1°Evaluación de AsesoríaExterna correspondiente al ProyectodeTitulación en MatemáticasUnADM al 2023.

Page 1

Guía del asesor externo o de la asesora externa Universidad Abierta y a Distancia de México V.2022212-S202301
Semestre 8 Asignatura: Proyecto terminal II

Guía del asesor externo o de la asesora externa

I. ANEXOS: FORMATOS PARA LA ASESORA EXTERNA O EL ASESOR EXTERNO ANEXO A

Reporte PROYECTO TERMINAL II (Para ser llenado por la asesora externa o el asesor externo. Las firmas deben ser autógrafas y con tinta azul)

Reporte: Primero ( X ) Segundo ( )

DATOS DEL ESTUDIANTE

Nombre completo Mercedes Rodríguez Robles

Matrícula: ES1821016580

Programa educativo: Licenciatura en Matemáticas

Nivel: Licenciatura Semestre: Octavo

DATOS DE LA ORGANIZACIÓN

Razón social:

Sector

(X) Público.

( ) Social.

Privado. Indique el tipo de empresa:

( ) Microempresa. (Menos de 10 trabajadores).

( ) Pequeña empresa. (11 a 49 trabajadores).

( ) Mediana Empresa. (50 y 249 trabajadores).

( ) Gran empresa. (más de 250 trabajadores).

Estado Querétaro

Área participante en el proyecto:

Nombre del responsable del área:

Nombre de la asesora o asesor designado para guiar el proyecto por parte de la organización:

Secretaría académica / Control escolar

Alvis René González Blancas

Asesor Externo: Lic. Pedro Daniel Lara Maldonado

Nombre y firma de la asesora o asesor designado por parte de la organización

Sello de la organización

UNADM | DCEIT | PT2 1
Lic. Pedro Daniel Lara Maldonado

Guía del asesor externo o de la asesora externa

Área de la

organización

(Número

Sello de la organización

UNADM | DCEIT | PT2 2
Horas
de
Máximo
REPORTE DE LAS ACTIVIDADES REALIZADAS POR LA O EL ESTUDIANTE Actividades desarrolladas (Describa detalladamente las actividades realizadas por el estudiante) a la semana) Captura de extraordinarios generación 2015-2018 Control escolar 20 Captura de extraordinarios generación 2016-2019 Control escolar 20 Captura de extraordinarios generación 2017-2020 Control escolar 20 Captura de extraordinarios generación 2018-2021 Control escolar 20 Captura de extraordinarios generación 2019-2022 Control escolar 20 Creación y cálculo del concentrado por generación y general Cedart “Ignacio Mariano de las Casas” 20 Adaptación al nuevo formato de entrega PT2 Cedart “Ignacio Mariano de las Casas” 5 Elaboración de capítulo 5 Metodología Cedart “Ignacio Mariano de las Casas” 15 HORAS TOTALES 140 (Agregue las filas que se requieran)
a la que contribuye la actividad
horas empleadas en la actividad.
20 horas
Lic. Pedro Daniel Lara Maldonado
Nombre y firma de la asesora o asesor designado por parte de la organización

Guía del asesor externo o de la asesora externa

ANEXO B

RÚBRICA PRIMER REPORTE (Para ser utilizada por la o el asesor externo)

Indicaciones para calificar:

1. Por cada indicador seleccione un criterio que considere que describe el desempeño del estudiante.

2. Anote en la última columna el puntaje que corresponde al criterio seleccionado.

3. Continúe de esta manera hasta evaluar los siete indicadores.

4. Al finalizar, sume los puntajes obtenidos.

5. Anote en la última fila la calificación resultante de la suma de los puntajes parciales.

6. Por favor, anote su nombre y firme la rúbrica con tinta azul, de forma autógrafa.

Indicadores Criterios y puntajes

1. Habilidades interpersonales

Establece relaciones de respeto y colaboración con sus compañeros y superiores. Muestra un trato cordial y de tolerancia hacia los demás.

Establece relaciones de respeto con sus compañeros y superiores. Muestra un trato cordial, aunque poco tolerante hacia los demás.

Establece relaciones de respeto sólo con sus superiores. Muestra un trato cordial, aunque intolerante hacia los demás.

Le es difícil establecer relaciones de respeto y colaboración con sus compañeros y superiores. Muestra un trato de intolerancia hacia los demás.

10 8 6 4

2. Interés por el aprendizaje

Sigue instrucciones y procedimientos de manera reflexiva, comprendiendo cada uno de los pasos para el alcance de un objetivo.

Sigue instrucciones y procedimientos, comprende cada uno de los pasos para el alcance de un objetivo.

Sigue instrucciones y procedimientos, pero no comprende los pasos para el alcance de un objetivo.

Anote el puntaje correspondiente

4.

de alternativas de solución al problema

Le cuesta trabajo seguir instrucciones y llevar a cabo procedimientos, por lo que no comprende el alcance de un objetivo.

10 8 6 4

Demuestra conocimientos y habilidades congruentes con el nivel académico de su carrera.

Identifica soluciones creativas y plausibles para el problema planteado en el proyecto. Las soluciones se encaminan a resolver las principales dificultades del problema.

Demuestra conocimientos y algunas habilidades congruentes con el nivel académico de su carrera.

Identifica soluciones que parecen plausibles para resolver los obstáculos más importantes del problema planteado.

Demuestra conocimientos y ninguna habilidad congruente con el nivel académico de su carrera.

No demuestra ni conocimientos ni habilidades congruentes con el nivel académico de su carrera.

Presenta alternativas de solución a los obstáculos, pero la solución propuesta no se encamina a resolver las dificultades más importantes.

Presenta soluciones poco plausibles al problema.

UNADM | DCEIT | PT2 3
3. Aplicación de los conocimientos en el ámbito laboral
20 16 12
8
Identificación
20 16 12 8
• • • 10 10 20 20

Guía del asesor externo o de la asesora externa

Indicadores Criterios y puntajes

5. Habilidades comunicativas

Expresa las ideas claramente, se comunica de manera efectiva con diversos interlocutores.

6. Organización y planificación del tiempo

Expresa ideas y se comunica con diversos interlocutores.

Expresa ideas, pero le es difícil comunicarse con otros interlocutores.

Le es difícil expresar ideas y comunicarse con otros interlocutores.

10 8 6 4

Organiza sus actividades teniendo en cuenta un plan que identifique objetivos, alcances, instrumentos y periodos de tiempo definidos en el proyecto.

Organiza sus actividades teniendo en cuenta los alcances en periodos de tiempo.

Organiza sus actividades sin tener en cuenta el plan previsto. Completa el trabajo asignado en tiempo.

No organiza sus actividades, por lo que le cuesta cumplir con las metas del proyecto. 10 8 6 4

Anote el puntaje correspondiente

7. Responsabilidad

Cumple con los compromisos adquiridos en tiempo y forma, y lleva a cabo las actividades planeadas para la realización del proyecto.

Cumple con horarios establecidos.

Cumple con los compromisos adquiridos en tiempo y forma.

Cumple con los compromisos adquiridos en tiempo, aunque no de la forma solicitada.

