Skip to main content

Gallerie e grandi opere sotterranee n. 153

Page 1


tunnels & UNDERGROUND WORKS

Intervista a Francesco Maria Rotundi

Progettazione dei rivestimenti di gallerie

Il tunnel TS-14 della circonvallazione di Cracovia

L’evacuazione in emergenza

Condizionamento sostenibile

Tunnelling, AI, calcolo e informazione quantistica

Il Passante Ferroviario di Firenze

Dai cantieri: il Giornale dei lavori

Abbiamo letto: Pensieri lenti e veloci

Apertura

Nel cuore del cantiere di Chiomonte, il

principale della Torino-Lione, si trova il Centro Visitatori “Mario Virano”, progettato secondo i criteri dell’economia circolare per ospitare quanti vogliono conoscere lo sviluppo della nuova infrastruttura ferroviaria in costruzione.

Gallerie e Grandi Opere Sotterranee

Anno XLVII - N. 153 - Marzo 2025

Periodico trimestrale, riconosciuto dal C.N.R. della Società Italiana Gallerie – Italian Tunnelling Society – Member of ITA/AITES

ISSN: 0393-1641/S. Anagrafe Naz. delle Ricerche: cod. 318915PS

Editorial Board:

Editor-in-chief: Andrea Pigorini

Advisory Editors: Renzo Bindi, Salvatore Miliziano

Co-Advisory Editor: Diego Sebastiani

Editors: Ettore Accenti, Lorenzo Batocchioni, Daniela Boldini, Massimiliano Bringiotti, Carlo Callari, Remo Di Lorenzi, Stefania Fabozzi, Mauro Tutinelli

Editors Secretary: Ludovica Roda

Scientific Commitee: 56 esperti internazionali (informazioni dettagliate su: www.societaitalianagallerie.it)

Hanno collaborato a questo numero: Enrico Barbero, Enrico Dal Negro, Isabella R. Marquez, Michele Palomba, Andrea Picchio, Paolo Poti, Luca Repetto, Manuela Rocca, Valentino Sevino, Michał Skwarczyński, Eddy Verbesselt

Editore:

S.I.G. Società di Servizi S.r.l. Via Giovanni da Procida, 7 – 20149 Milano, (MI) Tel.: +39 02 25715805; Tel./Fax: +39 02 25708152 www.societaitalianagallerie.com

e-mail: info@societaitalianagallerie.it

Gestione editoriale abbonamenti e pubblicità: Casa Editrice Prof. Riccardo Pàtron & C. S.r.l. Via Marsala, 31 – 40126 Bologna, (BO) Tel. 051 767003 www.patroneditore.com e-mail: info@patroneditore.com

Grafica e Impaginazione: Exegi Snc - Bologna Stampa: Tipografia Negri, Bologna - Maggio 2025

Autorizzazione del Tribunale di Torino no 2638 del 25.11.76

Pubblicazione trimestrale ai soci della Società Italiana Gallerie

Le opinioni espresse dagli Autori non impegnano la Direzione. Tutti i diritti di riproduzione sono riservati. Abbonamenti 2024

Abbonamento cartaceo Italia € 100,00

Abbonamento cartaceo estero € 150,00

Abbonamenti on-line € 80,00

Abbonamenti on-line Enti, Biblioteche, Università € 140,00

Fascicoli singoli cartacei Italia € 30,00

Fascicoli singoli cartacei estero € 40,00

PDF singoli articoli Italia/estero € 18,00

Per abbonamenti e ordini di arretrati, rivolgersi all’Ufficio Abbonamenti: abbonamenti@patroneditore.com o collegarsi al sito www.patroneditore.com/riviste.html Per ricevere i pdf dell’intera Rivista può essere inoltrata richiesta alla Segreteria della Società Italiana Gallerie (segreteria@societaitalianagallerie.it)

I pdf dei singoli articoli e gli abbonamenti online possono essere richiesti solo collegandosi al sito www.patroneditore.com/riviste.html Gli abbonamenti hanno decorrenza gennaio-dicembre, con diritto di ricevimento dei fascicoli già pubblicati, se sottoscritti in corso d’anno. I fascicoli cartacei non pervenuti vengono reintegrati non oltre 30 giorni dopo la spedizione del numero successivo. Modalità di pagamento: Versamento anticipato adottando una delle seguenti soluzioni: – c.c.p. n. 000016141400 intestato a Casa Editrice Prof. Riccardo Pàtron & C. S.r.l. - via Badini 12 - Quarto Inferiore - 40057 Granarolo dell’Emilia - Bologna - Italia – bonifico bancario a INTESA SAN PAOLO SPA, Filiale, Ag. 68 – Via Pertini 8 – Quarto Inferiore 40057 Granarolo dell’Emilia – Bologna – Italia

IBAN: IT58V0306936856074000000782

BIC: BCITITMM – carta di credito o carta prepagata a mezzo PAYPAL (www.paypal.it) specificando l’indirizzo e-mail amministrazione@patroneditore.com nel modulo di compilazione per l’invio della conferma di pagamento all’Editore.

Per pubblicare un articolo sulla Rivista Gallerie e Grandi Opere Sotterranee occorre inviare il manoscritto all’indirizzo redazione@societaitalianagallerie.it redatto secondo il format scaricabile dal sito www.societaitalianagallerie.it La revisione degli articoli è a cura dell’Editorial Board della rivista. Le opinioni dell’Autore non impegnano l’Editorial Board, ma esclusivamente la responsabilità dell’Autore stesso che garantisce l’originalità del proprio manoscritto e l’assenza di vincoli e di licenze per la pubblicazione, lasciando indenne la rivista da qualsiasi onere presente e futuro.

SommarioSommario Sommario Sommario

3 R. Bindi

Editoriale 5 Intervista a:

Francesco Maria Rotundi

Amministratore Delegato di Acea Infrastructure 9 M. Zerbi, L. Flessati, C. di Prisco

Finite Element Analyses of undrained cavity unloading considering in-situ anisotropic state of stress

M. Palomba, L. Repetto, I. Marquez, M. Skwarczyński

Nota Tecnica

The Northern Bypass of Kraków – Design and construction aspects of the TS-14 road tunnel along the expressway S52

P. Poti, M. Rocca, E. Verbesselt

Nota Tecnica

La gestione dell’evacuazione di un treno passeggeri nel Tunnel di base del Moncenisio 49 E. Dal Negro, A. Picchio, E. Barbero

Nota Tecnica

Tunnel excavation with EPB: innovative products to reduce the amount of water required for soil conditioning

GEEG, startup di Sapienza, Università di Roma, affianca grandi società di Ingegneria, Imprese, fornitori di tecnologie e materiali nei processi di Ricerca e Sviluppo mediante procedure sperimentali e protocolli innovativi utili in ogni fase, dal progetto fino ai controlli in corso d’opera.

Cerchi uno spazio in cui informarti su cosa succede nel mondo del sotterraneo? Iscriviti alla newsletter

Terra Terra - Down to Earth Tutto l'underground in un unico posto

Il valore di un candidato e la forza di un’Associazione

Care lettrici e cari lettori, è con grande piacere che condivido con voi una notizia importante per la nostra comunità professionale: la candidatura del Direttore Responsabile della nostra rivista, nonché amico, ingegner Andrea Pigorini alla presidenza dell’International Tunnelling Association (ITA) per il triennio 2025-2028. Chiunque si occupi di gallerie e grandi opere sotterranee, in Italia come all’estero, conosce la rilevanza mondiale dell’ITA, un punto di riferimento per cultura tecnica, scambio di esperienze e linee guida nel settore.

Perché parliamo oggi di una candidatura? Perché ritengo che la scelta di sostenere Andrea non sia soltanto una formalità: è il segnale tangibile della vitalità della nostra SIG e, di riflesso, di tutto il mondo italiano delle opere in sotterraneo. La lettera inviata dal nostro presidente, ingegner Renato Casale, al presidente in carica dell’ITA, ingegnere e avvocato Arnold Dix, e all’ITA Executive director, dottor Helene Roth, sottolinea infatti l’entusiasmo, la fiducia e la stima che circondano Andrea. Una fiducia e una stima maturate grazie a una lunga carriera iniziata sotto la guida di mentori prestigiosi come lo zio, il dott. Bruno Pigorini – storico firmatario dell’atto costitutivo dell’ITA – il professor Sebastiano Pelizza, già presidente ITA e autentico punto di riferimento per molti di noi e il professor Pietro Lunardi, nostro Presidente Onorario (e qui mi fermo per non trasformare l’editoriale in un catalogo di titoli prestigiosi), col quale Andrea ha collaborato nei suoi anni trascorsi in Rocksoil S.p.A.

Oggi Andrea ricopre un ruolo di primo piano in Italferr, la società d’ingegneria del Gruppo Ferrovie dello Stato, come responsabile del Dipartimento di Progettazione delle Infrastrutture, coordinando oltre 200 professionisti. Il suo percorso accademico e professionale – laurea in Ingegneria Mineraria conseguita nel 1989 all’Università di Roma “Sapienza”, esperienze in cantiere e in progettazione, ruoli associativi di prestigio – riflette un profilo di competenza e passione che ben si coniuga con la visione futura dell’ITA.

Se sarà eletto, Andrea intende dare impulso a una strategia di crescita inclusiva. Primo obiettivo: avvicinare in modo più forte i contractor, che al momento non compaiono tra i principali sponsor dell’ITA. Secondo: coinvolgere i committenti pubblici e privati e i futuri gestori delle infrastrutture sotterranee, puntando sulla nuova forma di membership “Owner Affiliate Member”, recentemente costituita, e sulla creazione di un Owners Forum dedicato al dialogo e allo scambio di esperienze. L’idea è semplice e ambiziosa al tempo stesso: costruire un “luogo” in cui chi progetta e chi gestisce possa conoscersi, confrontarsi e imparare reciprocamente dalle sfide comuni.

Non meno importante è l’impegno di sostenere le Associazioni Nazionali (oggi sono ben 81) che compongono l’ITA. Ciascuna ha il suo contesto di riferimento, le proprie esigenze e un diverso livello di maturità associativa; ma tutte concorrono a un obiettivo: valorizzare l’uso dello spazio sotterraneo per trasporti, servizi e stoccaggio, rendendo più vivibili le superfici urbane. Un obiettivo che richiede conoscenze tecnico-scientifiche, strategie politiche e volontà di collaborare. Andrea conosce bene lo spirito di squadra: da past-president della SIG (ha guidato la nostra Associazione dal 2013 al 2022) e attuale membro del comitato esecutivo ITA, ha già dimostrato di saper coordinare e motivare colleghi, giovani professionisti e grandi esperti.

Personalmente, trovo particolarmente apprezzabile la sua volontà di riconoscere il lavoro prezioso dei tanti soci volontari, dagli attivissimi Working Groups fino ai Comitati tematici dell’ITA. Non sempre ci si rende conto dell’impegno di queste persone che, per pura passione e spirito di servizio, dedicano tempo e risorse alla crescita dell’associazione e alla diffusione della cultura del

Renzo Bindi.

tunnelling. Come sostiene Andrea, “siamo tutti volontari, mossi dalla voglia di realizzare infrastrutture migliori”: è un bel messaggio che ricorda, in fondo, perché abbiamo scelto questa professione.

Mentre ci avviciniamo al prossimo appuntamento internazionale, in programma a Stoccolma, colgo l’occasione per invitare ciascuno di voi a condividere osservazioni, proposte e desideri per il futuro della SIG, ma anche dell’ITA. Nel caso in cui la candidatura di Andrea trovi il consenso delle Member Nations, avremo la soddisfazione di vedere un nostro rappresentante ai vertici dell’Associazione, con la certezza che saprà promuovere la nostra visione innovativa e inclusiva delle opere in sotterraneo.

È questa l’essenza di chi vive e lavora ogni giorno “tra le gallerie”: la passione per i progetti, la capacità di “fare squadra” e l’orgoglio di un sapere che si trasmette di generazione in generazione. Nel salutare tutti voi, desidero dunque ribadire il mio augurio per un futuro in cui il mondo dell’ingegneria sotterranea si stringa sempre di più attorno a progetti condivisi e idee coraggiose. E chissà, magari la presidenza dell’ITA di Andrea Pigorini rappresenterà il prossimo grande passo in questa direzione.

Buon lavoro a tutti e arrivederci… in galleria!

L’ing. Francesco Maria Rotundi, laureatosi in ingegneria civile idraulica presso l’Università Sapienza di Roma, ha svolto la carriera nel settore della realizzazione di grandi opere infrastrutturali (porti, aeroporti, metropolitane, ferrovie, ospedali, dighe), in ambito nazionale e internazionale. Con un’esperienza trentennale che lo ha visto operare sia in Italia che all’estero, a gennaio 2025 è entrato nel Gruppo Acea con il ruolo di Amministratore Delegato di Acea Infrastructure, azienda principale dell’Area “Engineering & Infrastructure Project”.

Buongiorno ing. Rotundi, quali sono state le sue prime sensazioni entrando nel Gruppo Acea?

Ho trovato una realtà ben diversa rispetto a quella che ci si può aspettare. Il Gruppo è ben noto per il suo ruolo nel servizio idrico, dove è primo operatore in Italia, o per le attività nel settore elettrico e in quello ambientale, che lo vedono comunque tra gli attori principali a livello nazionale.

Pochi sanno che all’interno di Acea c’è un’area di eccellenza dedicata alla progettazione, direzione e realizzazione di infrastrutture e alle analisi di laboratorio in campo idrico e ambientale, con competenze altamente specializzate, sviluppate nei tanti anni di attività del Gruppo, nato oltre 115 anni fa.

L’ingegneria e la progettazione hanno infatti abilitato la crescita degli altri business di Acea, rendendoli concreti. In questo percorso tutta l’area, di conseguenza, è salita progressivamente di livello, fino a raggiungere le

qualità uniche di oggi, che ci consentono di coprire l’intera catena del valore dell’ingegneria. La prova è data dal progressivo incremento dei ricavi delle attività di Acea Infrastrutture, che ci pongono tra i leder del settore in campo nazionale.

Di cosa si occupa Acea Infrastructure?

Acea Infrastructure opera, da oltre trent’anni su tutto il territorio nazionale, nei settori dell’ingegneria, dei servizi tecnici e della realizzazione, fornendo servizi di progettazione, gestione del procedimento amministrativo, direzione lavori, coordinamento della sicurezza, Engineering Procurement Construction (EPC).

La società gestisce anche il laboratorio che costituisce un’eccellenza nel campo delle analisi di controllo e monitoraggio in ambito idrico, energetico e ambientale. È anche un centro di ricerca e consulenza specialistica, sia per le società del gruppo sia verso terzi. Recentemente Acea Infrastructure ha avviato anche la gestione dei reflui industriali attraverso la società Simam di Senigallia, che copre ogni attività in questo specifico settore, dall’ingegneria alla gestione degli impianti, inclusa la loro costruzione con caratteristiche funzionali a tale tipo di rifiuti.

Quali sono i progetti più significativi su cui state lavorando?

Tra i progetti più significativi, possiamo citare, per Acea Ambiente, la progettazione per la realizzazione della IV linea del termovalorizzatore di S. Vittore, con una capacità di 186

Francesco Maria Rotundi.
Figura 1 - Acea Infrastructure.

ktons/anno e una potenza di 86 MWt e, per Acea Ato 2 (società che gestisce il servizio idrico a Roma e Città Metropolitana), le opere PNRR, che comportano diversi interventi per la posa di oltre 30 km di condotte per una capacità complessiva di trasporto paria a circa 12 m³/s.

Inoltre, abbiamo completato il progetto del Nuovo Tronco Superiore del Peschiera, che prevede la costruzione di un nuovo tronco principale del sistema acquedottistico Peschiera-Capore: dalle sorgenti fino al nodo di diramazione di Salisano, con un nuovo percorso sotterraneo di circa 27 km. Si tratta di una complessa opera ingegneristica, con gallerie fino a 8 m di diametro scavate mediante TBM, nuove condotte in acciaio fino a 3,5 m di diametro in grado di supportare la portata di 10 mc/sec, per un valore complessivo dell’investimento di circa 1,5 miliardi €.

Cosa vi distingue sul mercato esterno rispetto agli altri operatori?

Acea Infrastructure rappresenta probabilmente un “unicum” nel campo ingegneristico, coprendo di fatto l’intera filiera delle professionalità necessarie per la realizzazione di infrastrutture: tra le nostre fila annoveriamo progettisti, direttori dei lavori, coordinatori della sicurezza, responsabili del procedimento e direttori di cantiere, oltre che tecnici di laboratorio. Grazie a questo la Società ha acquisito un know-how all’avanguardia nella progettazione, costruzione e gestione di infrastrutture energetiche, idriche e ambientali e negli anni sono cresciuti grado di specializzazione e competenze multidisciplinari. Questo contesto ci consente di sviluppare la maggior parte della progettazione con risorse proprie, utilizzando consulenze esterne limitatamente ad alcune delle aree specialistiche non coperte dal personale di cui dispone.

Di recente, il management ha puntato ad ampliare la varietà dei servizi offerti con un’organizzazione mirata all’efficientamento e al raggiungimento di alti livelli prestazionali. Grazie alle competenze maturate e all’esperienza acquisita verso il mercato interno, oggi possiamo proporci come player di punta anche sul mercato esterno, con la consapevolezza di poter garantire i medesimi standard di qualità, con un’offerta fatta d’innovazione e competenze specifiche, attraverso soluzioni integrate e innovative.

Il confronto con il mercato esterno rappresenta, quindi, una chiara volontà di consolidare e valorizzare ulteriormente il nostro know-how tecnicospecialistico, sia in settori di storica competenza sia in mercati emergenti. Pensiamo di rappresentare un ottimo partner con cui affrontare sfide in

diversi ambiti dell’ingegneria, incluso l’impiego delle più avanzate nuove tecnologie. Siamo orientati allo sviluppo di partnership strategiche con players del settore, avendo. la capacità di presidiare l’intero ciclo di vita delle opere, anche attraverso l’utilizzo delle strumentazioni più evolute. Siamo infatti in grado di coprire l’intera filiera, dalla pianificazione alla realizzazione, fino anche al collaudo e messa in esercizio dell’opera, grazie alla nostra esperienza nel campo dell’ingegneria e della sicurezza degli impianti, in ambito ricerca e sviluppo e project management. Collaboriamo con partner tecnologici per l’implementazione di tecnologie avanzate come il BIM e il Digital Twin, che ci permettono di monitorare e gestire le infrastrutture in modo efficiente e sostenibile

Come garantite la qualità e la sicurezza dei vostri progetti?

Effettuiamo ispezioni e controlli di conformità con una struttura interna di verifica oltre che con organismi accreditati, assicurando competenza, imparzialità e indipendenza in tutte le fasi del processo. Utilizziamo metodologie avanzate per la modellazione idraulica e idrologica, la modellazione dei processi di trattamento, e la modellazione geologica e geofisica per garantire la sicurezza e l’efficienza delle nostre opere.

L’operatività è garantita attraverso una struttura che può contare sulla professionalità di oltre 300 esperti tra ingegneri, geologi, chimici, biologi, professionisti in materie tecniche e scientifiche, in grado di far fronte, con tempestività e professionalità, alle esigenze dei clienti, per tutti i settori.

L‘organizzazione è strutturata in 6 Unità di Business: Ingegneria, Costruzione, Sicurezza e Direzione Lavori, Laboratorio e Ricerca, Grandi Progetti, Collaudi, oltre a una struttura dedicata alla verifica dei progetti ai sensi del Codice Appalti, svolta da un Organismo accreditato.

Quali sono le prospettive future per l’azienda?

Nella nostra organizzazione lavoriamo in ambito di ricerca e innovazione per individuare nuove soluzioni sostenibili e tecnologicamente avanzate. Continueremo a investire in queste attività perché crediamo fermamente che questo sia funzionale a una crescita in termini di qualità e capacità, ingredienti essenziali per costruire la società del futuro. Puntiamo a espandere la nostra presenza sia a livello nazionale che internazionale, consolidando la nostra posizione nel settore acqua e puntando a occupare quella di major player anche in altri settori delle infrastrutture.

Figura 2. Acquedotto del Peschiera - galleria collettrice.
Figura 3. Fasi di revisione progettuale opere PNRR.

IL NOSTRO AMBIENTE IDEALE

Questo è l’ambiente ideale per i piccoli “giganti” Brokk. Con la combinazione perfetta di potenza, operatività e accessibilità, i nostri robot sono il mezzo ideale per una soluzione efficiente per incrementare la produttività.

Brokk Italia | www.brokk.it

Finite Element Analyses of undrained cavity unloading considering in-situ anisotropic state of stress

Analisi a Elementi Finiti dello scarico non drenato di cavità considerando uno stato di sforzo in situ anisotropo

Matteo Zerbi a, *

Luca Flessati b

Claudio di Prisco c

a Politecnico di Milano, Dipartimento di Architettura, Ingegneria delle Costruzioni e Ambiente Costruito, Milano, Italia

b Delft University of Technology, Department of Civil Engineering and Geosciences, Delft, The Netherlands

c Politecnico di Milano, Dipartimento di Ingegneria Civile e Ambientale, Milano, Italia

* corresponding author: matteo.zerbi@polimi.it

Abstract

The design of tunnel linings requires the solution of a soil-structure interaction problem, simulating both excavation and construction phases. Nevertheless, the preliminary design is erformed by using the convergence-confinement method, based on the equilibrium of radial stresses and compatibility at the lining-soil interface. As is well known, this approach relies on the definition of the so-called tunnel characteristic curve, putting in relation mean cavity stress and convergence. The characteristic curve is often derived from analytical solutions, typically assuming (i) infinite ground domains, (ii) infinitely long tunnel with circular cross section, (iii) absence of gravity and (iv) pre-excavation isotropic stress state. This approach allows only to assess the average axial forces on the lining, but not to predict bending moments generated by the tunnel distortion, associated with a non uniform and non isotropic initial state of stress.

In this paper finite element numerical analyses results concerning deep tunnels, considering plane strains and undrained conditions, are discussed to demonstrate that (i) the choice of the constitutive model significantly affects the system response and (ii) the anisotropy of the initial stress state leads to non-homothetic deformations.

Sommario

La progettazione dei rivestimenti di gallerie richiede la risoluzione di un problema di interazione terreno-struttura, simulando sia la fase di scavo che quella di costruzione. Tuttavia, la progettazione preliminare viene solitamente effettuata mediante il metodo di convergenza-confinamento, basato sull’equilibrio degli sforzi radiali e sulla compatibilità all’interfaccia tra rivestimento e terreno. Com’è noto, questo approccio si fonda sulla definizione della cosiddetta curva caratteristica della galleria, che mette in relazione la tensione media in cavità con la convergenza. La curva caratteristica è spesso ottenuta da soluzioni analitiche, assumendo tipicamente: (i) domini di terreno infiniti, (ii) gallerie infinitamente lunghe con sezione circolare, (iii) assenza della gravità e (iv) stato di sforzo isotropo pre-scavo. Questo approccio consente di valutare soltanto le azioni assiali medie agenti sul rivestimento, ma non permette di prevedere i momenti flettenti generati dalla distorsione della galleria, associata a uno stato di tensione iniziale non uniforme e non isotropo. In questo lavoro vengono presentati i risultati di analisi numeriche agli elementi finiti riguardanti gallerie profonde, condotte in condizioni di deformazione piana e non drenate, al fine di dimostrare che: (i) la scelta del modello costitutivo influisce in modo significativo sulla risposta del sistema e (ii) l’anisotropia dello stato di sforzo iniziale porta a deformazioni non omotetiche.

Keywords: deep tunnel, characteristic curve, anisotropic stress, lining design. Parole chiave: tunnel profondo, curva caratteristica, sforzo anisotropo, progettazione del rivestimento.

1. Introduction

The design of tunnel linings is particularly complex, as it requires the solution of a soil-structure interaction problem and it should take excavation and construction methods into account. At present, the preliminary design of the lining is based on the “convergence-confinement” method (Lombardi, 1975, Gesta 1978, Brown et al., 1983, Panet 1995, Carranza-Torres and Fairhust, 2000, Panet et al.,

2001, Panet and Sulem, 2022, di Prisco et al., 2022b). This standard approach is based on the definition of (i) the “tunnel characteristic curve”, putting in relation the average pressure on the tunnel wall with the average radial convergence (Kirst, 1898, Ribacchi and Riccioni, 1977), (ii) the “lining characteristic curve”, which relates the pressure on the extrados of the lining with its corresponding convergence and (iii) the curve that relates the radial stress (or convergence) with the distance of the current tunnel cross-section from

the face (Panet and Guenot, 1982, Panet, 1995, Vlachopoulos e Diederichs, 2009) .

From a structural viewpoint, this approach only allows to assess the average axial force in the lining, as a function of the radial pressure, but not the bending moment. In fact, a consequence of the assumptions of the model is that the bending moment in the lining is necessarily nil.

In this paper, finite element non-linear numerical results under plane strain (two-dimensional) conditions of deep cavities unloaded under undrained conditions are discussed. In particular, the authors focus on (i) the importance of the choice of the constitutive model to obtain realistic responses, (ii) the influence of the constitutive model on the characteristic curve definition and (iii) the cavity distortion, even in case of deep tunnels, due to the anisotropy of the initial stress state.

2. The characteristic curve for cylindrical cavities

As is well known, the analytical expression for the cavity characteristic curve (Ribacchi et al., 2018, di Prisco et al., 2022a) is obtained under the following hypotheses: – infinite soil domain (infinite cover-diameter ratio H/D); – homogeneous weightless and isotropic soil, characterized by an elastic-perfectly plastic mechanical behaviour with a Tresca yield criterion, behaving under undrained conditions as a one-phase material (undrained shear strength S u); – isotropic initial (geostatic) state of stress (K= s h0/ s u 0=1 being s u0 and s h0 the geostatic vertical and horizontal stresses, respectively); – cylindrical cavity of infinite length with circular cross section of diameter ; – plane strain geometry.

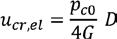
Due to these assumptions, the problem becomes axisymmetric, resulting in uniform stresses and displacements along the cavity boundary. The characteristic curve is thus obtained by progressively and monotonically nullifying the isotropic stress directly applied on the tunnel cavity boundary s c from its initial value sc0, and calculating the radial displacement u c. The analytical expression of the characteristic curve (CC), relating u c and s c, is the following:

where G is the elastic shear modulus and ucr,el the residual elastic displacement associated with a nil radial stress applied to the cavity:

It is interesting to note that, according to equation 1, cavity

unloading can be completed with a finite residual displacement even in the elastic-plastic case. The stability of the system’s mechanical response is ensured by the expansion of the plastified zone, due to the infinite extension of the spatial domain (di Prisco and Flessati, 2021).

To obtain an expression independent on both soil mechanical properties and tunnel diameter, the expression may be conveniently made non-dimensional as follows (Flessati, 2017, di Prisco et al., 2018, di Prisco and Flessati, 2021):

where:

stand for non-dimensional radial stress and radial convergence, respectively. In this way, Q c is a loading variable for the system in the sense that it increases during the cavity unloading process.

In case the mechanical behaviour is assumed to be elastic, under the same hypotheses listed above, the second branch defined in equation 3 disappears and the characteristic curve becomes a straight line passing through the origin and point (1,1).

In the light of this observation, the characteristic curve in

Figure 1. Interpretation of the analytical solution for the characteristic curve in the light of Macroelement theory.

