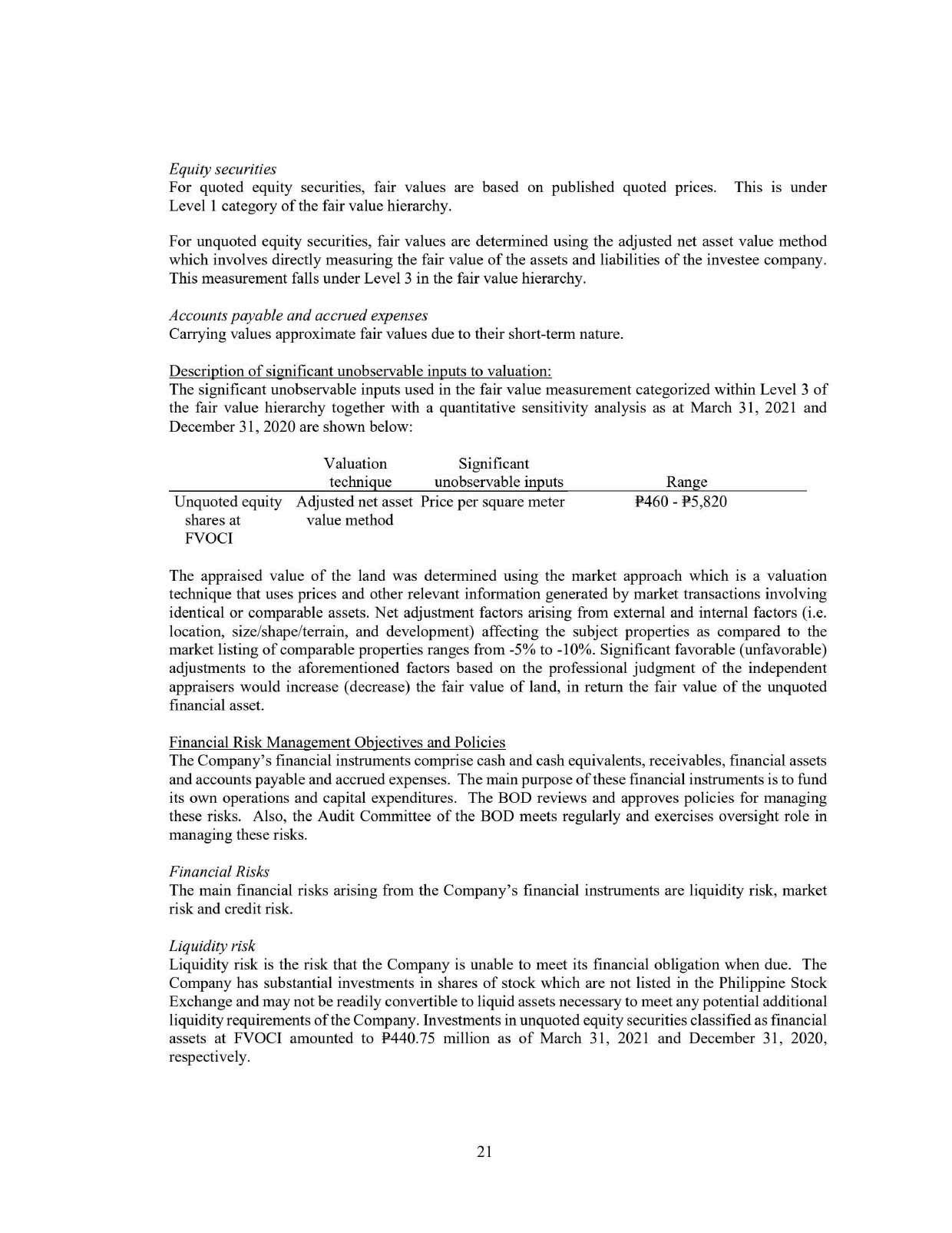
Skip to main content

SRC DIS FINAL 2021_v2

Page 1


Turn static files into dynamic content formats.

Create a flipbook