No cumple con los compromisos en tiempo y

Casi siempre cumple con los horarios establecidos.

Algunas veces cumple con los horarios establecidos.

Nunca

UNADM | DCEIT | PT2 4
10 8 6 4
forma.
8. Puntualidad
cumple
10 8 6 4 Total de puntaje
Nombre y firma de la asesora o asesor designado por parte de la organización Sello de la organización 8 10 10 10 98-100
con los horarios establecidos.
Lic. Pedro Daniel Lara Maldonado

Guía del asesor externo o de la asesora externa

ANEXO C: RÚBRICA REPORTE FINAL (Para ser utilizada por la o el asesor externo)

Indicaciones para calificar: Por cada indicador seleccione un criterio que considere que describe el desempeño del estudiante.

Indicaciones para calificar:

1. Por cada indicador seleccione un criterio que considere que describe el desempeño del estudiante.

2. Anote en la última columna el puntaje que corresponde al criterio seleccionado.

3. Continúe de esta manera hasta evaluar los once indicadores.

4. Al finalizar, sume los puntajes obtenidos.

5. Anote en la última fila la calificación resultante de la suma de los puntajes parciales.

6. Por favor, anote su nombre y firme, con tinta azul, de forma autógrafa.

7. El puntaje total corresponderá a la calificación.

Indicadores

1. Trabajo en equipo

Cuando participa en equipo de trabajo, sus comentarios son claros y relevantes, escucha con atención las ideas de los otros, muestra respeto por los miembros del grupo.

Criterios y puntajes

Cuando participa en equipo de trabajo sus comentarios son, la mayoría de las veces, claros y relevantes; escucha las ideas de otros.

Cuando participa en equipo de trabajo sus comentarios son claros, pero no escucha las ideas de otros.

Cuando participa en equipo de trabajo sus comentarios no son claros ni relevantes, y no escucha las ideas de otros.

Anote el puntaje correspondiente

2. Habilidades interpersonales

Establece relaciones de respeto y colaboración con sus compañeros y superiores. Muestra un trato cordial y de tolerancia hacia los demás.

Establece relaciones de respeto con sus compañeros y superiores. Muestra un trato cordial, aunque poco tolerante hacia los demás.

Establece relaciones de respeto sólo con sus superiores. Muestra un trato cordial, aunque intolerante hacia los demás.

Le es difícil establecer relaciones de respeto y colaboración con sus compañeros y superiores. Muestra un trato de intolerancia hacia los demás.

Expresa las ideas claramente y se comunica de manera efectiva con diversos interlocutores.

Organiza sus actividades teniendo en cuenta un plan que identifica objetivos, alcances, instrumentos y periodos de tiempo.

Expresa ideas y se comunica con diversos interlocutores.

Organiza sus actividades teniendo en cuenta los alcances en periodos de tiempo.

Expresa ideas, pero le es difícil comunicarse con otros interlocutores.

Le es difícil expresar ideas y comunicarse con otros interlocutores.

No organiza sus actividades mediante un plan.

No organiza sus actividades y no completa el trabajo programado.

UNADM | DCEIT | PT2 5
10 8 6 4
10
6 4
8
3. Habilidades comunicativas
10 8 6 4
4.Organización y planificación del tiempo
10 8 6 4
• • • 10 10 8 10

Indicadores

Guía del asesor externo o de la asesora externa

Anote el puntaje correspondiente

5. Aplicación de los conocimientos para la práctica en el ámbito laboral

Demuestra conocimientos y habilidades congruentes con el nivel académico de su carrera.

Demuestra conocimientos y algunas habilidades congruentes con el nivel académico de su carrera.

Demuestra conocimientos, pero ninguna habilidad congruente con el nivel académico de su carrera.

No demuestra ni conocimientos ni habilidades congruentes con el nivel académico de su carrera.

10 8 6 4

6. Creatividad y contribución a la solución del problema

Demuestra originalidad y creatividad en el desarrollo y aplicación del proyecto. Es clara la aportación o contribución a la solución del problema identificado.

Demuestra razonable originalidad y creatividad en el desarrollo y aplicación del proyecto. Es razonablemente clara la aportación o solución que da al problema.

Demuestra medianamente originalidad y creatividad en el desarrollo y aplicación del proyecto.

Es medianamente clara la aportación o solución que da al problema.

No demuestra originalidad y creatividad en el desarrollo y aplicación del proyecto. Es poco clara la aportación o solución que da al problema.

10 8 6 4

Sigue instrucciones y procedimientos de manera reflexiva, comprendiendo cada uno de los pasos para el alcance de un objetivo.

8. Uso de TIC

9. Responsabilidad

10. Compromiso ético

Utiliza las tecnologías de la información y la comunicación para procesar e interpretar información.

Sigue instrucciones y procedimientos, y comprende cada uno de los pasos para el alcance de un objetivo.

Sigue instrucciones y procedimientos, pero no comprende los pasos para el alcance de un objetivo.

Le cuesta trabajo seguir instrucciones y llevar a cabo procedimientos, por lo que no comprende el alcance de un objetivo. 10 8 6 4

Utiliza las tecnologías de la información y la comunicación para interpretar información.

Cumple con los compromisos adquiridos en tiempo y forma, y lleva a cabo las tareas asignadas mostrando disposición para realizarlas.

Manifiesta en actitudes y hechos un compromiso ético tanto a nivel personal como académico y profesional.

Cumple con los compromisos adquiridos en tiempo y forma.

Utiliza las tecnologías de la información y la comunicación para procesar información.

No utiliza las tecnologías de la información y la comunicación para procesar e interpretar información. 10

Cumple con los compromisos adquiridos en tiempo, aunque no de la forma solicitada.

No cumple con los compromisos en tiempo y forma.

Manifiesta en hechos un compromiso ético tanto a nivel personal como académico y profesional.

Manifiesta en actitudes un compromiso ético a nivel personal y académico.

No manifiesta en actitudes y hechos un compromiso ético tanto a nivel personal como académico y profesional.

UNADM | DCEIT | PT2 6
Criterios y puntajes
7. Interés por el aprendizaje
8 6 4
10 8 6 4
5 4 3 2 10 10 10 10 10 5

Guía del asesor externo o de la asesora externa

UNADM | DCEIT | PT2 7 Indicadores Criterios y puntajes Anote el puntaje correspondiente 11. Puntualidad Cumple con horarios establecidos. Casi siempre cumple con los horarios establecidos. Algunas veces cumple con los horarios establecidos. Nunca cumple con los horarios establecidos. 5 4 3 2 Total del puntaje
Nombre y firma de la asesora o asesor designado por parte de la organización Sello de la organización 5 98-100
Lic.
Pedro Daniel Lara Maldonado

División de Ciencias Exactas, Ingeniería y Tecnología

Práctica profesional/Proyecto terminal II

Informe mensual de actividades

Organización:

CEDART “Ignacio Mariano de las Casas”

