
우리의 작은 환경 이야기
우리의 작은 환경 이야기
안녕하세요, 포스테키안 구독자 여러분~ 과학 덕후 포스테키안입니다.
늘 새로운 한 해가 시작되면 더 새롭고 재미있는 소식을 담기 위해 알리미는 많이 고민합니다. 특별히, 이번 호부터는 과학을 사랑하는 우리가 더 나은 미래 환경을 위한 고민을 함께해보자는 뜻을 담아 환경 관련 이야기를 해보려고 합니다.
첫 이야기를 어떻게 담을지 고민하다, 이번 기획특집의 주제이며 세상의 많은 답을 알고 있는 인공지능, ChatGPT에 환경을 보호하는 방법에 대해 물어보았어요.
환경을 보호하는 방법에 대해 알려줘
환경을 보호하는 방법은 매우 다양합니다. 그중에서도 일부 가장 효과적인 방법은 다음과 같습니다.
1. 에너지 절약은 환경을 보호하는 가장 쉬운 방법 중 하나로, 가정이나 사무실에서는 LED 전구와 스마트 전기기기를 사용하여 에너지 사용량을 줄일 수 있습니다
2. 쓰레기를 재활용하면 자원을 절약하고 쓰레기 처리 시설의 부담을 줄일 수 있습니다. 종이, 금속, 유리, 플라스틱 등 다양한 재료를 재활용할 수 있습니다
3. 대중교통을 이용하면 차량 운행으로 인한 대기오염을 줄일 수 있습니다.
또한 자전거나 도보 등의 대안적인 이동 수단을 이용하는 것도 좋습니다
4. 환경친화적 제품을 구매하면 자원을 보호하고 환경 오염을 줄일 수 있습니다.
제품 구매 시 에코라벨 표시가 있는 제품을 선택하는 것이 좋습니다.
5. 채식이나 채식 중심의 식습관으로 전환하면 가축의 영양소 공급을 줄일 수 있어 온실가스 배출량을 줄이고, 식량 자원의 소모를 줄일 수 있습니다.
6. 지역 환경 보호 활동에 참여하면 지역 사회의 환경 문제를 개선할 수 있습니다.
예를 들어, 해변 청소나 쓰레기 줍기, 나무 심기 등의 활동에 참여할 수 있습니다
이러한 방법들을 조합하여 환경을 보호하면 자연과 사람 모두에게 좋은 영향을 끼칠 수 있습니다.
대부분 우리가 할 수 있는 방법으로 알려주니, 구독자 여러분들도 한번 ChatGPT에 환경을 보호할 방법에 관해 물어보고 그중 하나 이상 실천해 보는 건 어떨까요?
예비 포스테키안들에게
과학 기술을 사랑하며 글로벌 리더의 꿈을 키우는 당신이라면 꼭 읽어봐야 할 잡지, POSTECHIAN 독자 여러분 반갑습니다.
앞으로 더욱 풍성하고 알찬 ‘이공계 진로 설계 안내서’를 만들고자 여러분의 의견을 POSTECHIAN 제작에 반영하려 합니다.
7월 31일까지 링크에 접속해 아래 단어 퍼즐의 답을 맞히고(필수) 설문에 참여해 주시면 추첨을 통해 소정의 선물을 드릴 예정입니다.
여러분의 많은 참여와 유익한 의견을 기다립니다.
https://goo.gl/6wNRLU
① 잡지에 실린 내용을 기반으로 단어 퍼즐 맞히기
② QR코드를 통해 링크 접속!! ③ 단어 퍼즐이 가리키는 단어를 맞히고 설문 참여하기
가로 퍼즐
1. 홀전자를 가진 원자 또는 분자. 매우 불안정하고 반응성이 높은 상태여서 지속 기간이 매우 짧으며, 주로 화학 반응에서 중간체 로 존재함.
2. 드론을 이륙시키는 두 가지 힘 중 하나로, 프로펠러가 회전하면 서 경사면이 공기를 아래로 밀어내어 밀려나는 공기에 의해 생 성되는 힘.
3. 물체의 회전운동의 세기를 운동량과 수직거리의 곱으로 나타내 는 물리량.
4. 딥러닝에서 사용되는 기술 중 하나로, 입력값의 각 요소 중 중요 한 정보는 강조하고, 그렇지 않은 정보는 덜 강조하는 방식으로 작동함.
5. 알레르기 검사 방법 중 하나로, 하나의 혈청으로 다양한 종류의 IgE 항체를 검사하는 방법.
6. 사람의 신경계의 정보 처리 구조를 모방한 모델. 기본 형태는 입 력층, 은닉층, 출력층으로 구성되며 딥러닝 알고리즘의 핵심임.
세로 퍼즐
1. 여러 형태의 데이터를 동시에 처리할 수 있는 컴퓨터 모델로, 이 모델이 탑재된 GPT-4는 문자와 이미지를 처리할 수 있음.
2. 컴퓨터, TV, 모바일 기기 등 디지털 화상을 구성하는 기본적인 단위를 일컫는 용어. 컴퓨터의 이미지, 디스플레이를 구성함.
3. 로런츠 힘의 원리를 이용하여 만든 장치로, 이 장치를 통해 전하 를 띈 입자의 질량 대 전하비를 알 수 있음.
4. 자연어 처리 분야에서 널리 사용되는 딥러닝 모델 중 하나로, 사 전 훈련된 언어 모델을 기반으로 다양한 자연어 처리를 수행함.
5. 통계적 추론의 종류 중 하나. 표본의 정보를 사용하여 주장이나 가설의 진위를 판단, 증명, 검정하는 과정을 의미함.
6. 가시광선보다 파장이 긴 전자기파로, 이와 관련된 센서를 통해 빛의 흡수와 반사를 감지하여 빛의 강약에 따라 0과 1의 구분이 가능함.
관한 경제학적 분석
발행일 2023. 5. 8.
발행인 김무환
발행처 포항공과대학교 입학팀
경북 포항시 남구 청암로 77
편집주간 오민진 강수향
편집기획 김나림 문준혁 조윤경 하태혁
편집위원 포스텍 알리미
디자인 & 제작 |주|디자인끌림
t. 051-202-9201
f. 051-202-9206
최신기술소개
고해상도 카메라 / De-extinction 프로젝트 / 광화학 피부 접합법 / 바이오 블록
부를 수 없는
노벨상 수상자들
52
공대생이 보는 세상
공원
물리학과 / 컴퓨터공학과 / 생명과학과 / 기계공학과
56
지식더하기 ① 가설 검정
② 로런츠 힘
58
마르쿠스
자연에서 복소수를 관찰할 수 없다.
하지만 복소수는 실재한다.
60
알스토리 ① 긴장을 떨쳐내는 법
② 당신의 현재가 ‘버팀’이 되지 않도록
62
예비 포스테키안을 위한
정가 5,000원
포스텍 연구실 탐방기
수리 데이터과학 연구소
포스텍 지역별 [기관 / 연합] 설명회
64
포스테키안을 만드는
알리미를 소개합니다!
66
독자서평
POSTECH 입학팀 홈페이지 바로가기
https://adm-u.postech.ac.kr
편집후기
내 고등학교 시절이 아직 생생한데, 이렇게 현재의 고등학생들을 위해 글을 작성하다니, 다양한 감정 의 소용돌이를 경험하며 시작한다. 고등학교 졸업 후 20여 년을 살면서 어마어마한 성과나 인생에서
매우 특이한 경험, 또는 아주 희귀한 능력을 갖추지 못한 내가 조언하거나, 인생의 관점을 제시, 제안
하는 것은 적절하지 않다고 생각한다. 그런 의미에서 여러분이 공학 분야에 종사하고 있는 엔지니어의
삶의 모습을 본 글을 통해 가볍게 참고하기를 바란다.
고등학교 시절의 막연한 욕심
고등학교 시절의 나는 특별히 눈에 띄는 학생은 아니었다. 포스텍에서 꽤 흔한 경시대회 수상 이력이 나, 화려한 학업 성적의 소유자도 아니었다. 수학과 물리를 좋아했지만, 국사나 사회 역시 흥미를 느껴 고등학교 3학년 때까지 진로 결정에 어려움을 겪었다. 대학교수 사회에서 심심찮게 보는 어린 시절 영 재로서의 재능을 나는 확실히 경험하지 못했다. 대학 진학 시 공과대학교를 진학하게 된 것은 텔레비 전에서 우연히 본 비행기 설계 엔지니어 다큐멘터리의 영향이 가장 컸다. 이후 고등학교 시절 틈틈이 서점에서 산 비행기 설계 과정과 엔지니어들의 고충을 담은 서적 몇 권을 읽으며 점점 공학 분야를 알 게 되었다. 그렇다고 해당 책들을 읽으며 공부를 열심히 하여 후에 훌륭한 항공 공학 분야의 엔지니어 가 되겠다는 포부를 다지지는 않았다. 그보다는 특별한 재능과 구체적인 꿈을 가지지 못한 그 당시 나 로서, 상상하고 읽어도 잘 이해가 가지 않는 대단한 기술을 개발하는 사람들이 부럽고 경이롭게 보였 다. 대학이 정확히 어떤 세계인지는 알지 못했지만, 인생의 마지막 학교인 대학에서는 무릇 항공 공학 과 같은 멋진 학문을 배워야 한다는 허영심도 한몫했다. 돌이켜보면 그 당시 시청한 다큐멘터리가 다 른 내용이었다면 진로의 결정에 큰 영향을 끼쳤을 것 같다. 하지만 이러한 우연 속에서 어린 마음에도
성인이 된 후 사회에서 의미가 있는 역할을 하고 싶은 강한 열망이 있었는데 돌이켜보면 욕심이 더 솔 직한 표현이다.
대학 학부 시절, 전파 공학과의 우연한 만남
그 당시 진학한 대학의 1학년은 무학과로서 다양한 진로를 조금 더 진지하게 고민하기 좋았다. 이때 나
는 본격적으로 항공 공학 엔지니어로 성장하기 위한 선수 과목들을 수강하였다. 이러한 커리큘럼을 구
성하는 나를 보며, 학부 지도 교수님께서는 미래의 항공기를 개발하기 위해서는 전자 회로 분야에 대한
배경지식도 점점 더 중요해질 것이라는 조언을 해주셨다. 이를 바탕으로 나는 전자 공학과 기계 공학
분야 위주의 과목들을 수강하며 고등학교 시절의 막연했던 포부를 향해 학업을 이어갔다.
대학생이 되면 고등학교 시절과 달리 ‘유레카’ 하며 나의 진로가 눈에 바로 보일 줄 알았는데, 학년이
올라가도 여전히 오리무중이었다. 대학 2학년이 되니, 슬슬 불안감이 엄습해 왔다. 항공공학 엔지니어
를 꿈꾸게 된 계기가 내가 보기에도 너무 가벼운 것이 아닌지 의문이 들었다. 문제는 대안을 찾는 게 여
전히 어려웠다는 것이다. 고등학교 시절부터 잘 연마한 성실함과 끈기 덕분에 학부 시절 모든 과목의
성적은 우수했다. 바로 이런 점 때문에, 나 자신이 무엇을 특출나게 잘하는지 스스로 판단하기 어려웠 다. 혼란한 마음을 안고 나는 여름 방학의 첫 기업 인턴십에 참여하였다.
과학 기술이 급변하는 현대 사회에 유수의 기업에서 대학 학부생이 인턴으로 수행할 수 있는 업무는
극히 제한적이고 기초적이었다. 그 당시 공학부 수석을 달리며 나름 공학도로서 자부심이 있던 내게
기업 인턴십은 세상의 높은 벽을 체감할 수 있는 경험이었다. 그러던 중, 옆자리 인턴 동료의 지각으로
내가 대신하여 항법 장치에 내장된 안테나 수리 임무를 부여받은 적이 있었다. 참고로 안테나는 전자
기파를 송수신하는 전자 회로이다. 그때까지 나는 전혀 다른 업무를 하고 있었지만, 새로운 과제 역시
성실함을 통해 해결할 수 있었다. 사실 지금 돌이켜보면 전기적으로 단절된 부분을 재연결하는 매우
단순한 업무였는데, 이를 성공적으로 수행하고 체험한 성취감을 지금도 생생히 기억한다. 지금이야 매
우 단순한 업무지만 그 당시 학부 시절 성실하게 학업을 수행하지 못했다면 해당 기회를 통한 경험 역
시 없었을 것으로 생각한다. 어쨌든, 그 당시의 에피소드는 고등학교 시절부터 막연하게 동경한 사회
에서 의미 있는 일을 해낸 기분이었다. 옆자리 동료의 지각이 아니었으면 경험하지 못할 우연을 이제
는 필연으로 전환하기 위해 나는 이후 복학하여 전파 공학 분야의 연구실에 연구 참여를 신청하였다.
이후 장차 항공 공학 분야 내 전파 분야 전문가로서 사회에서 의미 있는 기여를 하기 위한 고등학교 시
절의 열망을 이어갔다.
(좌)대학원 재학 당시 지도교수님과 (우)회사 재직 당시
7월 28일, 에세이와는 다른
전문가로의 삶 독자들도 이미 눈치채셨겠지만, 필자는 학부 졸업 이후 항공 공학 분야의 길을 가지 않았다. 전파 공학 분야는 내게 우연에 가깝게 세상에 기여할 방법을 제시한 자아 발전의 기폭제였다. 이후 나는 세상을 전파 공학의 눈으로 바라보며 나 자신이 세상에 어떻게 기여할 수 있는지 골몰하였다. 특별히 어떤 사 회적 보상이 아닌 자아실현의 욕심이 가장 컸다. 항공 공학뿐만 아니라 차세대 통신, 레이더, 자율주행, 반도체와 회로, 우주 공학 등의 분야에서 날로 폭넓게 요구되고 있는 전파 공학 전문가로서 사회에 기 여하기 위해, 전파 공학 엔지니어의 길로 진로를 전환, 선택하였다. 해당 분야에서 오랜 기간 종사한 이 제, 나의 자아와 전파 공학은 뗄 수 없는 단계가 되었다.
교수님을
지금도 특별히 눈에 띄는 재능을 가지고 있지 않은 필자가 작은 성과들을 이룰 수 있었던 것은, 우연히 마주한 기회를 활용하여 고등학교 시절의 막연한 열망과 욕심을 지속해서 키워 나갈 수 있었기 때문으 로 생각한다. 우연히 시작한 전문가로 사는 삶이지만, 다시 돌아간다면 이제는 필연적으로 동일한 선 택을 할 것이다. 여러분들도 어느 분야, 어떤 진로를 택하든 마음 깊숙이 혼자만 간직하는 열망과 욕심 을 소중히 간직하기를 바란다. 그리고 우연도 진로의 갈림길에서 아름다운 동기가 될 수 있으니 항상 열린 마음으로 세상을 보기를 바란다.
여러분은 어떤 삶을 살고 싶으신가요? 이공계 관련 진로를 꿈꾼다면 해외에서 다양한 연구를 하며 꿈을 펼치고
싶으신 분들도 많을 것 같아요. 이번 <알리미가 만난 사람>에서는 포스텍에서 학사, 석사, 박사를 졸업하시고
영국의 케임브리지 대학 줄기세포연구소(CSCI)와 오스트리아의 분자생명공학연구소(IMBA)에서 그룹 리더로
활동하신, 구본경 선배님을 만나보았습니다! 선배님의 포스텍 학생 시절 이야기를 시작으로, 오랜 시간 유럽에
서 생활하고 연구하시면서 얻은 경험들까지 함께 들어볼까요? (글) 생명과학과 21학번 27기 알리미 최예니
IMBA TEAM_2022
포스테키안 구독자분들께 자기소개 부탁드립니다!
안녕하세요. 현재 ibs 기초과학연구원의 유전체 교정 연구단 부연구단장이면서 오스트리아 과학 아카데미 IMBA 연구소 그룹 리더, 구본경이라고 합니다. 저는 위와 소장의 성체 줄기세포를 연구하고, 성체 줄기세포를 이용해서 키우는 오가노이드 분야의 전문가이기도 합니다. 반갑습니다!
포스텍의 학부생으로서 어떤 학교생활을 보내셨나요?
선배님은 어떤 학생이셨는지 궁금합니다.
공부를 잘했을 것으로 생각하시겠지만, 마음먹고 공부했을 때도 학점 4.0을 넘어보지
못했고, 공부를 싫어했을 때는 3.0도 안 나오는 학생이었어요. 저는 일반고등학교 출
신인데, 명문고등학교 친구들의 선행 때문인지 1학년 때는 두각을 드러내기 쉽지 않
았죠. 시험을 보면 풀 수 있는 게 없어 자책했던 기억도 나네요. 그런데 운이 좋게도
생명과학이라는 학문이 적성에 맞아 재밌더라고요. 그렇게 3, 4학년 때는 성적이
잘 나왔던 전형적인 일반고등학교 학생이었습니다.
많은 학생이 해외에서의 연구를 꿈꾸는데, 선배님께서는 대학원 생활을
해외에서 보내지 않고 박사 졸업까지 한국에서 마무리하신 이유가 있나요?
포스텍은 자대 대학원에 가면 박사 특례를 통해서 군 문제를 학위 과정 중에 해결할 수 있잖아요.
저도 그 이유였던 것 같아요. 그리고 새내기 때 성적이 좋지 않아서 해외의 명문대학교에 갈 수 없기도 했어요.
게다가 포스텍이 타 대학보다도 국내에서 가장 선진화된 환경에서 연구할 수 있는 곳이어서 저에게는 제격이
었죠. 한국에서만 공부해서 우물 안 개구리면 어떡하나 걱정도 했는데, 국제무대를 뛰고 보니 전혀 부족하지
않더라고요. 그래서 그때 포스텍 교육의 훌륭함을 다시 느낀 것 같기도 해요.
현재 오스트리아 과학 아카데미의 IMBA에서 그룹 리더로 활동하고 계시는데요.
‘그룹 리더’란 무엇이며 어떤 역할을 하시는지, 그리고 해외에서 활동하시면서
기억에 남는 에피소드가 있으시면 말씀해 주세요!
유럽에는 대학이나 정부가 세운 연구소들이 있어요. 여기에서 강의는 거의 하지 않고 연구만을 전문적으로 하
는 교수급 연구자들을 그룹 리더라고 해요. 교수는 사실 대학에서 강의하는 것이 주 업무이고, 연구가 부업이
거든요. 물론 포스텍은 연구중심대학이라, 강의만큼 연구를 중요하게 여기지만요. 그리고 실제로 그룹 리더는
비슷한 레벨의 대학교 교수보다 연봉도 높고 자유로워요. 하지만 대학원생을 두거나 박사후연구원을 데리고
연구하고, 기업에서 연구비를 타는 데에 있어서는 동일한 권한을 갖고 있다는 점에서 메리트가 있죠.
영어
로 소통하는 게 수월해졌을 즈음 영국으로 가면서, 영국식 영어를 사용해야 하니까 다시 처음으로 돌아간 기
분이었죠. 그게 제일 힘들었는데, 여러분은 이걸 되풀이하지 않았으면 좋겠어요. 유럽은 젊은
IMBA TEAM_2021
선배님께서는 유럽과학재단의 신진연구자로 선정되어 수상하시거나 저널의 편집위원으로 계시는 등
감히 최고의 위치에 계신다고 해도 과언이 아니라고 생각합니다.
선배님을 현재의 위치에 다다를 수 있게 한 원동력이나 마음가짐이 있다면 무엇인가요?
시간이라는 재화가 한정적이라는 것을 알면, 안주하지 않고 도전하는 삶을 살게 되는 것 같아요. 그게 제 원동
력이었고요. 인생에서 마주하는 재화에는 돈과 시간이 있어요. 여러분에게는 그중 시간이라는 어마어마한 자
산이 있죠. 시간은 돈과 달리 교환할 수 없고 계속 써야만 해요. 로또를 맞으면 펑펑 쓰기보다는 여러 곳에 투자
하듯, 시간도 똑같아요. 그저 흘려보내며 써버리지 말고 남은 시간을 투자할 줄 알아야 한다는 거죠. 한 살이라
도 어릴 때 도전해 보면서 자신에게 가장 즐거운 일을 찾는 게 중요해요. 앞으로 20년이라는 자산을 어떻게 쓰
면 좋을지 꼭 고민해 보세요. 그리고 20년 후에 여러분을 다시 만났을 때 저희가 서로에게 ‘20년 정말 잘 썼구
나’하는 말을 해줄 수 있으면 좋겠습니다.
선배님의 앞으로 인생 목표는 무엇인가요?
먼저 ‘후생가외後生可畏1’라는 생각으로 젊은 친구들에게 더 많은 기회를 주고, 잘 이끌어서 인재들을 만들어야죠.