(3)
(4)
(5)

equation (1) may be written as:

(6)

where and stand for elastic and plastic non-dimensional generalized kinematic variables. In such a way (Figure 1), the characteristic curve becomes an upscaled generalized constitutive relationship in the framework of macro-element theory (Nova and Montrasio, 1991).

3. Extension of the analytical solution

In case the initial state of stress is not uniform and not isotropic, the analytical solution stops being valid. From a practical perspective it is useful to test the analytical solution with finite element (FE) simulation results. Here below the results of a FE parametric study are illustrated and interpreted in the light of the non-dimensional characteristic curve previously introduced. Three different series of plane strain undrained finite element numerical analyses have been performed (Appendix), each of them characterized by a different constitutive relationship: (a) elastic, (b) elastic-perfectly plastic and (c) strain-hardening elastic-plastic. In cases (a) and (b) undrained conditions are imposed by following a simplified approach and by modelling the soil behaviour as a one phase material. On the contrary, in case (c) the constitutive law is defined in terms of effective stresses and undrained conditions are simulated by locally imposing nil volumetric strains in the whole domain.

The stress-anisotropy coefficient K , considered in total stress analyses, has been related to the lateral at-rest earth pressure coefficient (k0 = s ′ h0/s ′ v0 being s ′ v0 and s ′ h0 the initial geostatic vertical and horizontal effective stresses, respectively), by assuming the initial pore water pressure distribution to be hydrostatic, the water table coincident with the ground surface and both vertical and horizontal stresses to be principal:

where g sat and g w are soil saturated and water unit volume weights, respectively.

In the following, k between 0.8 and 1.2 has been considered in numerical analyses, corresponding to k0 = 0.6-1.4. This range derives from the values of f′ = 20°-30° accounted for, since k0 has been calculated as a function of overconsolidation ratio OCR ( Jaky, 1944; Brooker and Ireland, 1965):

(8)

In this work has been assumed ranging in between Due to the presence of both the upper boundary and gravity, the numerical model is not axisymmetric (Appendix), unlike

the analytical solution. As a result, both cavity stress and displacement vary along the cavity profile. The numerical characteristic curves are thus defined considering the stress at tunnel axis pc (initial value ) and the average cavity displacement u c .

3.1. Linear elastic FE numerical simulations

In this section, numerical results are obtained by employing a linear-elastic constitutive relationship, with g sat = 20 kN/m3, an undrained Young modulus E u = 50 MPa (assumed to be constant with depth) and an undrained Poisson ratio ν u=0.5. As is evident in figure 2a, independently of the K imposed value, if the characteristic curve is plotted in terms of pc, and u c, parallel straight lines are obtained and ucr,el can be still evaluated by using equation 6, in which s c0 is replaced by pc0 (9)

Once plotted in the non-dimensional plane pc/pc0 –u c/ucr,el (Figure 2b) (the non-dimensional variables introduced in Section 2 cannot be employed since for an elastic material the undrained strength S u is not defined), the curves for different K superimpose.

This implies that, as long as non-dimensional kinematic and static variables are suitably defined, for deep tunnels, if the constitutive relationship is elastic, the solution for the characteristic curve (expressed in terms of average cavity stress and displacement) is not affected by K. Nevertheless, the solutions markedly differ in terms of cavity radial displacements u(q) (Figure 2c). As was expected, for K = 1, the radial displacement u(q) is almost constant with q, whereas for K = 0.8 and 1.2, the initial circular cavity tends to ovalize: with major axis along the horizontal and vertical directions for K = 0.8 and 1.2, respectively.

The influence of K is particularly evident when analyzing the displacement field in the soil domain, where the combined effects of gravity and ground level boundary make severely asymmetric the displacement field (Figure 3), justifying the non-uniform convergence due to the unloading.

3.2. Elastic-perfectly plastic FE numerical simulations

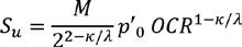
In case an elastic-perfectly plastic constitutive relationship with Tresca yield surface and associated flow rule is used, the linearity of the characteristic curve is lost and the influence of stress anisotropy more evident. In the practice, this constitutive law is very popular to model the mechanical behaviour of clays under undrained conditions, without considering hydro-mechanical coupling and adding, with respect to the elastic case, only one additional parameter, the undrained strength S u, assumed to be constant with depth. This has been imposed equal to S u = 300 kPa, by prescribing s vc0/S u = 7 , being s vc0 the geostatic total vertical stress at the tunnel axis depth.

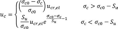
In figure 4, non-dimensional characteristic curves are plotted and compared with the standard analytical solution reported in Section 2. In case K ≠ 1, the non-dimensional variables introduced in eqs 4 and 5 modify as follows:

where ucr,el is evaluated according to eq. 9.

(10) (11)

For K = 1, the numerical characteristic curve practically coincides with the analytical solution, except for very large values of u c/ucr,el due to interference with the upper boundary. This confirms that (i) the geometric dimensions of the numerical model are sufficient to minimize boundary

effects on numerical results, and (ii) in the case of deep tunnels, gravity has a negligible influence on the characteristic curve. Differently from the analytical curve, failure is reached before the complete unloading of the cavity (Figure 4a). This is due to the interference with the upper boundary, limiting the expansion of the plastic radius and consequently the structural hardening response (di Prisco and Flessati, 2022, Zerbi et al., 2024). However, due to the very large H/D ratio, failure is reached for very large (and not realistic) convergences.

For K ≠ 1.0, the numerical characteristic curves deviate from the analytical one. In particular, this deviation is more significant as the initial state of stress becomes more anisotropic (Figure 4b). A not negligible lowering of the characteristic curve is observed, justifying the caution in the use of the standard analytical solution: for fixed values of Qc, the ana-

Figure 2. FE linear elastic numerical results: (a) dimensional and (b) non-dimensional characteristic curves, (c) distribution of radial convergence (normalised over the mean convergence) at 50% of cavity unloading.

4. FE elastic-perfectly plastic numerical results: (a) (b) non-dimensional characteristic curves and (c) distribution of radial convergence (normalised over the mean convergence) at 50% of cavity unloading.

Figure
Figure 3. FE linear elastic numerical results: displacement field for different initial stress anisotropy ratio (a) K = 0.8, (b) K = 1.0, (c) K = 1.2 at 50% of cavity unlo
ading. a) c) b)

lytical predictions may markedly underestimate the convergences numerically assessed. This difference is justified by the convergence profile of the cavity (Figure 4c) and by both displacement and plastic strain fields (Figures 5 and 6). As for the case K = 1, the complete unloading of the cavity cannot be realized (Figure 4a).

For K ≠ 1, numerical solutions are affected by the domain lower boundary. This is due to both Tresca failure envelope shape and the choice of assuming S u to be constant with depth. Indeed, the initial radius of the Mohr circle is a function of both initial stress state anisotropy (the initial radius is nil only in case K = 1) and material depth. As a consequence, yielding is more likely to occur in lower layers. This limitation may be overcome by assuming S u to increase with depth.

To capture the numerical results in the Qc – qc plane, a modification of expression (3) has been thus suggested:

where a c determines the activation of the plastic radius expansion and, consequently, a deviation of the characteristic curve from the linear-elastic trend, whereas b c governs the shape of the plastic branch. It is worth mentioning that (i) for a c = b c = 1 the analytical solution is recovered (eq.3)

Table 1. Model parameters for the modified expression of the characteristic curve.

(12)
Figure 5. FE elastic-perfectly plastic numerical results: displacement field for different initial stress anisotropy ratio (a)
at 50% of cavity unloading.
Figure 6. FE elastic-perfectly plastic numerical results: plastic strain field for different initial stress anisotropy ratio
cavity unloading.

Figure 7. Comparison of standard analytical characteristic curve (black dashed line), FE numerical results (continuous lines) and modified analytical characteristic curve (circles) in the non-dimensional plane Qc – qc for different K values.

and (ii) this expression is valid for sufficiently small values of q c such that the plastic mechanism does not interfere with the upper boundary (i.e. the model is not capable of predicting system failure occurring for large values of convergences).

The modified expression has been used to interpolate FEM

results (Table 1), demonstrating the effectiveness of the proposed characteristic curve formulation in capturing the role of K (Figure 7). Notably, when K ≠ 1, a c < 1, indicating that the activation of plastic radius expansion occurs at a lower level of cavity unloading (Table 1).

To show the capability of the modified expression (equation

8. Interpolating functions for model parameters as function of the initial stress anisotropy ratio K a) activation parameter ac and b) shape parameter bc

Figure

n ′ 0.3 M 1.0 (corrsponding to f′ = 25°

e0 0.5

(12)) in predicting FEM characteristic curves, in figure 7, analytical standard (black dashed lines), FEM (solid lines) and modified analytical characteristic curves (circles) are compared in the non-dimensional plane The agreement is very satisfactory for any K value.

The value for parameters a c and b c as a function of K reported in Table 1 have been interpolated to derive the expressions for the functions a c (K) and b c ( K ) (Figure 8). In particular, for a c (K) a gaussian function has been proposed to account for (i) the symmetry of the function around K = 1 and (ii) for the faster decrease in a c as the initial stress state becomes far from the isotropic one. For function b c (K) a function obtained by adding a gaussian curve to a linear one has been chosen. Such an asymmetry, according to the authors, is likely to be due to a difference in the dependency of the solution on the lower boundary, effect also evident in figure 6 where plastic strains are plotted. The comparison between provided data and interpolating functions is reported in figure 8.

3.3. Strain-hardening elastic-plastic (Modified Cam Clay) FE numerical simulations

In the previous sections, the mechanical behaviour of the homogeneous clay stratum is simulated by disregarding the biphasic nature of the material, whereas here below the numerical problem is solved by using the effective stress principle and locally imposing undrained conditions, that is nil volumetric strains. For the soil skeleton, the strain hardening elastic-plastic Modified Cam Clay model ( Schofield and Wroth , 1968, Roscoe and Burland, 1968, Wood, 1990) has been employed. As a consequence, the number of constitutive parameters (Table 2) to be assigned passes from 3 to 4: l, k, n ′ and M , virgin

loading and unloading/reloading compression line slopes, drained Poisson ratio and critical state line slope (assumed to be not dependent on the Lode angle), respectively. In this case, initial conditions have also to be imposed in terms of initial void ratio e0 (constant with depth) and overconsolidation ratio OCR. This latter has been imposed to be constant with depth and ranging in between 1 and 2 (the strategy followed for the initialization of modified Cam Clay isotropic hardening variable p0 is reported in Appendix). The soil saturated unit weight has been assumed equal to 20 kN/ m3, whereas the values for constitutive and state parameters are reported in Table 2.

Due to its formulation, Modified Cam Clay accounts for the increase in both elastic stiffness and shear strength with the effective confining pressure. To discuss the numerical results in the non-dimensional Qc – qc plane, the authors adopted the strategy followed in Flessati et al., 2021 and Flessati and di Prisco, 2024. In particular, the S u reference value is calculated by analytically integrating the Modified Cam Clay constitutive equations under standard undrained triaxial compression stress paths (Cao et al., 2001)

(13)

Thus, different over-consolidation ratios correspond to different k0, K and S u values (Table 3).

Analogously, u cr,el is calculated by using equation 9 and E u evaluated as:

(14)

This procedure is correct, since during elastic undrained cavity unloading, p′ is not expected to vary and consequently also material elastic stiffness.

As is evident in figure 9a, due to the variation in S u, numerical characteristic curves severely depend on OCR: for OCR < 1.5, the excavation cannot be completed and u c/ucr,el goes to infinite for finite values of pc/pc0.

In Qc – qc plane, numerical characteristic curves are more similar (Figure 9b), since normalized by employing in each case the correspondent S u value. The initial “elastic” branch extension depends on the OCR value imposed and for OCR = 1 it disappears.

To confirm the reliability of the strategy employed to make

Table 2. Modified Cam Clay model parameters and initial state variables.
Table 3. Initial stress anisotropy ratios and undrained strength for the different OCR values.

9. FE strain hardening elastic-perfectly plastic numerical results: (a) (b) non-dimensional characteristic curves and (c) distribution of radial convergence (normalised over the mean convergence) at 50% of cavity unloading.

non-dimensional the numerical characteristic curves obtained by using the Modified Cam Clay model, the authors have performed a series of numerical analyses by changing: l, k, n′ and M and keeping constant S u, E u, and OCR. In the Qc –qc plane all these curves superimposed. This demonstrates that the characteristic curve in the non-dimensional plane is only governed by OCR.

The comparison of numerical curves with the standard analytical solution allows to highlight the reliability of this latter in predicting the cavity convergence: the quality of the predictions reduces for decreasing values of OCR, but predictions are on the safe-side for sufficiently large OCR values

(OCR ≥ 1.5).

The numerical results in terms of cavity convergence (Figure 9c), fields of soil displacements (Figure 10) and plastic strains (Figure 11) confirm that as k0 increases, the cavity deformation tends to be axially symmetric and the most distorted is the profile relative to the normally consolidated case. Moreover, differently from what obtained in the elastic-perfectly plastic case (Section 3.1), the Modified Cam Clay model predictions are characterized by a lower (and more realistic, since lower with respect to the crown displacement) invert arch heave (Figure 9c).

Displacement and plastic strain spatial distributions (Fig -

Figure

ures 10 and 11) recall those obtained in the elastic-perfectly plastic case (Section 3.2); nevertheless, in this case, as was expected, the results are not affected by the presence of the lower boundary. The magnitude of both displacements and plastic strains significantly decrease for increasing OCR and k 0 values. Indeed, for OCR = 1 (Figures 11a), yielding mainly develops laterally, coherently with convergence trend (green line in Figure 8); in case OCR = 1.5, yielding, although less pronounced, takes place laterally again (Figure 11b); whereas in case OCR = 2, yielding is negligible (Figure 11c), and displacements do not reach the upper boundary (Figure 10c).

As was already observed here above, OCR rules the passage from elastic to elastic-plastic responses. For OCR = 1, the system response is elastic-plastic from the very beginning. Such a behaviour necessarily affects also the nature of the model equations that are used to predict the system re-

sponse in the Qc – qc plane.

As was mentioned in Section 2, equation 12 may be interpreted as elastic and elastic-plastic upscaled constitutive relationships. For Q c = a c (yielding condition), the cavity response passes from elastic to elastic-plastic. In case, an elastic-perfectly plastic constitutive relationship is employed, such a condition takes place for finite value of Q c . Analogously, such a threshold exists when Modified Cam Clay model is used and OCR > 1. Conversely for OCR = 1 such threshold nullifies, and the response of the system is elastic-plastic from the beginning. In this last case, equation 12 cannot be used and must be substituted by the follow

ing one:

in which governs the initial slope of the curve.

-
(15)
Figure 10. FE strain hardening elastic-plastic numerical results: displacement field for different initial stress anisotropy ratio (a) OCR = 1.0, (b) OCR = 1.5, (c) OCR = 2.0 at 50% of cavity unloading.
Figure 11. FE strain hardening elastic-plastic numerical results: plastic strain field for different initial stress anisotropy ratio (a) OCR = 1.0, (b) OCR = 1.5, (c) OCR = 2.0 at 50% of cavity unloading.

The model parameters to be used in equations 11 and 14, are reported in Table 3 whereas the comparison between model predictions and numerical results are in figure 12. The agreement is more than satisfactory. In case OCR = 1, the discrepancy for q c > 12 is justified by the interference between yielded zones and the ground level.

The value for parameters a c and b c as a function of OCR reported in table 4 have been interpolated to derive the expressions for the functions ac(OCR) and bc(OCR) , for OCR>1 (Figure 13).

Table 4. Calibrated model parameters for the modified expression of the characteristic curve.
Figure 12. Comparison of analytical characteristic curves and FE numerical results in the non-dimensional plane Qc – qc for different OCR values.
Figure 13. Interpolating functions for model parameters as function of the overconsolidation ratio OCR a) activation parameter a c and b) shape parameter b c (for OCR > 1).

Conclusions

In this paper, plane strain finite element numerical analyses results, concerning the problem of cavity unloading, are discussed. Ideal cylindrical deep tunnels, immersed in homogeneous clayey strata and behaving under undrained conditions, are taken into consideration. The numerical problem is tackled by employing three standard and popular constitutive relationships: one elastic, one elastic perfectly plastic and one strain hardening elastic-plastic.

Numerical results have been used to: – compare the characteristic curves numerically obtained with the standard one, analytically derived under ideal conditions, not taking into account the material selfweight, the anisotropy of the in-situ state of stress, the dependence of the soil stiffness on confining pressure and the non-linearity of the stress-strain curve before reaching the ultimate condition.

– discuss the influence of initial stress anisotropy and constitutive relationships employed on the prediction of cavity distortion.

The authors have derived that, in case of deep tunnels: – the material self-weight plays a negligible role; – the ground level affects the solution in terms of convergence only for very large displacements; – the anisotropy of the initial stress state severely modifies the characteristic curve; – in case a Tresca elastic-perfectly plastic model is chosen, the reliability of the results becomes questionable, when values of K far from 1 are taken into consideration; – the anisotropy of the initial stress state is particularly important in relation to the radial convergence profile, that is almost uniform only in case of K = 1 and becomes strongly dependent on the angular coordinate for K ≠ 1. A modified formulation of the standard characteristic curve is thus proposed to account for the anisotropy of the initial state of stress. The modification of the standard characteristic curve definition passed through the non-dimensional definition of the relationship. This allowed to adapt it to a wide range of cases characterised by different geometries and soil mechanical properties.

In case of Modified Cam Clay model is employed, a strategy to adapt the original formulation of the characteristic curve is suggested. In this case, the characteristic curve is demonstrated to depend exclusively on the over-consolidation ratio imposed.

The capability of the modified formula of predicting FEM numerical results seems to be satisfactorily for pre-design stages, extending its applicability.

Appendix Numerical model

Numerical analyses were conducted using the finite element code MIDAS FEA NX. The geometry of the numerical model

is shown in figure 14. Plane strain conditions were imposed and, owing to the problem’s symmetry, only half of the domain was simulated. The system geometry is defined by a tunnel diameter D = 10m and an axis depth H = 10.5D. The lateral and lower boundaries were placed sufficiently far from the tunnel to minimise their influence on numerical results, and displacements in the normal direction were not allowed along these boundaries.

The analyses were performed in two stages: – the initial stress field was applied throughout the entire domain. In the case of total stress analyses, the vertical stress was gradually increased to its final geostatic value while the horizontal stress was imposed based on the coefficient K. For effective stress analyses, the vertical stress was similarly increased to its final geostatic value, but the horizontal stresses were imposed using the coefficient k0. In the latter case, it was necessary to initialize the water pressure, which was initially assumed to be hydrostatic, and the modified Cam Clay isotropic hardening variable p0 . This is done by evaluating the p0 value that satisfies the yield function equation f = 0 in each point of the soil stratum:

(16)

Figure 14. FEM numerical model employed.

the unloading process of the cavity was simulated by progressively removing the soil elements within the cavity.

Bibliografia

[1] Brooker E.W., Ireland H.O. (1965). Earth Pressures at Rest Related to Stress History. Canadian Geotechnical Journal, 2(1), 1-15.

[2] Brown E.T., Bray J.W., Ladanyi D., Hoek E. (1983). Ground response curves for rock tunnels. Journal of Geotechnical Engineering, 109(1), 15-39.

[3] Cao L.F., Teh C.I., Chang M.F. (2001). Undrained cavity expansion in modified Cam clay I: Theoretical analysis. Géotechnique, 51(4), 323-334.

[4] Carranza-Torres C., Fairhurst C. (2000). Application of the convergence-confinement method of tunnel design to rock masses that satisfy the Hoek-Brown failure criterion. Tunnelling and Underground Space Technology, 15(2), 187-213.

[5] di Prisco C., Boldini D., Desideri A., Bilotta E., Russo G., Callari C., Flessati L., Graziani A., Meda A. (2022). Computational methods. In Handbook on tunnels and underground works (eds E. Bilotta, R. Casale, C.G. di Prisco, S. Miliziano, D. Peila, A. Pigorini and E. M. Pizzarotti), pp. 203245. Leiden, The Netherlands: CRC Press/Balkema.

[6] di Prisco C., Flessati L. (2021). A generalized constitutive relationship for undrained soil structure interaction problems. In International Conference of the International Association for Computer Methods and Advances in Geomechanics (pp. 398-405). Cham: Springer International Publishing.

[7] di Prisco C., Callari C., Barbero M., Bilotta E., Russo G., Boldini D., Sciotti A. (2022). Assessment of excavation-related hazards and design of mitigation measures. In Handbook on tunnels and underground works (eds E. Bilotta, R. Casale, C.G. di Prisco, S. Miliziano, D. Peila, A. Pigorini and E. M. Pizzarotti), pp. 247-316. Leiden, The Netherlands: CRC Press/Balkema.

[8] di Prisco C., Flessati L., Frigerio G., Lunardi P. (2018). A numerical exercise for the definition under undrained conditions of the deep tunnel front characteristic curve. Acta Geotechnica, 13, 635-649.

[9] Flessati L. (2017). Mechanical response of reinforced deep tunnel fronts in cohesive soils: experimental and numerical analyses. PhD Thesis. Politecnico di Milano.

[10] Flessati L., di Prisco C. (2024). Mechanised deep tunnel

excavation in saturated clayey soils: a pre-design hydromechanically coupled method for the assessment of both spoil and face volume loss. Géotechnique, 1-14.

[11] Flessati L., di Prisco C., Callea F. (2021). Numerical and theoretical analyses of settlements of strip shallow foundations on normally consolidated clays under partially drained conditions. Géotechnique, 71(12), 1114-1134.

[12] Gesta P. , et al . (1978). Tunnel stability by convergence confinement method. Simposyum AFETS, Paris.

[13] Jaky J. (1944). The coefficient of earth pressure at rest. Journal of the Society of Hungarian Architects and Engineers.

[14] Kirst G. (1898). Die theorie der elastizität und die bedürfnisse der festigkeitslehre. Zeitschrift des Vereines Deutscher Ingenieure, 42(28), 797-807.

[15] Lombardi G. (1973). Dimension of tunnel lining with regard to constructional procedure. Tunnels & Tunnelling International, 5(4).

[16] Nova R., Montrasio L. (1991). Settlements of shallow foundations on sand. Géotechnique, 41(2), 243-256.

[17] Panet M., Guenot A. (1982). Analysis of convergence behind the face of a tunnel. Tunneling ’82, Brington, 197-204.

[18] Panet M. (1995). Le calcul des tunnels par la methode convergence-confinement. Presses ENPC.

[19] Panet M., Bouvard A., Dardard B., Dubois P., Givet O., et al. (2001). Recommandations on the convergence-confinement method. AFTES, France.

[20] Panet M., Sulem J. (2022). Convergence-confinement method for tunnel design. Cham, Switzerland: Springer.

[21] Ribacchi R., Riccioni R. (1977). Stato di sforzo e deformazione intorno ad una galleria circolare. Gallerie e Grandi Opere Sotterranee, 5, 7-18.

[22] Ribacchi R., Rotonda T., Graziani A., Boldini D., Tommasi P., Lembo Fazio A. (2018). Meccanica delle rocce. Teoria e applicazioni nell’Ingegneria. Libreria Efesto di A. Catalfo.

[23] Roscoe K.H., Burland J.B. (1968). On the generalized stress-strain behaviour of ‘wet’ clay. In Engineering Plasticity, Cambridge University Press, 535-609.

[24] Schofield A.N., Wroth P. (1968). Critical state soil mechanics (Vol. 310). London: McGraw-Hill.

[25] Vlachopoulos N., Diederichs M.S. (2009). Improved longitudinal displacement profiles for convergence confinement analysis of deep tunnels. Rock Mechanics and Rock Engineering, 42(2), 131-146.

[26] Wood D.M. (1990). Soil behaviour and critical state soil mechanics. Cambridge University Press.

[27] Zerbi M., Flessati L., di Prisco C. (2024). Curve caratteristiche non drenate per gallerie profonde e superficiali in assenza e in presenza di rivestimento: analisi numeriche e interpretazione teorica. In Atti dell’Incontro Annuale dei Ricercatori di Geotecnica IARG 2024.

SOLUZIONI INNOVATIVE PER LO SCAVO DI OGNI GALLERIA

Depolveratori e ventilatori

Tappeti per nastri trasportatori

Controllo accessi in galleria

Veicoli speciali per gallerie

Casseri e impianti di produzione a carosello per conci

Impianti di separazione

Schiume e grassi

Locomotori e rolling stock

Passerelle pedonali per gallerie

Impianti bicomponente

Ponti prefabbricati
TBM

The Northern Bypass of Kraków – Design and construction aspects of the TS-14 road tunnel along the expressway S52

La circonvallazione nord di Cracovia: aspetti progettuali e costruttivi del tunnel stradale TS-14 lungo la superstrada S52

Michele Palomba a, *

Luca rePetto b

Isabella m arqueZ a

Michał SkwarczyńSki c

a SYSTRA S.p.A. (formerly SWS Engineering. S.p.A.), Torino, Italia

b TECNE SYSTRA-SWS S.r.L. (formerly SWS Engineering S.p.A.),Torino, Italia

c GÜLERMAK SPÓŁKA z o.o ul.,Warszawa, Polska * corresponding author: mpalomba@systra.com

Abstract

The TS-14 road tunnel, whose construction by the Turkish company GÜLERMAK was finalized in 2023, is part of a larger road project concerning the completion of Kraków’s northern ring road. The S52 ring road (12.5 km long) and the S7 motorway (12 km) is an important infrastructure project aimed to improve urban mobility and reducing traffic congestion in the northern part of Kraków. The construction of the TS14 tunnel fits into this context. With a length of approximately 496 m, the Tunnel TS-14 built through the Top-Down construction method allows to minimize surface interference and underpass the existing DD-13 road. This article will present the priority aspects considered by SYSTRA S.p.A. during the detailed design of the TS-14 tunnel, focusing on the design criteria and assumptions, and on the performed numerical analyses, providing an overview of the general complexity of the project and describing remedial measures need to cope to some critical situations encountered during construction.

Sommario

Il tunnel stradale TS-14, la cui costruzione da parte dell’impresa turca GÜLERMAK è stata completata nel 2023, fa parte di un’opera viaria più ampia riguardante il completamento della circonvallazione nord di Cracovia, entrata in esercizio nel Dicembre 2024. La tangenziale S52 (lunga 12.5 km) e la bretella autostradale S7 (12km), rappresentano un importante progetto infrastrutturale volto a migliorare la mobilità urbana, riducendo la congestione del traffico e i tempi di percorrenza, oltre a contribuire allo sviluppo economico locale. Con una lunghezza di circa 496 m, il Tunnel TS-14 realizzato con metodologia Top-Down, si è reso necessario per minimizzare le interferenze superficiali e sotto-attraversare la viabilità esistente DD-13. Il presente articolo riporta alcuni aspetti prioritari considerati da SYSTRA S.p.A. durante la fase di progettazione costruttiva del tunnel TS-14, nonché i criteri di progettazione adottati, le ipotesi di calcolo assunte e le simulazioni numeriche condotte, fornendo una panoramica sulla complessità generale del progetto e sugli interventi specifici messi in atto per porre rimedio a situazioni di criticità riscontrare in cantiere durante la costruzione.

