋ž€์ƒ‰ ๋ฐœ๊ด‘์ด ์ผ์–ด

๋‚˜๋Š”๋ฐ์š”. ์ด๋Š” ํ˜ˆ์•ก ์† ํ—ด์— ์žˆ๋Š” ์ฒ ๊ณผ ๋ฃจ๋ฏธ๋†€ ์‹œ์•ฝ์ด ๋ฐ˜์‘ํ•˜๊ธฐ ๋•Œ๋ฌธ์ž…๋‹ˆ๋‹ค. ๋ฃจ๋ฏธ๋†€ ์‹œ์•ฝ์€ ๋ฃจ๋ฏธ๋†€, ํƒ„์‚ฐ๋‚˜ํŠธ๋ฅจ, ๊ณผ์‚ฐํ™”์ˆ˜์†Œ, ์ฆ๋ฅ˜์ˆ˜๋กœ ๊ตฌ์„ฑ๋˜์–ด ์žˆ์Šต๋‹ˆ๋‹ค. ๋ฃจ๋ฏธ๋†€ ์‹œ์•ฝ์„ ํ˜ˆ์•ก์— ๋–จ์–ด๋œจ๋ฆฌ๋ฉด ์ฒ ์ด ์ด‰๋งค ์—ญํ• ์„ ํ•˜์—ฌ ๊ณผ์‚ฐํ™”์ˆ˜์†Œ

์˜ ๋ถ„ํ•ด๊ฐ€ ์ผ์–ด๋‚˜๋Š”๋ฐ์š”.

์ด ๊ณผ์ •์—์„œ ์‚ฐ์†Œ์™€ ๋ฌผ์ด ํ˜•์„ฑ๋ฉ๋‹ˆ๋‹ค. ์ดํ›„ ๋ฃจ๋ฏธ๋†€์€ ์—ผ๊ธฐ์„ฑ ๋ฌผ์งˆ๊ณผ ๋ฐ˜์‘ํ•˜์—ฌ 2๊ฐ€ ์Œ์ด์˜จ์ด ๋˜๋ฉด์„œ ์•ž์„œ ํ˜•์„ฑ๋œ

์‚ฐ์†Œ์™€ ๋ฐ˜์‘ํ•˜๋Š”๋ฐ์š”. ์ด๋•Œ ๋ฃจ๋ฏธ๋†€ ๋ถ„์ž๋Š” ๋งค์šฐ ๋ถˆ์•ˆ์ •ํ•ด์ ธ ํŒŒ๋ž€๋น›์„ ๋ฐฉ์ถœํ•˜๊ฒŒ ๋œ๋‹ต๋‹ˆ๋‹ค! ์ด ๋ฐ˜์‘์— ๋”ฐ๋ฅด๋ฉด ํ—ด

์˜ ์ฒ ์€ ๋‹จ์ˆœํžˆ ์ด‰๋งค ์—ญํ• ๋งŒ์„ ํ•˜๋ฏ€๋กœ ๋ฃจ๋ฏธ๋†€์— ๋น„ํ•ด ์†Œ๋Ÿ‰๋งŒ ๋‚จ์•„ ์žˆ๋”๋ผ๋„ ํŒŒ๋ž€๋น›์ด ๋‚˜ํƒ€๋‚ฉ๋‹ˆ๋‹ค. ์‹ฌ์ง€์–ด ํ˜ˆ์•ก

์€ 1:5,000,000๊นŒ์ง€ ํฌ์„๋˜์–ด๋„ ๋ฃจ๋ฏธ๋†€๊ณผ ๋ฐ˜์‘ํ•  ์ˆ˜ ์žˆ๋Š”๋ฐ์š”. ๋”ฐ๋ผ์„œ ํ”ผ๊ฐ€ ๋ฌป์€ ์˜ท์„ ์„ธํƒํ•˜๊ฑฐ๋‚˜ ๋ฐ”๋‹ฅ์— ๋ฌป์€ ํ”ผ๋ฅผ ์ง€์›Œ์„œ ํ˜ˆ์•ก์ด ๊ฑฐ์˜ ๋‚จ์•„ ์žˆ์ง€ ์•Š์•„๋„ ํ˜ˆ์•ก์„ ๋ชจ๋‘ ์ฐพ์„ ์ˆ˜ ์žˆ๋‹ค๊ณ  ํ•˜๋„ค์š”!

์ด ์™ธ์—๋„ ๊ณผํ•™ ์ˆ˜์‚ฌ ๊ธฐ๋ฒ•์€ ๋‹ค์–‘ํ•˜๊ฒŒ ๋ฐœ์ „ํ•˜๋ฉฐ ์ง„์‹ค์„ ๋ฐํ˜€๋‚ด๊ณ  ์žˆ์Šต๋‹ˆ๋‹ค. ํŠนํžˆ ์šฐ๋ฆฌ๋‚˜๋ผ๋Š” ์„ธ๊ณ„์ ์ธ ๊ณผํ•™ ์ˆ˜

์‚ฌ ๊ธฐ์ˆ ์„ ๋ณด์œ ํ•œ ๋‚˜๋ผ๋ผ๊ณ  ํ•˜๋Š”๋ฐ์š”! ์ด๋Ÿฌํ•œ ๋ฐœ์ „์€ ๊ฒฐ๊ตญ ๋‹ค๋ฅธ ์‚ฌ๋žŒ์ด ๋”์šฑ ์•ˆ์ „ํ•˜๊ณ  ํ–‰๋ณตํ•˜๊ฒŒ ์‚ด์•„๊ฐˆ ์ˆ˜ ์žˆ๋„

๋ก ๋…ธ๋ ฅํ•˜๋Š” ๊ณผํ•™์ž๋“ค์ด ์žˆ๊ธฐ์— ์ด๋ฃจ์–ด์งˆ ์ˆ˜ ์žˆ์—ˆ๊ฒ ์ฃ ? ์—ฌ๋Ÿฌ๋ถ„๋“ค๋„ ์ž์‹ ์˜ ์—ฐ๊ตฌ๋กœ ๋‹ค๋ฅธ ์‚ฌ๋žŒ๋“ค์„ ํ–‰๋ณตํ•˜๊ฒŒ ํ•˜

๋Š” ์ด๊ณตํ•™๋„๊ฐ€ ๋˜์—ˆ์œผ๋ฉด ์ข‹๊ฒ ์Šต๋‹ˆ๋‹ค!

PART # 3
๊ทธ๋ฆผ 3. ํ—ด์˜ ์ผ์ข…์ธ ํ—ด B์˜ ์ฒ -ํฌ๋ฅดํ”ผ๋ฆฐ ์†Œ๋‹จ์œ„์ฒด 2H2O2 O2 + 2H2O Fe2+ 53

์ƒ๋ช…๊ณผํ•™๊ณผ๊ฐ€ ๋ณธ ๋ฌธ๊ตฌ์ 

๊ธ€ ๋ฌด์€์žฌํ•™๋ถ€ 23ํ•™๋ฒˆ 29๊ธฐ ์•Œ๋ฆฌ๋ฏธ ๊น€์„ธ๋ฏผ

๋‹ค๋“ค ์ดˆ๋“ฑํ•™์ƒ ๋•Œ ์”จ๋ชฝํ‚ค ํ•œ ๋ฒˆ์ฏค์€ ํ‚ค์›Œ๋ดค์ง€? ๋ฌธ๊ตฌ์ 

์— ํŒŒ๋Š” ์”จ๋ชฝํ‚ค๋ฅผ ์นœ๊ตฌ๋“ค๊ณผ ์‚ฌ์„œ ํ•จ๊ป˜ ์•Œ์„ ๋ถ€ํ™”์‹œ์ผœ

๋ณด์•˜๋˜ ๊ธฐ์–ต์ด ์ƒˆ๋ก์ƒˆ๋ก ๋– ์˜ค๋ฅด๋„ค. ์ด ๊ฐ€๋ฃจ ๊ฐ™์€ ์•Œ๋“ค

์ด ๋ฌผ์— ๋„ฃ์–ด๋‘๋ฉด ์‚ด์•„ ์›€์ง์ด๋Š” ์ƒ๋ฌผ๋กœ ๋ถ€ํ™”ํ•œ๋‹ค๋Š”

์ , ์ •๋ง ๋†€๋ž์ง€ ์•Š์•„? ์šฐ๋ฆฌ ํ•œ๋ฒˆ ์”จ๋ชฝํ‚ค์˜ ์•Œ์ด ๋ถ€ํ™”

ํ•  ์ˆ˜ ์žˆ๋Š” ์ด์œ ๋ฅผ ์•Œ์•„๋ณด์ž!

์‹œ์ค‘์— ํŒ๋งค๋˜๋Š” ์”จ๋ชฝํ‚ค๋Š” ์•„๋ฅดํ…Œ๋ฏธ์•„1 (Artemia)์˜ ์•Œ์ด

๊ณ ์˜จ์—์„œ ๊ฑด์กฐ๋œ ์ƒํƒœ๋กœ ์œ ํ†ต๋ผ. ๊ทธ๋ ‡๋‹ค๋ฉด ์–ด๋–ป๊ฒŒ ๊ฑด์กฐ๋œ ์ƒํƒœ

๋กœ ์œ ํ†ต๋œ ์ƒ๋ฌผ์˜ ์•Œ์ด ์ฃฝ์ง€ ์•Š๊ณ  ๋ถ€ํ™”ํ•  ์ˆ˜ ์žˆ์„๊นŒ? ๊ทธ ๋น„๋ฐ€์€ ๋ฐ”๋กœ ํฌ ๋ฆฝํ† ๋ฐ”์ด์˜ค์‹œ์Šค(Cryptobiosis)์— ์žˆ์–ด. ํฌ๋ฆฝํ† ๋ฐ”์ด์˜ค์‹œ์Šค๋ž€, ๋ถˆ๋ฆฌํ•œ ํ™˜๊ฒฝ ์กฐ๊ฑด์— ๋ฐ˜์‘ํ•˜์—ฌ ํ™œ ๋™์„ฑ์„ ๊ทน๋„๋กœ ๋‚ฎ์ถ˜ ํœด๋ฉด ์ƒํƒœ๋ฅผ ์ด์•ผ๊ธฐํ•ด. ํฌ๋ฆฝํ† ๋ฐ”์ด์˜ค์‹œ์Šค์—๋Š” ๊ฑด์กฐ ์‹œ ๋ฐœํ˜„๋˜๋Š” Anhydrobiosis, ๊ณต๊ธฐ ์ค‘ ์‚ฐ์†Œ ๋†๋„๊ฐ€ ๋‚ฎ์„ ๊ฒฝ์šฐ ๋ฐœํ˜„๋˜๋Š” Anoxybiosis, ๊ทน์ €์˜จ์—์„œ ๋ฐœํ˜„๋˜๋Š” Cryobiosis ๋“ฑ ์—ฌ๋Ÿฌ ์ข…๋ฅ˜๊ฐ€ ์žˆ๋Š”๋ฐ, ์ƒ๋ฌผ ์ข…๋งˆ๋‹ค ๋ฐœํ˜„ ๊ธฐ์ž‘์ด ๋ชจ๋‘ ๋‹ฌ๋ผ. ์‚ฐ์†Œ๊ฐ€ ๋ถ€์กฑํ•œ ํ™˜๊ฒฝ์—์„œ ํœด๋ฉด ์ƒ ํƒœ๊ฐ€ ๋ฐœํ˜„๋˜๋Š” ์•„๋ฅดํ…Œ๋ฏธ์•„์™€ ๋‹ฌ๋ฆฌ ๊ฑด์กฐ ํ™˜๊ฒฝ์—์„œ ํœด๋ฉด ์ƒํƒœ๊ฐ€ ์œ ์ง€๋˜๋Š” ์˜ˆ์œ๊ผฌ๋งˆ์„ ์ถฉ, ๊ฑด์กฐ, ์‚ฐ์†Œ ๋ถ€์กฑ, ์‚ผํˆฌ์••, ์˜จ๋„ ๋“ฑ ๋‹ค์–‘ํ•œ ์š”์ธ์„ ์ธ์‹ํ•˜๋Š” ๊ณฐ๋ฒŒ๋ ˆ ๋“ฑ ๋‹ค์–‘ํ•œ ์ƒ๋ฌผ๋“ค์ด ํฌ๋ฆฝํ† ๋ฐ”์ด์˜ค ์‹œ์Šค๋ฅผ ํ†ตํ•ด ๊ทนํ•œ์˜ ์ƒํ™ฉ์—์„œ ์‚ด์•„๊ฐ€๊ณ  ์žˆ์–ด. ํœด๋ฉด ์ƒํƒœ์—์„œ๋Š” ๋ฒˆ์‹, ๋ฐœ๋‹ฌ ๋ณต๊ตฌ ๋“ฑ์˜ ๋ชจ๋“  ๋Œ€์‚ฌ

๋ฐ ์ƒ๋ช… ํ™œ๋™์ด ์ค‘๋‹จ๋˜๊ณ , ์˜ค๋žœ ์‹œ๊ฐ„ ๋™์•ˆ ์™ธ๋ถ€ ์˜ํ–ฅ ์—†์ด ์ƒ๋ช…์„ ์ด์–ด๊ฐˆ ์ˆ˜ ์žˆ์–ด. ์•„๋ฅดํ…Œ๋ฏธ์•„

์˜ ๊ฒฝ์šฐ์—๋Š” ์‚ฐ์†Œ ๋†๋„๊ฐ€ ๋‚ฎ์€ ํ™˜๊ฒฝ์— ์ฒ˜ํ•˜๊ฒŒ ๋˜๋ฉด, ํ‚คํ‹ด2์งˆ๋กœ ๋‘˜๋Ÿฌ์‹ธ์ธ ๋‹จ๋‹จํ•œ ๋‚ด๊ตฌ๋ž€์„ ๋‚ณ๊ณ 

์ฃฝ๊ฒŒ ๋ผ. ์ด ๋‚ด๊ตฌ๋ž€ ์†์—์„œ๋Š” ๊ธฐ์กด ๋‹จ๋ฐฑ์งˆ์˜ ๊ธฐ๋Šฅ์„ ๋Œ€์ฒดํ•˜๋Š” ์—ฌ๋Ÿฌ ๊ฐ„์ด ๋‹จ๋ฐฑ์งˆ๊ณผ ๊ณ ๋†๋„๋กœ ๋† ์ถ•๋œ ์ด๋‹น๋ฅ˜3๋ฅผ ํ†ตํ•ด ์žฅ๊ธฐ๊ฐ„ ํœด๋ฉด์„ ํ•˜๋‹ค๊ฐ€, ์™ธ๋ถ€ ํ™˜๊ฒฝ์ด ๋ถ€ํ™”์— ์ ์ ˆํ•œ ํ™˜๊ฒฝ์ด ๋  ๋•Œ ๋‹ค์‹œ ๋ถ€ ํ™”ํ•ด์„œ ์‚ด์•„๊ฐ€๊ฒŒ ๋˜๋Š” ๊ฒƒ์ด์ง€.

๋ฌธ๊ตฌ์ ์—์„œ ํ”ํžˆ ๋ณด์ด๋˜ ์”จ๋ชฝํ‚ค์— ์ด๋ ‡๊ฒŒ ๊นŠ์€ ๋น„๋ฐ€์ด ์ˆจ๊ฒจ์ ธ ์žˆ์—ˆ๋‹ค๋‹ˆ, ์ •๋ง ์‹ ๊ธฐํ•˜์ง€ ์•Š์•„?

์ง€๊ธˆ ๋‹น์žฅ ํฌ๋ฆฝํ† ๋ฐ”์ด์˜ค์‹œ์Šค์— ๋Œ€ํ•ด์„œ ๋” ๊ณต๋ถ€ํ•ด ๋ด์•ผ๊ฒ ์–ด! ๋‚œ ๋„์„œ๊ด€์œผ๋กœ ๊ฐ€๋ณผ๊ฒŒ. ์•ˆ๋…•!

๊ฐ์ฃผ

1. ์ƒˆ์šฐ์— ๋น„ํ•ด ํ”Œ๋ž‘ํฌํ†ค์— ๊ฐ€๊นŒ์šด ์ˆ˜์ƒ ๊ฐ‘๊ฐ๋ฅ˜๋“ค์˜ ํ†ต์นญ์œผ๋กœ, Brine shrimp๋กœ๋„ ๋ถˆ๋ฆผ

2. N-์•„์„ธํ‹ธ๊ธ€๋ฃจ์ฝ”์‚ฌ๋ฏผ์ด ๊ธด ์‚ฌ์Šฌ ํ˜•ํƒœ๋กœ ๊ฒฐํ•ฉํ•œ ์ค‘ํ•ฉ์ฒด ๋‹ค๋‹น๋ฅ˜๋กœ, ์ ˆ์ง€๋™๋ฌผ์˜ ๋‹จ๋‹จํ•œ ํ‘œํ”ผ์™€ ํ—ˆ๋ฌผ, ์—ฐ์ฒด๋™๋ฌผ์˜ ๊ป์งˆ, ๊ท ๋ฅ˜์˜ ์„ธํฌ ๋ฒฝ ๊ตฌ์„ฑ์„ฑ๋ถ„์œผ๋กœ ์‚ฌ์šฉ

3. ๋‘ ๊ฐœ์˜ ๋‹จ๋‹น๋ฅ˜๊ฐ€ ๊ธ€๋ฆฌ์ฝ”์‚ฌ์ด๋“œ ๊ฒฐํ•ฉ์œผ๋กœ ์—ฐ๊ฒฐ๋  ๋•Œ ํ˜•์„ฑ๋˜๋Š” ๋‹น. ๋Œ€ํ‘œ์ ์ธ ์ด๋‹น๋ฅ˜์˜ ์ข…๋ฅ˜์—๋Š” ์ˆ˜ํฌ๋กœ์Šค(์„คํƒ•), ์ –๋‹น, ์—ฟ๋‹น ๋“ฑ ์ด ์žˆ์Œ

๊ทธ๋ฆผ ์ถœ์ฒ˜

๊ทธ๋ฆผ 1. ์œ„ํ‚คํ”ผ๋””์•„, <Brine Shrimp>, 2024.02.23, https://en.wikipedia.org/wiki/Brine_shrimp

์ฐธ๊ณ ์ž๋ฃŒ

1. ์œ„ํ‚คํ”ผ๋””์•„, <Crpytobiosis>, 2023.10.31, https://en.wikipedia.org/wiki/Cryptobiosis

2. ์œ„ํ‚คํ”ผ๋””์•„, <Chitin>, 2022.11.16, https://ko.wikipedia.org/wiki/%ED%82%A4%ED%8B%B4

3. Exploring our fluid Earth, <Weird Science: Cryptobiosis>, https://manoa.hawaii.edu/exploringourfluidearth/biological/what-alive/properties-life/weird-science-cryptobiosis

4. Morris, J. E., and B. A. Afzelius. โ€œThe structure of the shell and outer membranes in encysted Artemia salina embryos during cryptobiosis and development.โ€ Journal of Ultrastructure Research 20.3-4 (1967): 244-259.

5. Miller, David, and Alexander G. McLennan. โ€œThe heat shock response of the cryptobiotic brine shrimp Artemiaโ€”II. Heat shock proteins.โ€ Journal of Thermal Biology 13.3 (1988): 125-134.

๊ณต๋Œ€์ƒ์ด ๋ณด๋Š” ์„ธ์ƒ. I ์•„๋ฅดํ…Œ๋ฏธ์•„์˜ ๋‚ด๊ตฌ๋ž€ 54 ๊ณต๋Œ€์ƒ์ด ๋ณด๋Š” ์„ธ์ƒ + ๋ฌธ๊ตฌ์ 

์•—, ์†์— ์ˆœ๊ฐ„์ ‘์ฐฉ์ œ๊ฐ€ ๋ฌป์—ˆ์ž–์•„? ๋นจ๋ฆฌ ์”ป์–ด๋‚ด์•ผ๊ฒ ์–ด! ๊ทผ๋ฐ ์–ด์ฉŒ์ง€? ๋ฒŒ์จ ๊ตณ์–ด๋ฒ„๋ ธ๋„ค. ๋ถ„๋ช… ํŠœ๋ธŒ ์•ˆ์—์„  ๋ˆ์ ํ•œ ์•ก์ฒด ์ƒํƒœ๋กœ ์žˆ์—ˆ๋Š”๋ฐ, ์™œ ๋ฐ”๋กœ ๊ตณ์–ด๋ฒ„๋ฆฐ ๊ฑธ๊นŒ?

๋จผ์ € ์ ‘์ฐฉ์˜ ์›๋ฆฌ๋ถ€ํ„ฐ ์•Œ์•„๋ณด์ž. ์ ‘์ฐฉ์—๋Š” ๋‹ค์–‘ํ•œ ์ข…๋ฅ˜๊ฐ€ ์žˆ๋Š”๋ฐ, ์ˆœ๊ฐ„์ ‘์ฐฉ์ œ์—๋Š” ๋ฐ”๋กœ ๋ถ„์ž ๊ฐ„ ํž˜์„ ์ด์šฉํ•œ ์ ‘์ฐฉ์ด ์‚ฌ์šฉ๋ผ. ๋ถ„์ž ๊ฐ„ ํž˜ ์ค‘์—์„œ๋„ ๋ฐ˜๋ฐ๋ฅด๋ฐœ์Šค ํž˜์„ ์ด์šฉํ•œ ๊ฒฝ์šฐ์ง€. ๊ทธ๋ ‡๋‹ค๋ฉด ๋ฐ˜ ๋ฐ๋ฅด๋ฐœ์Šค ํž˜์€ ๋ฌด์—‡์ผ๊นŒ? ๋ฐ˜๋ฐ๋ฅด๋ฐœ์Šค ํž˜์€ ๋น„๊ทน์„ฑ๋ถ„์ž1, ํ˜น์€ ๋น„๊ทน์„ฑ๋ถ„์ž ๋‚ด์˜ ๋ถ€๋ถ„ ๊ฐ„์˜ ํž˜์ด ์•ผ. ๋ถ„์ž ๋‚ด์— ์žˆ๋Š” ์ „์ž๋Š” ํ•ญ์ƒ ์›€์ง์ด๋Š”๋ฐ, ์ด์— ๋”ฐ๋ผ ์ผ์‹œ์ ์œผ๋กœ ๋ถ„์ž ๋‚ด์—์„œ ์ „์ž ๋ฐ€๋„์˜ ๋ถˆ ๊ท ํ˜•์ด ์ƒ๊ฒจ. ๋ถ„์ž ๋‚ด ์ „์ž ๋ฐ€๋„์˜ ์ฐจ์ด๋กœ ์ธํ•ด ์ˆœ๊ฐ„์ ์œผ๋กœ ์ „๊ธฐ์  ๊ทน์„ฑ์ด ๋ฐœ์ƒํ•˜๋Š”๋ฐ, ์ด๋กœ์จ ๋ถ„ ์ž ๊ฐ„์— ์ธ๋ ฅ์ด ์ƒ๊ธฐ๋Š”๊ฑฐ์•ผ. ์ด ๋ถ„์ž ๊ฐ„ ์ธ๋ ฅ์„ ํ†ตํ•ด ์„œ๋กœ ๋‹ค๋ฅธ ๋ฌผ์ฒด๋“ค์ด ๊ฒฐํ•ฉํ•˜๋Š” ๊ฑฐ์ง€.