그런 친구들을 양성해 내면 한국 과학의 국력이 그만큼 커지거든요. 그래서 후학 양성에 집중하려고 해요. 그리
고 ‘K-SCIENCE’, 즉 한국 과학의 국제화를 이끌고 싶어요. ‘K-DRAMA’가 잘 된 데에는 넷플릭스 같은 국제적 공
용 플랫폼이 있었기 때문이라고 생각해요. 그런데 과학은 이미 저널이라는 국제적인 미디어가 있으니 이제 우
리의 연구 환경을 국제화하는 것이 필요해요. 그래서 저는 해외의 젊은 친구들을 한국에 데려와서 키워요. 외국
인 친구들이 있어서 연구단 안에서는 영어를 피할 수 없는 환경을 만드는 것도 좋은 방법이죠. 그래야 한국인 친
구들도 해외에 나가서 한국 과학을 더 잘 알리니까요. 이렇게 ‘K-SCIENCE’를 만들어내는 것이 제 목표예요.
마지막으로, 선배님의 경험을 바탕으로 이공계열의 꿈을 키우고 있는
고등학생들에게 조언 한 말씀 부탁드립니다.
요즘 의대 열풍이잖아요. 하나 말씀드리고 싶은 것은, 의사가 된 여러분은 전반적으로 진료와 처방의 굴레인
반복적인 삶을 살 수도 있다는 거예요. 여러분이 시간이라는 자산을 바탕으로 투자하고 성장해 나가려고 할 때
어려움이 있을 수도 있다는 거죠. 반면에 과학자는 한계를 정하는 지붕이 없어서 폭발적이에요. 인류사에 이바
지할 수 있는 잠재력을 가진 여러분에게 기회를 제공하는 직업이죠. 그리고 한국에서 받은 의사 면허증이 대부
분 해외에서 인정되지 않아요. 그러나 과학자는 학위를 받았다면 어느 나라로 가든 그 누구도 학위를 의심하지
않아요. 이미 증명된 거예요. 전 세계 어디에서든 연구할 수 있으니 세상이 열리고, 그 모든 가능성을 누릴 수
있어요. 제가 얼마든지 해외로 나갈 수 있는 것처럼 열린 결말의 삶을 살 수 있죠.
저는 여러분이 도전하는 삶을 살고 계속해서 자기 앞에 목표를 두어야 한다고 생각해요. 그렇지 않으면 무료한
인생이 되거든요. 의대 열풍은 사회적 현상이지만, 그래도 본인이 선택하는 삶이 어떤 삶인지 알고 결정하셨으
면 좋겠다고 말씀드리고 싶습니다.
포스텍에서의 배움과 다양한 유학 경험을 바탕으로 ‘K-SCIENCE’를 꿈꾸시는 구본경 선배님의 이야기는 어
떠셨나요? 인터뷰 내내 선배님의 경험과 배움을 여러분께 들려드리고 싶어 하시는 마음이 느껴져, 저 또한
깊이 성찰하게 된 인터뷰였습니다. 여러분도 자신이 가진 잠재력과 시간이라는 재화를 활용하여 돌이켜보
았을 때 후회 없는 삶을 살아보시는 것이 어떨까요? 바쁘신 와중에도 구독자 여러분을 위해 귀한 시간 내 주
신 구본경 선배님께 다시 한번 감사의 말씀을 전하며 글을 마칩니다.
1. 「젊은 후학들을 두려워할 만하다.」는 뜻으로, 후진들이 선배들보다 젊고 기력이 좋아, 학문을 닦음에 따라 큰 인물이 될 수 있으므로 가히 두렵다는 말.
안녕하세요, 포스테키안 구독자 여러분! 알리미가 직접 교내외 유명 기업이나 연구소를 방문하여 일일 인
턴 체험을 해보는 알턴십이 아홉 번째 이야기로 돌아왔습니다. 이번 호에 알턴십으로 방문한 기업은 바로
자율 주행 스타트업 오토노머스에이투지입니다! 오토노머스에이투지는 현재 국내에서 가장 많은 자율 주
행차를 운영하는 것은 물론, 가장 긴 자율 주행 거리를 달성하였고 국내뿐만 아니라 세계적으로 인정받아
지난 3월, 글로벌 시장조사 전문기관 ‘가이드하우스 인사이트’가 발표한 세계 자율 주행 기술종합순위에서
13위를 차지하였다고 합니다. 이렇게 세계적으로 인정받은 한국 대표 자율 주행 기업 오토노머스에이투지
가 어떤 기업인지 체험하기 위해 저와 박기현 알리미가 오토노머스에이투지 평촌 연구소를 방문했습니다.
글 / 무은재학부 22학번 28기 알리미 조소혜
알턴십 인턴 / 무은재학부 22학번 28기 알리미 박기현 X 무은재학부 22학번 28기 알리미 조소혜
알리미의일일인턴체험기!
모빌리티 서비스란 이동을 지원하는 모든 서비스를
뜻합니다. 카카오T 앱을 통해 편리하게 택시를 잡는 경
험은 꽤 익숙하실 텐데요. 이 앱을 통해 제공되는 모든
것이 바로 모빌리티 서비스입니다. 이 익숙한 서비스에
자율주행 기술을 합치면, 바로 자율주행 모빌리티 서비
스가 탄생합니다. 오토노머스에이투지는 우리가 일상생활
에서 마주하는 모든 모빌리티를 자율 주행으로 구현하는 것
을 목표로 하고 있습니다. 이 목표를 위한 시범 사업인, 대구의
달구벌자율차에 대한 설명을 들을 수 있었는데요. 달구벌자율차는
여객과 생활 물류 서비스를 자율 주행차로 제공하는 서비스이며, 현재
는 무료로 카카오T 앱을 통해 진행하고 있다는 설명을 들을 수 있었습니다.
자율 주행 시스템이 어떻게 주변 환경을 인식하고 있는지 실시간으로 볼 수 있는
신기한 경험도 할 수 있다고 하니, 대구에 방문하실 계획이 있는 구독자님들은 달구
벌자율차 탑승을 신청해 보는 것은 어떨까요?
# 자율 주행 기술
자율 주행 모빌리티 서비스를 가능케 한 자율 주행차는 어떻게 작동하는 걸까요? 자율 주행 기술은 크게 인지, 판 단, 제어로 구성됩니다. 차량에 부착된 센서와 카메라는 딥러닝을 통해 보행자와 다른 차량의 위치와 속도를 인지합니다. 앞서 인지된 정보들을 바탕으로 자율 주행 소프트웨어가 차량이 어떤 속력과 방향으로 갈지 경 로 계획을 판단하면, 제어단은 핸들을 얼마나 꺾을지 가속 페달을 얼마나 밟을지 결정하고 제어합니다.
같은 자율 주행 기술을 연구하고 있지만, 주변 공간을 인식하기 위해 테슬라(Tesla)는 광학 카메라를, 오토노머스에이투지는 라이다(LiDAR) 센서와 카메라, 레이다 센서를 센서 퓨전하여 이용합니다. 레
이저 광선을 멀리 있는 물체에 쏘면, 맞고 돌아오는 시간이 오래 걸리지요? 이 원리를 이용하여 사물
간 거리, 형태, 크기를 파악하는 센서가 바로 라이다 센서입니다. 라이다 센서는 한 번에 여러 개의
레이저를 쏘아(레이다 센서는 전파를 쏘아) 주변 환경을 인식함으로써 세밀한 3D 지도를 만들 수 있 습니다.
오토노머스에이투지의 자율 주행 기술은 현재 4단계 수준으로, 정해진 구간 내에서 완전 자율 주행 이 가능하며 비상 상황이 발생해도 운전자의 개입이 필요하지 않습니다. 그렇다면 확신의 N형인 저 는 만약 야간 주행 중 고라니가 튀어나온다면 오토노머스에이투지의 차량이 이에 어떻게 대응할지 궁금해졌습니다. 자율 주행 차량은 사람이 볼 수 없는 사각지대도 쉽게 인지할 수 있으므로 더 빨리
반응하여 급정지하거나 회피할 수 있다는 답변을 사수님으로부터 받을 수 있었는데요. 관련한 기술을
이어서 알아봅시다!
우리가 타지에서도 인터넷 지도를 통해 원하는 장소를 찾아갈 수 있는 것처럼 자율 주행 소프트웨어에도 a2z
Map이라는 지도가 필요합니다. a2z Map에는 도로, 인도, 횡단보도 등의 다양한 정보가 3D로 저장되어 있어, 이러한 사전 정보로 센서의 인식 한계를 보완할 수 있습니다. 차량이 센서를 통해 수집하고 있는 정보와 a2z
Map을 한 화면에 함께 표시한 영상을 볼 수 있었는데요. 이 영상으로 어떤 정보들이 소프트웨어의 실시간 판
단에 영향을 미치는지 한눈에 파악할 수 있었습니다.
다양한 정보를 자세하게 담은 지도라면 꽤 큰 용량일 것 같지 않나요? JPEG 같은 일반 이미지와 다르게 a2z Map은 벡터맵(Vector Map)입니다. 일반적으로 고품질의 이미지를 생성하려면 많은 픽셀이 필요해 용량이 커
지곤 합니다. 하지만 벡터맵의 경우 수학적인 공식으로 점과 곡선을 정의하기 때문에 같은 품질이지만 비교적
저용량의 지도를 만들 수 있습니다! 저용량의 a2z Map과 함께라면 오토노머스에이투지의 자율 주행차가 누빌
수 있는 지역이 더욱 쉽게 넓어질 수 있겠죠? # 원격 제어 주행 기술
운전대가 없어진 자율 주행 차량에 탑승하고 있을 때, 자율 주행이 어려운 상황이 발생한다면 어떤 방법으로 차량을 움직일 수 있을까요? 이런 비상 상황에 대처하는 데 필요한 것이 바로 이중 안전 기술 로, 원격 제어 주행 기술이 이 중 하나입니다. 원격 제어 주행 연구 개발 테스트는 주 로 경기도 화성시에 있는 K-City에서 이루어지는데요. 평촌 연구소인 이곳은
물론이고 작년에는 무려 바다 건너 제주도에서 원격 제어 주행으로 약
450km 떨어진 화성시에 있는 차량을 운전했다고 하네요! 이러한 다
중 안전 기술이 더 많이 마련된다면, 미래엔 자율 주행차를 안심
하고 이용할 수 있을 것 같습니다.
# 유병용 이사님과의 인터뷰
오토노머스에이투지의 다양한 기술을 살펴본 뒤 오토노
머스에이투지에서 기술 이사를 맡고 계신 유병용 이사님
과 인터뷰를 진행했습니다. 유병용 이사님은 포스텍에서 석
박사를 지내시고, 현대자동차에 입사하셔서 7년 동안 자율 주
행 기술을 연구하셨습니다. 그 후 교수로 임용되어 일하시던 중, 자율 주행 기술을 다루는 일을 하고 싶다고 결심하시어 기존 동료분
들과 함께 오토노머스에이투지를 창업하셨다고 하는데요. 자율 주행 기
술을 연구할 수 있는 다양한 직업이 있음에도 왜 꼭 ‘스타트업’이었는지에 대한
질문에 “현대자동차 엔지니어로서 자율 주행 기술을 시연하기 위해 CES1에 참가했을 때, 다양한 기업의 자율 주행 기술을 보았다. 그 경험을 떠올렸을 때 글로벌 기업들에 뒤지지 않을 회사를 만들
수 있겠다고 생각했다.”라고 답해주셨습니다. 또한 이사님께서는 첫 번째로 운전자 부주의로 인한 교통사
고를 줄여 도로 안전을 유지하는 것, 두 번째로 도로 위에서 낭비되던 시간을 사회적 가치를 생산할 수 있
는 시간으로 바꾸는 것을 목표로 하고 계시다는 멋진 답변까지도 들을 수 있었습니다.
# 오토노머스에이투지 알턴십을
전기차는 일상생활에 많이 이용되지만, 반면에 자율 주행차는 이용할 기회가 많이 없었기 때문에 자율 주
행 기술이 멀게만 느껴졌습니다. 하지만 오토노머스에이투지를 방문함으로써 자율 주행 기술이 예상보다
훨씬 더 발전하였고 머지않아 실생활에서 자율 주행차를 마주할 수 있을 것 같다고 느꼈습니다. 글로벌 시
장에서 뛰어난 활약을 보이는 오토노머스에이투지를 방문할 수 있어 영광이었습니다. 체험을 도와주신 사
수님, 인터뷰에 응해주신 유병용 이사님께 감사의 말씀을 전합니다. 오토노머스에이투지의
1. 매년 1월 초 미국 라스베이거스에서 열리는 세계 최대 규모의 소비자 가전 전시회
전주영 교수님의 연구와 연구실에 관해 설명 부탁드립니다.
백승태 교수님 우리 연구실은 신경유전학 연구실로 줄기세포나
생쥐 같은 모델들을 사용해서 신경 발달 질환을 연구하고 있습니
다. 발달 과정 중 신경계에 이상이 생기는 여러 가지 질환들이 있
는데, 이는 대부분 난치성 질환입니다. 우리 연구실의 주요 연구
목적은 질병의 유전적인 요인에 무엇이 있는지, 왜 이 질병이 생
기는지 탐구함으로써 이 질병을 치료할 수 있는 힌트를 얻는 것 입니다.
박재욱 교수님의 연구실에서 줄기세포를 활용해서 신경 발달 질
환을 연구한다고 하셨는데, 줄기세포를 어떻게 활용해서 연구하 시는지 궁금합니다.
백승태 교수님 줄기세포를 일종의 질환 모델로 활용하는 거죠.
이 질병이 어떻게 일어나는지, 어떤 원인에 의해서 어떤 과정으
로 악화하는지 여러 방식으로 연구할 수 있습니다. 분자 수준, 세
포 수준이나 개체 수준에서도 연구를 할 수 있는데, 줄기세포는
사람에게서 유래된 세포를 활용할 수 있으므로 사람의 신경세포
로 분화할 때 질환이 어떻게 진행되는지 정확하게 알 수 있는 유
용한 모델이 될 수 있습니다.
한 가지 예를 든다면 사람에게서 발견된 여러 가지 유전 결함이
있을 때, 이 유전 결함에 의해 신경계에 이상이 생기는 질환을 모
델링 하기 위해 유전자를 도입하거나 제거하는 형태로 줄기세포
에서 유전 결함을 똑같이 모델링 합니다. 그다음에 이 줄기세포
를 신경세포로 분화시킬 수 있는데요. 우리 연구실에서 진행하는
것은 발달 질환이기 때문에 대부분은 신경세포로 분화하는 과정
에서 여러 가지 병리학적 이상 증상이 나타납니다. 이 과정을 현
미경이나 분자세포 생물학적 도구를 활용해서 관찰함으로써 ‘우
리가 도입한 이 유전적 결함이 질병의 원인이 될 수 있구나. 이러 한 과정을 통해서 질병이 진행되는구나.’라는 정보를 얻을 수 있 습니다. 이런 정보를 얻어 궁극적으로는 질병을 치료할 수 있는
전략을 구상합니다. 결론적으로 줄기세포는 우리 연구실에서 잘
활용하는 일종의 모델 생명체가 될 수 있습니다.
전주영 제 목표는 발전된 생명과학 기술의 혜택을 더욱 많은 사
람이 누릴 수 있게 하여 사회복지를 증진하는 것인데요, 교수님
이 하고 계신 연구도 뇌전증을 앓고 있는 사람들에게 큰 희망이
될 수 있는 연구라고 알고 있습니다. 그렇다면 구체적으로 어떤
영향을 줄 수 있을까요?
백승태 교수님 뇌전증에는 다양한 원인이 있는데 그중 절반 정
도가 유전자 결함에 의해서 일어난다고 알려져 있습니다. 이 중
에는 원인이 밝혀진 것도 있지만 제가 연구하는 난치성 유전병은
원인이 아직 정확하게 규명되지 않았고, 따라서 치료가 매우 어
렵거나 치료가 되지 않는 질병입니다. 저희 연구는 이러한 난치
Baek, Seung Tae, Ph.D. sites.google.com/site/baeklabpostech
2017-Present Assistant, Associate Professor, Department of Life Sciences, POSTECH
2014-2017 Post-doc The Rockefeller University, NY, USA
2012-2014 Post-doc UC San Diego, CA, USA
2008-2012 Ph.D. UT Southwestern Medical Center, TX, USA
성 뇌전증의 원인을 밝히고 앞서 말씀드렸던 줄기세포나 생쥐 모
델을 활용해 이 질병이 어떻게 진행되는지를 이해함으로써 질병
을 치료할 수 있는 힌트를 얻는 것입니다. 연구에서 다루는 유전
자 결함은 실제 환자에게서 발견된 돌연변이입니다. 그 돌연변이
가 난치성 뇌전증의 원인이 될 수 있을지를 규명하고, 이 원인에
의해서 난치성 뇌전증이 어떤 방식으로 일어나는지에 초점을 맞
춰 이것을 분자생물학적인 수준에서 밝혀낸다면 이 정보를 활용
해 실제 환자의 난치성 뇌전증 치료에 도움을 줄 수 있습니다.
전주영 생명과학 기술의 혜택을 더욱 많은 사람이 누리도록 하
려면 다른 분야와의 협력도 필요할 것 같은데요. 현재 포스텍 내
에서는 어떤 협력이 진행되고 있고, 앞으로는 어떤 분야와 융합
이 필요할지에 관해서 설명 부탁드립니다.
백승태 교수님 포스텍에는 ‘융합대학원’이라는 것이 있어서 다양
한 학문 분야의 융합 연구를 적극적으로 장려하고 있습니다. 이
를테면 생명과학의 기초과학적인 내용이 응용 분야인 의학과의
접목을 통해서 실제 치료법 혹은 치료제 개발과 연동될 수도 있
고, 화학 분야나 공학 분야와 접목됨으로써 인공 장기를 만들거
나 생체 친화적인 수지를 활용해 여러 가지 질병에 도움이 될 수
있는 연구를 할 수도 있습니다.
우리 연구실에서 하는 발달 질환 연구도 마찬가지인데, 의사가
실제로 환자를 보며 질병에 대해 가진 의문이 있을 때 저희 생물 학자와의 공동 연구를 통해 모델 시스템을 활용함으로써 다양한
인과관계를 밝힐 수 있고 질병의 기전에 대한 이해를 넓힐 수 있 습니다. 그뿐 아니라 우리 연구실은 사람의 유전정보도 같이 분
석하기 때문에 상당히 방대한 데이터베이스를 다룹니다. 이는 숫
자와 컴퓨터를 다루는 일이므로 컴퓨터 공학자와의 협업을 통해
이뤄지고, 데이터 통계분석과 그로부터 나온 유의미한 정보, 질
병의 원인이 될 수 있는 유전자 돌연변이 정보를 추출해 줄기세 포에서의 모델링을 가능하게 합니다.
이처럼 서로 다른 전공을 뒀더라도 같은 목표를 갖고 인간에게
큰 도움이 되는 질병을 치료하는 연구를 서로 협업하여 훨씬 더
빠른 속도로, 더 넓은 범위에서 체계적으로 진행할 기회를 갖는
게 좋지 않을까 생각합니다.
박재욱 저희같이 생명과학자를 꿈꾸는 학생들이 가져야 할 마음
가짐에는 어떤 것이 있을까요? 마지막으로 포스텍 진학을 희망 하는 고등학생들에게 한 말씀 부탁드립니다!
백승태 교수님 아마 많은 분이 답변을 이렇게 해주실 텐데, 자연 과 생명에 대한 호기심을 키우는 자세가 가장 중요하지 않을까 싶습니다. 생명과학은 어떻게 보면 굉장히 어려운 학문처럼 느껴 질 수 있지만, 사실은 우리에게 가장 친숙한 학문이기도 합니다.
사람이나 우리 주변에 있는 자연에 대해서 이해를 넓히는 목적이 있습니다. 우리 주위의 작은 사물 혹은 본인 스스로에 대한 호기 심과 ‘이건 왜 이렇게 됐을까? 이 호기심을 어떻게 답할 수 있을 까?’에 대한 관심이 바로 생명과학자가 가져야 할 가장 중요한 덕 목이라고 생각합니다.
마지막으로 우리 포스텍은 국내 원조 연구중심대학으로서 가까 이에는 방사광 가속기, 인공장기 센터, 바이오 오픈 이노베이션
센터 같은 여러 시설을 갖추고 있으며 과학의 꿈을 키워 나가는 데에 적극적으로 협조하는 등 생명과학뿐 아니라 공학에 관심 있
는 학생들이 연구하고 공부하기에 최적의 조건을 갖추고 있습니
다. 따라서 이 글을 읽고 있는 여러분들이 졸업 후 포스텍에 와서
만나 뵐 수 있으면 좋겠습니다. 두 분도요!
저희가 전해드리는 내용은 여기까지입니다. 포커스 8기로 선정
되어 그 무엇과도 바꿀 수 없는 값진 경험을 하게 되어 영광이었 습니다. 평소 인터뷰를 즐겨 하시지 않음에도 인터뷰 요청에 흔
쾌히 응해주신 백승태 교수님과 이런 귀한 자리를 만들어주신 포
스텍 입학팀, 알리미 분들께 감사드립니다!
고등학생 기자단 포커스의 이야기는 5월 26일 공개됩니다!
