July/August 2024

Page 1


Hydronic's Role in Electrification

Each heat pump installed in Canada means one step closer to reaching decarbonization goals.

n Modern hydronics

n Fire protection in Canada

n Efficient health & safety protocols

n Refrigeration Technical Training Day Supplement

HYDRONICS ISSUE

DEPARTMENTS

PRODUCTS

Hot Seat

Air-source heat pumps: Top choice for Canadian incentives

Incentive programs in Canada tend to favour airsourced heat pumps. Why this might be, I am not 100 per cent. Part of me suspects this could be due to it being the easier option for retrofit

to the release of the Buildings Strategy (CGBS) on Canadian government is focusing on retrofits. This only reinforces behind why air-to-air heat pumps are the chosen technology for incentives.

Within this strategy, there are highlights to transitionawayfromairconditionersandinstead switchtoheatpumps,reducingembodiedcarbon in federal investments in public and creating a new version of the Homes Affordability program

I have heard from people in the industry that one of the concerns about the previous rendition of the Canada Greener Homes grant program was that homeowners were having heat pumps installed, but keeping their furnaces as their primary heating option. The heat pumps were being used as a glorifiedairconditioner,which wasabsolutelynottheintentbehindtheprogram. It appears that the program will now be aimed at aiding low to median income households looking at installing more efficientequipment.

If you take a quick Google search for “incentive programs for heat pumps,” there is a slew of resources available to highlight what rebates are available in any part of the country. A lot of these programs have strict requirements that need to be met for homeowners to receive money back. That doesn’t mean it’s not worth it.

One of the other nice aspects of air-sourced heat pumps is that it makes it easy to work in partnership with a gas-fired furnace. We have written and edited so many articles in the magazine relating back to hybrid systems. It remains an attractive option for homeowners as they have a level of peace of mind when we finally get one of Canada’s cold winters, which in retrospect, we haven’t had what feels like a proper cold winter in southern Ontario for quite a few calendar years.

I would like to see more programs offer incentives for more than just air-sourced heat pumps. The technology in this industry is endless, and the amount of new technology that has been introduced is staggering. This editor thinks it’s time to start offering more incentive options, especially if this country is to meet any of its climate goals. The time is now.

July/August 2024

Volume 34, Number 4 ISSN 1919-0395

Publisher

Mark Vreugdenhil (289) 638-2133 ext.1

Cell: (416) 996-1031

mark@plumbingandhvac.ca

Editor Leah Den Hartogh (289) 638-2133 ext. 2 Cell: (289) 830-1217

leah@plumbingandhvac.ca

National Sales Manager

Chris Luttrell (289) 797-2138

Cell: (365) 662-4112

chris@plumbingandhvac.ca

Assistant Editor Francesco Lo Presti (289) 638-2133 ext. 3

francesco@plumbingandhvac.ca

Contributing Writers

Glenn Mellors, Greg Scrivener, Michael Ridler, Ron Coleman

Design and Production

Samantha Jackson production@plumbingandhvac.ca

All articles and photos by Plumbing & HVAC staff unless noted.

PLUMBING & HVAC Magazine is published seven times annually by Marked Business Media Inc. and is written for individuals who purchase/ specify/approve the selection of plumbing, piping, hot water heating, fire protection, warm air heating, air conditioning, ventilation, refrigeration, controls and related systems and products throughout Canada.

Marked Business Media Inc. 286 King Street W, Unit 203, Oshawa, ON L1J 2J9 Tel: (289) 638-2133

Postmaster: Send all address changes and circulation inquiries to: Plumbing & HVAC Magazine, 286 King Street W, Unit 203, Oshawa, Ontario, Canada L1J 2J9. Canadian Publications Mail Sales Product Agreement No. 43029513. Postage paid at Toronto, ON.

DYNAMIC DUO

Floor Stand Version

FT Series Wall Hung Commercial Boilers:

• 301 MBH and 399 MBH

• Up to 10:1 turndown and 95%+ thermal efficiency

• Durable 316L stainless steel fire-tube heat exchanger

• Cascade up to four boilers

• Venting up to 150 equivalent feet

• Simply converts from wall to floor with optional stand

CHOOSE HIGH EFFICIENCY SPACE HEATING AND HIGH VOLUME DOMESTIC HOT WATER THAT’S READY FOR A VAST ARRAY OF APPLICATIONS. Find your next

Laars-Stor® Indirect Water Heaters:

• 30 - 120 gallon

• Stainless steel, glass-lined single or double-wall

• Easy to install

• Lowest pressure drop and highest hot water output

• Fast recovery, outstanding first-hour ratings

CIPH goes big in Kelowna

The Canadian Institute of Plumbing and Heating’s (CIPH) 92nd annual business conference has come and gone with a record number of new delegates. The event was held from June 16-18 at the Delta Grand Okanagan Resort,Kelowna,B.C.

Over the course of the four-day conference, 319 delegates heard from keynote speakers, participated in excursions, and networked with industry friends.Ofthe319delegates,thiswasthefirstconferencefor72ofthem.

Thisyear ’ stheme TheFutureof Unity markedthenewbeginningas theassociationturnsthepageonitsfirst90years,accordingtoCIPH.

Theconferencestartedwitha specialreceptionforallthenewdelegates, featuringitsannualnetworkinggame.Thisyear,allofthenewdelegateshadto go around the room and find each board member to get their signature. The lucky winner of this year’s event was Plumbing & HVAC magazine’s very own ChrisLuttrell,nationalsalesdirector.

Directlyfollowingthenewdelegates'reception,theannualwelcomedinner was held, with the officialkick-offgivenby JasonMacKenzie,CIPHBritish ColumbiaregionpresidentandmanagingpartneratEquipcoLtd.

ThefirstkeynotepresentationwasgivenbyJasonBrolund,WestKelowna’s firerescuefirechief,whojokedthathe waslikelyto be theonlypersonwho washappytoseethewetandovercastweatherthatKelownawasexperiencing duringthefour-dayconferenceasithelpspushbackthewildfires.

The jam-packed room got to listen to the behind-the-scenes retelling of the

A group of delegates from CIPH’s annual business conference braved the thunderstorm and hail and were able to enjoy an afternoon of ziplining.

disastrous 2023 McDougall Creek wildfire. In the span of one night, Brolund was fighting, alongside his team of fire rescuers, a career's worth of fires. For some of the firefighters on their team, it was the very first fire they were fighting against. In total, five districts were affected by this giant fire and described their fire department as being the largest in the country during this time. “We went to war,” he shared during his presentation.

More than half of the staff were told they had to move their home, including Brolund’s family. Some of the fires were held back using garden hoses at the back door of some of these residents. In total, there were hundreds of homes lost during that wildfire season.

Business Education

Two more business sessions were held during the day. The first was on Potential — How to Connect What’s Already There for Exponential Impact by Pam August, president of Connecting Potential. She highlighted how when “we connect our potential, we increase our impact, influence and ability to make a difference.”

During her presentation, someone’s phone went off, which had the entire crowd turning towards the culprit and giggling. It has been a longstanding policy that if someone’s phone rings during a session, then the individual would have to pay $100 toward the no-phone fee.

Following a brief networking break, the second business session kicked off with a presentation by Pedro Antunes, chief economist at the Conference

Continued on page "9"

n Industry News

Continued from page "7"

Board of Canada, on The Stakes are High for Monetary Policy.

Antunes spoke on where the Canadian economy currently stands and stated that it is frail beneath the surface. Although we are slightly better positioned in terms of growth compared to the United States. While the U.S. isn’t expected to enter into any kind of recession, when the U.S. adopts a protectionist mentality (like it did when Donald Trump was president), it can mean that Canada’s economy is losing out.

In Canada, the number of businesses that are filing for bankruptcy is skyrocketing. Some of this may be a healthy reshuffling of business in Canada, but the good news is that the number has started to come down a bit since 2023.

Next on the agenda, delegates were able to participate in one of three optional activities. First, members were able to participate in the annual CIPH golf tournament at the Bear Golf Course. This year’s tournament was brought down to nine

A record breaking number of new delegates attended the 92nd CIPH annual business conference in Kelowna, B.C.

holes due to time constraints and weather concerns.

The second option was to zipline with views of Kalamalka Lake. The group wasn’t confident the excursion was going to happen as a pretty dramatic

thunderstorm was rolling through the British Columbian interior with lots of hail falling from

Continued on page "11"

Continued from page "9"

the sky. But after waiting out the storm, within 30 minutes, the first person was able to fly through the seven-station course.

The last optional activity featured a private charter boat tour, where delegates were able to see Kelowna and Okanagan Lake. While this tour seemed to see just as much water in the boat as was underneath it (due to the storm rolling through), delegates were still able to enjoy a pint while sitting beneath a protective roof and chatting amongst industry pals.

The night ended with its annual reception and dinner. For this year’s conference, the industry took over King Taps Lakeside restaurant in Kelowna.

Local musician, Jon Bos Band was the evening’s entertainment.

Green industrial revolution

The last keynote speaker of the conference was Bob MacDonald, science journalist and host of CBC Quirks and Quarks. His presentation was titled

The Future is Now and highlighted ways in which Canada can capture renewable energy, such as solar and wind, “A new green industrial revolution is upon us.”

He referred to oil as the elephant in the room, saying that an incredible amount of energy can be produced with such a small quantity. MacDonald suggested that there may be another solution with fossil fuels and getting energy from them rather than from burning them. “It’s the leftovers that are the problem,” shared MacDonald. “Taking the hydrogen out of the ground and leaving the carbon in the ground.” He goes on to explore the opportunities that hydrogen fuel could have in several different markets, including aviation. “You are an important part of the next revolution — a green revolution,” explains MacDonald. “I am optimistic that we can innovate through what is next to come.”

During the annual general meeting, Sean Kelly, vice president and general manager of Emco Corp, was elected as the 77th chair of the board for 2024-2025. Dave Hammond, president and general manager of AO Smith,

now the immediate past chair and treasurer, ceremoniously passed along the gavel.

Brent Cornelissen, OS&B, is now the vice chair, Norm Bajwa, senior vice president of plumbing sales at Bartle & Gibson Co. Ltd, is the first vice chair, and Julie Storey, president at Boshart Industries, is the second vice chair.

