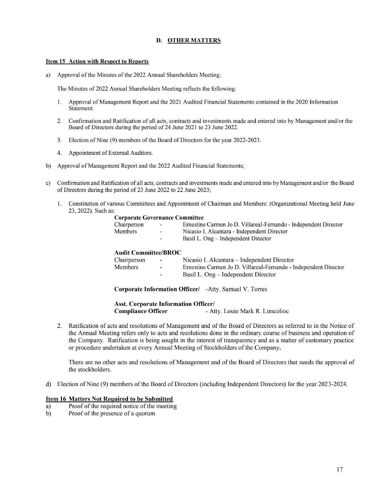
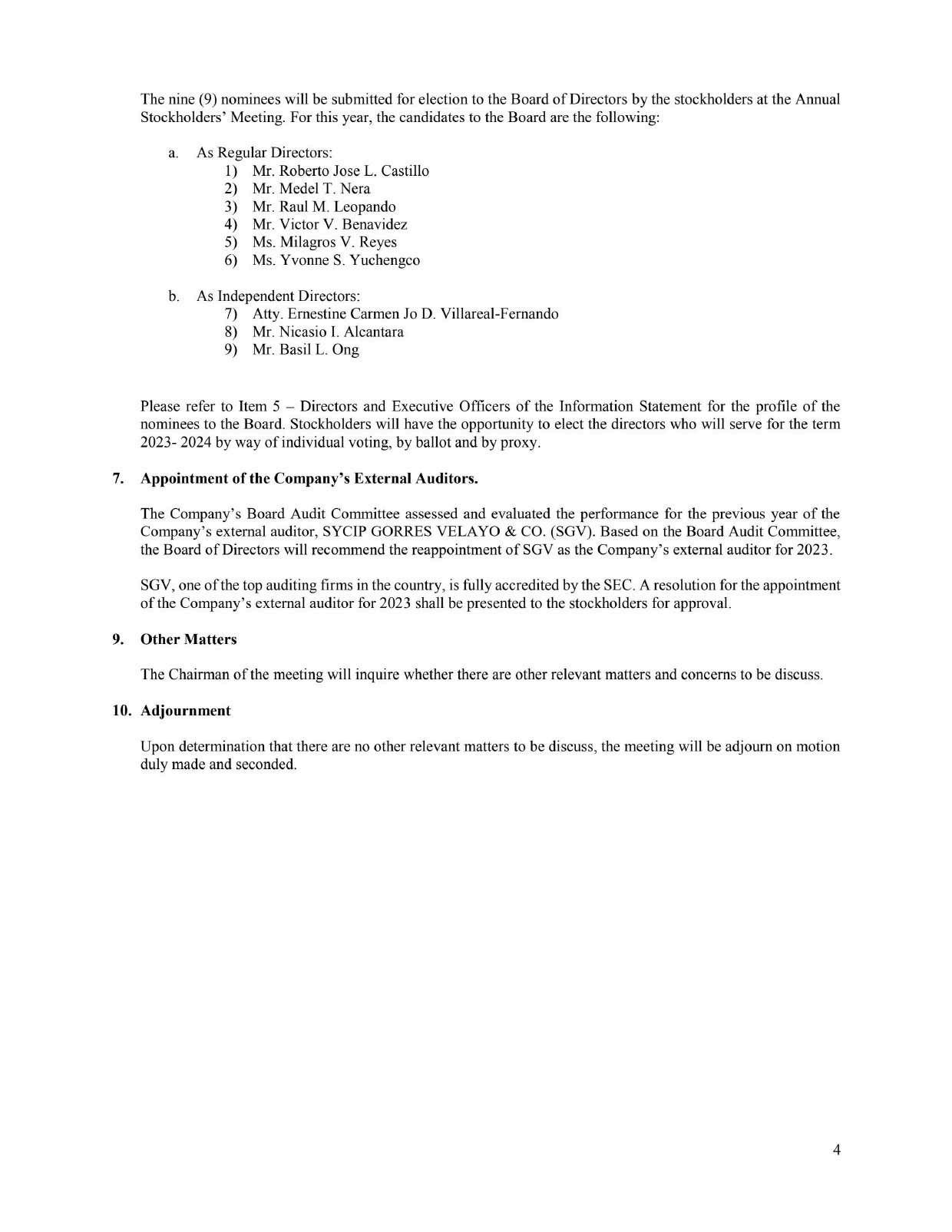
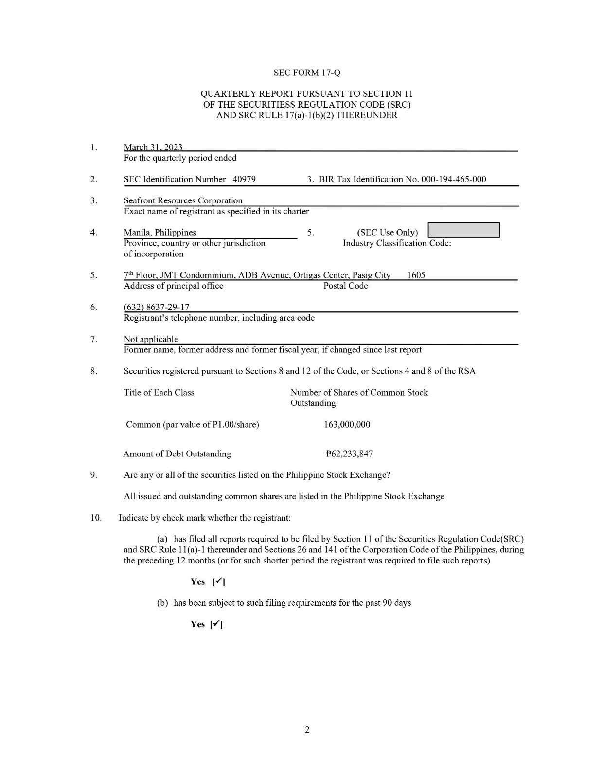
Skip to main content

SRC DEFINITIVE - SEC FORM 20-IS 2022 - FOR SEC

Page 1


Turn static files into dynamic content formats.

Create a flipbook