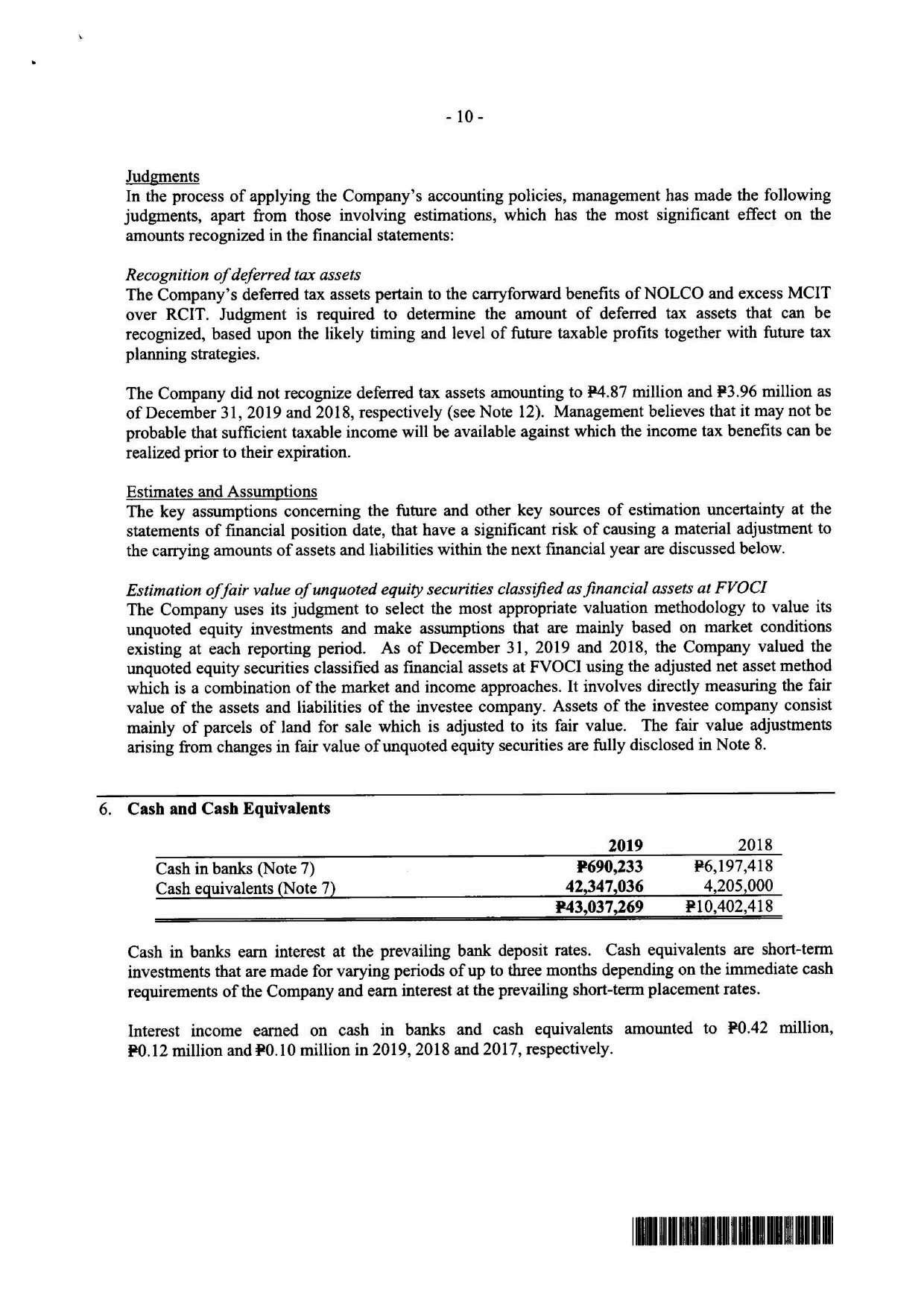
Skip to main content

SEC 17 A 2019 _ Seafront Resources Corporation1

Page 1


Turn static files into dynamic content formats.

Create a flipbook