한 사람이 동시에 의사이면서, 변호사이면서, 교수이면서, 작가인 것이 가능하다고 생각하나요? 인간에겐 불가
능한 일에 가까울 겁니다. 그러나, ChatGPT는 이 모든 것을 하면서도 동시에 다른 작업도 수행할 수 있습니다.
2022년 11월 개발된 새로운 생성형 AI ChatGPT는 사람을 보조해 다양한 작업을 수행할 수 있고, 최근에는 더 발
전하여 변호사 시험, 의학 분야의 MKSAP에서 고득점을 받기도 하며 논문의 제2 저자가 되기도 했습니다. 기존의
생성형 AI의 능력을 여러 방면에서 훨씬 뛰어넘는 ChatGPT는 어떻게 만들어졌을지, 궁금하지 않으신가요? 머신
러닝의 기본 개념부터 ChatGPT의 구조와 원리, 그리고 GPT의 전망까지 자세히 알아보도록 합시다!
8월 4일, 기획특집의 이야기를 영상으로 만나보세요!
여러분, 전 세계적으로 화제를 모으고 있는 ChatGPT에 대해 들어본 적이 있나요? ChatGPT는 Open AI에서 출시한 대화형 인공지능 서비스입니다. 출시된 지 무려 2개월 만에 사용자 수 1억 명을 돌파했다고 하는데요.
ChatGPT는 이전의 인공지능과 달리 질문의 의도를 파악하고 답변을 스스로 생성할 수 있어 전 세계의 이목을 끌고 있습니다.
ChatGPT를 처음 접하는 분들을 위해 ChatGPT의 사용 예시를 가져왔습니다. 아래 사진에서 볼 수 있듯이 자기 소개를 작성해 주었고 코드의 오류도 단번에 찾아 주었네요. ChatGPT의 사용법은 아주 간단합니다. 사용자가
명령어를 입력하면 ChatGPT는 즉시 답변을 생성해 주죠. 사용자가 쉽게 접근할 수 있어 간단해 보이지만, 깊은 이론과 기술이 숨어 있는 수십 년 연구의 결실인데요. ChatGPT의 작동 원리는 무엇일까요? 핵심 개념인 머신러 닝과 인공신경망에 대해 알아봅시다!
그림1. ChatGPT의 사용 예시 (출처: https://chat.openai.com/chat)
머신러닝, ChatGPT의 근간
ChatGPT 를 이해하기 위해 인공지능의 기본 개념인 머신러닝부터
다뤄봅시다. AI에 관심 있는 독자분들은 머신러닝이라는 개념을 한
번쯤 접해봤을 것 같은데요. 직역하자면 ‘기계가 스스로 학습한다’라
는 의미를 지닙니다. 그렇다면 스스로 학습한다는 것은 무엇을 의미
할까요? 간단한 머신러닝 프로그램의 예시를 통해 알아봅시다.
일반적으로 우리가 아는 간단한 프로그램은 다음과 같이 작동합니
다. 예를 들어 y=ax+b라는 연산을 수행하는 프로그램이 있다고 합
시다. 이때 컴퓨터는 입력 데이터인 x와 규칙을 명시하는 ax+b 관계
식을 이용하여 정답 y를 계산합니다. 하지만 머신러닝 프로그램은 반
대로 입력 데이터인 x와 정답인 y가 주어질 때 x와 y 사이의 규칙을
나타내는 a와 b의 값을 예측합니다. 이러한 작동 방법을 아래 수식처
럼 나타낼 수 있는데요. 컴퓨터는 종속 변수 y와 여러 독립 변수 x1, x2, … , xn에 대한 데이터가 주어질 때 y와 x1, x2, … , xn간의 관계를
학습합니다. 그리하여 매개 변숫값 또는 가중치(Weight) W1, W2, … , Wn과 상수항에 해당하는 편향(Bias) b를 찾습니다. 이처럼 변수 간의
선형 관계를 예측하는 머신러닝 모델을 선형회귀 모델이라고 합니
다. 그리고 예시처럼 입력 데이터와 이에 대응되는 정답 데이터를 함
께 주어 컴퓨터를 학습시키는 방법을 머신러닝에서 ‘지도학습’이라
고 합니다.
그림 2. 일반 프로그램과 머신러닝 프로그램의 비교 (출처: https://thebook.io/080237/0007/)
y
그림 3. 선형 회귀식
W
x
+ + Wn x n + b
지금까지 간단한 선형회귀 모델을 통해 머신러닝에 관해 알아봤습니다.
정리하자면, 머신러닝은 알고리즘을 이용하여 데이터의 관계를 학습하
고, 이를 기반으로 결괏값을 예측하는 것을 의미하죠. 그러나 ChatGPT
는 방대한 양의 문자 데이터를 입력받고 처리하기 때문에 위의 예시처
럼 단순한 학습 과정으로는 충분하지 않습니다. 그렇다면 ChatGPT는
어떻게 입력받은 데이터를 학습하고 출력할까요? 인공신경망과 딥러닝
의 개념을 알아가며 ChatGPT를 한층 더 깊이 이해해 봅시다!
인공신경망과 딥러닝 인공신경망이란, 신경계의 정보 처리 구조를 모방한 수학적 모델입 니다. 뇌의 신경세포들이 시냅스를 통해 신호를 주고받는 것처럼, 인 공신경망의 인공 뉴런들이 입력값을 받아 학습을 통해 출력값을 처 리합니다. 아래의 사진처럼 인간의 뇌에는 천억 개의 뉴런이 신호 전 달 연결 지점인 시냅스를 통해 연결되어 있는데요. 각각의 뉴런은 수 상돌기(Dentrite)를 통해 다른 뉴런으로부터 전달물질을 받아 전기 신호를 세포체에 저장하고, 세포막이 역치 전위에 도달하면 축삭돌 기(Axon)를 통해 다음 신경세포로 전달물질을 내보냅니다.
그림 4. 신경세포의 신호전달 과정 (출처: Fukuchi, Tomohide & Ogbodo, Mark & Ben Abdallah, Abderazek. (2020). Design and Optimization of a Deep Neural Network Architecture for Traffic Light Detection. SHS Web of Conferences. 77. 01002. 10.1051/ shsconf/20207701002.)
그림 5. 인공신경망 구조의 도식화 (출처:https://en.wikipedia.org/wiki/Artificial_neural_network#/media/ File:Artificial_neural_network.svg)
그림 6. 인공신경망의 신호 처리 및 전달 과정 (출처: https://jameskle.com/writes/neural-networks-101)
인공신경망의 원리도 신경세포와 매우 유사합니다. 이를 이해하기
위해 인공신경망의 기본 형태를 알아봅시다. 신경망은 세 가지 층으
로 나눌 수 있는데요, 그림 5처럼 입력층(Input), 은닉층(Hidden), 출
력층(Output)으로 나뉩니다. 입력층은 데이터가 입력되는 층입니다.
원으로 표현된 부분은 인공 뉴런 또는 노드(Node)라고 불리는데요.
입력층 각각의 노드로 n개의 데이터 (x1, …, xn) 가 입력되면 각각의
가중치 (w1, …, wn)가 곱해진 후, 편향(b)이 더해져 다음 층의 노드로
입력되는 모든 출력 데이터가 전달됩니다. 이때 출력 데이터 값의 범
위를 조절하기 위해 활성화 함수(Activation Function)가 적용되며, 활성화 함수의 연산 값이 임곗값을 초과할 때만 다음 층으로 신호가
전달됩니다. 최종적으로 출력층 각 노드에 도달한 데이터 값을 비교
하여 컴퓨터가 판단을 내리게 됩니다.
이러한 기본 구조를 바탕으로 여러 개의 은닉층을 가진 신경망의 학
습 과정을 ‘딥러닝’이라고 합니다. 사용자가 해결하고자 하는 문제와
사진, 음성, 문자 등의 데이터 구조에 따라 은닉층의 개수, 층별 노드
의 개수, 신경망의 모양이 다른 다양한 인공 신경망이 존재하는데요.
ChatGPT처럼 자연어를 처리하는 인공지능은 구체적으로 어떤 구조
의 인공 신경망을 통해 학습하는 걸까요?
자연어 처리와 RNN 인공신경망
자연어를 처리하는 인공지능은 비교적 구현하기 쉬운 맞춤법 검사부
터 구현하기 어려운 질문 답변, 문장 분석 등의 다양한 기능을 수행 합니다. 자연어를 효과적으로 처리하기 위해 RNN(Recurrent Neural Network)이 고안됐고, RNN기반의 모델이 꾸준히 발전하여 ChatGPT 가 탄생했습니다.
문자열이나 문장처럼 데이터의 각 원소가 유의미한 순서대로 나 열된 데이터를 ‘시퀀스 데이터’라고 합니다. “POSTECH” 문자열이 “PSTOHEC”으로 바뀔 때 기존의 의미가 사라지는 것처럼, 시퀀스 데
이터는 순서가 유지되어야 데이터에 내포된 정보가 변경되거나 손실
되지 않습니다. 즉, 데이터의 원소들이 종속적인 관계를 가지는 것이 죠. 그렇기 때문에 기본 인공신경망의 입력층, 은닉층, 출력층의 순서
대로 데이터를 전달하면 순차적이지만 독립적으로 데이터를 처리하
기 때문에 시퀀스 데이터의 정확한 처리가 어렵습니다.
에 다음 입력 데이터를 처리하는 동안 이전에 입력받은 데이터를 모 두 기억하게끔 해줍니다. RNN은 시퀀스 데이터 처리에 적합하다고 할 수 있네요!
그림 7. (위)기본 인공신경망 / (아래)RNN 구조의 도식화1 (출처: https://www.mdpi.com/1660-4601/15/5/1032
지금까지 ChatGPT의 기본 원리와 인공신경망에 대해 알아봤습니
다. RNN 기반의 모델이 꾸준히 보완되어 현재의 ChatGPT가 탄생 했다고 하는데요. 다음 꼭지에서 현재 ChatGPT의 구조와 원리를 알 아봅시다.
1. 등호의 우측은 은닉층의 순환 과정을 펼친 것이며, Whx,Whh,Why는 각각 입력 층에서 은닉층으로 보낼 때, 은닉층에서 은닉층으로 보낼 때, 은닉층에서 출 력층으로 보낼 때의 가중치를 나타낸다.
RNN은 시퀀스 데이터의 특성을 반영한 구조를 가집니다. 그림을 통
해 기본 인공신경망과 RNN의 구조를 비교해 봅시다. xn, hn, yn은 각
각 n번째 입력층, 은닉층, 출력층을 나타내는데요. RNN에는 은닉층
에서 나와 다시 은닉층의 입력으로 들어가는 화살표가 존재해 은닉
층이 순환하는 구조를 가집니다. 은닉층의 출력값이 출력층 방향으
로 전달되면서 다음 은닉층의 입력값으로도 전달되는 것이죠. 덕분
1. J. Wilber, 「Linear Regression」, 2022. 9. 22. https://mlu-explain.github.io/ linear-regression/
2. M. Mohammadi, R. Mundra, R. Socher, 「CS224D: Deep Learning for NLP」, 2015. https://cs224d.stanford.edu/lecture_notes/notes4.pdf
3. 이상구, 이재화, 「인공지능을 위한 기초수학」, 『오드림빅북』, 2019. 12. 12. http://matrix.skku.ac.kr/math4ai/part4/
4. OpenAI, 「ChatGPT」, 2022. https://chat.openai.com/chat
지금까지 GPT를 이해하는 데 필요한 기본적인 딥러닝 지식과 자연어 처리를 공부해 보았습니다. 그러나 자연어 처리를 연구하는 과학자들은 훨씬 더 많은 데이터까지 효과적으로 학습시키기 위한 고민을 해왔는데요. 그리고
그 문제를 해결해 준 것이 바로 GPT의 심장이라고 할 수 있는 트랜스포머입니다. 이 방법이 얼마나 효과적이길래
ChatGPT는 전 세계를 뒤흔들 수 있었던 걸까요? 이번 페이지에서 그 내용을 알아보겠습니다!
GPT의 개요
ChatGPT에서 GPT의 전체 이름은 Generative Pretrained Transformer로, 한국말로 하면 ‘트랜스포머
로 사전 학습된 생성 모델’이라고 할 수 있습니다. 아
직 생소한 단어가 많이 보이실 텐데, 이해를 돕기 위
해 GPT의 전체적인 구조를 설명해 보겠습니다. 사전
에 어떤 문제(Task)를 해결하는 방법을 학습한 모델
을 ‘학습된 신경망(Pretrained Model)’이라고 합니다.
즉, GPT는 우리가 사용하기 전에 이미 대량의 데이터
로부터 특정 문제를 해결하는 방법을 학습하고 우리
가 질문하면 질문에 맞게 답변을 생성(Generation)
한 것이죠. 그렇다면, 그 학습은 어떻게 진행되었
을까요? GPT가 사용하는 학습 모델은 트랜스포머 (Transformer)입니다. 트랜스포머는 2017년에 개발
된 자연어 처리 모델로 현재 자연어 처리 분야에서 사
용되는 모델 대부분은 트랜스포머에서 파생되었을 정
도로 정말 중요한 모델이죠.
그림1. ChatGPT의 전체적인 구조
(출처: https://fourweekmba.com/how-does-chatgpt-work/)
이렇게 완성된 GPT의 사전 학습된 모델은 더 좋은 성
능을 위해 비슷하거나 전혀 다른 새로운 분야에서 테
스트를 진행하기도 합니다. 이를 전이학습(Transfer Learning)이라고 하는데요. 전이학습을 통해 특정 데
이터에 대답을 더 잘하는 가중치를 찾을 수 있습니다.
새로운 가중치와 이전에 찾았던 가중치 사이를 미세하게 조정해서
학습을 수정하는 것을 파인튜닝(Fine-tuning)이라고 합니다. 음악에
맞게 기타를 미세하게 조율하는 것처럼 데이터에 맞게 가중치를 조
정하는 것이죠.
이렇게 GPT의 대략적인 구조를 다뤄보았는데요. 이해하기 어려운
부분이 있더라도, 우선은 GPT를 ‘트랜스포머 구조를 사용해 사전 학
습된 생성 모델’이라는 하나의 작품으로 생각할 수 있다면 뒤에서 다
룰 내용을 이해하는데 충분합니다. 그럼 이제 본격적으로 GPT의 심
장인 트랜스포머를 알아보겠습니다.
Transformer: Attention Is All You Need
2017년 구글은 앞으로의 자연어 처리 모델을 뒤흔들 혁신적인 논문
을 발표했습니다. 「Attention Is All You Need」라는 제목의 논문은
자연어 처리를 위한 새로운 모델인 트랜스포머(Transformer)를 제
안했습니다. 트랜스포머는 자연어 처리 작업에서 뛰어난 성능과 높
은 병렬 처리 능력을 제공할 수 있었기 때문에, 기존에 사용되는 RNN
과 LSTM 기반의 시퀀스 모델링 기법을 대체할 수 있었죠. 트랜스포
머 모델이 뛰어난 성능을 보일 수 있었던 이유는 특유의 어텐션 메커
니즘(Attention Mechanism) 때문이었습니다. 간단히 설명하면, 어떤
문장이 입력됐을 때, 특정 부분에 더 집중(Attention)하여 정보를 처
리하는 것인데요. 왜 자연어 처리 모델은 어텐션을 필요로 하게 되었
을까요?
어텐션을 이해하기 위해서는 인코더(Encoder)-디코더(Decoder) 구
조를 먼저 이해해야 합니다. 인코더에서는 입력 문장의 모든 단어들 이 순차적으로 들어가는데요. 이는 컨텍스트 벡터(Context Vector) 로 압축되어 디코더로 전달된 뒤, 상응하는 문장으로 출력됩니다.
그림3. 어텐션 메커니즘의 구조 (출처: https://wikidocs.net/22893)
트랜스포머의 구조
지금까지 어텐션 메커니즘을 알아보았으니 드디어 트랜스포머를 완
전히 이해하기 위한 준비가 끝났다고 할 수 있겠습니다. 어텐션은 인
코더와 디코더 사이에서 쓰였는데, 생각해보면 입력되는 문장들과
출력되는 문장들 사이사이에도 관계가 존재하지 않나요? 즉, 인코더
는 인코더끼리, 디코더는 디코더끼리 셀프어텐션(Self-attention)이
필요합니다. 셀프어텐션을 사용하면, 아래 문장에서 it이 animal과
연관되어 있다는 것을 더 정확하게 파악할 수 있습니다.
그림2. 인코더-디코더 구조 (출처: https://wikidocs.net/24996)
그런데 하나의 벡터에 모든 정보를 압축하려다 보니, 문장이 길어질 수록 품질이 떨어졌습니다. 그래서 어텐션이 필요한 것이죠. 어텐션
에서는 출력 단어를 예측하는 매 순간마다 인코더에 입력된 전체 문
장과 그 순간 출력하는 단어와 관련된 입력 단어를 집중해서 봅니다.
그림4. 셀프어텐션의 예시 (출처: https://wikidocs.net/3137)
트랜스포머의 전체적인 구조는 다음 장의 그림5와 같습니다. 그리고
GPT는 트랜스포머 모델에서 디코더 부분만 사용해서 만든 모델입니
다. 이는 GPT가 자연어를 처리할 때 이전 값을 바탕으로 다음 값을
예측하는 언어 생성 모델이기 때문입니다. 셀프어텐션이 사용되기
때문에, 디코더 부분만 있어도 이전 값을 바탕으로 다음 값을 예측할
수 있어 언어를 생성하는 최적의 모델이 탄생했습니다.
그림5. 트랜스포머의 구조 (출처: https://ratsgo.github.io/nlpbook/docs/language_model/bert_gpt/)
위 그림의 디코더에서 확인할 수 있는 Masked Multi-Head Attention
의 Mask는 가려진다는 것을 의미합니다. 예를 들어 ‘어제 카페 갔었
어. 거기 사람 많더라.’라는 문장에서 ‘카페’라는 단어를 예측해야 한
다면 그 앞에 있는 ‘어제’라는 단어만 참고할 수 있도록 해줍니다. 다
음으로는 ‘어제 카페’라는 부분을 제외한 문장이 가려지고 ‘갔었어’를
예측해야 하죠.
그림6. GPT의 구조 (출처: https://ratsgo.github.io/nlpbook/docs/language_model/bert_gpt/)
GPT가 디코더만을 사용한 모델이라면 인코더만을 사용한 모델도 있 습니다. 이 모델은 BERT라고 하는데, GPT가 언어 생성에 강점이 있
는 반면 BERT는 문장의 의미를 추측하고 추출하는 데 큰 장점이 있
다고 합니다. 두 모델 모두 트랜스포머로부터 파생된 모델로서 현재
자연어 처리 분야의 대부분에 활용되고 있죠. 이렇게 생각해보면 트
랜스포머는 정말 어텐션으로부터 자연어 처리에 필요한 모든 것을 제공해 준 셈입니다.
그림7. GPT와 BERT (출처: https://ratsgo.github.io/nlpbook/docs/language_model/bert_gpt/)
이번 페이지에서는 세계가 그토록 열광한 GPT가 무엇인지 그 원리
를 알아보았습니다. 이를 알고 나니, 어텐션은 자연어 처리에서 우리
가 필요한 모든 것을 의미한다는 논문의 제목에서 남다른 센스가 느 껴지네요! 구글이 개발한 트랜스포머 덕분에 OpenAI가 GPT를 만들
수 있었지만, 마이크로소프트가 OpenAI에 투자해 Bing을 만들어서
구글을 위협하는 경쟁자가 되었다는 게 아이러니하면서도 재미있지 않나요? 다음 페이지에서는 GPT의 미래를 다뤄보겠습니다.
참고 자료
1. Ashish Vaswani, 「Attention Is All You Need」, 2017.03.06, chrome-extension://efaidnbmnnnibpcajpcglclefindmkaj/https://arxiv.org/ pdf/1706.03762.pdf
2. 안상준, 유원준, 「딥 러닝을 이용한 자연어 처리 입문」, 『WikiDocs』, https://wikidocs.net/book/2155
이전 페이지에서는 ChatGPT의 자세한 구조에 대해 알아보았습니다. ChatGPT는 출시 직후에도 엄청난 혁신으 로 평가받았으나, GPT의 발전은 여기서 멈추지 않았습니다. GPT는 꾸준히 발달하며 환각 현상 같이, 기존에 발 생하던 문제들을 개선해 나갈 뿐만 아니라 멀티모달 모델을 이용해 새로운 혁신을 이뤄나가고 있습니다. GPT가 어떻게 발전하고 있는지, 미래의 GPT는 어떤 모습을 하고 있을지 마지막 꼭지에서 다뤄봅시다!