Keywords: road tunnel, design, Cut & Cover, Top-Down, structural and geotechnical analysis, diaphragm walls, monitoring, FEM model, expressway, Kraków.

Parole chiave: tunnel stradale, progettazione, Cut & Cover, metodo Milano, analisi strutturali e geotecniche, diaframmi, monitoraggio, modellazioni FEM, circonvallazione, Cracovia.

1. Introduction

The design and construction of the northern bypass along the S52 expressway led to the completion of the peripheral road system of Kraków, the second most important city in Poland. Its completion is part of the ambitious infrastructure enhancement program for the decade 2014-2023, which involved a total investment of over 450 million euros. The project was funded by the General Director for National Roads and Motorways (GDDKiA) and supplemented by the European

Regional Development Fund through the “Infrastructure and Environment” operational program.

The new expressway extends for nearly 15 km and includes several civil engineering structures. Among these are the TS-14 and TS-04 tunnels, along with 27 structures including viaducts and overpasses, as well as 4 km of retaining walls. Figure 1 illustrates the road network of Kraków and in red the new northern section required to complete the road system. The S52 is 12.5 km long and extends up to the Kraków Mistrzejowice where it connects to the S7 motorway. In addition,

Nota tecnica Nota tecnica

as part of the civil works, the existing 2.5 km section between the Modlniczka and Modlnica exits were also modernized and upgraded. The bypass features two carriageways, each with three lanes.

The new route makes travel within Kraków easier by distributing traffic between the southern (existing) and northern (newly built) side of the bypass, reducing significantly the traffic along the existing part of the road system. Moreover, the opportunity to use both the northern and southern section’s together minimizes the impact on traffic flow toward RzeszówKatowice in case of slowdowns or obstructions. The new section road is aimed to accommodate all the traffic and part of the urban traffic that currently passes through the northern area of Kraków via National Road No. 79. According to forecasts traffic, the new section will handle an average of 30,000 vehicles per day by 2026. The new roadway will also significantly reduce travel times to Warsaw, Wrocław, and Katowice. Before the completion of the northern section, the bypass surrounded Kraków on three sides: the western side (National Road No. 94 and A4), the southern side (A4 motorway), and the eastern side (S7 expressway). The northern section is the last part of the road network that connects all the routes ensuring the full completion of the so-called “Ring” around the city.

The engineering firm SYSTRA S.p.A. (formerly SWS Engineering S.p.A. at the time of contract formalization) was appointed in 2020 as designer of the civil structures together with the main designer Multiconsult Polska by the Turkish Construction company Gülermak to perform the detailed design of the main structures and to provide support during construction. The detailed design was developed based on the tender documentation prepared as part of the Polish approval process to obtain the so-called “Pozwolenie Budowę” (PB – building permit) [1]. It serves as the administrative authorization required to commence the construction site. It ensures that the project complies with urban planning, environmental, and safety regulations. SYSTRA conducted a critical review of the tender design and provided improvements related to the construction stages while complying with the requirements specified in the PB.

2. The tunnel TS-14

2.1.

Overview

The TS-14 tunnel, part of the new ring road, is located north of Kraków, near Batowice Hill and within the municipality of Zielonki. The tunnel is 496 m long (from CH 11+836 to CH

Figure 1. The bypass of Kraków (the newly constructed section S52 POK is marked in red.

12+332), with a span of 36 m with low cover ranging from 2 to 5 m.

As part of the S52 road project, for the completion the northern section of the ring, an underpass was required beneath the existing DD-13 road at km 11+938.65, making the construction of the TS-14 tunnel necessary. Figure 2 presents the layout of the structure along with a functional cross-section of the tunnel between CH 11+836 and CH 12+083.90. This section highlights the key structural elements of the tunnel, including lateral diaphragm walls, the barrettes, the

top slab and other E&M installations required for the operation of the roadway.

Each direction includes three lanes 3.5 m wide, along with a 2.5 m emergency lane, 0.5 m pavement, and a 1.25 m walkway for emergency exit. The road clearance height is 5.0 m, in accordance with operational requirements. From a construction perspective, the TS-14 tunnel was built using the top-down method, also known as the “Milan Method.” This approach involves the construction of the permanent structures first while delaying excavation to a later phase,

Figure 2. TS-14 tunnel: (a) plan view and (b) typical cross-section.

Nota tecnica Nota tecnica

allowing the surface area to become operational again in a short time. The load-bearing frame of the tunnel consists of:

– Continuous lateral reinforced concrete diaphragm walls with a thickness of 800 mm made of C30/37 class concrete with preassembled steel cages. These walls were designed to be permanent without additional internal lining.

– Barrettes, made of monolithic reinforced concrete (single panel diaphragm wall) with a rectangular section of 2800×800 mm and a spacing of 5.6 m, also reinforced with preassembled steel cages. The void between the panels is later sealed with cast-in-place reinforced concrete walls built to have a continuous partition, except along the openings foreseen to fit the emergency doors.

– Top slab, connected to the diaphragm walls and barrettes, with a variable thickness ranging from 830 mm to 1100 mm and a width of approximately 35 m. It is constructed using cast-in-place C35/45 class concrete and conventional reinforcement with steel bars. The intrados geometry of the slab at the connection with the diaphragm walls and bars is specifically shaped to strengthen these joints, enhancing shear resistance and enabling a semirigid connection between the slab and diaphragm.

– Base slab, made of 250 mm thick reinforced concrete with welded mesh reinforcement. Its specific geometric configuration at the diaphragm wall and central bar junctions allows for the passage of electrical conduits and the installation of hydraulic systems (pipes, siphons, and inspection manholes) to manage potential groundwater infiltration as well as road platform waters and potential spilled liquids from vehicles.

Furthermore, no-structural elements consisting of prefabricated panels with a few centimetres thickness are included to cover the diaphragm walls and central bars for architectural purpose. These elements are located approximately 250 mm from the intrados to accommodate potential misalignments during the execution of the d-walls. For operational needs and safety management, the following provisions are also included:

– every 148 m, technological niches are planned to accommodate the necessary systems, equipped with hydrants and emergency phones;

– again every 148 m, at specific locations between the barrettes, connection doors are placed to allow the evacuation in case of fire in one of the tunnel;

– near the portals, there are technical buildings BT3 and BT4 for the management of the tunnel during operation. These buildings are located directly on the roof slab of the tunnel; – the connection to the S52 at the portals is achieved through ramps supported laterally by reinforced concrete diaphragm walls, like those used for the tunnel construction. In addition, a triangular-shaped reinforced concrete wall is placed along the ramp to separate the two carriageways.

To facilitate the logistics of the construction site during the excavation, two temporary openings (which were later closed) of 8.4 m in length were considered between the barrettes at the central part of the alignment to allow the passage of vehicles from one tunnel tube to the other.

2.2. The construction solution

To reduce the construction time, special attention was focused in defining the best construction solution. It was investigated the opportunity to shorten the length of the d-walls according to the updated geological conditions, leveraging the additional information came from a supplementary geotechnical investigation aimed at reducing uncertainty about the underlying rock formation.

To minimize the load on the lateral d-walls and barrettes, partial excavations were foreseen, along with progressive backfilling above the top slab. These evaluations fully confirmed the top-down design solution, which was deemed the best possible, especially due to the specific geological conditions of the site.

Compared to other solutions, including the bottom-up excavation, the top-down method presents undeniable advantages. The capability to install the d-walls and the top slab in advance allows for a quicker restoration of the final ground configuration with fewer impacts on the existing roadways

Figure 3. (a) Completed tunnel and (b) ramp in the East portal.

and better logistic of the construction site. Furthermore, the construction of the top slab immediately restrains the excavation acting as a rigid support and, thus, limiting the bending in the d-wall and the induced deformations.

Compared to a structure with shallow foundations, the use of lateral diaphragm walls (which, in addition to providing retaining functions, also ensure adequate load-bearing capacity) and the barrettes as deep foundations allows for better management of the great geological variability, limiting settlement of the structures and differential settlements that could affect the structural performance of the top slab because rigidly connected to the d-walls and the barrettes.

2.3. Geological overview

The TS14 tunnel crosses an extremely variable and heterogeneous geology typical of the northern Kraków area. The excavation involves quaternary and miocene sediments, while the foundation of the diaphragm walls reaches the top of the bedrock layer jurassic-cretaceous. The soil classification was performed in accordance with the Polish standard PN81/B-03020, which defines specific terminology and codes for the identification of each lithology.

The geological formations involved by the TS-14 excavation are summarized below: – Jurassic-Cretaceous deposits: mainly consist of limestones, less frequently marls, which are highly fractured, fissured, partially eroded, and affected by numerous faults; – miocene deposits: primarily clays and claystones, less frequently marls, with colours ranging from light grey to dark

grey. Occasionally, thin sandy-silty intercalations may be present. Clays and claystones are locally laminated and show cracks and damage, likely related to fault tectonics; – pleistocene glacial sediments: variably grained sands and gravels, with cohesive glacial soils in the form of blocks and silts.

A deep pressurized groundwater level is found within the cretaceous-jurassic limestones, confined by the overlying saturated miocene clay layers. Its hydrostatic level stabilizes at a depth of approximately 9.0-11.0 m below the ground level. This condition, along with the morphology of the area where the TS-14 tunnel is located and the absence of a groundwater in the shallow pleistocene sediments, minimize risk of groundwater infiltration into the excavation. As a result, it was feasible to exclude a structural bottom slab, deciding instead for a non-structural levelling slab, providing in any case sealing measures along the joints, to avoid water infiltration in case of exceptional groundwater fluctuations during service life of the tunnel.

The figure 4 below shows a geological cross-section at PK 11+950, illustrating the extreme variability of the different lithologies encountered. This variability was a significant challenge in the design of the diaphragm walls.

The additional investigations carried out in 2020, which included supplementary boreholes, in-situ tests, and laboratory tests (triaxial and oedometer tests), confirmed the reliability of the geological and geotechnical model defined in the PB. Table 1 summarizes the main geotechnical parameters of the soils involved by the excavations.

Figure 4. Geological cross section at PK 11+950.

Nota tecnica Nota tecnica

Table 1. Project parameters (PB – Geotech).

Legend: c: cohesion; ϕ : friction angle; E 0 : Young’s modulus; c u : undrained shear resistance; qc: base resistance; R c : compressive strength; CPT: Cone Penetretion Test.

2.4. Construction stages

The construction of the TS-14 tunnel has foreseen the following stages: –

Excavation up to the design drilling level, preparing for the construction of the d-walls and the top slab.

– Execution of d-walls and barrettes with preassembled steel cages.

– Construction of the top slab with cast-in-place reinforced concrete. The extrados of the slab was built with a 1.5 % slope to facilitate rainwater drainage. A waterproofing membrane was installed and followed by gradual backfilling above the slab.

– Excavation beneath the top slab, carried out in two steps until reaching the formation level of the non-structural foundation slab. To minimize flexural stresses on the barrettes, it was specified that the excavation of both tunnel tubes shall have performed simultaneously to ensure balanced soil pressure on both sides of the barrette.

– Construction of cast-in-place reinforced concrete walls between the barrettes.

– Completion of the tunnel, including installation of support systems for future operation. This phase involved constructing the subbase and road pavement, completing sidewalks housing the service ducts, installing aes-

thetic cover panels on the diaphragm walls, mounting jet fans for ventilation, and adding signalling for traffic management and emergency exits.

Figure 5 shows key phases of the construction process, from the d-wall installation to the completion of the tunnel.

2.5. Diaphragm walls

The successful completion of the TS-14 tunnel project was closely linked to the execution of the diaphragm walls which are the most important structural elements of the entire system. The multipanel diaphragm walls has a rectangular cross section of 6.5 x 0.8 m, and the excavation is carried out using a hydraulic grab bucket measuring 2.8 x 0.8 m, with a multiple-bite configuration (three panels excavated sequentially with partial overlap) with the presence of a stabilizing fluid, bentonite slurry. The structural diaphragm walls are reinforced with pre-assembled steel cages, with a maximum length of 18.0 m to facilitate transport and handling on-site; the steel cages are lowered into the excavation using appropriate cranes. For each 6.5 m-long diaphragm wall, two steel cages are installed. The concrete casting is carried out through a tremie pipe, which allows the excavation to be filled gradually from the bottom to the top. Simultaneously with the pouring, the bentonite

to a sand removal unit before being stored in tanks for reuse. The construction method adopted for the diaphragm walls allowed the creation of a continuous wall that ensured both structural continuity and hydraulic sealing against groundwater inflow. This was achieved through the installation of stop-ends between adjacent diaphragm walls, which are recovered after each casting phase. These elements enable the formation of a shear key between two adjacent panels and allows the installation of a waterstop that seals the vertical construction joint between them. Since these are permanent diaphragm walls without internal structural linings, ensuring waterproofing is a fundamental requirement to avoid water infiltration from the ground into the tunnel during its operational phase, which could other-

wise compromise the durability of the structure. Water seepage from the bottom slab is also prevented, as the diaphragm walls reaches the less permeable silty/clayey soil layers, effectively minimizing hydraulic inflows into the tunnel. Additionally, the installation of hydro-expansive sealing strips at the joints between the bottom slab and the diaphragm walls provides a redundant measure against potential leaks. The length of the diaphragm walls, which varies significantly along the tunnel alignment from 6 m (where the bedrock is shallow) to 22 m (where the bedrock is deep) due to the geological heterogeneity, is primarily determined by:

– Ensure adequate load-bearing capacity to withstand the vertical loads transmitted by the top slab.

– Develop sufficient mobilization of passive earth pressu-

Figure 5. Construction phases.

Nota tecnica Nota tecnica

res.

– Reach low-permeability soil layers to limit potential hydraulic inflows into the tunnel during operation phase.

– Where possible, extend the diaphragm walls to the jurassic-cretaceous bedrock level, providing a stable founda-

tion for the diaphragm walls.

Upon reaching the theoretical design depth for each panel, in-situ Field Vane tests (FV) were carried out to verify the undrained shear strength of saturated cohesive soils (miocene deposits). Based on the test results, if the encountered

Figure 6. Diaphragm walls construction stages.
Figure 7. Tunnel longitudinal profile with left diaphragm walls alignment.

soil did not provide sufficient load-bearing capacity, the diaphragm depth was re-evaluated for potential further extension. For diaphragm walls exceeding the standard 18 m cage length, a flexible construction approach was adopted to avoid the need for custom reinforcement cages for each panel, the deeper portion was constructed using unreinforced concrete, applying the “soil replacement” principle (replacing natural soil with a material of better mechanical properties). Figure 7, derived from the construction design documents, illustrates the lateral diaphragm wall profiles in relation to the soil stratigraphy. The variability of the diaphragm wall lengths is evident, reflecting the different lithologies encountered. The length of the diaphragms is determined not only by soil resistance but also by the magnitude of vertical forces to be transferred, which vary along the tunnel alignment depending on the backfilling conditions, as well as the presence of road embankments or technical buildings.

2.6. Central barrettes

The central barrettes are structural elements similar to the diaphragm walls, but with a cross-sectional area of 2.8×0.8 m, corresponding to the geometry of the used grab bucket (single bite). These elements have a longitudinal spacing of 5.6 meters. The openings between the barrettes are closed by the construction of concrete walls, which ensure the airtight separation of the two galleries, except where emergency doors were planned to be installed for evacuation in case of emergency.

2.7. The top slab

The monolithic reinforced concrete structure, that serves as the tunnel cover, is characterized by two clear spans of about 17

m and variable thicknesses ranging from 85 to 110 cm, with severe load conditions due to the thickness of the soil backfilling, road embankments and variable surcharges. The connection with the lateral diaphragm walls and the central barrettes required a detailed study of the reinforcement geometry ensuring structural continuity with the diaphragms and simplifying the installation of reinforcing bars during construction. Additionally, the top slab includes expansion joints every 2025 m to allow for the management of potential thermal deformations for both long terms (during operation stage) and short terms (during curing phase of the poured concrete, i.e. shrinkage effect), preventing the formation of cracks. From a design perspective, the slab has been divided into sectors (S1÷S9), each consisting of two segments. The structural joints define the change from one segment to the next, as shown in figure 9.

The geometry of the extrados of the top slab has a 1.50 % slope to facilitate the drainage of rainwater infiltration towards the lateral ground. Figure 10 shows a cross-section and plan view of the reinforcement of the slab.

Waterproofing of the structure is achieved through the installation of a 2 mm thick PVC membrane, equipped with a protective geotextile layer. The hydraulic seal at the expansion joints is ensured through a PVC waterstop capable of absorbing differential settlements up to 20 mm. Additionally, injection hoses are provided for resin or cementitious injections in case remedial sealing treatments are required in the event of leaks. The sealing of the construction joint between the diaphragm walls and the top slab is achieved by overlapping the membrane, properly anchored to the upper part of the diaphragm using an adhesive PVC tape and by installing a hydro-expanding strips (swellable profiles).

Figure 8. Central barrettes.

Nota tecnica Nota tecnica

Figure 9. Top slab plan view with indication of structural joints.
Figure 10. Top slab reinforcement: (a) cross-section and (b) plan view. a)

3. Design criteria

The design of tunnel TS-14 required detailed numerical analyses followed by structural and geotechnical checks. Specific design criteria were applied for:

– The reinforced concrete diaphragm walls and central barrettes design using a 2D geotechnical finite element calculation model.

– Geotechnical verification of the load-bearing capacity of the diaphragm walls and central barrettes through an analytical approach. This involves evaluating the base and lateral resistance using analytical formulas based on soil type (cohesive or granular). In the case of non-cohesive soil, for example, the α method and the Berezantzev method (1970) [2] were used for lateral and base resistance, respectively. In accordance with PN 1997-1:2008/Ap2, Approach 2 and combination A1 “+” M1 “+” R2 were used.

– Top slab structural design using 3D models with superimposed load and thermal analyses in accordance with PNEN 1991-5.

– Additional analyses to account for the loads induced by impact of vehicular loads on the intermediate barrettes (PN-EN1991-2 and PN-EN1991-1-7) and fire checks in case of tunnel fires (using the simplified 500°C isotherm method according to PN-EN 1992-1-2).

3.1. Geotechnical calculation model for the diaphragm walls design

The geotechnical calculation model for the diaphragm walls and barrettes design, allows for the correct modelling of the stress strain interaction between the soil and the structural elements of the tunnel, appropriately simulating the construction and excavation phases. Given the extreme heterogeneity of the geological formations involved in the excavation, the choice of FEM analysis was essential to investigate

Figure 11. Waterproofing details.
Figure 12. Typical cross- section for the diaphragm walls and barrettes design.

Nota tecnica Nota tecnica

the multiple expected scenarios in terms of the structure’s response to excavation.

On the surface level, the calculation models were completed by including, where required, loads transmitted by road embankments or technical buildings. For road traffic, an additional load of 20 kPa was considered to simulate the overload induced by heavy vehicles.

As an example, figure 13 shows a typical calculation result for the displacements and flexural stresses induced in the structures upon completion of the tunnel, with the final arrangement of the surface level.

From the calculated stresses, structural verifications were performed for the diaphragm walls and top slab in accordance with the Eurocode and the national standards documents in Poland (PN-EN 1992-1-1 2008), considering both the ultimate limit state (ULS) and the serviceability limit state (SLS).

3.2. Structural calculation model for the top slab design

For the design of the top slab, a 3D structural calculation model with imposed loads was applied, which allows a more accurate assessment of the effects of the design loads (final backfill-

ing, loads transmitted by embankments, road traffic, and technical buildings) on the distribution of stresses, compared to conventional plain-strain models. The 3D model allows to include the geometric effect of the central barrettes, which do not provide continuous longitudinal support to the slab, as well as the calibration of the settlements of the diaphragm walls and central barrettes, previously estimated through geotechnical modelling. Similarly, a comparison was made between the stresses obtained from the geotechnical model and those derived from the structural model to validate the results and confirm their reliability. The following figure shows a typical view of the 3D model, highlighting the various structural elements, including the two lateral technical niches.

3.3. Monitoring

Particular attention was given to the geotechnical and structural monitoring system during the construction phase, with the scope of verifying the reliability of the design assumptions, investigating the structural response to excavation, and promptly implementing corrective measures in case of threshold exceedance. The monitoring system involved the installation of optical targets on diaphragm walls, barrettes,

Figure 13. Calculation results: (a) displacements and (b) bending moments on the structures.
Figure 14. Load application on the 3D tunnel model.

and on the intrados of the top slab to define the deformation state and potential differential settlements. In the most geotechnically critical sectors, inclinometers embedded in the cast panels were installed to measure displacements along the entire length of the diaphragm walls and barrettes. Strain gauges welded in the reinforcement bars of the top slab allowed for the determination of actual stress conditions and load distribution. Monitoring data were continuously uploaded to the “Smart Sense” online platform, making them remotely accessible in real time.

4. Management of critical issues during construction

4.1. Event description and main causes

In September 2022, during the surface soil backfilling works, monitoring readings indicated excessive deformations in a sector of the top slab that did not comply with expected design values. In particular, a differential settlement of 35 mm was recorded between segment 4 and segment 5, and 55 mm between segment 5 and segment 6. Additionally, cracks were observed on the intrados surface of the top slab, whereas within regulatory limits, these cracks were attributed to abnormal structural behaviour caused by a deficiency in the bearing capacity of the diaphragm walls and, in particular, of the central barrettes.

The differential settlements of the diaphragm walls and central barrettes were primarily due to encountering significantly different geological-geotechnical and stratigraphic conditions than initially anticipated (high risk due to the noticeable geological heterogeneity, despite the care taken during the diaphragm wall execution). Some barrettes were expected to be embedded in a layer of altered marl limestone (VIId) characterized by good bearing capacity, however, subsequent investigations (boreholes and CPTU tests, as shown in Figure 17) revealed that this layer was at a significantly greater depth than initially predicted. As a result, the barrettes were embedded into a layer of plastic clay rather than in marl limestone.

4.2. Solving technical proposal

The technical solution to solve the non-conformity was successfully developed and implemented through a fruitful collaboration between SYSTRA designers, the contractor GÜLERMAK, and the specialized subcontractor STUMP-FRANKI. The proposed solution involved the implementation of a new foundation system using the underpinning technique. A new support structure, consisting of reinforced concrete load-bearing walls (constructed in elevation at the openings of the existing barrettes) was designed to transfer the loads into a new strip foundation supported by micropiles. To restore the correct intrados profile of the tunnel vault

Figure 15. (a) Typical monitoring cross-section and (b) Smart Sense online platform.
Figure 16. Differential settlement of the top slab.

Nota tecnica Nota tecnica

and realign the displaced portions of the top slab (ensuring the original structural configuration and aesthetic consistency), the affected segments were lifted using a system of hydraulic jacks, positioned in the recesses within the new load-bearing walls and acted against the newly constructed foundation slab. The thrust force required for the realignment of the top slab (and consequently for lifting the central barrettes, which were anchored to the slab) was determined

through advanced 3D numerical structural analyses. These analyses also assessed the effects of constraints induced by the lifting loads. Ad-hoc structural models were developed to evaluate the residual structural capacity of the top slab (simulating the effects of deformable supports based on the actual monitoring readings), verifying that the standard safety factors were still satisfied, avoiding the need for partial demolition and reconstruction of the structure.

Figure 17. Additional investigation results performed near the settling barrettes.
Figure 18. Structural analysis performed to evaluate the top slab residual bearing capacity.

19. Extracts of the design documents related to the proposed underpinning” solution (Stump-Franki).

At the same time, geotechnical analyses were conducted to design the foundation micropiles and assess potential shortterm settlements (during lifting operations) and long-term deformations (post-backfilling and construction of surface embankments). The construction phases were summarized as follows:

– Phase 1. Temporary propping of the top slab for safety purpose.

– Phase 2. Construction of foundation micropiles near the alignment of the central barrettes and subsequent load testing to verify the actual bearing capacity.

– Phase 3. Construction of the strip foundation between the existing barrettes.

– Phase 4. Construction of new reinforced concrete loadbearing walls at the openings between existing barrettes, with provisions for hydraulic jack placement. Removal of

Figure
Figure 20. Micropiles, strip foundation casting and construction of the new bearing walls between the existing barrettes.

Nota tecnica Nota tecnica

temporary propping.

– Phase 5. Lifting of the top slab (including the existing barrettes which were anchored to it) using hydraulic jacks.

– Phase 6. Removal of concrete (via hydro-demolition) from the lower portion of the existing barrettes, exposing the reinforcement cage at the new foundation level. – Phase 7. Construction of the strip foundation at the existing barrettes (after installing connecting bars between the barrettes and the foundation slab) and longitudinal connection with the previously built foundation slab.

– Phase 8. Backfilling of the soil above the roof slab as per the original design.

Conclusions

The design and construction of the TS-14 tunnel along the S52 expressway required accurate engineering planning, using the Top-Down construction method minimizing disturbances to existing traffic and ensured greater operational efficiency in site management. Geotechnical and structural analyses conducted through FEM models, validated by in-situ tests performed during construction (especially for diaphragm wall construction), were crucial in accounting for highly variable geotechnical conditions. From a construction perspective, the TS-14 tunnel demonstrated how the integration of detailed design, careful execution, an effective monitoring system, and collaboration among all stakeholders can lead to the successful completion of complex infrastructure projects and implementation of mitigation measures to address challenges during construction. The employed methodologies and the specialized technologies have ensured compliance with the construction schedule and guarantee the stand -

ards requirements. The experience gained in designing and constructing the TS-14 tunnel will undoubtedly be valuable for future infrastructure projects in complex geotechnical and urban environments.

Acknowledgments

The Authors wish to thank GÜLERMAK for engaging SYSTRA S.p.A. in this challenging project and for the fruitful collaboration that enabled the successful resolution of technical issues encountered on-site without impacting the project schedule, while maintaining the primary goal of identifying reliable solutions. A special thanks to Eng. Burak Dogan (Technical Director West Area), Eng. Bogusław Przebinda (Technical Coordinator for Underground Works) for their effective coordination of design activities, Alicja Okaz (Project Engineer) for her constant support during the design, Atakan Varisli (Site Coordinator) and Michał Fizia (Tunnel Works Manager) for the very collaborative attitude. The project’s success was also driven by the exchange of design expertise with Multiconsult Polska, particularly with Eng. Krzysztof Nagórko, whose active and effective collaboration was highly appreciated. Lastly, we extend our gratitude to all SYSTRA engineers from the Geotechnics and Tunneling Department, from Bridges and Structures Department, and from CAD Department, for their valuable contribution.

References

Multiconsult, 2019. Building Permit Design. Berezantzev V. G., 1970. Computation of foundations. Leningrad, URSS, in Russian.

Figure 21. Lifting operation of the top slab using hydraulic jacks.