๊ทธ๋ฆผ 1. ๋ฐ˜๋ฐ๋ฅด๋ฐœ์Šค ํž˜

๊ทธ๋ ‡๋‹ค๋ฉด, ์™œ ํŠœ๋ธŒ ๋ฐ–์œผ๋กœ ์งœ๋‚ด์•ผ๋งŒ ์ ‘์ฐฉ ํšจ ๊ณผ๊ฐ€ ๋‚˜๋Š” ๊ฑธ๊นŒ? ๊ทธ ์ด์œ ๋Š” ์ˆœ๊ฐ„์ ‘์ฐฉ์ œ์˜ ์žฌ

๋ฃŒ ๋•Œ๋ฌธ์ด์•ผ! ์ˆœ๊ฐ„์ ‘์ฐฉ์ œ๋Š” ์‹œ์•„๋…ธ์•„ํฌ๋ฆด๋ ˆ ์ดํŠธ2๋กœ ์ด๋ฃจ์–ด์ ธ ์žˆ์–ด. ์‹œ์•„๋…ธ์•„ํฌ๋ฆด๋ ˆ์ดํŠธ ์˜ ํŠน๋ณ„ํ•œ ์ ์€ ์Œ์ด์˜จ์„ ๊ฐ€์ง„ ๋ฌผ์งˆ์— ์˜ํ•ด ๋งค์šฐ ๋น ๋ฅธ ์ค‘ํ•ฉ ๋ฐ˜์‘์ด ์ผ์–ด๋‚œ๋‹ค๋Š” ๊ฑฐ์•ผ. ์ค‘ํ•ฉ ๋ฐ˜์‘์ด๋ž€, ์ž‘์€ ๋ถ„์ž๋“ค์ด ์„œ๋กœ ๊ฒฐํ•ฉํ•˜์—ฌ ๊ฑฐ๋Œ€ํ•œ ๊ณ ๋ถ„์ž๋ฅผ ๋งŒ๋“œ๋Š” ๋ฐ˜์‘์ด์•ผ. ์—ฌ๊ธฐ์„œ ์‹œ์•„๋…ธ์•„ํฌ๋ฆด๋ ˆ์ดํŠธ๋Š” OH-๋ฅผ ๊ฐ€์ง„ ๋ฌผ ๋ถ„์ž์™€ ๋‹ฟ์•˜์„ ๋•Œ ๊ธ‰์†๋„๋กœ ์ค‘ํ•ฉ ๋ฐ˜์‘์ด ์ผ์–ด๋‚˜. ๊ทธ๋ž˜์„œ ํŠœ๋ธŒ ๋ฐ–์œผ๋กœ ๋น ์ ธ๋‚˜์™€ ๊ณต๊ธฐ ์ค‘์˜ ์ˆ˜๋ถ„๊ณผ ๋‹ฟ๊ฒŒ ๋  ๋•Œ ์ค‘ํ•ฉ ๋ฐ˜์‘์ด ์ผ์–ด๋‚˜๋Š” ๊ฒƒ์ด์ง€. ์ค‘ํ•ฉ ๋ฐ˜์‘์˜ ๊ณผ์ •์—์„œ ์‹œ์•„๋…ธ์•„ํฌ๋ฆด๋ ˆ์ดํŠธ ๋‹จ๋Ÿ‰์ฒด3๋“ค์ด ์„œ๋กœ ๊ฒฐํ•ฉ ํ•˜์—ฌ ์‹œ์•„๋…ธ์•„ํฌ๋ฆด๋ ˆ์ดํŠธ ์ค‘ํ•ฉ์ฒด 4๋ฅผ ํ˜•์„ฑํ•ด. ์ด๋•Œ, ๋‹จ๋Ÿ‰์ฒด๋“ค์ด ๊ทธ๋ฆผ 2์ฒ˜๋Ÿผ ์ผ๋ ฌ๋กœ ์ •๋ ฌ๋œ ์ฒด๊ฐ€ ๋˜๋Š” ๊ฒƒ์ด ํ•ต์‹ฌ์ด์•ผ! ์ •๋ ฌ๋˜์ง€ ์•Š์€ ๋‹จ๋Ÿ‰์ฒด์ผ ๋•Œ๋Š” ๋ฐ˜๋ฐ๋ฅด๋ฐœ์Šค ํž˜์ด ์—ฌ๋Ÿฌ ๋ฐฉํ–ฅ์œผ๋กœ

๋’ค์ฃฝ๋ฐ•์ฃฝ ์ž‘์šฉํ•˜์ง€๋งŒ, ์ •๋ ฌ๋œ ์ค‘ํ•ฉ์ฒด์ผ ๋•Œ๋Š” ๋ฐ˜๋ฐ๋ฅด๋ฐœ์Šค ํž˜์ด ํ•œ ๋ฐฉํ–ฅ์œผ๋กœ ํ•ฉํ•ด์ ธ์„œ ๊ฐ•ํ•ด์ง€๊ธฐ

๋•Œ๋ฌธ์— ์ ‘์ฐฉ ํšจ๊ณผ๊ฐ€ ๋‚˜๋Š” ๊ฑฐ์•ผ.

์–ด๋•Œ? ์ด์ œ ์ˆœ๊ฐ„์ ‘์ฐฉ์ œ๊ฐ€ ํŠœ๋ธŒ

๋ฐ–์—์„œ ๊ตณ์–ด์ง„ ์ด์œ ๋ฅผ ์•Œ๊ฒ ์ง€?

๊ทธ๋Ÿผ ๋‚œ ์†์ด๋‚˜ ๋‹ฆ์œผ๋Ÿฌ ๊ฐ€์•ผ๊ฒ ๋‹ค~

๊ทธ๋ฆผ2.์‹œ์•„๋…ธ์•„ํฌ๋ฆด๋ ˆ์ดํŠธ์˜์ค‘ํ•ฉ๋ฐ˜์‘

๊ณต๋Œ€์ƒ์ด ๋ณด๋Š” ์„ธ์ƒ. II

ํ™”ํ•™๊ณผ๊ฐ€ ๋ณธ ๋ฌธ๊ตฌ์ 

๊ธ€ ๋ฌด์€์žฌํ•™๋ถ€ 23ํ•™๋ฒˆ 29๊ธฐ ์•Œ๋ฆฌ๋ฏธ ๊น€์ •์—ฐ

๊ฐ์ฃผ

1. ๊ทน์„ฑ์„ ๋‚˜ํƒ€๋‚ด์ง€ ์•Š๊ฑฐ๋‚˜ ์žˆ๋”๋ผ๋„ ์•„์ฃผ ์ž‘์€ ๊ทน์„ฑ ํ˜„์ƒ์„ ๋‚˜ํƒ€๋‚ด๋Š” ๋ถ„์ž

2. ์•„ํฌ๋ฆด๋ ˆ์ดํŠธ์˜ ์‹œ์•ˆํ™”๋ฌผ ์œ ๋„์ฒด์ธ ํ™”ํ•ฉ๋ฌผ์˜ ์ข…๋ฅ˜ ์ค‘ ํ•˜๋‚˜

3. ์ค‘ํ•ฉ์„ ๊ฑฐ์ณ ๊ณ ๋ถ„์ž์˜ ํ•„์ˆ˜ ๊ตฌ์กฐ์— ๊ตฌ์„ฑ ๋‹จ์œ„๋ฅผ ์ œ๊ณตํ•˜๋Š” ๋ถ„์ž

4. ๋‹จ์œ„์ฒด๊ฐ€ ๋ฐ˜๋ณต๋˜์–ด ์—ฐ๊ฒฐ๋œ ๊ณ ๋ถ„์ž์˜ ํ•œ ์ข…๋ฅ˜

๊ทธ๋ฆผ ์ถœ์ฒ˜

๊ทธ๋ฆผ 1. ์•„์ŠคํŒŒ๋ผ๊ฑฐ์Šค, [ํ™”ํ•™๋ฌผ์งˆ]์ ‘์ฐฉ์ œ, Chemistry Blog(๋ธ”๋กœ๊ทธ), 2021๋…„ 2์›” 18์ผ, https://m.blog.naver.com/asparagus_ chem/222247830355

๊ทธ๋ฆผ 2. What are van der Waals Forces?, Chemistry Learner, https://www.chemistrylearner.com/chemical-bonds/van-der-waals-forces

์ฐธ๊ณ ์ž๋ฃŒ

1. ํ™ฉ์„ ์ผ. ์‹œ์•„๋…ธ์•„ํฌ๋ฆด๋ ˆ์ดํŠธ ์ ‘์ฐฉ์ œ์˜ ๊ฐœ๋ฐœ๋™ํ–ฅ. ํ•œ๊ตญ๊ณผํ•™๊ธฐ์ˆ ์ •๋ณด์—ฐ๊ตฌ์›.

2. ์•„์ŠคํŒŒ๋ผ๊ฑฐ์Šค, [ํ™”ํ•™๋ฌผ์งˆ]์ ‘์ฐฉ์ œ, Chemistry Blog(๋ธ”๋กœ๊ทธ), 2021๋…„ 2์›” 18์ผ, https://m.blog.naver.com/asparagus_ chem/222247830355

55

๊ณต๋Œ€์ƒ์˜ ํ•„์ˆ˜ํ’ˆ ์ค‘ ๊ผญ ๋น ์ง€์ง€ ์•Š๋Š” ๊ฒƒ์ด ๋ฐ”๋กœ ๊ณตํ•™์šฉ ๊ณ„์‚ฐ๊ธฐ๋ผ๊ณ  ํ•˜๋˜๋ฐโ€ฆ ์šฐ๋ฆฌ๊ฐ€ ์ง์ ‘ ํ•˜๊ธฐ ์–ด๋ ค์šด ๊ณ„์‚ฐ๋„ ์™„๋ฒฝํ•˜๊ฒŒ ํ•ด๋‚ด๋Š” ์ด ๊ณ„์‚ฐ๊ธฐ์˜ ์›๋ฆฌ๊ฐ€ ๊ถ๊ธˆํ•˜์ง€ ์•Š๋‹ˆ?

๋””์ง€ํ„ธ ๊ณ„์‚ฐ๊ธฐ์™€ ์ปดํ“จํ„ฐ๋Š” ์šฉ๋„, ํ˜•ํƒœ๊ฐ€ ๋‹ค๋ฅผ ๋ฟ ๊ธฐ๋ณธ ์›๋ฆฌ๋Š” ๋น„์Šทํ•ด. ์‹ค์ œ๋กœ ๊ณ„์‚ฐ๊ธฐ์—๋Š” ์ปดํ“จ

ํ„ฐ์—์„œ ๋ชจ๋“  ์ปดํ“จํŒ… ์žฅ์น˜์˜ ๋‘๋‡Œ ์—ญํ• ์„ ํ•˜๋Š” CPU๊ฐ€ ์žˆ๊ฑฐ๋“ . ๊ทธ๋Ÿฌ๋‹ˆ ๋˜‘๋˜‘ํ•œ ๊ณ„์‚ฐ๊ธฐ์˜ ๋น„๋ฐ€์€

๋ฐ”๋กœ CPU์— ์žˆ์—ˆ๋˜ ๊ฑฐ์ง€! CPU์˜ ๊ตฌ์„ฑ ์š”์†Œ ์ค‘์—๋Š” ALU(Arithmetic Logic Unit)๊ฐ€ ์žˆ๋Š”๋ฐ, ALU๊ฐ€ ์ œ์–ด ์žฅ์น˜์˜ ๋ช…๋ น์— ๋”ฐ๋ผ ์‹ค์ œ๋กœ ์—ฐ์‚ฐ์„ ์ˆ˜ํ–‰ํ•˜๋Š” ์—ญํ• ์„ ํ•ด.

๊ทธ๋Ÿผ ALU๊ฐ€ ์—ฐ์‚ฐ์„ ์ฒ˜๋ฆฌํ•˜๋Š” ์›๋ฆฌ์— ๋Œ€ํ•ด ๊ตฌ์ฒด์ ์œผ๋กœ ์‚ดํŽด๋ณด์ž. ์ปดํ“จํ„ฐ์˜ ๊ฒฝ์šฐ๊ฐ€ ๊ทธ๋ ‡๋“ฏ, CPU ๊ฐ€ ์—ฐ์‚ฐ์„ 2์ง„์ˆ˜1๋กœ ์ฒ˜๋ฆฌํ•œ๋‹ค๋Š” ๊ฒƒ์€ ์•Œ๊ณ  ์žˆ์ง€? ALU๋Š” ์ž…๋ ฅ๋ฐ›์€ 10์ง„์ˆ˜ ๋ฐ์ดํ„ฐ๋ฅผ 2์ง„์ˆ˜๋กœ

๋ณ€ํ™˜ํ•ด. ์˜ˆ๋ฅผ ๋“ค์–ด ์šฐ๋ฆฌ๊ฐ€ ๊ณ„์‚ฐ๊ธฐ์— 6์„ ์ž…๋ ฅํ•˜๋ฉด ๊ณ„์‚ฐ๊ธฐ ๋‚ด๋ถ€์—์„œ๋Š” 110(2)2์œผ๋กœ ์ฒ˜๋ฆฌ๋˜๋Š” ๊ฑฐ

์ง€. ์ดํ›„ ์—ฐ์‚ฐ ์„ ํƒ ์‹ ํ˜ธ์— ์˜ํ•ด ์–ด๋–ค ์ข…๋ฅ˜์˜ ์—ฐ์‚ฐ์„ ์ˆ˜ํ–‰๋ ์ง€๊ฐ€ ๊ฒฐ์ •๋ผ. ALU์—๋Š” ๋‹ค์–‘ํ•œ ์—ฐ

์‚ฐ์„ ์ˆ˜ํ–‰ํ•˜๊ธฐ ์œ„ํ•ด 0๊ณผ 1์— ๋Œ€ํ•œ ๋…ผ๋ฆฌ ์—ฐ์‚ฐ์„ ๋‹ด๋‹นํ•˜๋Š” ๋…ผ๋ฆฌ ๊ฒŒ์ดํŠธ๊ฐ€ ์กด์žฌํ•˜๊ณ , ๊ทธ ์ข…๋ฅ˜๋กœ

๋Š” AND, OR, NOT, XOR ๊ฒŒ์ดํŠธ๊ฐ€ ์žˆ์–ด. ๊ฐ ๊ฒŒ์ดํŠธ๋Š” ๊ทธ๋ฆผ 1๊ณผ ๊ฐ™์ด 2์ง„์ˆ˜ ์ž…๋ ฅ์ด ์ฃผ์–ด์งˆ ๋•Œ

ํŠน์ • ๋…ผ๋ฆฌ ์—ฐ์‚ฐ์„ ์ˆ˜ํ–‰ํ•˜์—ฌ ๊ทธ ๊ฒฐ๊ณผ๋ฅผ ์ถœ๋ ฅ์œผ๋กœ ๋‚ด๋ณด๋‚ด์ง€. ๊ฐ€์žฅ ๊ฐ„๋‹จํ•œ ๋ง์…ˆ์„ ์˜ˆ๋กœ ๋“ค๋ฉด, ๋ง์…ˆ ์„ ์—ฐ์‚ฐํ•˜๊ธฐ ์œ„ํ•ด์„œ๋Š” OR๊ณผ AND ๊ฒŒ์ดํŠธ๋กœ ์ด๋ฃจ์–ด์ง„ ๊ฐ€์‚ฐ๊ธฐ๊ฐ€ ํ•„์š”ํ•ด. ์ด๋•Œ ๊ฐ€์‚ฐ๊ธฐ๋Š” 5 + 6์„ 101(2) + 110(2)์œผ๋กœ ์ฒ˜๋ฆฌํ•˜์—ฌ ์ž๋ฆฟ์ˆ˜๋ณ„๋กœ ๋”ํ•˜๊ณ , ์•„๋ž˜ ๊ทธ๋ฆผ 2๊ณผ ๊ฐ™์ด ์ž๋ฆฌ ์˜ฌ๋ฆผ(Carry)๊ณผ ํ•ฉ (Sum)์„ ๊ตฌ๋ถ„ํ•˜์—ฌ ๊ณ„์‚ฐํ•˜๋Š” ๊ฑฐ์•ผ.

์šฐ๋ฆฌ๊ฐ€ ์ž…๋ ฅํ•œ ๋ณต์žกํ•œ ์‹์ด ๊ณ„์‚ฐ๊ธฐ ๋‚ด๋ถ€์—์„œ๋Š” ๋…ผ๋ฆฌ ๊ฒŒ์ดํŠธ๋“ค์˜ ์กฐํ•ฉ์œผ๋กœ ํ‘œํ˜„๋˜๋‹ˆ ์ด๋ ‡๊ฒŒ ๋น 

๋ฅด๊ฒŒ ์—ฐ์‚ฐ์„ ์ฒ˜๋ฆฌํ•  ์ˆ˜ ์žˆ๊ตฌ๋‚˜! ๊ทธ๋Ÿผ ์šฐ๋ฆฌ๋„ ๊ณ„์‚ฐ๊ธฐ์ฒ˜๋Ÿผ ์—ฐ์‚ฐ์„ ๋น ๋ฅด๊ณ  ์ •ํ™•ํ•˜๊ฒŒ ํ•  ์ˆ˜ ์žˆ๋Š” ๊ทธ๋‚ ๊นŒ์ง€ ์—ด์‹ฌํžˆ ๊ณต๋ถ€ํ•˜๋Ÿฌ ๊ฐ€๋ณผ๊นŒ?

๊ณต๋Œ€์ƒ์ด ๋ณด๋Š” ์„ธ์ƒ. III

๊ฐ์ฃผ

์ปดํ“จํ„ฐ๊ณตํ•™๊ณผ๊ฐ€ ๋ณธ ๋ฌธ๊ตฌ์ 

๋ฌด์€์žฌํ•™๋ถ€ 23ํ•™๋ฒˆ 29๊ธฐ ์•Œ๋ฆฌ๋ฏธ ์œคํ˜„์„œ

๊ทธ๋ฆผ 1. ๊ฒŒ์ดํŠธ๋ณ„ ์ง„๋ฆฌํ‘œ

๊ทธ๋ฆผ 2. ๊ฐ€์‚ฐ๊ธฐ์˜ ๋…ผ๋ฆฌ ํšŒ๋กœ์™€ ์ง„๋ฆฌํ‘œ

1. 0๊ณผ 1์ด๋ผ๋Š” ๋‘ ๊ฐœ์˜ ์ˆซ์ž๋งŒ์„ ์‚ฌ์šฉํ•˜์—ฌ ์ˆ˜๋ฅผ ๋‚˜ํƒ€๋‚ด๋Š” ์ง„๋ฒ•

2. ์ˆซ์ž ์˜†์— ์ž‘๊ฒŒ (2)๋ฅผ ๋ง๋ถ™์ด๋Š” ๊ฒƒ์ด ์ด์ง„๋ฒ•์˜ ํ‘œํ˜„, ์ฃผ๋กœ ์ˆ˜ํ•™์—์„œ ์“ฐ์ž„

์ถœ์ฒ˜

๊ทธ๋ฆผ 1. Abels, S., & Khisamutdinov, E. (2015, December). Nucleic Acid Computing and its Potential to Transform Silicon-Based Technology. DNA and RNA Nanotechnology

๊ทธ๋ฆผ 2. Tarun Malik. (2011). STUDY AND APPLICATIONS OF LIQUID BEHAVIOR ON MICROTEXTURED SOLID SURFACES

์ฐธ๊ณ ์ž๋ฃŒ

M. Morris Mano. ใ€ŽDigital Design With an Introduction to the Verilog HDL, VHDL, and System Verilogใ€. Pearson Education, 2018.

๊ทธ๋ฆผ
๊ธ€
โ—€
โ–ผ
56 ๊ณต๋Œ€์ƒ์ด ๋ณด๋Š” ์„ธ์ƒ + ๋ฌธ๊ตฌ์ 

๋ฌผ๋ฆฌํ•™๊ณผ๊ฐ€ ๋ณธ ๋ฌธ๊ตฌ์ 

๊ธ€ ๋ฌด์€์žฌํ•™๋ถ€ 23ํ•™๋ฒˆ 29๊ธฐ ์•Œ๋ฆฌ๋ฏธ ์ดํ˜„๋ฏผ

์•—! ์˜ค๋Š˜ ์ˆ˜ํ–‰ํ‰๊ฐ€ ์ œ์ถœ ๋‚ ์ธ๋ฐ ์ง‘์—์„œ ํ”„๋ฆฐํŠธํ•ด ์˜ค๋Š” ๊ฑธ ๊นœ๋นกํ–ˆ๋„ค. ๊ธ‰ํ•œ ๋Œ€๋กœ ๋ฌธ๊ตฌ์ ์—์„œ ํ”„ ๋ฆฐํŠธํ•ด์•ผ๊ฒ ์–ด. ๊ทธ๋Ÿฐ๋ฐ ํ”„๋ฆฐํ„ฐ๊ธฐ๋Š” ์–ด๋–ป๊ฒŒ ์ธ์‡„๋ฌผ์„ ๋น ๋ฅด๊ฒŒ ์ถœ๋ ฅํ•ด ์ค„ ์ˆ˜ ์žˆ์„๊นŒ? ๊ทธ๋ฆฌ๊ณ  ๊ธˆ๋ฐฉ ๋‚˜์˜จ ์ถœ๋ ฅ๋ฌผ์ด ๋”ฐ๋œปํ•œ ์ด์œ ๋Š” ๋ญ์ง€? ๋„ˆํฌ๋„ ๊ถ๊ธˆํ•˜์ง€ ์•Š์•„?

์šฐ์„ , ํ”„๋ฆฐํ„ฐ๊ธฐ๋Š” ์ปดํ“จํ„ฐ์—์„œ ์ „์†ก๋œ ํ…์ŠคํŠธ๋‚˜ ์ด๋ฏธ์ง€๋ฅผ ์šฉ์ง€์— ์ถœ๋ ฅํ•ด ์ฃผ๋Š” ์žฅ์น˜์•ผ. ํ”„๋ฆฐํ„ฐ๊ธฐ ์—๋Š” ์—ฌ๋Ÿฌ ์ข…๋ฅ˜๊ฐ€ ์žˆ๋Š”๋ฐ, ํฌ๊ฒŒ ์ธ์‡„ ํ—ค๋“œ๊ฐ€ ์šฉ์ง€์™€ ์ง์ ‘์ ์œผ๋กœ ์ ‘์ด‰ํ•˜๋Š” ์ถฉ๊ฒฉ์‹ ํ”„๋ฆฐํ„ฐ๊ธฐ์™€ ์ง ์ ‘์ ์œผ๋กœ ์ ‘์ด‰ํ•˜์ง€ ์•Š๋Š” ๋น„์ถฉ๊ฒฉ์‹ ํ”„๋ฆฐํ„ฐ๊ธฐ๋กœ ๋ถ„๋ฅ˜๋ผ. ๋น„์ถฉ๊ฒฉ์‹ ํ”„๋ฆฐํ„ฐ๊ธฐ ์ค‘์—๋Š” ํ˜„์žฌ ๋งŽ์ด ์‚ฌ

์šฉ๋˜๋Š” ๊ฒƒ์œผ๋กœ ์ž‰ํฌ์ ฏ ํ”„๋ฆฐํ„ฐ๊ธฐ์™€ ๋ ˆ์ด์ € ํ”„๋ฆฐํ„ฐ๊ธฐ๊ฐ€ ์žˆ์–ด. ๊ทธ๋Ÿผ ์ด์ œ๋ถ€ํ„ฐ ๊ณ ํ•ด์ƒ๋„ ์ถœ๋ ฅ๋ฌผ์„

๋น ๋ฅด๊ฒŒ ์ถœ๋ ฅํ•  ์ˆ˜ ์žˆ๋Š” ๋ ˆ์ด์ € ํ”„๋ฆฐํ„ฐ๊ธฐ์— ๋Œ€ํ•ด ์ž์„ธํžˆ ์•Œ์•„๋ณด์ž.