ChatGPT의 한계와 이에 따른 GPT의 발전 ChatGPT는 여태껏 존재했던 어떤 생성형 AI보다도
가장 발전된 형태를 가지고 있습니다. 하지만 이런
GPT도 문제점을 가지고 있는데요, 바로 신뢰도에 대
한 문제입니다. GPT는 거짓 정보를 사실처럼 제시하
여 사용자에게 혼동을 일으키기도 하는데, 이를 환각 (Hallucination) 문제라고 합니다. 환각 문제가 발생하
는 이유는 GPT에 트랜스포머가 사용되기 때문인데
요. 트랜스포머는 문장 생성 시 다음에 올 단어를 예
측할 때 이전에 나온 단어들에 기반한 ‘확률’만을 고려
하기 때문에 사실이 아닌 문장을 생성할 수도 있습니
다. 더욱이, 만약 GPT가 잘못된 정보를 누적해서 학습
하면 이는 통계적 계산에 더 부정적인 영향을 미치게 됩니다.
GPT가 올바른 데이터를 더 많이 학습하게 하기 위해
서는 어떻게 해야 할까요? 바로 GPT에 새로운 형태
의 데이터를 제공해주는 것입니다. 예를 들어, 글이 아
닌 이미지를 통해서도 GPT가 세상을 이해할 수 있다
면 GPT가 받아들일 수 있는 정보가 훨씬 많아지지 않
을까요? 이것이 멀티모달 모델(Multimodal Model)의
핵심 아이디어입니다.
그림1. 멀티모달 모델이 탑재된 GPT-4가 이미지를 이해한 예시.
ChatGPT가 이미지에 적혀 있는 문자의 내용을 인식하고 정확한
풀이를 제공하고 있다.(출처: https://openai.com/research/gpt-4)
멀티모달 모델은 여러 형태의 데이터를 처리할 수 있는 컴퓨터 모델
로, 이전의 GPT 모델과는 다르게 문자와 이미지 모두를 인식할 수 있
습니다. 그 결과, GPT-4는 더 많은 정보의 수집이 가능해졌을 뿐만
아니라 사용자와 더욱 폭 넓은 상호작용을 할 수 있게 되었습니다.
멀티모달 모델과 컴퓨터의 이미지 처리
그림4 기획특집
그렇다면 멀티모달 모델에서 멀티모달은 무슨 뜻일까요? 멀티모달
의 모달(modal)은 ‘데이터의 형태’를 의미하며, 멀티모달은 ‘여러 형
태의 데이터’를 의미합니다. 기존의 GPT-3.5가 문자 데이터만을 다
루는 단일모달 모델이라면, 멀티모달 모델인 GPT는 문자와 이미지
를 동시에 처리할 수 있습니다.
그림2. 대표적인 Feature Concatenation 방식의 모달 통합을 다이어그램으로
표현한 사진.
(출처: http://dmqm.korea.ac.kr/activity/seminar/341)
멀티모달 모델이 동시에 여러 모달을 다룰 수 있는 원리는 무엇일까
요? 우선, 모달의 종류에 따라 그 모달을 잘 처리할 수 있는 딥러닝 기
술이 사용됩니다. 문자 처리에는 앞선 꼭지에서 설명한 트랜스포머
를 사용하는 것처럼 말이죠. 멀티모달 모델에서는 이미지 처리에 맞 는 딥러닝 기술을 이용해 각 이미지에서 픽셀 값, 색상 분포 등의 특징 을 담은 벡터를 추출하는데, 이를 특징 벡터(Feature Vector)라고 합
니다. 추출된 특징 벡터들은 하나로 통합되어 동시에 한 곳에서 처리 됩니다. 앞서 언급했듯, 문자 모달을 처리하는 데에는 RNN을 사용합 니다. 이미지 모달은 어떤 딥러닝 기술로 처리할 수 있을까요? 이미
지를 처리하는 데 적합한 형태의 인공 신경망 중 대표적인 것은 바로
CNN(Convolutional Neural Networks)입니다.
그림3. CNN의 전체 구조 (출처: https://www.mathworks.com/discovery/convolutional-neural-networkmatlab.html)
CNN은 크게 특징 학습(Feature Learning) 과정과 분류(Classification) 과정, 두 단계로 나뉩니다. 특징 학습 과정은 합성곱(Convolution) 연산과 풀링(Pooling) 연산으로 구성됩니다. 컴퓨터는 이미지 를 색상 채널에 대한 데이터 행렬로 표시하는데, 합성곱 연산에서는
이 행렬에 커널(Kernel)이라는 필터를 합성해 이미지의 특징을 추출 한 특성 맵(Feature Map)을 만들어냅니다. 그리고 풀링 연산을 통해 특성 맵의 크기를 줄이고 특징을 강화시킵니다. 이 두 과정을 반복하
여 컴퓨터는 다양한 정보를 담은 행렬들을 만듭니다.
분류 과정에서는 특징 학습 과정에서 얻은 행렬들을 이용해 입력된
이미지에 담긴 정보를 확률로 표현합니다. 이를 통해 컴퓨터는 이미
지를 처리할 수 있게 됩니다.
그림5. 멀티모달 모델의 한 예시. 참고자료: Ronghang Hu, Amanpreet Singh. 「UniT: Multimodal Multitask Learning with a Unified Transformer」, Facebook AI Research (FAIR), 2021. 8. 18. 2-3
여기까지 다룬 내용을 기반으로 멀티모달을 GPT에 적용해봅시다.
어떤 입력 데이터가 GPT에게 주어지면 이미지는 CNN을 통해, 문자
는 트랜스포머를 통해 각각의 정보가 특징 벡터의 형태로 추출됩니
다. 각 특징 벡터는 하나로 통합되어 이를 처리하는 Attention layer
에서 동시에 처리됩니다. 이 과정을 통해 멀티모달이 적용된 GPT는
이미지와 문자 모두를 처리할 수 있습니다.
생성형 AI의 미래
그림6. (위)OpenAI사에서 제시한 다양한 플러그인 / (아래)GPT 플러그인 사용 의 예시. 일요일에 먹을 채식 식단을 플러그인으로 추천하고 있다. (출처: https://openai.com/blog/chatgpt-plugins)
AI가 끊임없이 발전하며 AI가 수행할 수 있는 일도 점점 많아지고 있 습니다. 이를 보여주는 하나의 예시로 ‘GPT 플러그인’이 있는데요. GPT 플러그인은 마치 휴대전화의 앱처럼, GPT를 다른
램과 연결해 특정 작업을 더욱 효과적으로 수행할 수 있도록 만든
것입니다. 예를 들어 사용자가 어떤 물건을 구매하려고 하면, 쇼핑 과 관련된 플러그인이 가격을 비교해 최저가 구매처를 추천해줄 수 있습니다.
그러나, GPT가 항상 긍정적인 영향을 미치는 것은 아닙니다. 일부에
서는 ChatGPT를 이용한 표절 및 부정행위가 일어나 논란이 되기도
했습니다. 이를 해결하고자 ‘GPT 분류기(GPT Classifier)’가 등장했는 데요. GPT 분류기는 입력된 글이 ChatGPT가 생성한 것인지를 구분
하는 프로그램입니다. 아직 1,000자 이하의 글에선 부정확하다는 등
의 한계도 있지만, 미래에는 ChatGPT의 부정 이용을 방지할 수 있으
리라 기대되고 있습니다.
이번 꼭지에서는 GPT의 발전과 전망에 대해 다루었습니다. 멀티모
달 모델이 적용된 GPT-4의 개발로 문자 뿐만 아니라 이미지 데이터
를 통해 컴퓨터와 소통할 수 있는 시대가 되었습니다. 또한, 플러그
인을 사용하는 등 더욱 신뢰도와 활용성이 높은 GPT의 미래에 대해
서도 알아볼 수 있었습니다. ChatGPT는 많은 사람에게 큰 도움이
되는 혁신적인 기술이면서도, 동시에 부정적인 방법으로 사용되기도
하는데요. 여러분들이 이번 기획특집을 읽으며 새로운 기술과 과학
적 원리에 대해 알아가는 것과 더불어 과학 기술을 어떻게 바람직한
1. OpenAI, 「GPT-4」, https://openai.com/research/gpt-4
2. 문석호, 「Multimodal Learning」, DMQA Seminar http://dmqm.korea.ac.kr/activity/seminar/341
3. Ronghang Hu, Amanpreet Singh. 「UniT: Multimodal Multitask Learning with a Unified Transformer」, Facebook AI Research (FAIR), 2021. 8. 18. 2-3
4. Keiron O’Shea, Ryan Nash. 「An Introduction to Convolutional Neural Networks」, arXiv, 2015. 12. 2, 4-9.
5. Kinza Yasar, 「generative adversarial network (GAN)」, 『TechTarget』
https://www.techtarget.com/searchenterpriseai/definition/generativeadversarial-network-GAN
6. 김성민, 「AI와 대화 잘하면 연봉 4억... 美테크기업서 뜨는 신기술」, 『조선일 보』, 2023.02.17
https://www.chosun.com/opinion/correspondent_column/2023/02/17/ NQXLHJL4MFCHVH7X43YOP23KPQ/
7. OpenAI, 「ChatGPT Plugins」
https://openai.com/blog/chatgpt-plugins
8. OpenAI, 「New AI classifier for indicating AI-written text」
https://openai.com/blog/new-ai-classifier-for-indicating-ai-written-text
지난 2022년 노벨 경제학상은 University of Chicago에 재직 중인 Douglas Diamond 교수와 Washington State University at St. Louis에 재직 중인 Philip Dybvig 교수, 그리고 Ben Bernanke 전 연방준비제도 의
장(The Chairman of the Federal Reserve)이 수상하였습니다. 이들은 금융시장의 급격한 붕괴 등 금융위
기의 발생 원인과 경제적 파급효과를 논리적으로 규명한 연구 업적을 인정받아 노벨 경제학상 수상의 영광
을 누리게 되었습니다.
[이미지출처]
https://commons.wikimedia.org/wiki/File:Douglas_Diamond.jpg
https://source.wustl.edu/2022/10/nobel-prize-awarded-to-washu-economist-philip-dybvig/
https://commons.wikimedia.org/wiki/File:Ben_Bernanke_official_portrait.jpg
먼저 Douglas Diamond와 Philip Dybvig는 뱅크런(Bank Runs)이 발생하는 원인에 주목하였습니다. 뱅크
런은 자기 외에 다른 예금자들이 예금을 인출하는 결정을 어떻게 내릴 것인지에 대한 개별 예금자의 예측이 달라질 경우 촉발될 수 있습니다. 예금자들은 통상 둘 중 하나의 목적으로 은행에 자금을 예치합니다. 첫째, 예금자들은 은행이 보유한 대출 심사와 원금, 이자 회수의 전문성을 신뢰하여 자신의 자금을 장기간 맡기고
안정적으로 이자 수익을 얻고자 합니다. 둘째, 예금자는 집을 사거나 사고 등으로 인해 지출이 필요한 상황
에 처할 때마다 자신의 계좌에 있는 자금 중 일부 혹은 전부를 언제든지 인출할 수 있습니다. 이러한 점에서
예금은 미래의 안정적인 이자 수익을 제공하는 동시에 현금과 매우 흡사한 화폐의 기능을 제공함으로써 금
융소비자들에게 높은 편익을 제공하고 있습니다.
Douglas Diamond Philip Dybvig은행은 불시에 발생할 수 있는 예금인출 수요를 합리적으로 예측하고, 이에 대응하기 위해 예금자들이 맡긴 자금 중 일부를 현금 혹은 현금으로 쉽게 바꿀 수 있는 자산으로 보관합니다. 그리고 예금자금 중 상당 부분
은 자금이 필요한 가계, 기업에 장기간 빌려주고 이자 수익을 추구합니다. 만일 예금자들이 은행에 자금을
맡긴 기간 중 위에서 언급한 사유로 지출이 필요한 경우에만 예금을 인출한다면, 은행은 파산할 가능성이 매 우 낮을 것입니다. 사전에 합리적으로 예측한 예금자의 자금 인출 총수요에 대응하여 충분한 수준의 준비금 을 적립하였기 때문입니다.
그러나 만일 이와 같은 지출이 필요한 상황에 직면하지 않은 예금자 중 일부가 은행의 재무·경영 상태를 신
뢰하지 못한다면 어떤 상황이 벌어질까요? 예금자들은 장기간 맡긴 자신들의 자금을, 은행의 대출 사업 실
패로 회수하지 못할 것을 우려하게 될 것이고, 꼭 지출이 필요한 상황이 아니더라도 원금 손실을 피하기 위
해 예금을 인출하려고 할 것입니다. 그러나 은행이 적립해 둔 준비금이 이러한 예금자들의 추가 인출 요구에 대응할 수 있을 정도로 충분하지 않아, 은행이 파산할 위험이 발생하게 됩니다. 더욱이 은행의 경영 상태를 우려하지 않았던 예금자들까지 은행의 예금 지급 능력을 신뢰하지 못해 은행이 파산할 것을 우려해서 예금 인출 행렬에 동참하게 됩니다. 결과적으로 은행의 재무 상태에 문제가 없더라도 일부 예금자들이 은행의 파 산 가능성을 우려하기 시작할 경우 실제 은행의 파산으로 이어지는 자기실현적(Self-Fulfillment) 파산이 발
생하게 됩니다. 최근 미국 실리콘 밸리 은행(Silicon Valley Bank; SVB)의 파산을 이와 같은 뱅크런의 전형적
인 예로 볼 수 있습니다.
SVB 파산 사태(2023) : 미국 내 자산 기준 16위 규모인 실리콘밸리은행(SVB·Silicon Valley Bank)이 2023년 3월 10일 파산한 사태 [이미지출처] shutterstock
American Union Bank, New York City, April 26, 1932 [이미지출처] https://en.wikipedia.org/wiki/Bank_run#/media/File:Bank_Run_on_American_Union_Bank.jpeg
Ben Bernanke 전 연방준비제도 의장은 자신의 연구를 통해 은행의 파산이 우리의 실생활에 어떠한 파급효
과를 낳을 수 있는지 밝혀냈습니다. 경제 시스템에서 은행은 시중 유휴자금1의 바람직한 순환구조를 만들어 내는 데 중대한 기여를 하고 있습니다. 앞서 언급한 바와 같이 은행은 자금을 빌리고자 하는 가계와 기업의 신용 위험을 일반 금융소비자보다 더욱 정확하게 파악할 수 있는 전문성을 갖추고 있습니다. 이 때문에 은행 은 자금이 부족한 가계와 기업에 유휴자금을 더 원활히 공급하는 기능을 수행합니다. 그러나 은행이 뱅크런 이나 금융위기로 인해 파산하면 해당 은행이 다년간 영업을 통해 확보한 대출 사업의 전문성이 상실되어 버 립니다. 따라서 잠재 생산성이 높은 기업에게 유후자금이 원활하게 공급되지 못하고, 그 결과 경제의 성장 동 력이 침체하여 실물 경제가 장기간 회복되지 못하는 부정적인 파급효과로 이어지게 됩니다.
이러한 연구 결과를 통해 우리는 금융위기의 대표적인 발생 경로인 뱅크런의 발발 원인을 알 수 있게 되어 금융위기로 전이될 수 있는 문제에 대해 효과적인 대응책을 수립할 수 있게 되었습니다. 또한 금융 위기가 우리 삶에 미치는 영향을 규명한 것은 물론이거니와, 그 파급효과를 최소화하기 위한 금융안정 대책의 설계 방향을 합리적으로 수립할 수 있게 되었습니다. 이러한 연구 업적에 기반하여 도입된 다양한 위기 대응 정책 을 통해 미국과 유럽은 지난 서브프라임 주택담보대출 대규모 부실 사태에 따른 금융위기를 어렵사리 극복 할 수 있었습니다. 또한 COVID-19 팬데믹이 금융시장에
갑오징어의 눈(동공)은 특이하게도 W자 모양을 갖습니다. 사
람의 동공이 빛의 세기에 따라 크기가 변하는 것처럼 갑오징
어의 동공은 어두운 곳에서는 원형, 밝은 곳에서는 W자가 되
어 빛을 조절합니다. 실제로 먹잇감을 급습하는 매복형 동물
은 세로로 긴 동공, 천적을 감시하는 동물은 가로로 긴 동공
을 가지고 있다고 합니다. 동물의 특성에 따라 동공의 모양이
달라진다는 사실이 신기하지 않나요? 이처럼 갑오징어는 해
저 생활에 최적화된 W자 동공을 지니는데요. 최근 GIST·서울
대·부산대 공동 연구팀이 갑오징어의 눈 구조를 모방한 고해
상도 카메라를 개발하여 화제가 되고 있습니다. 구형 렌즈 앞
조리개를 W자형으로 만듦으로써 위쪽에서 들어오는 빛의 양
을 줄여 광다이오드의 과노출을 방지하는 것인데요. 기존 카
메라 시스템은 불규칙한 빛의 조건에서 영상을 얻어 소프트
웨어로 개선하는 후처리 방식이었다면, W자의 고해상도 카메
라를 개발하면서 처음에 유입되는 빛을 하드웨어에서 조절하
여 더욱 질이 높고 효율적인 영상을 얻을 수 있게 되었습니다.
또한 갑오징어의 망막처럼 관심 영역이 영상으로 맺히는 영
역에 광다이오드 픽셀을 밀집시켜 전력 낭비를 줄이고, 영상
처리 속도를 빨라지게 하였습니다. 이는 불균일한 조도를 받
아들이거나 시각적으로 빠르게 변화하는 자율주행차나 로봇, 드론 등에서 고품질 영상을 얻기 위한 카메라로 이용할 수 있 습니다. 예를 들어, 자율주행차에 적용하면 낮에 강하게 내리
쬐는 햇볕의 양을 조절하여 난반사 없이 영상을 얻을 수 있죠.
하루빨리 자율주행차나 드론에 적용되어 고품질의 고해상도
영상을 볼 수 있었으면 좋겠습니다!
쥐라기 공원이라는 영화를 본 적 있으신가요? 공룡의 피를 빨
았던 모기 화석에서 공룡의 DNA를 추출해 공룡을 복원한다
는 설정인데요. 이렇게 영화 속에서만 가능할 것 같았던 멸종
동물의 복원이 실제로 탈멸종(De-extinction) 프로젝트를 통
해 실현되고 있습니다. 이 프로젝트는 미국의 바이오기업 콜
로설 바이오사이언스(Colossal Biosciences)가 추진하고 있으
며, 현재 세 번째 프로젝트로 도도새의 복원을 실행 중이라고
합니다. 도도새의 복원 작업은 4단계로 이루어지는데요. 1단
계는 도도새의 유전체를 얻는 것입니다. 도도새의 게놈을 해
독하여 다중 게놈을 정렬하고, 비교 분석 및 표현형 예측에 사
용할 수 있는 고품질 조류 게놈을 만듭니다. 게놈 해독이 완료
되었다면 현존하는 동물 중 도도새와 가장 유전적으로 비슷
한 동물을 찾아 조직배양을 진행해야 합니다. 현재까지 알려
진 바로는 Nicobar 비둘기의 원시 생식 세포(PGC)를 통해 배
양할 수 있습니다. 그다음으로 도도새와 Nicobar 비둘기의 유
전적 차이를 비교해 도도새에만 있는 유전 정보를 교체하는
방식의 유전자 편집 과정을 거칩니다. 마지막 4단계로 비둘기
PGC의 종간 생식계열 이식을 닭 대리모를 이용해 배아를 만
들고 부화를 기다리는 것입니다. 최근 콜로설에서는 도도새
의 게놈 정보를 파악하는 데 완료했다는 소식을 전했습니다.
이는 도도새와 같은 멸종 동물의 복원이 한 단계 가까워졌다
는 것을 의미하는데요. 다양한 윤리적 문제를 해결하고, 유전
자 편집 기술과 보조 생식 기술이 발전되어 멸종된 동물들을
만나는 날을 손꼽아 기다리고 있습니다!
W자형 동공을 가진 광학 카메라의 활용 예시
출처: 김한식 기자, 『“보고 싶은 곳을 ‘더 선명하게” 갑오징어
눈 닮은 고대비·고해상도 카메라 개발』, 2023-02-23, https:// www.etnews.com/20230223000011
일러스트: Colossal Bio
출처: 아이작 슐츠, 『‘De-Extinction’ 회사는 Dodo를 되찾기 위해 노력할
것입니다』, 2023년 1월 31일 https://gizmodo.com/colossal-bring-back-thedodo-de-extinction-1850050539
몸에 상처가 났을 때는 어떻게 대처해야 할까요? 아마 많은 사
람들이 상처를 소독하고 연고를 바를 것입니다. 하지만 최근
포스텍 신소재공학과 연구팀에서 빛으로 상처를 치료하는 획
기적인 방법을 발표했습니다. 시중에 판매하는 연고는 대게
결합 강도가 낮아 사용 방안이 제한적이라는 단점이 있는 데
에 반해 광화학 조직 결합(PTB) 부르는 이 기술은 잔광 발광
입자(ALP)를 이용해 광화학적으로 피부를 접합시켜 결합 강도
를 훨씬 높일 수 있습니다. 감광제1로 피부 접합을 하면 광 투과
효율이 낮아지지만, 이때 잔광 발광 입자를 이용하면 빛을 받
은 후 오랫동안 잔광을 유지하여 심부 조직에서도 감광제를 효
과적으로 활성화할 수 있기 때문입니다. 그럼 이 접합의 원리
에 대해 조금 더 자세히 알아보도록 합시다. 먼저, 상처가 생기
면 피부 내 콜라겐 조직이 끊어지게 됩니다. 이때 감광제와 피
부 투과도가 우수한 히알루론산을 화학적으로 접합시켜 잔광
발광 입자와 함께 상처 부위에 발라 빛을 비춥니다. 잔광 발광
입자에 빛을 비추면 빛 에너지가 트랩에 저장되어 빛이 서서히
방출됩니다. 방출되는 녹색 발광과 잔광에 의해 감광제가 활성
화되어 피부 조직의 콜라겐 층이 결합하는 것입니다. 이처럼
빛을 이용한 광 의약 치료법은 피부병이나 안과 질환, 암 치료
등 의료 수술에도 이용할 수 있다고 합니다. 영화 아바타에서
빛을 가하여 치료하는 모습을 현실에서 볼 수 있다니 의학계의
새로운 빛으로 발전될 PTB 기술이 정말 기대가 됩니다!