La gestione dell’evacuazione di un treno passeggeri nel Tunnel di base del Moncenisio

The management of a passenger train evacuation in current section in the Mont Cenis Base Tunnel

Paolo Poti a, *

Manuela rocca a

Eddy Verbesselt b

a Tunnel Euralpin Lyon-Turin, Turin, Italy

b Tunnel Euralpin Lyon-Turin, Chambery, France

* corresponding author: paolo.poti@telt-sas.com

Sommario

Il nuovo tunnel di base del Moncenisio si affianca ad una lunga serie di gallerie di base di lunghezza superiore ai 20-30 km (Loetschberg e Gottardo in Svizzera, Semmering e Koralm in Austria, Brennero in Italia/Austria, ecc), che nel corso degli ultimi anni hanno sostituito o stanno sostituendo le linee di valico ottocentesche e novecentesche. Queste gallerie, per le loro caratteristiche peculiari, richiedono un‘attenta riflessione sugli aspetti di sicurezza, sempre più stringenti dal punto di vista normativo, in particolare in caso d’incendio. Il futuro tunnel di base del Moncenisio, opera principale della sezione transfrontaliera nella Nuova Linea Torino Lione, inserita nel TEN-T Core-Corridor N. 3 “Mediterranean”, destinato a diventare la più lunga galleria ferroviaria del mondo, riassume in esso l’avanguardia della tecnologia di settore attualmente disponibile, armonizzata in un contesto pluri-normativo che discende dalla sua intrinseca caratteristica transfrontaliera ed europea. Dopo un rapido excursus sul progetto del tunnel, lungo 57,5 km, e delle sue principali caratteristiche di tracciato l’articolo vuole essere una sintesi della funzionalità globale del sistema così come oggi concepito nel Progetto Definitivo approvato dai due Stati. In esso si cerca di dare una visione sintetica di tutto il sistema “Tunnel di Base” e delle scelte fino ad oggi perseguite in tema di evacuazione, con particolare attenzione a quanto concerne lo scenario di un treno passeggeri con incendio a bordo che si arresta in pieno binario. Vengono altresì messe in evidenza le caratteristiche di unicità di alcune scelte perseguite proprio in virtù del fatto che, ad oggi, il tunnel di base del Moncenisio è il tunnel ferroviario più lungo al mondo in costruzione.

Abstract

The new Mont Cenis base tunnel is one of a long series of base tunnels longer than 20 to 30 km (Lötschberg and Gotthard in Switzerland, Semmering and Koralm in Austria, Brenner in Italy/Austria, etc.), which, in recent years, have replaced or are replacing 19th and 20th century crossing lines. Due to their special characteristics, these tunnels require a close examination of the safety aspects, which are increasingly stringent from a regulatory point of view, particularly in the event of fire. The future Mont Cenis base tunnel, the main work of the cross-border section of the New Lyon-Turin Line, included in the TEN-T ‘Mediterranean’ Core-Corridor No. 3, intended to become the longest railway tunnel in the world, combines in it the cutting-edge technology currently available in the sector, harmonised in a multi-normative context which derives from its intrinsic cross-border and European nature. After a quick overview of the project of the 57.5-km-long tunnel and its main route characteristics, this paper intends to summarize the overall functionality of the system as currently conceived in the Final Project approved by the two States. It attempts to give a synthetic vision of the entire ‘Base Tunnel’ system and the choices made to date in terms of evacuation, with particular attention to the scenario of a passenger train with a fire on board stopping in the middle of the track. The uniqueness of certain choices taken is also highlighted by the fact that, to date, the Mont Cenis base tunnel is the longest railway tunnel in the world under construction.

Parole chiave: treno, passeggeri, galleria, incendio, evacuazione.

Keywords: train, passengers, tunnel, fire, evacuation.

1. Introduzione

Il progetto europeo della sezione transfrontaliera LioneTorino, i cui studi sono iniziati circa vent’anni fa, si sviluppa tra Saint-Jean-de Maurienne (in Francia) e Susa (in Italia) su un tracciato prevalentemente sotterraneo con una galleria di base a doppia canna lunga 57,5 km, sotto la responsabilità del

promotore pubblico franco-italiano TELT.

La Figura 1 mostra il Tunnel di Base e i suoi punti di accesso: gli ingressi italiano e francese e i quattro accessi intermedi. Le due canne sono collegate per mezzo di connessioni realizzate ogni 333 m (distanza ridotta a 50 m nelle 3 aree di sicurezza sotterranee del tunnel di base: La Praz, Modane V-B e Clarea). Il profilo trasversale della sezione corrente è composto da un

Nota tecnica Nota tecnica

marciapiede di servizio/evacuazione (largo non meno di 1,20 m), un binario di circolazione ferroviaria e un marciapiede di manutenzione (vd. Figura 1). La Nuova Linea Torino Lione sarà una linea a traffico misto viaggiatori e merci progettata con velocità di tracciato nominale a 250 km/h.

In tutte le valutazioni relative alla gestione degli incidenti, vengono assunti due istanti fondamentali:

– T0=istante di conferma dell’allarme da parte del Posto di Comando e Controllo (PCC);

T1= istante dell’arresto del treno.

2. La gestione degli allarmi

Come avviene in tutti i grandi tunnel ferroviari oggi in esercizio, ogni allarme viene riportato al PCC e quindi processato dagli operatori presenti prima di essere validato.

TELT individua 2 tipi di scenari di allarme:

1. Allarme notificato al PCC dal personale di bordo per un’avaria interna;

2. Allarme notificato al PPC dai sistemi di rilevazione automatica presenti lungo linea.

In caso di incendio:

Lo scenario 1 presuppone un tempo T0 di conferma dell’allarme da parte del PCC di fatto nullo (conferma immediata). Per contro il tempo che in questo caso intercorre tra l’innesco dell’incendio a bordo e la sua notifica al PCC è totalmente imponderabile.

Lo scenario 2 prevede che i sistemi di rilevazione puntuali posti all’interno della galleria possano attivarsi e mandare un segnale di allarme al PCC. Se l’allarme è collegabile ad un

incendio su treno passeggeri, l’operatore contatta il personale di bordo e chiede di accertarne la presenza indicandone possibilmente la posizione lungo il treno. In parallelo l’operatore verifica le immagini delle telecamere presenti in galleria. In questo caso il tempo di conferma T0 dell’allarme per un treno passeggeri è stimato avvenga in un massimo di 5 minuti dalla prima notifica “automatica”.

Ad ogni modo a partire dal quinto minuto il PCC comanderà, a prescindere dalla conferma del personale di bordo, la fermata del treno alla prima area di sicurezza utile.

3. Il treno passeggeri dimensionante e le condizioni di traffico critiche

Premesso che il materiale rotabile ammesso nel Tunnel di Base sarà di “categoria B” ai sensi della STI SRT 2019 §4.2.31, ad oggi il treno passeggeri critico è del tipo TGV Duplex (a trazione concentrata nelle motrici) in configurazione doppia (lunghezza complessiva 400 m) in grado di trasportare fino a 1032 passeggeri.

Il flusso massimo teorico di treni contemporaneamente presenti nel tunnel di base è stato valutato nell’ora di punta a lungo termine (dopo il 2050) pari a:

7 treni in direzione Francia – Italia, di cui un treno passeggeri e 6 merci o Autostrada Ferroviaria (AF);

6 treni in direzione Italia – Francia, di cui un treno passeggeri

1 Treni dotati internamente di idonei impianti fissi automatici di estinzione incendi capaci di poter marciare con incendio a bordo per almeno 15 minuti a 80 km/h (ovvero per 20 km).

Figura 1. Il Tunnel di base della Torino Lione e la sua sezione corrente.

Figura 2. Rampa di sviluppo incendio in termini di potenza/tempo (HRR) che rappresenta graficamente le ipotesi a) e b) assunte da TELT per le simulazioni su un treno passeggeri [8].

Figura 3. Diagramma di accrescimento della Potenza dell’incendio su un treno passeggeri in funzione della velocità dell’aria indotta sull’incendio dal sistema di ventilazione con evidenziate Vc e Vd [8].

e 5 merci o AF [2].

Ovviamente, per ragioni legate alle velocità di esercizio (220 km/h per i treni passeggeri e 120 km/h per i treni merci e AF), in questo scenario di “ora di punta” non è previsto che un treno passeggeri possa inseguire un treno merci o AF.

4. Le ipotesi assunte per simulare lo sviluppo di un incendio su un treno passeggeri

Le simulazioni fluidodinamiche sviluppate nell’Analisi di Rischio (AdR) da TELT hanno preso in conto le seguenti ipotesi di partenza che discendono da oltre 20 anni di studi di settore effettuati specificatamente per il tunnel di base del Moncenisio:

a) All’istante in cui il treno passeggeri si ferma (T1) il “fumo di ritorno” prodotto dell’incendio e rientrante nel volume

di controllo dei modelli di calcolo è al 10% della potenza massima attesa a seconda degli scenari di ventilazione assunti;

b) L’incendio raggiunge il 100 % della potenza dopo 2 minuti dall’istante T1 con rampa di crescita ipotizzata lineare e emissione massima (teorica) dei fumi pari a 80 m3/s; c) La potenza massima raggiungibile dall’incendio è funzione del regime di ventilazione imposto secondo il diagramma P/v in cui “v” rappresenta la velocità media del flusso di aria; d) In aria statica (assenza di ventilazione) e in ambiente confinato (galleria) la potenza massima raggiungibile dall’incendio su un treno passeggeri è ipotizzata essere 15 MW. Per quanto sopra TELT reputa alquanto verosimili e cautelative le curve di sviluppo incendio Potenza/tempo (P/t) e Potenza/velocità dell’aria (P/v) assunte nelle simulazioni e rappresentate rispettivamente nelle figure 2 e 3.

Per completezza vanno definite due velocità caratteristiche del flusso d’aria a regime nel caso di ventilazione longitudinale in sezione corrente:

– La Velocità critica Vc: è la velocità minima del flusso d‘aria che consente il direzionamento dei fumi in una direzione stabilita senza turbolenze di ritorno nella direzione opposta. Va ricordato che il valore della velocità critica non è un parametro di progetto ma il risultato di un calcolo basato su un’analisi fisica della situazione. Nel nostro caso per treni passeggeri è di 2,8 m/s.

– La Velocità di diluizione Vd: é la velocità minima che consente una diluizione dei fumi in grado di garantire un aumento significativo delle soglie di sopravvivenza legate alla tossicità, al calore e alla visibilità procurate dai fumi. Nel nostro caso per treni passeggeri è di 6 m/s.

Come si evince dalla figura 3, soffiando aria a 2,8 m/s su un incendio da 15 MW si raggiunge un valore di potenza prossimo a 25 MW, per contro aumentando la velocità del flusso d’aria fino a 6 m/s si raggiungono i 30 MW2

Il raggiungimento e la stabilizzazione di tali velocità caratteristiche nel settore di galleria interessato si otterrà tramite un Software che riceverà informazioni da una serie di anemometri dislocati lungo la galleria e modulerà, in maniera iterativa, la ventilazione in funzione degli input ricevuti. Il tutto sarà comandato e monitorato dal PCC [5].

5. la gestione della ventilazione in sezione corrente per un treno passeggeri con incendio a bordo

La ventilazione è attualmente adottata in tutti i tunnel ferroviari superiori ai 20 km ma, nel progetto TELT, è a tal punto caratterizzante che il tunnel di base del Moncenisio è l’unico tra i grandi tunnel ferroviari alpini che prevede un sistema di ven-

2 Valore identificato a seguito di una campagna sperimentale eseguita da SNCF su modelli in scala 1:50 nel “Centro di Test e di Ricerca di Grenoble” (CERG) nel 1992 per conto di Alpetunnel GEIE [8].

tilazione in grado di ventilare longitudinalmente i treni che si dovessero fermare in sezione corrente (senza cioè raggiungere l’area di sicurezza “bersaglio”). Sebbene nell’Analisi di Rischio si ipotizzi che tale scenario possa verificarsi all’incirca nel 2% dei casi di incendio a bordo di un treno, esso rappresenta di gran lunga il caso più “complesso” da gestire in quanto i fumi devono essere direzionati agendo “a distanza” con il concorso di almeno due centrali di ventilazione [1] [3]. In questo caso siamo dunque nell’ipotesi che il treno non riesca a raggiungere l’area di sicurezza “bersaglio” con possibilità di aspirazione massiva dei fumi in calotta ed evacuazione facilitata e sia costretto a fermarsi (istante T1) in sezione corrente. I treni che seguono il treno incidentato, una volta fermati, verranno fatti retrocedere secondo una complessa procedura di reversing [3]. Quando il treno si arresta in pieno binario sarà l’istante T1 e il Delta T rispetto al T0 è aleatorio. Ad ogni modo il sistema di segnalamento ERTMS Livello 2 (in sovrapposizione con le immagini delle telecamere lungo linea) consente agli opera-

tori al PCC di conoscere con ottima approssimazione il punto di arresto del treno. Il dirigente di movimento, onde evitare perturbazioni importanti al sistema di ventilazione nella canna incidentata, comanderà il rallentamento dei treni che precedono il treno incidentato fino alla velocità di 60 km/h per i treni passeggeri e i treni merci e fino a 30 km/h per i treni AF (a maggior superficie di impatto aerodinamico).

Se la posizione dell’incendio a bordo è preventivamente identificata in testa al treno, i fumi verranno spinti verso la parte anteriore del treno (in direzione del flusso inerziale dell’aria a seguito della frenatura) con una velocità del flusso d’aria di circa 2,8 m/s (velocità critica Vc).

Dopo circa 2 minuti dall’attivazione dell’impianto, si ottiene già un flusso d’aria stabilizzato alla Vc giovando della preattivazione al T0 dell’aspirazione massiva nell’area bersaglio (non raggiunta).

In figura 4 un esempio di configurazione del sistema di ventilazione per un arresto in direzione FRA>ITA tra Modane e Clarea.

Figura 4. Configurazione del sistema di ventilazione per un arresto tra Modane e Clarea con incendio in testa treno.
Figura 5. Configurazione del sistema di ventilazione per un arresto tra Clarea e Modane con incendio in posizione indeterminata.

Se la posizione dell’incendio è intermedia o sconosciuta, per cercare di diluire il più possibile i fumi, gli stessi verranno spinti verso la parte anteriore del treno (in direzione del flusso inerziale dell’aria a seguito della frenatura) ricercando una velocità del flusso d’aria di 6 m/s (velocità di diluizione Vd). In figura 5 un esempio di configurazione del sistema di ventilazione per un arresto in direzione FRA>ITA tra Modane e Clarea.

Nel caso di incendio in posizione al centro del treno (intermedia o indeterminata che sia) la stabilizzazione a 6 m/s nel verso di marcia avviene dopo massimo 3 minuti dall’attivazione della ventilazione giovando della preattivazione al T0 dell’aspirazione massiva nell’area bersaglio (non raggiunta). Se la posizione dell’incendio a bordo è preventivamente identificata in coda al treno, i fumi verranno spinti verso la parte posteriore del treno (in direzione contraria al flusso inerziale dell’aria a seguito della frenatura) ad una velocità del flusso d’aria di V=2,8 m/s (velocità critica Vc). La ventilazione

nell’area di sicurezza a monte verrà immediatamente attivata in aspirazione e solo all’arresto del treno (T1), la ventilazione dell’area di sicurezza bersaglio (non raggiunta) verrà attivata in pompaggio. In figura 6 un esempio di configurazione del sistema di ventilazione per un arresto in direzione ITA>FRA tra Modane e La Praz.

Pertanto, sovrapponendo questi principi di ventilazione alla curva di rilascio di potenza dell’incendio (HRR) ipotizzata da TELT (vd. figura 2) otteniamo le curve HRR caratteristiche riportate in figura 7:

Va sottolineato che l’incendio in coda treno rappresenta lo scenario critico per quanto concerne la stabilizzazione della ventilazione in quanto si dovrà ottenere a regime l’inversione della direzione naturale del flusso dell’aria. Ne consegue che in questo unico caso, i passeggeri potrebbero trovarsi ad iniziare l’auto evacuazione in condizioni di ventilazione non stazionarie per i primi 5 minuti, considerando avvenuta l’apertura di tutte le porte del treno dopo 30” dal suo arresto (istante T1).

Figura 6. Configurazione del sistema di ventilazione per un arresto tra Modane e La Praz con incendio in coda treno.
Figura 7. Curve di potenza TELT in funzione del regime di ventilazione adottato (velocità di diluizione Vd o velocità critica Vc).

Nota tecnica Nota tecnica

Figura 8. Riduzione di velocità di fuga dovuta all’eventuale interazione con i fumi (correlazione di Frantzich and Nilsson [9]).

6. La fase di evacuazione in sezione corrente

Gli studi di evacuazione sono stati eseguiti nell’ipotesi di treno critico a pieno carico simulando individualmente il movimento di ogni passeggero in funzione del tempo e dell’interazione tra gli stessi passeggeri.

Si è assunta come punto di partenza la STI Loc&Pass 2019 § 4.2.10.5.1 Uscite di emergenza per i passeggeri:

…..(12) Il numero di porte (dei treni) e le dimensioni delle stesse devono consentire la completa evacuazione (dal treno) dei passeggeri senza bagaglio entro il termine di tre minuti….

Si assume che l’evacuazione avvenga in regime di autosoccorso. In queste condizioni i viaggiatori scendono dal treno senza specifica assistenza, ma hanno comunque già ricevuto a bordo le consegne da osservare (ad esempio, abbandonare i bagagli) [3].

La variabilità individuale delle persone è stata presa in considerazione in modo stocastico sulla base dei dati seguenti:

– Velocità di fuga iniziale3 = 1.0 ± 0.2 m/s

– Dimensioni delle persone (spalle) = 0.525 ± 0.035 m

– Dimensioni delle persone (petto) = 0.315 ± 0.020 m

La popolazione esodante è stata poi suddivisa in 3 gruppi “comportamentali”:

– Gruppo 1 (10-15% delle persone): Queste persone reagiscono in modo molto razionale.

– Gruppo 2 (ca. 70% delle persone): La maggioranza delle persone si comporta in modo passivo ma tendenzialmente calmo.

– Gruppo 3 (10-15% delle persone): Sono le persone che reagiscono in modo totalmente inappropriato, gridando

3 Le simulazioni hanno preso in conto anche Persone a Mobilità Ridotta con velocità di fuga nettamente ridotta, 0.25 ± 0.025 m/s, disposte casualmente nella parte inferiore di ogni carrozza (20 PMR su un totale di 1032, circa il 2%) e che pertanto devono essere aiutate nella fase di evacuazione.

o piangendo, oppure bloccandosi completamente. Come ipotesi di base nel valutare le tempistiche di evacuazione, si è assunto che le condizioni di visibilità ad 1,6 m di altezza dal piano di calpestio4 influenzino la velocità di fuga secondo quanto rappresentato in figura 8:

Per contro si ipotizza che le condizioni di tossicità e calore (garantite dagli impianti di ventilazione) siano tali da non compromettere significativamente la capacità degli utenti di evacuare [9].

Viene considerato “salvo” l’utente che raggiunge il ramo di evacuazione.

Quando il treno passeggeri si ferma in sezione corrente, la canna sana è utilizzata come “Safe Area” (o “luogo sicuro finale”) e i rami di collegamento posti ogni 333 m rappresentano nel sistema TELT le uscite di emergenza verso la “Safe Area”.

In caso d’incendio di un treno nel Tunnel di Base del Moncenisio, il PCC comanda la sovrappressione simultanea di tutti rami. Una volta che il treno si arresta, tutte le porte del treno sul lato verso le vie di fuga vengono considerate aperte dopo 30 secondi (T1+30”).

Le porte lato canna incidentata di almeno 4 rami in prossimità del treno vengono aperte contemporaneamente da remoto; esse si considerano tutte aperte al più tardi dopo un minuto dall’arresto del treno (T1+60”), tempo massimo di risposta meccanica dei servomotori delle porte.

In questo caso le due canne sono ancora aeraulicamente disaccoppiate, ma la ventilazione locale di ogni singolo ramo, impostata con pescaggio di aria pulita dalla canna sana, impedisce l’ingresso dei fumi nel ramo stesso.

Pertanto i viaggiatori che si trovano ad abbandonare il treno trovano almeno le seguenti condizioni di sistema attive: – zona illuminata;

– sonorizzazione attiva con messaggi multilingue;

– ventilazione longitudinale del tunnel in funzione;

– telecamere locali;

– porte dei rami lato canna incidentata aperte e ventilazione dei rami in funzione.

Nel caso scenario critico di incendio in coda treno, la figura 9 riassume l’evoluzione temporale dell’incendio in sovrapposizione alla procedura di evacuazione e al regime di ventilazione adottato (inversione della direzione dei fumi tramite ventilazione alla velocità critica Vc).

L’elevata flessibilità funzionale del tunnel di base del Moncenisio con i suoi rami da 127 m2 di superficie minima utile in sezione corrente ha consentito a TELT di studiare due scenari alternativi di evacuazione:

– apertura contemporanea di entrambe le porte dei rami;

– apertura sfalsata delle porte di ciascun ramo.

Per entrambe gli scenari si è considerato il treno critico a pieno carico che si arresta in maniera incontrollata con l’incendio

4 Altezza media degli occhi in una popolazione adulta.

Figura 10. Scenario 1: percorso dei passeggeri (in verde) in caso di apertura contemporanea di entrambe le porte dei rami con incendio in posizione intermedia (“worst case” per questo tipo di scenario in quanto il percorso di fuga risulta essere il più lungo possibile).

Figura 11. Scenario 2: percorso dei passeggeri (in verde) in caso di apertura sfalsata delle porte dei rami con incendio in coda (“worst case” per questo tipo di scenario in quanto il percorso di fuga risulta essere il più lungo possibile).

proprio in prossimità di un ramo, rendendolo di fatto inutilizzabile.

Nello “scenario 1” di apertura contemporanea di entrambe le porte dei rami (figura 10) le due canne divengono aeraulicamente “accoppiate”.

Al T1+30” (porte del treno aperte) i viaggiatori inizieranno a scendere dal treno in regime di autosalvataggio e avanzeranno lungo il marciapiede della canna sinistrata al fine

di raggiungere i 2 rami di collegamento (uno da una parte e uno dall’altra dell’incendio) disponibili per l’evacuazione5 Nelle sue simulazioni TELT stima che i primi viaggiatori potranno raggiungere il ramo di collegamento più vicino da una parte e dall’altra dell’incendio 13 minuti dopo essere

5 Il sistema di ventilazione (già in funzione) garantirà l’evacuazione dei viaggiatori in un’atmosfera sufficientemente “sicura”.

Figura 9. Evoluzione temporale nel caso di arresto del treno in sezione corrente con incendio in coda.

Nota tecnica Nota tecnica

scesi dal treno. Attraverseranno quindi i rami e si rifugeranno nella canna sana. Si prevede che tutti viaggiatori potranno essere nella canna sana dopo circa 20 minuti dall’apertura delle porte del treno (T1+30”). Verificata dalle telecamere l’assenza di passeggeri sulla banchina della canna incidentata e solo dopo ottenimento della conferma dal personale di bordo tramite telefono in loco, le porte dei rami lato canna incidentata vengono richiuse e i passeggeri aspettano l’arrivo del treno di soccorso nella canna sana (“Safe Area”).

I treni che a T1 si trovano nella canna sana e non hanno ancora superato la PK in corrispondenza del treno incendiato vengono fatti rallentare dal dirigente di movimento a marcia a vista fino a 30 km/h massimo. Una volta che essi hanno superato per oltre 1 km la PK del treno incendiato, gli viene dato il consenso ad aumentare la velocità a 60 km/h. Pertanto, nelle peggiori ipotesi di traffico possibile, i passeggeri confluiti nella canna sana potrebbero veder passare alcuni treni che transitano al massimo a 30 km /h prima dell’arrivo del treno di soccorso che li condurrà all’esterno del tunnel.

In questo caso il rischio di incidente al passaggio di un treno in canna sana con viaggiatori in attesa sui marciapiedi è mitigato da un sistema di sonorizzazione per l’invio di messaggi sul marciapiede ed all’interno dei rami, dalla presenza di pannelli informativi e dalla possibilità di usare i rami stessi come “rifugi di attesa”.

Principali vantaggi della soluzione:

– scenario relativamente poco influenzato dal numero di passeggeri presenti a bordo del treno;

fenomeni di panico ridotti dal flusso continuo dell’evacuazione e dall’assenza di ambienti eccessivamente claustrofobici; – autosalvataggio “intuitivo” senza bisogno di alcuna assistenza da parte del personale di bordo; – rapido allontanamento dall’incendio e quindi dall’ambiente “insano”.

Principali svantaggi della soluzione:

– interferenza dei passeggeri con i treni in transito nella canna sana (seppure a marcia a vista); – gestione del traffico nella canna sana che richiede attenzione;

tempi potenzialmente lunghi per l’arrivo del treno di soccorso.

Nello “scenario 2” di apertura sfalsata delle porte dei rami (figura 11) le due canne risultano essere aeraulicamente “disaccoppiate”.

Il PCC dovrà garantire l’accesso ad almeno 3 rami utili (interdistanti 333 m) aprendo le porte lato canna incidentata

Al T1+30” (porte del treno aperte) i viaggiatori inizie -

ranno ad avanzare in regime di autoevacuazione lungo il marciapiede della canna sinistrata al fine di raggiungere i 3 rami di collegamento definiti nella zona di evacuazione 6 Dalle simulazioni effettuate da TELT, i primi viaggiatori riempiranno il ramo di collegamento più vicino 7 minuti dopo essere scesi dal treno, ovvero circa 7 minuti e 30” dall’arresto del treno (istante T1). In questo caso è auspicabile che il personale di bordo partecipi in maniera attiva all’evacuazione instradando i passeggeri verso i vari rami e valutando quando è il momento di passare al ramo successivo. Il secondo ramo di collegamento (distante 333 m) sarà riempito 24 minuti dopo l’apertura delle porte del treno. Infine, gli ultimi viaggiatori raggiungeranno il ramo di collegamento più distante dal treno (666 m) dopo circa 38 minuti dall’apertura delle porte del treno. In questo caso però, rimanendo le due canne aeraulicamente disaccoppiate, non è necessario che il dirigente di movimento comandi alcuna riduzione di velocità dei treni nella canna sana.

TELT ha valutato che, nelle peggiori ipotesi di traffico possibile, i passeggeri che raggiungeranno il primo ramo resteranno stipati nel ramo al più per circa 17 minuti, i passeggeri che raggiungeranno il secondo ramo resteranno stipati nel ramo un massimo di 1 minuto e i passeggeri che raggiungeranno il terzo ramo potranno trovare già entrambe le porte del ramo aperte.

Principali vantaggi della soluzione:

– nessuna interferenza dei passeggeri con i treni in transito;

– semplice gestione del traffico nella canna sana;

– tempi generalmente più brevi per l’arrivo del treno di soccorso.

Principali svantaggi della soluzione:

– scenario influenzato dal numero di passeggeri presenti a bordo del treno;

– potenziale influenza dell’ambiente “insano” sulle persone che stazionano nei rami;

– fenomeni di panico che possono generarsi dal flusso discontinuo dell’evacuazione e dalla presenza di ambienti eccessivamente claustrofobici ad alto affollamento; – autosalvataggio che necessita di assistenza da parte del personale di bordo.

Lo scenario 1, ovvero l’utilizzo dei rami come luogo di passaggio verso la canna sana (da considerarsi come luogo sicuro temporaneo) è lo scenario tipico di evacuazione utilizzato in tutti i moderni lunghi tunnel ferroviari7. Ne consegue che lo scenario 2 (rami come rifugio sicuro tempora-

6 Vedi nota 5

7 Con la sola esclusione del tunnel sotto la Manica che presenta una galleria centrale di evacuazione tra le canne ferroviarie.

neo) rappresenta un “unicum” nei grandi tunnel ferroviari e trova la sua fattibilità teorica nei vincoli geometrici imposti al progetto TELT dai Criteri di sicurezza della Commissione Inter Governativa italo-francese [7], in particolare dal fatto che i rami devono disporre di “una superficie libera almeno pari a 120 m2 calpestabili liberi da ostacoli”.