Several awards were given out during the conference, including the Canadian Hydronics Council (CHC) Award of Merit, which was given to Gilles Legault, hydronics manager at CB Supplies, and the Golden Leaf Award, which was given to Chemfax. The CHC Award of Merit recognizes individuals who have demonstrated outstanding commitment to the advancement of the hydronics industry in Canada; the Golden Leaf Award, awarded by the CIPH manufacturers’ agents council, is given annually to honour a CIPH member who best supports the efforts of sales agencies.

The 93rd CIPH annual business meeting will be held at the Fairmont Tremblant, Mont Tremblant, Que, from June 29 until July 1, 2025.

ANSWERING THE DEMAND

With changing regulations and decarbonization goals on every priority list, trust Lochinvar’s latest innovation, the LECTRUS™ Commercial Electric Boiler. info@aquatech-canada.com

• One unit does it all –propane, natural gas, indoor, or outdoor

• Save time with easy set up via Bluetooth® using your phone - no Wi-Fi required or need to remove the cover

• Weighs only 58lbs for easier one person installation

• Featuring Smart-Circ™ Intelligent Recirculation™ with a

• Duct and Leak Sensor Kits Available The Best Got Better!

pump in RXP models

• Variable Speed Fan for whisper-quiet operation

• Zero Clearance on all sides and top for flexible installation

• Ergonomic side handles for easy transport

Embracing Decarbonization

Transforming heating and cooling in Canada, one air-to-water heat pump at a time.

Canada's commitment to decarbonization is disrupting how we heat and cool our homes, promising both challenges and incredible opportunities. As we all know, Canada is committed to decarbonization and that means we are seeing a dramatic change in how we heat and cool our homes. Commercially, this new decarbonization goal is going to introduce hurdles and technical challenges that policymakers must address before we face what may be some insurmountable obstacles as we attempt to retrofit large commercial boilers to heat pumps using current technology.

In Canada, there is a national emphasis on adopting environmentally sustainable practices. Our political and industry leaders are and must continue to devise

innovative strategies to address the challenges associated with this transition. It is crucial to resist the defeatist attitude of “we can't do it, so we won't.” Instead, we must leverage existing technologies and continue to innovate to meet our 2050 goals.

Canada is targeting a reduction of greenhouse gas emissions by 45 per cent below 2005 levels by 2030. Decarbonization and electrification, as part of our climate change strategy, will boost economic growth by creating new sustainable careers.

The residential market holds immense potential in decarbonization and electrification, particularly

Continued on page “15”

n Hydronics

Continued from page “13”

with the significant role hydronics can play in offeringheating,cooling,anddomestichotwater in uniquely efficient ways. By delivering green, sustainable heating, cooling, and domestic hot water through new hydronic system installations, retrofits, and hybrid systems, we can effectively address the needs of Canadians, especially in the coldernorthernregions.

The advantages

I am not against boilers in any way. Those who insist that all boilers must be phased out must remember the landscape of our industry, the building environment, and the practical realities we face. For instance, I initially doubted the practicality of using phase change batteries with gas appliances, but I was proven wrong. A recent study in the United States demonstrated that reducing gas consumption by up to 50 per cent can be achieved using thermal storage while keepingboilersinhomes.

Despite the benefitsandreliabilityofboilers, air-to-water heat pumps offer some unique advantages. These systems can provide both heatedandchilledwater,eliminatingtheneedfor separateappliancesforheatingandcooling.Inmy home, I replaced a noisy air conditioner with an air-to-water heat pump, installed with the help of TJL Mechanical and Koolen Electric. I removed the DX coil from my existing plenum andinstalleda new hydronic A coil, which now moves chilled water in the summer and heated water in the winter.

For domestic hot water, I utilize two new technologies:anindirecttankandaself-contained unit that converts my home’s hydronic heating supplytoprovideon-demanddomestichotwater, both specifically designed for heat pumps and low temperatures. My air-to-water heat pump is connected to a buffertankfortwoimportant reasons: to ensure continuous heating or cooling evenwhentheunitismakingdomestichotwater, andtoexperimentwithloadshifting,allowingme to take advantage of lower overnight electricity ratestoheatandcoolmyhome.

Reducing operating costs

At this point, you all are aware that various technologies allow you to electrify your home, providing heating, cooling, and domestic hot

has the potential to play a vital role in Canada's push towards decarbonization.

"Those who insist that all boilers must be phased out must remember the landscape of our industry, the building environment, and the practical realities we face."

water. For instance, combining an air-to-air heat pump with a heat pump water heater can achieve these goals at a cost comparable to a single retrofitted air-to-water heat pump and in some cases, the air-to-air solution costs less money. For me, the decision between air-toair or air-to-water is not about technology and cost, it is about the people.

In the case of my home, the air-to-water was the right solution for a variety of reasons. Not only am I doing heating, cooling and DHW, but I am also using a buffer tank as a thermal battery that enables the equipment to operate during off-peak hours, taking advantage of the coefficient of performance (COP) of air-towater heat pumps and timing it with off-peak rates. Typically, air-to-water heat pumps have a COP ranging from three to five. To simplify, imagine buying one Timbit at Tim Hortons and receiving four in your bag. That’s what a COP of four represents.

While air-to-air heat pumps also have high

Continued from page “17”

Hydronics

Our NEW wall-hung & floor standing boiler, the perfect fit for commercial needs. Solutions offered as a boiler or a volume water heater.

INTRODUCING

n Hydronics

Continued from page “15”

COPs, the key advantage of air-to-water heat pumps lies in their ability to store thermal energy for later use. With a water-based or other thermal battery, you can charge the battery during off-peak hours and use the stored energy when needed.

As an example, if you live in an area of Ontario where the off-peak electricity rate is 8.2 cents per kWh and the on-peak rate is 17 cents per kWh, you can save up to 50 per cent by running your air-to-water heat pump during off-peak hours and storing the energy for later use. This not only takes advantage of lower overnight rates but also leverages the high efficiency of the heat pump’s COP.

Environmental impact

Another interesting aspect to consider is the impact of off-peak electrical usage on carbon reduction. It was not until recently that I realized the significant potential after an interesting discussion about our grid and the sources of fuel for the grid with a friend at the utility. When we use electricity during offpeak hours, we primarily tap into cleaner energy sources, which not only results in energy savings but also promotes infrastructure stabilization and carbon reduction.

Ontario's electrical grid is composed of various energy sources, with a significant portion coming from low-carbon options. According to the Independent Electricity System Operator, in 2020, Ontario's energy mix included approximately 60 per cent nuclear, 24 per cent hydroelectric, seven per cent natural gas, seven per cent wind, two per cent solar, and less than one per cent bioenergy.

During peak hours, the grid often supplements with natural gas plants, which are more carbon intensive. During off-peak hours, the demand is lower, and the grid can rely more on stable, lowcarbon sources such as nuclear and hydroelectric power. This shift not only reduces greenhouse gas emissions but also alleviates the strain on the electrical infrastructure.

By leveraging off-peak electricity for air-towater heat pumps, homeowners can significantly contribute to carbon reduction. During off-peak periods, the carbon intensity of Ontario's grid can be as low as 20 grams of CO2 per kWh, compared to over 200 grams during peak periods when

A phase change battery array, used on a gas heat pump, helped reduce energy costs by 39 per cent and provided carbon savings of 18 per cent.

Tyler Leighton, left, owner of TJL Mechanical, and Michael Ridler install the air-to-water heat pump, which was used in Ridler’s home.

natural gas is more heavily utilized.

The future is green

Some will rightly note that water-based storage as a thermal storage device has limitations. Waterbased storage captures sensible energy but not latent energy, requiring large vessels to store enough energy. However, recent advancements in phase change materials are set to revolutionize

our industry. PCM batteries can store both latent and sensible energy, providing up to four times the energy in a smaller footprint.

Another exciting development we're witnessing is the evolution of combination air-to-air equipment. I'm currently involved in a pilot project with a builder in London, Ont, where we're using an air-to-air heat pump integrated with a PCM battery. This new air-to-air heat pump, like a ground-source heat pump, features a secondary coil capable of producing hot water. In this test case, the air-to-air heat pump with a PCM battery is connected to the domestic heat exchanger in the unit, allowing us to produce up to 80 gallons of domestic hot water during off-peak hours. We can heat the water for less than gas and we also potentially have a positive carbon contribution by doing so.

Innovations like this make me cautious about ruling out gas, hydrogen, or any other existing technology entirely. We have no idea what groundbreaking technologies are just around the corner and how they might impact the industry.

Michael Ridler is the general manager at Eden Energy Equipment. He started out working for a Ont-based HVAC company and now focuses on providing field support and technical training to contractors, engineers, and builders on heat pumps, boilers, and all things hydronics. He can be reached at edenenergymike@gmail.com.

STRIKING PERFORMANCE

INDUSTRY LEADING FLEXIBILITY FOR EASIER & FASTER INSTALLATION

With relaxed memory you’ll experience less spring back than PEX for easier and faster installations

100% RECYCLABLE

VIPERT is 100% recyclable, requires less energy to produce compared to PEX tubing, contributing to lowest GHG emissions footprint

CRIMP, EXPAND, OR PUSH

VIPERT Potable and Radiant is flexible for your preferred tubing methods, by crimping, expanding or with push style fittings, VIPERT does it all!

NO NONSENSE 25-YEAR WARRANTY

We stand behind our VIPERT with a transparent 25-year warranty regardless of fitting systems installed

STRENGTH, DURABILITY & BUILT FOR EXTREME TEMPERATURES

Exceeds all standards with exceptional hydrostatic strength at high temperatures and burst pressures, maintains excellent flexibility in both cold and hot environments

EASY LINE IDENTIFICATION BY COLOUR

White, red, and blue choices for Potable and VIPERT green for Radiant, available tubing sizes: 3/8” through 2”

Potable: Radiant:

n Hydronics Products

Coil kit

Caleffi, Milwaukee, Wisconsin, unveils its 149 series Flowmatic Express pre-assembled terminal unit coil kit to customers. The kit contains a 145 series Flowmatic pressure independent control valve, which combines an automatic differential pressure regulator and a control valve. With a signal input, the Flowmatic automatically adjusts the flow rate and keeps it constant under changing circuit differential pressure conditions. The kit provides flow control, balancing, bypass, filtering, isolation and flushing functionality.