Estudiante: Mercedes Rodríguez Robles

Matrícula: ES1821016580

Área de conocimiento: Matemáticas

Número de reporte: Tercero

Asesor externo: Lic. Pedro Daniel Lara Maldonado

Tabla de especificaciones del Informe

Actividad presentada Objetivo de la actividad Observaciones

Captura de extraordinarios

Capturar en un archivo de Excel las calificaciones para su posterior análisis

Creación y cálculo del concentrado por generación y general

Creación de un archivo en Excel con los concentrados por semestre, generación, rendimiento académico antes y después de extraordinarios y por específico

Elaboración del texto del capítulo 2 del anteproyecto:

2.2 Institución de Investigación

a) Prueba PLANEA

b) Resultados de prueba PLANEA

2.3.5 Teoría de Grafos

2.3.6 Software de Aplicación

2.4 Metodología

Adaptación al nuevo formato de entrega PT2

Adaptación de la información contenida en el avance de proyecto terminal I al nuevo formato para el proyecto terminal 2

Elaboración de la justificación del proyecto de investigación

Elaboración de capítulo 4

Metodología

Investigación y redacción de la justificación

Se continua con la captura de calificaciones, ya se tienen dos generaciones completas capturadas

Redacción del capítulo 4

Elaboración del texto de la justificación del capítulo 1: Introducción

1.2 Justificación

Elaboración del texto del capítulo 4 del proyecto: Metodología

4.1 Investigación cuantitativa

4.2 Diseño de la investigación

| LICENCIATURA EN MATEMÁTICAS UNADM | DCEIT | PT |
Santiago de Querétaro, 19 febrero de 2023.

4.3 Participantes

4.4 Procedimiento de recolección de datos

4.5 Criterios de exclusión

4.6 Procesamiento de datos

4.7 Planteamiento del modelo estocástico

4.8 Confiabilidad del modelo

4.9 Variables de estudio

Tabla de descripción de la o las problemáticas identificadas

Actividad presentada

Captura de extraordinarios

Creación y cálculo del concentrado por generación y general

Adaptación al nuevo formato de entrega PT2

Elaboración de la justificación del proyecto de investigación

Elaboración de capítulo 4 Metodología

Problemática identificada

Sin problemas por el momento

Sin problemas por el momento

Sin problemas por el momento

Sin problemas por el momento

Actividad realizada

Captura de extraordinarios

Sin problemas por el momento

Tabla de resultados

Acción correctiva

Experiencia obtenida

Ninguna por el momento Elaboración de un archivo de Excel

Observaciones

Este proceso que todavía no se ha terminado ha resultado ser muy tardado.

| LICENCIATURA EN MATEMÁTICAS UNADM | DCEIT | PT |

Creación y cálculo del concentrado por generación y general

Adaptación al nuevo formato de entrega PT2

Elaboración de la justificación del proyecto de investigación

Elaboración de capítulo 4 Metodología

Ninguna por el momento Elaboración de un archivo de Excel

Ninguna por el momento Generación de un nuevo archivo del proyecto

Ninguna por el momento Elaboración de la justificación

Ninguna por el momento Elaboración del capítulo 4

Generar las modificaciones necesarias y enviarlo a revisión con el asesor externo.

Nuevo documento de trabajo para asesor externo y sinodales

Generar las modificaciones necesarias y enviarlo a revisión con el asesor externo.

Generar las modificaciones necesarias y enviarlo a revisión con el asesor externo.

Servicio social presentado Periodos de impartición

140 horas

Anexos:

Se presentó servicio por una cantidad de 4 horas diarias de lunes a viernes en el trayecto de 6 semanas que contemplan del 2 de enero del 2023 al 17 de febrero del 2023.

Evidencia de cada actividad.

Asesor externo

Estudiante

| LICENCIATURA EN MATEMÁTICAS UNADM | DCEIT | PT |
Lic. Pedro Daniel Lara Maldonado Mercedes Rodríguez Robles

Evidencia de cada actividad.

Captura de extraordinarios

Se anexa archivo

| LICENCIATURA EN MATEMÁTICAS UNADM | DCEIT | PT |

Creación y cálculo del concentrado por generación y general

Se anexa archivo

| LICENCIATURA EN MATEMÁTICAS UNADM | DCEIT | PT |

Adaptación al nuevo formato de entrega PT2

Archivo anexo

Elaboración de la justificación del proyecto de investigación

1.2 Justificación

El CEDART “Ignacio Mariano de las casas” que es una institución educativa de nivel básico y media superior tiene como característica especial, además de las materias académicas de la currículo general de este tipo de escuelas, cuenta también con asignaturas artísticas como son música, artes plásticas, danza, literatura y teatro, es por esto que es necesario justificar el adecuado rendimiento de dichas actividades artísticas, ya que los estudiantes buscas una especialización además del simple bachillerato, por lo cual en los planes y programas de estudio se tiene la obligación de la actualización curricular, la medición de los resultados tanto académicos como artísticos, misma que debe de ir de la mano de los planes y programas básicos de este nivel.

Este ciclo escolar la SEP llevan a cabo las primeras pruebas piloto de los nuevos planes y programas de estudio, entre ellos, el de la educación media superior, para ello se buscó la colaboración de maestros y pedagogos especializados de cada plantel para la reforma de dichos planes, incluyendo los de especialidades artísticas, utilizando únicamente la experiencia de cada docente e investigadas/os y sin tomar en cuenta los datos estadísticos reales del aprovechamiento escolar obtenido en la historia de cada una de las instituciones.

El uso de herramientas matemáticas que muestren a futuro los esfuerzos realizados por las entidades académicas y les permitan acceder a la realización de adecuaciones que

| LICENCIATURA EN MATEMÁTICAS UNADM | DCEIT | PT |

promuevan una mejora en la calidad que hoy por hoy imparten los llevará al logro de los máximos objetivos académicos, por ello una herramienta que ayude a las predicciones de dichos rendimientos representan acciones de vital importancia para la promoción de la calidad académica de cualquier institución.

Este trabajo busca establecer mediante herramientas matemáticas los datos reales del aprovechamientos tomando como muestra las últimas cinco generaciones, que nos llevaran a la obtención de los datos duros de la realidad del rendimiento escolar tanto en las materias académicas, artísticas y la compilación de ambas, proporcionando las herramientas adecuadas para la correcta implementación de los planes y programas de estudio.

Esta información abrirá una ventana para poder dirigir a los alumnos de mejor aprovechamiento para la obtención de becas y/o intercambios con instituciones ya sea nacionales o internacionales mostrando de manera real el nivel que la institución maneja.

De la misma manera esta información servirá para seleccionar al personal docente mejor desempeño garantizando con esto que el CEDART “Ignacio Mariano de las Casas” se convierta y conserve un nivel de alta calidad académica y su prestigio.

A manera de instituciones escolares la SEP solicita anualmente el llenado del formato 911, el cual contiene la información estadística del plantel para ser incluido a los planteles del municipio y estatales a su vez de estados formando así la base de datos estadísticos de todas las escuelas del país, en esta investigación se generan dichos datos además de pronosticar los siguientes años generando una estadística presuntiva para la institución.

| LICENCIATURA EN MATEMÁTICAS UNADM | DCEIT | PT |

En este trabajo por medio de las cadenas de Márkov se pronosticará el desempeño a largo plazo el desempeño de la institución educativa, con esto se justifica la supervivencia de esta y la inversión que se necesita para su funcionamiento, de la misma forma demuestra el nivel académico que se tiene y desde ese pronóstico se podrá planear los cambios necesarios para lograr la excelencia académica.