๋ ˆ์ด์ € ํ”„๋ฆฐํ„ฐ๊ธฐ์˜ ํ•ต์‹ฌ ์›๋ฆฌ๋Š” ๋ฐ”๋กœ ์ •์ „๊ธฐ๋ ฅ1์— ์žˆ์–ด. ๊ทธ๋ฆผ1์—์„œ ๋ณผ ์ˆ˜ ์žˆ๋“ฏ์ด ํ”„๋ฆฐํŠธ์˜ ์ฒซ ๋‹จ๊ณ„๋Š” ๋ ˆ์ด์ € ์œ ๋‹›์„ ์‚ฌ์šฉํ•˜์—ฌ ์ด๋ฏธ์ง€๋ฅผ ์šฉ์ง€์— ์ „๋‹ฌํ•˜๋Š” ๊ฒƒ์œผ๋กœ ์‹œ์ž‘๋ผ. ์ปดํ“จํ„ฐ์—์„œ ์ธ์‡„ ๋ช…

๋ น์„ ๋‚ด๋ฆฌ๋ฉด, ์ด๋ฏธ์ง€๋Š” ๋ ˆ์ด์ € ์‹ ํ˜ธ๋กœ ๋ณ€ํ™˜๋˜๊ณ , ๋ ˆ์ด์ € ์‹ ํ˜ธ๋กœ ๋ณ€ํ™˜๋œ ๋น›์€ ํšŒ์ „ํ•˜๋Š” ๊ฑฐ์šธ์— ๋ฐ˜์‚ฌ๋˜์–ด ๋“œ๋Ÿผ2์— ํˆฌ์‚ฌํ•˜๊ฒŒ ๋˜์ง€. ๋“œ๋Ÿผ์€ ๊ทธ๋ฆผ2์™€ ๊ฐ™์ด ๋ ˆ์ด์ € ๋น›์ด ๋‹ฟ๋Š” ๋ถ€๋ถ„๊ณผ ๋‹ฟ์ง€ ์•Š๋Š” ๋ถ€

๋ถ„์„ ๊ตฌ๋ณ„ํ•˜์—ฌ ๊ฐ๊ฐ ์Œ์ „ํ•˜์™€ ์–‘์ „ํ•˜๋ฅผ ๋ ๊ฒŒ ๋งŒ๋“ค์–ด. ๊ทธ๋‹ค์Œ ๋“œ๋Ÿผ ์œ„์— ๊ฒ€์€ ๋ถ„๋ง์ธ ํ† ๋„ˆ๋ฅผ ๋ฟŒ

๋ฆฌ๊ฒŒ ๋˜๋Š”๋ฐ ์ด๋Š” ๋ณธ๋ž˜ ์–‘์ „ํ•˜๋ฅผ ๋ ๊ณ  ์žˆ๊ธฐ์— ์ธ๋ ฅ์— ์˜ํ•ด ๋ ˆ์ด์ € ๋น›์ด ๋‹ฟ์€ ๋ถ€๋ถ„์— ์˜ฎ๊ฒจ ์•‰๊ฒŒ ๋ผ. ์ด๋ ‡๊ฒŒ ๋˜๋ฉด ํ† ๋„ˆ๋ฅผ ํ†ตํ•ด ์ด๋ฏธ์ง€๊ฐ€ ์ข…์ด ์œ„๋กœ ์ „์†ก๋˜๋Š” ๊ฑฐ์•ผ. ์ข…์ด ์œ„์— ํ† ๋„ˆ๊ฐ€ ์˜ฌ๋ ค์ง€๊ฒŒ ๋˜ ๋ฉด ๊ณ ์˜จ์˜ ๋กค๋Ÿฌ3์— ์˜ํ•ด ์••์ฐฉ๋˜์–ด ํ† ๋„ˆ๊ฐ€ ์šฉ์ง€์— ๋…น์•„ ๋ถ™๊ฒŒ ๋˜๋Š” ๊ฒƒ์ด์ง€! ๊ฐ“ ์ธ์‡„๋œ ์ข…์ด๊ฐ€ ๋”ฐ๋œป ํ•œ ์ด์œ ๊ฐ€ ์—ฌ๊ธฐ์— ์žˆ๋‹ค๋Š” ์ ๋„ ์•Œ ์ˆ˜ ์žˆ๊ฒ ์ง€? ์ด๋Ÿฌํ•œ ๊ณผ์ •์„ ํ†ตํ•ด ๋ ˆ์ด์ € ํ”„๋ฆฐํ„ฐ๊ธฐ๋Š” ๊ณ ํ’ˆ์งˆ์˜

์ถœ๋ ฅ๋ฌผ์„ ์ œ๊ณตํ•˜๋ฉฐ, ๋น„๊ต์  ๋น ๋ฅธ ์ธ์‡„ ์†๋„๋ฅผ ์œ ์ง€ํ•  ์ˆ˜ ์žˆ๊ฒŒ ๋˜๋Š” ๊ฑฐ์•ผ.

์ด์ œ ๊ถ๊ธˆ์ฆ๋„ ํ’€๋ ธ์œผ๋‹ˆ ํ•™๊ต์— ์ง€๊ฐํ•˜์ง€ ์•Š๊ฒŒ ๋นจ๋ฆฌ ๋›ฐ์–ด๊ฐ€์•ผ๊ฒ ์–ด! ๊ทธ๋Ÿผ ์•ˆ๋…•~!

์ •์ง€ํ•ด ์žˆ๋Š” ์ „ํ•˜ ์‚ฌ์ด์— ์ž‘์šฉํ•˜๋Š” ์ธ๋ ฅ์ด๋‚˜ ์ฒ™๋ ฅ

2. ๋ ˆ์ด์ € ํ”„๋ฆฐํ„ฐ๊ธฐ ๋‚ด์—์„œ ํŠน์ˆ˜ ์ฝ”ํŒ…์ด ๋˜์–ด ์žˆ๋Š” ๊ธˆ์† ์‹ค๋ฆฐ๋”

3. ๋ ˆ์ด์ € ํ”„๋ฆฐํ„ฐ๊ธฐ์˜ ๊ตฌ์„ฑ์š”์†Œ๋กœ, ํ”„๋ฆฐํŠธ์ง€๊ฐ€ ํ”„๋ฆฐํ„ฐ๊ธฐ๋ฅผ ํ†ต๊ณผํ•˜๋„๋ก ๋„์™€์ฃผ๋Š” ์žฅ์น˜

๊ทธ๋ฆผ ์ถœ์ฒ˜

๊ทธ๋ฆผ 1. ์ž‰ํฌํ”ผ์•„, <๋ ˆ์ด์ € ํ”„๋ฆฐํ„ฐ์˜ ๊ธฐ์ˆ ์— ๋Œ€ํ•ด ์•Œ์•„๋ด…์‹œ๋‹ค.>, <<ํ”„๋ฆฐํ„ฐ ๊ฟ€์ง€์‹>>, 2017.06.21, https://blog.naver.com/inkpia01/221034077006

๊ทธ๋ฆผ 2. ์ž๋ฐ”ํ…Œํฌ, <OPC ๋“œ๋Ÿผ์ด๋ž€?>, <<์žฌ์ƒํ† ๋„ˆ ์ด์•ผ๊ธฐ>>, 2017.10.12, https://blog.naver.com/kukuny/221115158252

์ฐธ๊ณ ์ž๋ฃŒ

1. ์ตœํ˜ธ์„ญ, ใ€Œ๋„ํŠธ, ์ž‰ํฌ์ ฏ, ๋ ˆ์ด์ €โ€ฆํ”„๋ฆฐํ„ฐ๋Š” ์–ด๋–ป๊ฒŒ ์ง„ํ™”ํ•˜๊ณ  ์žˆ์„๊นŒใ€, ใ€Ž๋™์•„์‚ฌ์ด์–ธ์Šคใ€, 2016.05.08, https://m.dongascience. com/news.php?idx=11962

2. ์ฑ„์˜๋ฏผ ์™ธ 3์ธ, ใ€ŒLaser ํ”„๋ฆฐํ„ฐ์— ์‘์šฉ๋˜๋Š” ์œ ๋„๊ฐ€์—ด ๊ธฐ์ˆ ใ€, ์ „๋ ฅ์ „์žํ•™ํšŒ์ง€, 2005, p.1-2.

๊ฐ์ฃผ 1.
๊ณต๋Œ€์ƒ์ด ๋ณด๋Š” ์„ธ์ƒ. IV ๊ทธ๋ฆผ 1. ๋ ˆ์ด์ € ํ”„๋ฆฐํ„ฐ๊ธฐ์˜ ๊ตฌ์„ฑ ๊ทธ๋ฆผ 2. ๋“œ๋Ÿผ์ด ์ด๋ฏธ์ง€๋ฅผ ๋งŒ๋“œ๋Š” ์›๋ฆฌ 57

๋ถ„์ž์˜ ๋Œ€์นญ์„ฑ

๊ธ€ ์‹ ์†Œ์žฌ๊ณตํ•™๊ณผ 22ํ•™๋ฒˆ 28๊ธฐ ์•Œ๋ฆฌ๋ฏธ ์œค์ •ํ˜„

์šฐ๋ฆฌ๋Š” ํ”ํžˆ ๊ฝƒ์ด๋‚˜ ๋‚˜๋น„๊ฐ™์ด ์ขŒ์šฐ ๋˜๋Š” ์ƒํ•˜๋กœ ๊ทธ

๋ชจ์–‘์ด ๋น„์Šทํ•œ ๋ฌผ์ฒด๋ฅผ ๋ณผ ๋•Œ โ€˜๋Œ€์นญ์ ์ด๋‹คโ€™๋ผ๊ณ  ํ‘œ ํ˜„ํ•˜์ฃ . ๊ทธ๋Ÿฌ๋‚˜ ์ˆ˜ํ•™์ ์ธ ๋Œ€์นญ์€ ์ด๋ณด๋‹ค ๋” ์—„๋ฐ€ํ•ฉ

๋‹ˆ๋‹ค. ์ˆ˜ํ•™์ ์ธ ๋Œ€์นญ์€ ๋ฌด์–ธ๊ฐ€์— ์–ด๋–ค ๋ณ€ํ™˜์„ ๊ฐ€ํ–ˆ

์„ ๋•Œ ์›๋ž˜์˜ ๊ตฌ์กฐ๋ฅผ ์œ ์ง€ํ•˜๋Š” ๊ฒƒ์„ ๋งํ•ฉ๋‹ˆ๋‹ค. ์ด๋Ÿฌ ํ•œ ์ˆ˜ํ•™์  ๋Œ€์นญ์€ ํ™”ํ•™์—์„œ ๋ถ„์ž๋ฅผ ๊ตฌ๋ณ„ํ•˜๊ณ , ๊ทธ ํŠน

์ง•์„ ์„ค๋ช…ํ•˜๋Š” ๋ฐ ๊ต‰์žฅํžˆ ์œ ์šฉํ•œ๋ฐ์š”. ์ด๋ฒˆ ๊ธ€์—์„œ

๋Š” ๋ถ„์ž์˜ ๋Œ€์นญ์„ฑ์— ๋Œ€ํ•ด์„œ ์•Œ์•„๋ณด๊ณ , ์šฐ๋ฆฌ์—๊ฒŒ ์ต

์ˆ™ํ•œ ๋ถ„์ž๋“ค์˜ ๋Œ€์นญ ์š”์†Œ๊ฐ€ ๋ฌด์—‡์ธ์ง€๊นŒ์ง€ ๊ฒฐ์ •ํ•ด

๋ณด๊ฒ ์Šต๋‹ˆ๋‹ค!

์ˆ˜ํ•™์  ๋Œ€์นญ์„ฑ์€ ๋Œ€์นญ ์š”์†Œ์™€ ๋Œ€์นญ ์กฐ์ž‘์„ ๊ธฐ์ค€์œผ

๋กœ ํŒ๋‹จํ•ฉ๋‹ˆ๋‹ค. ๋Œ€์นญ ์š”์†Œ๋ž€ ๋Œ€์นญ์˜ ๊ธฐ์ค€์ด ๋  ์ˆ˜

์žˆ๋Š” ๊ฒƒ์ด๋ฉฐ, ๋Œ€์นญ ์กฐ์ž‘์ด๋ž€ ์ด๋Ÿฌํ•œ ๋Œ€์นญ ์š”์†Œ๋ฅผ ๊ธฐ

์ค€์œผ๋กœ ์›๋ž˜์˜ ์œ„์น˜์™€ ๊ตฌ๋ณ„์ด ๋ถˆ๊ฐ€๋Šฅํ•œ ์œ„์น˜๋กœ ๋ฌผ ์ฒด๋ฅผ ์˜ฎ๊ธฐ๋Š” ์กฐ์ž‘์„ ๋งํ•ฉ๋‹ˆ๋‹ค. ๋ถ„์ž์˜ ๊ฒฝ์šฐ, ๊ฑฐ์šธ๋ฉด, ์„ (๋Œ€์นญ์ถ•), ์ (๋Œ€์นญ ์ค‘์‹ฌ)์„ ๋Œ€์นญ ์š”์†Œ๋กœ ๊ฐ€์งˆ ์ˆ˜ ์žˆ์Šต๋‹ˆ๋‹ค. ๊ทธ๋Ÿผ ๋Œ€์นญ ์กฐ์ž‘์—๋Š” ์–ด๋– ํ•œ ๊ฒƒ๋“ค์ด ์žˆ๋Š” ์ง€ ์•Œ์•„๋ด…์‹œ๋‹ค.

๋จผ์ € ํšŒ์ „ ์กฐ์ž‘(Rotation Operation, Cn)์€

๋งŒํผ ์‹œ๊ณ„ ๋ฐ˜๋Œ€ ๋ฐฉํ–ฅ์œผ๋กœ ํšŒ์ „ํ•˜๋Š” ๋Œ€์นญ ์กฐ์ž‘์ž…๋‹ˆ๋‹ค.

๊ทธ๋ฆผ 1.

NH3 ๋ถ„์ž์˜ ๋Œ€์นญ ์š”์†Œ

NH3์˜ ๊ตฌ์กฐ๋Š” ์œ„ ๊ทธ๋ฆผ๊ณผ ๊ฐ™์€๋ฐ์š”. N ์›์ž๋ฅผ ํ†ต๊ณผ

ํ•˜๋Š” z ๋ฐฉํ–ฅ ์ถ•์„ ๊ธฐ์ค€์œผ๋กœ 120ยฐ ํšŒ์ „์‹œํ‚ค๋ฉด ๊ธฐ์กด

๊ณผ ์™„๋ฒฝํ•˜๊ฒŒ ์ผ์น˜ํ•ฉ๋‹ˆ๋‹ค. ๋”ฐ๋ผ์„œ NH3๋Š” C3 ๋Œ€์นญ

์กฐ์ž‘์ด ๊ฐ€๋Šฅํ•˜๊ณ , ์ด๋•Œ ๊ธฐ์ค€์ด ๋˜๋Š” ํšŒ์ „์ถ•์„ C3 ๋Œ€

์นญ ์š”์†Œ๋ผ๊ณ  ๋ถ€๋ฆ…๋‹ˆ๋‹ค. ๋ถ„์ž์—๋Š” ํ•œ ๊ฐœ ์ด์ƒ์˜ ํšŒ์ „

์กฐ์ž‘์ด ์กด์žฌํ•  ์ˆ˜ ์žˆ๋Š”๋ฐ์š”. ๊ทธ์ค‘ n ์ด ๊ฐ€์žฅ ํฐ Cn

์˜ ํšŒ์ „์ถ•์„ ์ฃผ์ถ•์ด๋ผ๊ณ  ๋ถ€๋ฆ…๋‹ˆ๋‹ค. ์ฃผ์ถ•์€ ์ขŒํ‘œ๊ณ„

์˜ ๊ธฐ์ค€์ด๊ธฐ์— ์ฃผ์ถ•์„ ์ฐพ๋Š” ๊ฒƒ์ด ํšŒ์ „ ์กฐ์ž‘์—์„œ ๊ฐ€

์žฅ ์ค‘์š”ํ•œ ๋ถ€๋ถ„์ด๋ผ๊ณ  ํ•  ์ˆ˜ ์žˆ์Šต๋‹ˆ๋‹ค.

์ง€์‹๋”ํ•˜๊ธฐ + ๋ถ„์ž์˜ ๋Œ€์นญ์„ฑ

๊ทธ๋‹ค์Œ์€ ๋ฐ˜์‚ฌ ์กฐ์ž‘(Reflection Operation, ฯƒ)์ž…

๋‹ˆ๋‹ค. ๋ฐ˜์‚ฌ ์กฐ์ž‘์˜ ๊ธฐ์ค€์ด ๋˜๋Š” ๋Œ€์นญ ์š”์†Œ๋Š” ๊ฑฐ์šธ๋ฉด

ฯƒ ์ธ๋ฐ์š”. ๋‹ค์‹œ NH3 ๋ถ„์ž๋กœ ๋Œ์•„์™€ ๋ด…์‹œ๋‹ค. ๊ทธ๋ฆผ 1

์„ ๋ณด๋ฉด ์ด 3๊ฐœ์˜ ๊ฑฐ์šธ๋ฉด ฯƒ ๊ฐ€ ์žˆ๋Š” ๊ฒƒ์„ ํ™•์ธํ•  ์ˆ˜

์žˆ์Šต๋‹ˆ๋‹ค. ์ด ๊ฑฐ์šธ๋ฉด ฯƒ ๋ฅผ ๊ธฐ์ค€์œผ๋กœ ๋ถ„์ž๋ฅผ ๋Œ€์นญ์‹œํ‚ค

๋ฉด ๋ฐ˜์‚ฌ ์กฐ์ž‘ ์ด์ „๊ณผ ์™„์ „ํžˆ ์ผ์น˜ํ•˜๊ฒŒ ๋˜๋ฏ€๋กœ ฯƒ ๋Œ€

์นญ ์กฐ์ž‘์ด ๊ฐ€๋Šฅํ•ฉ๋‹ˆ๋‹ค. ๊ทธ๋ฆผ 1์—์„œ ฯƒ ์•„๋ž˜์˜ ์ฒจ์ž

๋Š” ๋ฐ˜์‚ฌ ์กฐ์ž‘์˜ ์ข…๋ฅ˜๋ฅผ ๊ฒฐ์ •ํ•˜๋Š”๋ฐ์š”. ๋ฐ˜์‚ฌ ์กฐ์ž‘์€

ํฌ๊ฒŒ ๋‘ ๊ฐ€์ง€๋กœ ๋‚˜๋‰ฉ๋‹ˆ๋‹ค. ๋ฐ”๋กœ ์ฃผ์ถ•์— ์ˆ˜์ง์ธ ๊ฑฐ์šธ

๋ฉด์ธ ฯƒ h(Horizontal mirror plane)์™€ ์ฃผ์ถ•์„ ํฌํ•จ

ํ•˜๋Š” ๊ฑฐ์šธ๋ฉด์ธ ฯƒ v (Vertical mirror plane)์ž…๋‹ˆ๋‹ค.

NH3 ๋ถ„์ž์˜ ๊ฑฐ์šธ๋ฉด์€ ์ฃผ์ถ•์ธ C3๋ฅผ ํฌํ•จํ•˜๋ฏ€๋กœ ฯƒ v

์— ํ•ด๋‹นํ•ฉ๋‹ˆ๋‹ค.

์„ธ ๋ฒˆ์งธ๋Š” ๋ฐ˜์ „ ์กฐ์ž‘(Inversion Operation, i )์ž…

๋‹ˆ๋‹ค. i ๋Š” ๋Œ€์นญ์ ์„ ๊ธฐ์ค€์œผ๋กœ ๋ถ„์ž๋ฅผ ๋Œ€์นญ์‹œ์ผฐ์„

๋•Œ ๊ธฐ์กด๊ณผ ์ผ์น˜ํ•˜๋Š” ๋Œ€์นญ ์กฐ์ž‘์„ ๋งํ•˜๋Š”๋ฐ์š”.

S4๋Š” ๊ทธ๋ฆผ 3์˜ CH4 ๋ถ„์ž์ฒ˜๋Ÿผ C ์›์ž๋ฅผ ํฌํ•จํ•œ z

๋ฐฉํ–ฅ ์ถ•์„ ๊ธฐ์ค€์œผ๋กœ 90ยฐ ํšŒ์ „(C4 )ํ•˜๊ณ  C ์›์ž๋ฅผ ํฌ

ํ•จํ•œ ๊ฑฐ์šธ๋ฉด์„ ๊ธฐ์ค€์œผ๋กœ ๋Œ€์นญ(ฯƒh)ํ•˜๋Š” ์กฐ์ž‘์ž…๋‹ˆ๋‹ค.

๋งˆ์ง€๋ง‰์œผ๋กœ ๋™๋“ฑ ์กฐ์ž‘(Identity Operation, E)์ด

์žˆ์Šต๋‹ˆ๋‹ค. ์ด ์กฐ์ž‘์€ ์‹ค์ œ ๋ถ„์ž์—๋Š” ์•„๋ฌด๋Ÿฐ ๋ณ€ํ™”๋ฅผ

์ฃผ์ง€ ์•Š์ง€๋งŒ, ๋Œ€์นญ ์กฐ์ž‘์˜ ๊ณฑ(์˜ˆ๋ฅผ ๋“ค์–ด, S4 ร— E =

S4) ๋“ฑ ์ˆ˜ํ•™์  ์™„๊ฒฐ์„ฑ์„ ์œ„ํ•œ ๊ฒƒ์ž…๋‹ˆ๋‹ค. ๊ทธ๋Ÿฌ๋ฉด ์šฐ

๋ฆฌ์—๊ฒŒ ์ต์ˆ™ํ•œ ๋ถ„์ž์ธ H2 O์˜ ๋Œ€์นญ ์š”์†Œ๋ฅผ ์ฐพ์•„๋ณผ

๊นŒ์š”?

๊ทธ๋ฆผ 2. C2 H6 ๋ถ„์ž์˜ ๋ฐ˜์ „ ์กฐ์ž‘ ๊ทธ๋ฆผ 4. H2O ๋ถ„์ž์˜ ๋Œ€์นญ ์š”์†Œ

์œ„ ๊ทธ๋ฆผ 2์˜ C2 H6 ๋ถ„์ž๋ฅผ ๋ด…์‹œ๋‹ค. ๋‘ C ์›์ž์˜ ์ค‘

์‹ฌ์ ์„ ๊ธฐ์ค€์œผ๋กœ ๊ฐ ์›์ž๋ฅผ ๋Œ€์นญ์‹œํ‚ค๋ฉด ๋Œ€์นญ ์ด์ „

๊ณผ ๊ตฌ๋ณ„์ด ๋ถˆ๊ฐ€๋Šฅํ•ฉ๋‹ˆ๋‹ค. ๋”ฐ๋ผ์„œ C2 H6 ๋ถ„์ž๋Š” i ๋Œ€

์นญ ์กฐ์ž‘์ด ๊ฐ€๋Šฅํ•˜๋ฉฐ, ์ด๋•Œ ๋‘ C ์›์ž์˜ ์ค‘์‹ฌ์ ์€ ๋Œ€

์นญ ์š”์†Œ๊ฐ€ ๋ฉ๋‹ˆ๋‹ค.

๋„ค ๋ฒˆ์งธ๋Š” ํšŒ์ „ ๋ฐ˜์‚ฌ ์กฐ์ž‘(Rotation - Reflection

Operation, Sn)์ž…๋‹ˆ๋‹ค. Sn๋Š” ๋ง ๊ทธ๋Œ€๋กœ ํšŒ์ „ ์กฐ์ž‘ ๊ณผ ๋ฐ˜์‚ฌ ์กฐ์ž‘์ด ํ•ฉ์ณ์ง„ ์กฐ์ž‘์ž…๋‹ˆ๋‹ค.

CH4 ๋ถ„์ž์˜ ํšŒ์ „ ๋ฐ˜์‚ฌ ์กฐ์ž‘

H2 O๋Š” ์ด 4๊ฐœ์˜ ๋Œ€์นญ ์š”์†Œ๋ฅผ ์ฐพ์„ ์ˆ˜ ์žˆ๋Š”๋ฐ์š”. ๋ฐ”

๋กœ E ์™€ C2 , ๊ทธ๋ฆฌ๊ณ  ๋‘ ์ข…๋ฅ˜์˜ ฯƒ v ์ž…๋‹ˆ๋‹ค. ์ด์ œ ๊ฐ„๋‹จํ•œ

๋ถ„์ž์˜ ๋Œ€์นญ ์š”์†Œ์™€ ๋Œ€์นญ ์กฐ์ž‘์„ ์ฐพ์„ ์ˆ˜ ์žˆ๊ฒ ์ฃ ?

์ง€๊ธˆ๊นŒ์ง€ ๋ถ„์ž์˜ ๋Œ€์นญ์„ฑ์— ๋Œ€ํ•ด ์•Œ์•„๋ณด์•˜๋Š”๋ฐ์š”.