7. Conclusioni

Il presente articolo ha voluto illustrare gli aspetti funzionali e procedurali ad oggi ipotizzati per un’evacuazione in sicurezza all’interno del sistema Tunnel di base del Moncenisio, trascurando gli aspetti analitici legati all’analisi di rischio (frequenza/gravità) studiati da TELT per ogni singolo scenario incidentale. Sebbene la probabilità di arresto di un treno passeggeri in sezione corrente sia da considerarsi molto bassa, il sistema progettato da TELT è in grado di reagire con tempistiche di evacuazione accettabili in tutti gli scenari, anche i più critici. La scelta su quale procedura di gestione delle porte dei rami privilegiare e sotto quali condizioni è ancora in discussione in seno ai gruppi di lavoro che giudicano e approvano la sicurezza ferroviaria nel progetto TELT (Agenzie Nazionali di Sicurezza ferroviaria italiana, francese ed europea e la Commissione Inter Governativa italo-francese).

Un’analisi specifica di sensibilità è stata fatta nell’Analisi di Rischio in cui variando dei parametri legati alla visibilità e alla tossicità dei fumi si è potuta apprezzare la magnitudo dei vari scenari di riferimento studiati.

Tale analisi di rischio ha dimostrato un maggior grado di sicurezza nello scenario “rami come luogo di transito” rispetto a quello “rami come rifugi”.

Quanto sopra sta inducendo TELT a valutare due importanti proposte di modifica alle attuali procedure: arrestare i treni che all’istante T1 nella canna sana non abbiano ancora superato la PK dell’incidente e, di conseguenza, autorizzare l’ingresso del treno di soccorso8 sulla canna sana in direzione opposta al normale senso di marcia.

Ove possibile dalle condizioni di traffico all’istante T1, utilizzare un eventuale treno passeggeri presente nella canna sana che non abbia ancora superato la PK dell’incidente come ausilio per evacuare gran parte dei passeggeri presenti in banchina.

Entrambe le ipotesi ridurrebbero le tempistiche di accesso del treno di soccorso e azzererebbero i rischi di interferenza dei passeggeri con i treni che passano nella canna sana anche nello scenario di utilizzo dei rami come luoghi di passaggio.

Quanto sopra è corroborato dal fatto che in tutti i principali tunnel europei a doppia canna oggi in esercizio i rami

8 Il treno di soccorso è dotato di motrice diesel.

vengono utilizzati sempre come luogo di passaggio verso la canna sana e mai come luogo di stazionamento dei passeggeri.

Difatti le esercitazioni effettuate in molti di questi moderni tunnel (Perthus, Gottardo, Lötschberg) hanno dimostrato che rami totalmente aperti semplificano l’evacuazione ed abbattono i fenomeni di panico, vero impedimento alla fluidità dell’evacuazione stessa.

Va sottolineato che in tutte le esercitazioni effettuate si è altresì ottenuta una certa verosimiglianza con le tempistiche di evacuazione ipotizzate da TELT.

Per contro ad oggi nella letteratura ferroviaria non esiste (fortunatamente) un incidente catastrofico su un treno passeggeri in galleria tale da rappresentare un metro di confronto reale per tutti quei concetti discussi nell’articolo.

Bibliografia

[1] Poti P., Brino L., 2017, L’approccio alla sicurezza in fase di esercizio, Congresso SIG «Le grandi infrastrutture ferroviarie alpine in costruzione: le scelte progettuali e costruttive per la realizzazione di tunnel lunghi e profondi», Verona, 23-24 febbraio 2017.

[2]Poti P., J.R. Siver, M. Foresta, L. Glarey, Congresso AFTES 2017, Le tunnel de base du Montcenis: sécurité et nouvelles technologies dans un contexte avec plusieurs structures normatives de référence, Parigi, 13-16 novembre 2017.

[3] Poti P., 2019, Congresso Innovation in Tunnels 2019, The Montcenis base tunnel- The approach to safety during operation, Copenaghen 17-19 settembre 2019.

[4] Poti P., Chabert A., Congresso WTC 2019 Regulatory framework and railway safety approval procedures in a bi-national context- The example of Montcenis base Tunnel, Napoli, 3-9 maggio 2019.

[5] Brino L., La Nuova Linea Torino Lione : gli aspetti tecnici di un grande progetto transfrontaliero, Gallerie e Grandi Opere Sotterranee, giugno 2012, n. 102, pp. 11-15, Pàtron Editore.

[6] Directorate General for Mobility and Transport - European Commission, 2014, “Mediterranean Core Network Corridor Study - Final Report 2014”.

[7] Virano M., 2017, Il tunnel di base del Moncenisio: le scelte di TELT all’interno di una strategia europea, Strade & Autostrade, n. aprile 2017.

[8] SNCF, Alpetunnel GEIE, «SNCF –Campagne d’essais au CERG 1992-Rapport de synthèse», febbraio 1993.

[9] Fire Dynamics Simulator with Evacuation: FDS+Evac. Technical Reference and User’s Guide. VTT 2016.

FIBROrinforziamo conci prefabbricati

Tunnel excavation with EPB: innovative products to reduce the amount of water required for soil conditioning

Scavo di gallerie con EPB: prodotti innovativi per ridurre la quantità di acqua necessaria per il condizionamento del terreno

Enrico dal Negro a

Andrea Picchio a

Enrico barbero a, *

a Mapei S.p.A., Milan, Italy

* corresponding author: e.barbero@utt.mapei.com

Abstract

During mechanized tunnelling with EPB TBMs, a large amount of water is needed for several purposes making it a key resource for the success of the project. An important contribution to the water consumption is due to the soil conditioning, especially when the excavation is in cohesive formations.

In the very recent years, new soil conditioning agents have been developed with the target to reduce the water consumption for tunnelling with EPBs without affecting the performance of the machine and the quality of the soil conditioning. Some laboratory tests carried out at the Polytechnic of Turin show that with these new conditioning agents a water saving about 25-30% can be achieved if compared to the use of “traditional” products. Reduced water consumption brings indeed many technical, economical, and environmental advantages, which are presented in detail in this paper together with the performances of the new soil conditioning products.

Sommario

Durante lo scavo meccanizzato con TBM EPB, una grande quantità di acqua è necessaria per diversi scopi che la rendono una risorsa fondamentale per il successo del progetto. Un contributo importante al consumo idrico è dovuto al condizionamento del suolo, in particolare quando lo scavo attraversa formazioni coesive.

Negli ultimi anni sono stati sviluppati nuovi prodotti per il condizionamento del terreno con l’obiettivo di ridurre il consumo d’acqua, senza compromettere le prestazioni della macchina e la qualità del condizionamento. Alcuni test di laboratorio effettuati al Politecnico di Torino mostrano che con questi nuovi prodotti per il condizionamento si può ottenere un risparmio idrico del 25-30% circa rispetto all’impiego di altri prodotti “tradizionali”. La riduzione del consumo d’acqua comporta effettivamente numerosi vantaggi tecnici, economici e ambientali, che sono presentati in dettaglio in questo articolo insieme alle prestazioni dei nuovi prodotti per il condizionamento del suolo.

Keywords: TBM, soil conditioning, new products, water saving, environment.

Parole chiave: TBM, condizionamento del terreno, prodotti innovativi, risparmio acqua, ambiente.

1. Introduction

Mapei S.p.A., is committed for a more sustainable tunnelling and one of the results of this action is the develop of new soil conditioning products to reduce the environmental impact of mechanized tunnelling with TBMs. Among the impacts of a TBM project, the consumption of water is a key one. As it is well known, water is a very valuable resource, especially in territories where its scarcity makes it even more a precious asset to be carefully managed. TBM tunnelling, similarly to many other industrial processes, requires a massive amount of water to be performed. Some portion of water employed

in TBM tunnelling is continuously re-used while some other quantities are instead lost into the muck, such as the groundwater extracted during the excavation, or the large water amount necessary for soil conditioning. This volume gets its highest point when cohesive grounds are excavated such as clays, mudstone, shales, and any other soils characterized by high stickiness. Indeed, some soils, to be excavated with EPBs, require large amounts of liquid to be added, either as pure water (defined by the parameter of WIR = Water Injection Ratio) or in foam generation. Since soil conditioning constitutes the greater part of the unrecoverable water need of these jobsites, reducing the environmental impact of soil

Nota tecnica Nota tecnica

conditioning can also be linked to reducing the amount of water used.

1.1. Creating a new type of soil conditioning agent

After a deep R&D studies about sustainable raw materials, a new generation of soil conditioning products could be designed. Some of them are Polyfoamer ECO WSP and Mapedisp ECO WSP whose technical performances are described in this paper. They have been compared with a reference soil conditioning product, which is one of the “most traditional” ones and which is among the most performing as well. The soil used is a clay extracted from a quarry near Reggio Emilia and all the tests have been carried out with the helpful support of the technicians of DIATI department of the Polytechnic of Turin. These products were designed and manufactured to achieve the same performance of the best soil conditioning products on the market, reducing the amount of water required.

2. Soil samples and conditioning products description

The purpose of the tests carried out in this research was to evaluate the performance of some products to condition a clay sample named “Reggio clay”. The products used were conditioning agents specific for clays, supplied by Mapei S.p.A. to the Polytechnic of Turin, which have been defined as follows.

Reference anti-clay conditioning agent - “REF”; Next-generation conditioning agent - “Polyfoamer ECO WSP”;

Next-generation anti-clay polymer - “Mapedisp ECO WSP”. Both the soil conditioning products as well as the clay used in the experimental phase will be described thoroughly in the following paragraphs.

2.1. “Reggio clay”

The clay soil used for the experiments was supplied to the Tunnels & Underground Space Research Centre of the DIATI department in the Polytechnic of Turin directly by Mapei S.p.A., The mineralogical analysis [Tab.1], certified by the supplier (Movimento Terra e Trasporti Ruggi) of the clay and carried out semi quantitatively by XRD spectrometry showed the following composition:

The Atterberg limits are instead:

Liquid limit: 54%

– Plastic limit: 30%

– Ic (Consistency Index) = 1.7

Further analysis based on the Atterberg limits and the natural water content equal to 13%, shows that “Reggio” clays could be classified as prone to clogging risk[Fig.1] Specifically, two different types of clays [2] were produced: – dry crushed clay (wn = 0 %), hereinafter referred to by the acronym “DCC” – chip clay (wn = 12.6 %), hereinafter referred to by the acronym “NCC”.

The two variants of clay material employed in the tests can be seen in Figure 2 and 3.

2.2. Soil conditioning products

As before mentioned, different products have been tested for this study: 2 foaming agent and 1 polymer. They are described here in details:

a) “REF” (reference) anti-clay conditioning agent. “Traditional” foaming agent, formulated with anionic surfactants of the SLES (Sodium-Lauryl -Ether-Sulphate) type, characterised by the following chemical composition reported on the safety data sheet in section 3: al-

Clay Material Feldspar Quartz: Other: 43% 19% 35% 3%

2 and 3. Clay samples used in the laboratory for the test campaign. DCC (left) e NCC (right). The difference in color is due to the different water content in the samples.

Figure 1. Thewes graph for “Reggio” clay.
Figure
Table 1. Clay samples composition.

cohols, C12-14, ethoxylates, sulphatates, sodium salts; CAS number: 68891-38-3, 500-234-8; Concentration: ≥ 10% - < 20%.

b) “Polyfoamer ECO WSP” conditioning agent. Next generation foaming agent, formulated with the aim of reducing the amount of water required in comparison to ‘traditional’ foaming agents.

c) “Mapedisp ECO WSP” additive. A next-generation dispersing additive, to be used in combination with foam to further reduce the amount of water required for conditioning.

The products have been combined to tests 3 scenarios, each of them had the same amount of chemicals per cubic meter of soil.

1. Soil conditioning with reference product: use of REF

2. Soil conditioning with Polyfoamer ECO WSP

3. Soil conditioning with reference product: use of REF + Mapedisp ECO WSP

3. Tests campaign carried out at Polytechnic of Turin (TUSC)

The laboratory tests performed during this study are listed below and each of them is briefly described in the following paragraphs. Not only one test has been carried out because of a deep study of chemical products interaction with soil samples has been assessed [3] [4].

– Mini flow test.

– Mini slump and flow table test.

– Slump test.

– Dynamic adhesion

The foam generator used in this research is very similar to the ones normally installed in the TBM and allows the control of the water flow rate (up to 15 l/min), the air flow rate (up to 150 n.l/min) and the concentration of the foaming agent. Once the parameters are set, except for little variations, it is possible to obtain regular samples of foam with a chosen Foam Expansion Ratio (FER) [5].

3.1. Mini flow test

The mini flow test campaign was performed according to the procedure described in the article published in an international scientific journal [6].These tests involve the use of a mini-cone [ Fig. 4] [Fig. 5], a scale reduction of the one used for slump tests (CEN 2009) and the dry crushed clay samples (DCC) [2].

The cone base diameter is 44 mm, while its height is 66 mm. The flow and slump values of the conditioned material refer are reported in percentage values together with the expected water saving. For these tests, any foam has been generated, only water and foaming agent solution have been added to the soil samples. [Fig. 6] [Fig 7]

3.2. Mini slump and slump tests

For the mini-slump tests, the cone base diameter is 100 mm, while its height is equal to150 mm while the slump test campaign has been performed in compliance with the procedure described in the article published in the international scientific journal[6]. For both tests campaign, the NCC “Reggio” clay has been used, which is characterised by its natural water content. The procedure involves the mixing of the clay with water and foam until achieving a homogeneous mixture. The material is then placed inside a mini slump cone, which is the lifted and the dimensions (base diameter and height) of the samples after the removal of the cone are recorded. Fifteen jolts are applied at a height of 25 mm, followed by another set of measurements.

Figure 4 and 5. Mini flow cone front and from-above views.
Figure 6 and 7. Mini Flow tests for “Reggio” clay. IDs are labelled.
Table 2. Mini flow tests results.

Nota tecnica Nota tecnica

The tests maintain consistent conditioning parameters, with specific flow and slump measurements after jolting. The study compares different test IDs based on flow percentages and evaluates the impact of conditioning agents like Mapedisp ECO WSP and Polyfoamer ECO WSP [Fig.8] [Fig.9].

The slump test is likely the earliest method employed to characterize conditioned soil, despite being initially designed for cohesionless soils [3] [4] [5].The testing campaign followed the procedure outlined in the paper [6] published in an international scientific journal. The soil conditioning parameters used were:

– c (%): 2.0

– FER (-): 8

– FIR (%): 60

– WIR (%): changed according to the product used as specified below

The evaluation of a slump test goes beyond simply measuring the slump at the cone. For all materials, and particularly for clay, additional factors must be considered, such as the sample’s overall homogeneity, its pulpy texture, and level of stickiness. A comprehensive assessment of these elements is necessary to provide a reliable interpretation of the test results. To make this process easier to understand, the authors introduced a straightforward scale for pulpy consi-

stency (ranging from 1 for minimally pulpy to 5 for highly pulpy) and stickiness (from 1 for low stickiness to 5 for high stickiness). These assessments were conducted following the completion of slump tests B and C.

Notable findings form the above tests can be summarized.

– Flow percentage increases when using Mapedisp ECO WSP and Polyfoamer ECO WSP, with improvements up to 1.5 times compared to the reference test.

Slump parameters remain largely unchanged, both using reference foaming agent and ECO WSP line products, saving about 20% of water addition (WIR).

Consistency, stickiness, and homogeneity assessments provide qualitative insights into the clay’s behavior during testing and prove the benefit of using Mapedisp ECO WSP and Polyfoamer ECO WSP.

3.3. Dynamic Adhesion Tests

These tests assessed the adhesion of conditioned clay samples to a rotating aluminum disc under a constant speed of 90 rpm and a pressure of 1 bar [4].

Torque measurements were recorded to monitor the resistance caused by adhesion/clogging forces typical of clay soils.

– Results showed torque values consistently between 3 and 4 Nm, indicating stable adhesion control regardless of the applied conditioning.

– The tests demonstrated that both Polyfoamer ECO WSP and Mapedisp ECO WSP maintained torque levels like the reference test, confirming effective clay conditioning.

Table 3. Mini slump tests results.
Figure 8 and 9. ID5 mini slump test pictures before jolting (left) and after (right).
Figure 10. Dynamic adhesion test ID 1. Material completely poured into the steel container (left), material at the end of the test (right), extraction and visual analysis of the disc (right).

Slump A

Pulpy consistency: 4

Stickiness: 2

Additional comments: pulpy soil, presence of chips in the pulp.

B

Pulpy consistency: 3.5-4

Stickiness: 3-3.5

Additional comments: /

Slump C

Additional comments: material is too fluid, hence it overflows out of the plate after being jolted. Presence of chips are in part loose and not blended into the “creamy” pulp.

Slump A

Pulpy consistency: 3-3.5

Stickiness: 2-2.5

Additional comments: pulpy soil, presence of chips in the pulp.

Slump B

Pulpy consistency: 4

Stickiness: 3.5

Additional comments: homogeneous material, presence of chips in the pulp.

Slump C

Additional comments: homogeneous material, wellconditioned soil.

Overall, the tests highlighted the effectiveness of specific conditioning agents in enhancing conditioned clay properties while maintaining stable material behavior during dynamic and static tests [Fig.10] [Fig.11].

Slump A

Pulpy consistency: 3

Stickiness: 1.5-2

Additional comments: homogeneous material, slightly less homogeneous than slump A of test ID 2.

Slump B

Pulpy consistency: 4

Stickiness: 3.5

Additional comments: very homogeneous material.

Slump C

Additional comments: homogeneous material, well conditioned soil. Many chips are disrupted, while the pulp is embedding the remaining chips.

4. Environmental considerations

Despite the above technical advantages, some environmental benefits for the TBM jobsites which promote are brought from the use of ECO WSP products.

The savings of thousands of cubic meters of water, optimizing resource efficiency and improving TBM speed (no needs of high-capacity water supply system to keep high production even in the cohesive formations) is a key aspect of the advantages brought in by the ECO WSP products line.

In areas where water access is challenging or restricted, WSP becomes an essential solution, enabling TBM operations without compromising performance. By reducing the demand for water, this technology ensures continued progress in excavation projects even in resource-constrained environments, supporting the completion of tunnels that might otherwise face logistical hurdles.

The implementation of WSP not only saves water but also minimizes the carbon footprint of excavation projects. A key factor is the significant reduction in the number of trucks

Table 4. Slump tests results.
Slump
Figure 11. ID1 is REF, ID2 is Polyfoamer ECO WSP and ID 3 is REF + Mapedisp ECO WSP.

Nota tecnica Nota tecnica

12. Ecotoxicity comparison between REF foaming agent and Polyfoamer ECO WSP.

Figure 13. Ecotoxicity comparison between REF foaming agent and REF foaming agent + Mapedisp ECO WSP.

required to deliver water to the jobsite. This translates into lower CO2 emissions, contributing to more sustainable and environmentally friendly construction practices, which are increasingly critical for modern infrastructure projects.

The ECO WSP products are formulated with no alcohols, no glycols, they are rapidly biodegradable and the eco-toxicity indexes lower than commonly used foaming agents. (LabAnalysis tests with samples prepared by the Polytechnic of Turin University).

Additionally, some ecotoxicity tests with the organism Vibrio Fischeri have been carried out at 3 different timing: 5’, 15’ e 30’ [7]. The results are reported in the graphs below [Fig. 12] [Fig.13 ].

5. Conclusions

The study investigates the complex process of conditioning clays, focusing on “Reggio” clay in both homogenized (DCC)

and chipped (NCC) forms. Tests using specialized products, including Polyfoamer ECO WSP and Mapedisp ECO WSP, demonstrated effective conditioning with reduced water usage compared to the reference agent (REF).

Key findings include:

– Mini-flow and mini-slump tests showed potential water savings of 17-22% with Polyfoamer ECO WSP and similar savings when combining Mapedisp ECO WSP with REF.

– Slump tests highlighted water savings between 20-33% using Polyfoamer ECO WSP.

– Dynamic adhesion tests confirmed about 20% water saving with next-generation products.

– ECO WSP products have low toxicity and high biodegradability, getting to a lower impact of the conditioned soil.

Acknowledgements

Many thanks must be given to the team of TUSC laboratory of the Polytechnic of Turin for the professional and outstanding test campaign carried out.

References

[1] Borio L., Peila D. (2011), Laboratory test for EPB tunnelling assessment: results of test campaign on two different granular soils. Gospodarka Surowcami Mineralnymi, 27(1), 85100.

[2] Carigi, A., Di Giovanni, A., Saltarin, S., Peila, D., Todaro, C. 2023. “Influence of chip-size on development of adhesion for conditioned clayey soils” Proceedings of the ITA-AITES World Tunnel Congress 2023 (WTC 2023), 12-18 May 2023, Athens, Greece

[3] Peila D., Oggeri C., Borio L. (2009), Using the slump test to assess the behavior of conditioned soil for EPB tunneling, Environmental & Engineering Geoscience, XV (3), 167-174.

[4] Peila D., Picchio A., Chieregato A. (2013) Earth pressure balance tunnelling in rock masses: Laboratory feasibility study of the conditioning process. Tunnelling and Underground Space Tech., 35, 55-66.

[5] Peila D., Picchio A., Martinelli D., Dal Negro E. (2016) Laboratory tests on soil conditioning of clayey soil. Acta Geotechnica. DOI: 10.1007/s11440-015-0406-8.

[6] Todaro C., Carigi A., Peila L., Martinelli D., Peila D. (2022) Soil conditioning tests of clay for EPB tunnelling, Underground Space, Volume 7, Issue 4, 2022, Pages 483-497, https://doi. org/10.1016/j.undsp.2021.11.002

[7] Dal Negro E., Boscaro A., Barbero E., (2023) Mechanized tunnelling: improving the environmental impact of chemical products without impacting technical performance, Proceedings of the ITA-AITES World Tunnel Congress 2023 (WTC 2023), 12-18 May 2023, Athens, Greece.

Figure

Intelligenza artificiale, calcolo quantistico e informazione quantistica

Attualmente, l’intelligenza artificiale, il calcolo quantistico e l’informazione quantistica rappresentano i motori di una rivoluzione tecnologica che sta trasformando il mondo. Questi campi, sempre più interconnessi, stanno ridefinendo settori come la medicina, l’energia e la sicurezza informatica, ma il loro impatto sull’ingegneria civile e, in particolare, sulla costruzione di grandi e complesse gallerie, è altrettanto straordinario. In questo articolo Accenti esplora lo stato di queste tre tecnologie, il loro ruolo attuale e le proiezioni prossime, con un’attenzione speciale a come si stanno semplificando e accelerando i processi di progettazione, analisi strutturale e logistica per le infrastrutture ingegneristiche del futuro.

Intelligenza Artificiale oggi: una presenza pervasiva

L’IA è ormai una realtà consolidata, con algoritmi avanzati che ottimizzano ogni aspetto della vita moderna. Modelli di machine learning e deep learning, come quelli sviluppati da aziende del settore, stanno rivoluzionando anche l’ingegneria civile. Ad esempio, software IA come “Autodesk’s generative design” utilizzano algoritmi per creare modelli ottimizzati di strutture, riducendo i tempi di progettazione e migliorando l’efficienza dei materiali

Nel contesto delle gallerie, l’IA è fondamentale per analizzare dati geologici complessi. Sensori intelligenti, installati nei siti di scavo, raccolgono informazioni in tempo reale su pressione, umidità e caratteristiche del terreno, che vengono immediatamente elaborate da modelli IA per prevedere rischi come frane o cedimenti. Secondo MIT Technology Review, l’IA riduce i tempi delle analisi geotecniche/geomeccaniche da settimane a ore, permettendo ai costruttori di grandi gallerie di adattare rapidamente i progetti alle condizioni del sottosuolo.

Entro il 2035 l’IA potrà automatizzare completamente la progettazione di gallerie complesse, integrando variabili come il traffico previsto, l’impatto ambientale e i costi in un unico sistema predittivo. Per i costruttori, questo significa non solo maggiore velocità, ma anche una drastica riduzione degli errori umani.

Calcolo quantistico: la rivoluzione nell’ingegneria

strutturale

Il calcolo quantistico, basato sui qubit e sui principi di sovrapposizione ed entanglement, sta emergendo già da quest’anno come un potente strumento per l’ingegneria civile. Aziende come IBM, con il loro processore Condor da oltre 1.000 qubit, stanno rendendo questa tecnologia sempre più accessibile per applicazioni pratiche. Sebbene i computer classici continuino ad essere di valido ausilio per compiti generici, come l’interpretazione di immagini e altro, il calcolo quantistico eccelle per propria natura nei

Google DeepMind ha rilasciato Gemini Robotics, un nuovo modello che integra il suo miglior Large Language Model (LLM), Gemini 2.0, con la robotica. Questo permette ai robot di essere più abili, di comprendere comandi in linguaggio naturale e di generalizzare tra diversi compiti, superando i limiti precedenti. Grazie a questa tecnologia, i robot possono eseguire azioni complesse come mettere banane in un contenitore o piegare origami senza bisogno di un addestramento specifico per ogni attività. Il modello rappresenta un passo avanti verso robot più utili e versatili. Sono in corso collaborazioni con aziende come Agility Robotics e Boston Dynamics per perfezionarlo ulteriormente.

Tecnologia Tecnologia

L’Hyperloop è un sistema di trasporto pubblico ultra-veloce proposto da The Boring Company in cui i passeggeri viaggiano in capsule elettriche autonome a velocità superiori a 600 miglia orarie (circa 965 km/h). Questo sistema utilizza tunnel a bassa pressione per ridurre la resistenza dell’aria, consentendo un trasporto efficiente e rapido. The Boring Company ha costruito un tracciato di prova, l’Hypertube, lungo 0,8 miglia (circa 1,3 km) a Hawthorne, California, nel 2016, utilizzato per competizioni studentesche che hanno raggiunto velocità fino a 288 miglia orarie (463 km/h). I tunnel di The Boring Company supportano sia il sistema Loop che l’Hyperloop, mirando a rivoluzionare il trasporto urbano e interurbano.

calcoli strutturali complessi, un aspetto cruciale nella costruzione di gallerie e altre infrastrutture ingegneristiche avanzate.

Le gallerie moderne, come quelle per i treni ad alta velocità o per le linee metropolitane nei centri urbani, richiedono simulazioni strutturali estremamente dettagliate per garantire stabilità sotto i carichi dinamici generati da terremoti, traffico e pressione idrostatica/idrodinamica. Mentre i computer classici impiegano giorni o settimane per eseguire queste simulazioni, un computer quantistico può risolverle in pochi minuti, grazie all’instrinseca capacità di elaborare molteplici scenari simultaneamente.

Nel futuro, probabilmente entro il 2040, il calcolo quantistico potrebbe rivoluzionare anche la logistica delle costruzioni, per esempio per pianificare lo scavo di una galleria lunga decine di chilometri, che implica coordinare macchinari, materiali e personale in un ambiente spesso imprevedibile. Gli algoritmi quantistici, come quelli della canadese D-Wave, azienda di cui abbiamo trattato in Gallerie e Grandi Opere Sotterranee n. 137, possono ottimizzare queste variabili in tempo reale, riducendo i tempi di costruzione del 30-40% rispetto ai metodi tradizionali.