Caleffi u www.caleffi.com

BTU metering panel

HeatLink, Calgary, Alta, debuts its BTU metering panel for water and energy conservation in multi-family residential buildings. The metering panels allow developers to install hot and cold water (DHW and DCW) meters and thermal (BTU) meters for individual building units, allowing for each unit to be charged and pay according to its actual water and energy usage. The panels feature a 2-9 loop stainless steel manifold, a 1.5 GPM circuit flow rate, and a pre-wired 24V transformer. HeatLink metering panels are available in several configurations to suit various heat and domestic water metering needs.

HeatLink u www.heatlink.com

Condensing boiler

Dezincification resistant strainer

Nibco, Elkhart, Indiana, announces its new lead-free, dezincification-resistant (DZR) strainers for its existing Webstone Y-strainer products. The DZR strainers are available with new G-thread bodies compatible with various fittings and accessories. Options include a forged DZR brass Y-strainer and the patented Pro-Pal ball drain strainer; an integrated ball valve, capped hose drain, and a Y-strainer that isolates, drains, and strains any portion of a piped system. Also available are Y-strainers with sweat connections.

Nibco u www.nibco.com

Water-source heat pump

Bosch Home Comfort, Watertown, Massachusetts, launches its CL water source heat pumps. The CL series is equipped with a swinging electrical box, a slide-out blower on the vertical units, and designated compartments for high and low-voltage components. The CL series heat pump features a GWP refrigerant in accordance with the forthcoming AIM Act, effective January 2025. The heat pump features water and air coil freeze protection, brownout protection, copper or cupro-nickel water coil, standard filter drier, and connection between refrigerant gauges and temperature probes. The CL series is available in vertical or horizontal units with sizes ranging from half- to six-tons.

Bosch Home Comfort u www.boschheatingandcooling.com

Floor mounted, fire tube boiler

Aerco, Blauvelt, New York, unveils its Benchmark condensing boiler to market, which delivers up to eight per cent additional efficiency through its patented AERtrim O2 trim technology. The condensing boiler enables precise combustion by self-correcting problems caused by external variables, such as fluctuations in combustion O2 levels, air temperature, occupancy/loads and gas pressure. The boiler features a 439 stainless steel fire tube heat exchanger, a 20-to-one turndown ratio, and venting versatility with AL29-4C or polypropylene. Sizes available between 750 to 6000 MBH. Aerco u www.aerco.com

NTI Boilers, Saint John, N.B., announces the introduction of its all-new NTI Compass, a condensing floor mount, fire tube boiler that includes a new user interface for set up and troubleshooting. The NTI Compass boiler features independently reversible plumbing connections and a built-in ECM pump. With its field reversible left or right-hand piping and built in primary/ secondary, it makes retrofitting to existing piping systems easier. The new user interface features a set-up wizard for programming, navigation of menus, labelling of specific menus to find parameters, readable display, password protection, and management of two zones. Language instead of codes will allow installers and technicians to avoid using a manual to decipher what the codes mean.

NTI Boilers u www.ntiboilers.com

Refrigeration Technical Training Day Supplement

Canada is entering a transition period within the refrigeration industry as the country looks towards lower global warming potential options

INSIDE

n Refrigeration transition update

n A2L compliance in Canada

n VRF case study

It’s like a force field against

Thanks to ProCoreTM high corrosion-resistant technology, you can have maximum confidence in our copper tubing

Tired of replacing leaky coils? ProCoreTM copper tubing provides the solution. Even in the most severe environments, tubing with ProCoreTM technology maintains refrigeration system integrity with no reduction in capacity. Install with confidence, and bring longer-lasting comfort to your customers.

• Dramatically inhibits pitting & corrosion

• Maximizes reliability of the heat transfer system

• Enabled a drastic reduction in replacement coils over the last 5 years Stronger and more resilient than standard & oxygen-free copper

Time’s are changing

It’s kind of fun to look back at the years that I have been working at Plumbing & HVAC magazine. I started when I was freshly 22 years old, green-eyed, bushy-tailed and ready to learn about all things plumbing, refrigeration, and HVAC-related. Fast forward now, six years later (yes, I am still young, but I can confidently say that I am a little less scared of this industry), and I can honestly say that I could never have predicted wheretheindustrycurrentlysits.

Back then, I wouldn’t have even been able to tell you what the acronym HVAC stood for let alone what types of products were on the market and what was popular. While I will never be an expert in this field myself (that’s why I interview and talk to the experts), I have picked up a thing or two alongtheway.

When I was the assistant editor of the magazine, back when I was that green-eyed, bushy-tailed and fresh out of university youngling, I was terrified to write anything about refrigeration. Luckily, we have one of the best refrigeration experts in Canada writing for our magazine every issue (you should check out his article on Refrigeration Piping Design on page 32), so I didn’t have to touchthatsectorofthisindustry

Fast forward a few years, and I was leading the editorial department of this magazine, that I decided that I was going to challenge myself a bit and learn a thing or two about the refrigeration

sector. I wrote my very first article on natural refrigerants and synthetics. I sat down with some pretty intelligent people who explained the history of refrigeration, what global warming potential meant, and the important global agreements (I’m talking Montreal Protocol and Kigali Amendment) that have been made.

Refrigeration had changed from being

something that I wasn’t so scared to utter anymore (think of something closely related to Voldemort) to something that is absolutely fascinating. The complexities of this industry haven’t been lost on me but understanding the basics has become one of the most useful skills I have picked up in my role.

I am so glad that years ago I took that challenge to learn something about the refrigeration sector as it has been invaluable. The change that is occurring nowadays is on a constant rise. Whether it is relating to specific refrigerants being phased out or down, the readopting of old practices, or the introduction of new products (I’m talking about A2Ls refrigerants), it is ever changing.

The popularization of heat pumps also makes this conversation ever so more important. I don’t see it slowing down either.

Canada’s refrigerant transition is coming at full speed

View the full presentation on “Climate Change and the Refrigerant Transition” here:

Climate Change is on the minds of Canadians. We seeiteverydayinthenewsandtheHVAC/Rsector hasnotescapedtheimpact.Astheheatingandcoolingofbuildingsaccountforjustunder20percentof thecarbonemissionsinCanada,wewillbeimpacted bycarbonreductionplansbeingannouncedorcontemplatedfederally,provinciallyandmunicipally.

The Heating, Refrigeration, and Air Conditioning Institute of Canada (HRAI) has conducted work with all levels of government to lower carbon dioxide (CO2) levels in buildings. Currently, the most active file is the refrigerant transition. We are committed to helping ensure a smooth conversion to lower global warming potential (GWP) refrigerants in the com-ing months.

The shift towards using low-GWP products is a global trend and means moving from refrigerants that are classified by ASHRAE as A1 (non-toxic, non-flammable) to lower GWP alternatives that primarily fall into the A2L category (non-toxic, but slightly flammable). This is an important distinction as it means shifting an entire industry towards mate-rials that are not currently recognized by Canadian regulations.

Over the past year, HRAI has been working with Environment and Climate Change Canada (ECCC) and provincial regulators to ensure that regula-tions, codes and standards are updated and aligned as much as possible with regulations in the United

The CSA B52 committee released the latest version at the end of 2023, with each province anticipated to adopt the building codes by October 2024

States to ensure we can handle, transport, service, and install products charged with the new refrigerants.

The pace of change in Canada is primarily being driven by recent announcements in the United States. In December, the Environment Protection Agency (EPA) ruled that no products can be manufactured in the U.S. containing high GWP refrigerants after Jan. 1, 2025. Most of the air conditioners, heat pumps, and refrigerant equipment currently sold in Canada come from U.S. based OEMs.

Gathering comments

Canada is meeting our HFC phase-down requirements. However, ECCC is investigating changes to the ozone-depleting substances and halocarbon alternatives regulations in Canada in response to the

HFC Phasedown & the Refrigerant Transition

� Ozone-depleting Substances and Halocarbon Alternatives Regulations (ODSHAR) implement Canada’s phasedown of HFCs

� Ensures that Canada meets its international obligations under the Montreal Protocol, including the Kigali Amendment

recent changes in the United States.

HRAI has asked for member input. While organizations may choose to respond directly to the request for submission, HRAI is urging members to send any thoughts in writing to them as well. Gathering your comments, empowers us to respond on behalf of the industry. Please specify what you would like to see changed or added and why. Statements such as “aligning with the EPA guidelines” are too vague. This initiative seeks to gather insights on the current state of HFC alternatives' usage and adoption in Canada. Specifying which sections/charts/attachments, from the EPA you would like to see duplicated will allow us to build stronger arguments for a greater alignment between Canada and the U.S.

In addition, HRAI reports progress across the provinces in adopting CSA B52 Chapter 13. The CSA B52 committee released the latest version at the end of 2023, allowing us to begin meeting with provincial authorities to encourage early adoption of B52 to ensure the installation of lower GWP products can proceed in each province. See Plumbing & HVAC magazine’s article, “Updates to CSA B52 present clear direction on working with A2Ls,” for more details regarding CSA B52.

Generally, the provinces have agreed to an early adoption. Most provinces are expected to adopt the building codes by October 2024. The next 90 days will set the stage for the balance of the year.

Several OEMs have started converting their manufacturing sites to products with lower GWP refrigerants with an expectation that the Canadian marketplace will be served by these products by the end of the year. There are currently no limits to shipping air conditioners or heat pumps charged with legacy A1 refrigerants but they are practically being phased out by the OEMs to comply with regulations in the United States. This file will remain very active over the coming months. This move to more flammable refrigerants will require technicians to be retrained.

Canada’s refrigerant phase-downs and phase-outs are due to the signing of the Montreal Protocol and the Kigali Amendment.

Sandy MacLeod, is the president and CEO at the Heating, Refrigeration, and Air Conditioning Institute of Canada (HRAI). He joined the association in 2018 and has been working with various levels of government on the refrigeration transition in Canada. He can be reached at smacleod@hrai.ca.

A2L COMPLIANCE

AND WHAT IT MEANS FOR CANADA

The

reality is that R-454B and R-32 will be valuable alternatives as Canada looks to introduce refrigerants with lower GWP.

Information taken from Tim McRae’s, account technical manager of thermal and specialized solutions at Chemours Canada, presentation on “A Deep Dive into Refrigerant Innovations, A2L Compliance and What it Means for Canada,” on June 26. Watch here:

Changes are coming to the refrigeration industry, specifically concerning the adoption of lower global warming potential (GWP) refrigerants. Canada and the U.S. have accelerated the adoption of A2L refrigerants, and new standards and regulations are being released to further help the adoption.