๋ถ„์ž์˜ ๋Œ€์นญ์„ฑ์„ ์ด์šฉํ•˜๋ฉด ์˜ค๋น„ํƒˆ์˜ ๊ฒฐํ•ฉ๊ณผ ๋ถ„์ž

์˜ ์ง„๋™ ๋“ฑ ๋‹ค์–‘ํ•œ ์ •๋ณด๋ฅผ ์–ป์„ ์ˆ˜ ์žˆ์Šต๋‹ˆ๋‹ค. ๋ถ„

์ž์˜ ๋Œ€์นญ์„ฑ์„ ์ด์šฉํ•˜์—ฌ ์˜ค๋น„ํƒˆ์˜ ๊ฒฐํ•ฉ๊ณผ ๋ถ„์ž

์˜ ์ง„๋™์„ ์„ค๋ช…ํ•˜๋Š” ๋ฐฉ๋ฒ•์ด ๊ถ๊ธˆํ•˜์‹  ๊ตฌ๋…์ž๋ถ„๋“ค

์€ ๋Œ€์นญ์„ฑ์ด ๋น„์Šทํ•œ ๋ถ„์ž๋“ค์˜ ์ง‘ํ•ฉ์ธ ์ ๊ตฐ(Point Group)๊ณผ ์ง€ํ‘œํ‘œ(Character Table)๋ฅผ ๊ณต๋ถ€ํ•ด ๋ณด

์‹œ๋Š” ๊ฑธ ์ถ”์ฒœํ•ด ๋“œ๋ฆฝ๋‹ˆ๋‹ค!

๊ทธ๋ฆผ ์ถœ์ฒ˜

๊ทธ๋ฆผ 1. Donald A, McQuarrie, and John D. Simon. Physical Chemistry: A Molecular Approach. 1st ed., University Science Books, 1997.

๊ทธ๋ฆผ 2. James E Huheey, Ellen A Keiter, and Richard L. Keiter.

ใ€Ž๋ฌด๊ธฐํ™”ํ•™ใ€. ๊น€์ • ์˜ฎ๊น€. ์ž์œ ์•„์นด๋ฐ๋ฏธ. 2011.

๊ทธ๋ฆผ 3. ๊ทธ๋ฆผ 2์™€ ๋™์ผ

๊ทธ๋ฆผ 4. โ€œConstruct SALCs and the molecular orbital diagram for H2O.โ€ Libretexts chemistry. 2024. https://chem. libretexts.org/Courses/University_of_California_Davis/Chem_124A%3A_Fundamentals_of_Inorganic_ Chemistry/06%3A_Larger_%28Polyatomic%29_ Molecules/6.03%3A_H2O.

์ง€์‹ ๋”ํ•˜๊ธฐ 1
360ยฐ n ๊ทธ๋ฆผ 3.
58

๋ฐ˜๋„์ฒด ๋‚ด ์บ๋ฆฌ์–ด ๋†๋„

๊ธ€ ์ „์ž์ „๊ธฐ๊ณตํ•™๊ณผ 22ํ•™๋ฒˆ 28๊ธฐ ์•Œ๋ฆฌ๋ฏธ ์กฐ์†Œํ˜œ

์บ๋ฆฌ์–ด ๋†๋„1๋Š” ๋ฐ˜๋„์ฒด ์†Œ์ž์˜ ๋™์ž‘์„ ์˜ˆ์ธกํ•˜๊ธฐ ์œ„ํ•ด ํ•„์š”ํ•œ ์•„์ฃผ ๊ธฐ๋ณธ์ ์ธ ๊ฐœ

๋… ์ค‘ ํ•˜๋‚˜์ž…๋‹ˆ๋‹ค. ์บ๋ฆฌ์–ด ๋†๋„๋ฅผ ์•Œ๋ฉด ๋ฐ˜๋„์ฒด์˜ ์ „๊ธฐ์ „๋„๋„๋ฅผ ์•Œ ์ˆ˜ ์žˆ์„ ๋ฟ๋งŒ

์•„๋‹ˆ๋ผ, ์บ๋ฆฌ์–ด์˜ ์ด๋™์„ ์˜ˆ์ธกํ•˜๊ณ  ์กฐ์ ˆํ•จ์œผ๋กœ์จ ๋ฐ˜๋„์ฒด ์†Œ์ž๊ฐ€ ์šฐ๋ฆฌ๊ฐ€ ์›ํ•˜๋Š”

๋™์ž‘์„ ํ•˜๋„๋ก ๋งŒ๋“ค ์ˆ˜ ์žˆ์Šต๋‹ˆ๋‹ค. ์˜ค๋Š˜์€ ๋ฐ˜๋„์ฒด ๋‚ด ์บ๋ฆฌ์–ด ๋†๋„ ๊ตฌํ•˜๋Š” ๋ฒ•์„

์•Œ์•„๋ณด๊ฒ ์Šต๋‹ˆ๋‹ค!

โžŠ ํŽ˜๋ฅด๋ฏธ ์ค€์œ„์™€ Density of States

ํŽ˜๋ฅด๋ฏธ-๋””๋ฝ ๋ถ„ํฌ๋Š” ์—ด์ ํ‰ํ˜•์ƒํƒœ์—์„œ ํŽ˜๋ฅด๋ฏธ์˜จ2์ด ๋ณด์ด๋Š” ํ†ต๊ณ„์  ๋ถ„ํฌ์ž…๋‹ˆ๋‹ค.

์‰ฝ๊ฒŒ ๋งํ•˜์ž๋ฉด, ์–ด๋–ค ์—๋„ˆ์ง€ ์ค€์œ„์— ์–‘์ž ์ƒํƒœ๋ผ๋Š” ๋ฐฉ์ด ์žˆ๋Š”๋ฐ ๊ทธ ๋ฐฉ์— ์ „์ž๊ฐ€

์กด์žฌํ• (์ฑ„์›Œ์งˆ) ํ™•๋ฅ ์„ ์˜๋ฏธํ•ฉ๋‹ˆ๋‹ค. ํŽ˜๋ฅด๋ฏธ-๋””๋ฝ ํ™•๋ฅ  ํ•จ์ˆ˜๋Š” ๋‹ค์Œ๊ณผ ๊ฐ™์Šต๋‹ˆ๋‹ค.

f (E ) = e (E E ) /kT + 1 1

k :๋ณผ์ธ ๋งŒ์ƒ์ˆ˜, Ef :ํŽ˜๋ฅด๋ฏธ์ค€์œ„

์‹์„ ํ†ตํ•ด ์ด ํ•จ์ˆ˜๋Š” E(์—๋„ˆ์ง€)์— ๋Œ€ํ•œ ํ•จ์ˆ˜์ด๋ฉฐ, Ef ๊ฐ€ ๋ณ€ํ•˜๋ฉด ํ•จ์ˆ˜๊ฐ€ E์ถ•์„

๋”ฐ๋ผ ์ด๋™ํ•จ์„ ์•Œ ์ˆ˜ ์žˆ์Šต๋‹ˆ๋‹ค. f (E )๊ฐ€ ์ „์ž๊ฐ€ ์กด์žฌํ•  ํ™•๋ฅ ์ด๋ผ๋ฉด 1โ€“ f (E )๋Š”

์ „์ž๊ฐ€ ๋น„์›Œ์งˆ ํ™•๋ฅ , ์ฆ‰ ์ •๊ณต์ด ์กด์žฌํ•  ํ™•๋ฅ ์ด๋ฉฐ ๋‘ ํ™•๋ฅ ์˜ ๋Œ€์†Œ๋Š” Ef ๋ฅผ ๊ธฐ์ค€์œผ

๋กœ ๋’ค๋ฐ”๋€๋‹ˆ๋‹ค. ์ด ์ ์„ ์œ ์˜ํ•˜๊ณ  ๊ทธ๋ฆผ 1์˜ ๊ทธ๋ž˜ํ”„๋ฅผ ๊ด€์ฐฐํ•˜๋ฉด Ef ์—์„œ ๋ฉ€์–ด์งˆ์ˆ˜

๋ก ์ „์ž ๋˜๋Š” ์ •๊ณต์ด ์กด์žฌํ•  ํ™•๋ฅ ์ด ์ค„์–ด๋“œ๋Š” ๊ฒƒ์„ ๋ณผ ์ˆ˜ ์žˆ์„ ๊ฒ๋‹ˆ๋‹ค! ์ด๋•Œ ํŽ˜

๋ฅด๋ฏธ ์ค€์œ„๋Š” ๊ฐ ์บ๋ฆฌ์–ด๊ฐ€ ์กด์žฌํ•  ํ™•๋ฅ ์ด 50%๊ฐ€ ๋˜๋Š” ์ค€์œ„๋ฅผ ๋งํ•ฉ๋‹ˆ๋‹ค.

1โ€“ f (E ) : ๋น„์›Œ์งˆ ํ™•๋ฅ 

f (E ) : ์ฑ„์›Œ์งˆ ํ™•๋ฅ  ๊ทธ๋ฆผ 1. ์˜จ๋„์— ๋”ฐ๋ฅธ ํŽ˜๋ฅด๋ฏธ ํ•จ์ˆ˜์˜ ๋ณ€ํ™”

์ „์ž๊ฐ€ ์ฑ„์›Œ์งˆ ํ™•๋ฅ ์ด 0์ด ์•„๋‹ˆ๋”๋ผ๋„ ์ „์ž๊ฐ€ ์ฑ„์›Œ์งˆ ์ˆ˜ ์žˆ๋Š” ๋ฐฉ์ด ์—†๋‹ค๋ฉด, ์ „

์ž๋Š” ๊ทธ ์ค€์œ„์— ์กด์žฌํ•˜์ง€ ๋ชปํ•˜๊ฒ ์ฃ ? โ€˜ํŠน์ • ์—๋„ˆ์ง€ ์ค€์œ„์— ๋ช‡ ๊ฐœ์˜ ์ „์ž(๋˜๋Š” ์ • ๊ณต)๊ฐ€ ์กด์žฌํ•  ์ˆ˜ ์žˆ๋Š”๊ฐ€โ€™๋ฅผ ๋‚˜ํƒ€๋‚ด๋Š” ์ง€ํ‘œ๊ฐ€ ๋ฐ”๋กœ DOS(Density of States)์ž… ๋‹ˆ๋‹ค. ๊ทธ๋ฆผ 2์˜ ๋‘ ๋ฒˆ์งธ ๊ทธ๋ž˜ํ”„๋ฅผ ๋ณด๋ฉด, ๋ฐด๋“œ๊ฐญ ์œ„์ชฝ ๊ทธ๋ž˜ํ”„๋Š” ์ „์ž์˜ DOS, ์•„ ๋ž˜์ชฝ ๊ทธ๋ž˜ํ”„๋Š” ์ •๊ณต์˜ DOS๋ฅผ ๋‚˜ํƒ€๋‚ด๋Š”๋ฐ์š”. ๋ฐด๋“œ๊ฐญ์—์„œ ๋ฉ€์–ด์งˆ์ˆ˜๋ก ์ „์ž์™€

์ •๊ณต์˜ DOS ๋ชจ๋‘ ์ฆ๊ฐ€ํ•˜๋Š” ๊ฒƒ์„ ํ™•์ธํ•  ์ˆ˜ ์žˆ์Šต๋‹ˆ๋‹ค. ๊ทธ๋ ‡๋‹ค๋ฉด ์ด์ œ ์ „์ž๊ฐ€ ๋“ค

์–ด๊ฐˆ ์ˆ˜ ์žˆ๋Š” ๋ฐฉ์˜ ๊ฐœ์ˆ˜์™€ ๊ทธ ๋ฐฉ์— ์ „์ž๊ฐ€ ์กด์žฌํ•  ํ™•๋ฅ ์„ ๊ณฑํ•ด ๋ด…์‹œ๋‹ค. ๊ทธ ๊ฒฐ๊ณผ

์šฐ๋ฆฌ๋Š” ๋งˆ์ง€๋ง‰ ๊ทธ๋ž˜ํ”„, ์ฆ‰ ์—๋„ˆ์ง€ ์ค€์œ„์— ๋”ฐ๋ฅธ ์บ๋ฆฌ์–ด ๋†๋„๋ฅผ ์•Œ ์ˆ˜ ์žˆ์Šต๋‹ˆ๋‹ค!

์ด ๊ทธ๋ž˜ํ”„๋ฅผ ์ ๋ถ„ํ•˜๋ฉด, ๊ฐ๊ฐ์˜ ๋Œ€์—ญ ์ „์ฒด์— ์กด์žฌํ•˜๋Š” ์ „์ž, ์ •๊ณต์˜ ๋†๋„๋ฅผ ์•Œ ์ˆ˜

์žˆ๊ฒ ์ฃ ? ๊ณ„์‚ฐ์€ ์ƒ๋žตํ•˜๊ฒ ์ง€๋งŒ, ๊ทธ ๊ฒฐ๊ณผ๋Š” ๋‹ค์Œ๊ณผ ๊ฐ™์ด ๋‚˜ํƒ€๋‚ฉ๋‹ˆ๋‹ค.

n = Nc exp kT

โ€“ (Ec โ€“ EF ) p = Nv exp kT

(์ „์ž์˜ ๋†๋„)

๊ทธ๋ฆผ 2. ์ง„์„ฑ ๋ฐ˜๋„์ฒด(Intrinsic Semiconductor)3์˜ ์บ๋ฆฌ์–ด ๋†๋„๋ฅผ ๊ตฌํ•˜๋Š” ๊ณผ์ •

โž‹ ๋„ํ•‘์— ๋”ฐ๋ฅธ ํŽ˜๋ฅด๋ฏธ ์ค€์œ„, ์บ๋ฆฌ์–ด ๋†๋„์˜ ๋ณ€ํ™” ๋ฐ˜๋„์ฒด์— ๋ถˆ์ˆœ๋ฌผ์„ ์ถ”๊ฐ€ํ•˜๋ฉด ๋ฐ˜๋„์ฒด์˜ ์ „๊ธฐ์  ํŠน์„ฑ์„ ๋ณ€ํ™”์‹œํ‚ฌ ์ˆ˜ ์žˆ๊ณ , ์ด๋ฅผ ๋„

ํ•‘(Doping)์ด๋ผ๊ณ  ํ•ฉ๋‹ˆ๋‹ค. ๊ทธ๋ ‡๋‹ค๋ฉด ๋„ํ•‘์€ ํŽ˜๋ฅด๋ฏธ ์ค€์œ„์— ์–ด๋–ค ๋ณ€ํ™”๋ฅผ ์ผ์œผํ‚ฌ ๊นŒ์š”? 5์กฑ ์›์†Œ๋ฅผ ๋„ํ•‘ํ•œ nํ˜• ๋ฐ˜๋„์ฒด์˜ ์บ๋ฆฌ์–ด ๋†๋„๋ฅผ ๊ตฌํ•˜๋Š” ๊ณผ์ •์„ ์‚ดํŽด๋ด…์‹œ๋‹ค.

๊ทธ๋ฆผ 3. n ํ˜• ๋ฐ˜๋„์ฒด์˜ ์บ๋ฆฌ์–ด ๋†๋„๋ฅผ ๊ตฌํ•˜๋Š” ๊ณผ์ •

๊ทธ๋ฆผ 3์—์„œ ๋ณผ ์ˆ˜ ์žˆ๋“ฏ์ด 5์กฑ ์›์†Œ์˜ ๋„ํ•‘์€ ํŽ˜๋ฅด๋ฏธ ์ค€์œ„(Ef )๊ฐ€ ๋†’์•„์ง€๊ฒŒ ๋งŒ๋“ญ

๋‹ˆ๋‹ค! Ef ๊ฐ€ ๋ณ€ํ•˜๋ฉด f (E )๊ฐ€ E์ถ•์„ ๋”ฐ๋ผ ์ด๋™ํ•œ๋‹ค๋Š” ๊ฒƒ์„ ๊ธฐ์–ตํ•˜์‹œ๋‚˜์š”? f (E )๋ฅผ

E์ถ• ์ƒ์—์„œ ์–‘์˜ ๋ฐฉํ–ฅ์œผ๋กœ ์ด๋™์‹œํ‚จ ๋’ค DOS์™€ ๊ณฑํ•˜๋ฉด ์ „์ž ๋†๋„๊ฐ€ ์ •๊ณต ๋†๋„

๋ณด๋‹ค ํ›จ์”ฌ ๋†’์•„์กŒ์Œ์„, ๊ทธ๋ž˜ํ”„์˜ ๋ฉด์ ์„ ํ†ตํ•ด ํ™•์ธํ•  ์ˆ˜ ์žˆ์Šต๋‹ˆ๋‹ค. ๋ง๋ถ™์—ฌ, ์•„๊นŒ

๊ตฌํ•œ ์ „์ž, ์ •๊ณต์˜ ๋†๋„ ์‹์—์„œ Ef ๋ฅผ ์กฐ์ ˆํ•˜๋ฉฐ n , p ์˜ ํฌ๊ธฐ ๋ณ€ํ™”๋ฅผ ๊ด€์ฐฐํ•ด๋„ ๊ฐ™

์€ ๊ฒฐ๊ณผ๋ฅผ ์–ป์„ ์ˆ˜ ์žˆ์Šต๋‹ˆ๋‹ค! ์ •๊ณต ๋†๋„๊ฐ€ ์ „์ž ๋†๋„๋ณด๋‹ค ์ปค์ง€๊ธฐ ์œ„ํ•ด์„  ํŽ˜๋ฅด๋ฏธ ์ค€์œ„๊ฐ€ ๋‚ฎ์•„์ ธ์•ผ ํ•œ๋‹ค๋Š” ๊ฒƒ๋„ ์ถ”๋ก ํ•  ์ˆ˜ ์žˆ๊ฒ ์ฃ ?

์ง€๊ธˆ๊นŒ์ง€ ๋ฐ˜๋„์ฒด ๋‚ด ์บ๋ฆฌ์–ด ๋†๋„๋ฅผ ๊ตฌํ•˜๋Š” ๋ฒ•์„ ์•Œ์•„๋ณด์•˜์Šต๋‹ˆ๋‹ค. PN ์ ‘ํ•ฉ, ๊ธˆ ์†-๋ฐ˜๋„์ฒด ์ ‘ํ•ฉ, ์ด์ข…์ ‘ํ•ฉ ๋“ฑ ๋” ๋‹ค์–‘ํ•œ ๋ฐ˜๋„์ฒด์˜ ๋™์ž‘๋“ค์ด ๊ถ๊ธˆํ•˜์‹  ๋ถ„๋“ค์€ ์บ

๋ฆฌ์–ด์˜ ํ‘œ๋™๊ณผ ํ™•์‚ฐ, ์ „์ž-์ •๊ณต์Œ์˜ ์ƒ์„ฑ๊ณผ ์žฌ๊ฒฐํ•ฉ ๋“ฑ์˜ ๊ฐœ๋…์„ ์ดํ•ดํ•œ ๋’ค ํ•ด๋‹น

๋ฐ˜๋„์ฒด์— ๊ด€ํ•ด ๊ณต๋ถ€ํ•ด ๋ณด์‹œ๊ธฐ ๋ฐ”๋ž๋‹ˆ๋‹ค!

์ง€์‹๋”ํ•˜๊ธฐ + ๋ฐ˜๋„์ฒด ๋‚ด ์บ๋ฆฌ์–ด ๋†๋„ ๊ฐ์ฃผ 1. ์ „์ž ๋˜๋Š” ์ •๊ณต๊ณผ ๊ฐ™์ด ๋ฐ˜๋„์ฒด ๋‚ด์—์„œ ์ „๋ฅ˜๋ฅผ ๋งŒ๋“ค์–ด ๋‚ด๋Š” ๊ฒƒ

โ€“ (EF โ€“Ev) (์ •๊ณต์˜ ๋†๋„)

2. ํ™€์ˆ˜์ฐจ ๋ฐ˜์ •์ˆ˜์˜ ์Šคํ•€์„ ๊ฐ€์ง€๋Š” ์ž…์ž๋กœ, ์ „์ž๊ฐ€ ๋Œ€ํ‘œ์ ์ž„

3. ๋ถˆ์ˆœ๋ฌผ์„ ์ฒจ๊ฐ€ํ•˜์ง€ ์•Š์€ ์ˆœ์ˆ˜ํ•œ ๋ฐ˜๋„์ฒด

๊ทธ๋ฆผ ์ถœ์ฒ˜

๊ทธ๋ฆผ 1, 2, 3 Ben G. Streetman, and Sanjay Kumar Banerjee. Solid State Electronic Devices. 7th ed., Pearson, 2014.

์ฐธ๊ณ  ์ž๋ฃŒ

Ben G. Streetman, and Sanjay Kumar Banerjee. ใ€Ž๊ณ ์ฒด์ „์ž๊ณตํ•™ใ€. ๊ณฝ๊ณ„๋‹ฌ, ๊น€์„ฑ์ค€, ์ „๊ตญ์ง„ ์˜ฎ๊น€. ์„ฑ ์ง„๋ฏธ๋””์–ด, 2015๋…„.

์ง€์‹ ๋”ํ•˜๊ธฐ 2
59

๋ผ๊ทธ๋ž‘์ง€์•ˆ ์—ญํ•™

Lagrangian Mechanics

๊ธ€ ๊ธฐ๊ณ„๊ณตํ•™๊ณผ 22ํ•™๋ฒˆ ์ •์ค€ํ˜ธ ํ•ด์„ค์˜์ƒ 5์›” 17์ผ ๊ณต๊ฐœ

ํ”„๋ž‘์Šค ์ˆ˜ํ•™์ž ์กฐ์ œํ”„ ๋ฃจ์ด ๋ผ๊ทธ๋ž‘์ฃผ(J. L. Lagrange, 1736 โ€“ 1813)๋Š”

โ€œ์—ญํ•™ ์ด๋ก ์„ ๊ฐ„๋žตํ™”ํ•˜๊ณ  ๊ทธ์™€ ์—ฐ๊ด€๋œ ๋ฌธ์ œ๋ฅผ ์˜ˆ์ˆ ์ ์œผ๋กœ ํ’€๊ธฐ ์œ„

ํ•ดโ€ ์ƒˆ๋กœ์šด ์—ญํ•™ ์ฒด๊ณ„๋ฅผ ๊ณ ์•ˆํ–ˆ๋‹ค๊ณ  ๊ทธ์˜ ๋…ผ๋ฌธ <Avertissment for Mechanique Analytique>์—์„œ ๋ฐํžŒ ๋ฐ” ์žˆ๋‹ค. ๊ทธ์˜ ์ง€์  ์œ ์‚ฐ์ธ ๋ผ

๊ทธ๋ž‘์ง€์•ˆ ์—ญํ•™์„ ๋ณด๋ฉด ๋ฌด์Šจ ์˜๋ฏธ์ธ์ง€ ์•Œ ๋“ฏํ•˜๋‹ค.

๋ผ๊ทธ๋ž‘์ฃผ์˜ ์—ญํ•™์€ ํฌ๊ฒŒ ๋‘ ๊ฐ€์ง€ ํ† ๋Œ€๊ฐ€ ํ•„์š”ํ•œ๋ฐ, (1) ๊ตฌ์†์กฐ๊ฑด์˜

์ƒ์ •๊ณผ (2) ์ผ๋ฐ˜ํ™” ์ขŒํ‘œ์˜ ๊ตฌ์ถ•์ด๋‹ค. ๊ตฌ์†์กฐ๊ฑด์€ ๋ถ„์„ํ•˜๊ณ ์ž ํ•˜๋Š” ๊ณ„

์˜ ํŠน์„ฑ์„ ํŒŒ์•…ํ•˜๋Š” ๋ฐ ํฐ ๋„์›€์ด ๋œ๋‹ค. ๋Œ€ํ‘œ์ ์ธ ๊ตฌ์†์กฐ๊ฑด์ด์ž ์šฐ๋ฆฌ

๊ฐ€ ํ•„์š”ํ•œ ๊ฑด ์•„๋ž˜์˜ ์ข…๋ฅ˜์ด๋‹ค.