Informazione Quantistica: comunicazione e sicurezza per le gallerie del futuro

L’Informazione Quantistica, che studia la codifica e la trasmissione di dati attraverso stati quantistici, sta aprendo nuove frontiere per l’ingegneria civile. Ad oggi, la comunicazione quantistica è resa possibile da tecnologie come il satellite Micius, illustrato estesamente in un recente articolo apparso sulla nota rivista Nature. Il satellite garantisce trasferimenti di dati sicuri e istantanei tra i team di costruzione sparsi lungo un progetto di galleria. Questo è cruciale per coordinare operazioni in tempo reale, specialmente in ambienti remoti o sotterranei dove le comunicazioni tradizionali possono fallire.

L’informazione quantistica supporta la sicurezza dei dati strutturali. I progetti di gallerie contengono informazioni sensibili come posizioni, materiali e vulnerabilità che devono essere protette da attacchi informatici. La crittografia quantistica, basata sull’entanglement, rende questi dati in-

violabili, un vantaggio strategico per infrastrutture critiche in costruzione come gallerie metropolitane, stradali, ferroviarie e idriche. Nel futuro, l’informazione quantistica potrebbe integrarsi con l’IA e il calcolo quantistico per creare sistemi di monitoraggio avanzati. Sensori quantistici installati lungo una galleria trasmettono dati in tempo reale a un’IA che, supportata da un computer quantistico, ne analizza la stabilità strutturale e prevede i necessari interventi di manutenzione preventiva con una precisione mai ottenuta prima.

Impatto specifico sull’Ingegneria Civile e la costruzione di gallerie

Le succitate tecnologie trasformeranno la costruzione di grandi gallerie: ad esempio, il progetto futuribile Hyperloop per un treno supersonico in gallerie sottovuoto, di cui si parla da anni (studi scientifici furono realizzati anche in Sicilia negli anni Sessanta) e recentemente ripreso da Elon Musk, ha il tracciato ed i materiali ottimizzati con l’IA grazie al calcolo quantistico che simula la resistenza del tubo sottovuoto a pressioni estreme mentre l’informazione quantistica protegge i dati del progetto.

Per gallerie convenzionali i principali benefeci possono riassumersi con analisi strutturali più semplici e veloci. I modelli IA analizzano i dati geologici e strutturali in tempo reale, mentre i computer quantistici risolvono equazioni differenziali complesse, come quelle per la distribuzione dello stress, in pochi secondi. Questo permette ai progettisti di testare in poco tempo decine di scenari come diverse profondità, diverse angolazioni di scavo. Vantaggi fondamentali sono:

Calcoli Ottimizzati: La combinazione di IA e calcolo quantistico consente di calcolare con precisione la quantità di materiali necessari come cemento, acciaio ed esplosivi, riducendo gli sprechi e i costi. Per una galleria di 50 km, questo potrebbe significare milioni di euro risparmiati.

Logistica Rivoluzionata: La pianificazione logistica, che include il trasporto di macchinari pesanti come le TBM e la gestione dei detriti, beneficia dell’ottimizzazione quantistica. Algoritmi avanzati riducono i tempi di inattività e migliorano la sicurezza dei lavoratori.

Il generative design è un processo di progettazione innovativo che utilizza l’intelligenza artificiale e il cloud computing per generare rapidamente molteplici soluzioni di design ottimizzate, basate su parametri definiti come materiali, metodi di produzione e requisiti di performance. Questo approccio consente di esplorare opzioni creative ed efficienti, riducendo tempi e costi, ed è applicabile in settori come manifattura, architettura e automotive, migliorando l’innovazione e la sostenibilità dei progetti.

Si prevede che, entro il 2050, la costruzione di gallerie potrà diventare quasi completamente automatizzata. Robot guidati da IA, supportati da simulazioni quantistiche, scaveranno e assembleranno strutture in modo autonomo, mentre le reti di informazione quantistica coordineranno i team globali. Una galleria che oggi richiede 10 anni per essere completata potrebbe essere finita in 3-4 anni, con un impatto ambientale minimo. La sinergia tra IA, calcolo quantistico e informazione quantistica è il cuore di questa trasformazione. L’IA interpreta i dati grezzi, il calcolo quantistico li elabora rapidamente e l’informazione quantistica li protegge. Per l’ingegneria civile, questo significa progetti più sicuri, economici e sostenibili. Entro il 2050, le gallerie del futuro – pensiamo a reti sotterranee per città iperconnesse o basi lunari – saranno progettate e costruite con una velocità e precisione impensabili oggi. L’IA generale, il calcolo quantistico maturo e l’informazione quantistica integrata, trasformeranno l’ingegneria civile in una scienza esatta, dove ogni variabile è controllata e ogni rischio previsto.

Suggerimenti per gli ingegneri progettisti e per coloro che realizzano grandi strutture

Adottare queste tecnologie non è più un’opzione, ma una necessità per restare competitivi e rispondere alle crescenti richieste di efficienza, sicurezza e sostenibilità. Ecco alcune azioni concrete da intraprendere immediatamente.

Gli ingegneri devono iniziare a utilizzare strumenti come Autodesk Revit o Civil 3D con moduli IA per ottimizzare i progetti. Questi strumenti possono analizzare alternative di design in tempo reale e suggerire soluzioni innovative.

Anche se l’accesso ai computer quantistici è limitato, piattaforme come IBM Quantum Experience e D-Wave offrono simulatori e risorse per imparare a sviluppare algoritmi quantistici applicabili a calcoli strutturali. La complessità delle gallerie moderne richiede team interdisciplinari. Gli ingegneri civili devono lavorare fianco a fianco con esperti di IA per sviluppare modelli predittivi e con informatici quantistici per sfruttare la potenza dei qubit. Ad esempio, un esperto di IA potrebbe creare un algoritmo per analizzare i dati dei sensori, mentre un informatico quantistico potrebbe ottimizzarlo per un processore quantistico. La rapida evoluzione di queste tecnologie richiede un aggiornamento co-

Corso intensivo per il machine learning di Google è un programma gratuito e interattivo che insegna i fondamenti del machine learning attraverso lezioni video, testi, visualizzazioni ed esercizi pratici in Pyton, eseguibili direttamente nel browswr tramite Collaboratory. Aggiornato per includere i recenti progressi nell’IA, è adatto sia a principianti che a esperti, coprendo temi come regressione lineare, modelli di classificazione e reti neurali.

stante. Tutorial consigliati includono corsi quali quelli rintracciabili nei link alla fine dell’articolo.

L’importanza delle sinergie tra specialità non può essere sottovalutata: ad esempio, un ingegnere civile che collabora con un esperto di IA può ridurre del 50% i tempi di analisi geologica, mentre l’aggiunta di un informatico quantistico potrebbe accelerare i calcoli strutturali di un ulteriore 30%. Queste collaborazioni non solo migliorano l’efficienza, ma aprono la strada a innovazioni come gallerie auto-monitoranti o sistemi logistici completamente autonomi.

Ettore Accenti http://ettoreaccenti.blogspot.ch/

(Per ulteriori informazioni o approfondimenti scriveteci a: tecnologia@ societaitalianagallerie.it)

Link utili

Webuild Group. https://media.webuildgroup.com/sites/default/ files/2023-11/20231128%20NS%20MF%20Inaugurazione%20Master%20RCS_finale.pdf

NVIDIA. H200 Tensor Core GPU. https://www.nvidia.com/en-us/datacenter/h200/ Cerebras Systems. Wafer-Scale Engine 3 (WSE-3). https://www.cerebras. net/ IBM Unveils Heron and Quantum System. https://research.ibm.com/blog/ quantum-heron-system-two Stanford Institut. https://hai.stanford.edu/ MIT Center for Computational Science and Engineering. https://ccse.mit. edu/ Tsinghua University. https://www.tsinghua.edu.cn/en/ ETH Zürich. https://ibk.ethz.ch/ University of Tokyo. https://www.u-tokyo.ac.jp/en/ Texas Advanced Computing Center. https://www.tacc.utexas.edu/ The Boring Company. https://www.boringcompany.com/ Bechtel. https://www.bechtel.com/ ACCIONA. https://www.acciona.com/ China Railway Tunnel Group. http://www.crtg.com.cn/

Giornale dei lavori – marzo 2025

Ecco gli ultimi aggiornamenti dai cantieri di TELT, BBT, COCIV e ITALFERR & RFI

Tunnel di base del Moncenisio

Avanzano i lavori del tunnel di base del Moncenisio in costruzione tra l’Italia e la Francia. A marzo 2025 gli scavi hanno raggiunto i 41 km di gallerie realizzate sui 164 km totali, di cui oltre 16 km di tunnel di base. L’approfondimento di questo numero è dedicato alla ripresa dei lavori nel cantiere di Modane dove si è insediato e ha iniziato a scavare il cantiere operativo CO5, che realizza il tratto di tunnel transfrontaliero fino all’Italia.

– Saint-Jean-de-Maurienne: SNCF Réseau prosegue i grandi lavori per l’interconnessione ferroviaria nella Piana di Saint-Jean-de-Maurienne dove sorgerà anche la nuova stazione internazionale: realizzato l’impalcato del nuovo Viadotto sul torrente Arvan di oltre 52 metri di luce, che sostituirà l’esistente ed ospiterà a termine ben 7 binari contro i due attuali.

– Saint-Julien-Montdenis: lo scavo con esplosivo sui due fronti dall’imbocco ovest del Tunnel di base, ha superato i 1500 m nella montagna. Parallelamente procede lo scavo dei rami di comunicazione tra le due gallerie. Arrivato e montato in cantiere anche la prima delle due attrezzature costruite su misura per gettare l’arco rovescio del tunnel di base.

– Saint-Martin-la-Porte/La Praz: mentre nella caverna tecnica di Saint-Martin-la-Porte prosegue il montaggio della fresa rosso Savoia, battezzata Viviana l’1 aprile dai ministri delle Infrastrutture italiano e francese, Matteo Salvini e Philippe Tabarot, si prepara il primo concio di arco rovescio definitivo sulla canna sud scavata tra il 2016 ed il 2019

dalla fresa Federica. In contemporanea proseguono le altre attività in sotterraneo come lo scavo della camera di lancio della TBM e dei rami di comunicazione: ultimato il ramo di comunicazione n° 33, lungo 42 m, è iniziato lo scavo del ramo n° 32. Nella zona di La Praz invece, lo scavo della canna pari del tunnel di base verso Torino nel mese di febbraio è stato di 18,5 m. Avanzano gli altri fronti: la galleria intertubo e lo scavo a specchio delle due caverne di accesso dei mezzi bimodali, così come la realizzazione della grande caverna tecnica trasversale e della galleria logistica in diagonale verso la canna dispari del tunnel di base

– Villarodin-Bourget/Modane e Avrieux: completate le operazioni di sostegno di tre dei quattro pozzi per la ventilazione del tunnel di base profondi 500 metri con il robot beton per il riempimento delle cavità che si erano aperte a -350 metri di profondità. Al piede del primo pozzo trattato è in corso di montaggio il cassero per il getto del rivestimento definitivo. Sul cantiere sotterraneo di Villarodin-Bourget/Modane da metà gennaio si è insediato il nuovo raggruppamento che proseguirà gli scavi del tunnel di base verso l’Italia: iniziati l’attrezzaggio, gli approvvigionamenti e la preparazione dei futuri fronti di avanzamento in prosecuzione dei lavori ereditati dal cantiere CO5a.

Chiomonte: completata la prima rampa di uscita verso Torino del nuovo svincolo autostradale di Chiomonte sulla A32 Torino-Bardonecchia,

Figura 1. Mappa dei cantieri d’attacco per i lavori del tunnel di base.

Dai cantieri Dai cantieri

che servirà alla movimentazione dei mezzi del cantiere del tunnel di base, evitando di impattare sulla viabilità locale. Sulla rampa di entrata prosegue la costruzione delle ultime 3 pile.

– Susa: il 26 febbraio è stato pubblicato sulla Gazzetta Europea il bando di

La Galleria di Base del Brennero

gara per gli oltre 2 km di lavori all’aperto nella Piana di Susa, tra gli imbocchi del tunnel di base e del tunnel dell’Interconnessione con la linea storica a Bussoleno.

L’approfondimento

A metà gennaio 2025, l’area di cantiere è stata consegnata al raggruppamento di imprese ELYOT (Eiffage Génie civil (mandataria), Spie Batignolles, Ghella e Cogeis) che dovranno realizzare il tratto di tunnel di 22 km tra la discenderia esistente a Villarodin-Bourget/Modane e il sito di Clarea in Italia, proseguendo i lavori eseguiti nella prima fase dal CO5a che continua ad operare per terminare i pozzi di Avrieux.

La prima volata con l’esplosivo è stata realizzata il 19 febbraio, riprendendo dopo oltre un anno l’avanzamento verso Torino sulla canna pari: iniziato, a partire della prima delle due caverne di montaggio della TBM, lo scavo della camera di lancio della fresa, lunga 30 m.

I lavori del lotto prevedono lo scavo delle due canne del tunnel, ciascuna lunga 18 km, con TBM a gripper, accompagnate da un totale di 14 km di gallerie scavate con esplosivo per realizzare il sito di sicurezza sotterraneo previsto in quest’area. Ad affiancare il cantiere sarà realizzata anche una fabbrica di prefabbricazione dei conci di base sulla piattaforma dell’Isle di Modane. I materiali di scavo saranno trasportati con una rete di nastri trasportatori che garantiscono un trasporto efficiente, silenzioso e rispettoso dell’ambiente. a cura di TELT

Figura 2. Gli operai preparano il fronte per la prima volata con l’esplosivo nel cantiere di VillarodinBourget/Modane.
Figura 1. Stato di avanzamento lavori a tutto febbraio 2025.

La Galleria di Base del Brennero – Brenner Basis Tunnel (BBT), attualmente in avanzata fase di realizzazione, rappresenta un’infrastruttura strategica del corridoio ferroviario tra Monaco di Baviera e Verona.

L’intero complesso di tunnel che costituisce il BBT si estende per quasi 230 chilometri di cui, alla fine di febbraio, risultavano già scavati oltre 189 chilometri. Il sistema è composto da un’articolata rete di opere sotterranee che, oltre alle gallerie di linea (GL) destinate al passaggio dei treni e alle relative interconnessioni con la rete ferroviaria esistente, include il cunicolo esplorativo (CE), le finestre di accesso, i cunicoli trasversali (CT) lungo le gallerie di linea, quelli relativi alle fermate di emergenza e numerose altre gallerie con funzioni logistiche e operative.

La realizzazione della Galleria di Base del Brennero ha richiesto l’avvio di sette lotti di costruzione principali, di cui quattro risultano già conclusi mentre tre sono al momento operativi, due in Austria e uno in Italia.

A partire da Nord:

- il lotto “H21 Gola del Sill”, situato a sud di Innsbruck, rappresenta il collegamento tra la stazione centrale di Innsbruck ed il portale nord del BBT. I lavori, eseguiti dalla Porr Bau GmbH di Kematen, sono stati avviati nell’agosto 2020 e si sono conclusi nel dicembre 2024, con un costo complessivo di circa 60 milioni di euro.

- Il lotto costruttivo “H41 Gola del Sill – Pfons”, attualmente in costruzione e ubicato tra la Gola del Sill e la località di “Pfons” è stato affidato all’ATI “H41 Sillschlucht-Pfons”, composta dalle società Implenia Österreich GmbH, Implenia Schweiz AG, Webuild S.p.A., CSC costruzioni SA, per un importo pari a 651 milioni di euro. I lavori iniziati nel gennaio 2022 si concluderanno nell’estate del 2028. Alla fine di febbraio 2025 è stato raggiunto un avanzamento pari a oltre il 78% dei circa 26 km di scavi previsti. È stato completato l’84% circa dei 9,5 km di scavi da realizzarsi con metodo tradizionale e, partire dal 17/09/2024, la galleria di linea Est è collegata al confinante lotto H21. Per quanto riguarda lo scavo in direzione sud con metodo meccanizzato, le frese a singolo scudo “Lilia” e “Ida” hanno raggiunto un avanzamento di oltre il 76% circa dei 16,5 km previsti.

- Il lotto “H33 Tulfes-Pfons” comprende il cunicolo di soccorso Tulfes, le gallerie principali nella zona di Ahrental e le gallerie di interconnessione, la fermata di emergenza di Innsbruck e il cunicolo esplorativo nel tratto Ahrental-Pfons, per un totale di 43,3 km di gallerie. I lavori, affidati all’ATI Strabag SE / Webuild S.p.A., con un importo di aggiudicazione di 377 milioni di euro, sono stati avviati nell’estate 2014 e si sono conclusi nel settembre 2021.

- Il lotto “H52 Hochstegen”, ubicato nel comune di Steinach am Brenner, ha interessato una zona caratterizzata da condizioni geologiche estremamente complesse. Esso comprende 0,9 km di cunicolo esplorativo in direzione sud, 3,0 km di gallerie principali in direzione sud, 0,6 km di gallerie di interconnessione e 0,3 km di cunicoli trasversali di collegamento. I lavori, affidati impresa Swietelsky Tunnelbau GmbH & Co KG con un importo di aggiudicazione di 102 milioni di euro, sono iniziati nel febbraio 2022 e si sono conclusi nel dicembre 2023.

- Il lotto costruttivo “H53 Pfons – Brennero”, attualmente in fase di realizzazione, riguarda il tratto tra la località “Pfons” e il confine del Brennero. Esso è stato affidato al raggruppamento composto da Porr Bau GmbH, Marti GmbH Austria e Marti Tunnel AG Svizzera per un importo contrattuale pari a 959 milioni di euro. La durata dei lavori per questa sezione del progetto è stimata in 70,5 mesi. I lavori sono stati avviati nel maggio 2023 e alla fine di febbraio 2025, è stato raggiunto un avanzamento pari a circa 26% dei circa 28,5 km di scavi previsti. È stato completato circa il 43% dei 13,4 km di scavi da realizzarsi con metodo tradizionale mentre, per quanto riguarda lo scavo con metodo meccanizzato, le frese a doppio scudo, avviate in data 18/09/2024, hanno completato lo scavo di circa il 10% dei circa 7,5 km di gallerie previsti per ciascuna canna in direzione nord, fino al futuro collegamento con l’adiacente lotto H41.

Sul lato italiano, a sud del confine di Stato, proseguono le lavorazioni del lotto costruttivo “H61 Mules 2-3”, affidato alla società consortile BTC S.c.r.l, composta da Webuild S.p.A., Ghella S.p.A., Cogeis S.p.A. e PAC S.p.A., per un importo contrattuale pari a 993 milioni di euro.

I lavori sono stati avviati nel settembre 2016 e, alla fine di febbraio 2025, è stato raggiunto un avanzamento complessivo degli scavi di oltre il 98% dei circa 64,9 km da scavare.

È in corso lo scavo della galleria di linea Ovest mediante la TBM a doppio scudo “Flavia”, alla quale mancano meno di 400 m per raggiungere il Confine di Stato mentre proseguono le attività di scavo dei cunicoli tecnologici trasversali, con metodo tradizionale e le attività di realizzazione dei rivestimenti definitivi nella fermata di emergenza di Trens, nella relativa galleria di accesso e nel cunicolo esplorativo.

All’estremo meridionale della Galleria di Base del Brennero, il lotto “H71 Sottoattraversamento dell’Isarco” comprende circa 6,4 km di gallerie che garantiscono il collegamento del BBT con l’area della stazione di Fortezza, che ospita il portale sud del BBT e con la linea ferroviaria storica. I lavori, del valore di 301 milioni di euro, sono stati affidati nel 2014 al raggruppamento “Isarco S.c.ar.l.”, composto da Webuild Italia S.p.A., Strabag AG, Strabag S.p.A., Consorzio Integra e Collini Lavori S.p.A. e si sono conclusi nel dicembre del 2023. In seguito agli interventi di rinaturazione eseguiti nel corso del 2024, l’area sta progressivamente recuperando il suo assetto morfologico e paesaggistico originario.

Nel presente aggiornamento si presenterà anche l’attuale fase di sviluppo della progettazione dell’attrezzaggio ferroviario della Galleria di Base del Brennero (BBT), il quale comprende tutte le strutture e gli impianti tecnologici funzionali al futuro esercizio della linea, costituite da: armamento, linea di contatto per la trazione elettrica, alimentazione e distribuzione della corrente elettrica in media e bassa tensione, segnalamento, telecomunicazioni, controllo accessi e monitoraggio, oltre agli impianti elettromeccanici di sicurezza della galleria, costituiti da ventilazione e sistemi antincendio. A maggio 2024 la società di progetto Galleria di Base del Brennero (BBT SE) ha affidato al consorzio “ISIE”, composto da Italferr S.p.A. (capogruppo), SYSTRA S.p.A., ILF Consulting Engineers Austria GmbH ed EUT Engineering GmbH (mandanti), l’incarico per i servizi di ingegneria relativi all’attrezzaggio ferroviario della galleria.

Attualmente è in corso la fase progettazione definitiva dell’attrezzaggio tecnologico e in particolare l’adeguamento normativo e la revisione del progetto definitivo sviluppato nel 2008 e della progettazione di sistema sviluppata nel 2013.

L’adeguamento normativo si rende necessario per conformare il progetto

Figura 2. TBM a doppio scudo “Flavia”.

Dai cantieri Dai cantieri

definitivo dell’attrezzaggio ferroviario in essere alle normative sopravvenute successivamente alla sua approvazione e, in particolare ai regolamenti dell’Unione Europea relativi alle Specifiche Tecniche di Interoperabilità, entrati in vigore nel 2014 e successivi aggiornamenti. La revisione tiene conto delle modifiche delle opere civili introdotte nella fase esecutiva e in particolare della nuova funzione attribuita al cunicolo esplorativo (nel seguito anche CE).

Nelle precedenti previsioni progettuali, infatti, durante la fase di esercizio il cunicolo sottostante alle Galleria di linea, avrebbe dovuto svolgere unicamente la funzione di via di evacuazione delle acque di drenaggio. Tuttavia, nel 2022, gli organi decisionali di BBT hanno stabilito che il cunicolo esplorativo debba costituire uno degli ambienti a disposizione per collocare impianti e apparecchiature tecnologiche per la gestione dell’esercizio ferroviario e per la manutenzione della Galleria di Base del Brennero.

In quest’ottica, è in corso la valutazione della possibilità di impiegare il cunicolo esplorativo (CE) come principale via di accesso per le operazioni di manutenzione degli impianti tecnologici., nonché del trasferimento di alcune apparecchiature in spazi dedicati, situati alla quota del CE stesso.

L’accesso agli impianti tecnologici attraverso il CE per gli interventi di manutenzione garantisce, rispetto all’accesso mediante le gallerie principali, una significativa riduzione delle interferenze con l’esercizio ferroviario e, di conseguenza, consente di ottimizzare sensibilmente il costo complessivo dell’opera nel suo ciclo di vita. Per la progettazione dell’attrezzaggio ferroviario è stata adottata la metodologia BIM (vedasi figure 3 e 4).

a cura di BBT-SE

Progetto Unico Terzo Valico dei Giovi – Nodo di Genova

Avanzamenti sui cantieri del Nodo di Genova

In data 18 febbraio è stato svolto al cantiere di Genova Brignole un sopralluogo tecnico del Ministro alle Infrastrutture e Trasporti, Matteo Salvini nel cuore dei cantieri liguri del Progetto Unico “Terzo Valico – Nodo di Genova”. Presenti il vice Ministro alle Infrastrutture e Trasporti, Edoardo Rixi, il Commissario Straordinario per il Progetto Unico, Calogero Mauceri, il Presidente della Regione Liguria, Marco Bucci, il facente funzione Sindaco di Genova, Pietro Piciocchi, Nicola Meistro, Responsabile Operation Rail Italia di Webuild e Vincenzo Macello, vice Direttore Generale di Rete Ferroviaria Italiana, Gruppo FS. Il progetto del Nodo di Genova ha l’obiettivo di separare i flussi di traffico lunga percorrenza e merci da quelli metropolitani/regionali con il conseguente incremento della capacità ferroviaria dell’intera rete regionale ed è costituito da due nuovi binari in corso di realizzazione ed è suddiviso in: “Sestuplicamento” tra Genova Piazza Principe e Brignole (Area 1), “Quadruplicamento” tra Genova Voltri e Sampierdarena (Area 3), il collegamento Bivio Fegino-Campasso-porto storico (Area 2) e il nuovo Piano Regolatore di Genova Voltri (Area 4).

Nel corso della visita sono stati visitati i cantieri del Sestuplicamento, partendo dalla stazione di Brignole sono stati percorsi i due nuovi binari di collegamento con la stazione di Genova Piazza Principe ottenuti mediante il prolungamento delle esistenti gallerie Colombo e S. Tomaso che saranno dedicati esclusivamente al traffico regionale/metropolitano e consentiranno di eliminare le attuali interferenze presenti nel collegamento esistente.

Figura 1. Un momento della visita del Ministro alle Infrastrutture e Trasporti, Matteo Salvini, ai cantieri liguri del Progetto Unico “Terzo Valico – Nodo di Genova” (fonte: https://www.fsitaliane.it/).

È stato possibile constatare il completamento degli scavi e i rivestimenti definitivi delle gallerie ed i lavori esterni in corso relativi la nuova galleria artificiale e i prolungamenti dei sottopassi di stazione esistenti. Per quanto riguarda le gallerie di “Area 3”, sono prossimi al completamento i lavori del Quadruplicamento tra Voltri e Sampierdarena con i due nuovi

Figura 3. Sviluppo progettuale mediante l’adozione del Tunnel Information Modeling.
Figura 4. Modello BIM; in primo piano la Galleria di Linea Ovest.

Inquadramento planimetrico delle opere relative al prolungamento della Bretella di Voltri e all’interconnessione con le gallerie del Terzo Valico. Le opere fanno parte del progetto del “Quadruplicamento” tra Genova Voltri e Sampierdarena (courtesy of Webuild image library).

binari ottenuti con il completamento della nuova Bretella di Voltri che saranno dedicati ai collegamenti a lunga percorrenza (merci e viaggiatori), consentendo la connessione diretta al Terzo Valico dei Giovi per i treni merci con origine/destinazione al Porto di Prà-Voltri.

La realizzazione del prolungamento della Bretella di Voltri, fino all’allaccio con l’esistente linea succursale dei Giovi in corrispondenza del bivio Polcevera, è determinante ai fini della realizzazione di un itinerario alternativo su cui instradare i traffici a lunga percorrenza, sia interregionali che merci, provenienti da (e diretti verso) il ponente ligure e il Porto di Prà-Voltri. Nell’ambito del Nodo di Genova, l’attivazione dell’opera consentirà di sgravare la linea costiera da tali tipologie di traffici, incrementando l’offerta del servizio metropolitano.

L’intervento consentirà inoltre l’interconnessione con la nuova linea del Terzo Valico dei Giovi, attraverso due cameroni, anch’essi completati, in corrispondenza delle due gallerie di Interconnessione (binario pari e binario dispari).