In a non-logical way and defying physics, whatever happens in the U.S. will trickle North toward Canada about refrigeration regulations. Before we get into specific regulations, it’s important to distinguish between Canadian and American regulations. In Canada, we refer to them as the Canadian Ozone Depleting Substances Regulations (ODSHAR). In the U.S., it is called the American Innovation Manufacturing Act (AIM Act).

Canada has already started on this path towards low GWP refrigerants, thanks to the Montreal Protocol, which introduced the phaseouts of CFC and HCFCs like R-22, and the Kigali Amendment, which saw the phasedown of HFCs such as R-410A. This started in 2016, and the U.S. had similar regulations, but due to various reasons, they were abandoned until 2023.

During that period, new innovations and refrigerants came along and were approved, which meant the U.S. regulations leapfrogged Canada’s.

Canadian regulations

ODSHAR contains two parts — the phasedown of HCFCs and the specific prohibitions for new equipment. Environment and Climate Change Canada (ECCC) has begun reviewing the process of these regulations in an attempt to prevent the same fate as the U.S. regulations mentioned above.

The Kigali Amendment introduced regulations concerning the cap and reduction of HCFCs. This is determined by multiplying the GWP refrigerant by how many kilograms are imported. From there, a cap is determined, followed by a reduction.

Canada is already at the 60 per cent reduction, thanks largely to the

automotive industry moving to the R-1234YF refrigerant (GWP of four) and foams moving to lower GWP solutions (less than 150 GWP). The heating and cooling sector has also transitioned to lower GWP non-flammable A1 refrigerants like R-448 and R-449.

Canada has been relatively successful in the HFC consumption phasedown, as seen in Graph 1.

Looking ahead, Canada will be well above the cap in 2029. As time moves on, there needs to be an introduction of even lower GWP solutions, particularly with new equipment.

Graph 1 The green line demonstrates the cap, and the blue lines demonstrate how much has been consumed versus the quota.

Graph 2 This graph shows that Canada cannot use GWPs greater than 2,200 for new equipment in centralized refrigeration.

Southern counterpart

It is worth noting that the new equipment regulations in the U.S. have values similar to those of Canada. As stated in their regulations, the U.S. can no longer manufacture equipment with a GWP greater than 700 in the air conditioning sector. America already has equipment coming down the pipeline to meet these demands — rooftop units, ducted split units, and mini-split units will come to market in 2028, 2026, and 2026, respectively.

However, since there are sell-throughs allowed for existing equipment, manufacturers have begun converting to low GWP refrigerants to replace existing refrigerants, primarily R-410A. This includes manufacturers in Canada, the U.S., and around the world. The U.S. has GWP limits on systems such as commercial condensing units both over and under 200 pounds and chillers. For over 200, it is a GWP of 150, for under 200 it is 300, and for chillers its 700.

Understanding A2Ls

Turning our heads towards A2Ls, the first thing of importance is to understand that this refrigerant class is only to be used in new equipment, not retrofits. Currently, you cannot retrofit a R-410A system to a R-32, R-454A or R-454B class.

The next thing to remember is that the various governing bodies will classify A2Ls differently, which you can see in Graph 3.

Graph 3 Governing bodies within the industry have chosen to classify A2Ls differently.

“The first thing of importance is to understand that this refrigerant class is only to be used in new equipment, not retrofits. You cannot retrofit a R-410A system to a R-32 or R-454A and R-454B class.”

Cylinders will also be classified differently. For example, an A2L cylinder will have a red top, and small A2L cylinders will have left-handed threads. When it comes to ASHRAE Standard 34, it is important to remember the difference between the flammability classifications between A2L and A3 propane. The difference is between the lower flammable limit of how much concentration would form a combustible mixture and the energy or heat of combustion. A test called ASTM E68 is used to determine flammability.

With the U.S. and Canada having specific GWP limits for upcoming products and there will need to be new solutions, as shown in Figure A.

Firstly, in that chart, Opteon is the brand name Chemours adopted for lower GWP refrigerants.

From that chart, it is clear that going forward, in the transition to lower GWPs in new equipment, R-454A, R-454B, and R-454C will be common solutions in the air conditioning and refrigeration sectors.

It is worth noting that condensing unit manufacturers are considering A2L because of the refrigeration capacities and the design similarities to R-404A systems.

For less than 700 GWP, R-454B will be the primary replacement for R-410A in air conditioning equipment because it has properties similar to R-410A.

For less than 150 GWP, R-454C will be an option. This transition is common because R-454C has a similar capacity to R-22.

Within the industry, 12 original equipment manufacturers (OEMs), including Carrier, York, and Trane, publicly announced the transition to R-454B, while five, including Fujitsu and Daikin, announced the transition to R-32. Only time will tell which one will become the more common choice, but the reality is that both R-454B and R-32 will be valuable alternatives.

Figure A Each sector will have different refrigeration transition options.

Our HVAC products have been designed on a foundation of excellence, with a selection of advanced Gas Furnaces, Central Air Conditioners, Central Heat Pumps, Air Handlers, and Thermostats. Each one of our HVAC products incorporates the latest cutting-edge and energy-efficient technologies to help your customers enjoy each day in total comfort while optimizing their energy use.

Like everything Continental designs and builds, each unit is exceptionally easy to use and install, and designed to last a lifetime.

n Refrigeration Technical Training Day Supplement

Motorized valve control

Danfoss, Oakville, Ont, expands its digital portfolio for industrial refrigeration by introducing the new ICAD B for motorized valve control and connectivity. The ICAD B enables professionals to see industrial refrigeration in a new light with real-time monitoring. The new actuator eases workflows, while the wireless interface offers remote control and adjustment, eliminating the need to climb the valve. The ICAD B is available in a series of four variants: RS485 with display, ethernet with display, RS485 without display, and ethernet without display.

Danfoss u www.danfoss.com

Hot gas drain pan

SGS Refrigeration, Mississauga, Ont, introduces its improved hot gas drain pan designed for industrial evaporators. The hot gas drain pan brings a fresh take on defrost and is assembled using laser welding technology. This creates a hermetic seal and provides improved heat transfer efficiency and other benefits, including enhanced durability and better corrosion resistance. The new SGS hot gas drain pan is suitable for applications requiring pressure ratings of up to 120 bar, encompassing all environmentally friendly, sustainable and natural refrigerants such as NH3 and CO2 SGS u www.spxcooling.com/sgs-refrigeration

Valve core removal tools

High profile evaporators

KeepRite Refrigeration, Brantford, Ont, announces the arrival of its newly engineered high-profile evaporators. The KHP utilizes optimized tube spacing and advanced microchannel technology to maximize heat transfer efficiency. The new evaporator has single-fan and multi-fan configurations, improved energy saving defrost control, a honeycomb fan guard and a new fan blade design. The KHP is suited for warehouse/industrial cooler and freezer applications. AWEF-approved models are available. Keeprite u www.k-rp.com

Oil-free centrifugal compressor

Copeland, St. Louis, Missouri, releases its new oil-free centrifugal compressor to market, delivering high-lift performance, reliability, and efficiency enhancements in demanding chiller applications. The compressor features aero-lift bearing technology, enabling the compressor shaft to self-levitate and operate independently, without friction or reliance on electromagnetics, complex controls, or proximity sensors. The new oil-free centrifugal compressor platform is being developed for the 50- to 200-ton capacity range and is optimized for use with the next generation of lower-GWP A2L and A1 refrigerants such as R-1234ze, R-515B and R-513A. Copeland u www.copeland.com

Fieldpiece Instruments, Orange, California, debuts its new line of HVAC/R valve core removal tools (VCRTs). Designed to improve system charging, recovery and evacuation tasks, the VCRTs remove the valve core from service valves in air conditioning, heat pump, and refrigeration systems to replace defective cores and provide an unobstructed flow of refrigerant for faster servicing. The VCRTs lineup features an integrated sight glass, an interior gasket, and a comfort spinner. All VCRT models are equipped with a 1/4-inch service port fitting that can be swapped in the field with an optional 5/16-inch service port fitting for mini-split systems.

Fieldpiece Instruments u www.fieldpiece.com

Digital manifold gauge

Navac, Lyndhurst, New Jersey, announces the availability of its newest digital manifold gauge, the NX1 Nexus. The new digital manifold gauge combines advanced smart device technology with Bluetooth and wireless connectivity to enhance the diagnostics process for HVAC professionals. The NX1 Nexus features four operation modes: manifold, leak test, evacuation, and decay test. The gauge is A2L ready and compatible with 72 types of refrigerants.

Navac u www.navacglobal.com

PIPE DESIGN IN REFRIGERATION

One of the most important elements in understanding refrigeration is to know how much refrigerant needs to be moved within the system.

Information taken from Greg Scrivener’s, lead refrigeration engineer at Laporte Consultants, presentation on “Refrigeration Pipe Sizing and Design,” on June 26. Watch here:

"It would take much more than just one hour to be able to properly go over everything related to refrigerant piping design, sizing, material, and a little bit of insulation," said Greg Scrivener, lead refrigeration engineer at Laporte Consultants. The topic itself is quite broad.

One of the important elements to understand in a refrigerant system is to know how much refrigerant actually needs to be moved. This is where the following equation comes into play:

There are a lot of complexities behind this calculation, along with assumptions and variables that will tell you, for example, what your refrigerant enthalpy out of your evaporator is. This is all very dependent on the system’s parameters. These are all properties of the refrigerant and the refrigerant cycle. Then, it is about how much mass will be moved through the refrigerant compressor and piping system. This will tell how much net refrigerating effect the system will have. The net refrigerating effect is the BTUs per hour of the refrigeration system.

This is the fundamental equation to use when calculating the net refrigerating effect. The reason to go through these equations is because there are certain variables that are going to affect the pipe sizing. For example, when you take mass flow, you break it down into its constituent parts. We end up with the density of the refrigerant multiplied by the area of the pipe, multiplied by the velocity of the refrigerant. The area and the velocity are parameters that are related to each other and related to the size of the piping, but the density is not. The density is related to the properties of the refrigerant — what temperature it is, what pressure it is, etc.