[각주] 1. 빛을 받으면 활성화되어 화학반응을 일으킬 수 있는 자유 라디칼을
형성하는 물질
인류가 배출하는 이산화탄소의 8%는 시멘트를 만들 때 발생
합니다. 시멘트 1톤 생성 시, 약 1.15톤의 석회석이 소비되고, 0.8톤의 온실가스가 배출됩니다. 특히, 공정 과정 중 석회석을
고온으로 구울 때 많은 양의 이산화탄소가 배출되는데요. 이
러한 건설 산업의 온실가스 배출 문제를 해결할 대안으로 떠
오르는 한 기술이 있습니다. 바로, 미국의 건축 자재 업체인
프로메테우스의 바이오 블록 제조 기술인데요. 석회석을 굽
지 않고도 광합성 미생물이 합성한 시멘트를 만들 수 있다고
합니다. 바이오 블록을 만드는 과정은 다음과 같습니다. 먼저, 시아노박테리아라는 광합성 세균에 칼슘 이온이 녹아있는 영
무기 영양액2을 주면서 빛을 가하고, 이산화탄소를 공급합니
다. 이 후, 시아노박테리아는 6시간마다 두 배로 증식하면서
탄산칼슘 결정을 생성합니다. 프로메테우스에서는 이렇게 생
성된 탄산칼슘에 모래를 섞어 콘크리트를 제작하였고, 하이
드로젤을 첨가해 모래와의 결합을 더욱 촉진시켰습니다. 기
존의 블록은 완벽히 굳는 데 28일이나 소요되지만 이 바이오
블록은 친환경적이면서도 완전히 굳는 데 8일밖에 걸리지 않
는다는 장점이 있습니다. 이처럼 바이오 블록은 온실가스 배
출을 경감시킬 수 있을 뿐만 아니라, 균열이 생긴 건물을 보수
하고 해안 침식을 막는 데에도 활용될 수 있습니다. 최근 미국
정부와 군의 적극적인 R&D 지원이 제시되고 있다고 하니 이
기술을 통해 온실가스 배출 감소라는 궁극적인 목적을 달성
할 수 있었으면 좋겠습니다!
[각주] 2. 식물의 성장에 필요한 물질을 용해시킨 수용액
조절 가능한 잔광 발광 입자를 통한 광화학 피부 접합 이미지
출처: 『신소재 한세광 교수팀, 영화 ‘아바타’의 기술이 현실로… 빛으로 상처
치료한다.』, 『POSTECH 홈페이지 연구성과』, 2023.02.07 https://mse.postech.ac.kr/portfolio-posts/한세광-교수팀영화-아바타의-기술이-현실로-빛/
프로메테우스가 개발한 바이오블록
출처: 이영완 기자, 『온실가스 배출 주범 시멘트. 미생물이 해결한다』, 『사이언스카페』, 2022.12.26 https://biz.chosun.com/science-chosun/science/2022/12/26/WN24MVVM7FFKVLO3X2FPFVEI4U/
현대 과학계의 가장 큰 화두는 데이터와 인공지능이라고 할 수 있습니다. 최근 세계 응용수 학의 최전선은 데이터사이언스와 데이터 기반 기계학습 및 인공지능에 관련된 연구로 급속 히 채워지고 있죠. 데이터사이언스 기초연구는 이제 학제 간 연구(Interdisciplinary)를 넘 어서 초학제적(Transdisciplinary) 집단 연구의 성격을 띠고 있고 그 중심에 근본적인 수학 적 연구가 매우 중요한 역할을 하고 있습니다. 이렇듯 수리 데이터사이언스 연구는 데이터
사이언스가 학문적으로 발전하고 사회 전반에 큰 파급효과를 낼 수 있도록 하는 데 필수적 이라고 할 수 있습니다.
이러한 취지에서 포스텍은 2021년 11월, 대학의 중점연구소 중 하나로 포스텍 수리 데이터 과학 연구소(POSTECH Mathematical Institute for Data Science)를 2021년 11월 설립하 였습니다. 영어 약자를 이용하여 짧게 POSTECH MINDS라고도 합니다. POSTECH MINDS 는 포스텍의 가치창출대학 정신에 기반하여 오늘날 과학계의 거대 화두인 데이터사이언스
와 인공지능에 대한 수학적 근본 연구와 교육, 그리고 다양한 응용 분야에서 그 연구 성과를 공유함으로써 사회에 이로운 기여를 하는 것을 목표로 하고 있습니다.
POSTECH MINDS는 포스텍 수학과를 중심으로 다양한 학과와 학교에 소속된 교수와 연구 원 그리고 학부 및 대학원생들로 구성되어 있습니다. 따라서 다루고 있는 연구의 내용도 매 우 다양한데, 몇 가지 예를 들자면, 데이터과학의 수학적 기초, 빅데이터의 수학적 구조 및
안정성 분석, 기하학적, 위상수학적 데이터 이해와 분석, 데이터 기반 기계학습과 인공지능 알고리즘에 대한 수학적 이해 등이 있습니다. POSTECH MINDS는 데이터를 기존의 전통 적인 방법론의 틀이 아니라 다양한 수학을 이용하여 새로운 시각에서 데이터를 이해하고 해석하는 연구를 진행하고 있습니다.
포스텍 수리 데이터과학 연구소 홈페이지 https://minds.postech.ac.kr
현재 진행되고 있는 연구 몇 가지를 간단히 소개하자면, 위상수학적 데이
터 분석과 기계학습에서의 응용연구(정재훈 교수)와 기계학습을 이용한 편
미분방정식의 해법 연구(황형주 교수, POSTECH MINDS 부소장) 등이 있
습니다. 위상수학적 데이터 분석 방법은 통계적인 기존의 데이터 연구에
반해 데이터의 기하학적, 위상적 구조를 탐색함으로써 데이터가 담보한 새
로운 지식을 추출합니다. 현재 연구하고 있는 응용문제는 환자의 심혈관계
질환의 진단과 예측, 블랙홀에서 나오는 중력파 신호 분석과 매개변수 결
정 문제, 음악 데이터의 위상수학적 구조 분석 및 인공지능 음악 작곡 등이
있습니다. 우측의 그림은 음악 데이터를 n차원 공간에 흩어진 낱 데이터 집
합으로 환원한 후 점진적으로 다양체(Complex)를 생성하고, 각각 생성되 는 다양체에서 호몰로지(Homology)를 계산하여 얻은 1차원 사이클의 예 입니다. 가운데 그림은 사이클이 음악의 흐름에 따라 어떻게 분포하는지
를 보여주고 이를 인공신경망으로 학습하여 음악으로 만드는 과정을 보여 줍니다. 이러한 연구는 수학과 음악 부분에서 최상위 학술지인 Journal of Mathematics & Music 등에 게재되었고 이를 바탕으로 작곡된 음악을 이 용하여 포항과 서울에서 인공지능 연주회를 개최하기도 하였습니다.
또한 기계학습을 이용한 편미분방정식의 해법 역시 매우 중요한 연구과제 입니다. 편미분방정식은 자연의 원리를 설명하는 물리학 법칙을 미분방정
식의 형태로 표현한 것으로, 대부분은 비선형이고 해석적 해가 알려지지
않아 수치상으로 해를 구하는 경우가 많습니다. POSTECH MINDS에서는
전통적인 근사이론에 기반한 기존의 방법과는 다르게, 물리적인 법칙을 흉
내 내는 인공신경망을 구축하여 방정식의 해를 찾아내는 매우 새로운 연구
가 활발히 진행되고 있습니다. 최근 황형주 교수 연구팀이 기계학습 편미 분방정식 관련 HyperDeepOnet 연구를 ICLR1 2023에서 발표하는 성과
를 이루었으며, 다양한 학회 활동을 통해 연구의 저변을 확대하고 있습니
다. 아래는 2022년에 있었던 기계학습과 편미분방정식 국제 학회입니다.
KSIAM-MINDS-NIMS International Conference on Machine Learning and PDEs (2022)▼▶
POSTECH MINDS는 연구 외적으로도 교육, 산학 등 다양한 활동을 하고 있습니다. 우선 POSTECH MINDS는 정기적으로 수리 데이터사이언스, 기 계학습과 인공지능, 그리고 과학 계산 세 분야에서 국내외 전문가를 초청 하여 최근 연구를 소개하는 세미나를 개최하고 있습니다. 특히 POSTECH MINDS와 수학과는 미국의 SIAM 학회의 후원과 함께 응용수학과 산업
수학을 공부하고 연구하는 학생들의 모임인 POSTECH SIAM Student Chapter(PSSC) 학생 단체를 설립했습니다. PSSC는 베이징대 SIAM Student Chapter와 함께 정기적인 학회를 개최하고 있고 수학 프로그래
밍에 대한 실습 튜토리얼을 제공하는 PSSC Summer School 등을 진행하
는 등 국내외 대학의 학생들과도 교류하고 있습니다.
다양한 POSTECH SIAM Student Chapter(PSSC)의 활동들
이외에도 POSTECH MINDS는 포항시의 지원을 받아 2021년부터 청
소년들을 대상으로 [인공지능수학아카데미]를 진행하여 연구 성과를 공
유하고 사회에 기여하고 있습니다. 또한, 이와 함께 UN Global Pulse의
Humanitarian Data Science 프로그램과 협업하며 제3세계에서 겪고 있
는 다양한 문제를 데이터의 관점에서 해결하고자 노력하고 있습니다. 이처
럼 POSTECH MINDS는 산학연계활동을 통해서 수리 데이터사이언스의
실제 문제를 발굴하고 이론에만 치우치지 않는 연구를 진행하고 있습니다.
POSTECH MINDS의 연구, 교육, 활동 등에 관심이 있는 포스텍 구성원은
물론 포스텍 외부의 학생과 연구원 누구든 함께 활동에 참여할 수 있습니
다! 궁금한 점은 언제든지 minds-1@postech.ac.kr로 문의하실 수 있습 니다.
[각주] 1. 딥러닝 모델의 표현, 학습 및 최적화와 그 응용을 다루는 국제적인 학회
전국의 포스테키안 구독자 여러분, 안녕하세요! 벚꽃이 만개했던 봄도 가고, 어느덧 날씨가 제법 더워지고 있네요! 구독자 여
러분들은 잘 지내고 계시나요? 저희 알리미는 학기의 중간 시점에서 다들 바쁜 하루를 보내고 있는데요. 얼마 전에는 알리미들의 시험 기간이었답니
다. 그래서 이번 알리미 ON AIR에서는 저희 알리미가 지난 시험 기간을 어 떻게 보냈는지 소개해드리고자 합니다! ‘벚꽃의 꽃말은 중간고사’라는 말, 다 들 들어보셨나요? 특히 이번 호에는 포스텍 캠퍼스에 활짝 핀 벚꽃과 함께
성실하고 알차게 ‘갓생’을 산 알리미들의 모습을 담아보았는데요. 각양각색
개성 넘치는 알리미들의 하루, 빨리 만나 보고 싶지 않나요?
알리미의 기운을 받아 시험 대박 나고 싶다면?
5월 12일, 옆의 QR 코드를 찍어
‘알리미의 갓생 V-LOG’ 영상을 확인해 보세요!
안녕하세요. 포스테키안 독자 여러분. 저는 포스텍 컴퓨터공학과
16학번 양준하입니다. 저는 블록체인 분야에서 다년간 엔지니어로
일했습니다. 본 글에서는 다소 생소할 수 있는 블록체인이라는 개
념에 대한 대략적인 설명과 함께 제 삶에 대한 짧은 이야기를 소개
해드리려고 합니다. (글) 컴퓨터공학과 16학번 양준하
비트코인이나 이더리움 등의 ‘코인’은 투자상품으로써 많이 접해보
셨을 것 같은데요, 사실 이런 코인은 거래가 가능한 애플리케이션
의 일종이고, 이를 담아내고 있는 큰 시스템은 블록체인이라고 부
릅니다. 블록체인이란, 아주 간단히 설명하자면 탈중앙화된 무신
뢰적 분산 시스템입니다. 어려운 단어가 3개나 나왔는데요, ‘탈중앙
화’되어 있다는 것은 시스템을 운영하기 위한 권한을 가진 주체가
미리 정해져 있지 않고, 시스템을 운영하는 프로세스에 모두가 개
방적으로 참여할 수 있다는 뜻입니다. ‘무신뢰적’이라는 것은 각 노
드(참여자)들이 서로를 신뢰하지 않고 암호학적인 방법으로 증명
가능한 의사소통만 한다는 뜻입니다. ‘분산 시스템’이라는 것은 수
많은 노드(컴퓨터 혹은 서버)들이 전 세계에 걸쳐 존재하지만, 그들
끼리의 복잡한 커뮤니케이션을 거쳐 하나의 시스템을 완성한다는
뜻입니다.블록체인의 핵심 기능 중 하나는 ‘스마트 컨트랙트(Smart Contract)’인데요, 이는 컴퓨터 프로그램을 블록체인에 업로드하여
실행할 수 있게 하는 것입니다. 업로드된 컨트랙트들은 상태를 가지
며, 정해진 로직에 따라 여러 사용자에 의해 액션을 수행합니다. 블
록체인은 태생적으로 검증 가능하고 일관적인 시스템을 유지하는
것에 능하기 때문에, 컨트랙트를 이용하면 대단히 이해관계가 중요
한, 예를 들어 금융 서비스들을 안전하게 담아낼 수 있게 됩니다.
스마트 컨트랙트 애플리케이션의 대표 예시 중 하나는 탈중앙
화 조직, ‘Decentralized Autonomous Organization(DAO)’입니
다. 조직이라는 것은 여러 명이 참여하여 공동으로 운영하는 것인
데, 현실에서는 주식회사, 재단, 학교, 정당, 심지어 국가까지 다 조
포스텍 테크리뷰 중
직으로 볼 수 있습니다. 이러한 조직들에게 의사결정을 만들고 집 행하는 프로세스는 매우 중요한 문제입니다. 이 문제를 ‘거버넌스 (Governance)’라고 하는데, 조직마다 필요에 따라 다양한 체계를 가지고 있습니다. 예를 들어, 주식회사의 경우에는 지분에 따라 주 주총회에서 투표할 수 있고, 선임된 이사들이 이사회를 가지기도 하는 식입니다.
블록체인의 등장으로 초국가적인 안전한 플랫폼이 스마트 컨트랙
트를 담아낼 수 있게 되었습니다. 또한 ‘정관’이라는 것도 사실 프로
그램으로 표현할 수 있는 개념이라는 것을 발견하게 되면서 다양한
조직이 국가 대신, 블록체인 네트워크가 담보하는 조직을 만들어
나갈 수 있게 되었습니다. 이를 DAO라고 부르며, 2023년 현재 수많
은 조직들이 DAO로 운영되고 있습니다.
Why DAO?
현실 세계에서 조직을 만들 수 있는데 왜 블록체인을 이용한 DAO 를 만들어야 할까요? 크게 네 가지 이유를 생각해볼 수 있습니다.
➊ 정부를 신뢰하기 힘든 독재 국가, 내전 국가, 빈곤국 등의 극단적
환경에서도 조직을 만들 수 있습니다.
➋ 관할 정부를 설정하기 어려운 다국적 업무를 수행할 수 있습니다.
➌ 휴먼 에러가 없고, 즉시 집행이 일어나며 그 변화가 바로 확정되기
때문에 고도로 효율적이고 정확한 조직 집행이 가능합니다.
➍ 조직의 개설이 매우 쉽고, 거버넌스 설계가 매우 자유롭습니다.
제가 블록체인을 처음 접한 것은 2019년 말이었습니다. 당시
CodeChain 프로젝트를 개발하던 포스텍 동문기업 ‘코드박스’에
서 일하게 되어, 2021년 초까지 오픈소스 블록체인 엔진을 개발하
는 일을 했었습니다. 그 이후 암호화폐 트레이딩 기업인 ‘하이퍼리
즘에’서 팀장으로 2022년 초까지 재직하였고, 기술을 넘어서 경제, 사회적인 면으로도 블록체인을 이해하게 되었습니다.
PDAO
그 이후 복학하면서 학교에 1년을 머물게 되었는데, 졸업하기 전에
제 지식으로 학교에 어떻게 기여를 할 수 있을까 고민 끝에 PDAO
를 만들게 되었습니다. PDAO(dao.postech.ac.kr)은 포스텍을 중
심으로 한 비영리 오픈소스 재단입니다. 이름에서도 알 수 있듯이
DAO로서, 거버넌스 투표권을 가진 포스텍 동문들이 완전히 무신
뢰적 방법으로 탈중앙화된 조직을 운영하고 있으며, 주 활동으로
DAO 프레임워크인 Simperby(simperby.net) 프로젝트를 개발하
고 있습니다. 아직 DAO라는 개념은 실험에 가깝고, PDAO가 국내
를 거점으로 한 비영리 DAO의 유일한 사례라고 볼 수 있습니다. 이
때문에 PDAO는 단순히 포스텍 단체를 넘어 DAO의 방향과 기술
적 가치를 끌어나갈 사명도 가지고 있으며, 그렇기에 제가 책임지
고 Simperby 프로젝트를 활발히 개발하여 DAO를 직접 구현하고
있습니다.
현재
현재 저는 Simperby 프로젝트를 풀타임으로 개발 중입니다. 비
영리 오픈소스이기 때문에 이를 통해 돈을 벌거나 투자를 받지는
않지만, 범용 프레임워크로서 큰 유저 커뮤니티를 확보하고 더 많
은 오픈소스 개발자들을 유치하기 위해 노력 중입니다. 그 외에도
디퍼런스
PDAO의 파운더로써 PDAO의 진정한 DAO화와 지속 가능한 거버 넌스를 구축하기 위해 노력하고 있습니다.
더 알고 싶나요?
블록체인에 대해 더 궁금한 포스테키안 독자 여러분들을 위해 다 음을 추천해 드립니다.
• PDAO 커뮤니티 : PDAO가 운영하는 Discord 서버에 가입하시면
자유롭게 블록체인에 관해 이야기하고 궁금한 점을 물어볼 수 있 습니다.
• PDAO 유튜브 : PDAO에서 운영하는 유튜브 채널입니다. 입문 트랙 재생목록 따로 있는데, 블록체인의 핵심 원리와 응용을 잘 설명하 니 참고하셔도 좋습니다.
• 개인적 연락 : 제 홈페이지(junha1.github.io)에 있는 연락처로 언
제든지 편하게 연락해주시면 됩니다. 블록체인이나 포스텍에 관련
된 것들은 다 친절히 알려드릴 수 있으니 궁금한 내용이 있으면 물
어봐 주세요!
시스템 쇼크
블록체인 산업은 아직 극 초창기를 보내고 있으며, 무궁무진한 응
용에 비해 아주 실험적인 단계에 머물러 있습니다. 하지만 머지않
은 미래에 기술과 산업이 성숙해지면 우리 사회의 큰 축이 될 거대
한 시스템이 블록체인이기도 합니다. 이런 새로운 시스템이 가져올
‘쇼크’를 대비하고, 이 세상에 본격적으로 도래했을 때는 그 중심에
서기 위해, 우리가 모두 수준 높은 통찰력과 먼저 앞서는 행동력을
가지길 바라는 것이 저의 마지막 당부입니다. 감사합니다.
PDAO 제네시스 행사사이언스 블랙박스
노벨상은
‘매년 인류를 위해
으로, 과학자 대부분이 목표로 하는 상이기도 합니다. 보통 노벨상은 연구를 많이 하는 위
치에 있는 박사나 교수들이 수상하는데요. 박사 학위는 ‘한 명의 학자로서 홀로 설 수 있는
독립적 연구자’임을 뜻하며, 대부분의 교수 임용 자격에서 박사 학위를 요구하듯, 박사 학
위는 연구자로서 당연한 학위로 보입니다. 하지만, 여기 박사 학위 없이도 노벨상을 받은
[참고 자료]
1. 「연성탈착 이온화 질량분석법 개발 (다나카 고이치_Koichi Tanaka)」, 『BRIC 동향』, 2021.11.10. https://www.ibric.org/myboard/read.php?Board=news&id=336195
2. 「박사 학위 없어도 노벨상 받았던 여성 과학자」, 『주간동아』, 2020.10.27. https://weekly.donga.com/List/3/08/11/2223477/1
3. 「2005년 6월 20일, 미국의 과학자 잭 킬비 (Jack St. Clair Kilby, 1923 ~ 2005) 별세」, 『크리스천 라이프 & 에듀 라이프』, 2005.06.20.