(1) ํ™€๋กœ๋…ธ๋ฏน ๊ตฌ์† (Holonomic Constraints)

์–ด๋–ค ๊ณ„์— ์กด์žฌํ•˜๋Š” N๋ฒˆ์งธ ์งˆ์ ์˜ ์ขŒํ‘œ๋ฅผ rN ์ด๋ผ๊ณ  ํ•  ๋•Œ, ์งˆ์  ์ขŒํ‘œ

๋“ค ๊ฐ„์˜ ๊ด€๊ณ„์‹์ด ๋‹ค์Œ๊ณผ ๊ฐ™์ด ํ‘œํ˜„๋  ์ˆ˜ ์žˆ๋‹ค๋ฉด ํ•ด๋‹น ๊ณ„๋Š” ํ™€๋กœ๋…ธ๋ฏน

๊ตฌ์†์กฐ๊ฑด์ด ๋ถ€์—ฌ๋  ์ˆ˜ ์žˆ๋‹ค๊ณ  ๋งํ•œ๋‹ค.

f (r1, r2 , r3 , , rN , t ) = 0

ํ™€๋กœ๋…ธ๋ฏน ๊ตฌ์†์กฐ๊ฑด์€ ๊ณ„์˜ ํŠน์„ฑ์„ ๋ฐฉ์ •์‹์ด๋ผ๋Š” ๋ช…ํ™•ํ•œ ํ‘œํ˜„์ˆ˜๋‹จ์œผ

๋กœ ๋‚˜ํƒ€๋‚ธ๋‹ค๋Š” ๊ฒƒ์— ์˜์˜๊ฐ€ ์žˆ์œผ๋ฉฐ, ์ด๋Ÿฌํ•œ ๋ชจ๋ธ๋ง ๋ฐฉ์‹์€ ๋งค์šฐ ์ค‘์š”

ํ•œ ๋ถ€๋ถ„ ์ค‘ ํ•˜๋‚˜์ด๋‹ค.

(2) ์ผ๋ฐ˜ํ™” ์ขŒํ‘œ (Generalized Coordinates)

๊ตฌ์†์กฐ๊ฑด๋ฟ๋งŒ ์•„๋‹ˆ๋ผ ์ขŒํ‘œ๊ณ„์˜ ์ผ๋ฐ˜ํ™” ์—ญ์‹œ ํ•„์š”ํ•˜๋‹ค. ์ง๊ต ์ขŒํ‘œ๊ณ„

๋ง๊ณ ๋„, ๊ณ„์˜ ์šด๋™์„ ๊ฐ€์žฅ ์ž˜ ๋ฌ˜์‚ฌํ•  ์ˆ˜ ์žˆ๋Š” ์ž„์˜์˜ ํ•ด์„ ์š”์†Œ๋ฅผ ์ฐพ์•„

์ขŒํ‘œ๋กœ ์“ฐ๋Š” ๊ฒƒ์ด๋‹ค. ๋”ฐ๋ผ์„œ ์ขŒํ‘œ x์™€ y๊ฐ€ ์•„๋‹ˆ๋ผ, ์ž„์˜์˜ ์ถ•๊ณผ์˜ ๊ฐ

๋„ ฮธ, ์ˆ˜์ง ์ถ•์œผ๋กœ๋ถ€ํ„ฐ์˜ ๊ฑฐ๋ฆฌ d1์ด ๋  ์ˆ˜๋„ ์žˆ๋‹ค. ์ด๋ ‡๊ฒŒ ์ผ๋ฐ˜ํ™”์‹œํ‚จ

์ขŒํ‘œ๊ณ„๋ฅผ ์ผ๋ฐ˜ํ™” ์ขŒํ‘œ๋ผ๊ณ  ๋งํ•˜๋ฉฐ, ์ •์˜๋Š” ๋‹ค์Œ๊ณผ ๊ฐ™๋‹ค.

์–ด๋–ค ์ž…์ž๊ณ„์˜ ๋ฐฐ์œ„๋ฅผ ๊ตฌ์†์กฐ๊ฑด์— ๊ด€๊ณ„์—†์ด ๋ถ„๋ช…ํ•˜๊ฒŒ ๋ช…์‹œํ•˜๋Š” ๋ฐ

ํ•„์š”์ถฉ๋ถ„ํ•œ ๋…๋ฆฝ์ขŒํ‘œ qi ์˜ ์ง‘ํ•ฉ {qi }N i = 1 = {q1 , q2 , q3 , qN} ์„ ์ผ

๋ฐ˜ํ™” ์ขŒํ‘œ๋ผ๊ณ  ํ•œ๋‹ค.

์ž…์ž N ๊ฐœ๊ฐ€ ์กด์žฌํ•˜๋Š” 3์ฐจ์›์ƒ์˜ ๊ณต๊ฐ„์ด ์žˆ๋‹ค๊ณ  ๊ฐ€์ •ํ•ด ๋ณด์ž. ์ผ๋ฐ˜

์ ์œผ๋กœ ์ž…์ž์˜ ์ขŒํ‘œ ์‚ฌ์ด์— k ๊ฐœ์˜ ํ™€๋กœ๋…ธ๋ฏน ๊ตฌ์† ๊ด€๊ณ„๊ฐ€ ์กด์žฌํ•œ๋‹ค

๋Š” ๊ฒƒ์€, ํ•ด๋‹น k ๊ฐœ์˜ ํ™€๋กœ๋…ธ๋ฏน ๋ฐฉ์ •์‹์„ ์ด์šฉํ•ด ์ขŒํ‘œ ๋ณ€์ˆ˜๋ฅผ ์ƒ์‡„์‹œ

ํ‚ฌ ์ˆ˜ ์žˆ๋‹ค๋Š” ๊ฒƒ์„ ์˜๋ฏธํ•œ๋‹ค. ์ฆ‰ 3N ๊ฐœ์˜ ์ขŒํ‘œ๊ฐ€ ์•„๋‹ˆ๋ผ, 3N k ๊ฐœ์˜

์ผ๋ฐ˜ํ™” ์ขŒํ‘œ {qi }i = 1 3N -k ๋ฅผ ํ†ตํ•ด ๊ณ„๋ฅผ ๋ถ„์„ํ•  ์ˆ˜ ์žˆ๊ฒŒ ๋œ๋‹ค.

โ€˜๊ณ„๋ฅผ ๋ถ„์„ํ•œ๋‹คโ€™๋Š” ๊ฒƒ์€ ์ž…์ž๋“ค์˜ ๊ถค์ ์„ Equation of Motion (EOM)์œผ๋กœ ๋‚˜ํƒ€๋‚ผ ์ˆ˜ ์žˆ๋‹ค๋Š” ๊ฒƒ์ธ๋ฐ, ์ฃผ์–ด์ง„ ๊ณ„์—์„œ ์ž…์ž์˜ ๊ถค์ ์„

์™„๋ฒฝํžˆ ์•Œ์•„๋‚ด๋Š” ๊ฒƒ์ด ๋Œ€๋ถ€๋ถ„ ๊ณ ์ „์—ญํ•™์—์„œ ๊ถ๊ทน์ ์œผ๋กœ ๋‹ฌ์„ฑํ•˜๊ณ ์ž

ํ•˜๋Š” ๋ฐ”์ด๊ธฐ ๋•Œ๋ฌธ์ด๋‹ค. ์ด์ œ ๊ณ„์˜ ๋ผ๊ทธ๋ž‘์ง€์•ˆ (Lagrangian)์„ ์ •์˜ ํ•  ๊ฒƒ์ด๋‹ค. ์ผ๋ฐ˜์ ์œผ๋กœ ์–ด๋–ค ์—ญํ•™๊ณ„์—์„œ ๋ผ๊ทธ๋ž‘์ง€์•ˆ์€ ๋‹ค์Œ๊ณผ ๊ฐ™์ด ์ •์˜๋œ๋‹ค.

L = T โˆ’ V

์—ฌ๊ธฐ์„œ T ๋Š” ์šด๋™์—๋„ˆ์ง€, V ๋Š” ํผํ…์…œ ์—๋„ˆ์ง€์ด๋‹ค. ๋ผ๊ทธ๋ž‘์ฃผ๋Š” ์ด ๋ฌผ ๋ฆฌ๋Ÿ‰์„ ์ •์˜ํ•จ์œผ๋กœ์จ ๊ณ„๋ฅผ ๋”์šฑ ์‰ฝ๊ฒŒ ๋ถ„์„ํ•  ์ˆ˜ ์žˆ๋Š” ์ฒด๊ณ„๋ฅผ ๋งˆ๋ จํ•˜

์˜€๋‹ค. ๊ฐ€์žฅ ๊ฐ„๋‹จํ•œ ์ ์šฉ ์‚ฌ๋ก€์ธ โ€˜๋ณด์กด๋ ฅ๊ณ„์˜ ๋ผ๊ทธ๋ž‘์ฃผ ๋ฐฉ์ •์‹โ€™์„ ์†Œ ๊ฐœํ•˜๊ฒ ๋‹ค.

โˆ’ = 0 ( i = 1, 2, 3, โ€ฆ , N )

ํ•ด๋‹น ์‹์€ ์–ด๋– ํ•œ ๋ณด์กด๋ ฅ์ด ์ž‘์šฉํ•˜๋Š” ๊ณต๊ฐ„ ๋‚ด์—์„œ๋„ ์„ฑ๋ฆฝํ•œ๋‹ค๊ณ  ์•Œ

๋ ค์ ธ ์žˆ๋‹ค. ์ด ์‹์€ ๋‹ฌ๋ž‘๋ฒ ๋ฅด์˜ ๊ฐ€์ƒ ๋ณ€์œ„ ์›๋ฆฌ(Dโ€™ Alembert Principle of Virtual Work) ๋ฅผ ํ†ตํ•ด์„œ ์ฆ๋ช…๋  ์ˆ˜ ์žˆ์œผ๋‚˜, ์—ฌ๋ฐฑ์ด ๋ถ€์กฑํ•œ

๊ด€๊ณ„๋กœ ์ฆ๋ช…์€ ์ƒ๋žตํ•œ๋‹ค.1

๊ทธ๋ฆผ 1.

๋Œ€๊ด€๋žŒ์ฐจ๋ฅผ ์ด์ƒ์  ์›์œผ๋กœ ๊ทผ์‚ฌํ•œ ๊ทธ๋ฆผ๊ณผ ์ขŒํ‘œ ์„ค์ •.

๋Œ€๊ด€๋žŒ์ฐจ์˜ ์ค‘์‹ฌ์ด ์›์ ์ด๋‹ค.

๊ทธ๋ ‡๋‹ค๋ฉด ๋†€์ด๊ณต์›์— ์žˆ๋Š” ๋Œ€๊ด€๋žŒ์ฐจ์˜ ์›€์ง์ž„์„ ๋ผ๊ทธ๋ž‘์ง€์•ˆ ์—ญํ•™์„ ํ†ตํ•ด ๋ถ„์„ํ•ด ๋ณด์ž. ์šฐ๋ฆฌ๋Š” ์ด ๊ณ„๋ฅผ ์ด์ƒ์ ์ธ ์ค‘๋ ฅ๊ณ„๋กœ ๊ทผ์‚ฌํ•˜์—ฌ ์ „์ฐจ

1๊ฐœ์˜ EOM์„ ๊ตฌํ•  ์ˆ˜ ์žˆ๋‹ค. ์šฐ์„  ์ „์ฐจ๋Š” ํ™€๋กœ๋…ธ๋ฏน ๊ตฌ์† ์ƒํƒœ์— ์žˆ ๋‹ค. ์ „์ฐจ์˜ ์›€์ง์ž„์€ ์ด์ƒ์ ์ธ ์›์ด๊ธฐ ๋•Œ๋ฌธ์ด๋‹ค. 2์ฐจ์› ์ƒ์˜ ๊ตฌ์†์กฐ ๊ฑด์„ 1๊ฐœ๋ผ ๊ฐ€์ •ํ•œ๋‹ค๋ฉด, ์›์šด๋™์„ ๊ณ ๋ คํ•œ ๊ฐ€์žฅ ์ ์ ˆํ•œ ์ผ๋ฐ˜ํ™” ์ขŒํ‘œ

๋Š” ์ˆ˜ํ‰์„ ์œผ๋กœ๋ถ€ํ„ฐ์˜ ๊ฐ๋„ ๋ณ€์œ„ qi = ฮธ ๋กœ ์ถฉ๋ถ„ํ•  ๊ฒƒ์ด๋‹ค.

โˆ‚L โˆ‚qi d dt โˆ‚L โˆ‚q
i
x = d cos ฮธ y = d sin ฮธ x ฮธ d y 60 ๋งˆ๋ฅด์ฟ ์Šค

๋Œ€๊ด€๋žŒ์ฐจ์˜ ๋ฐ˜์ง€๋ฆ„์„ d , ๊ฐ์†๋„๋ฅผ ฮธ ๋ผ๊ณ  ํ•  ๋•Œ2, ์งˆ๋Ÿ‰ m ์„ ๊ฐ€์ง„ ์ „

์ฐจ์˜ ์šด๋™์—๋„ˆ์ง€ T = m ( ฮธ . d ) 2 ์™€ ํผํ…์…œ์—๋„ˆ์ง€ V = mg ( dsinฮธ )

๋ฅผ ํ†ตํ•ด ๋ผ๊ทธ๋ž‘์ง€์•ˆ L = m ( wd ) 2 โˆ’ mg ( dsinฮธ ) ์„ ๊ตฌํ•  ์ˆ˜ ์žˆ

๋‹ค. ์ด๋ฅผ ํ†ตํ•ด ์ „์ฐจ์˜ ๋ผ๊ทธ๋ž‘์ง€์•ˆ์„ ๋ณด์กด๋ ฅ๊ณ„์˜ ๋ผ๊ทธ๋ž‘์ฃผ ๋ฐฉ์ •์‹

์— ์ ์šฉํ•˜๋ฉด ๊ณ„์‚ฐ ๊ณผ์ •์„ ๊ฑฐ์ณ ์ „์ฐจ์˜ ์›€์ง์ž„์„ ๋‚˜ํƒ€๋‚ด๋Š” EOM์„

๋‹ค์Œ๊ณผ ๊ฐ™์ด ๊ตฌํ•  ์ˆ˜ ์žˆ๋‹ค.3

2 1 2 โˆ’ = โˆ’ = โˆ’ mgd cosฮธ md 2ฮธ = 0 mgd cosฮธ + md 2ฮธ = 0 โˆ‚L

dt

๋‹ค์Œ ๋ฏธ๋ถ„๋ฐฉ์ •์‹์€ ์‹ค์ œ๋กœ ์ „์ฐจ์˜ ์›€์ง์ž„์„ ์™„์ „ํ•˜๊ฒŒ ๊ธฐ์ˆ ํ•  ์ˆ˜

์žˆ์Œ์„ ํ™•์ธํ•  ์ˆ˜ ์žˆ์„ ๊ฒƒ์ด๋‹ค. ๋ผ๊ทธ๋ž‘์ฃผ๋Š” ์ด๋Ÿฐ ๋ฐฉ์‹์œผ๋กœ ์„ธ์ƒ์„

๋ณด๋Š” ์ƒˆ๋กœ์šด ํ‹€์„ ๋งŒ๋“ค์–ด๋‚ผ ์ˆ˜ ์žˆ์—ˆ๋‹ค.

์Œ๊ณก์„  x 2 - y 2 - 1 = 0๊ณผ ์› x 2 + y 2 - 1 = 0 ์‚ฌ์ด์˜

์‚ฌ์˜ ๋ณ€ํ™˜์„ ์ฐพ์•„๋ผ

1. ํ˜น์‹œ๋ผ๋„ ์ด ๋ถ€๋ถ„์— ๊ด€์‹ฌ์žˆ๋Š” ๋…์ž๊ฐ€ ์žˆ๋‹ค๋ฉด Variational Principles in Classical Mechanics, Cline ์„ ์ฐธ๊ณ ํ•ด ๋ณด๋„๋ก ํ•˜์ž.

2. ๋ฌธ์ž ์œ„์˜ ์ ์€ ํ•ด๋‹น ๋ณ€์ˆ˜์˜ ์‹œ๊ฐ„์— ๋Œ€ํ•œ ๋ณ€ํ™”๋Ÿ‰์„ ๋œปํ•˜๋Š” ๊ฒƒ์ด๋‹ค. ์ฆ‰ t์— ๋Œ€ํ•ด ํŽธ๋ฏธ๋ถ„์„ ํ•œ ๊ฒฐ๊ณผ๋ผ๊ณ  ๋ณด๋ฉด ๋œ๋‹ค. ๋ณดํ†ต ๋ฅผ ์“ฐ๊ธฐ ๋ฒˆ๊ฑฐ๋กœ์›Œ์„œ x ๊ฐ™์€ ํ˜•ํƒœ๋กœ ์“ฐ๊ณค ํ•œ๋‹ค.

3. ํŽธ๋ฏธ๋ถ„ ๊ณ„์‚ฐ์„ ๋ชจ๋ฅด๋Š” ์‚ฌ๋žŒ์„ ์œ„ํ•ด ๊ฐ„๋‹จํžˆ ์†Œ๊ฐœํ•˜์ž๋ฉด, ์ด ๊ณ„์‚ฐ์—์„œ ํŽธ๋ฏธ๋ถ„์„ ํ•  ๋•Œ์—๋Š”

ํŽธ๋ฏธ๋ถ„ํ•˜๊ณ ์ž ํ•˜๋Š” ๋ณ€์ˆ˜๋ฅผ ์ œ์™ธํ•œ ๋‚˜๋จธ์ง€ ๋ณ€์ˆ˜๋ฅผ ๋ชจ๋‘ ์ƒ์ˆ˜ ์ทจ๊ธ‰ํ•˜์—ฌ ๋ฏธ๋ถ„์„ ์—ฐ์‚ฐํ•˜๋ฉด

R 1 ์˜ ์„ ํ˜• ๋ณ€ํ™˜(1์ฐจ ํ•จ์ˆ˜ y = cx )์€ 0 ์ด ์•„๋‹Œ ํ•œ ์ ์˜ ํ•จ์ˆซ๊ฐ’ ์— ์˜ํ•ด ์™„์ „ํžˆ ๊ฒฐ์ •๋œ๋‹ค. RP 1 ์—์„œ ์‚ฌ์˜ ๋ณ€ํ™˜์„ ์™„์ „ํžˆ ๊ฒฐ์ •ํ•˜๊ธฐ ์œ„ ํ•ด์„œ๋Š” ์ ์–ด๋„ ๋ช‡ ๊ฐœ์˜ ์ ์—์„œ์˜ ํ•จ์ˆซ๊ฐ’์ด ํ•„์š”ํ•œ๊ฐ€?

x ๊ฐ€ ์œ ํด๋ฆฌ๋“œ ๊ณต๊ฐ„์˜ ์›์†Œ์ผ ๋•Œ, ๋Œ€์‘๋˜๋Š” ์‚ฌ์˜ ๊ณต๊ฐ„์˜ ์›์†Œ๋ฅผ [x]๋กœ ํ‘œ๊ธฐํ•˜์ž.

P ๋ฅผ ์‚ฌ์˜ ์ง์„  ์œ„์˜ ์‚ฌ์˜ ๋ณ€ํ™˜์ด๋ผ ํ•˜๊ณ  L์„ ๊ทธ์— ๋Œ€์‘๋˜๋Š” 2์ฐจ์›

์œ ํด๋ฆฌ๋“œ ๊ณต๊ฐ„์— ๋Œ€ํ•œ ์–ด๋–ค ์„ ํ˜• ๋ณ€ํ™˜์ด๋ผ ํ•˜์ž. ์ฆ‰, P ์˜ ํ–‰๋ ฌ ํ‘œํ˜„

๊ณผ L์˜ ํ–‰๋ ฌ ํ‘œํ˜„์„ ๊ฐ๊ฐ A, B๋ผ ํ•  ๋•Œ, A = cB ์˜ ๊ด€๊ณ„๊ฐ€ ์„ฑ๋ฆฝํ•œ๋‹ค.

์ƒ์ˆ˜ c ๋Š” 0์„ ์ œ์™ธํ•œ ์–ด๋–ค ์ˆ˜๋„ ๊ฐ€๋Šฅํ•˜๋‹ค.

P ๋ฅผ [x]์— ์ž‘์šฉํ•œ ๊ฒฐ๊ณผ๊ฐ€ [y]์ผ ๋•Œ, ์šฐ๋ฆฌ๊ฐ€ ์•Œ ์ˆ˜ ์žˆ๋Š” ๊ฒƒ์€ L(x) =

๋†€์ด๊ณต์›์— ์žˆ๋Š” ๋Œ€๊ด€๋žŒ์ฐจ์˜ ํ•œ ์ „์ฐจ๋ฅผ ๋ณผ ๋•Œ, ์œ„์˜ ์ด์ƒ์ ์ธ

์กฐ๊ฑด ๊ทผ์‚ฌ๊ฐ€ ์ ์šฉ๋œ๋‹ค๋ฉด, ์ „์ฐจ์˜ ์œ„์น˜ r ์— ๋Œ€ํ•˜์—ฌ ํ•ด๋‹น ํ™€๋กœ๋…ธ๋ฏน

๊ตฌ์† ์กฐ๊ฑด ๋ฐฉ์ •์‹ f ( r ) = 0 ์„ ์ง์ ‘ ์ฐพ์•„๋ณด์ž

Q1 Q2

๋Œ€๊ด€๋žŒ์ฐจ์˜ ๋ฐ˜์ง€๋ฆ„์ด d ๋กœ ๋ณ€ํ•œ๋‹ค๋ฉด ๋ผ๊ทธ๋ž‘์ง€์•ˆ L ์ด ์–ด๋–ป

๊ฒŒ ๋ณ€ํ• ์ง€, ๊ทธ๋ฆฌ๊ณ  ๊ทธ ์ด์œ ๋ฅผ ์จ๋ณด๊ณ , ์ด๋•Œ ๋ผ๊ทธ๋ž‘์ฃผ ์—ญํ•™ ์ „๊ฐœ๊ณผ

์ •์„ ํ†ตํ•ด ์ „์ฐจ์˜ EOM์„ ๊ตฌํ•˜๋Š” ๊ณผ์ •์„ ์ ์–ด๋ณด๋ผ

(Hint : ์šด๋™ ์—๋„ˆ์ง€์™€ ํผํ…์…œ ์—๋„ˆ์ง€์˜ ๋ณ€ํ™”๋ฅผ ๊ด€์ฐฐํ•˜๋ฉฐ ์จ๋ณด์ž.)

[ ์ •๋‹ต์ž ] 180ํ˜ธ ๋งˆ๋ฅด์ฟ ์Šค ์ •๋‹ต์ž๋Š” ์—†์Šต๋‹ˆ๋‹ค.

* MARCUS์—๋Š” ํฌ์Šคํ… ์ˆ˜ํ•™๋™์•„๋ฆฌ MARCUS๊ฐ€ ์ œ๊ณตํ•˜๋Š” ์ˆ˜ํ•™ ๋ฌธ์ œ๋ฅผ ์‹ฃ์Šต๋‹ˆ๋‹ค. ์ •๋‹ต๊ณผ ํ•ด์„ค์€ ๋‹ค์Œ ํ˜ธ์— ๋‚˜์˜ต๋‹ˆ๋‹ค.

* ์ด๋ฒˆ ํ˜ธ ๋ฌธ์ œ๋Š” 2024๋…„ 5์›” 14์ผ(ํ™”)๊นŒ์ง€ ์•Œ๋ฆฌ๋ฏธ E-MAIL (postech-alimi@postech.ac.kr)๋กœ ํ’€์ด์™€ ํ•จ๊ป˜ ๋‹ต์•ˆ์„ ๋ณด๋‚ด์ฃผ์„ธ์š”.