Setting up the picture

For the sake of the discussion, there will be a sample unit used and will be referenced again and again. The sample unit is a condensing unit sitting outside, air-cooled, and with a condensing temperature of 105 F, with 10 F of sub-

"This is why piping sizing is different for every refrigerant and why some refrigerants can’t just change from one to another.”

cooling in the condenser. What that means is the refrigerant is condensing, turning back from a vapour to a liquid at 105 F and then getting a little bit colder than that, coming out of the condenser at 95 F. We have an evaporator that’s inside a building that is evaporating at 20 F with a superheat of about 5 F. It’s coming out of the evaporating coil at 25 F, and then it’s warming up a little bit more going through the suction line, going back to the compressor, and it’s warming up to about 40 F before it goes into the compressor.

So, the first thing, going back to the previous mass flow equations, was the enthalpy-out and the enthalpy-in. This is where the energy is being absorbed.

In terms of types of refrigerants that are commonplace in the industry, R-448A is still very common, alongside R-507, which is currently being phased out. Other refrigerants that were highlighted include R-134A, a lowerdensity refrigerant, and R-32, one of the new A2L flammable refrigerants, alongside R-454B and R-410A, which are used for air conditioning. Isobutane is very common in refrigerators and small-region coolers.

Table 2: A lot of refrigerant densities are similar, with a few differences among them.

With these refrigerants, what is being shown is the net refrigerating effect per pound. This is why the hout minus the hin for this specific cycle that is being looked at. You can notice a few things. The first is that a lot of the refrigerants are similar in that 40 to 70 range. There’s a couple that are a little bit higher, and then there’s ammonia, which is extraordinarily high compared to the rest of the refrigerants. That’s a unique feature of ammonia, that it doesn’t have to move very much mass around to create refrigeration compared to some of the other refrigerants.

From this listing, R-507A is the refrigerant that’d have to move the most around in order to get the same amount of refrigeration.

Refrigerant density

The next part of the comparison is the density. Taking a look at Table 2, a lot of the densities of refrigerants are fairly similar, with some differences among

them. This is, of course, except ammonia, which is very, very low and that means that you have to move quite a bit of volume to get refrigeration. It’s very interesting to note that even though you have to move less mass, you still have to move more volume. This results in ammonia, in the end, being similar as far as BTUs out of cubic feet.

The reason why this matters is due to the fact that how many cubic feet that is being moved is representative of the compressor displacement. The larger this volume is, the physically larger the compressor displacement is going to need to be to get that much refrigeration.

In this case, R-32 ends up requiring fewer square cubic feet, so more BTUs per cubic feet. These are refrigerant properties, which in turn, affect how much mass and then eventually, the pipe size requirements. This is why piping sizing is different for every refrigerant and why some refrigerants can’t just change from one to another. In addition, this is why sometimes it doesn’t work to change from R-22 to R-134A.

Understanding pressure drop

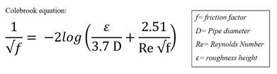
There are a lot of factors that go into influencing the amount of pressure drop that happens in piping. The Darcy-Weisbach equation, shown below, shows which factors influence press drop and it has this friction factor in it, which is solved by the Colebrook equation, also shown below.

Within the Colebrook equation, you’ll see the pipe diameter, and the Reynolds number, which is affected by pipe diameter. Within the DarcyWeisbach equation, you’ll see the length of the pipe, the velocity of the refrigerant and the diameter of the pipe again. These are the variables that affect how much pressure drop that is happening in the pipe.

When it comes to the relationship between pressure and temperature, it’s important to recognize that temperatures and pressures are different. If you have R134A at 24 F with a 21 PSI, and I drop down to 22 F, I’ve gone down one PSI. These conditions would be one PSI saturated suction pressure change for 2 F of saturated section temperature change.

The reason this matters is because of energy efficiency. There is a rule of thumb that for every 1 F drop in saturated suction temperature, you decrease the energy efficiency by two per cent. This is an approximate drop in efficiency as each refrigerant has a slightly different drop.

ROOFTOP VRF SYSTEM RETROFIT

Cementing its goal of reaching net zero by 2031, Mitsubishi Electric retrofitted its head office with a brand new VRF system.

Information taken from Gary Chang’s, lead engineer of the HVAC Division at Mitsubishi Electric, presentation on “Case Study of Mitsubishi Electric's Head Office Retrofit” on June 26. Watch here:

Canada has cemented its position on electrification following its initial signing of the Montreal Protocol and then agreeing with the Kigali Amendment. Consequently, Canada has set targets to reach net zero by 2050.

This means that the residential, commercial, industrial, and institutional sectors will need to transition to energy-efficient technologies and solutions. This transition has started with the implementation of technologies, such as heat pumps. The next step for Canada is the transition to lower GWP refrigerants for certain types of air conditioning and refrigeration systems in Canada. For more information on the transition towards A2L refrigerants, visit Tim McRae’s article on page 26.

Since then, companies have accepted the challenge of adopting new refrigerants, embarking on new product lines and embracing them in their facilities. One such example is the retrofit of Mitsubishi Electric’s head office, which saw a variable refrigerant flow (VRF) heat recovery system replace its rooftop unit.

Net zero sustainable vision

Mitsubishi Electric has committed to following its company-wide net zero transition. The manufacturer has a sustainability vision for 2050, which consists of its subsidiaries being net zero by 2031. To achieve this goal, the company followed the greenhouse gas protocol, which provides organizations with a full picture of its environmental impact.

Scope one focuses on emissions created directly by the company. Scope two focuses on emissions indirectly created through purchased energy. Scope three focuses on the entire value chain.

Figure 1: The structural layout of the head office presented issues when determining the best solution during the retrofit project.

Currently, Mitsubishi Electric is on scopes one and two. This was a driving force behind retrofitting its head office, which was constructed in 1991 in Markham, Ont, and consists of two floors and occupies 20,000 sq. ft.

The equipment for the building has been the same since the building’s construction. The equipment includes a 90-ton R-22 rooftop air handling unit with a VAV box for cooling, and baseboard and duct heaters for heating the first floor.

As stated in the testing and balancing report conducted in September 2019, the outside air damper is fixed at 10 per cent open and is mixed with return air, conditioned, and ducted to fan-powered boxes throughout the main floor. The central rooftop unit serves the whole first floor of the office, resulting in the fan-powered boxes having electric reheat coils to serve the perimeter spaces with heat while cooling the interior spaces.

The system had a partial retrofit done in the past, which saw the addition of a geo-

exchange water source VRF system that was paired with a small ERV and ducted to the cassette fan coils in each of the spaces for conditioning and distribution.

There are also three dedicated cooling-only split systems to serve the computer server room in the central-western part of the office.

The rooftop unit was a Trane unit with two compressors, each with two stages. However, the heating coil inside the unit was never used, so the system relied on an electric duct heater and baseboard heater. Over the years, the rooftop unit had various issues, including compressor replacements and leaks.

Challenges

No retrofit project is ever straightforward. There were some challenges that needed to be solved. The first was that the existing VAV, ductwork, and baseboard heaters had to stay. The second was ensuring there was comfort throughout the entire first floor with various needs for large offices, meeting rooms, small offices, open spaces, and common areas. Lastly, the office’s innovation center would utilize the existing geothermal loop.

With this in mind, there were three potential solutions: replace both the cooling coil and R-22 compressors inside the existing RTU with a condenser and LEV kit, replace the entire RTU with a new packaged system with ERV and heat pump, or install a VRF system. The option that was chosen was installing a VRF with an ERV, with the VRF utilizing R-410A.

Compared to the previous system with electric heaters, the COP of the system was one, while the new VRF system has a COP of up to four.

Getting the job done

This retrofit project started in July 2022 and finished later that year. The full equipment list for this project included nine outdoor units, nine branch controller boxes, 44 indoor units (ducted and cassette), eight lossnay ERVs, two cooling-only P series, eight humidifiers, and a web-based central control system.

The benefits of choosing a VRF with an ERV system included reducing the cooling capacity from 90-tons to 60-tons, the ERV was now providing zone-to-zone ventilation while the VRF was providing zone-to-zone temperature control. With the office setup, the VRF system would be placed closer to the zone it serves. This decision reduced the amount of refrigerant, piping, and ductwork needed.

This setup also helped change the configuration of the data center. Before, the office’s entire server was dedicated to the 90-ton unit. Now, the 60-ton unit requires just two racks. Additionally, with the new setup, the office can do precision cooling for just the

2: The rooftop at Mitsubishi Electric's head office now features new condensers.

3: The annual electricity usage at the head office saw a large decrease after installing the VRF system.

racks inside the room, reducing heat loss.

Energy analyses were conducted to determine which equipment would be used, alongside heat loss and gain calculations. Since the project required new condensers on the roof, a structural analysis was required to ensure all components of the system could safely be installed.

In 2023, the building was saving close to 50 per cent of electricity by switching to the VRF system. Additionally, the office saw its electricity usage reduced to 543,298 kWh, compared to 1,141,902 kWh in 2021, which resulted in savings of $53,000 in electricity usage.

Figure
Figure

+ FlashShield+ minimizes risk in comparison to any yellow CSST with the elimination of bonding and incidental contact with metallic building systems.

+ No bond wire or clamps are necessary, resulting in fewer call backs and/or red tags from inspections. Installs are quicker and material costs reduced.

+ Faster installs in closed-off joist spaces. No issues with minor contact with sprinkler pipe, ductwork.

+ Black jacket of FlashShield+ is aesthetically pleasing, especially in residential installations. FLASHSHIELD+ HAS BEEN THE CHOICE IN THE USA OVER YELLOW CSST FOR MORE THAN 10 YEARS. JOIN THE CHANGE AND SWITCH TODAY!

Regular maintenance is required for heat pumps to ensure that it is running smoothly.

Air-Source Heat Pumps

As heat pump technology continues to evolve, and incentive programs continue to highlight heat pumps, there is likely to become a boom in interest related to air-to-air heat pumps.
By Glenn Mellors

In recent years, air-source heat pumps (ASHPs) have emerged as a promising technology in the realm of residential heating and cooling systems. These devices utilize the ambient air as a heat source in winter and a heatsink in summer, providing an energy-efficient alternative to traditional heating systems like furnaces and boilers.

Air-source heat pumps operate on the principle of transferring heat between the indoor and outdoor environments using a refrigerant cycle. In winter, they extract heat from the outdoor air (even when temperatures are below freezing) and transfer it indoors to heat the building. In summer, the cycle is reversed to provide cooling

by extracting heat from indoors and releasing it outside.