48
다나카
고이치는 학계와 관련 없는 민간
연구원이었습니다. 당시 민간 연구원이
노벨 과학상을 수상한 사례는 다나카 고
이치를 포함하여 오직 4번뿐이었죠.
그는 연성 레이저 이탈기법(Soft Laser
Desorption, SLD)을 개발한 공로로
2002년 노벨 화학상을 받았는데요.
연성 레이저 이탈기법은 다른 말로 연성
탈착 이온화 질량분석(Matrix-Assisted
Laser Desorption/Ionization, MALDI) 1
그림 1. 연성탈착 이온화 질량분석법에 대한 설명 출처: https://www.shimadzu.com/
이라고 하며, 거대분자의 질량을 측정하는 데 사용됩니다. 그는 당시 단백질 분자의 질량을 이온
화를 통해 측정하고자 했고, 이 과정에서 레이저를 이용했습니다. 하지만 단백질 시료에 레이저
를 쏘니, 빛과 열 때문에 시료가 손상되어 버린다는 문제점이 있었죠. 그래서 그는 시료를 보호할
용액의 필요성을 깨달았습니다. 그러던 어느 날, 분자량이 약 1,350인 비타민 B12의 질량 측정을
준비하던 다나카는 실수로 아세톤이 아닌 글리세린에 시료를 섞었습니다. 하지만 그 결과, 오히려
글리세린이 시료의 손상을 줄여주고 레이저의 에너지를 흡수하여 이온화를 촉진함을 발견합니다.
그 덕분에 비타민 B12의 이온화에 성공했고, 단백질의 구조를 밝힐 수 있게 되었습니다. 이 기회를
놓치지 않은 다나카는 레이저를 이용한 고분자 단백질을 분석하는 기법을 개발할 수 있었죠.
그가 노벨 화학상을 받았을 당시, 재미있는 일화가 있습니다. 2002년 10월 회사에서 근무하던 다
나카는 노벨상 수상 전화를 받게 되는데요. 통화 내용을 이해하지 못한 나머지, 받는 상이 노벨상
인지도 몰랐다고 합니다. 또한, 회사에는 ‘다나카 고이치’라는 이름을 가진 동명이인이 3명이나 있
었기에 본인이 노벨상 수상자인지 몰랐다고 하네요! 심지어 가족들조차도 동명이인으로 착각한
것이 아니냐고 물어볼 정도였다고 합니다.
[각주] 1. 레이저 에너지를 흡수하는 매트릭스(기질, matrix)를 이용하여 크기가 큰 분자로부터 파편화를 최소화하면서 이온을 만들어내는 이온화 기법
Tu Youyou
중국 국적의 베이징대학 출신인 투유유는 말라
리아의 치료제를 개발하여 2015년에 노벨 생리
의학상을 수상하였습니다. 중국 여성 중 최초로
과학 분야 노벨상을 받았죠.
당시 중국 공산당의 최고 지도자인 마오쩌둥은
말라리아의 치료를 위해 ‘523 임무2’를 지시했습
니다. 투유유는 당시 베이징의학원에서 약학을
공부한 후, 중국중의과학원에서 전통 약초와 서
양의학을 함께 연구하고 있었는데요.
1969년 중국 정부는 그녀를 523 임무의 보조 연 구원으로 배정했죠. 이후 능력을 인정받은 그
https://commons.wikimedia.org/wiki/File:Tu_Youyou_5012-12015.jpg
녀를 중심으로 한 연구팀이 만들어져, 그녀는 수천 가지의 천연 식물을 이용하여 치료법을 연구 했습니다. 그리고 그 결과, 국화 쑥 속의 한해살이풀인 개똥쑥에서 단서를 찾아냈습니다. 풀 속 에 있는 아르테미시닌(Artemisinin)이라는 성분이 말라리아의 예방과 치료에 효과가 있다는 것을
알아낸 것입니다. 아르테미시닌은 열에 취약했기에 그녀는 저온에서 활성화되는 다이에틸 에터 (Diethyl ether)를 이용하여 아르테미시닌을 추출했습니다.
하지만 투유유의 업적은 처음에는 잘 알려지지 않았습니다. 당시 중국에서 문화대혁명이 이루어
져, 연구내용을 발표할 방법이 없었기 때문이죠. 하지만, 2011년에 그녀가 중국인 최초로 미국의
노벨상이라 불리는 래스커 상(Lasker Award)을 받으며 그녀의 업적이 학계에 널리 알려지기 시
작했습니다. 마침내 그녀는 2015년, 노벨생리의학상을 수상하게 됩니다.
그녀는 문화대혁명이라는 벽 때문에 석사 학위, 박사 학위를 얻지 못했습니다. 또한, 해외 유학 경
험도 없었죠. 하지만 그녀의 열정만큼은 그 누구도 막을 수 없었기에, 지금까지도 그녀는 인류에 공헌하기 위한 노력을 멈추지 않고 있습니다.
2. 1967년에 중국 정부가 말라리아 치료제를 개발하기 위하여 진행한 비밀 군사 프로젝트로, 암호명은 프로젝트 시작 날짜인 5월 23일에서 유래되었다.
잭 킬비는 미국의 전자공학자로, 집적회
로를 발명한 공로로 2000년에 노벨 물리
학상을 받았습니다. 수상할 당시 잭 킬비
는 박사 학위가 아닌 석사 학위를 지녔다
고 전해집니다. 그는 1947년 일리노이대
학교 전기공학과를 졸업한 후, 센트럴랩
에서 세라믹 기반 실크스크린 회로3를 디자
인하고 개발했습니다. 이후 그가 텍사스
인스트루먼트로 자리를 옮기고 난 뒤에, 그는 역사에 남을 발명을 하게 되는데요.
출처: https://goo.gl/IMbDh4/
1959년 반도체 공정으로 1개의 게르마늄 칩 위에 소자들을 집적하는 데 성공한 것입니다. 이는 세계
최초였으며, 비록 작업을 일일이 손으로 해야 한다는 단점이 있었으나, 어마어마한 크기의 정보를 작
은 사이즈의 칩 속에 집적할 수 있었기에 그의 발명은 세계적인 관심을 받았죠. 킬비는 이를 통해 토
머스 에디슨, 라이트 형제, 헨리 포드와 함께 미국 발명가 ‘명예의 전당’에 이름을 올리게 되었습니다.
그는 이후에도 많은 특허를 취득하며 과학의 발전에 크게 이바지했습니다. 하지만, 그 중에서도 그가
발명한 집적회로는 20세기 최고의 발명 중 하나로 평가됩니다. 집적회로 덕분에 전자산업이 발전하
게 되었고, 현재 모든 전자장비에 이 집적회로가 사용되고 있습니다. 컴퓨터나 휴대전화와 같은 가전
기기들은 저렴한 가격의 집적회로 덕분에 우리가 쉽게 사용할 수 있는 것이기도 합니다.
이렇게 박사 학위 없이도 노벨상을 받은 세 인물에 대해서 알아보았습니다. 물론 좋은 연구를 많이
하기 위해서는 박사나 교수가 유리할 수는 있습니다. 하지만, 박사 학위가 필수적인 것만은 아닙니
다. 결국 가장 중요한 것은 열정을 가지고 연구하는 것이기 때문이죠. 꼭 노벨상이 아니더라도, 본
인이 목표로 하는 분야에서 성공하기 위해서는 좋은 사고방식과 열정을 가지는 것이 필요하다고
생각합니다. 여러분들의 목표는 무엇인가요? 다나카 고이치와 투유유, 그리고 잭 킬비처럼 우리
모두 열정을 가지고 힘차게 앞으로 나아가기를 기원합니다.
3. 실크스크린은 전자부품을 인쇄 배선판의 표면에 고정하고 각 부품을 구리 배선으로 연결해 전자 회로를 구성한 판인 인쇄
회로 기판(Printed Circuit Board, PCB)에서 가장 바깥에 위치한 층이다. PCB에 대한 주석, 부품 번호, 로고, 버전 정보 등의
내용을 표시하는 데이터라고 할 수 있다.
그림 3. 잭 킬비가 만든 최초의 집적회로와 오늘 날씨가 좋아서 그런가, 다들 공원에서 배드민턴을 치고 있네! 근데 가
만히 보니 배드민턴 셔틀콕이 생각보다 엄청 빠르네? 과연 그 원리가 뭘까?
가장 먼저 눈여겨볼 점은 뉴턴의 제2 법칙1이야. 셔틀콕은 타 구기종목의 공
보다 질량이 작기 때문에 같은 힘으로 공을 타격하더라도, F=ma에 따라
가속도의 값이 매우 커. 하지만, 가속도 크기의 증가만으로는 KTX보다 빠
른 493km/h를 내는 것은 불가능하지. 그래서 우리는 안정성(Stability)
측면에서 셔틀콕을 바라볼 필요가 있어!
(글) 신소재공학과 21학번 27기 알리미 남현동
으로 왼쪽으로 회전하면서 원래의 방향을 찾게 되기 때문에 안정하다고 볼 수 있는 거지.
그림 1. 셔틀콕의 Cg, Cp 출처: https://www.youtube.com/watch?v=kv7ypfi4nNs&ab_channel=AuthenticScience
흔히 무게중심으로 알려진 Center of Gravity(Cg)는 무게가 집중된 코
르크 부분에 위치하게 돼. 그리고, 물체가 움직일 때 공기에 의해 압력이
한 점에 집중적으로 작용한다고 가정할 때 이 힘의 작용점인 Center of Pressure(Cp)는 면적이 가장 큰 깃털 부분에 위치하게 되지. Cg가 Cp보
다 위쪽에 존재해야 구조적으로 안정해. 그림 2와 같이 오른쪽에서 바람이
분다고 가정하면, 바람의 힘은 Cp의 한 점에 작용한다고 할 수 있고, 회전축
인 Cg를 중심으로 회전하게 되면서 물체가 오른쪽으로 기울어지게 되지. 하
지만, 물체 주변의 공기들은 물체에 대해 아래쪽으로 이동하고 있기 때문에
Cp에는 왼쪽에서 미는 힘이 작용하게 될 거야. 그래서 물체는 다시 Cg를 축
그림 2. 로켓의 안정성과 Cg, Cp 출처: http://www.nakka-rocketry.net/fins.html
또한, 라켓으로 셔틀콕을 타격하는 순간 공기 저항으로 인해 깃털의 폭이 오
므라들면서 공기의 저항이 줄게 되고, 빠른 속도를 낼 수 있지. 이때, 코르크 에 꼽힌 깃털의 결을 따라 공기가 한쪽으로 흐르게 되면서 결을 따라 셔틀콕 이 회전하게 돼. 이렇게 되면 각운동량 2때문에 공기 저항이 발생해도 똑바 르고 멀리 갈 수 있는 효과까지 있지! 이렇게 다양한 원리를 통해 매우 빠른 속도를 내는 셔틀콕, 굉장히 신기하지 않니? 그러면 나도 얼른 배드민턴 치러 가야겠다! 그럼, 안녕~
[각주]
1. 가속도의 법칙: 운동하는 물체의 가속도는 힘이 작용하는 방향으로 일어나며, 그 힘의 크기에 비례
2. 물체의 회전운동의 세기를 운동량과 수직거리의 곱으로 나타내는 물리량
[참고문헌]
Richard Nakka, 「Richard Nakka’s Experimental Rocketry Web Site」, 2001.08.26. http://www.nakka-rocketry.net/fins.html
[Authentic Science]. (2020, Jun 9). How the shuttle cock flips in air? Understand the science behind it [Video]. Youtube. https://www.youtube.com/watch?v=kv7ypfi4nNs&ab_channel=AuthenticScience
어릴 적에는 공원에 오면 자전거가 대부분이었는데, 이제는 전동 킥보
드를 타는 사람도 꽤 많은 것 같아. 음… 그나저나 공유 전동 킥보드의
QR코드는 어떻게 이 많은 정보를 다 담을 수 있는 거지? 모두 똑같아
보이는 QR코드, 지금부터 QR코드의 정보 저장 원리와 인식 원리에 대
해 알려줄게!
정사각형 모양의 흑백 격자무늬 형태를 이루고 있는 QR코드는 2차원
으로 되어 있어서 가로, 세로를 활용해 문자는 최대 4,296자, 숫자는
최대 7,089자를 기록할 수 있어. 그뿐만 아니라 사진 및 동영상, 인터
넷 주소, 지도, 명함 등의 정보도 담을 수 있다는 사실! 대단하지?
(글) 무은재학부 22학번 28기 알리미 박기현
구체적으로 살펴보면, QR코드는 크게 위치 찾기 패턴, 얼라인먼트 패
턴, 셀 패턴과 같은 3가지 패턴으로 구성돼. 위치 찾기 패턴은 QR코드
의 세 모서리에 자리 잡고 있는 큰 사각형으로, 360도 어느 방향에서
감지하더라도 정보를 읽을 수 있어. 다음으로, 얼라인먼트 패턴은 QR
코드가 일그러지거나 일부 파손되더라도 인식할 수 있게 해주는 역할 을 해. 마지막 셀 패턴은 흑백의 사각형을 통해 데이터를 저장하는데, 흑백에 따라 컴퓨터 2진법 수인 ‘0’과 ‘1’을 구분하지. 추가로 셀의 좌표
를 결정하는 타이밍 패턴과 오류 발생 가능성을 줄이기 위해 충분한 여 백을 제공하는 마진도 있어.
그렇다면 이렇게 만들어진 QR코드를 어떻게 인식할 수 있을까? 바로
빛의 흡수와 반사를 감지하는 적외선 센서를 이용해. 적외선 센서는 적
외선을 방출하는 발광소자와 이를 감지하는 수광소자로 분리되어 있
어. 이때 QR코드의 검은색은 빛을 흡수하여 약한 빛을 반사하고, 흰색
은 강한 빛을 반사하기 때문에 빛의 강약에 따라 ‘0’과 ‘1’을 구분할 수
있고, 이를 전기신호로 변환하여 컴퓨터가 읽을 수 있게 되는 거지!
작은 정사각형들의 조합이 이러한 원리로 수많은 정보를 담을 수 있어!
정말 신기하지? 그렇다면 난 면허도 있겠다, 헬멧 쓰고 전동 킥보드를 타러 가볼까~
[참고문헌]
1. 김현우, 「스물 네살 ‘QR코드’의 원리 아시나요」, 『한국일보』, 2018.08.18
https://www.hankookilbo.com/News/Read/201808161587376079
2. 한국전기안전공사, 「코로나19 시대 필수인 ‘QR 코드’! 어떤 원리로 만들어진 걸까?」, 『한국전기안전공
사 공식블로그』, 2021.08.09
https://m.blog.naver.com/kescomiri/222463068806
에취! 꽃구경하러 공원에 왔는데 꽃가루 때문에 눈물이랑 기침이 나네.
그런데 알레르기는 왜 생기는 걸까? 알레르기는 해롭지 않은 외부 물질
을 항원으로 착각해서 면역 반응을 일으키는 현상이야. 우리는 살아가
면서 수많은 가짓수의 항원에 노출되는데, 내가 어떤 물질에 대해서 알
레르기가 있는지 미리 알고 있다면 미리 대비할 수 있겠지?
전통적으로는 피부를 바늘로 찌른 뒤 항원에 노출해서 항원-항체 반응
정도로 알레르기 여부를 판단하는 검사를 많이 수행했어. 그런데 이 방
법은 피부 상태에 따라 영향을 받는다는 문제점이 있었지.
그래서 요즘은 혈청 특이 IgE 검사를 주로 사용한대. IgE란 항체의 한
종류로, 처음 알레르기 유발 항원이 들어오면 B세포1가 이를 인식한 뒤
형질세포로 분화하여 그 항원에 특이성을 가지는 IgE를 만들어내. 그
리고 IgE가 비만세포 표면에 있는 FcɛRI 수용체에 결합한 채로 있는
거지. 만약 다시 같은 항원이 들어오게 되면, 항원이 두 개의 항체 사이
에 교차결합하게 돼. 이후에 세포 내 신호전달 경로를 거쳐서 염증 매
개 물질들(히스타민 등)이 나오면서 면역 반응들이 일어나는 거야.
(글) 무은재학부 22학번 28기 알리미 사수현
즉, 혈액 내 특정 알레르기 항원과 이에 특이적인 IgE가 결합하는 것을
검사로 확인한다면, 해당 물질에 대해서 알레르기를 그 사람이 가지고
있다고 생각할 수 있는 거지!
알레르기 검사는 단일 혈청 당 검사하는 특이 IgE 항체의 수에 따라서
두 가지로 나눌 수 있어. 먼저 다양한 종류의 특이 IgE 항체를 검사하
는 MAST(Multiple Allergen Simultaneous Test)가 있어. 다양한
알레르기 항원으로 구성된 패널에 혈액을 떨어뜨린 뒤, 항원-항체 반응
에 따른 화학 발광의 유무를 이용해서 어떤 항원에 특이적인 IgE가 있
는지 확인하는 방법이야. 이 검사는 저렴하지만, 민감도2가 떨어진다는
단점이 있지.
반면 하나의 알레르기 항원에 대한 IgE의 양을 항원-항체 반응량에 따
른 형광 정도를 통해 정량적으로 판단하는 ImmunoCAP이라는 방법
도 있어. 이 방법은 민감도와 특이도3가 모두 높지만, 1개의 검사당 1개
의 특이 IgE를 측정하기 때문에 비용이 많이 들어.
이제 원리도 알았겠다, 너희도 이번 봄에는 알레르기 검사를 받아보는 건 어떨까?
[각주]
1. 세포림프구의 일종으로 항체를 생산하여 후천성 면역에 크게 기여하는 세포
2. 결합하는 항체가 있는 알레르기 항원 중 진짜 알레르기 유발 항원의 비율
그림 . 비만세포와 IgE의 활성 출처: https://home.allergicchild.com/what-are-mast-cells/
3. 결합하는 항체가 없는 알레르기 항원 중 알레르기 유발 항원이 아닌 것의 비율 [참고문헌]
김미애 외 4인, 『알레르겐 특이 IgE 검사의 이해』, 대한내과학회지 제 93권 제 5호, 2018, 452-455
라떼는 말이야, 공원에 가면 연을 날렸다고! 근데 요즘 애들은 연이 아
니라 다른 걸 날리더라? 바로 드론! 윙윙거리며 자유자재로 공중에서
방향을 바꾸는 드론은 어떻게 그렇게 날 수 있을까?
드론의 이륙 원리는 두 가지인데 하나는 베르누이 원리에 의한 양력이
고, 다른 하나는 프로펠러에 의한 반작용력이야. 베르누이 원리란 유체
의 유속이 빨라지면 그 유체가 점유하고 있는 공간의 압력이 낮아진다
는 원리야. 쉽게 말해 날개의 매끈한 아랫면에 비해 볼록한 윗면은 공
기가 지나가야 하는 거리가 멀어서 유속이 빨라지고 이로 인한 압력 차
이에 의해 날개가 위로 뜨는 양력1이 생성되는 거지. 그런데 날개가 작
은 드론은 양력만으로 이륙 원리를 설명하기가 어려워. 그건 드론을 띄
우는 또 하나의 힘, 반작용력 덕분이야. 다들 뉴턴의 제3 법칙인 작용-
반작용 법칙2 들어봤어? 드론의 프로펠러를 보면 날개가 경사지게 붙 어있는 것을 확인할 수 있는데, 프로펠러가 회전하면 경사면이 공기를 아래로 밀어내면서(작용) 밀려 나가는 공기가 드론을 위로 밀어 올리게 (반작용) 돼.
(글) 무은재학부 22학번 28기 알리미 윤정현
다음으로는 드론의 조종 원리를 알아보자. 일반적으로 자주 쓰이는 쿼
드콥터3 기준으로 설명해 볼게. 쿼드콥터는 대각선으로 마주 보는 프
로펠러끼리 같은 방향으로 회전하는데, 하나는 시계 방향으로 하나는
반시계 방향으로 회전해. 그 이유는 바로 돌림힘4 때문이야. 프로펠러
가 시계 방향으로 움직이면 드론은 반시계 방향으로 돌림힘을 받게 되
거든. 한쪽은 시계 방향으로, 다른 한쪽은 반시계 방향으로 회전하면서
힘의 균형을 맞추는 거지.