* ์ •๋‹ต์ž๊ฐ€ ๋งŽ์„ ๊ฒฝ์šฐ, ๊ฐ„๊ฒฐํ•˜๊ณ  ํ›Œ๋ฅญํ•œ ๋‹ต์•ˆ์„ ๋ณด๋‚ด์ฃผ์‹  ๋ถ„๋“ค ์ค‘ ์ถ”์ฒจ์„ ํ†ตํ•˜์—ฌ ํฌ์Šคํ…์˜ ๊ธฐ๋…ํ’ˆ์„ ๋ณด๋‚ด ๋“œ๋ฆฝ๋‹ˆ๋‹ค. (ํ•™๊ต/ํ•™๋…„์„ ๊ผญ ์ ์–ด ์ฃผ์„ธ์š”.)

ky๊ฐ€ 0์ด ์•„๋‹Œ ์–ด๋–ค ์ƒ์ˆ˜ k ์— ๋Œ€ํ•ด ์„ฑ๋ฆฝํ•œ๋‹ค๋Š” ๊ฒƒ์ด๋‹ค. ๋”ฐ๋ผ์„œ ์„ธ

๊ฐœ์˜ ์ ๋“ค์— ๋Œ€ํ•ด ์‚ฌ์˜ ๋ณ€ํ™˜์„ ๊ฑฐ์นœ ๊ฒฐ๊ณผ๋กœ๋ถ€ํ„ฐ, ๋‹ค์Œ๊ณผ ๊ฐ™์€ ์‹๋“ค

์„ ์„ธ์šธ ์ˆ˜ ์žˆ๋‹ค.

L ( x i) = k i y i ( i = 1, 2, 3)

์ด๋•Œ ์ผ๋ฐ˜์„ฑ์„ ์žƒ์ง€ ์•Š๊ณ  k 3 = 1 ์ด๋ผ ๊ฐ€์ •ํ•  ์ˆ˜ ์žˆ๋Š”๋ฐ, ์ด๋Š” ์‚ฌ์˜ ๊ณต๊ฐ„์˜ ์›์†Œ๋Š” ์ƒ์ˆ˜๋ฐฐ์— ๋Œ€ํ•˜์—ฌ ๋ถˆ๋ณ€์ด๊ธฐ ๋•Œ๋ฌธ์ด๋‹ค. ์ด์ œ x 3 = ax 1 + bx 2 ๋กœ ๋‚˜ํƒ€๋‚ด๋ฉด, ak 1 y 1 + bk 2 y 2 = y 3 ์ด ๋˜๊ณ , ์ด๋กœ๋ถ€ํ„ฐ k 1 , k 2 ๋ฅผ ์•Œ

์ˆ˜ ์žˆ๋‹ค. L ( x i ) = k i y i ( i = 1, 2) ์ด๋ฏ€๋กœ L ๊ณผ P ๋Š” ์ด๋กœ๋ถ€ํ„ฐ ์™„์ „ํžˆ ๊ฒฐ ์ •๋œ๋‹ค. ์ฆ‰, 3๊ฐœ์˜ ์„œ๋กœ ๋‹ค๋ฅธ ์ ์ด ์žˆ์œผ๋ฉด ์ด๋“ค์˜ ํ•จ์ˆซ๊ฐ’์œผ๋กœ ์‚ฌ์˜๋ณ€ ํ™˜์€ ์™„์ „ํžˆ ๊ฒฐ์ •๋œ๋‹ค. ๋‘ ๊ฐœ ์ดํ•˜์˜ ์ ์— ๋Œ€ํ•ด ์œ„ ์‹์„ ๋งŒ์กฑํ•˜๋Š” ์„  ํ˜• ๋ณ€ํ™˜์€ ์ƒ์ˆ˜๋ฐฐ ์ฐจ์ด๋ฅผ ๋ฌด์‹œํ•˜๊ณ ๋„ ๋ฌด์ˆ˜ํžˆ ๋งŽ๋‹ค๋Š” ๊ฒƒ์„ ์‰ฝ๊ฒŒ ์•Œ

์ˆ˜ ์žˆ์œผ๋ฏ€๋กœ, ์‚ฌ์˜ ๋ณ€ํ™˜์„ ์™„์ „ํžˆ ๊ฒฐ์ •ํ•˜๊ธฐ ์œ„ํ•ด์„œ๋Š” ์ ์–ด๋„ ์„ธ ์ ์—

๋Œ€ํ•œ ํ•จ์ˆซ๊ฐ’์ด ํ•„์š”ํ•˜๋‹ค.

1
โˆ‚
โˆ‚L
โˆ‚q
โˆ‚x โˆ‚t [
]
q1
โˆ‚ฮธ d dt d
โˆ‚L
1 โˆ‚L โˆ‚ฮธ
๊ฐ์ฃผ
๋œ๋‹ค. 181ํ˜ธ ๋ฌธ์ œ
1 2 180ํ˜ธ ๋ฌธ์ œ ํ’€์ด Q1 Q2 A1 A2 001 010 100 61

์ž๊ธฐ์ค‘์‹ฌ์  ์„ฑ์žฅ์˜ ์‹œ์ž‘ : ๋‚˜๋งŒ์„ ํ–ฅํ•œ ์ˆ˜ํ—˜

๊ธ€ ๋ฐ˜๋„์ฒด๊ณตํ•™๊ณผ 23ํ•™๋ฒˆ 29๊ธฐ ์•Œ๋ฆฌ๋ฏธ ๊น€์„ธํ˜„

โ€˜๋ถ‰์€ ์—ฌ์™• ๊ฐ€์„คโ€™์„ ๋“ค์–ด๋ณด์‹  ์  ์žˆ์œผ์‹ ๊ฐ€์š”? ์ด์ƒํ•œ ๋‚˜๋ผ์˜ ์•จ๋ฆฌ

์Šค์— ๋“ฑ์žฅํ•˜๋Š” ๋ถ‰์€ ์—ฌ์™•์˜ ์™•๊ตญ์—์„œ๋Š” ์ œ์ž๋ฆฌ์— ๋ฉˆ์ถฐ์žˆ์œผ๋ฉด ๋’ค๋กœ

์ด๋™ํ•˜๊ณ , ๊ทธ ์ž๋ฆฌ๋ฅผ ์œ ์ง€ํ•˜๊ธฐ ์œ„ํ•ด์„œ ๋Š์ž„์—†์ด ๋‹ฌ๋ ค์•ผ ํ•˜๋Š” ์ด์ƒ

ํ•œ ์ผ์ด ๋ฒŒ์–ด์ง‘๋‹ˆ๋‹ค. ์ด ๊ฐ€์„ค์€ ์›๋ž˜ ์ง„ํ™”์ƒ๋ฌผํ•™์—์„œ ์ฃผ๋ณ€ ํ™˜๊ฒฝ๊ณผ

๊ฒฝ์Ÿ์ž๋“ค ์‚ฌ์ด์—์„œ ๋Š์ž„์—†๋Š” ์ง„ํ™”๋ฅผ ๊ฑฐ์ณ ์ ์‘ํ•ด์•ผ๋งŒ ์ž์‹ ์˜ ์กด์žฌ

๋ฅผ ์œ ์ง€ํ•  ์ˆ˜ ์žˆ๋‹ค๋Š” ์˜๋ฏธ๋กœ ์“ฐ์ด๋Š” ๊ฐ€์„ค์ž…๋‹ˆ๋‹ค. ๊ทธ๋Ÿฐ๋ฐ ์ด ์šฉ์–ด๊ฐ€

์ž…์‹œ ๊ฒฝ์Ÿ์—์„œ๋„ ์“ฐ์ด๊ณ  ์žˆ๋‹ค๋Š” ์ด์•ผ๊ธฐ๋ฅผ ๋“ฃ๊ณ  ๋งˆ์Œ์ด ์ฐธ ์•„ํŒ ์Šต

๋‹ˆ๋‹ค. ์ž…์‹œ ๊ฒฝ์Ÿ์—์„œ ํ˜„์žฌ ์ž์‹ ์˜ ์œ„์น˜, ๋‹ค์‹œ ๋งํ•ด ๋“ฑ๊ธ‰์ด๋‚˜ ๋ฐฑ๋ถ„

์œ„๋ฅผ ์œ ์ง€ํ•˜๊ธฐ ์œ„ํ•ด์„œ๋Š” ๋‚จ๋“ค์ด ํ•™์Šตํ•˜๋Š” ๊ฒƒ๋งŒํผ์˜ ๊ณต๋ถ€๋Ÿ‰์„ ์œ ์ง€

ํ•˜๋Š” ๊ฒƒ์€ ๋ฌผ๋ก ์ด๋ฉฐ, ๊ทธ ์œ„๋กœ ์˜ฌ๋ผ์„œ๊ธฐ ์œ„ํ•ด์„œ๋Š” ๋‚จ๋“ค์˜ ํ•™์Šต๋Ÿ‰์„

๋›ฐ์–ด๋„˜์–ด์•ผ๋งŒ ํ•œ๋‹ค๋Š” ๊ฒƒ์„ ์˜๋ฏธํ•˜๊ธฐ ๋•Œ๋ฌธ์ด์ฃ . ์šฐ๋ฆฌ ๋ชจ๋‘ ๋จธ๋ฆฌ๋กœ

๋Š” ์•Œ๊ณ  ์žˆ๋Š” ์‚ฌ์‹ค์ด๊ธฐ๋„ ํ•ฉ๋‹ˆ๋‹ค. ๊ฒฝ์Ÿ์—์„œ ์‚ด์•„๋‚จ๊ณ  ๋„์•ฝํ•˜๊ธฐ ์œ„

ํ•ด์„œ๋Š” ๋‚จ๋“ค๋ณด๋‹ค ํ”ผ๋‚˜๋Š” ๋…ธ๋ ฅ์„ ํ•˜๋Š” ๊ฒƒ์ด ์ •๋‹ต์ด๋ผ๋Š” ๊ฒƒ์„์š”.

๊ทธ๋ ‡๋‹ค๋ฉด ์ฐธ ๋ง‰๋ง‰ํ•˜์ง€ ์•Š์Šต๋‹ˆ๊นŒ? ์ฃผ๋ณ€ ์‚ฌ๋žŒ๋“ค์€ ์ด๋ฏธ ๋„ˆ๋ฌด ์—ด์‹ฌํžˆ

๋…ธ๋ ฅํ•˜๊ณ  ์žˆ์Šต๋‹ˆ๋‹ค. ์ด๋ฏธ ๊ทธ ์‚ฌ๋žŒ๋“ค์„ ๋”ฐ๋ผ๊ฐ€๊ธฐ์—๋„ ๋ฒ…์ฐจ๋‹ค๋Š” ๋А

๋‚Œ์„ ๋ฐ›๊ณ  ์žˆ์ฃ . ๊ทธ๋Ÿผ์—๋„ ๋‚จ๋“ค์ด ํ•˜๋Š” ์ˆ˜์ค€๋งŒํผ์€ ํ•ด์•ผ ํ•˜๊ธฐ ๋•Œ

๋ฌธ์— ์นœ๊ตฌ๋“ค์€ ์–ผ๋งˆ๋‚˜ ๋…ธ๋ ฅํ•˜๊ณ  ์žˆ๋Š”์ง€ ๋Š˜ ์‚ดํ”ผ๊ฒŒ ๋ฉ๋‹ˆ๋‹ค. ์ œ ๊ธฐ์–ต

์„ ๋”๋“ฌ์–ด๋ณด๋ฉด, ํŠนํžˆ ์ฃผ๋ณ€ ์‚ฌ๋žŒ๋“ค๊ณผ ์ž์‹ ์„ ๊ณ„์† ๋น„๊ตํ•˜๋ฉฐ ๋’ค์ฒ˜์ง€

๋Š” ๋А๋‚Œ์„ ๋ฐ›๋Š” ๊ฒƒ์ด ์ €๋ฅผ ๊ฐ€์žฅ ํž˜๋“ค๊ฒŒ ํ–ˆ๋˜ ๊ฒƒ ๊ฐ™์Šต๋‹ˆ๋‹ค. ๋‹น์—ฐํžˆ

๊ทธ๋Ÿด ์ˆ˜๋ฐ–์— ์—†๋Š” ๊ฒƒ์ด ์„ฑ์ ํ‘œ์—” ์–ธ์ œ๋‚˜ ๋“ฑ์ˆ˜๊ฐ€ ํ‘œ์‹œ๋˜๊ณ , ์šฐ๋ฆฌ๋Š”

๋„ˆ๋ฌด๋‚˜๋„ ๋งŽ์€ ์‹œํ—˜์„ ์น˜๋ฅด๋‹ˆ๊นŒ์š”. ํ•œ๋™์•ˆ์€ ์ด๋ ‡๊ฒŒ ์ƒ๊ฐํ–ˆ์—ˆ์Šต๋‹ˆ

๋‹ค. ๋‚˜๋งŒ ๋’ค์ฒ˜์ง€๋Š” ๊ฒƒ ๊ฐ™๋‹ค๊ณ . ๋‚ด ์œ„์˜ ์‚ฌ๋žŒ๋“ค์„ ๋ฐ”๋ผ๋ณด๋ฉฐ ์ €๋“ค๋งŒ

ํผ๋งŒ ํ•˜๋ฉด ์ข‹๊ฒ ๋‹ค๊ณ  ์ƒ๊ฐํ–ˆ์—ˆ์ฃ . ์ด๋Ÿฐ ์ƒ๊ฐ์„ ํ•˜๋ฉฐ ํž˜๋“  ์ˆ˜ํ—˜ ์ƒํ™œ

์„ ๋ฒ„ํ‹ธ ์ˆ˜ ์žˆ์„๊นŒ์š”? ์ผ๋ฐ˜์ ์ธ ์‚ฌ๋žŒ์ด ๊ทธ๋Ÿฌ๊ธด ํž˜๋“ค ๊ฒ๋‹ˆ๋‹ค.

์ž์‹ ์„ ๋‚จ๋“ค๊ณผ ๋น„๊ตํ•˜๊ฒŒ ํ•˜๋Š” ์š”์ธ๋“ค์€ ๋Š์ž„์—†์ด ์ƒ๊ฒจ๋‚ฉ๋‹ˆ๋‹ค. ์„ 

์ƒ๋‹˜์˜ ์กฐ์–ธ, ๋ถ€๋ชจ๋‹˜์˜ ์ž”์†Œ๋ฆฌ, ์นœ๊ตฌ๋“ค์˜ ํ•œํƒ„โ€ฆ ๊ทธ๋“ค์˜ ์˜๋„๊ฐ€ ์–ด

๋• ๊ฑด ์ด๊ฒƒ๋“ค์ด ์ข…์ข… ๋‚ด ์ž์กด๊ฐ์„ ๊นŽ์•„ ๋จน์„ ๋•Œ๊ฐ€ ์žˆ๋‹ค๋Š” ๊ฒƒ์€ ํ™•์‹ค

ํ•ฉ๋‹ˆ๋‹ค. ์ €๋Š” ๋‚จ๋“ค์˜ ์ด์•ผ๊ธฐ๋ฅผ ๋“ฃ๊ณ  ์ฃผ๋ณ€ ์‚ฌ๋žŒ๋“ค๊ณผ ๋‚˜๋ฅผ ๋Š์ž„์—†์ด

๋น„๊ตํ•˜๋Š” ์ €์˜ ์ˆ˜ํ—˜ ์ƒํ™œ์— ์‹ซ์ฆ์„ ๋А๋ผ๊ณ  ๋ง์•˜์–ด์š”. ๊ทธ๋Ÿฌ๋‹ค ๋ณด๋‹ˆ

์–ด๋А ์ˆœ๊ฐ„ ๋ชจ๋“  ์ƒํ™ฉ์— ๋ฌด๋˜ํ•ด์ง„ ์ € ์ž์‹ ์„ ๋ฐœ๊ฒฌํ•  ์ˆ˜ ์žˆ์—ˆ์Šต๋‹ˆ๋‹ค.

์ฃผ๋ณ€ ์‚ฌ๋žŒ๋“ค์˜ ์ด์•ผ๊ธฐ๋ณด๋‹ค๋Š” ๋‚ด ์ƒ๊ฐ๊ณผ ๋‚ด ์‹ ๋…์„ ์šฐ์„ ์ˆœ์œ„์— ๋‘

๊ธฐ ์‹œ์ž‘ํ•œ ๊ฒƒ์€ ์ด๋•Œ๋ถ€ํ„ฐ์˜€์Šต๋‹ˆ๋‹ค. โ€˜์Ÿค๋Š” ์Ÿค๊ณ , ๋‚˜๋Š” ๋‚˜์ง€โ€™๋ผ๋Š” ์ƒ

๊ฐ์„ ๊ฐ€์ง€๋Š” ์ˆœ๊ฐ„ ์ด์ƒํ•˜๊ฒŒ๋„ ๋ชจ๋“  ์ผ์ด ์‰ฝ๊ฒŒ ๋А๊ปด์กŒ์Šต๋‹ˆ๋‹ค. ์นœ๊ตฌ

๊ฐ€ ์˜†์—์„œ ๋ชจ์˜๊ณ ์‚ฌ ์„ฑ์ ์ด ์˜ฌ๋ž๋‹ค๊ณ  ํ•˜๋”๋ผ๋„ ํ”๋“ค๋ฆฌ์ง€ ์•Š์•˜์Šต๋‹ˆ

๋‹ค. ์˜คํžˆ๋ ค ์ง„์‹ฌ์œผ๋กœ ๊ทธ๋“ค์˜ ๋…ธ๋ ฅ์„ ์กด์ค‘ํ•˜๊ณ  ์ถ•ํ•˜ํ•ด ์ค„ ์ˆ˜ ์žˆ์—ˆ์Šต

๋‹ˆ๋‹ค. ์ €๋Š” ๊ทธ์ € ๋ฌต๋ฌตํžˆ ์ œ๊ฐ€ ํ•˜๋˜ ์†๋„๋Œ€๋กœ, ์ œ ํ•  ์ผ์„ ๊ณ„์†ํ•ด ๋‚˜

๊ฐˆ ๋ฟ์ด์—ˆ์Šต๋‹ˆ๋‹ค. ๋‚จ๋“ค์˜ ๊ธฐ์ค€์—์„œ๊ฐ€ ์•„๋‹ˆ๋ผ ์Šค์Šค๋กœ๊ฐ€ ํŒ๋‹จํ•˜๊ธฐ์—

๋” ํ•  ํ•„์š”๊ฐ€ ์žˆ๋‹ค ๋А๊ปด์ง€๋ฉด ๊ทธ์ œ์•ผ ๋” ๋…ธ๋ ฅํ–ˆ์Šต๋‹ˆ๋‹ค. ๋‚ด ์ธ์ƒ์˜

์„ฑ๊ณต์„ ๊ฐ€์žฅ ๋ฐ”๋ผ๋Š” ์‚ฌ๋žŒ์€ ๊ทธ ๋ˆ„๊ตฌ๋„ ์•„๋‹Œ ๋‚˜ ์ž์‹ ์ด๋‹ˆ๊นŒ์š”.

์–ด๋””๊นŒ์ง€๋‚˜ ์ œ๊ฐ€ ์ˆ˜ํ—˜์ƒํ™œ์„ ๋ฒ„ํ…จ์˜จ ๋ฐฉ๋ฒ•์ด ์ •๋‹ต์ด๋ผ๊ณ ๋Š” ๋ง์”€๋“œ

๋ฆฌ์ง€ ๋ชปํ•˜๊ฒ ์Šต๋‹ˆ๋‹ค. ๊ฒฝ์Ÿ ์ƒํ™ฉ์„ ์˜์‹ํ•˜๋ฉฐ ํ”ผ๋‚˜๋Š” ๋…ธ๋ ฅ์„ ํ–ˆ๋˜ ์นœ

๊ตฌ๋“ค์ฒ˜๋Ÿผ ์‚ด์•˜๋‹ค๋ฉด ๋” ์ข‹์€ ์„ฑ์ ์„ ๋ฐ›์•˜์„ ์ˆ˜๋„ ์žˆ์ฃ . ๊ทธ๋Ÿฐ๋ฐ ์ €๋Š”

๋„์ €ํžˆ ๊ทธ๋ ‡๊ฒŒ๋Š” ์•ˆ ๋˜๋”๋ผ๊ณ ์š”. ํ”ํžˆ ๋…ธ๋ ฅ๋„ ์žฌ๋Šฅ์ด๋ผ๊ณ  ํ•˜์ง€ ์•Š

์Šต๋‹ˆ๊นŒ? ์ €๋Š” ๋…ธ๋ ฅ์ด ์ œ ์žฌ๋Šฅ์ด๋ผ๊ณ  ๋А๋ผ์ง„ ๋ชปํ–ˆ๊ฑฐ๋“ ์š”. ํ˜น์‹œ ์ €

์™€ ๊ฐ™์€ ์ƒ๊ฐ์„ ํ•˜๋Š” ํฌ์Šคํ…Œํ‚ค์•ˆ ๋…์ž๋ถ„์ด ๊ณ„์‹ ๋‹ค๋ฉด ์ €์™€ ๊ฐ™์€ ๋งˆ

์ธ๋“œ์…‹์œผ๋กœ ์ˆ˜ํ—˜์ƒํ™œ์„ ํ•ด ๋‚˜๊ฐ€๋Š” ๊ฒƒ๋„ ๋‚˜์˜์ง€ ์•Š๋‹ค๊ณ  ๋ง์”€๋“œ๋ฆฌ๊ณ 

์‹ถ์Šต๋‹ˆ๋‹ค. ๊ธด๊ธด ์ˆ˜ํ—˜์ƒํ™œ์„ ์ง€์†์ ์œผ๋กœ ์ง„ํ–‰ํ•˜๊ธฐ ์œ„ํ•ด์„œ๋Š” ๋‚˜๋ฅผ

์œ„ํ•œ, ๋‚˜์—๊ฒŒ ์ง‘์ค‘ํ•˜๋Š” ๋งˆ์Œ๊ฐ€์ง์ด ์ •๋ง ํฐ ํž˜์ด ๋  ๊ฒƒ์ž…๋‹ˆ๋‹ค.

๊ทธ๋ ‡๋‹ค๊ณ  ๋Œ€๋‹จํ•œ ์‹ ๋…์ด ํ•„์š”ํ•˜๋‹ค๋Š” ๊ฒƒ๋„ ์ ˆ๋Œ€ ์•„๋‹™๋‹ˆ๋‹ค. ์Šค์Šค๋กœ

๊ฐ€ ๋‚˜์—๊ฒŒ ๋ฐ”๋ผ๋Š” ๋ฐ”๊ฐ€ ์žˆ๋‹ค๋ฉด ์–ธ์ œ๋“  ๊ทธ ์ด์•ผ๊ธฐ๋ฅผ ๋“ค์–ด์ฃผ์–ด์•ผ ํ•˜

์ง€๋งŒ, ์Šค์Šค๋กœ ์›ํ•˜๋Š” ๊ฒƒ์ด ์—†๋‹ค๋ฉด ์ฃผ๋ณ€ ์‚ฌ๋žŒ๋“ค์ด ํ•˜๋Š” ๋Œ€๋กœ ๋”ฐ๋ผ๊ฐ€

๋Š” ๊ฒƒ๋„ ์–ด๋–ป๊ฒŒ ๋ณด๋ฉด ์ œ ์‹ ๋…์„ ๋”ฐ๋ฅด๋Š” ํ–‰๋™์ด์ง€์š”. ์ž, ์ด์ œ ๋‚˜๋ฅผ ํž˜๋“ค๊ฒŒ ํ•˜๋Š” ์ฃผ๋ณ€์˜ ๋ชจ๋“  ์ƒํ™ฉ์„ ๋จธ๋ฆฟ์†์—์„œ ์™„์ „ํžˆ ์ง€์›Œ๋ด…์‹œ๋‹ค.

์˜ค๋กœ์ง€ ๋‚˜ ์ž์‹ ๊ณผ๋งŒ ๋Œ€๋ฉดํ•˜๋Š” ์‹œ๊ฐ„์„ ๊ฐ€์ง€๋Š” ๊ฒ๋‹ˆ๋‹ค. ๋‚ด๊ฐ€ ๋ณด๊ธฐ์—

๋‚˜์—๊ฒŒ ์ž˜๋ชป๋œ ์ ์ด ์žˆ๋‹ค๋ฉด ๊ทธ ๋ถ€๋ถ„์€ ๊ณ ์น˜๊ณ , ๋‚˜์—๊ฒŒ ์นญ์ฐฌํ•  ๋งŒํ•œ

์ ์ด ์žˆ๋‹ค๋ฉด ์•„๋‚Œ์—†์ด ์นญ์ฐฌํ•ด ์ฃผ์ž๊ณ ์š”.