Within the realm of air-source heat pumps, there are two main types — air-to-air and air-to-water. Air-to-air heat pumps are the most common type and directly heat or cool the air within a building. Most rebate programs in Canada focus on these types of systems. These types of systems can be ducted, ductless, or feature a mix of ducted and ductless. With ducted systems, there is an outdoor unit that is connected to an indoor air-handling units that connects to

Continued on page “39”

CONNECT with CONFIDENCE

Proven reliability in flame-free HVAC/R joints.

A proven track record of 9+ years, with 20 million+ fittings installed.

Repeatable connections with permanent, 360˚ metal-to-metal joints every time.

Speed and reliability with no risks of brazing. That’s why contractors trust RLS.

pump technology has advanced, allowing for it to operate

climates.

Continued from page “37”

the home’s ductwork. These types of systems make sense for retrofit jobs that already have ducts.

Ductless air-to-air heat pump installations also involve an outdoor unit, but instead of supplying it to some type of air handler, this type of system will connect to either an indoor floor unit or wall unit — think mini splits. A mixed ducted and ductless system would utilize both types of technology.

Air-to-water heat pumps transfer heat to a water-based distribution system for in-floor heating, radiators, or domestic hot water. See Michael Ridler’s article on page 13 for more information.

The time is now

Now is the time for air-source heat pumps in Canada. They are energy efficient, provide low operating costs, feature environmental benefits, can provide both heating and cooling year-round, and there are many government incentives available to reduce initial costs.

ASHPs are renowned for their energy efficiency, particularly in moderate climates. In Canada, where winters can be harsh and energy costs significant, the ability of ASHPs to extract heat from cold air and use it for heating can result in substantial energy savings. According to Natural Resources Canada, ASHPs can be up to three times more efficient than traditional electric resistance heating systems.

As stated, the primary appeal of ASHPs lies in their potential for reducing monthly heating and cooling bills. By leveraging ambient air for heating purposes, homeowners can significantly cut down on energy expenses, especially when compared to systems reliant on fossil fuels such as oil or propane. This cost-effectiveness can be further enhanced in regions with lower electricity rates.

ASHPs contribute to reducing greenhouse gas emissions compared to conventional heating systems powered by fossil fuels. This aligns with Canada's commitment to combating climate change and transitioning towards greener technologies. The efficiency of ASHPs

means that for every unit of electricity used, several units of heat energy are generated, thereby reducing overall carbon footprints.

Dual functionality

One of the key advantages of ASHPs is their ability to provide both heating and cooling functionalities from a single unit. This eliminates the need for separate heating and cooling systems like furnaces and air conditioners, simplifying installation and potentially saving space in homes where square footage is a premium.

Many provinces in Canada offer incentives, rebates, and financing options to encourage homeowners to invest in energy-efficient technologies like ASHPs. These incentives can offset the initial costs associated with purchasing and installing ASHP systems, making them a more attractive investment.

While there are many benefits to the installation of ASHP systems, there are some fears that remain prevalent and that should be discussed with the homeowner. For one, there can be concerns related to the upfront cost of purchasing and installing an ASHP. This initial investment may pose a barrier for homeowners, especially those with limited upfront capital.

The good news is that Natural Resources Canada offers resources to search for active incentives that can help offset these initial costs. It breaks it down by the entity offering the rebate, including at the municipal, provincial, and federal level, or at the utility or association level.

Continued on page “41”

UL 60335-2-40 RECERTIFICATION

The HVAC industry is making a momentous transition to alternative refrigerants to meet Global Warming Potential Requirements. Manufacturers will need to meet the latest safety requirements to UL 60335-2-40 for certification. Contact our experts today to learn more.

+1 800 WORLDLAB (967 5352) icenter@intertek.com Intertek.com/HVACR FOR MORE INFORMATION

Heat
in colder

-30°C

UNIX SERIES

HIGH-EFFICIENCY CENTRAL HEAT PUMPS WITH CASED COILS

Heat pump combination AHRI Certified for installation with ANY 3rd party furnace.

ROOFTOP

COLD CLIMATE

DC INVERTER HEAT PUMP

Two-stage, two-cylinder compression and hot gas injection for unparalleled heating efficiency.

Eligible to financial incentives in certain provinces, contact us for more detail.

SPARE PARTS

TO FULLY SUPPORT OUR DEALER NETWORK

OFFICIAL DISTRIBUTOR IN CANADA

*GREE Canada is not responsible for warranty on units sold outside GREE Canada’s sales channel.

For more detail, contact our team at proservice@gree.ca

While ASHPs are designed to operate efficiently in a wide range of climates, their performance can be impacted by extreme cold temperatures.

In regions of Canada, where winters are particularly harsh and prolonged, ASHPs may require supplementary heating solutions to maintain optimal indoor comfort levels.

Like most systems, ASHPs require regular maintenance to ensure optimal performance and longevity. Tasks such as cleaning or replacing filters, inspecting refrigerant levels, and scheduling professional inspections are essential to prevent efficiency losses and costly repairs over time. Homeowners should factor in ongoing maintenance costs and efforts when considering the overall economic viability of ASHPs.

Pros and cons

The outdoor unit of an ASHP, which houses the compressor and fan components, may not be aesthetically pleasing to some homeowners. This concern isn’t different than other outdoor systems, like air conditioners. Placement options for these units can be limited by factors such as landscaping, architectural design, or local regulations.

It is our responsibility to give the consumer the option. ASHPs represent a significant technological

"ASHPs represent a significant technological advancement in the field of residential heating and cooling, offering numerous benefits, including energy efficiency, cost savings, environmental sustainability, and dual functionality."

advancement in the field of residential heating and cooling, offering numerous benefits, including energy efficiency, cost savings, environmental sustainability, and dual functionality. However, like any technology, ASHPs come with their own set of considerations and limitations, particularly in the context of diverse Canadian climates. Homeowners interested in adopting ASHPs should carefully weigh the pros and cons discussed in this article, considering factors such as upfront costs, climate suitability, maintenance requirements, and potential noise concerns. As the technology continues to evolve and as provincial and federal governments expand incentives and support programs, ASHPs are likely to become an increasingly attractive option for Canadian households looking to enhance comfort while reducing their environmental impact

and energy expenditures.

With electrification on the horizon, we need to share this information to risk proof the home in the future years ahead!

Glenn Mellors was born into a plumbing family and started in the industry in 1973. He entered the HVAC side of the business in the 80s, working in wholesale, and then joined Lennox in 1992. In 2008 he joined the ClimateCare Co-operative Corporation, an Ontario contractor group, where he is director of training and implementation. Glenn can be reached at gmellors@climatecare.com.

Continued from page “39”
Creative solutions were required to make room for this heat pump’s outdoor unit.

HE AT PUMP TECHNICAL TRAINING DAY

Live virtual technical conference

FIRST 50 PEOPLE GET FREE REGISTRATION!

September 18, 2024 • 12-5pm EST

Three training streams to pick: Residential, Commercial, and Geothermal

Live quality technical training, no sales pitches

Network with trainers and other attendees! Interactive sessions with live demos, questions, and polls

Confirmed Speakers

FIRE SAFETY FOR PLUMBING

Plumbing systems need to be properly equipped with fire protection products to ensure protection for the home and building.

Trevor Matthews, Refrigeration Mentor: Understanding CO2 Heat Pumps

As contractors and professionals in the skilled trades industry, it is essential to be well-informed. New products, trends, and standards are constantly coming down the pipeline, requiring those in the industry to follow.

Sam Bilamjian, TradeMasters Workshops: Theoretical Fundamentals of Heat Pumps

Greg Kurtz, International Ground Source Heat Pump Association

systems are the first lines of defense. This includes products such as fire-resistant pipe insulation and firestop through penetrations. Regular inspections and maintenance of plumbing systems is the other line of defense.

Ed Lorenz from GEOptimize Inc.: Residential Geothermal/Ground Source Heat Pump Training

It is important to stay up to date on the model codes in Canada — building, energy, plumbing, and fire. Each document is published based on a five-year cycle, with the latest published in 2020. Most provinces and territories have set in place legislation to enact the model codes sometime within this calendar year.

Michael Ridler, Eden Energy Equipment: Hydronic Design Unleashed: Exploring Air-to-Water System Piping Strategies

Plus Live Demo: Putting Theory into Practice: Live Demonstration of Piping and Installing an Air-to-Water Unit

Chris DesRoches, Mitsubishi Electric: Commercial Air to Water

Kevin Wong, the Canadian codes manager for Uponor, explains, “The basic objective and function of the model codes is health and, most importantly, safety. It is crucial the tenets of these codes are strictly followed to ensure the public’s wellbeing.”

There is an entire document within the sphere of the model codes dedicated solely to fire protection. “Examining the safety of a structure includes the flammability of the products and systems used inside that structure, such as flame spread/smoke developed (FS/SD) ratings,” adds Wong.

“Inspections and maintenance of a system should involve checking for leaks, ensuring the sprinkler system is functioning properly, and ensuring the area around the plumbing mechanical systems such as a main water shutoff valve is clear and has no obstructions,” said Wong. Additionally, maintaining clear access to water supply lines, sprinkler systems, and fire hydrants is essential for firefighting personnel in the event of an emergency.

Effective fire stopping is about sealing any pipe penetration in concrete slabs such as the wall, floor, or ceiling to ensure fire or smoke doesn’t have a path to spread. “What needs to be addressed is not the small volume of flammable product, rather the plastic pipe embedded in the slab for water distribution or hydronics,” explains Wong.

Steve Ramoul, The Home Inspectors Group Inc.: Greener Homes Initiative - Understanding Heat Pump requirements for a better homeowner experience Plus more to be announced!

Don’t miss yourchance tolearn,network, and win! Signup now. Regular Price $50. For alimitedtime Only$25!

Register now! www.accelevents.com/e/technical-training-day-heat-pumps

Putting out fires

When it comes to fire safety for plumbing systems, fireresistant materials such as fire-rated seals and firestop

Going further into detail, Wong explained how, on a risk-based approach, the potable water distribution has been solved by simply expanding the risk as a function of the exposure and the hazard. “In this case, the hazard is a flammable material filled with water, and the exposure is a

Continued on page “45”

“Effective fire stopping is about sealing any pipe penetration in concrete slabs such as the wall, floor, or ceiling to ensure fire or smoke doesn’t have a path to spread.”