En cuanto al personal docente se podrá predecir cual es la relación del desempeño de acuerdo con el nivel académico que ostenta el maestro en el presente y las oportunidades de profesionalizarse mediante programas de capacitación para poder alcanzar la excelencia académica.

Las herramientas matemáticas han sido utilizadas para el pronóstico de diferentes fenómenos como son los naturales, con respecto al clima o la probabilidad de lluvia de acuerdo a ciertos parámetros, financieramente hablando podemos predecir como es que se moverán ciertas divisas de acuerdo a como ha estado fluctuando en los últimos periodos de tiempo o de acuerdo a cambios políticos o sociales, por ello la utilización de las matemáticas representa la herramienta clave en el pronóstico de eventos de cualquier índole.

Las herramientas matemáticas estocásticas, aquellas cuyo comportamiento no es determinista, es decir, es un proceso que depende sólo del estado anterior, por ello su utilización nos permite pronosticar los fenómenos a partir de estados iniciales, en esta investigación se utilizaron las cadenas de Márkov que representan modelos simplificados creados para la toma de decisiones.

Los modelos de Márkov se han utilizado con éxito en los problemas donde se pretende generar pronósticos a partir de un evento inicial, esto es, las acciones iniciales determinan

| LICENCIATURA EN MATEMÁTICAS UNADM | DCEIT | PT |

la acción inmediata a seguir o el que se le llama el siguiente estado, además de la forma en que se deberán de tomar los siguientes valores, entonces con cada valor obtenido generamos una cadena de valores que nos permite llegar a cualquier valor futuro arbitrariamente lejano.

Elaboración de capítulo 4 Metodología

CAPÍTULO 4 Metodología

En esta parte se hace un análisis de los que constituye la fundamentación metodológica de la investigación que abarca los temas relacionados con la investigación cuantitativa, así como la metodología empleada y el diseño de la investigación

4.1 Investigación cuantitativa.

La presente investigación se realizó de tipo cuantitativa de abstracción aplicada ya que se buscó la solución a un problema práctico de un grupo de estudiantes, en este caso una institución pública de educación básica del nivel secundaria y bachillerato situado en la ciudad de Querétaro. De forma deductiva ya que partió de una premisa inicial para llegar a una conclusión general del problema. A manera correlacional debido a que partimos de hechos establecidos con una relación causa efecto para la solución de una problemática. Tratando de establecer una generalización fundamental ya que se realizó a una pequeña muestra para generalizar el fenómeno. Buscando un estudio de naturaleza descriptivocausal, debido a que se buscó visualizar a través de una amplitud de datos numéricos la relación causativa entre las variables independientes y dependiente. Se menciona una técnica conjunta para correlacionar los resultados y determinar una conclusión. Finalmente,

| LICENCIATURA EN MATEMÁTICAS UNADM | DCEIT | PT |

con la metodología cuantitativa, se llevaron a cabo mediciones sistemáticas de los eventos, así como un análisis estadístico resultante.

4.2 Diseño de la investigación

El diagrama que ilustra el diseño metodológico que dirige la realización de este estudio fue:

G1 X1 01

4.3 Participantes

La población está constituida por 150 alumnos que cursan la educación básica en el nivel medio superior de la institución donde se llevó a cabo la investigación, todos ellos cursaron un ciclo escolar competo, esto es, cumplieron con los 6 semestres de nivel bachillerato y obtuvieron una calificación aprobatoria final del ciclo escolar.

La evaluación final está conformada por tres exámenes parciales a lo largo de cada uno de los semestres, cuyo promedio, de ser aprobatorio, representará el rendimiento escolar por asignatura y del semestre correspondiente para el estudiante, en caso de que no llegara a aprobar alguno de las evaluaciones parciales tiene derecho a presentar un remedial al final del semestre, mismo que se promediará con las 3 calificaciones parciales.

Dado que algunos estudiantes no aprueban las asignaturas con el proceso remedial tendrán 2 oportunidades de exámenes extraordinarios, en caso de que no después de estos su rendimiento no sea aprobatorio, se deberá de recursar la materia pertinente, sólo en caso de que no apruebe en el recursamiento, el estudiante será dado de baja definitiva del plantel.

| LICENCIATURA EN MATEMÁTICAS UNADM | DCEIT | PT |

4.4 Procedimiento de recolección de datos

Para la investigación se tomaron en cuenta cinco generaciones (2015-2018, 2016-2019, 2017-2020, 2018-2021 y 2019-2022) estos datos fueron suministrados por la secretaria académica de la institución objeto de estudio de manera confidencial es formatos PDF y copias de registros de calificaciones.

La recopilación de datos se llevó a cabo dentro de los meses de septiembre del 2022 a enero de 2023.

4.5 Criterios de exclusión

Los criterios de exclusión se realizarán cuando:

• El estudiante no haya terminado los 6 semestres continuos representativos del nivel media superior.

• El estudiante no se haya dado de baja antes de cursar los 6 semestres representativos del nivel media superior.

• El estudiante no haya realizado un cambio de institución en alguno de los 6 semestres representativos del nivel media superior.

• El estudiante suspenda sus estudios parcial o total por enfermedad o gravidez.

• El estudiante presente deficiencias cognitivas para el aprendizaje.

• Otras que se presenten en el proceso de investigación.

4.6 Procesamientos de datos

Para la investigación se capturo en la aplicación de hoja de datos Excel cada una de las calificaciones de las asignaturas del alumno por semestre cursado, incluyendo las

| LICENCIATURA EN MATEMÁTICAS UNADM | DCEIT | PT |

evaluaciones correspondientes a los exámenes extraordinarios, resumiendo así en un archivo todo su historial académico.

Se realizo una separación especial para cada uno de los específicos que imparte la institución, esto es, danza, teatro, artes plásticas, música y literatura, estas para generar una distinción de aprovechamiento entre las asignaturas académicas y artísticas, así como el aprovechamiento general de cada uno de ellos.

Una vez recopilados los datos de cada una de las cinco generaciones se gestionó un archivo que compilaba la información de cada una de estas para llevar a cabo el acumulado total de calificaciones que representan el rendimiento escolar de las generaciones.

Se generó por separado el tratamiento de datos para la generación del modelo matemático estocástico para cada una de las caminatas, sus grafos representativos y sus matrices de transición, los cuales fueron procesados por medio de la aplicación de POM QM para Windows, donde se obtuvo cada uno de los vectores de probabilidad estacionarios.

4.7 Planteamiento del modelo estocástico

Para el planteamiento del modelo estocástico se utilizó la compilación de la información obtenida de la institución, dado que se calculó el promedio por semestre y por generación, se puede entonces definir la variable aleatoria que representará al promedio obtenido por la generación, en este caso ��, a partir de aquí se realizó la caminata y el grafo correspondiente para la generación de la matriz de transición.