์•Œ์Šคํ† ๋ฆฌ 1
62 ์•Œ์Šคํ† ๋ฆฌ
๋‚˜์˜ ๊ณผ๊ฑฐ๋Š” ๊ฒฐ๊ตญ ์•„๋ฆ„๋‹ค์› ๋‹ค

๊ธ€ ๋ฌด์€์žฌํ•™๋ถ€ 23ํ•™๋ฒˆ 29๊ธฐ ์•Œ๋ฆฌ๋ฏธ ๊น€์ •์—ฐ

์•ˆ๋…•ํ•˜์„ธ์š”, ํฌ์Šคํ…Œํ‚ค์•ˆ ๋…์ž ์—ฌ๋Ÿฌ๋ถ„! ๋ด„์˜ ๋”ฐ๋œปํ•œ ํ–‡์‚ด์ด ๋น„์ถ”๋Š”

ํ•˜๋ฃจ์ž…๋‹ˆ๋‹ค. ์œ ๋‚œํžˆ ์ถ”์› ๋˜ ๊ฒจ์šธ์„ ์ง€๋‚ฌ๊ธฐ์—, ๋ด„์˜ ํ–ฅ๊ธ‹ํ•œ ๊ฝƒํ–ฅ๊ธฐ

์™€ ๋”ฐ์Šคํ•จ์ด ๋” ๋ฐ˜๊ฐ€์› ๋˜ ๊ฒƒ ๊ฐ™์Šต๋‹ˆ๋‹ค. ์—ฌ๋Ÿฌ๋ถ„์˜ ๋ด„์€ ์–ด๋• ๋‚˜์š”?

์–ด์ฉŒ๋ฉด ๋งˆ์Œ๋งŒ์€ ์•„์ง ๊ฒจ์šธ์— ๋จธ๋ฌผ๋Ÿฌ ์žˆ๋Š” ๋ถ„๋„ ๊ณ„์‹ค ๊ฒƒ ๊ฐ™์Šต๋‹ˆ

๋‹ค. ์‚ฌ์‹ค ์ €๋„ ๊ณ ๋“ฑํ•™๊ต ์‹œ์ ˆ์—๋Š” ๋ด„์— ๋ˆˆ์น˜ ์—†์ด ์ƒˆ๋กญ๊ฒŒ ํ”ผ์–ด๋‚˜

๊ธฐ๋งŒ ํ•˜๋Š” ๊ฝƒ๋“ค์ด ์•ผ์†ํ•˜๊ฒŒ ๋А๊ปด์ง€๊ธฐ๋„ ํ–ˆ์Šต๋‹ˆ๋‹ค. ์ €๋Š” ์•ž์œผ๋กœ ๋‚˜

์•„๊ฐ€์ง€ ๋ชปํ•œ ์ฑ„, ๊ทธ๋Œ€๋กœ ๋จธ๋ฌผ๋Ÿฌ ์žˆ๊ธฐ๋งŒ ํ•œ ๊ฒƒ ๊ฐ™์•˜๊ธฐ ๋•Œ๋ฌธ์ž…๋‹ˆ๋‹ค.

์ด๋žฌ๋˜ ์ œ๊ฐ€ ์–ด๋–ป๊ฒŒ ์•ž์œผ๋กœ ๋‚˜์•„๊ฐˆ ์ˆ˜ ์žˆ์—ˆ์„๊นŒ์š”? ์ด ๊ธ€์„ ๋นŒ๋ ค

์—ฌ๋Ÿฌ๋ถ„์˜ ๋งˆ์Œ์—๋„ ๋ด„๋‚ ์ด ์ฐพ์•„์˜ค๋„๋ก ๋„์›€์„ ๋“œ๋ฆฌ๊ณ ์ž ํ•ฉ๋‹ˆ๋‹ค.

์ €๋Š” ๋งค์‚ฌ์— ๋ถˆ์•ˆํ•˜๊ณ  ๋น„๊ด€์ ์ธ ํ•™์ƒ์ด์—ˆ์Šต๋‹ˆ๋‹ค. ํŠนํžˆ ๊ณ ๋“ฑํ•™๊ต

2ํ•™๋…„ ๋•Œ, ์Šฌ๋Ÿผํ”„๋ฅผ ๊ฒช์—ˆ์ฃ . ์ œ๊ฐ€ ๋งŒ๋“  ๋ถˆ์•ˆํ•จ์€ ์ ์  ์ปค์ ธ ๋˜ ๋‹ค

๋ฅธ ๋ถˆ์•ˆํ•จ์„ ๋ถˆ๋Ÿฌ์˜ค๋Š” ์•…์ˆœํ™˜์˜ ๋ฐ˜๋ณต์ด์—ˆ์ฃ . ํž˜๋“ค๋‹ค๋Š” ๋ง์„ ์ž…์—

๋‹ฌ๊ณ  ์‚ด์•˜๋˜ ๊ฒƒ ๊ฐ™์Šต๋‹ˆ๋‹ค. ๋‹น์—ฐํ•˜๊ฒŒ๋„ ๊ทธ๋•Œ์˜ ์ œ ์ผ๊ธฐ์žฅ์„ ํŽผ์ณ๋ณด

๋ฉด ํ•œํƒ„์˜ ์—ฐ์†์ด์—ˆ์ฃ . ๊ทธ๋Ÿฌ๋‹ค ๋ฌธ๋“, โ€œ์ด๋ ‡๊ฒŒ ํž˜๋“  ์ˆœ๊ฐ„๋„ ๊ฒฐ๊ตญ์€

์ง€๋‚˜๊ฐˆ๊นŒ?โ€๋ผ๋Š” ์ƒ๊ฐ์„ ํ–ˆ์Šต๋‹ˆ๋‹ค. ๊ทธ๋ ‡๊ฒŒ 1๋…„ ์ „์ธ 1ํ•™๋…„ ๋•Œ์˜ ์ผ

๊ธฐ๋ฅผ ๋Œ์•„๋ณด๊ธฐ ์‹œ์ž‘ํ–ˆ์Šต๋‹ˆ๋‹ค.

์ œ ์ผ๊ธฐ์—๋Š” 1๋…„ ์ „์˜ ํ•˜๋ฃจ ๋˜ํ•œ ํž˜๋“ค๋‹ค๋Š” ๋ง ํˆฌ์„ฑ์ด์˜€์ง€๋งŒ, ์ด์ƒ ํ•˜๊ฒŒ๋„ ์ œ ๊ธฐ์–ต์—๋Š” ํž˜๋“ค์—ˆ๋˜ ์ˆœ๊ฐ„๋ณด๋‹ค ํ–‰๋ณตํ–ˆ๋˜ ์ˆœ๊ฐ„๋“ค์ด ๋” ํฌ

๊ฒŒ ๋‚จ์•„์žˆ์—ˆ์Šต๋‹ˆ๋‹ค. ๊ทธ๋•Œ ๊นจ๋‹ฌ์•˜์Šต๋‹ˆ๋‹ค. ๊ฒฐ๊ตญ ๊ณผ๊ฑฐ๋Š” ๋ฏธํ™”๋œ ์ถ”์–ต

์œผ๋กœ ๋‚จ๋Š”๋‹ค๋Š” ์‚ฌ์‹ค์„ ๋ง์ด์ฃ . ๊ทธ๋ ‡๋‹ค๋ฉด ๊ณ ๋“ฑํ•™๊ต 2ํ•™๋…„ ๋•Œ์˜ ํž˜

๋“  ์ˆœ๊ฐ„๋„ ๊ฒฐ๊ตญ์€ ๋ฏธํ™”๋œ ์ถ”์–ต์œผ๋กœ ๋‚จ์•˜์„๊นŒ์š”? ๋„ค ๋งž์Šต๋‹ˆ๋‹ค. ์ง€

๊ธˆ ์ด ๊ธ€์„ ์“ฐ๋ฉด์„œ ๋Œ์ด์ผœ๋ณด๋ฉด, ๊ณ ๋“ฑํ•™๊ต 2ํ•™๋…„ ๋•Œ์˜ ํž˜๋“ค์—ˆ๋˜ ๊ฐ

์ •๋„ ํ˜„์žฌ๋Š” ํ–‰๋ณตํ–ˆ๋˜ ๊ฐ์ •์œผ๋กœ ๋’ค๋ฎ์—ฌ ์žˆ์Šต๋‹ˆ๋‹ค. ์—ฌ๊ธฐ์„œ ๋ง์”€๋“œ

๋ฆฌ๊ณ  ์‹ถ์€ ๊ฒƒ์€ ํฌ๊ฒŒ ๋‘ ๊ฐ€์ง€์ž…๋‹ˆ๋‹ค. ์ฒซ ๋ฒˆ์งธ๋กœ, ๋ชจ๋“  ์ˆœ๊ฐ„์€ ์ง€๋‚˜

๊ฐ€๊ธฐ ๋งˆ๋ จ์ž…๋‹ˆ๋‹ค. ๊ทธ๋ž˜์„œ ์•„๋ฌด๋ฆฌ ํž˜๋“  ์ˆœ๊ฐ„๋„ ์ง€๋‚˜๊ฐ€ ๊ฒฐ๊ตญ ๋ฏธํ™”๋˜

๋ฆฌ๋ผ๋Š” ํฌ๋ง์„ ํ’ˆ๊ณ , ์•ž์œผ๋กœ ๋‚˜์•„๊ฐ€๊ธฐ๋ฅผ ๋ฐ”๋ž๋‹ˆ๋‹ค. ๋‘ ๋ฒˆ์งธ๋กœ, ์ด

์ˆœ๊ฐ„๋“ค์„ ๋‹ด์•„๋‚ด๊ธฐ ์œ„ํ•ด ์ผ๊ธฐ๋ฅผ ์จ๋ณด๋Š” ๊ฒƒ์„ ์ถ”์ฒœํ•ฉ๋‹ˆ๋‹ค. ๋ฏธ๋ž˜์—

์–ธ์  ๊ฐ€ ์ผ๊ธฐ๋ฅผ ๋ณด๋ฉด์„œ, ์ž์‹ ์ด ํž˜๋“ค์—ˆ๋˜ ์ˆœ๊ฐ„๋“ค์„ ๊ทน๋ณตํ•˜๊ณ  ๊ฒฐ๊ตญ

์„ฑ์žฅํ–ˆ๋‹ค๋Š” ๊ฒƒ์„ ๋А๋ผ๋„๋ก ๋ง์ด์ฃ .

๊ทธ ์ดํ›„๋กœ ์ œ ์ผ๊ธฐ๋Š” ์–ด๋–ป๊ฒŒ ๋ฐ”๋€Œ์—ˆ์„๊นŒ์š”? ๋ฌผ๋ก  ํž˜๋“ค๋‹ค๋Š” ๋ง์€

์—ฌ์ „ํžˆ ์ ํ˜€ ์žˆ์Šต๋‹ˆ๋‹ค. ์ €๋Š” ๊ณ„์†ํ•ด์„œ ์ €์˜ ์†”์งํ•œ ๊ฐ์ •๋“ค์„ ์ ๊ณค

ํ–ˆ์Šต๋‹ˆ๋‹ค. ํ•˜์ง€๋งŒ ๋ฐ”๋€ ์ ์ด ์žˆ๋‹ค๋ฉด, ๋‚˜๋ฅผ ์œ„ํ•ด ์ƒ๊ฐํ•œ ์ข‹์€ ๋ง์„

์ ๊ธฐ ์‹œ์ž‘ํ–ˆ์Šต๋‹ˆ๋‹ค. ํ˜„์žฌ์˜ ๋‚˜์—๊ฒ ์•ž์œผ๋กœ ๋‚˜์•„๊ฐˆ ์›๋™๋ ฅ์„ ์ฃผ๋„

๋ก, ๋ฏธ๋ž˜์˜ ๋‚˜์—๊ฒ ๊ทน๋ณตํ•ด ๋ƒˆ๋‹ค๋Š” ๋ฟŒ๋“ฏํ•จ์„ ์ฆํญ์‹œํ‚ค๋„๋ก ๋ง์ด์ฃ .

๊ทธ์ค‘ ๊ฐ€์žฅ ์ธ์ƒ ๊นŠ์—ˆ๋˜ ๋ง ํ•˜๋‚˜๋ฅผ ์—ฌ๋Ÿฌ๋ถ„๊ป˜ ๋ง์”€๋“œ๋ฆฌ๋ฉฐ ๋งˆ๋ฌด๋ฆฌํ•ด

๋ณด๋ ค ํ•ฉ๋‹ˆ๋‹ค.

โ€œIโ€™m a star, Youโ€™ll never catch up.โ€

์—ฌ๋Ÿฌ๋ถ„์ด ์ฒœ์ฒด ๋ถ„์•ผ์— ๊ด€์‹ฌ์ด ์žˆ์œผ์‹œ๋‹ค๋ฉด, ๋ฐคํ•˜๋Š˜์— ๋ณด์ด๋Š” ๋ณ„๋“ค

์€ ์‚ฌ์‹ค ๋งค์šฐ ๋ฉ€๋ฆฌ ๋–จ์–ด์ ธ ์žˆ๋‹ค๋Š” ์‚ฌ์‹ค์„ ์•„์‹ค ๊ฑฐ์˜ˆ์š”. ์–ด๋–ค ๋ณ„๋“ค

์€ ์ง€๊ตฌ์™€ ์ˆ˜์‹ญ์–ต ๊ด‘๋…„ ๋–จ์–ด์ ธ ์žˆ๊ธฐ๋„ ํ•ฉ๋‹ˆ๋‹ค. ์ด ์ค‘์—์„œ๋Š” ์šฐ๋ฆฌ

๋ˆˆ์— ๋ณด์ด์ง€ ์•Š๋Š” ๋ณ„๋„ ๋งŽ์•„์š”. ๋ณ„๋น›์ด ์ง€๊ตฌ๋ฅผ ํ–ฅํ•ด ์—ด์‹ฌํžˆ ๋‹ฌ๋ ค์˜ค

๊ณ  ์žˆ์ง€๋งŒ, ๋„ˆ๋ฌด ๋ฉ€๋ฆฌ ๋–จ์–ด์ ธ ์žˆ์–ด์„œ ์•„์ง ์ง€๊ตฌ์— ๋„๋‹ฌํ•˜์ง€ ๋ชปํ–ˆ๊ธฐ

๋•Œ๋ฌธ์ž…๋‹ˆ๋‹ค. ๊ทธ๋ ‡๋‹ค๊ณ  ๊ทธ ๋ณ„์ด ๋น›๋‚˜๊ณ  ์žˆ์ง€ ์•Š์€ ๊ฒƒ์ธ๊ฐ€์š”? ๊ทธ๊ฑด

์•„๋‹™๋‹ˆ๋‹ค. ์ €๋Š” ์•ž์„  ๋ฌธ์žฅ์„ ์ฝ์œผ๋ฉฐ ์ € ๋ณ„์ด ๋งˆ์น˜ ์—ฌ๋Ÿฌ๋ถ„๊ณผ ๊ฐ™๋‹ค๊ณ 

์ƒ๊ฐํ–ˆ์Šต๋‹ˆ๋‹ค. ์—ฌ๋Ÿฌ๋ถ„์€ ์ถฉ๋ถ„ํžˆ ๋น›๋‚˜๊ณ  ์žˆ์–ด์š”. ๋‹ค๋งŒ ๋น›๋‚˜์ง€ ์•Š๋Š”

๋‹ค๊ณ  ๋А๋‚€๋‹ค๋ฉด, ๊ทธ ๋น›์ด ์•„์ง ๊ด€์ธก๋˜์ง€ ๋ชปํ•œ ๊ฒƒ์ด๊ฒ ์ฃ . ๋ณ„๋น›์ด ๋ฌต

๋ฌตํžˆ ์•ž์œผ๋กœ ๋‚˜์•„๊ฐ€๋Š” ๊ฒƒ์ฒ˜๋Ÿผ, ์—ฌ๋Ÿฌ๋ถ„๋„ ์•ž์œผ๋กœ ๊ณ„์† ๋‚˜์•„๊ฐ€์‹œ๊ธธ

๋ฐ”๋ž๋‹ˆ๋‹ค. ๊ทธ๋ ‡๋‹ค๋ฉด ๋ถ„๋ช…ํžˆ ๊ด€์ธก๋˜๋Š” ๋‚ ์ด ์˜ฌ ๊ฒƒ์ž…๋‹ˆ๋‹ค. ์—ฌ๋Ÿฌ๋ถ„์ด

๋น›์„ ๊ด€์ธกํ•˜๊ฒŒ ๋˜๋Š” ๋‚ ๊นŒ์ง€ ํ•ญ์ƒ ์‘์›ํ•˜๊ฒ ์Šต๋‹ˆ๋‹ค.

์•Œ์Šคํ† ๋ฆฌ 2
63

ํฌ์Šคํ…Œํ‚ค์•ˆ 181ํ˜ธ๋ฅผ ๋งŒ๋“  ์•Œ๋ฆฌ๋ฏธ๋ฅผ ์†Œ๊ฐœํ•ฉ๋‹ˆ๋‹ค!

no.

181

์˜์ƒ ๊ณต๊ฐœ ์ผ์ •

CES & Nobel Week : 5์›” 3์ผ

ํฌ์Šคํ… ์—์„ธ์ด(POPO) : 5์›” 10์ผ

๋งˆ๋ฅด์ฟ ์Šค : 5์›” 17์ผ

ํฌ์ปค์Šค : 5์›” 24์ผ

ALIMI ON-AIR : 6์›” 7์ผ

๊ธฐํšํŠน์ง‘ : 7์›” 5์ผ

์•Œํ„ด์‹ญ : 8์›” 2์ผ

ํ™”ํ•™๊ณผ 22ํ•™๋ฒˆ ๊น€์œ ๋นˆ 28๊ธฐ ์ปดํ“จํ„ฐ๊ณตํ•™๊ณผ 22ํ•™๋ฒˆ ๋ฐ•๊ธฐํ˜„ 28๊ธฐ ํ™”ํ•™๊ณตํ•™๊ณผ 22ํ•™๋ฒˆ ์‚ฌ์ˆ˜ํ˜„ 28๊ธฐ ์‹ ์†Œ์žฌ๊ณตํ•™๊ณผ 22ํ•™๋ฒˆ ์œค์ •ํ˜„ 28๊ธฐ IT์œตํ•ฉ๊ณตํ•™๊ณผ 22ํ•™๋ฒˆ ์ด์œ ๋ฆฌ 28๊ธฐ ์ „์ž์ „๊ธฐ๊ณตํ•™๊ณผ 22ํ•™๋ฒˆ ์กฐ์†Œํ˜œ 28๊ธฐ
28๊ธฐ 64 ํฌ์Šคํ…Œํ‚ค์•ˆ์„ ๋งŒ๋“  ์•Œ๋ฆฌ๋ฏธ๋ฅผ ์†Œ๊ฐœํ•ฉ๋‹ˆ๋‹ค
๋ฌด์€์žฌํ•™๋ถ€ 23ํ•™๋ฒˆ ๊น€์„ธ๋ฏผ 29๊ธฐ ๋ฐ˜๋„์ฒด๊ณตํ•™๊ณผ 23ํ•™๋ฒˆ ๊น€์„ธํ˜„ 29๊ธฐ ๋ฌด์€์žฌํ•™๋ถ€ 23ํ•™๋ฒˆ ๊น€์ •์—ฐ 29๊ธฐ ๋ฌด์€์žฌํ•™๋ถ€ 23ํ•™๋ฒˆ ๋ฐ•๋‹คํ˜„ 29๊ธฐ ๋ฌด์€์žฌํ•™๋ถ€ 23ํ•™๋ฒˆ ๋ฐ•ํƒœ์ค€ 29๊ธฐ ๋ฌด์€์žฌํ•™๋ถ€ 23ํ•™๋ฒˆ ์œคํ˜„์„œ 29๊ธฐ ๋ฌด์€์žฌํ•™๋ถ€ 23ํ•™๋ฒˆ ์ด์šฉํ˜„ 29๊ธฐ ๋ฌด์€์žฌํ•™๋ถ€ 23ํ•™๋ฒˆ ์ดํ˜„๋ฏผ 29๊ธฐ ๋ฌด์€์žฌํ•™๋ถ€ 23ํ•™๋ฒˆ ์กฐ๋ฏผ์„œ 29๊ธฐ ๋ฌด์€์žฌํ•™๋ถ€ 23ํ•™๋ฒˆ ํ™ฉํ˜„์ค€ 29๊ธฐ 29๊ธฐ 65

POSTECHIAN REVIEW

๋…์ž ์—ฌ๋Ÿฌ๋ถ„์˜ ์˜๊ฒฌ์„ ๊ธฐ๋‹ค๋ฆฝ๋‹ˆ๋‹ค.

<POSTECHIAN>์„ ๋งŒ๋“œ๋Š” ์•Œ๋ฆฌ๋ฏธ์—๊ฒŒ ์—ฌ๋Ÿฌ๋ถ„์˜ ์ด์•ผ๊ธฐ๋Š” ํฐ ํž˜์ด ๋œ๋‹ต๋‹ˆ๋‹ค.

์•ž์œผ๋กœ๋„ ๊พธ์ค€ํžˆ ์•Œ๋ฆฌ๋ฏธ๋ฅผ ์‘์›ํ•ด ์ฃผ์„ธ์š”. ์ฑ„ํƒ๋œ ์ฃผ์ธ๊ณต์—๊ฒŒ๋Š” ์†Œ์ •์˜ ๊ธฐ๋…ํ’ˆ์„ ๋ณด๋‚ด ๋“œ๋ฆฝ๋‹ˆ๋‹ค.

์ถฉ์ฃผ๋Œ€์›๊ณ ๋“ฑํ•™๊ต 1ํ•™๋…„ ์žฅ์œค์„ ์•ˆ๋‚จ๊ณ ๋“ฑํ•™๊ต 1ํ•™๋…„ ํ™ฉ์˜ˆ์€

ํฌ์Šคํ…Œํ‚ค์•ˆ์€ ๋งค ํ˜ธ ์ƒˆ๋กœ์šด ํ…Œ๋งˆ๋กœ ๊ตฌ์„ฑ๋˜์–ด ์žˆ๋Š”

์ ์ด ์ข‹์€ ๊ฒƒ ๊ฐ™์Šต๋‹ˆ๋‹ค. ์ด๋ฒˆ ํ˜ธ ํ…Œ๋งˆ ์ค‘์—์„œ๋Š”

โ€˜๊ณต๋Œ€์ƒ์ด ๋ณด๋Š” ์„ธ์ƒโ€™์—์„œ ํ•™๊ณผ๋ณ„ ์นดํŽ˜ ๋ถ„์„์ด

๊ฐ€์žฅ ์žฌ๋ฐŒ์—ˆ์Šต๋‹ˆ๋‹ค. ๋˜, ์ด๋ฒˆ ํ˜ธ โ€˜Creative Postechianโ€™์— ๋‚˜์˜ค์‹  ์˜๋ฃŒ ์ธ๊ณต์ง€๋Šฅ

์ „๋ฌธ๊ฐ€์ฒ˜๋Ÿผ ์ธ๊ณต์ง€๋Šฅ, ๊ฐ€์ƒํ˜„์‹ค, ๋ฐ˜๋„์ฒด ๋ถ„์•ผ

๋“ฑ ํ˜„์žฌ ๋˜๋Š” ๋ฏธ๋ž˜์— ์œ ๋งํ•œ ๋ถ„์•ผ์— ์ข…์‚ฌํ•˜์‹œ๋Š”

๋ถ„๋“ค๋„ ๋‹ค๋ค„ ์ฃผ์…จ์œผ๋ฉด ์ข‹๊ฒ ์Šต๋‹ˆ๋‹ค. ๊ฐ์‚ฌํ•ฉ๋‹ˆ๋‹ค!