Edmonton, Alberta

River Cree Casino & Resort

300 East Lapotac Boulevard, Enoch, AB T7X 3Y3

Conference Theme:

“Igniting a sustainable future by thriving and growing in a changing market”

Two days filled with stimulating seminars from industry experts, an interactive tradeshow & food.

WHO WILL ATTEND:

• Industry Experts

• Contractors

• Engineers

• Consultants

• Agents

• Wholesalers

• Tradespeople

• Educators

• Students

• Presentations in three levels: Newcomers, Experienced, Established

• Learn about the future of hydronics

• Visit our Trade Show

• Networking

• Panel discussions

• See where the industry is going

• Everything you need to grow your business in one place

• Expert advice

• Smart solutions

River Cree Casino & Resort

n Plumbing

Continued from page “43”

relatively small volume of material over the volume of the slab. This equates to a thin thread soaked with gasoline being allowed to burn in the construction volume,” said Wong.

In that case, concrete construction in high-rises is relatively low risk and even less in a ground-floor slab. However, “Where the pipe comes out of the slab and into a combustible wall assembly, that system must now have an FS/ SD rating,” explains Wong. “When the pipe runs through plenums and shafts, the FS/SD rating becomes mandatory.”

Suppose the work goes to the above floor; in that case, the manufacturer will then have to show that the pipe in the application meets the requirements of the applied system via an SCC-accredited, third-party listing to a series of UL standards with an appropriate UL-listed firestop to match.

Sprinkler systems

A standard technology in the fire protection industry is the use of fire sprinkler systems, which have been considered one of the more effective fire protection methods in buildings as they act quickly in maintaining and controlling a fire.

While effective and common, it is important to note that, “Fire sprinkler systems are not plumbing systems. Both use a lot of the same materials, pipes, and valves, but those pieces of equipment are specifically listed for fire protection,” explains Jeff Hugo, vice president of codes, standards, public fire protection, training at the National Fire Sprinkler Association. “For example, we both would use copper tube or CPVC pipe. However, CPVC pipe used

Figure 1: For fire protection in Canada, these three standards are the most important as a reference.

for fire protection is specifically coloured orange, whereas CPVC used for plumbing is a neutral colour.”

There are also specific valve requirements for both plumbing and sprinkler systems, and as Hugo explains, “On the fire protection side, valves cannot close faster than five seconds. This means that we don’t use any ball valves to control

Continued on page "47"

n Plumbing

water; we use OS&Y and butterfly valves. We’d use ball valves for non-critical control valves.”

With regard to sprinkler systems, there are three standards in the USA and Canada – NFPA 13, NFPA 13R, and NFPA 13D. “The first standard, NFPA 13, has been around the longest, and we use it for everything (offices, theatres, bars, etc.). For multi-family buildings up to four stories, we use NFPA 13R; for one and two-family dwellings and manufactured homes, we use NFPA 13D,” explains Hugo.

While we previously acknowledged that fire sprinkler systems are not plumbing systems, Hugo added, “The NFPA 13D standard states that if it’s approved for plumbing, it’s approved for sprinklers. So, in single-family dwellings, we can interchange plumbing pieces and parts with sprinkler pieces and parts.”

Frost depth

For maintaining sprinkler systems, the biggest thing to consider is frost depth. “You have to make sure that your water service lines are buried under the frost depth, and NFPA 13 requires all water service lines to be one foot lower than the frost depth,” said Hugo. This is because sprinkler lines become stagnant, meaning the water will freeze and start to gel.

Sprinkler systems are an effective preventative measure, but even the best heroes have their foes, and the biggest challenge for these systems has been lithium batteries. “Lithium-ion batteries are a huge

challenge because they have a thermal runaway, which is a process accelerated by increased temperature,” explained Hugo. “With thermal runaway, there is a fire tetrahedron featuring fuel, oxygen, the sustained chemical reaction, and heat. The issue with lithium-ion batteries is that they can burn without one of those characteristics and combust themselves.”

Now, while this doesn’t entirely relate to plumbing, it is brought up in this article to highlight that approach. “Fire sprinklers control fires by reducing flame, reducing heat, and prewetting the surrounding areas. Lithium-ion battery fires are high-challenge fires, and fire sprinklers can be effective, when designed properly, to control these fires,” explains Hugo. It is important to remember that fire protection and prevention products are there for those reasons: to protect and prevent.

Codes and standards

Regarding fire safety in plumbing, “It is important to remember that every building has a function and constructability parameters. This means that some are not meant to be non-combustible, and some can be, depending on the available materials in the code,” explains Wong.

Going further, “If a building is permitted to be of combustible construction, then the FS/SD requirement would not apply to the piping. It would only apply if the building is required to be constructed of non-combustible construction,” said Wong.

The National Building Code of Canada 2015 Volume 1 adds that when it comes to combustible

CPVC pipe used for fire protection is specifically coloured orange, whereas CPVC used for plumbing is a neutral colour. Image provided by “Challenges in Investigating Chlorinated Polyvinyl Chloride Pipe Failures” by Michael D Hayes

piping penetrations, combustible sprinkler piping is permitted to penetrate a fire separation, provided the fire compartments on each side of the fire separation are sprinklered.

Also, the code states that combustible water distribution piping is permitted to penetrate a fire separation and is required to have a fire-resistance rating without being incorporated in the assembly at the time of testing, provided the piping is protected at the penetration of a fire stop.

As we delve more into the codes and standards talk, Wong highlights three necessary standards when talking about fire safety: CAN/ULC-S115, CAN/ULC-S102.2, and CAN/ULC S101.

CAN/ULC-S115, the Standard Method of Fire Tests of Firestop Systems, is the requirement for penetrating a rated barrier (wall or floor) and is specific to the rating and the flammable material that is the penetrant.

CAN/ULC-S102.2 tests individual components of buildings for flammability and smoke-generation properties. This standard references that the match between the firestop and the flammable material is linked. This means you can’t apply a CAN/ULC-S115 solution without a CAN/ULC-S102.2 listing.

Lastly, CAN/ULC S101, the Fire Endurance Tests of Building Construction and Materials, is used to evaluate the fire resistance of fire-resistant barriers for complete assemblies and structural elements. “This triad works clearly in the applicability of the codes. For example, you cannot choose an S115 solution without an S102.2 listing being used in an S101-tested assembly,” added Wong.

Continued from page "45"

Wolseley Canada opens new distribution centre

An actual red carpet was brought out for attendees of Wolseley Canada’s grand opening for its new market distribution centre in Brampton, Ont. Held on May 29, the event featured a tradeshow floor, which allowed for contractors and industry professionals to speak with manufacturers, a guided tour of the facility, cocktails and food stations, a meet-and-greet with Doug Gilmour, and a formal presentation by Wolseley executives.

To celebrate the grand opening of Wolseley’s new market distribution centre in Brampton, a formal pipe cutting ceremony was held at the event.

Wolseley chose to go a unique route when officially opening the distribution centre for business. Instead of conducting a traditional ribbon cutting ceremony, the wholesaler went with a more fitting pipe cutting ceremony. The event sold out days prior.

Noble celebrates its own at its annual customers appreciation BBQ

This year’s Noble annual customer appreciation barbeque and tradeshow was filled with sunshine, all-you-can-eat barbeque, and more than enough ice cream to go around.

On June 21, attendees of the event were greeted with the sounds of music blasting and a welcome t-shirt and hat.

When checking into the event, customers were able to pick-up a free t-shirt and hat.

While walking around the makeshift tradeshow, which filled Noble’s front parking lot at its headquarters in Concord, Ont, attendees were able to network with close to three dozen manufacturers.

In addition, customers were able to take a photo or receive an autograph from Donovan Bailey, Olympic gold medallist sprinter, who won the gold medal for Canada in the men’s 100 m at the 1996 Olympic Summer Games, where he set a world record with a time of 9.84 seconds.

QuietComfort® 96 Variable-Speed Gas Furnace with Two-Stage Operation (G96VTN)

• Up to 96.7% AFUE

• 60,000 – 120,000 BTUh

• Lifetime Heat Exchanger Limited Warranty+

• 10-Year Parts Limited Warranty*

THIS CROSSOVER SOLUTION IS A KEEPER

QuietComfort® Compact Heat Pump (DLCURA)

• Up to 18 SEER2 / Up to 12.4 EER2 Cooling

• Built-In 24V Interface

• Traditional Line Sets

• 10-Year Parts Limited Warranty* +Please

SWITCHING WITH AIR TO WATER HEAT PUMPS

n People & Places

People

Masco Canada welcomes the addition of Geeta Persaud to its team as its new business development specialist – sales and RNC. Persaud previously worked at the Canadian Institute of Plumbing and Heating for 10 years as the association’s program manager where she oversaw committees and councils.

Kinghome Canada announces that Kelvin Wang has joined its team as the new operations manager. In his role, he will be responsible for managing the company’s logistics operations and ensuring the smooth handling of daily order receivables.

ClimateCare welcomes the addition of Tom

The

Companies

Bell & Gossett have made some upgrades to its online Little Red Schoolhouse . The revamped platform is designed for professional development, with access to on-demand webinars, product introductions, and self-paced eLearning modules for continuing education hours (CEUs).

Armstrong Fluid Technology celebrated its 90th anniversary in April. Since its founding in Toronto, Ont, in 1934 by Samuel Allan Armstrong, the company has expanded and now operates eight manufacturing facilities across four continents. Armstrong celebrated its anniversary by hosting events at its offices around the world.

Yorkland Controls announces a strategic merger with U.S.-based Building Controls and Solutions , a distributor of building automation and control solutions and parts. The combined entity will position itself as a

Rand to its team as its new member marketing and implementation manager as of July 1. Rand will coach member companies towards marketing success within their organizations to drive growth and profitability by offering advice on building marketing budgets and plans. As part of this role, Rand has taken over facilitating the weekly Game of Phones call for CSRs and the monthly Manager Round Table call.

more than 10 years in the plumbing and heating industry. His industry experience spans wholesale operations, hands-on installation, and manufacturer representation.

Boone Plumbing & Heating Supply Inc. announces the retirement of Joe Desjardins as the company’s vice president and general manager, after an impressive 42-year career with the Ottawa-based wholesaler.

