Skip to main content

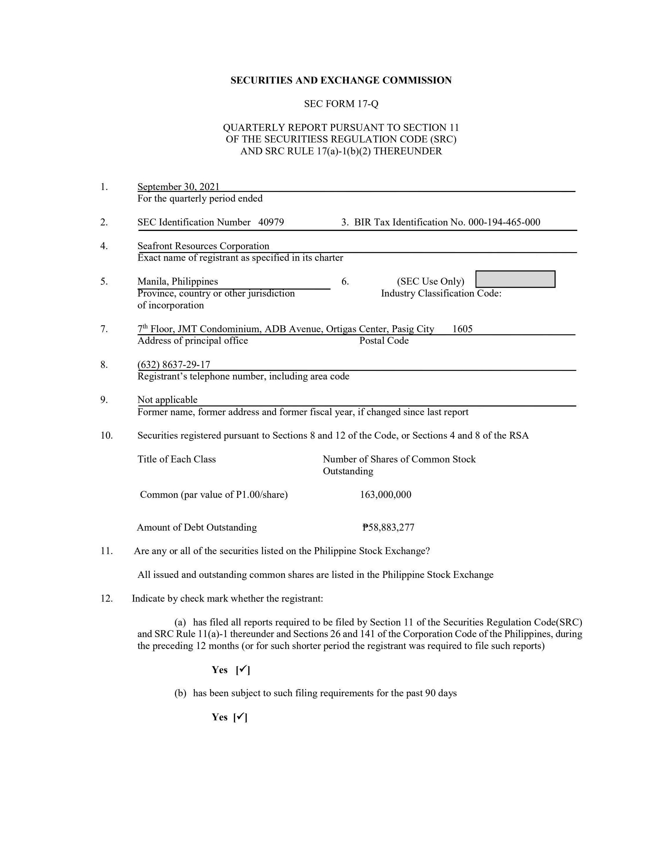
Seafront SEC 17 Q Report 3rd Quarter 2021 FINAL

Page 1


Turn static files into dynamic content formats.

Create a flipbook