그럼, 드론은 어떻게 앞뒤 양옆으로 자유롭게 이동할 수 있을까? 바로
가고자 하는 방향의 반대에 위치한 프로펠러를 빠르게 회전시키는 거
야. 프로펠러가 빠르게 회전하면 더 큰 양력과 반작용력을 받게 되는데
그러면 드론이 가고자 하는 방향 쪽으로 기울어져서 그 방향으로 전진
할 수 있어. 만약 오른쪽으로 이동하고자 한다면 왼쪽에 있는 프로펠러
를 빠르게 회전시키면 돼. 아, 재밌겠다! 나도 이참에 드론 하나 장만해
서 날려봐야지. 그럼, 안녕 ~
[각주]
1. 유체 속을 운동하는 물체에 운동 방향과 수직 방향으로 작용하는 힘
2. 뉴턴의 세 가지 운동 법칙 가운데 하나로, 모든 작용력에 대하여 항상 방향이 반대이고 크기가 같은 반 작용 힘이 따른다는 법칙
3. 회전날개(프로펠러)가 4개인 멀티콥터의 일종
4. 토크라고도 하며, 물체가 회전운동을 할 때 나타나는 회전의 경향의 척도
[참고문헌]
정영진, 「무인비행기 드론(Drone)의 비행원리」, 『서울과학교육』
그림. 드론의 조종 원리
http://webzine-ssp.kr/science_life/vol16/43
(글) 컴퓨터공학과 21학번 27기 알리미 김나림
여러분도 학교생활을 하면서 어떤 일에 가설을
세우고 이를 검증해 보고자 한 경험이 있을 텐데
요. 그렇다면 가설은 어떠한 기준으로 채택하고,
기각하게 되는지 그 수학적 과정에 대해 알고 있
으신가요? 이번 글에서는 바로 그 수학적 가설 검
정에 관련한 여러 가설과 가설 검정 속 오류에 대
해 알아보려고 합니다.
가설 검정은 다양한 곳에서 사용되지만, 대표
적으로 연구에서 많이 사용됩니다. 이때, 연구
에서 검증하고자 하는 가설을 ‘귀무가설(Null Hypothesis)’이라고 합니다. 그리고 귀무가
설과 반대되는 가설을 ‘대립가설(Alternative Hypothesis)’이라고 합니다. 귀무가설은 ‘새로운
것이 없다’는, 대립가설은 ‘새로운 것이 있다’라는
의미의 가설로 사용됩니다. 흔히, 대립 가설을 채
택하기 위해 귀무가설을 사용하는 이유는 참이
아님을 증명하는 것이 참임을 증명하는 것보다
쉽기 때문입니다. 그렇기에 흔히 귀무가설을 기
각하여 대립가설을 채택하는 방법을 취하게 되는
거죠. 이러한 상황은 일상생활에서도 흔히 볼 수
있는데, ‘무죄 추정의 원칙1 ’이 바로 그 예입니다.
그런데, 귀무가설이 채택되거나 기각되는 것에는
‘기준’이 필요합니다. 이 기준점을 ‘임곗값(Critical
Value)’이라고 부릅니다. 예를 들어 공을 일정 높
이에서 떨어뜨릴 때, θ 의 확률로 깨지지 않고 살아
남는 기술을 새롭게 개발했다고 합시다. 이때 임
곗값과 관련한 수식은 다음과 같이 표현됩니다.2
채택 영역(Acceptance Region), c 보다 크거나 같 을 때는 기각 영역(Rejection Region)이 됩니다.
놓은 뒤에, 2종 오류를 최소화하는 방법을 사용합 니다.
α(θ) = Pθ (X < c) ≤ α ( for some 0 < α < 1)
그 최대 허용치(α)를 유의수준(Significance Level)
으로 부르고, 미리 값을 정해서 1종 오류를 범하
지 않도록 합니다. 가설 검정에서는 흔히 0.01, 0.05, 0.1과 같은 작은 값을 흔히 사용하게 됩니다.
반대로, 대립가설 분포에서는 임곗값보다 작은
그림 1. 임곗값에 따른 채택 영역과 기각 영역 {x : x < c} : acceptance region {x : x ≥ c} : rejection region
그런데, 이러한 방식의 가설 검증 방법에는 2가 지의 오류가 있습니다. 바로 제1종 오류(Type 1 error)와 제2종 오류(Type 2 error)인데요. 1종 오 류는 “귀무가설이 실제로 참인데 이를 기각하는 오류”를 말하고, 2종 오류는 “귀무가설이 실제로 거짓인데 이를 기각하지 않는 오류”를 말합니다.
이를 표로 나타내면 다음과 같고, 수식도 아래와 같이 표현할 수 있습니다.
확률이 2종 오류의 확률이 되고, β로 표기합니다.
그림 2. 1종 오류, 2종 오류의 표기
단순히 가설을 채택하고 기각하는 것이 아니라
이렇게 특정한 기준을 기반으로 분석하고 있었다
니, 놀랍지 않나요? 이번 글을 통해 가설 검정에
관심이 생겼다면 p-value와 검정력 등에 대해 더
공부해 보는 것을 추천합니다!
[각주]
1. 무죄 추정 원칙 또한 용의자 또는 피고인이 유죄로 판결 확정되 기 전까지 무죄로 추정한다.
그렇다면 이 2가지 오류 중에 어느 것이 더 치명
적일까요? 바로 1종 오류입니다. 1종 오류는 잘못 된 가설을 받아들인 것이기 때문이죠. 법으로 본
2. b(n, θ)은 통계학에서의 표시로 확률이 θ일 때 n번 시행한 후 나 온 결과를 의미한다. 해당 글에서는 깨진 공의 개수를 의미한다. [참고자료]
1. 가설 검증, 영남대학교 (http://contents.kocw.net/KOCW/document/2015/yeungnam/ leejeayoung/9.pdf)
2.통계적 탐구, 김기영/박유성/송석헌/이재원/장인식, 교우사, 2002
이때 X는 확률 변수이며, n 개의 공을 대상으로 기
술을 실행했을 때 살아남은 공의 개수를 의미합
니다. 따라서 X의 개수가 일정한 c 를 넘게 되면
귀무가설(H 0)을 기각하고, 해당 기술을 사용하지
않게 됩니다. 그리고 c 가 바로 임곗값이 되는 것
이죠. 따라서 이 c 를 기준으로 하여, c 보다 작으면
다면 무죄인 사람에게 유죄를 판결한 것과 동일 한 상황입니다. 이러한 오류를 최대한 줄이기 위 해서는, 위의 수식에서 볼 수 있듯이 c 의 값을 높 여주면 됩니다. 그러나 c 의 값을 너무 높이게 되
면 2종 오류가 일어날 확률이 높아지게 됩니다.
그래서 보통은 1종 오류의 최대 허용치를 설정해
3.Helmenstine, Anne Marie, Ph.D. “Null Hypothesis Definition and Examples.” ThoughtCo, Feb. 11, 2020, (https://www.thoughtco. com/definition-of-null-hypothesis-and-examples-605436)
4. chapter10, one-two-sample tests, 포항공과대학교, 최성섭
1. https://homework.study.com/explanation/true-or-false-with-asample-of-9-items-the-critical-value-of-the-student-s-t-for-aright-tailed-test-of-a-mean-at-alpha-0-05-is-1-860.html
2. http://www.koreascience.kr/article/JAKO201213663898168.pdf
(글) 전자전기공학과 21학번 27기 알리미 황예원
여러분, 혹시 질량분석기를 제작할 수 있게 한 로
런츠 힘(Lorentz force)에 대해 들어보셨나요? 질
량분석기는 우리가 보지 못하는 작고 가벼운 물질
들의 질량을 확인할 수 있도록 해주는 장치입니다.
그럼, 지금부터 이 질량분석기를 만들어낼 수 있게
한 로런츠 힘에 대해 알아보도록 하겠습니다.
먼저, 로런츠 힘이란, 전하를 띄고 있는 물체가 전
자기장 속에서 받는 힘을 의미합니다. 이 힘은 전
기장에서 하전 입자가 받는 힘과 자기장에서 하전
입자가 받는 힘의 합으로 표현될 수 있는데요. 우
선, 전기장 속에 전하량이 q인 물질이 있다면 이
물질이 받는 전기력 FE의 크기는 다음과 같이 나
타납니다.
FE = qE [N ]
(q : 전하량, E : 전기장 크기)
이때 전기력의 방향은 전하량의 부호와 전기장의
방향에 따라 달라지는데요. 전하량이 양수라면
전기장과 같은 방향으로, 전하량이 음수라면 전
기장의 반대 방향으로 작용하게 됩니다.
오른손의 엄지를 제외한 네 손가락이 전하의 이
동 방향으로 향하게 한 뒤, 손을 회전하여 자기장
이 가리키는 쪽으로 방향을 바꾼 상태에서 엄지
가 가리키고 있는 방향이 바로 자기력의 방향이
되는 것이죠. 반대로 전하량이 음수라면 전하의
이동 방향만 반대가 되었다고 생각한 뒤, 같은 방
법으로 자기력의 방향을 구해주면 됩니다.
따라서 위의 과정을 통해 로런츠 힘의 크기는 q(E+vBsinθ) 로 표현됩니다. 그럼 이 힘은 질량
분석기와 어떤 관련이 있을까요? 우선, 전기장은
없고 일정한 크기의 자기장이 지면으로 들어가는
방향으로 형성된 공간을 생각해 봅시다. FE = 0
이므로, 로런츠 힘은 qvBsinθ 가 됩니다. 이 공간
에서 아래와 같이 전하량이 양수인 전하가 자기
장에 수직으로 입사하는 상황을 생각해 보면, 입
자가 이동하는 방향과 자기장의 방향이 이루는
각인 θ가 90°가 되어 로런츠 힘의 크기는 qvB 임
을 알 수 있습니다.
qvB = m , r = ( m : 전하의 질량, r : 원운동 반지름)
이 원운동 반지름 r이 질량분석기에서 중요한 역
할을 하게 되는데요. [그림 3]과 같이 일정한 크기
의 자기장 B가 주어졌을 때 서로 다른 입자들이 같
은 속도 v로 자기장에 입사하는 상황을 생각해 봅
시다. 위의 상황과 같으므로 r = 이고, 이 식을
통해 B와 v가 일정한 상황에서 r은 에 비례하는
것을 확인할 수 있습니다. 따라서 같은 전하를 띠는
입자들끼리 비교했을 때 원운동 반지름이 클수록 질
량이 큰 입자임을 나타냅니다. 이러한 원리를 통해서
아주 작은 입자들의 질량을 알아낼 수 있는 것이죠.
그림1. 전기장 속 전하가 받는 힘
그렇다면 자기장 속의 전하가 받는 힘은 어떻게
나타날까요? 먼저, 자기력 FB에 대한 식을 살펴보
도록 하겠습니다.
FB = q vBsinθ [N ]
(q : 전하량, v : 입자 속도 크기, B : 자기장 크기, θ : 입자 이동 방향과 자기장 방향이 이루는 각)
자기력의 크기는 전하량, 입자의 속도와 자기장
의 크기, 그리고 sinθ의 곱으로 나타나게 됩니다.
자기력의 방향을 구할 때는 암페어의 오른나사
법칙을 사용하면 되는데요. 전하량이 양수라면
그림 2. 전하가 자기장에 수직으로 입사하는 모습
이때, 힘이 가해지는 방향은 오른나사 법칙에 따
라 이동 방향 y 에 수직인 - x 방향이 되며, 그 결
과로 입자의 이동 경로가 변하게 됩니다. 하지만
경로가 변하더라도 입자의 이동 방향이 자기장의
수직인 것은 변함이 없고, 이 때문에 언제나 로런
츠 힘의 작용 방향은 입자의 이동 방향에 직교한다
는 것을 알 수 있는데요. 이동 방향에 언제나 수직
으로 작용하는 힘 중 여러분이 잘 아는 힘이 있습
니다. 바로 구심력이죠! 전하가 일정한 자기장 속
으로 입사하면 작용하는 로런츠 힘이 구심력의 역
할을 하며 전하가 원운동을 할 수 있도록 해줍니
다. 이를 통해 다음과 같은 식을 얻을 수 있습니다.
그림 3. 질량과 전하량의 비에 따라 달라지는 원운동 반지름 자기장 속에 전하가 입사하면 등속 원운동을 하
고, 또, 이 원리를 이용하여 입자의 질량을 분석할
수 있다는 사실이 놀랍지 않나요? 추가로, 질량분 석기에 입사하는 서로 다른 입자들의 속도가 같 은 크기로 맞춰지는 방법이나, 로런츠 힘을 이용 해 홀 효과(Hall Effect)를 설명하는 과정 등 많은
내용이 있으니, 이번 글이 흥미로우셨다면 관련 하여 더 다양한 내용을 찾아봐도 좋겠죠?
[그림 출처]
1. https://m.blog.naver.com/PostView.naver?isHttpsRedirect=tr ue&blogId=toshizo&logNo=220661314903
2-3. https://yjh-phys.tistory.com/1427
[참고자료]
1. 「로렌츠 힘 (Lorentz’s Force)」, 『설군의 연구소』, 2019.12.19. (https://m.blog.naver.com/seolgoons/221742830361)
2. 「속도선택기및질량분석기-가상실험」, 『윤제한의 물리교실』, 2015.07.07. (https://yjh-phys.tistory.com/1427)
3. 「로런츠 힘 – 전기장과 자기장의 순환의 힘」, 『한국순환학회, 인 아랑, 순환법칙, 사상물리학/화학 』, 2016.08.19. (https://blog.naver.com/applepop/220791791178)
4. 「[물리 이야기] 전기력선의 이해 – 전기장의 방향」, 『최강물리 블로그』, 2016.03.21. (https://m.blog.naver.com/PostView.naver?isHttpsRedirect=true &blogId=giriffing&logNo=220385395255)
측정할 수 있는 물리량은 모두 실수이다. 시간에 대하여
삼각함수로 변화하는 교류 또는 파동의 경우, 삼각
함수보다 지수함수 꼴인 e iωt = cosωt + isinωt가 계산에
편리하기 때문에 복소수를 사용한다. 계산이 끝나면
결과의 실수 부분만 물리량에 대응하므로, 이 계산에서
복소수는 편리함을 위한 도구에 불과하다.
양자역학의 경우 여전히 측정할 수 있는 물리량은 모두
실수이지만, 복소수는 계산을 위한 도구 이상의 중요한
역할을 한다. 전자를 비롯한 입자의 운동은 복소수 함수인
파동함수로 기술된다. ψ ( x ) 가 파동함수이면 |ψ ( x ) |2은
입자가 x 에 존재할 확률이다. 입자를 거시적인 범위에서
(고전역학이 적용되는 범위에서) 관찰하면, 입자는 평균
위치에 있는 점입자로 보인다. 파동함수로부터 평균
위치는 x = ∫ | ψ ( x ) | 2 xdx = ∫ ψ * xψdx 로 계산할 수
있다. 거시적인 범위에서 관찰한 입자의 운동량은 어떻게
계산할 수 있을까? 파동함수는 시간에 대하여 슈뢰딩거
방정식, 을 만족하면서 변화하므로, p= m = m ψ* xψdx
로부터 p= ψ * ψdx 가 거시적인 범위에서
관찰한 입자의 운동량이다. 계산에 복소수 ( i ) 가 등장
했지만, 결과의 실수 부분만을 물리량에 대응하는 과정
없이도, 결과가 측정할 수 있는 물리량이 실수가 된다는
것은 놀랍다.
사실 파동함수를 ψ = ψRe + i ψIm로 분해하면 모든 계산을
복소수 없이 다시 쓸 수 있다. 사람은 복소수를 편리함을
위한 도구로 사용한 것은 아니지만, 여전히 복소수가
필연적인 것도 아니다.
양자역학에서 복소수가 계산을 위한 도구 이상의 중요한
역할인 이유는, 입자의 에너지를 + V 로 계산할 수
없기 때문이다. 거시적인 범위에서 고전역학을 적용하려면
입자의 파동함수가 좋은 조건을 만족해야 한다. 초전도체, 초유체를 비롯한 양자 물질(Quantum matter)을 구성하는
입자들은 파동함수가 이 조건을 만족하지 않기 때문에
양자역학의 마법은, 위치 연산자인 x = x 과 운동량
연산자인 p = 을 정의하면 H = + V 로부터
에너지가 E= ∫ ψ* H ψdx 로 계산된다는 것이다.
물리량의 연산자를 정의하면 연산자 사이의 관계식은
고전역학과 동일하지만, 대신 연산자의 정의에는
복소수가 반드시 등장한다.
물리량을 연산자 (A)로 정의하고, 거시적인 범위에서 관찰
한 물리량의 측정값을 ∫ ψ* Aψdx 로 계산하는 방법은 언
뜻 보기에는 이상하다. 하지만 물리학 법칙을 만든다는 관
점에서 이는 자연스러운 방법이다. 고전역학은 양자역학
에서 입자의 파동함수가 좋은 조건을 만족하면 성립하므
로, 양자역학과 고전역학의 차이는 오직 파동함수에 집중
되어 있어야 한다. 물리량을 연산자로 정의하면 물리량 사
이의 관계식은 고전역학과 양자역학이 동일하므로, 파동
함수에 대한 조건만이 양자역학과 고전역학을 구분한다.
정리하면, 양자역학에서 복소수의 역할이 필연적인 이유
는 물리량을 정의하는 연산자가 복소수를 포함하기 때문
이다. 연산자인 물리량이 파동함수와 결합하여 물리량의
측정값이 계산되고, 측정값은 항상 실수이다.
그렇다면 물리학 법칙에서 복소수가 필요하지만, 측정값
은 항상 실수인 이유는 무엇일까? 만약에 측정할 수 있는
대상이 모두 실수라면 물리학 법칙에서 복소수가 필요한
상황이 이상한 것 아닐까? 가령 양자역학 너머의 새로운
물리학이 필요하다는 증거 아닐까?
오히려 반대로 생각할 수 있다. 물리학 법칙에 복소수가 필
연적이라는 사실은 거꾸로 측정할 수 없는 자연 현상이 있
음을 의미한다. 만약에 자연이 정말로 평형 상태라면, 즉
관찰하고 있는 대상뿐만 아니라 관찰자까지 모두 평형 상
태라면, 관찰자는 관찰하여 정보를 처리하는 능력 자체를
잃어버릴 것이다. 관찰자는 절대로 자연의 평형 상태를 관
찰할 수 없다.
하지만 관찰할 수 없다고 해서 자연의 평형 상태가 존재하
지 않는 것은 아니다. 물리학 법칙이 적용되는 대상은 관찰
자 자신을 포함하고, 내재적인 모순이 없어야 한다. 관찰하
는 대상의 평형 상태가 존재한다면 당연히 관찰자를 포함
한 전체의 평형 상태도 존재한다.
설명이 가능한 현상들을 보여 준다.
므로 물리학 법칙에 등장하는 허수는 평형 상태에 대한 정보를
담는다고 추측할 수 있다. 위치 연산자( x = x )와 운동량 연산자
( p = )를 비교해 보면, 이 추측은 더 설득력을 얻는다. 순
허수 연산자인 운동량이 실수 연산자인 위치의 변화(평형의 깨
짐)를 기술하기 때문이다.
물리학에서 실수와 허수의 관계가 평형 상태와 평형 깨짐의 관
계라는 추측은 여러 차례 사실로 확인되었다. 예를 들어, 금속은
굴절률이 복소수인데, 굴절률의 실수 부분은 전자기파의 전기
장에 반응하여 금속 내부의 전하들이 배열된 평형 상태로부터
결정되고, 굴절률의 허수 부분은 전기장에 반응하여 금속에 흐
르는 전류의 저항이 결정한다.
가장 인상적인 예로, 양자역학에서 시간 자체를 복소수로 확장
한 경우가 있다. 시간의 실수 부분은 당연히 현상의 변화, 시간
의 흐름을 설명하지만, 시간의 허수 부분은 놀랍게도 에너지가
가장 낮은 바닥 상태를 설명한다. 시간의 허수 부분에 β 의 주기
가 있다면, 바닥 상태가 아니라 온도가 인 평형 상태를 설
명한다. 블랙홀의 온도와 호킹 복사도 시간의 허수 부분이 주기
를 가지도록 블랙홀 주위의 시공간이 휘었기 때문이라고 설명 할 수 있다.
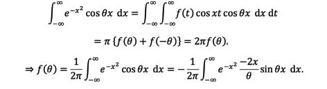
[ 177호 문제 답 ] Q1. 위의 방정식을 만족하는 f (t)는 무엇인가?
A1. f ( t ) 을 우함수( )와 기함수 ( )로 분해
하면, 기함수 부분은 적분에 기여하지 않는다.
따라서 방정식을 만족하는 f ( t ) 는 (방정식을 만족하는 우함수) + (임의의 기함수)이므로, 방정식을 만족하는 우함수를 구하자.
[ 178호 문제 ]
Q1. 아래의 2차 미분방정식을 1차 미분방정식으로 변형하여
풀어 보자.