๊ตฌ๋…์ž ์ฐธ์—ฌ ์ด๋ฒคํŠธ ์ผ์ •

ํฌ์Šคํ…Œํ‚ค์•ˆ์„ ํ†ตํ•ด ์ตœ์‹  ๊ณผํ•™ ์ด์Šˆ๋‚˜ ์ด๋ก  ๋“ฑ

๋‹ค์–‘ํ•œ ๋ถ„์•ผ์˜ ๋‚ด์šฉ์„ ์ ‘ํ•˜๊ณ  ๋ฐฐ์šธ ์ˆ˜ ์žˆ๋‹ค๋Š”

์ ์ด ์ข‹์•˜์Šต๋‹ˆ๋‹ค. ํŠนํžˆ โ€˜๊ณต๋Œ€์ƒ์ด ๋ณด๋Š” ์„ธ์ƒโ€™์—์„œ

์„ธ์ƒ์„ ๊ณผํ•™์ ์œผ๋กœ ๋ฐ”๋ผ๋ณด๋Š” ๋‹ค์–‘ํ•œ ์‹œ์„ ๋“ค์ด

ํฅ๋ฏธ๋กœ์› ์–ด์š”! ๊ทธ๋ฆฌ๊ณ  ํฌ๋ฆฌ์Šค๋งˆ์Šค ์ปจ์…‰์˜ ๊ท€์—ฌ์šด

ํ‘œ์ง€, ๋‚ด๋ถ€์˜ ์˜ˆ์œ ์ƒ‰๊ฐ๊ณผ ์ฑ•ํ„ฐ์— ๋งž๋Š” ๋””์ž์ธ์ด

๋‹๋ณด์—ฌ์„œ ๋‹ค์Œ ์žฅ์„ ๋„˜๊ธธ ๋•Œ๋งˆ๋‹ค ๊ธฐ๋Œ€ํ•˜๋Š”

๋งˆ์Œ์œผ๋กœ ๋ดค์Šต๋‹ˆ๋‹ค.

โ‘  ์•Œ๋ฆฌ๋ฏธ๊ฐ€ ์œ๋‹ค : 2024๋…„ 7์›” 7์ผ๊นŒ์ง€ ๊ตฌ๊ธ€ ํผ์— ์ •๋‹ต์„ ๋“ฑ๋กํ•ด ์ฃผ์„ธ์š”.

โ‘ก ๋งˆ๋ฅด์ฟ ์Šค : 2024๋…„ 5์›” 14์ผ๊นŒ์ง€ ์ •๋‹ต์„ ๋ณด๋‚ด์ฃผ์„ธ์š”.

โ‘ข ๊ณ ๋“ฑํ•™์ƒ ๊ธฐ์ž๋‹จ ํฌ์ปค์Šค : 4์›” 26์ผ - 5์›” 12์ผ๊นŒ์ง€ ์•„๋ž˜์˜ URL๋ฅผ ํ†ตํ•ด ์‹ ์ฒญํ•ด ์ฃผ์„ธ์š”.

โ‘  https://forms.gle/8K4VSkrE7fgpve3s7

โ‘ก postech-alimi@postech.ac.kr

โ‘ข https://me2.do/Gvdmyh5B

no.181
66 ๋…์ž์„œํ‰ โ–ผ ์•Œ๋ฆฌ๋ฏธ๊ฐ€ ์œ๋‹ค QR โ–ฒ ๊ณ ๋“ฑํ•™์ƒ ๊ธฐ์ž๋‹จ ํฌ์ปค์Šค ์‹ ์ฒญ QR

์ „์ž์ „๊ธฐ๊ณตํ•™๊ณผ 22ํ•™๋ฒˆ 28๊ธฐ ์•Œ๋ฆฌ๋ฏธ ์กฐ์†Œํ˜œ

ํฌ์Šคํ…Œํ‚ค์•ˆ ๊ตฌ๋…์ž ์—ฌ๋Ÿฌ๋ถ„ ์•ˆ๋…•ํ•˜์„ธ์š”! ํฌ์Šคํ…Œํ‚ค์•ˆ ํŒ€์žฅ

์ค‘, PROGRESS ์ฝ”๋„ˆ๋ฅผ ๋งก์•„์˜จ ์กฐ์†Œํ˜œ์ž…๋‹ˆ๋‹ค. 181ํ˜ธ๋กœ ํฌ

์Šคํ…Œํ‚ค์•ˆ์„ ์ฒ˜์Œ ์ ‘ํ•˜์‹  ๋ถ„๋“ค์€ ์ €๋ฅผ ์ฒ˜์Œ ๋ณด์‹ค ์ˆ˜๋„ ์žˆ๊ฒ 

์ง€๋งŒ, 181ํ˜ธ๋Š” ์ œ ์•Œ๋ฆฌ๋ฏธ ์ƒํ™œ ๋งˆ์ง€๋ง‰์œผ๋กœ ์ง‘ํ•„ํ•˜๋Š” ํฌ์Šค

ํ…Œํ‚ค์•ˆ์ž…๋‹ˆ๋‹ค. ์—ฌ๋Ÿฌ ๊ธ€์„ ์“ฐ๊ณ , ๋˜ ์—ฌ๋Ÿฌ ์ฝ”๋„ˆ๋ฅผ ๋‹ด๋‹นํ–ˆ์—ˆ๋Š”

๋ฐ์š”. ๊ทธ ๊ธ€๋“ค์ด ์—ฌ๋Ÿฌ๋ถ„์ด ์‹œ๊ฐ„์„ ๋‚ด์–ด ์ฝ๊ณ  ์‹ถ์€, ๋˜๋Š” ํž˜

์ด ๋“ค ๋•Œ ๋‹ค์‹œ ์ฐพ์•„์˜ฌ ์ˆ˜ ์žˆ๋Š” ์ข‹์€ ๊ธ€์ด์—ˆ๊ธฐ๋ฅผ ๊ฐ„์ ˆํžˆ ๋ฐ”๋ผ

๋ด…๋‹ˆ๋‹ค. ์ •๋ง ์‚ฌ๋ž‘ํ•˜๋Š” ํฌ์Šคํ…Œํ‚ค์•ˆ์˜ ์ œ์ž‘ ๊ณผ์ •์— ์ด์ œ๋Š” ์ฐธ

์—ฌํ•˜์ง€ ๋ชปํ•œ๋‹ค๋Š” ์ ์ด ์•„์‰ฝ์ง€๋งŒ, ์•ž์œผ๋กœ ํฌ์Šคํ…Œํ‚ค์•ˆ์„ ์ด๊ด„

ํ•  4๋ช…์˜ ํฌ์Šคํ…Œํ‚ค์•ˆ ํŒ€์žฅ ๊ทธ๋ฆฌ๊ณ  ํฌ์Šคํ…Œํ‚ค์•ˆ์„ ์ง‘ํ•„ํ•  29

๊ธฐ, 30๊ธฐ ์•Œ๋ฆฌ๋ฏธ๋“ค์€ ํ•ญ์ƒ ์—ฌ๋Ÿฌ๋ถ„์„ ๊ธฐ๋Œ€ํ•˜๊ฒŒ ๋งŒ๋“ค ๊ธ€์„ ๊ฐ€

์ ธ์˜ฌ ๊ฒƒ์ด๋ผ ๋ฏฟ์Šต๋‹ˆ๋‹ค. ๊ตฌ๋…์ž ์—ฌ๋Ÿฌ๋ถ„ ์ง€๊ธˆ๊นŒ์ง€ ๊ฐ์‚ฌํ–ˆ์Šต๋‹ˆ๋‹ค! ์—ฌ

๋Ÿฌ๋ถ„๊ป˜ ํ•ญ์ƒ ๋ด„์ฒ˜๋Ÿผ ์ƒˆ๋กญ๊ณ  ๋”ฐ๋œปํ•œ ํ•˜๋ฃจ๊ฐ€ ๊ฐ€๋“ํ•˜๊ธฐ๋ฅผ ๋ฐ”๋ž๋‹ˆ๋‹ค.

ํ™”ํ•™๊ณตํ•™๊ณผ 22ํ•™๋ฒˆ 28๊ธฐ ์•Œ๋ฆฌ๋ฏธ ์‚ฌ์ˆ˜ํ˜„

์•ˆ๋…•ํ•˜์„ธ์š”, 28๊ธฐ ํฌ์Šคํ…Œํ‚ค์•ˆ ํŒ€์žฅ ์‚ฌ์ˆ˜ํ˜„์ž…๋‹ˆ๋‹ค. 2๋…„ ์ „

์•Œ๋ฆฌ๋ฏธ๊ฐ€ ๋˜๊ณ , ์ œ๊ฐ€ ํฌ์Šคํ…์„ ์ข‹์•„ํ•˜๊ฒŒ ๋œ ์ด์œ ์˜€๋˜ ํฌ

์Šคํ…Œํ‚ค์•ˆ์— ์ฒ˜์Œ์œผ๋กœ ๊ธ€์„ ์ผ์Šต๋‹ˆ๋‹ค. 1๋…„ ์ „๋ถ€ํ„ฐ๋Š” ํฌ

์Šคํ…Œํ‚ค์•ˆ ํŒ€์žฅ์ด ๋˜์–ด ์žก์ง€์˜ ๋‚ด์šฉ์ด๋‚˜ ๊ตฌ์„ฑ ๋“ฑ ์ „์ฒด ์ œ

์ž‘ ๊ณผ์ •์— ๋” ๊นŠ๊ฒŒ ๊ด€์—ฌํ•  ์ˆ˜ ์žˆ์—ˆ์ฃ . ๊ทธ๋ ‡๊ฒŒ ์ฑ…์ž„๊ฐ๊ณผ ์„ค

๋ ˜์œผ๋กœ ์ค€๋น„ํ–ˆ๋˜ 3๊ฐœ ํ˜ธ๊ฐ€ ๋…์ž ์—ฌ๋Ÿฌ๋ถ„๊ป˜ ๋‹ฟ์•˜๊ณ , ์ด์ œ

๋Š” ์ €์˜ ํฌ์Šคํ…Œํ‚ค์•ˆ ๋งˆ์ง€๋ง‰ ๊ธ€์„ ์ ๊ณ  ์žˆ๋„ค์š”. ์‚ฌ์‹ค ์•„์‰ฌ

์›€์ด ํฐ ๊ฒƒ ๊ฐ™์Šต๋‹ˆ๋‹ค. ์–ด๋–ป๊ฒŒ ํ•˜๋ฉด ๋” ์œ ์ตํ•˜๊ณ  ์žฌ๋ฏธ์žˆ

๋Š” ๋‚ด์šฉ์„ ๋‹ด์„๊นŒ, ์ด ์ฝ”๋„ˆ๊ฐ€ ์ตœ์„ ์ผ ๊ฒƒ์ธ๊ฐ€์™€ ๊ฐ™์€ ๊ณ 

๋ฏผ์ด ์—ฌ์ „ํžˆ ํฐ๋ฐ, ์ €์—๊ฒŒ ์ฃผ์–ด์ง„ ์‹œ๊ฐ„์€ ๋๋‚˜๊ฐ€๋„ค์š”.

ํ•˜์ง€๋งŒ โ€˜๊ฐ€์•ผ ํ•  ๋•Œ๊ฐ€ ์–ธ์ œ์ธ์ง€๋ฅผ ๋ถ„๋ช…ํžˆ ์•Œ๊ณ  ๊ฐ€๋Š” ์ด

์˜ ๋’ท๋ชจ์Šต์€ ์–ผ๋งˆ๋‚˜ ์•„๋ฆ„๋‹ค์šด๊ฐ€.โ€™๋ผ๋Š” ์‹œ์˜ ๊ตฌ์ ˆ์ฒ˜๋Ÿผ, ๋

์ด ์žˆ๊ธฐ์— ๊ทธ ๊ณผ์ •์— ์ตœ์„ ์„ ๋‹คํ•  ์ˆ˜ ์žˆ์—ˆ๊ณ , ๊ทธ ๋ชจ์Šต์ด ์•„

๋ฆ„๋‹ค์šด ๊ฒƒ์ด๊ฒ ์ฃ ? ์ด์ œ ์ €๋Š” ์—ฌ๋Ÿฌ๋ถ„๊ณผ ๊ฐ™์€ ํ•œ ๋ช…์˜ ๋…์ž

๋กœ ๋Œ์•„๊ฐ€์ง€๋งŒ, 29๊ธฐ ํŒ€์žฅ๋“ค์ด ๋”์šฑ๋” ์•Œ์ฐฌ ํฌ์Šคํ…Œํ‚ค์•ˆ

์„ ์„ ๋ณด์ผ ํ…Œ๋‹ˆ ์•ž์œผ๋กœ๋„ ๋งŽ์€ ๊ด€์‹ฌ๊ณผ ์‚ฌ๋ž‘ ๋ถ€ํƒ๋“œ๋ฆฝ๋‹ˆ๋‹ค!

์ปดํ“จํ„ฐ๊ณตํ•™๊ณผ 22ํ•™๋ฒˆ 28๊ธฐ ์•Œ๋ฆฌ๋ฏธ ๋ฐ•๊ธฐํ˜„

์•ˆ๋…•ํ•˜์„ธ์š”, ํฌ์Šคํ…Œํ‚ค์•ˆ ๋…์ž ์—ฌ๋Ÿฌ๋ถ„! 30๋Œ€ ์•Œ๋ฆฌ๋ฏธ ํšŒ์žฅ ๋ฐ•๊ธฐํ˜„์ž…๋‹ˆ๋‹ค. ์–ด๋А๋ง ์ œ๊ฐ€ ์“ฐ๋Š” ๋งˆ์ง€๋ง‰ ๊ธ€์ด๋„ค์š”. ์†”์งํžˆ ๋ง ํ•ด์„œ ์ €๋Š” ๊ธ€์„ ์ž˜ ์“ฐ์ง€ ๋ชปํ•˜๋Š” ํŽธ์ž…๋‹ˆ๋‹ค. ํ•˜๊ณ  ์‹ถ์€ ๋ง์€ ๋งŽ ์€๋ฐ, ๊ธ€๋กœ์จ ํ‘œํ˜„ํ•˜๊ธฐ๊ฐ€ ์ฐธ ์‰ฝ์ง€ ์•Š๋”๊ตฐ์š”. ๊ทธ๋ž˜์„œ ์ฒ˜์Œ์— ๋Š” ์–ด๋–ป๊ฒŒ ํ•˜๋ฉด ์—ฌ๋Ÿฌ๋ถ„๊ป˜ ์กฐ๊ธˆ์ด๋‚˜๋งˆ ๋” ์ข‹์€ ๊ธ€์„ ์ „ํ•  ์ˆ˜ ์žˆ ์„์ง€ ๋ง‰๋ง‰ํ•˜๊ธฐ๋„ ํ–ˆ์Šต๋‹ˆ๋‹ค. ํ•˜์ง€๋งŒ โ€˜์‹œ์ž‘์ด ๋ฐ˜์ด๋‹คโ€™๋ผ๋Š” ์†๋‹ด ์ด ์žˆ์ฃ . ํฌ์Šคํ…Œํ‚ค์•ˆ์„ ์ง‘ํ•„ํ•˜๋ฉด์„œ ์ด ๋ง์˜ ๋œป์„ ๋ชธ์†Œ ๋А๋‚„ ์ˆ˜ ์žˆ์—ˆ๋Š”๋ฐ์š”. ๊ฒ์ด ๋‚ฌ๋˜ ๋•Œ๋Š” ์–ด๋”” ๊ฐ€๊ณ , ์Šค์Šค๋กœ ์ฆ๊ธฐ๋ฉด์„œ ๊ธ€

์„ ์“ฐ๋Š” ์ €๋ฅผ ๋ฐœ๊ฒฌํ•  ์ˆ˜ ์žˆ์—ˆ์Šต๋‹ˆ๋‹ค. ์—ฌ๋Ÿฌ๋ถ„๋„ ๋ฌด์—‡์ด๋“ ์ง€ ์‹œ

์ž‘์„ ๋‘๋ ค์›Œํ•˜์ง€ ๋งˆ์‹œ๊ธธ ๋ฐ”๋ž๋‹ˆ๋‹ค. ๋‹ค์‹œ๋Š” ๋Œ์•„์˜ค์ง€ ์•Š์„ ์ฐฌ ๋ž€ํ•œ ์‚ถ์„ ์‚ฌ๋Š” ์—ฌ๋Ÿฌ๋ถ„๊ป˜์„œ๋Š” ํ•ญ์ƒ ๋„์ „ํ•˜๋Š” ์ž์„ธ๋กœ ๋†’์ด ๋น„ ์ƒํ•˜์‹œ๊ธธ ๋ฐ”๋ž๋‹ˆ๋‹ค. ์ด ๊ธ€์ด ์•Œ๋ฆฌ๋ฏธ๋กœ์„œ ์—ฌ๋Ÿฌ๋ถ„๊ป˜ ์ „ํ•˜๋Š” ๋งˆ

์ง€๋ง‰ ๊ธ€์ด์ง€๋งŒ, ๊ธ€๋กœ ํ‘œํ˜„ํ•˜์ง€ ์•Š๋”๋ผ๋„ ํ•ญ์ƒ ์—ฌ๋Ÿฌ

๋ถ„์„ ์‘์›ํ•˜๊ณ  ์žˆ๊ฒ ์Šต๋‹ˆ๋‹ค. ํฌ์Šคํ…Œํ‚ค์•ˆ ์ง‘ํ•„์ด๋ผ

๋Š” ์ข‹์€ ๊ฒฝํ—˜์„ ํ•  ์ˆ˜ ์žˆ๋„๋ก ํ•ด์ค€ ์•Œ๋ฆฌ๋ฏธ์—๊ฒŒ๋„ ์ง„

์‹ฌ์œผ๋กœ ๊ฐ์‚ฌ๋ฅผ ํ‘œํ•˜๋ฉฐ ์ €์˜ ๋งˆ์ง€๋ง‰ ๊ธ€์„ ๋งˆ์นฉ๋‹ˆ๋‹ค.

IT์œตํ•ฉ๊ณตํ•™๊ณผ 22ํ•™๋ฒˆ 28๊ธฐ ์•Œ๋ฆฌ๋ฏธ ์ด์œ ๋ฆฌ

ํฌ์Šคํ…Œํ‚ค์•ˆ ๊ตฌ๋…์ž ์—ฌ๋Ÿฌ๋ถ„ ์•ˆ๋…•ํ•˜์„ธ์š”! 28๊ธฐ ์•Œ๋ฆฌ

๋ฏธ ์ด์œ ๋ฆฌ์ž…๋‹ˆ๋‹ค. 2๋…„ ์ „ ์•Œ๋ฆฌ๋ฏธ๋กœ์„œ ์ฒ˜์Œ ํฌ์Šคํ…Œ

ํ‚ค์•ˆ ๊ธ€์„ ์ž‘์„ฑํ•ด ๋ณธ ๊ฒŒ ์—Š๊ทธ์ œ ๊ฐ™์€๋ฐ, ์ด์ œ๋Š” ํŽธ์ง‘

์žฅ์œผ๋กœ์„œ ์—ฌ๋Ÿฌ๋ถ„๊ป˜ ๋งˆ์ง€๋ง‰ ์ธ์‚ฌ๋ฅผ ๋“œ๋ฆฌ๊ฒŒ ๋˜์—ˆ์Šต๋‹ˆ

๋‹ค. ์‚ฌ์‹ค ์—ฌ๋Ÿฌ๋ถ„๋“ค์—๊ฒŒ ๋ณด์—ฌ๋“œ๋ฆฌ๋Š” ํฌ์Šคํ…Œํ‚ค์•ˆ ํ•œ

ํ˜ธ ํ•œ ํ˜ธ๊ฐ€ ์™„์„ฑ๋˜๊ธฐ๊นŒ์ง€๋Š” ๋งŽ์€ ๋ถ„๊ณผ์˜ ๋…ผ์˜์™€ ๊ต

์ •์ด ํ•„์š”ํ–ˆ์Šต๋‹ˆ๋‹ค. ๊ทธ๋ ‡๊ธฐ์— ์ด ์ž๋ฆฌ๋ฅผ ๋นŒ๋ ค ํฌ์Šค

ํ…Œํ‚ค์•ˆ ์žก์ง€ ์ง‘ํ•„์— ๋„์›€์„ ์ฃผ์‹  ๋ชจ๋“  ๋ถ„๊ป˜ ์ง„์‹ฌ์œผ

๋กœ ๊ฐ์‚ฌ์˜ ๋ง์”€์„ ์ „ํ•˜๊ณ  ์‹ถ์Šต๋‹ˆ๋‹ค. ๋งŽ์€ ๋ถ„์˜ ์—ด์ •

๊ณผ ์• ์ •์œผ๋กœ ์™„์„ฑ๋œ ํฌ์Šคํ…Œํ‚ค์•ˆ์ด ๋…์ž ์—ฌ๋Ÿฌ๋ถ„๋“ค์— ๊ฒŒ ์กฐ๊ธˆ์ด๋ผ๋„ ๋„์›€์ด ๋˜์—ˆ๋‹ค๋ฉด, ๊ทธ๊ฒƒ๋งŒ์œผ๋กœ ์ €ํฌ์—

๊ฒŒ ํฐ ๋ณด๋žŒ์ž…๋‹ˆ๋‹ค. ์ด์ œ ์—ฌ๋Ÿฌ๋ถ„๊ป˜ ๋งˆ์ง€๋ง‰์œผ๋กœ ์ธ์‚ฌ๋ฅผ

๋“œ๋ฆฌ์ง€๋งŒ, ํฌ์Šคํ…์—์„œ ์„ ํ›„๋ฐฐ๋กœ ๋‹ค์‹œ ๋งŒ๋‚  ์ˆ˜ ์žˆ๊ธฐ

๋ฅผ ์ง„์‹ฌ์œผ๋กœ ๋ฐ”๋ž๋‹ˆ๋‹ค. ์—ฌ๋Ÿฌ๋ถ„๊ณผ ์†Œํ†ตํ•  ์ˆ˜ ์žˆ์–ด ์ •

๋ง ์˜๊ด‘์ด์—ˆ๊ณ , ํ–‰๋ณตํ–ˆ์Šต๋‹ˆ๋‹ค! ์ง„์‹ฌ์œผ๋กœ ๊ฐ์‚ฌํ•ฉ๋‹ˆ๋‹ค.

no.181 ํŽธ์ง‘ ํ›„๊ธฐ
67 ํŽธ์ง‘ํ›„๊ธฐ

POSTECHIAN IS PUBLISHED BY POSTECH

POSTECHIAN์€ ํฌ์Šคํ… ํ•™์ƒํ™๋ณด๋ด‰์‚ฌ๋‹จ์ฒด <์•Œ๋ฆฌ๋ฏธ>๊ฐ€ ์ง์ ‘ ๊ธฐํš, ์ œ์ž‘ํ•˜๋Š” ๊ณผํ•™ ์žก์ง€์ž…๋‹ˆ๋‹ค. ์ด๊ณต๊ณ„ ๋ถ„์•ผ ์ง„๋กœ๋ฅผ ๊ฟˆ๊พธ๋Š” ๊ณ ๊ต์ƒ๋“ค์—๊ฒŒ ์ตœ์‹  ๊ณผํ•™ ๋™ํ–ฅ๊ณผ

์—ฐ๊ตฌ ๊ด€๋ จ ์ •๋ณด๋ฅผ ์ œ๊ณตํ•˜๊ณ  ์žˆ์œผ๋ฉฐ 181ํ˜ธ์— ๋‹ฌํ•˜๋Š” ์ „ํ†ต์„ ์ž๋ž‘ํ•˜๊ณ  ์žˆ์Šต๋‹ˆ๋‹ค.

๊ณผํ•™์— ๊ด€์‹ฌ์žˆ๋Š” ๋ถ„์ด๋ผ๋ฉด ๋ˆ„๊ตฌ๋ผ๋„ POSTECHIAN์˜ ๋…์ž๊ฐ€ ๋˜์‹ค ์ˆ˜ ์žˆ์Šต๋‹ˆ๋‹ค.

๊ตฌ๋…์„ ์›ํ•˜์‹œ๋ฉด ํฌ์Šคํ… ์ž…ํ•™ํŒ€ ์นด์นด์˜ค์ฑ„๋„์—์„œ ์‹ ์ฒญํ•ด ์ฃผ์„ธ์š”.

ํฌ์Šคํ…์ด ๊ถ๊ธˆํ•ด? ๋งํฌ ๋ชจ์Œ

Turn static files into dynamic content formats.

Createย aย flipbook
Issuu converts static files into: digital portfolios, online yearbooks, online catalogs, digital photo albums and more. Sign up and create your flipbook.