Dado que el proceso nos llevará a un pronóstico a través del tiempo, este nos indicará el comportamiento del rendimiento escolar de los alumnos y por medio de las propiedades de los procesos Markovianos, establecer un pronóstico futuro que contenga las propiedades especificas del estudio y nos permita entender el fenómeno estudiado.

| LICENCIATURA EN MATEMÁTICAS UNADM | DCEIT | PT |

4.8 Confiabilidad del modelo

El modelo matemático obtenido a partir de las calificaciones de los estudiantes de cada una de las cinco generaciones nos permitirá validar la confiabilidad general del modelo de investigación analizado, lo que aportará la veracidad del fenómeno observado.

4.9 Variables de estudio

Dentro de las variables de estudio utilizadas en esta investigación tenemos que para cada una de las caminatas generadas podemos observar que:

Dado que cada una de las caminatas realizadas contenían diferentes datos, esto es, datos de toda una generación por medio de semestres o datos de las cinco generaciones, estas variables cambiaron dependiendo de cada uno de los estudios realizados, pero todos ellos representan un proceso estocástico con espacios de estados discretos.

| LICENCIATURA EN MATEMÁTICAS UNADM | DCEIT | PT |
����:�������������������������������������������������������������������������������������������������������������������� ���������������������������������������������������������������������������������������� ���������������������������������������������������������������� ��:������������������������������,���������������������������������������������������������������������������������������� ����������������������������������������������������������������������������������������������������������ó�� ��:�������������������������������������������������������������������������������������������������������������������������� ��������������������������������������������������

Universidad Abierta y a Distancia de México Coordinación Académica y de Investigación

División de Ciencias Exactas, Ingeniería y Tecnología

Licenciatura en Matemáticas

PROYECTO TERMINAL INFORME GENERAL DE RESULTADOS

Universidad Abierta y a Distancia de México

Rectora

Lilian Kravzov Appel

Coordinadora Académico y de Investigación

Edgar Alcantar Corchado

Dirección de Ciencias Exactas, Ingeniería y Tecnología

Dolores Alejandra Vásquez Carbajal

Responsable del Programa Educativo

Carlos Alberto Serrato Hernández

Docente en línea

Mónica Zaima Víquez Cano

Autor del proyecto

Mercedes Rodríguez Robles

IMPORTANTE

Excepto donde el contenido así lo especifique, esta obra está bajo una Licencia de Creative Commons

OCTAVO SEMESTRE | LICENCIATURA EN MATEMÁTICAS UNADM | DCEIT | PT1

Material desarrollado y/o recopilado con fines educativos por académicos externos a la Institución, perteneciente a la DCEIT de la Universidad Abierta y a Distancia de México (UnADM) Ciudad de México, 2022.

OCTAVO SEMESTRE | LICENCIATURA EN MATEMÁTICAS UNADM | DCEIT | PT1

DIVISIÓN DE CIENCIAS EXACTAS, INGENIERÍA Y TECNOLOGÍA

Proyecto terminal II

Uso del modelo estocástico de Cadenas

Markovianas para la predicción de rendimiento estudiantil del CEDART “Ignacio Mariano de las

Casas”

Organización:

CEDART “Ignacio Mariano de las Casas”

Mercedes Rodríguez Robles

ES1821016580

Nivel educativo: Licenciatura en Matemáticas

Asesor externo:

Lic. Matemáticas Pedro Daniel Lara Maldonado

Periodo de realización:

Mes año de inicio: julio 2022

Mes año final: febrero 2023

Santiago de Querétaro, Qro. Febrero 2023

OCTAVO SEMESTRE | LICENCIATURA EN MATEMÁTICAS UNADM | DCEIT | PT1
OCTAVO SEMESTRE | LICENCIATURA EN MATEMÁTICAS UNADM | DCEIT | PT1 ÍNDICE ÍNDICE....................................................................................................................4 RESUMEN ..............................................................................................................7 CAPÍTULO 1 Introducción.......................................................................................8 1.1 Planteamiento del problema .................................................................................................... 9 1.2 Justificación............................................................................................................................. 12 1.3 Objetivos 15 1.3.1 General............................................................................................................................. 15 1.3.2 Específicos 15 CAPÍTULO 2 Marco Investigativo.......................................................................... 16 2.1 Rendimiento Escolar 16 2.2 Institución de la investigación................................................................................................. 17 2.2.1 Prueba Planea 18 2.2.2 Resultados planea de rendimiento escolar...................................................................... 26 CAPÍTULO 3 Marco Teórico.................................................................................. 27 3.1 Cadenas de Markov................................................................................................................. 27 3.1.1 Antecedentes 27 3.1.2 Definición ......................................................................................................................... 28 3.1.3 Desarrollo de las cadenas de Markov .............................................................................. 29 3.1.4 Clasificación de estados de las cadenas de Markov 34 3.1.5 Teoría de grafos................................................................................................................ 36 3.1.6 Software de Aplicación 41 CAPÍTULO 4 Metodología 42 4.1 Investigación cuantitativa. 42 4.2 Diseño de la investigación................................................................................................... 42 4.3 Participantes 43 4.4 Procedimiento de recolección de datos.............................................................................. 43 4.5 Criterios de exclusión .......................................................................................................... 44 4.6 Procesamientos de datos 44 4.7 Planteamiento del modelo estocástico............................................................................... 45
OCTAVO SEMESTRE | LICENCIATURA EN MATEMÁTICAS UNADM | DCEIT | PT1 4.8 Confiabilidad del modelo .................................................................................................... 45 4.9 Variables de estudio............................................................................................................ 45 CAPITULO 5 Desarrollo 47 CAPITULO 6 Conclusiones 53 Referencias 54 Anexos .................................................................................................................. 56 Anexo 1. Lista de Ilustraciones...................................................................................................... 56 Anexo 2. Lista de tablas 56 Anexo 3. Lista de Gráficas ............................................................................................................. 56
OCTAVO SEMESTRE | LICENCIATURA EN MATEMÁTICAS UNADM | DCEIT | PT1

RESUMEN

El propósito de esta investigación fue generar predicciones acerca del rendimiento escolar de alumnos de nivel media superior, específicamente bachillerato a una institución de tipo público, CEDART “Ignacio Mariano de las Casas”, mediante el uso de modelos estocásticos, en este caso, cadenas de Márkov, para la generación de un modelo matemático del fenómeno presentado y la creación de este para su uso posterior para pronosticar y con este, la toma de decisiones.

Palabras Clave: Desempeño Estudiantil; Proceso Estocástico; Cadenas de Márkov; Optimización

OCTAVO SEMESTRE | LICENCIATURA EN MATEMÁTICAS UNADM | DCEIT | PT1

CAPÍTULO 1 Introducción

Podemos decir que el rendimiento escolar es el valor numérico que se le da al estudiante tras haber cursado un ciclo escolar, donde se considera que se refleja la cantidad de conocimientos adquiridos en contra punto de los que le fueron impartidos, partiendo de aquí podríamos ver este rendimiento como un cúmulo de conocimientos, pero la realidad nos muestra que no siempre es así.