Al termine dei due cameroni di interconnessione, si snoda la galleria a doppio binario del prolungamento della Bretella di Voltri, denominata anche “Galleria Polcevera del Nodo di Genova”. Il tracciato di progetto, di sviluppo complessivo pari 2221 metri, è stato impostato per una velocità di progetto pari a 120 km/h e presenta una sopraelevazione massima pari a 150 mm

3. Le operazioni relative all’attivazione delle gallerie dell’Area 3 (prolungamento della Bretella di Voltri) sono ormai prossime al completamento. In questa immagine, il tratto corrispondente alla futura interconnessone con la galleria Dispari dell’Interconnessione di Voltri, che consentirà la connessione diretta al Terzo Valico dei Giovi per i treni merci con origine/destinazione al Porto di Prà-Voltri, una volta completata la realizzazione delle opere del Terzo Valico. (courtesy of Webuild image library).

con raggio di curvatura minimo Rmin = 705 m. Il profilo di intradosso della Nuova Galleria a Doppio binario in Progetto è stato definito adottando il Gabarit C – PMO5. Le coperture della galleria variano tra circa 400 m, in prossimità del Camerone Pari, per poi decrescere successivamente in corrispondenza dei rilievi collinari di Fegino con coperture comprese tra 150 m e 30 m.

Lo scavo della galleria Polcevera è stato eseguito a partire dall’imbocco laro Fegino, a piena sezione, preceduto, in alcuni casi, da interventi di precontenimento del fronte (sezioni B). La prima parte del tracciato, per un estesa di circa 1.5 km, ha interessato la formazione delle Argille a Palombini del Passo della Bocchetta (AP), che hanno mostrato, per larghi tratti, una buona risposta allo scavo, tale da richiedere l’utilizzo di una sezione tipo B0. Nella seconda parte del tracciato le argilliti hanno lasciato spazio alla formazione dei Calcari di Erselli (Er), per un breve tratto, e successivamente a Metabasalti, localmente molto tettonizzati, appartenenti anch’essi all’Unità del Monte Figogna.

L’incontro si è concluso con l’annuncio del prossimo open day presso i cantieri del nodo di Genova e del Terzo Valico programmato per domenica 30 marzo.

a cura del General Contractor guidato da Webuild

4. Le operazioni relative all’attivazione delle gallerie dell’Area 3 (prolungamento della Bretella di Voltri) sono ormai prossime al completamento. In questa immagine, il tratto corrispondente alla futura interconnessone con la galleria Dispari dell’Interconnessione di Voltri, che consentirà la connessione diretta al Terzo Valico dei Giovi per i treni merci con origine/destinazione al Porto di Prà-Voltri, una volta completata la realizzazione delle opere del Terzo Valico. (courtesy of Webuild image library).

Figura 2.
Figura
Figura

Dai cantieri Dai cantieri

Linea Ferroviaria A.V./A.C. Napoli-Bari

Da agosto 2022 risultano in fase realizzativa tutti i cantieri della nuova linea ferroviaria Napoli-Bari (Figura 1 e 2).

Facendo riferimento a quanto già pubblicato nelle precedenti puntate

di questa rubrica, qui di seguito si riporta un aggiornamento sullo stato di avanzamento delle principali opere in sotterraneo presenti nei vari lotti:

Figura 1. Il tracciato della nuova linea ferroviaria Napoli-Bari nel tratto tra Napoli e Foggia.
Figura 2. Suddivisione in lotti della nuova linea ferroviaria Napoli-Bari nel tratto tra Napoli e Foggia.

Napoli-Cancello

Galleria artificiale Casalnuovo (2,3 km):

A marzo 2025 continua lo scavo h24 su 3 turni in condizioni iperbariche avviato a maggio 2024. All’interno del tratto di galleria che prevede tale metodologia di scavo si avanza spediti nella realizzazione di tutte le opere civili. Per il completamento manca solo un tratto di galleria a doppia canna per un’estensione lineare di circa 80 m.

Nel tratto di galleria fuori falda, continuano le attività di scavo, impermeabilizzazione e realizzazione delle fodere interne. In corrispondenza della fermata sotterranea Casalnuovo , sono in via di completamento le opere esterne al piano copertura (Figura 3).

Sono inoltre previste 4 gallerie (sempre con scavo tradizionale) per realizzare le uscite/accessi intermedi di emergenza, che svolgono in alcuni casi anche il ruolo di finestre costruttive.

Le gallerie vengono scavate a partire da 19 imbocchi tra gallerie di linea e finestre.

A marzo 2025, dei 7,9 km totali di gallerie, risultano scavati 4,2 km (circa il 53%) attraversando in prevalenza, con coperture medio-basse, depositi alluvionali terrazzati (costituiti da sabbie e ghiaie a luoghi cementate) e formazioni argillose quali le Argille Varicolori Superiori.

Contemporaneamente, al piano mezzanino vengono realizzate le tamponature interne, mentre al piano sottostante proseguono le attività di posa in opera delle armature delle fodere laterali e delle banchine.

Cancello – Frasso Telesino

Galleria naturale Monte Aglio (4 km), a singola canna e doppio binario. Lo scavo, con metodo tradizionale, fu avviato a Dicembre 2019 e completato a giugno 2022.

A marzo 2025 i lavori risultano pressoché completati in vista dell’attivazione della relativa tratta ferroviaria. Sono in corso di completamento le ultime attività relative all’armamento (consolidamento ballast e successiva rincalzatura/spazzolatura dei binari), le conseguenti regolazioni della linea di contatto della trazione elettrica e piccole opere di finitura, oltre al completamento dell’installazione dei segnali ferroviari e degli apparati di manovra dei deviatoi.

Frasso Telesino – Telese

Galleria artificiale Telese (2,8 km), scavata con metodo top-down per minimizzare la durata delle soggezioni lungo le viabilità esistenti interferenti. Vista la lunghezza, sono previste due uscite di sicurezza intermedie.

A marzo 2025 risulta pressoché completato lo scavo – a foro cieco al di sotto del solettone superiore – dell’intera galleria. Sono in via di completamento l’ultimo tratto di solettone inferiore e le fodere laterali interne. Successivamente, dovranno essere realizzate le strutture delle due discenderie intermedie (solettoni e fodere).

Telese – S. Lorenzo – Vitulano

In questa tratta è prevista la realizzazione di 7 gallerie, tutte a singola canna (doppio binario) ed in scavo tradizionale: Gallerie Tuoro S. Antuono (1,6 km), Cantone (1,0 km), Limata (0,35 km), S. Lorenzo (1,7 km), Ponte (0,45 km), Reventa (0,2 km), Le Forche (2,2 km).

Tra le prossime sfide imminenti si segnala che a breve la galleria Tuoro S. Antuono (figura 4) dovrà attraversare una sorgente sulfurea e sottoattraversare la Strada Statale Telesina con soli 7 m di copertura, mentre la galleria S. Lorenzo dovrà sottoattraversare il torrente Lanare.

Apice – Hirpinia

Gallerie Rocchetta (6,5 km), Melito (4,4 km), e Grottaminarda (2 km), tutte a singola canna a doppio binario con scavo meccanizzato (2 TBM).

A marzo 2025, prosegue lo scavo della galleria Rocchetta (Figura 5) ad opera della seconda TBM, denominata Futura, che ha completato senza problemi i primi 1500 m di scavo nonostante i primi 1000 m siano stati caratterizzati

Figura 3. Galleria artificiale Casalnuovo: fermata Casalnuovo (piano copertura).
Figura 4. Galleria Tuoro S. Antuono: intersezione con finestra di emergenza.
Figura 5. Galleria Rocchetta: milestone di scavo dei primi 1000 m.

Dai cantieri Dai cantieri

da una geologia abbastanza complessa comprendente anche l’attraversamento di 2 faglie.

I dati di monitoraggio sia interno che esterno alla galleria non evidenziano criticità durante le fasi di avanzamento nonostante il progressivo incremento del battente idraulico.

Hirpinia – Orsara

La galleria Hirpinia (27 km a doppia canna) si contenderà con la galleria di Valico a Genova il primato di galleria più lunga d’Italia e 12esima al mondo.

A gennaio 2025 è stato avviato – a partire dall’imbocco lato NA – lo scavo in tradizionale della singola canna a doppio binario (figura 6) verso il pozzo di lancio delle 2 TBM lato NA.

Contestualmente, è stato completato il secondo scavo di ribasso del pozzo rettangolare (circa 70 m x 22 m) per il lancio delle 2 TBM lato NA (Figura 7), e - successivamente – è stato realizzato il secondo ordine di puntoni in c.a. definitivi con relative travi di ripartizione. È in fase di avvio il terzo scavo di ribasso.

A luglio 2024 è stato avviato lo scavo in tradizionale della finestra carrabile F1 che garantirà l’accesso alla fermata di emergenza in sotterraneo (come previsto dalla normativa vigente per gallerie di lunghezza superiore a 20 km). A marzo 2025 risultano scavati circa 160 m.

Intanto è stata completata la costruzione del cavalcaferrovia di cantiere che consentirà di scavalcare la linea storica per avviare la realizzazione dell’imbocco lato Bari e a gennaio 2025 è stata effettuata la prova di carico finalizzata al collaudo statico (Figura 8).

Orsara – Bovino

La galleria Orsara (9,8 km a doppia canna) viene realizzata con 2 TBM EPB.

A settembre 2024 è stato avviato lo scavo della prima TBM (denominata “Marina”) a partire dall’imbocco lato BA. A marzo 2025 sono stati scavati circa 750 m.

È in fase di completamento il montaggio della seconda TBM (denominata “Lucia”, Figura 9) sempre a partire dall’imbocco lato BA.

In corrispondenza dell’imbocco lato NA (a valle della SS90) è in fase di realizzazione il primo ordine di tiranti d’ancoraggio della paratia di sostegno e il successivo scavo di ribasso.

a cura di ITALFERR & RFI

Figura 6. Galleria Hirpinia: imbocco lato NA, scavo tradizionale a singola canna/doppio binario.
Figura 7. Galleria Hirpinia: pozzo di lancio delle TBM lato NA (2° scavo di ribasso).
Figura 8. Galleria Hirpinia: prova di carico sul cavalcaferrovia di collegamento con l’imbocco lato Bari.
Figura 9. Galleria Orsara: montaggio della seconda TBM all’imbocco di Bovino (lato BA).

Visita tecnica al cantiere del Passante Ferroviario AV di Firenze

Committente: Rete Ferroviaria Italiana

Direzione lavori: Italferr

Progettista: Infrarail

Appaltatore: Consorzio Florentia

La prima visita tecnica del 2025 della Società Italiana Gallerie si è svolta giovedì 27 febbraio presso il cantiere del Passante Ferroviario AV di Firenze, un’infrastruttura strategica per la linea ad Alta Velocità/Alta Capacità Milano-Napoli, parte del corridoio Scandinavo-Mediterraneo della Rete Transeuropea dei Trasporti (TEN-T). All’evento hanno preso parte 32 soci. Il progetto, realizzato da Rete Ferroviaria Italiana, prevede il sottoattraversamento ferroviario della città, consentendo la separazione dei flussi di traffico tra i treni regionali e quelli ad alta velocità. Questa configurazione ottimizzerà la capacità della rete di superficie, migliorando il servizio per il trasporto locale ed eliminando interferenze tra le diverse tipologie di convogli.

Il tracciato urbano della nuova linea AV/AC si svilupperà prevalentemente in sotterraneo attraverso due gallerie, con due tratti terminali in superficie: a Nord, tra le stazioni di Firenze Castello e Firenze Rifredi, e a Sud, nei pressi della stazione di Firenze Campo di Marte. Lungo il percorso sotterraneo, a una profondità di 25 metri sotto il livello stradale, sarà realizzata la nuova stazione AV Firenze Belfiore, situata nella zona di via Circondaria.

Presso l’infopoint di Rete Ferroviaria Italiana i soci partecipanti alla visita tecnica sono stati accolti dai saluti introduttivi dell’ing. Alessandra Sciotti, in qualità di membro del Consiglio Direttivo della Società Italiana Gallerie e dell’ing. Fabrizio Rocca, referente di Progetto del Passante AV di Firenze per la Direzione Investimenti di Rete Ferroviaria Italiana. L’ing. Leonardo Magursi, in rappresentanza di Infrarail, società del gruppo Ferrovie dello Stato Italiane responsabile della progettazione delle gallerie, ha introdotto il quadro generale delle opere in costruzione. In particolare, ha illustrato le caratteristiche della nuova Stazione AV di Firenze Belfiore, che si estenderà su un’area di 450 m x 50 m e si svilupperà su quattro livelli, combinando parti interrate ed elevate. Il Passante AV, invece, si articola lungo un tracciato di 8,4 km, di cui circa 7 km in sotterraneo, con una profondità variabile tra 6 e 28 metri. Il percorso sotterraneo è costituito da due gallerie parallele a singolo binario, con un diametro interno di 8,3 m, collegate da by-pass ogni 500 metri. Lo scavo è eseguito mediante l’impiego di due TBM EPB (Tunnel Boring Machine – Earth Pressure Balance).

L’ing. Magursi si è soffermato sullo studio volto a valutare gli effetti dello scavo sulle strutture preesistenti in superficie. Il tracciato, infatti, attraversa un contesto altamente urbanizzato, interessando monumenti storici di rilievo, come la Fortezza da Basso, l’Arco di Trionfo dei Lorena e Porta San Gallo, oltre a infrastrutture cruciali come i fasci binari di Campo di Marte e Rifredi, fondamentali per i collegamenti tra Nord e Centro Italia, nonché strade ed edifici residenziali.

Dove le analisi hanno evidenziato la necessità di misure di mitigazione, sono stati previsti interventi specifici: il compensation grouting al di sotto dei bastioni della Fortezza da Basso e interventi di consolidamento nell’area Cittadella-Ghiacciaie.

Figura 1. Tracciato del Passante AV di Firenze.

Visita tecnica Visita tecnica

Per garantire il massimo controllo durante lo scavo, è stato inoltre predisposto un sofisticato sistema di monitoraggio, che prevede l’installazione di mire ottiche nei punti più sensibili delle strutture e l’impiego di elettrolivelle per il controllo dei binari durante l’attraversamento dei fasci ferroviari di Campo di Marte e Rifredi. L’ing. Alessandro Zurlo , in rappresentanza del Consorzio Florentia, ha illustrato le caratteristiche principali del rivestimento delle gallerie, realizzato con anelli prefabbricati composti da sei conci più il concio di chiave. Ha inoltre descritto le due TBM EPB (Earth Pressure Balance) impiegate per lo scavo, ciascuna con un diametro di scavo di 9,40 m e capaci di esercitare una pressione massima di 4 bar sul fronte. Attualmente, la TBM del binario pari si trova in stazionamento sicuro pres-

so la Fortezza da Basso, dopo aver completato circa 1.800 metri di scavo. Nel frattempo, la TBM del binario dispari è in avanzamento e, alla data della visita tecnica, aveva già realizzato circa 700 metri di galleria. Successivamente, l’ing. Luigi Iannaccio (Field Engineering) e l’ing. Davide Gambino (Direttore Lavori), entrambi per conto di Italferr, hanno illustrato il Protocollo di Avanzamento della TBM, il documento che definisce le modalità operative della macchina, il sistema di trasporto dei conci prefabbricati in cantiere e la gestione dello smarino tramite ferrovia. Sono stati analizzati i parametri fondamentali per il monitoraggio dell’avanzamento della macchina nel rispetto delle specifiche progettuali, tra cui il peso del materiale scavato, la pressione applicata al fronte, la forza di spinta e il volume di materiale iniettato

Figura 4. Bastioni Fortezza da Basso.
Figura 3. Partecipanti alla visita tecnica prima dell’ingresso in galleria.
Figura 2. Presentazione del progetto, da sinistra a destra: ing. Leonardo Magursi, ing. Alessandro Zurlo, ing. Fabrizio Rocca.

a tergo dei conci. L’ing. Iannaccio ha sottolineato come tutti questi parametri siano sempre rimasti entro i limiti previsti dal protocollo.

L’ing. Gambino ha poi descritto il sistema di gestione del materiale di scavo, che viene trasferito dai nastri trasportatori direttamente nei cassoni dei treni. Le terre estratte dal Passante AV e dalla Stazione AV vengono trasportate al sito di Santa Barbara, dove è stato allestito un terminal dedicato con aree di scarico e piazzole per la caratterizzazione dei materiali.

Anche i conci prefabbricati, prodotti nello stabilimento di Lucignano (AR), vengono consegnati in cantiere tramite trasporto ferroviario.

L’adozione del trasporto su ferro per il trasferimento sia dello smarino sia dei conci prefabbricati consente di eliminare il traffico pesante all’inter-

no del tessuto urbano di Firenze, evitando l’impiego di camion e riducendo significativamente l’impatto dell’opera sulla mobilità cittadina e sulla qualità della vita.

Dopo la sessione di presentazioni, i partecipanti alla visita, una volta ricevute le necessarie istruzioni sulla sicurezza dal Coordinatore per la Sicurezza in Esecuzione (CSE), sono stati accompagnati in cantiere tramite le navette messe a disposizione dal Consorzio Florentia. Una volta giunti sul posto, il gruppo è stato suddiviso in tre sottogruppi.

Accompagnati dagli ingegneri di Italferr Leonardo Magursi, Alessandro Zurlo e Francesca Martelli , i partecipanti sono entrati in galleria, percorrendo inizialmente i 700 metri già scavati del binario dispari, fino a raggiungere la TBM.

Figura 6. L’ingresso nella galleria (binario dispari).
Figura 7. All’interno della TBM.
Figura 5. TBM “Marika” (binario dispari).

Visita tecnica Visita tecnica

Durante la visita, è stato possibile osservare da vicino tutte le principali componenti della macchina, tra cui: il nastro trasportatore, utilizzato per l’allontanamento dello smarino; la coclea, che consente l’estrazione del materiale dalla camera di scavo; i martinetti di spinta, che permettono l’avanzamento della TBM esercitando pressione sul rivestimento installato.

Un momento particolarmente significativo della visita è stata l’opportunità di assistere in diretta alle operazioni di scavo e al montaggio degli anelli prefabbricati che costituiscono il rivestimento della galleria. Al termine della visita in cantiere, tutti i partecipanti sono stati accolti per un pranzo offerto dal Consorzio Florentia, a cui va un sentito ringraziamento per l’ospitalità e il supporto fornito ai soci della Società Italiana Gallerie.

Figura 9. Trasporto dei conci prefabbricati su ferro.
Figura 8. Cassoni per il trasporto dei materiali di scavo.

ITA Tunnelling Awards 2025

In ottobre a belgrado per celebrare l’eccellenza nel mondo del sotterraneo

La capitale serba si prepara ad accogliere l’11ª edizione degli ITA Tunnelling Awards, l’evento internazionale che ogni anno premia i progetti e le innovazioni più significative nel settore delle opere in sotterraneo. L’appuntamento è per il 1° ottobre 2025 al Sava Center di Belgrado, cornice d’eccezione scelta per una edizione che si preannuncia particolarmente ricca di contenuti e novità.

L’edizione 2025 sarà infatti organizzata congiuntamente alla Southeastern Europe Tunnelling Conference (SETC-2025), in programma dal 1° al 3 ottobre, grazie alla collaborazione tra ITA Serbia, l’Associazione nazionale aderente all’ International Tunnelling and Underground Space Association (ITA-AITES), e l’ITA stessa attraverso il comitato organizzatore degli ITA Awards. Un’opportunità unica per i professionisti del settore di confrontarsi, aggiornarsi e stringere nuove collaborazioni a livello globale. Le candidature agli Awards sono ufficialmente aperte, con scadenza fissata al 15 maggio 2025. Le categorie in gara sono otto e coprono l’intero spettro dell’attività nel settore:

– Major Project of the Year (oltre €500 milioni)

– Project of the Year (€100–€500 milioni)

– Project of the Year (fino a €100 milioni)

– Renovation Project of the Year

– Technical Innovation of the Year

– Product/Equipment Innovation of the Year – Elevated Thinking Underground: Shaping the Future

Young Tunneller of the Year

I progetti candidati dovranno avere concluso le principali opere civili tra il 1° marzo 2022 e il 1° aprile 2025. Particolare attenzione è dedicata ai giovani talenti: il premio Young Tunneller of the Year sarà riservato a candidati nati dopo il 1° gennaio 1990 che abbiano dato un contributo eccezionale al settore.

La scorsa edizione degli ITA Awards, tenutasi a Genova nel novembre 2024, ha visto l’Italia grande protagonista sulla scena internazionale, con ben

cinque progetti premiati e il prestigioso riconoscimento di Young Tunneller of the Year assegnato a Luigi D’Angelo, giovane ingegnere distintosi per competenza e passione nel campo delle infrastrutture sotterranee. Un risultato che conferma la forza e il dinamismo del settore tunnelling italiano e che rappresenta uno stimolo importante per promuovere anche quest’anno una partecipazione ampia, qualificata e competitiva da parte di progettisti, imprese, ricercatori e giovani professionisti italiani. Per partecipare, è necessario registrarsi sulla piattaforma ufficiale degli ITA Awards (https://awards.ita-aites.org/account-creation) e seguire le indicazioni per la sottomissione della proposta.

Gli ITA Tunnelling Awards rappresentano un’occasione straordinaria per mettere in luce l’eccellenza, la creatività e l’innovazione in ambito ingegneristico e infrastrutturale. Oltre alla cerimonia di premiazione, l’evento offrirà un ricco programma di conferenze e momenti di interazione e confronto con i massimi esperti del settore.

Tutti a Belgrado per celebrare insieme il futuro del tunnelling e rinnovare il successo italiano sulla scena internazionale, a presto!

Andrea Pigorini candidato alla Presidenza ITA per il triennio 2025-2028

Siamo lieti di annunciare ai lettori di Gallerie e Grandi Opere Sotterranee la candidatura dell’ing. Andrea Pigorini, Direttore Responsabile della nostra rivista e past-President SIG, alla presidenza dell’International Tunnelling and Underground Space Association (ITA) per il triennio 2025-2028, con la votazione che si terrà in occasione del WTC 2025 di Stoccolma nell’ambito dell’Assemblea Generale dell’ITA il 14 maggio 2025. La candidatura, avvenuta tramite la SIG come rappresentante italiano, è fortemente supportata da Italferr e più in generale dal Gruppo Ferrovie dello Stato Italiane. Andrea Pigorini è una figura di riferimento nella comunità internazionale del tunnelling, non solo essendo dal 2022 membro del Consiglio Esecutivo dell’ITA, ma soprattutto per il successo ottenuto nell’organizzazione dell’ITA-AITES World Tunnel Congress 2019 a Napoli, evento che riscosse

unanime apprezzamento per qualità scientifica, partecipazione e impatto internazionale. Attualmente egli è anche direttore del Dipartimento Progettazione Infrastrutture di Italferr, ruolo che ricopre dal 2015, alla guida di un team multidisciplinare composto da oltre 200 professionisti impegnati in progetti infrastrutturali complessi in Italia e all’estero. Ingegnere minerario, ha maturato una profonda competenza tecnica direttamente sul campo e vanta un solido percorso che coniuga esperienza, leadership e visione strategica.

Andrea Pigorini si presenta all’Assemblea Generale dell’ITA con un programma che mira a rafforzare il ruolo dell’Associazione Internazionale come piattaforma globale di confronto e crescita, puntando in particolare sul coinvolgimento di nuove categorie di stakeholder, come i contractor, i committenti e i gestori delle infrastrutture sotterranee.

La redazione della nostra rivista si unisce con entusiasmo al presidente SIG Renato Casale e a tutti i Soci nel formulare i più sentiti auguri all’amico Andrea, con la certezza che la sua elezione rappresenterebbe un riconoscimento meritato e un ulteriore motivo di prestigio per l’Italia nel panorama internazionale del tunnelling.

Notizie SIG/ITA Notizie SIG/ITA

Esplorazione Storica e Tecnica: la SIG visita le Gallerie del Lagazuoi

cortIna d’ampezzo, 11-12 settembre 2025

La Società Italiana Gallerie (SIG) organizza un evento esclusivo che unisce la passione per il tunnelling con la memoria storica: una visita alle gallerie della Prima Guerra Mondiale del Monte Lagazuoi, straordinario esempio di ingegneria militare sotterranea nel cuore delle Dolomiti.

L’iniziativa si articolerà in due giornate. L’ 11 settembre si terrà una conferenza tecnica e storica presso la Sala Cultura di Cortina, con interventi di rilievo come quelli del prof. Paolo Giacomel, la guida alpina Franco Gaspari e l’ing. Enrico Pizzarotti. Seguirà una cena sociale per favorire contatti e confronto tra i soci.

Il 12 settembre sarà dedicato all’escursionismo tecnico nelle gallerie restaurate del Lagazuoi, grazie all’impegno della Brigata Alpina Tridentina e dei volontari dell’ANA di Treviso. Il percorso, pur non presentando difficoltà tecniche rilevanti, richiederà equipaggiamento adeguato e sarà accompagnato da guide alpine esperte.

Oltre al valore culturale, l’evento rappresenta un momento di riflessione sulle origini del tunnelling in ambito bellico e sulla straordinaria capacità umana di operare in ambienti estremi. Le aziende interessate possono sostenere l’iniziativa tramite sponsorizzazioni, ottenendo visibilità con loghi e video durante la conferenza.

Per maggiori informazioni e adesioni: segreteria@societaitalianagallerie.it www.societaitalianagallerie.it

Quote Sociali 2025

Il Consiglio Direttivo nella riunione del 05/12/2024 ha deliberato di lasciare immutate le quote sociali per l’anno 2025. Le quote sociali 2025 sono pertanto:

Socio Ordinario Individuale € 105,00

Socio Ordinario Individuale Senior € 60,00

Socio Ordinario Collettivo € 200,00

Socio Sostenitore Individuale € 415,00

Socio Sostenitore Collettivo € 609,00

Socio Young Member € 45,00

Socio Junior € 25,00

Si ricorda ai Soci che il 31 maggio è il termine da Regolamento per il pagamento delle quote sociali anno 2025, che possono comunque essere versate sin da subito.

Si ricorda che l’ammissione all’Associazione impegna il Socio per tre anni, dal quarto anno il Socio resta impegnato di anno in anno. (Regolamento – Soci art. 4.4.).

Si ricorda, inoltre, che per il pagamento della quota associativa la banca non invierà più il MAV Il pagamento potrà essere eseguito utilizzando la vostra carta di credito o a mezzo di bonifico bancario (coordinate sottoriportate) o mediante PayPal direttamente dal sito nella sezione Associazione – Iscrizione, dove sono anche riepilogati gli importi in funzione della tipologia di socio.

Coordinate bancarie SIG: SOCIETÀ ITALIANA GALLERIE - Via Giovanni da Procida, 7. 20149 Milano

UNICREDIT Banca - Via della Moscova 58- 20121 Milano

IBAN: IT 30 L 02008 01621 000100130461 - BIC SWIFT: UNCRITM1221

Successo per Genova ITA & SIG 50th Anniversary Celebration, “Pillole di Tunnelling” e Visite Tecniche

Il Racconto delle nostre esperienze continua…

Cari Young Members, il successo di Genova ITA & SIG 50th Anniversary (28-29 Novembre 2024) riverbera ancora nei nostri animi.

Siamo davvero orgogliosi di rivivere in queste righe quelle emozioni straordinarie, ricordando che sono stati ben cinque i progetti italiani ad essere selezionati fra i 25 finalisti delle sette categorie della decima edizione degli ITA Tunnelling Awards 2024 con due Gold Award. Il raggiungimento di questo prestigioso riconoscimento internazionale celebra ancora una volta l’eccellenza nel campo del tunnelling e delle opere sotterranee.

