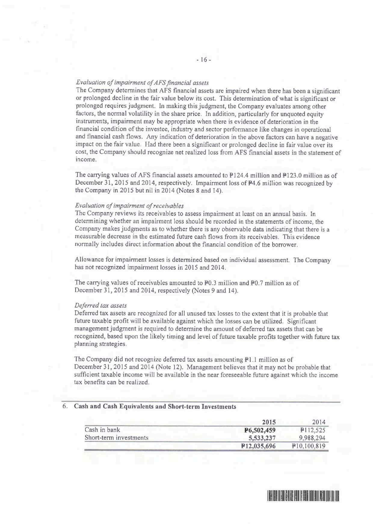
Skip to main content

2016 SRC Definitive 20-IS (1)

Page 1


Turn static files into dynamic content formats.

Create a flipbook