Desde la perspectiva de género sabemos que este rendimiento no siempre va relacionado con el aprovechamiento, se ha observado que este nivel es más fácil de obtenerlo por el género masculino y se presiona más al femenino, prueba de esto es cuando los estudiantes egresan del nivel básico y se integran laboralmente donde se ve la preferencia al género masculino, no importando el recinto donde son contratados, mostrando gran diferencia en salarios y niveles jerárquicos de responsabilidades.

Desde el punto de vista de las instituciones, el rendimiento escolar cataloga a las mismas y posiciona en niveles altos o bajos a los estudiantes egresados, pruebas como enlace, que miden el rendimiento escolar, pueden acabar con la reputación de una institución o ponerla como una entre las mejores, aunque esa no sea su realidad.

La predicción del rendimiento escolar, por tanto, toma una gran importancia en nuestros tiempos; a razón de que permite medir el nivel de aprovechamiento en los alumnos lo cual redundará en mejores profesionistas y por ende un mejor avance de nuestro país.

En esta investigación se realiza una predicción matemática mediante las teorías de los procesos estocásticos de las cadenas de Márkov, mostrando con él el rendimiento escolar a futuro para el análisis y comprensión del fenómeno a corto, mediano y largo plazo,

OCTAVO SEMESTRE | LICENCIATURA EN MATEMÁTICAS UNADM | DCEIT | PT1

teniendo como principal objetivo un pronóstico donde muestre la realidad del desempeño escolar.

La investigación se llevó a cabo en el CEDART1 “Ignacio Mariano de las Casas” ubicado en la ciudad de Querétaro que depende del INBAL2 y a su vez de la USEBEQ3 y la SEP4 ubicado en circuito plan vida # 116, col Centro sur, en la ciudad de Santiago de Querétaro, Qro.

1.1 Planteamiento del problema

El artículo tercero de la Constitución Política de los Estados Unidos Mexicanos indica que:

“Toda persona tiene derecho a la educación. El Estado -Federación, Estados, Ciudad de México y Municipios- impartirá y garantizará la educación inicial, preescolar, primaria, secundaria, media superior y superior. La educación inicial, preescolar, primaria y secundaria; conforman la educación básica; ésta y la media superior serán obligatorias, la educación superior lo será en términos de la fracción X del presente artículo. La educación inicial es un derecho de la niñez y será responsabilidad del Estado concientizar sobre su importancia”. (Constitución Política de los Estados Unidos Mexicanos, s.f.)

Además, “Los planes y programas de estudio tendrán perspectiva de género y una orientación integral, por lo que se incluirá el conocimiento de las ciencias y humanidades: la enseñanza de las matemáticas, la lecto-escritura, la literacidad, la historia, la geografía, el civismo, la filosofía, la tecnología, la innovación, las lenguas indígenas de nuestro país, las

Pl1 Centro de Educación Artística, institución del INBAL como modelo educativo integral de formación de secundaria y bachillerato general con el estudio de asignaturas provenientes de cuatro áreas artísticas, música, danza, artes plásticas, literatura y teatro.

2Instituto Nacional de las Bellas Artes y Literatura.

3 Unidas de Servicios para la educación básica del estado de Querétaro.

4 Secretaria de Educación Pública.

OCTAVO SEMESTRE | LICENCIATURA EN MATEMÁTICAS UNADM | DCEIT | PT1

lenguas extranjeras, la educación física, el deporte, las artes, en especial la música, la promoción de estilos de vida saludables, la educación sexual y reproductiva y el cuidado al medio ambiente, entre otras”. (Constitución Política de los Estados Unidos Mexicanos, s.f.)

De la misma forma indica que: “Será de excelencia, entendida como el mejoramiento integral constante que promueve el máximo logro de aprendizaje de los educandos, para el desarrollo de su pensamiento crítico y el fortalecimiento de los lazos entre escuela y comunidad” (Constitución Política de los Estados Unidos Mexicanos, s.f.)

En el inciso IX indica que:

“Para contribuir al cumplimiento de los objetivos de este artículo, se crea el Sistema Nacional de Mejora Continua de la Educación, que será coordinado por un organismo público descentralizado, con autonomía técnica, operativa, presupuestaria, de decisión y de gestión, con personalidad jurídica y patrimonio propios, no sectorizado, al que le corresponderá:

a) Realizar estudios, investigaciones especializadas y evaluaciones diagnósticas, formativas e integrales del Sistema Educativo Nacional;

b) Determinar indicadores de resultados de la mejora continua de la educación;

c) Establecer los criterios que deben cumplir las instancias evaluadoras para los procesos valorativos, cualitativos, continuos y formativos de la mejora continua de la educación;

d) Emitir lineamientos relacionados con el desarrollo del magisterio, el desempeño escolar, los resultados de aprendizaje; así como de la mejora de las escuelas, organización y profesionalización de la gestión escolar;

e) Proponer mecanismos de coordinación entre las autoridades educativas federal y de las entidades federativas para la atención de las necesidades de las personas en la materia;

OCTAVO SEMESTRE | LICENCIATURA EN MATEMÁTICAS UNADM | DCEIT | PT1

f) Sugerir elementos que contribuyan a la mejora de los objetivos de la educación inicial, de los planes y programas de estudio de educación básica y media superior, así como para la educación inclusiva y de adultos, y

g) Generar y difundir información que contribuya a la mejora continua del Sistema Educativo Nacional.” (Constitución Política de los Estados Unidos Mexicanos, s.f.)

Con base en esta última parte expresada del artículo 3ro de la Constitución se establece la importancia de un grupo de indicadores que aporten los resultados de mejora continua en la educación, mismos que deberán ser medidos bajo especificas características, pero realmente no hay instrumentos que recolecten como tal este rendimiento, se usa para ello normalmente las calificaciones u otros indicadores que asientan las distintas instituciones a los diferentes estudiantes dependiendo de los niveles académicos en que se encuentren.

Ciertamente las evaluaciones emitidas al final de los ciclos escolares describen de manera ambigua, en algunos casos, el desempeño de los estudiantes, pero eso no implica que este rendimiento, expresado por un número, carezca de importancia, ya que cataloga al estudiante, a un determinado nivel de conocimientos.

Este nivel de conocimiento muestra a las instituciones, de manera poco clara, como se han impartido los conocimientos y por ende, la calidad académica que esta tiene, misma que será reflejada en sus estudiantes como un promedio de los conocimientos que obtendrán los alumnos al finalizar cualquiera de los ciclos escolares, por ello motivo de reflexión y búsqueda de mejora continua, como lo indica el artículo 3ro de la Constitución, para lograr cada vez un desempeño más adecuado en los alumnos y que este se vea reflejado en un estilo de vida acorde a las condiciones económicas y sociales en que este se desenvuelve.

OCTAVO SEMESTRE | LICENCIATURA EN MATEMÁTICAS UNADM | DCEIT | PT1

La toma de decisiones que se deben de llevar a cabo para la mejora del rendimiento escolar no deja de ser un evento que implique riesgos, no se puede predecir el futuro de ninguna forma, pero si podemos hacer uso de las diferentes herramientas matemáticas que se tienen al alcance para logran un adecuado y asertivo cambio, estas nos permiten pronosticar y reducir los riesgos de la optimización.