Tutti i progetti finalisti e vincitori italiani hanno visto l’entusiasmante coinvolgimento sul palco di YMs, inclusi i componenti del Board, con le partecipazioni ai panel di Luigi D’Angelo (Italferr, Young Tunneller of The Year), Luca Perazzoni (Italferr, Renovation Project of the Year) e Federico Foria (ETS, Technical Innovation of the Year).

I vincitori sono stati premiati durante la cerimonia degli ITA Awards 2024, tenutasi a Genova presso i Magazzini del Cotone il 28 novembre scorso.

Per la categoria Project of the Year: Lot H71 Isarco River Underpass - Brenner Base Tunnel.

Per la categoria Renovation Project of the Year: Genoa Railway Junction Capacity Upgrade e Manfreida Tunnel Renovation Project.

Per la categoria Technical Innovation of the Year: Advanced Tunnelling Assistance System e MIRET-Tunnel AI.

Con altrettanto orgoglio, vogliamo ricordare che due dei tre finalisti della categoria Young Tunnellers of the Year sono stati italiani: Luigi D’Ange-

lo (Italferr S.p.A.) Gold Award e Adriano Martoccia (Ghella S.p.A.) Bronze Award.

Questi riconoscimenti testimoniano il momento proficuo che sta vivendo il tunnelling italiano, caratterizzato da un’enorme quantità di progetti in corso in questo decennio. Questo fermento stimola l’innovazione tecnica

Figura 1. Il gruppo del Tunnelling Internazionale al termine della cerimonia di premiazione del 28 novembre.
Figura 2. Presentazione del Progetto MIRET-Tunnel AI da parte di Federico Foria componente del Board YMs.
Figura 3. YMs in compagnia del Presidente dell’ITA Arnold Dix.

Young Members group Young Members group

Figura 4. Introduzione al 10° Episodio di Pillole di Tunnellig.
Figura 5. Gabriele Bino, presentazione dello scavo della galleria con Metodo cut & cover.
Figura 6. Pietro Zanetti, presentazione della Stazione di “Venezia Aeroporto”.
Figura 7. Lucia Emanuele, presentazione dell’avanzamento in cantiere attraverso curve di confronto caratteristiche.

per il superamento di sfide complesse e favorisce la partecipazione attiva dei giovani allo sviluppo del settore.

Fra le numerose attività patrocinate dalla SIG e per le quali gli YMs dimostrano continuamente la loro passione per l’ingegneria delle opere in sotterraneo, vi sono sicuramente la serie di “ Pillole di Tunnelling ” e le Visite Tecniche in cantiere, che registrano sempre una grande partecipazione come testimoniano i primi appuntamenti susseguitisi già dai primi mesi del 2025.

Il 12 febbraio 2025, infatti, si è tenuto il 10° Episodio di PdT grazie al costante e instancabile impegno del presentatore ed organizzatore Roberto Savi coadiuvato da Francesco Campana, recentemente entrato a far parte del gruppo YMs.

Il Webinar ha riguardato “La galleria artificiale del collegamento ferroviario con l’aeroporto di Venezia”, che si estende per 4 km ed è ubicata a circa 400 m dalla laguna di Venezia. Per consentirne lo scavo sono stati progettati diaframmi profondi fino a 36 m, e un tappo di fondo in jet grouting per contrastare il sollevamento, il sifonamento e l’infiltrazione d’acqua. È stato messo a punto, pertanto, un articolato sistema di scavi volto a gestire l’acqua di falda durante ka realizzazione e ripristinare le condizioni di falda originarie a lungo termine.

Il progetto è stato illustrato dai brillanti giovani ingegneri Gabriele Brino, Pietro Zanetti e Lucia Emanuele, membri YMs della SIG. A chi non abbia ancora avuto modo, consigliamo di rivederlo su Youtube!

Il 27 febbraio 2025, invece, si è tenuta la prima Visita Tecnica del 2025 al Passante AV di Firenze, grazie all’immancabile impegno tecnico ed organiz-

Young Members group Young Members group

zativo di Luca Perazzoni componente del Board YMs. Il progetto comprende la realizzazione di due gallerie naturali gemelle a singolo binario di diametro interno pari a 8,3 m - lunghe circa 5 km dall’imbocco di Campo di Marte (Sud) a quello di Rifredi (Nord), interrotte dalla nuova stazione AV.

Si tratta evidentemente di un progetto ad alta complessità tecnico realizzativa sia per la variabilità geotecnica delle formazioni attraversate che per le condizioni di copertura e di interferenza in superficie in un contesto fortemente urbanizzato. La Visita Tecnica ha avuto inizio all’imbocco Sud al cantiere Campo di Marte, con la presenza di brillanti e giovani professionisti del settore del tunnelling. Durante la visita, è stato possibile entrare dentro la galleria realizzata con la TBM “Marika”, che sul binario pari ha scavato circa 1800 m, e ora si prepara al sottoattraversamento di Fortezza da Basso. I partecipanti hanno avuto la fortuna sia di entrare in sala macchine ed osservare da vicino il monitoraggio dei parametri, fra i quali la pressione al fronte di scavo, sia di visionare i nastri trasportatori per lo smarino. Ad ogni buon conto consigliamo a tutti i nostri lettori appassionati di leggere il resoconto completo della visita nella rubrica “Visite Tecniche” della Rivista. La Mission dell’intero gruppo YMs continua ad essere quella di raccontare e trasmettere le emozioni di queste esperienze, nell’auspicio che sempre più giovani colleghi possano avvicinarsi al mondo del Tunnelling e con esso diventare soci attivi della SIG nell’organizzazione delle nostre iniziative, che ricordiamo sono davvero tante. Vi invitiamo, pertanto a seguirci sui nostri canali ufficiali e a scriverci manifestando il proprio interesse all’indirizzo e-mail: ym@societaitalianagallerie.it

Team Comunicazione YMs

Rocco Amodeo
Elena Consoli
Figura 8. Cantiere Campo di Marte (Area Imbarco).
Figura 9. L’ing. Federica Schiena – Membro SIG YMs presso l’Area Imbocco al Cantiere Campo di Marte.
Figura 11. Quadro di monitoraggio capillare delle strutture dei dati macchina TBM.
Figura 10. All’interno della galleria realizzata con la TBM Marika.

Abbiamo letto Abbiamo letto

PENSIERI LENTI E VELOCI

(titolo originale Thinking, Fast and Slow)

Daniel Kahneman

“Pensieri lenti e veloci” di Daniel Kahneman è un saggio illuminante che esplora il funzionamento della mente umana, distinguendo due tipologie di pensiero: razionale e intuitivo. Il pensiero razionale funziona in maniera lenta, sequenziale, faticosa e controllata, mentre il pensiero intuitivo è veloce, automatico e difficile da controllare.

Lo psicologo Daniel Kahneman, vincitore del premio Nobel per l’economia nel 2002, è noto al grande pubblico per i suoi studi sull’economia comportamentale, ha avanzato la teoria che spiega come il nostro cervello tende a prendere scorciatoie mentali per giungere a conclusioni rapide e comode. Questo processo può portare a errori noti come bias cognitivi, che influenzano i nostri giudizi e possono creare pregiudizi anche di fronte a problematiche mai incontrate prima.

Per secoli abbiamo pensato che le nostre decisioni fossero eminentemente razionali. Poi, negli ultimi decenni, i neuroscienziati e gli studiosi del comportamento umano si sono accorti che in realtà, per prendere le nostre decisioni, non usiamo esattamente la logica. Anzi, ci sono diversi elementi che finiscono per viziare le nostre scelte e a renderle a volte sbagliate. Fin qui, non ci sarebbe niente di male, se ci accorgessimo di tutte queste scorciatoie prese dalla nostra mente. Il problema è che tutto questo avviene inconsciamente, e per questo facciamo molta fatica a renderci conto di questi meccanismi.

Nella pratica professionale, pur essendo tutti noi formati per analizzare dati e applicare modelli matematici rigorosi, incontriamo spesso difficoltà nel prendere decisioni in situazioni di incertezza. Questo accade perché molti problemi reali presentano variabili imprevedibili, spesso ci troviamo a dover prendere decisioni con informazioni incomplete o scenari in cui l’approccio deterministico tradizionale risulta insufficiente. Inoltre, il pensiero ingegneristico tende a privilegiare soluzioni ottimali basate su calcoli precisi, mentre l’incertezza richiede spesso un approccio più flessibile e adattivo, che integri anche intuizione ed esperienza. Evitare di farsi influenzare dai bias cognitivi è essenziale per garantire decisioni razionali e basate su dati affidabili. Errori sistematici nel ragionamento, come il bias di conferma (la tendenza a cercare solo informazioni che supportano le proprie convinzio-

ni) o l’effetto ancoraggio (l’influenza sproporzionata di un dato iniziale), possono compromettere la qualità delle scelte tecniche e progettuali. In un contesto in cui precisione e sicurezza sono fondamentali, questi pregiudizi possono portare a valutazioni errate, sovrastima delle prestazioni di un sistema o sottovalutazione dei rischi.

Kahneman ha dedicato gran parte della propria vita professionale a capire come – e in base a quali fattori – noi umani prendiamo le decisioni nelle situazioni di incertezza ed è probabilmente interessante e utile conoscere quali sono i meccanismi che si attivano nella nostra mente per provare a riconoscerli.

Estratto del libro

Gli errori sistematici sono definiti “bias”, preconcetti che ricorrono in maniera prevedibile in particolari circostanze. Quando per esempio sale sul palco un oratore di bell’aspetto e dai modi disinvolti, il pubblico tenderà a giudicare le sue osservazioni più favorevolmente di quanto egli non meriti. La disponibilità di una specifica etichetta diagnostica per questo bias, chiamato “effetto alone” rende più facile prevederlo, riconoscerlo e capirlo.

Gran parte delle riflessioni di questo libro riguarda i bias dell’intuizione. Individuare l’errore però, non significa denigrare l’intelligenza umana più di quanto il concentrarsi sulle malattie proprio dei manuali di medicina significhi negare la buona salute. La maggior parte di noi è sana per la maggior parte del tempo, e la maggior parte dei nostri giudizi e delle nostre azioni è appropriata per la maggior parte del tempo. Vivendo la nostra vita, ci lasciamo di norma guidare da impressioni e sensazioni, e la fiducia che abbiamo nelle nostre convinzioni e preferenze intuitive è solitamente giustificata. Ma non sempre. Spesso siamo sicuri delle nostre idee anche quando ci sbagliamo, e un osservatore obiettivo ha più probabilità di noi di individuare i nostri errori teorici. È questo, dunque, il mio contributo alle conversazioni davanti al distributore del caffè: migliorare la capacità di identificare e comprendere gli errori di giudizio e di scelta degli altri e, alla fine, anche di noi stessi, e fornire un linguaggio più ricco e preciso con cui discuterne. Almeno in alcuni casi, una diagnosi precisa consente di intervenire in maniera da limitare i danni che gli errori di giudizio e di scelta spesso provocano.

Biografia dell’autore

Daniel Kahneman (Tel Aviv 1932-2024), psicologo israeliano, docente a Princeton, con i suoi pionieristici studi sul processo decisionale è stato uno dei fondatori della finanza comportamentale.

Nato nel 1934, trascorse i primi anni della sua vita in Francia. A causa delle sue origini ebree, fu costretto a vivere da fuggiasco durante l’occupazione nazista, prima di trasferirsi nel 1948 a Tel Aviv, sua città natale. Un incontro fondamentale fu quello con Amos Tversky, che diventò suo partner scientifico e amico per tutta la vita.

Daniel Kahneman, nel 2002, ha ricevuto il premio Nobel per l’economia.

Link utili:

https://www.mondadori.it/libri/pensieri-lenti-e-veloci-daniel-kahneman/

Australia – North East Link

Proseguono gli scavi con TBM e frese ad attacco puntuale

Prosegue a pieno regime la costruzione della sezione meridionale del North East Link di Melbourne, che includerà l’ingresso del tunnel, il ponte verde Yarra Link, lo svincolo di Manningham Road e il Motorway Control Centre.

Cinque frese ad attacco puntuale stanno scavando in sotterraneo fra Trinity Grammar e Manningham Road, con la prospettiva di incontrarsi nelle prossime settimane. Nel cantiere di Trinity, un capannone acustico riduce l’impatto dello smarino, che viene caricato su camion tramite un nastro trasportatore chiuso, realizzato sopra Greensborough Road.

Le TBM “Zelda” e “Gillian”, avviate rispettivamente ad agosto e a settembre 2024, continuano il loro percorso verso Manningham: hanno già scavato rispettivamente 1.483 m (28% di 5.098 m totali) e 1.335 m (25% di 4.948 m totali), installando 5.932 e 5.339 conci. Prosegue intanto la costruzione del ponte verde che collegherà Koonung Creek Trail a Bulleen Park.

Isole Salomone – Centrale idroelettrica di Tina

Prima TBM cinese esportata in India

Il 17 febbraio 2025 è uscita dalla linea di produzione, presso il secondo parco industriale di CRCHI (a Changsha, la TBM “Shuangjing n.1” (diametro 4,48 m), destinata allo scavo del tunnel di deviazione (3,2 km di lunghezza) per la centrale idroelettrica di Tina, nelle Isole Salomone. È la prima volta che una TBM cinese viene esportata in questo Paese. Il progetto, che attraversa ghiaie e arenarie, presenta sfide come l’attraversamento di zone fratturate e pressioni idriche elevate. Per fronteggiarle, il team di CRCHI ha dotato la TBM di una testa di taglio in materiale composito per gli strati di roccia dura, riserve di spinta e coppia maggiorate, una camera pressurizzata integrata, un supporto intensivo di backup e un sistema di previsione geologica avanzato.

La stazione idroelettrica di Tina, nella provincia di Guadalcanal, è il più grande impianto idroelettrico in costruzione nel Paese: fornirà il 68% del fabbisogno elettrico della capitale Honiara, sostenendo oltre 100.000 residenti e lo sviluppo economico locale.

Vietnam – Metropolitana di Hanoi – Linea 3

Breakthrough nella stazione Cat Linh

Il 7 marzo 2025 la TBM “Thanh Toc”, lanciata a fine luglio 2024 dalla stazione S9 - Kim Ma, ha raggiunto la stazione S10 - Cat Linh, completando 1.338 m di scavo. Lo scorso febbraio è stata avviata la seconda TBM, “Tao bạo”, in configurazione analoga.

Le due TBM Herrenknecht, lunghe oltre 100 m e dal peso di circa 850 t, realizzano la tratta sotterranea (4 km) tra Cau Giay e la stazione di Hanoi, parte di un percorso complessivo di 12,5 km (8,5 km in sopraelevata e 4 km in sotterraneo). L’obiettivo è completare la sezione sotterranea entro il 2027.

India – Linea ferroviaria Rishikesh-Karnaprayag

Avanzano gli scavi in uno dei corridoi ferroviari più complessi dell’Himalaya

La costruzione della nuova linea ferroviaria Rishikesh-Karnaprayag (125 km, di cui 105 in sotterraneo), parallela al fiume Gange, è divisa in dieci Package. All’italiana Italferr e alla svizzera Lombardi sono stati affidati la Progettazione e il Project Management Consulting (PMC) dei Package 1 e 8.

Package 1: scavati circa 12 km di tracciato, incluso un tunnel di 11 km e una stazione a Shivpuri. Il 7 marzo 2025 l’impresa Max Infra (I) Private Ltd ha completato lo scavo del tunnel di emergenza tra l’Adit (tunnel intermedio a servizio dello scavo) e il Portale P2.

Package 8: realizzati i tunnel T14 (6,7 km) e T15 (7,1 km) in tradizionale. Il 3 marzo 2025 l’impresa Megha Engineering and Infrastructure Ltd ha completato il tunnel principale T15, già dotato di galleria di emergenza. Lo scavo di T14 prosegue costantemente. La conclusione degli scavi è prevista entro il 2026.

Notizie flash Notizie flash

Stati Uniti – Parallel Thimble Shoal Tunnel

La TBM “Chessie” ha raggiunto la destinazione finale

Il 27 gennaio 2025, la TBM “Chessie” (diametro 13,26 m, lunghezza 93,88 m) ha raggiunto l’Isola 2 del canale Thimble Shoal, dopo 1920 m di scavo per il progetto Chesapeake Bay BridgeTunnel.

La Joint Venture Chesapeake Tunnel (CTJV), formata da Dragados USA e Schiavone Construction, aveva subito otto mesi di ritardo a causa di un’ancora di nave storica rinvenuta nel percorso della TBM. Ripreso lo scavo nel 2024, è stato mantenuto un avanzamento medio di 15 m/giorno.

A conclusione, il nuovo tunnel di 1,8 km a due corsie servirà il traffico in direzione sud; il tunnel esistente ospiterà il traffico nord. Il termine dei lavori è previsto all’inizio del 2028.

Regno Unito – HS2, Tunnel Long Itchington Wood

Completata la fase di ingegneria civile

HS2 annuncia un passaggio cruciale per il tunnel Long Itchington Wood (1,61 km), primo a 30 m di profondità a terminare l’ingegneria civile lungo la nuova linea AV. La TBM Dorothy ha completato lo scavo delle due canne a marzo 2023, con la posa di 1582 anelli di rivestimento, ciascuno composto da 9 conci in calcestruzzo.

Il Long Itchington Wood è uno dei cinque tunnel a doppia canna di HS2. Gli altri quattro tunnel sono:

- il tunnel Bromford, lungo 5,63 km (3,5 miglia), che porta la ferrovia a Birmingham. Entrambe le canne dovrebbero essere completate quest’anno,

- il tunnel Chiltern, lungo 16,09 km (10 miglia), il più lungo dell’HS2, che porta la ferrovia sotto le Chiltern Hills. Entrambe le canne sono state completate all’inizio del 2024 e i lavori interni alle gallerie sono in corso;

- il tunnel Northolt, lungo 13,52 km (8,4 miglia) tra Old Oak Common e la periferia di Londra che viene scavato da quattro TBM. La prima canna è stata completata nel dicembre dello scorso anno;

- il tunnel Euston, lungo 7,24 km (4,5 miglia), tra Old Oak Common e il centro di Londra, che si trova in fase avanzata di preparazione prima del lancio di due TBM.

Regno Unito – Lower Thames Crossing

Approvata l’autorizzazione urbanistica

Il 25 marzo 2025 è stata concessa l’autorizzazione per il progetto A122 Lower Thames Crossing di National Highways, considerato prioritario per ridurre la storica congestione di Dartford e migliorare i collegamenti tra sud-est, Midlands e nord dell’Inghilterra.

La nuova autostrada di 23 km include il tunnel stradale più lungo del Regno Unito, raddoppiando quasi la capacità di attraversamento del Tamigi a est di Londra. Sono in corso valutazioni su un possibile finanziamento privato; i lavori potrebbero iniziare già nel 2026 per concludersi all’inizio del 2030.

Norvegia – Tunnel navale di Stad

Quattro gruppi invitati a presentare offerte

Quattro dei sei concorrenti che avevano presentato domanda di prequalifica sono stati scelti per competere nella costruzione del tunnel navale di Stad. Si tratta di: – Joint venture: Skanska Norge AS e Vassbakk og Stol AS (Norvegia)

AF Gruppen Norge AS (Norvegia)

Eiffage Génie Civil (Francia) – Joint venture: Acciona Construcción S.A e Bertelsen og Garpestad AS (Spagna/Norvegia)

I soggetti qualificati, che dovranno consegnare le offerte entro il 1° giugno p.v., sono stati invitati alle riunioni che si svolgeranno il 10 e 11 marzo a Stadlandet, dove riceveranno maggiori informazioni sul progetto, e a un sopralluogo nell’area del tunnel.

La valutazione e la negoziazione delle offerte porterà all’assegnazione entro l’autunno 2025, mentre l’inizio dei lavori è previsto nel 2026. La durata stimata è di cinque anni.

Romania – Metropolitana di Bucarest, linea 6

Arrivata in cantiere la macchina che scaverà il tunnel tra 1 Mai e Tokyo

Prosegue a ritmo serrato il montaggio della TBM nel pozzo di lancio della futura stazione Tokyo, sulla Linea M6 della metropolitana di Bucarest. I primi componenti, tra cui lo scudo da 128 t, sono arrivati a inizio marzo; l’avvio dello scavo è atteso ad aprile.

La Linea M6 (14,2 km, 12 stazioni) collegherà Gara de Nord con l’aeroporto Henri Coanda. I lavori di progettazione e costruzione sono stati suddivisi in due sezioni: Sud (1 Mai - Tokyo, Lotto 1.1) e Nord (Tokyo - Aeroporto Otopeni, Lotto 1.2) e aggiudicati con contratti separati nel 2022 e 2023.

Svizzera – Tunnel autostradale del San Gottardo, seconda canna

Lanciate le TBM da Airolo e Göschenen

Il 14 febbraio 2025, l’Ufficio federale delle strade USTRA ha dato il via allo scavo della seconda canna del traforo autostradale del San Gottardo (lunghezza 16,9 km). Ad Airolo il consorzio Marti 2TG, costituito da Marti Tunnel AG di Moosseedorf, Mancini & Marti SA di Bellinzona ed Ennio Ferrari Impresa Generale SA di Lodrino, ha avviato la TBM “Paulina” (diametro 12,31 m, lunghezza 100 m, 5.600 kW) per realizzare la sezione meridionale (lotto 341) della canna, mentre a Göschenen la JV Implenia-Frutiger ha avviato lo scavo con una TBM da 12,225 m di diametro per realizzare la sezione settentrionale (lotto 241).

Entrambe le macchine dovranno oltrepassare una fascia geologica delicata lunga circa 350 m che sarà scavata in convenzionale. Si prevede un avanzamento medio di 18 m/giorno e il breakthrough nel 2027, con apertura al traffico della seconda canna nel 2030.

Italia/Austria – BBT, Galleria di Base del Brennero

Le TBM “Flavia” e “Ida” in avanzata fase di scavo

Prosegue a gran velocità il traforo ferroviario del Brennero. Mentre la TBM “Flavia” si sta avvicinando al breakthrough definitivo e la TBM “Ida” ha già superato la faglia Werner, anche la TBM “Wilma” avanza a pieno regime avendo recentemente oltrepassato il primo chilometro di scavo attraverso la faglia Schmirntal.

La TBM “Wilma”, come la sua gemella “Olga”, è stata lanciata il 18 settembre 2024 per realizzare i 7,5 km delle gallerie di linea ovest ed est verso Innsbruck. I conci di rivestimento delle gallerie raggiungono il cantiere H53 Pfons-Brennero su rotaia, riducendo il traffico pesante nella valle Wipptal.

Italia/Veneto – Linea ferroviaria AV/AC Verona-Padova

Avanzano i lavori sul primo lotto funzionale

Nel cantiere di San Martino Buon Albergo (Verona), è stato abbattuto il diaframma della galleria artificiale omonima (circa 2 km di lunghezza, 10 m di larghezza, 7 m di altezza interna). Lo scavo è stato eseguito con il metodo Top Down, una tecnica che consente di ridurre al minimo l’impatto sulla superficie, garantendo al contempo elevati standard di stabilità e sicurezza durante le operazioni.

Con il completamento dello scavo, si conclude una delle opere più significative del Primo Lotto Funzionale della tratta Verona–Bivio Vicenza (44,2 Km di

Notizie flash Notizie flash

lunghezza) della linea ferroviaria AV/AC Verona–Padova). La linea è finanziata anche dal PNRR, essendo un tassello strategico del Corridoio Mediterraneo della rete TEN-T.

La realizzazione della nuova linea AV/AC Verona–Padova è articolata in lotti funzionali: – il primo lotto funzionale, la tratta Verona-Bivio Vicenza, è l’unico in costruzione; – il secondo lotto funzionale riguarderà l’attraversamento di Vicenza, – il terzo lotto funzionale, attualmente in fase di progettazione, riguarderà la tratta VicenzaPadova.

Italia/Trentino Alto Adige – Circonvallazione di Castelbello-Colsano

Procedono i lavori

Proseguono secondo programma i lavori di costruzione della circonvallazione di CastelbelloColsano (3,36 km, di cui 2.494 m in galleria), con conclusione prevista entro fine anno. Nel tunnel principale sono già stati realizzati 1.300 m di rivestimento interno, 700 m di controsoffitto per l’aspirazione dei fumi e 500 m di passerelle laterali. Nei prossimi giorni saranno completati con l’edificio di ventilazione anche i lavori di betonaggio della galleria artificiale orientale e si procederà al rinterro.

Le gallerie di emergenza n.1 e n. 2 sono terminate, salvo finiture, mentre la n. 3 ha subito un crollo negli ultimi 20 m, richiedendo una variazione metodologica. È già iniziata la realizzazione del tunnel di copertura del portale ovest, le cui fondamenta sono già state gettate. Inizierà a breve l’installazione degli impianti tecnologici del tunnel a partire dal portale ovest. Sono cominciati anche i lavori di collegamento del nuovo tracciato alla strada statale esistente a ovest. La nuova circonvallazione parte da ovest, poco prima del castello di Castelbello, e si ricongiunge alla strada statale esistente a est, presso la zona industriale di Colsano.

Italia/Campania-Puglia – Linea ferroviaria AV/AC Napoli-Bari, galleria Rocchetta

Scavato il primo chilometro della galleria Rocchetta

A inizio marzo, la TBM “Futura” (diametro oltre 12 m) ha raggiunto il primo chilometro di scavo della galleria Rocchetta (6,5 Km), parte del lotto funzionale Apice-Hirpinia della linea AV/AC Napoli-Bari. La macchina, che ha toccato picchi di 25 m/giorno, attraversa un contesto geologico complesso tipico dell’area irpina. Sono in totale otto le TBM previste sull’itinerario, con le già operative “Aurora” (che ha ultimato la galleria Grottaminarda e si sposterà sulla galleria Melito) e “Marina” (al lavoro sulla galleria Orsara).

La nuova linea ferroviaria AV/AC Napoli-Bari è parte integrante del Corridoio ferroviario europeo TEN-T Scandinavia – Mediterraneo ed è finanziata anche con fondi PNRR. Una volta completata l’intera opera, si potrà viaggiare da Bari a Napoli in due ore e raggiungere Roma in circa tre ore; da Lecce e Taranto verso la Capitale s’impiegheranno circa quattro ore.

Italia/Campania-Calabria – Linea ferroviaria AV/AC Salerno-Reggio Calabria

Al via lo scavo della galleria Saginara Il 21 febbraio, presso il Comune di Campagna (SA), è stata lanciata la TBM “Partenope” (diametro 13,46 m, lunghezza 130 m, peso 4.000 t) per lo scavo della galleria Saginara, a singolo fornice e doppio binario, parte del Lotto 1A (35 km, 20 gallerie e 19 viadotti) della nuova linea ferroviaria AV/AC Salerno-Reggio Calabria.

Sul Lotto 1A opereranno in totale quattro TBM: oltre a “Partenope”, arriveranno altre due macchine da 13 m di diametro per le gallerie Serra Lunga, Acerra e Petrolla, più una quarta già attiva sul Grand Paris Express e ora ricondizionata, destinata alle gallerie Piano Grassi e Contursi. Il Consorzio Xenia (Webuild, Pizzarotti, Ghella e Tunnel Pro) prevede turni h24 per completare il lotto.

Turn static files into dynamic content formats.

Create a flipbook