Equipco Ltd. announces a new member to its team. Julian Miller takes on the responsibility of inside sales. Miller has over two decades of customer service and sales experience, complemented by

Desjardin’s successor, Luc Desrosiers , has been with Boone since 1985, having taken on various roles with the company including warehouse clerk and manager of the Boone Gatineau branch.

distributor with an expanded portfolio of services, product availability, and in-house technical expertise. Building Controls and Solutions will now have 26 branches across Canada and the U.S.

Samsung and Lennox have agreed to form a joint venture to sell ductless HVAC systems in the U.S. and Canada. Part of the reason behind the new venture was due to product requirements for ducted and ductless systems becoming more unified. Samsung will own 50.01 per cent of the joined venture and Samsung Lennox HVAC North American and Lennox will own the remaining 49.9 per cent. The joint venture will distribute Samsung ductless products in the U.S. and Canada as “Lennox powered by Samsung”-branded products for Lennox, which will be sold through Lennox stores and direct-to-dealer network. The joint venture will continue to

supply Samsung branded products to the existing Samsung HVAC distributors and representatives in the U.S. and Canada.

HeatLink has moved its manufacturing, assembly, distribution, and head office to its new 100,000 sq. ft. facility in Calgary, Alta. The final piece of its consolidation project will be to move the original factory to the new location this summer. The new building, located in the Stonegate business complex in North Calgary, is a state-of-the-art facility, pursuing LEED silver certification. Some of the sustainability features include fully automated LED lighting; high efficiency mechanical and plumbing systems, featuring fully modulating and condensing boilers and point-of-use electric hot water generation a low energy consumption radiant heating system in the office space; solar power generation; electric vehicle charging stations; and a grey water system.

Geeta Persaud
Kelvin Wang
Tom Rand
Julian Miller
Joe Desjardins
Luc DesRosiers

A Safety Managers

Perspective

No one is above being injured, every person on the team needs to be on the same page when it comes to safety protections.

“Safety is a habit to be formed or broken,” says Gordon Dilling, safety officer at WM Schmidt Mechanical Contractors Ltd (WMS), based in Calgary Alta. He is responsible for implementing the health and safety management system for WMS and ensuring that the company safety policies and procedures are being followed in both the office andthefield.

Dilling is the type of safety officer who argues that “if you see something good that your employees are doing, tell them! Build that culture!” Having conversations about taking safety seriously is something that happens with the entire employee group on a regular basis at WMS.Hestatesthat,“safetyistheresponsibilityof every member of an organization, but ultimately, it comes down to individual commitment

regardless of your position or duties.”

“Management buy-in regarding the safety of its people within an organization is vital. When management is on board, you know! They are not only talking about safety, but they are demonstrating their own commitment to safety in the workplace every day through their actions.”

Our safety officer leads our entire team with regular meetings, being available to employees, contractors and management, including human resources (HR) for any safety questions or concerns. As in many workplaces today, there is a positive alliance between safety and HR who are committed to providing all the tools and information required to ensure safety first. Should any employee feel the need to seek clarification, they work together towards clear messaging about safety at work.

Collectively, they produce messaging to our teams about being safe. Our employees know that at any time, they can come to either department to receive information about how to stay safe. The two areas provide orientations, CPR training, and certification. Keeping some of the courses in-house has been rewarding on so many levels. Both safety and HR understand their team’s availability and the work provided at WMS. They also know where we go, and what can occur if we do not follow our safety and HR guidelines.

Safety at all levels

No one is above being safe in the workplace. Everyone from the CEO to management, supervisors, and their employees need to be committed to a safe workplace. An example would

be when management goes to visit the field staff without wearing company specified protective equipment. What message is being sent to all employees? The message they are receiving is that safety is not that important after all to my workplace.

The leadership style of “do as I say but not as I do” is no longer acceptable. Safety driven workplaces insist on safety rules and regulations being in place for everyone. No one is above being injured, especially if not properly outfitted, both mentally and physically, for the conditions. As leaders, we must see ourselves as just that, those who lead! By adhering to the specific safety regulations within your workspaces, you are sending a clear message. Your influence will save more lives and further demonstrate that you care about all staff always being safe and that employee safety is important to you and your organization.

Sometimes people still believe “Oh, that won’t happen to me!” Think again! The proof is in our Canadian statistics, which have shown yearly increases in injury and death in our workplaces. Believing this will not happen to you is not supported by the stats.

In 2021, we had 277,217 accepted lost time claims of workers in Canada who experienced a workplace fatality or injury and 253,397 workers

in 2020, according to the Association of Workers Compensation Boards of Canada (AWCBC). Are you still thinking you’re above taking this seriously?

New times

This author is happy to report that it appears many workers are beginning to acknowledge that being safe in workplaces is important and as an employee, I need to know how to stay safe. We can now see that safety messages are beginning to be heard with statistics showing the total injury rate for 2023 decreasing by almost nine per cent from 2022. This is the news we have been longing to see. Although additional work still needs to be done, it is a positive result for those companies who are working hard to keep their workforce safe. Yes, it does make a difference!

If you don’t manage safety, it will manage you! Companies can pay enormous Workers' Compensation Board (WCB) and short-term disability fees; these can be crippling! Workplace doors can close permanently when employees do not have the “safety first” mentality.

How you respond and how you lead in the office or field is noticed. You may not realize how many people you are influencing when you do what you expect others to do without question.

“In 2022, 993 Canadian workers had no idea that they would not attend their child’s next football game.”

Safety officers are in place in most workplaces that require a safety presence but what about you? Do you believe when you go to work that it is safety’s responsibility to ensure that you go home safely every day? What can you do yourself to ensure you remain safe? We must hold ourselves responsible as working professionals to ensure we are taking every measure to keep ourselves and others protected every day.

In 2022, 993 Canadian workers had no idea that they would not attend their child’s next football game, according to AWCBC. They also had no idea they were going to be absent from all future celebrations with family and friends. The question to be asked — is this information important enough for you to shift your thinking regarding safety and the role it has in your organization?

Connie Cook is member of the human resources team at WM Schmidt Mechanical Contractors Ltd. She has worked with WM Schmidt Mechanical since 2023 and is a certified red cross first aid instructor.

n Coming Events

HRAI takes over Vancouver for annual general meeting

The HVAC/R industry is returning to Vancouver, B.C., for the annual Heating, Refrigeration, and Air Conditioning Institute of Canada (HRAI) conference and general meeting. From Sept. 22 to 24, members will be attending educational sessions and networking opportunities.

This year’s conference follows the theme of “One Thing,” with the goal being to appreciate and celebrate the complex and evolving HVAC/R industry without losing sight of the one thing that is most important for the future of businesses.

The three-day conference will feature educational sessions on “Shifting the Energy Grid,” “HVAC/R in Space/Subs/Mines and More,” and “The Succession Session” during the first day, and “Workforce Developments,” and “Mission: Refrigerant Transition” on the last day of the conference. There will also be contractor and board of directors’ meetings.

On Sept. 22, before the sessions officially kick-off, there are opportunities for delegates to participate in whale watching or brewery/

Hydronic industry meets in Edmonton

The Canadian Hydronics Council (CHC) will be hosting its hydronics conference in Edmonton, Alta, from Sept. 25 to 26. Held at the River Cree Resort and Casino, the two-day conference will see the hydronic industry come together to discuss the long-term health of the industry through upcoming challenging and technological shifts. Educational sessions will be available to guests. Each day of the conference will have keynote presentations and breakout sessions. Keynote presentations for day one include “5.8 Million Units of Housing Needed by 2030 to Avoid Crisis,” “Hydronics and How We Fit in Modular Construction,” and “Building Energy Efficiency and the Track to Net Zero.”

Breakout sessions for day one will cover “Hydronics as a Profession,” “Selling Hydronics vs. Air Systems,” “Proper Redundancy in Commercial Hydronic Engineering,” “Outdoor Reset, Air to Water Heat Pumps and Buffer Tank Applications,” and “Hydronic Controls.”

Day two of the conference will feature keynote presentations on “Hydrogen as a Replacement for Natural Gas” and a panel discussion on the future of hydronics in Canada. Breakout sessions for day two will cover hydraulic separators and how they work, inspection process/enforcement, and thermal storage and PCM batteries.

A tradeshow will also be available to guests during breaks between sessions and during lunch.

distillery tours prior to the “Welcome Reception.” On Sept. 23, mixed in with the educational seminars, delegates will be able to participate in a Vancouver brewery tour or an excursion up Grouse Mountain. The contractor's board meeting and wholesaler's board meeting will be held prior to the evening’s dinner, award presentations, and entertainment.

The final day of the conference will feature a lighter load, with sessions in the morning, followed by breakout sessions and annual general meetings for wholesalers, contractors, and manufacturers.

CALENDAR

Sept. 22 - 24:

HRAI 2024 AGM & Conference, Fairmont Vancouver, B.C. For more information, please visit www.hrai.ca.

Sept. 24 - 25:

Canadian Hydronics Conference 2024,

River Cree Casino, Enoch, Alta. For more information, please visit www.ciph.com.

Oct. 28 – 30:

No-Dig North 2024, Niagara Falls Convention Centre, Niagara Fall, Ont. For more information, please visit www.nodignorth.ca.

Nov. 27 – 30:

MCAC Annual National Conference 2024:

Omni Barton Creek Resort and Spa, Austin, Texas. For more information, please visit www.mcac.ca.

From Plumbing to HVAC.

• Unbeatable Customer Service: We prioritize relationships and are committed to providing unparalleled customer service.

• Extensive Inventory Levels: Our inventory is strategically maintained to cater to your diverse business needs, ensuring you’re never left without essential products.

• On-Time Delivery: Your orders will consistently arrive on time, allowing you to maintain a seamless operation.

• Quality Products: Great selection of highquality products, featuring renowned brand names in the industry.

Benchmark

E

Powered by Electricity and Benchmark Reliability

Electrify your heating with Benchmark E - engineered for maximum efficiency and zero emissions.

Peak Load Management: Save money by lowering building peak loads and maximizing electricity usage

Hybrid Plant Capable: Easily sequence with Benchmark gas-fired condensing boilers to optimize boiler operation and cost efficiencies

Electric, Vent-Free System: Pair with AERCO SmartPlate EV water heaters for a fully electric, vent-free heating and hot water solution

Turn static files into dynamic content formats.

Create a flipbook
Issuu converts static files into: digital portfolios, online yearbooks, online catalogs, digital photo albums and more. Sign up and create your flipbook.