1.2 Justificación

El CEDART “Ignacio Mariano de las casas” que es una institución educativa de nivel básico y media superior tiene como característica especial, además de las materias académicas de la currículo general de este tipo de escuelas, cuenta también con asignaturas artísticas como son música, artes plásticas, danza, literatura y teatro, es por esto que es necesario justificar el adecuado rendimiento de dichas actividades artísticas, ya que los estudiantes buscas una especialización además del simple bachillerato, por lo cual en los planes y programas de estudio se tiene la obligación de la actualización curricular, la medición de los resultados tanto académicos como artísticos, misma que debe de ir de la mano de los planes y programas básicos de este nivel.

Este ciclo escolar la SEP llevan a cabo las primeras pruebas piloto de los nuevos planes y programas de estudio, entre ellos, el de la educación media superior, para ello se buscó la colaboración de maestros y pedagogos especializados de cada plantel para la reforma de dichos planes, incluyendo los de especialidades artísticas, utilizando únicamente la experiencia de cada docente e investigadas/os y sin tomar en cuenta los datos estadísticos reales del aprovechamiento escolar obtenido en la historia de cada una de las instituciones.

El uso de herramientas matemáticas que muestren a futuro los esfuerzos realizados por las entidades académicas y les permitan acceder a la realización de adecuaciones que

OCTAVO SEMESTRE | LICENCIATURA EN MATEMÁTICAS UNADM | DCEIT | PT1

promuevan una mejora en la calidad que hoy por hoy imparten los llevará al logro de los máximos objetivos académicos, por ello una herramienta que ayude a las predicciones de dichos rendimientos representan acciones de vital importancia para la promoción de la calidad académica de cualquier institución.

Este trabajo busca establecer mediante herramientas matemáticas los datos reales del aprovechamiento; tomando como muestra las últimas cinco generaciones, que nos llevaran a la obtención de los datos duros de la realidad del rendimiento escolar tanto en las materias académicas, artísticas y la compilación de ambas, proporcionando las herramientas adecuadas para la correcta implementación de los planes y programas de estudio.

Esta información abrirá una ventana para poder dirigir a los alumnos de mejor aprovechamiento para la obtención de becas y/o intercambios con instituciones ya sea nacionales o internacionales mostrando de manera real el nivel que la institución maneja.

De la misma manera esta información servirá para seleccionar al personal docente mejor desempeño garantizando con esto que el CEDART “Ignacio Mariano de las Casas” se convierta y conserve un nivel de alta calidad académica y su prestigio.

A manera de instituciones escolares la SEP solicita anualmente el llenado del formato 911, el cual contiene la información estadística del plantel para ser incluido a los planteles del municipio y estatales a su vez de estados formando así la base de datos estadísticos de todas las escuelas del país, en esta investigación se generan dichos datos además de pronosticar los siguientes años generando una estadística presuntiva para la institución.

OCTAVO SEMESTRE | LICENCIATURA EN MATEMÁTICAS UNADM | DCEIT | PT1

En este trabajo por medio de las cadenas de Márkov se pronosticará el desempeño a largo plazo el desempeño de la institución educativa, con esto se justifica la supervivencia de esta y la inversión que se necesita para su funcionamiento, de la misma forma demuestra el nivel académico que se tiene y desde ese pronóstico se podrá planear los cambios necesarios para lograr la excelencia académica.

En cuanto al personal docente se podrá predecir cual es la relación del desempeño de acuerdo con el nivel académico que ostenta el maestro en el presente y las oportunidades de profesionalizarse mediante programas de capacitación para poder alcanzar la excelencia académica.

Las herramientas matemáticas han sido utilizadas para el pronóstico de diferentes fenómenos como son los naturales, con respecto al clima o la probabilidad de lluvia de acuerdo a ciertos parámetros, financieramente hablando podemos predecir como es que se moverán ciertas divisas de acuerdo a como ha estado fluctuando en los últimos periodos de tiempo o de acuerdo a cambios políticos o sociales, por ello la utilización de las matemáticas representa la herramienta clave en el pronóstico de eventos de cualquier índole.

Las herramientas matemáticas estocásticas, aquellas cuyo comportamiento no es determinista, es decir, es un proceso que depende sólo del estado anterior, por ello su utilización nos permite pronosticar los fenómenos a partir de estados iniciales, en esta investigación se utilizaron las cadenas de Márkov que representan modelos simplificados creados para la toma de decisiones.

Los modelos de Márkov se han utilizado con éxito en los problemas donde se pretende generar pronósticos a partir de un evento inicial, esto es, las acciones iniciales determinan

OCTAVO SEMESTRE | LICENCIATURA EN MATEMÁTICAS UNADM | DCEIT | PT1

la acción inmediata a seguir o el que se le llama el siguiente estado, además de la forma en que se deberán de tomar los siguientes valores, entonces con cada valor obtenido generamos una cadena de valores que nos permite llegar a cualquier valor futuro arbitrariamente lejano.

1.3 Objetivos

1.3.1 General

Planteamiento de un modelo estocástico de cadenas de Márkov para predecir el rendimiento estudiantil institucional del CEDART “Ignacio Mariano de las Casas”, Querétaro.

1.3.2 Específicos

• Analizar las causas que llevan a cabo en la medición del rendimiento escolar de los estudiantes del CEDART “Ignacio Mariano de las Casas”.

• Creación de la cadena de Márkov que represente el rendimiento escolar de los estudiantes del CEDART “Ignacio Mariano de las Casas”.

• Analizar las asignaturas que implican cambios radicales en el rendimiento escolar de los estudiantes del CEDART “Ignacio Mariano de las Casas”.

• Creación de la cadena de Márkov que represente el rendimiento escolar por asignaturas de los estudiantes del CEDART “Ignacio Mariano de las Casas”.

• Comparación de los niveles de rendimiento escolar con otras instituciones de igual índole.

OCTAVO SEMESTRE | LICENCIATURA EN MATEMÁTICAS UNADM | DCEIT | PT1

CAPÍTULO 2 Marco Investigativo

Para la presente investigación fue necesario la recopilación de información que nos llevó a establecer los parámetros de las definiciones, los conceptos y los datos necesarios que ya están disponibles para la descripción del tema a tratar.

2.1 Rendimiento Escolar

Una de las dimensiones más importantes en la educación es el rendimiento académico, pero también es una de las más complejas ya que se trata de evaluar los conocimientos y revisar los factores buenos y malos que llevaron al dicho logro, por tanto, demuestra el éxito o fracaso del proceso educativo del estudiante.

El rendimiento escolar puede ser expresado como aquel número que se le da al estudiante, bajo los números de 5 al 10, donde 5 es reprobado y del 6 al 10 representa la aprobación, para establecer el dominio de los saberes, este puede ser de un bloque del curso o simplemente del curso completo, en esta investigación al referirnos al rendimiento escolar tomaremos aquellos valores que obtuvo el estudiante al finalizar el curso escolar.