Q2. 입자가 특정 위치에 존재할 확률을 모든 위치에 대하여
적분하면 1이므로 ∫ ψ* ψdx = 1이다. 파동함수가 x → ± ∞에
서 0으로 수렴한다면 (입자가 비현실적으로 퍼져 있지 않다면)
∫ ψ * ψdx 가 시간에 대하여 상수임을 슈뢰딩거 방정식으로
부터 증명해 보자. 만약 위치 에너지인 V 가 복소수라면 ∫ ψ* ψ
f’(θ ) = - e-x2 x sinθxdx이므로 f (θ )는 θf (θ ) + 2 f’(θ ) = 0 을
만족한다. 계산하면 f (0) = 이므로 f (θ) = e 이다.
Q2.
위의 방정식을 만족하는 f (x)에 대하여 ∫ 1 -1 f (x)2dx 와
∫ 1 -1 ( f (x)2 + 3x3f (x))dx의 최댓값 또는 최솟값을 계산해 보자.
A2. P0 =1, P1= x, ( n +1) Pn+1 =(2 n +1) xPn - nP n -1 을 만족하는
다항식인 P n 을 르장드르 다항식이라고 한다. 르장드르 다항식은
Pm(x)Pn (x)dx = 을 만족한다.
P0 f dx = 1, P1 fdx = 1, P2 f dx = - 2 이므로
f = P0 + P1 - 5P2 + ∑n> 2 cn Pn 이다.
르장드르 다항식이 직교 기저(크기가 1은 아니므로 정규 직교
기저는 아니다.)를 구성하고, f 의 성분을 알고 있으므로, f 2dx은 f 와 f 의 내적으로, ( f 2 + 3x 2f )dx은 f + 2P2+P0
글로 이해가 안된다면? 6월 30일 공개되는 해설 영상에 집중!
[ 정답자 ] 177호 마르쿠스 정답자는 없었습니다.
* MARCUS에는 포스텍 수학동아리 MARCUS가 제공하는 수학 문제를 싣습니다.
정답과 해설은 다음 호에 나옵니다.
* ψdx 가 시간에 대하여
dx 가 더 이상 시간에 대하여 상수가 아님을 증명해 보자. 입자가 어딘가에 존재할 확률인 ∫
상수가 아님은 무엇을
* 이번 호 문제는 2023년 7월 18일(화)까지 알리미 E-MAIL (postech-alimi@postech.ac.kr)로 풀이와 함께 답안을 보내주세요.
* 정답자가 많을 경우 간결하고 훌륭한 답안을 보내 주신 분들 중 추첨을 통하여 포스텍의 기념품을 보내 드립니다. (학교/학년을 꼭 적어 주세요.)
(글) 컴퓨터공학과 21학번 27기 알리미 김주은
어느덧 3월을 맞아 벚꽃이 화창하게 피고, 다들 벚꽃 구경을 하러 가는 계절에 이르렀네요. 저도 포스텍 캠퍼스를 따라 예쁘게 핀 벚꽃을 보면
마음은 편안해지고 기분은 밝아지곤 합니다. 벚꽃의 꽃말은 중간고사라고 하던데, 다들 중간고사는 잘 대비하고 계시나요? 혹은 중간고사를 이미
치르고 결과를 기다리는 분들도 있겠네요. 새 학기가 시작된 후 첫 중간고사라 모두가 잔뜩 긴장하고 시험을 치르지 않을까 싶은데요. 그래서 제
가 이번에 준비한 글은 바로 ‘긴장을 떨쳐내는 법’입니다.
여러분은 긴장을 많이 하는 편인가요? 저는 고등학교 3학년 초반까지만 해도 누구보다 긴장을 많이 하는 학생이었어요. 하루는 중간고사 수학 시
험 전날 밤에 너무 긴장한 나머지 침대에 누웠지만 잠이 오지 않았고, 결국 밤을 꼬박 새우고 시험을 치른 경험이 있어요. 하지만 학창 시절의 가
장 마지막 시험인 수능 당일에는 아주 편안한 마음으로 시험을 치를 수 있었답니다. 평소에 긴장을 많이 하던 제가 어떻게 시험을 편안하게 쳤는
지 궁금하지 않나요?
저는 고등학생 때 수시 준비도 열심히 했지만, 정시도 열심히 준비하던 학생이었어요. 내신의 경우 한 번 실수해도 그다음 시험에서 만회할 기회가
충분하지만, 수능은 상대적으로 그렇지 않은 시험이잖아요. 저는 그래서 수능을 위한 공부도 열심히 했지만, 수능 당일의 긴장을 줄이기 위한 연습
을 누구보다 열심히 했어요.
먼저 저는 시험 환경과 똑같은 환경에서 시험을 치르는 연습을 했습니다. 항상 같은 환경에서 공부한다면 시험장에 가더라도 낯선 환경에 의한
긴장이 덜 하겠다고 생각했던 것 같아요. 그래서 매주 주말은 수능과 똑같은 시간표로 공부했어요. 각 교시에는 해당하는 과목을 공부하고, 모의
고사를 풀 땐 항상 답안지 표시까지 연습했답니다. 이후 저는 6월쯤 평가원에서 주최하는 모의고사를 봤는데, 그 결과는 예상과는 다르게 좋지
않았습니다. 처참한 성적표를 보니 시험 내내 긴장 속에 갇혀버렸던 제 모습이 떠올랐습니다. 마치 제가 긴장을 떨쳐 내기 위해 노력했던 것들이
전부 배신당한 느낌이었달까요.
이후 다시 긴장을 떨쳐 내기 위해 끊임없이 노력했고, 그 끝에 알아낸 방법들은 아직도 시험을 칠 때 많이 도움이 되는 것 같아요. 바로, ‘무한 긍
정’ 마음가짐입니다. 사실 결국 알아낸 방법이 고작 마음가짐이냐고 할 수도 있지만, 주변 상황에 휘둘리지 않고 한 마음가짐을 꿋꿋이 가지고 있
는 것은 쉽지 않은 일이에요. 긴장할 때마다 보통 시험을 망칠 것이라는 불안감을 느끼게 되는데, 저는 이 불안감의 원인이 결국 ‘일어나지 않을 미
래에 대한 걱정’과 ‘과거에 실패했던 기억 속에 다시 빠지는 것’이라는 것을 깨달았습니다. ‘저번 시험 때도 이렇게 긴장하다가 시험을 망쳐버렸는
데, 이번에도 망치는 거 아니야?’와 같은 막연한 생각들이 긴장감을 심화시키는 것이죠. 사실 안 좋았던 과거에 대한 기억은 다시 생각나기 마련
이라 저도 항상 안 좋은 기억을 어떻게 없앨 수 있을지 많이 고민했었는데요. 저는 성공했던 과거를 생각하는 루틴을 만들었습니다. 앞서 시험에
대한 긴장으로 인해 밤을 새우고 시험을 친 경험을 말씀드렸는데요. 사실 시험 당시 컨디션이 좋지 않았음에도 불구하고 오히려 좋은 성적을 받았 습니다. 그래서 이후로 저는 긴장으로 인해 잠을 덜 잤더라도 ‘저번 시험엔 밤을 새웠지만 성적이 잘 나왔어. 괜찮을 거야.’라고 생각하는 연습을
계속했어요. 또한 긴장해서 오히려 안 좋은 결과를 낸 경험이 있더라도, 이 경험을 ‘예방주사’라고 생각해 보는 연습도 했어요. ‘난 이미 예방주사
를 맞았기 때문에 나는 이번에 안 그럴 거야.’라는 긍정적인 마음가짐을 가지는 거죠.
이렇게 긴장을 떨쳐 내기 위해 노력했던 저의 경험을 여러분께 소개해 드렸는데요. 오늘 제 이야기가 여러분의 수험생활 동안 남은 시험뿐만 아니
라 앞으로의 인생에서 있을 중요한 순간에서도 조금이나마 도움이 되었으면 좋겠네요. 저는 여러분들의 남은 입시 기간 동안 항상 여러분들 곁에
서 응원하고 있겠습니다! 파이팅!
(글) 무은재학부 22학번 28기 알리미 조소혜
여러분, 안녕하세요! 유난히도 추웠던 겨울이 가고, 글을 쓰는 지금은 봄의 따스한 기운이 포스텍에 내려앉았습니다. 매일 열심히 피어나는 나뭇잎
들을 볼 때면, 저도 더 열심히 피어날 준비를 해야겠다고 생각하곤 합니다. 포스테키안을 받아보았을 때 여러분은 봄의 끝자락을 마주하고 있겠지
요. 여러분의 봄은 어땠나요? 새 학기의 즐거움보다는 미래의 불확실함이 여러분을 괴롭히진 않았나요? 만약 그렇다면, 이 글이 그런 여러분께 작
은 위로가 되었으면 좋겠습니다.
저는 항상 과거에 대한 후회, 미래에 대한 걱정이 많았던 학생이었습니다. ‘이걸 먼저 공부했다가 다른 과목을 공부할 시간이 없으면 어떡하지?’
라는 작은 불안부터 ‘내가 성공할 수 있을까?’라는 막연한 미래에 대한 불안까지, 셀 수 없는 걱정이 제 머릿속을 떠다녔습니다. 미래보다 불확실
한 건 없는데, 미래를 예측하려고 버둥댔죠. 하루에 정해진 양을 다 해내는 것에 급급했기에 확실한 목표도, 공부에 대한 흥미도 전혀 없었습니
다. 그저 단조로운 일상을 버티는 나날이었어요. 성장이 아니라 성적을 위해 공부했고, 좋은 점수만이 제 목표였습니다. 하지만 여러분은 3년 전에
받은 중간고사 점수가 기억나나요? 저는 고등학교 3학년 때 성적도 기억나지 않습니다. 고작 1년 하고 조금 더 지났을 뿐인데요. 이렇듯 시간이 흘
렀을 때 나에게 남아있는 것은 점수가 아니라 나를 성장시킨 지식과 경험입니다.
지금 저는 쉽게 걱정하지도 불안해하지도 않습니다. 내가 옳은 방향으로 나아가고 있다고 자신 있게 말할 수 있죠. 고등학교에서 대학교로, 환경
이 달라졌기 때문일까요? 그것은 아닌 것 같습니다. 대학교 생활은 여러분이 생각하는 것보다 더 고등학교와 비슷하기 때문이죠. 그저 개학이 개
강으로, 선생님이 교수님으로 바뀐 정도의 차이랄까요. 대학교에 유정 선배가 없는 것처럼, 여유로운 캠퍼스 라이프를 즐길 시간도 그리 많지 않습 니다. 생각보다 치열하죠. 하지만 고등학교와 다를 것 없는 일상이라도, 저는 이전과 달리 행복합니다. 그 말은 곧 여러분도 행복할 수 있다는 뜻
이며, 혹시 불행 속에 살고 있다고 느낀다면 무엇이 여러분을 불행하게 만드는지 깊게 고민해 보아야 한다는 뜻입니다
“오늘을 살자.”, 저를 걱정과 불안으로 가득한 나날에서 벗어나게 해준 마법의 말입니다. 저는 이 말을 참 좋아합니다. 그저 오늘을 최선을 다해 사는 것만으로 충분하다고 말해주기에, 과거를 자책하지도 다가오는 미래를 두려워하지도 않게 해주기 때문이죠. 나의 현재가 미래에 일으킬 파
장이 궁금한 것은 사실이지만, 어찌 되었든 난 현재의 시간 속에 사니까요. 이 순간을 충분히 느끼며, 어제와는 다른 것들을 찾아보세요. 오늘의 내
가 어제의 나와 다른 점은 무엇인가요? 전 요즘 운동할 때, 어제보다 더 건강해진다는 즐거움을 느낍니다. 공부할 때는 오늘 배운 지식이 저를 더
현명하게 한다는 만족감을 느끼고요. 그 감정은 오늘의 나만 느낄 수 있는 ‘한정판’이라는 것을 명심한다면, 그 감정들을 긍정적으로 가꾸어 나가
기 위해 매 순간 최선을 다할 수 있지 않을까요?
“오늘을 살자.”라는 말은 또한 나에게 찾아온 기회를 놓치지 않을 수 있게 해줍니다. 오늘은 바쁘니까 내일로 미루는 것들 말이죠. 비단 동아리, 대
회 같은 비교과 활동만을 말하는 것은 아닙니다. 우정, 추억, 운동, 취미 등 바쁜 생활일지라도 여러분이 포기해선 안 되는 여러 가지 것들이 있다
는 것을 알아주었으면 합니다. 모두 행복과 관련된 것이지요. 훗날 여러분이 고등학교 생활을 떠올릴 때, 부디 그 시간이 ‘버팀’의 연속이었다고 느
끼지는 않기를 바랍니다. 치열하고 힘들었지만, 가치 있던 시간으로 기억되기를 바랍니다.
예비 포스테키안 여러분, 여러분에게 오늘은 어떤 날이었나요? 저는 오늘, 이 글을 통해 여러분을 만나는 소중한 경험을 하게 되어 정말 기쁩니다.
자책과 불안으로 힘이 들 땐, 우리 이 글을 통해 다시 만나는 건 어떨까요? 자책과 불안에 소비하는 에너지를 더 나은 삶을 위한 원동력으로 바
꾸어 봅시다. 언젠가 여러분이 포스테키안으로서 봄을 맞이할 그날까지 열심히 응원하겠습니다.
컴퓨터공학과 21학번
김나림 #지식더하기1
김현준
컴퓨터공학과 21학번
수학과 21학번
김도영 #사이언스블랙박스
김주은
컴퓨터공학과 21학번
#알스토리1
남현동 #공대생이 보는 세상 #편집후기
신소재공학과 21학번
전자전기공학과 21학번
문준혁 #Professors of POSTECH
최예니
생명과학과 21학번
#알리미가 만난 사람 #편집후기
하태혁
컴퓨터공학과 21학번
#기획특집2
조윤경
화학과 21학번
전자전기공학과 21학번
황예원 #지식더하기2
22학번
22학번
NO 178
영상 공개 일정
22학번
무은재학부 22학번
알리미 ON AIR : 5월 12일
포커스 : 5월 26일
알턴십 : 6월 23일
포스텍 에세이(POPO) : 7월 28일
기획특집 : 8월 4일
편집후기
<POSTECHIAN>을 만드는 알리미들에게 여러분의 이야기는 큰 힘이 된답니다.
앞으로도 꾸준히 알리미들을 응원해 주세요. 채택된 주인공에게는 소정의 기념품을 보내 드립니다.
임 수 아 서귀포여자고등학교 2학년
화학공학과를 지망하는 학생으로서 이번 호의 기획특집에 수록된 클릭화학에 대한 글을 매우 재미있게 읽
었습니다! 특히 여러 가지 합성법이 발전 순서에 따라 제시되어 있어, 그 흐름을 따라가며 더욱 몰입해서 읽
을 수 있었습니다. 이뿐만 아니라 ‘사이언스 블랙박스’, ‘최신 기술 소개’ 등 다양하고 흥미로운 과학 글은 평
소 과학을 좋아하지만, 과학계의 최근 이슈를 찾는 데 미숙한 저에게 많은 도움이 되었습니다.
전 승 원 광주과학고등학교 3학년
이번 호 ‘마르쿠스’ 코너의 양자 역학에 관한 글을 흥미롭게 읽었습니다. 고전 전자기학부터 현대의 양자 역
학까지 물리사의 발전 흐름을 여러 이론과 그 문제점, 그리고 문제를 해결하는 과정에서 도출된 새로운 이론
을 가독성 있게 다룬 것이 기억에 남습니다. 포스테키안을 접한 이후로 전공과목인 물리 외에 다른 분야의
학문도 쉽고 재미있게 접할 수 있어 좋습니다. 앞으로도 흥미로운 글을 많이 접할 수 있었으면 좋겠습니다!
[ 구독자 참여 이벤트 일정 ]
알리미가 쏜다 포커스 독자서평 &
알리미가 쏜다 : 7월 31일까지 구글 폼(https://goo.gl/6wNRLU)에 정답을 등록해주세요.
마르쿠스 : 7월 18일까지 postech-alimi@postech.ac.kr 로 정답을 보내주세요.
구독자 여러분 안녕하세요, 27기 알리미 남현동입니다.
글을 쓰면서 창문 밖을 바라보니 하나둘 벚꽃이 피면서 캠퍼스가 분홍빛으로 물드는
게, 벌써 봄이 왔나 봅니다. 저는 어느새 알리미로서의 마지막 포스테키안을 쓰고 있
습니다. 2년 전 처음 알리미에 들어와서 고등학생들의 진로 선택에 조금이나마 도움
이 되고자 무작정 타자를 두드리던 새내기가 어느새 정보팀장을 지나 퇴임을 두 달
앞둔 회장단이 되었습니다. 그간 포스테키안을 집필하는 동안 고등학생의 입장에서
무슨 내용, 어떤 문맥으로 썼을 때 가장 효과적으로 전달할 수 있을지를 하루 종일 고민
하던 저의 모습과 제 글을 읽고 도움이 되었다고 말하는 고등학생의 모습들이 스쳐 지
나가면서 오묘한 감정이 드네요. 제가 여러분들에게 글로 남기는 마지막 호에 편집
후기를 남길 수 있어 너무 뿌듯합니다. 앞으로 포스테키안 글에서는 인사드릴 수 없지
만, 나중에, 포스테키안으로서 다시 만날 날을 기다리며 글을 마칩니다. 여러분들과
함께할 수 있어서 행복했습니다!
신소재공학과 21학번 27기 알리미 남현동
2023 포스텍 이공계 진로 설계 안내서 NO 178
안녕하세요, 포스테키안 구독자 여러분! 저는 27기 알리미 최예니입니 다. 지난 몇 년간 저희를 괴롭혔던 코로나19가 점차 수그러들며 조금은 과
거의 일상을 되찾고 있는 것 같아요. 다들 꽃구경은 잘 다녀오셨나요? 고 된 입시 생활을 보내고 계시겠지만, 종종 예쁜 풍경에 시선을 나눠 줄 여 유를 가지고 지내셨으면 좋겠어요. 저는 곧 알리미 퇴임을 앞두고 있는데 요. 2021년 겨울호 편집후기에 수습 알리미로서 여러분께 인사를 드렸었는 데, 어느덧 회장단이 되었습니다. 햇수로 2년이라는 시간이 흐른 만큼 저 도 여러분도 많이 성장했을 것 같아요. 여러분의 성장에 이 포스테키안이
조금이나마 보탬이 되었다면 그것이야말로 알리미로서 정말 큰 영광이 지 않을까 싶습니다. 그럼 언젠가 포스텍에서 다시 여러분을 만나 뵐 수 있기를 희망하며, 짧은 인사말을 마칩니다. 포스테키안을 통해 여러분과
이야기를 나눌 수 있어서 너무나도 감사했습니다. 지금까지 27기 알리미 최예니였습니다. 감사합니다 :)
전국의 포스테키안 독자 여러분, 반갑습니다! 저는 무은재학부 22학번, 28
기 알리미 김유빈입니다. 새해가 된 지 얼마 안 된 것 같은데, 2023년
도 벌써 4개월이나 지나갔네요. 2022년, 수습 알리미였던 저는 여러분들
이 보내주시는 독자 서평이나 포스테키안을 들고 다니는 수험생분들을 보면
서 여러분의 생활에 포스테키안과 알리미가 함께한다는 사실을 많이 실
감했어요. 그래서 글을 쓰는 게 조금 서툴러도 여러분께 더욱 흥미롭고 유익
한 포스테키안을 보여드리기 위해 많이 노력했던 것 같아요. 그런 과정을
통해 저는 어느덧 수습에서 정식 알리미가 되었고, 이제 정식 알리미로
써 여러분께 더 큰 도움을 드릴 수 있도록 노력하려 합니다. 여러분들의 올
해는 어떤가요? 지금은 걱정이나 고민이 많을 수 있지만, 여러분들이 포기
하지 않는 한 늘 앞으로 나아갈 수 있으리라 생각합니다. 저희 알리미는
그런 여러분들을 위해 늘 응원하고 있겠습니다!
무은재학부 22학번 28기 알리미 김유빈
생명과학과 21학번 27기 알리미 최예니
안녕하세요, 무은재학부 22학번 박기현입니다. 어느새 제가 28기 알리미가 된 지
1년이나 지났네요. 정말이지, 시간은 무척 빠르게 흘러가는 것 같아요. 포스텍
이 1지망이었던 한 학생으로서, 학창 시절 포스테키안을 읽으며 캠퍼스를 걷는 제
모습을 상상하곤 했었는데요. 이제는 제가 그 포스테키안을 집필하고, 여러분께 어떤
이야기를 들려주면 좋을지 고민하고 있다는 게 실감이 나질 않습니다. 여러분들의
하루는 그 누구보다 치열하게 흘러가고 있다는 걸 잘 알아요. 하지만 저는 여러분이
조금은 지치고, 힘들지라도 다시 힘차게 일어나서 원하는 목표를 이룰 수 있으리라 굳
게 믿어 의심치 않습니다! 저도 여러분들을 위한 더 좋은 포스테키안을 만들어 나가
고자 열심히 노력하고 있겠습니다. 글을 통해 만나는 것이 아닌, 캠퍼스에서 만날 그
날을 기다리고 있을게요. 항상 응원합니다!
무은재학부 22학번 28기 알리미 박기현