Definamos de manera más clara el concepto de “Rendimiento escolar”, varios autores hablan de este como:

“Nivel de conocimientos demostrado en un área o materia comparado con la norma de edad y nivel académico” (Jimenez, 2000).

“Para Joaquín Cano, el rendimiento escolar es una dimensión del rendimiento académico y es un índice de valoración de la calidad global de la educación.” (Morales Sánchez, Morales Sánchez, & Holguín Quiñones, ISSN 2007-1957).

OCTAVO SEMESTRE | LICENCIATURA EN MATEMÁTICAS UNADM | DCEIT | PT1

“Antonio González define al rendimiento escolar como la verificación de la adquisición del conjunto de valores, actitudes, conductas y conocimientos señalados como deseables por los actores sociales autorizados” (Morales Sánchez, Morales Sánchez, & Holguín Quiñones, ISSN 2007-1957).

Para esta investigación definiremos el rendimiento escolar como “el nivel de conocimientos demostrado en un área o materia al final de su ciclo escolar donde se evaluó tanto el desempeño académico como de valores, actitudes y conductas del estudiante”.

2.2 Institución de la investigación

La institución donde se llevó a cabo la investigación de nombre Centro de Educación Artística “Ignacio Mariano de las Casas”, CEDART, es una dependencia de la Secretaría de Cultura/INBA/Subdirección General de Educación e Investigación Artísticas (SGEIA) cuya oferta educativa es de secundaria y bachillerato de Artes y Humanidades, con domicilio en circuito. Plan Vida 116, Colonia Centro Sur, C.P. 07690, Querétaro, Querétaro, Tels.: 442 153 19 70 al 79.

Cuenta con una población estudiantil de 300 estudiantes que incluyen los dos niveles, básico y media superior, siendo de importancia su enfoque cultural ya que permite maneja la especialidad de Arte y Humanidades con talleres de: Danza folclórica, contemporánea y clásica, Música, Literatura, Teatro y Artes plásticas, otorgando la documentación al término de Certificado.

Este modelo educativo integra la formación del bachillerato general con el estudio de asignaturas provenientes de cinco áreas artísticas. Por su carácter propedéutico, proporciona las bases y los conocimientos necesarios para continuar estudios de nivel superior, tanto en el campo de las artes como en las ciencias y las humanidades. El propósito de este bachillerato no es formar artistas. No obstante, a partir de la integración de saberes de la danza, la música, el teatro, literatura y las artes plásticas, contribuye en el desarrollo

OCTAVO SEMESTRE | LICENCIATURA EN MATEMÁTICAS UNADM | DCEIT | PT1

de habilidades cognitivas, afectivas, sociales y expresivas que redundan en una auténtica formación integral de sus egresados.

El ingreso a este modelo educativo implica conciencia de que los estudios artísticos son rigurosos y que requieren de una mayor certidumbre vocacional y total disposición para cursarlos en armonía con el resto de las asignaturas del bachillerato. Por el mismo motivo, el proceso de admisión busca comprobar estas condiciones en los aspirantes a efecto de que se cumplan las expectativas institucionales y personales.

2.2.1 Prueba PLANEA

La Secretaría de Educación Pública en coordinación con la Comisión Nacional para la Mejora Continua de la Educación y las autoridades educativas de las entidades federativas, aplica la prueba Planea en Educación Media Superior a estudiantes del último grado en poco más de 18,000 escuelas de Educación Media Superior del país de carácter público, federal y estatal, en los planteles particulares con Reconocimiento de Validez Oficial de Estudios (REVOE) otorgado por la SEP o por las entidades federativas, así como en las instituciones autónomas y en sus escuelas particulares incorporadas.

Esta prueba tiene el propósito de conocer en qué medida el estudiantado logra dominar un conjunto de aprendizajes esenciales al término de la Educación Media Superior, en dos campos de formación: Lenguaje y Comunicación y Matemáticas.

PLANEA5, agrupa los resultados obtenidos por los estudiantes en cuatro niveles de logro los cuales informan acerca de los aprendizajes clave que deben ser adquiridos por el estudiantado y en qué medida se han apropiado de ellos. Es importante señalar que estos niveles van del I al IV en orden progresivo, es decir, el nivel más bajo es el I y el más alto es

5 El Plan Nacional para la Evaluación de los Aprendizajes

OCTAVO SEMESTRE | LICENCIATURA EN MATEMÁTICAS UNADM | DCEIT | PT1

el IV. Además, son acumulativos, ya que los estudiantes que se ubican en el nivel II cuentan con los aprendizajes del nivel previo (NI) y así sucesivamente.

A continuación, se presenta la descripción genérica de los niveles de logro:

Nivel I: El estudiantado que se ubica en este nivel tiene un conocimiento insuficiente de los aprendizajes clave incluidos en los referentes curriculares. Esto refleja mayores dificultades para continuar con su trayectoria académica.

Nivel II: El estudiantado que se ubica en este nivel tiene un conocimiento elemental de los aprendizajes clave incluidos en los referentes curriculares.

Nivel III: El estudiantado que se ubica en este nivel tiene un conocimiento satisfactorio de los aprendizajes clave incluidos en los referentes curriculares.

Nivel IV: El estudiantado que se ubica en este nivel tiene un conocimiento sobresaliente de los aprendizajes clave incluidos en los referentes curriculares.

PLANEA Educación Media Superior está diseñada para ofrecer a padres y madres de familia, al estudiantado, al profesorado, la dirección, autoridades educativas y sociedad en general, información específica sobre el logro académico de las escuelas y, utilizada adecuadamente, constituye un potente instrumento que puede contribuir a mejorar la calidad de la educación.

2.2.1.1 Características de la prueba PLANEA

→ Es una prueba objetiva y estandarizada.

→ Está alineada al Marco Curricular Común, en particular a los campos de formación asociados con las competencias de Lenguaje y Comunicación y Matemáticas.

→ Está conformada por 100 reactivos de opción múltiple, 50 que evalúan Lenguaje y Comunicación y 50 de Matemáticas.

OCTAVO SEMESTRE | LICENCIATURA EN MATEMÁTICAS UNADM | DCEIT | PT1

→ Es una prueba de referencia criterial o un test que NO está diseñada para derivar conclusiones al respecto del desempeño de las escuelas o las y los docentes.

→ Sus resultados NO deben tener consecuencias académicas o de otro tipo para el estudiantado, el profesorado o sus escuelas.

→ Es una prueba de diagnóstico, NO es una prueba de selección para el ingreso a instituciones de Educación Superior.

→ Ofrece información pertinente y oportuna a las escuelas y al profesorado, contribuyendo así al desarrollo de directrices para la mejora del sistema.

2.2.1.2 Resultados PLANEA 2015

Los resultados obtenidos por el CEDART en la prueba Planea en el 2015

OCTAVO SEMESTRE | LICENCIATURA EN MATEMÁTICAS UNADM | DCEIT | PT1
Lenguaje y Comunicación I II III IV % de alumnos de la escuela en cada nivel de logro 7.5% 10.0% 37.5% 45.0% Porcentaje de alumnos de escuelas parecidas en cada nivel de logro S/R S/R S/R S/R Porcentaje de alumnos en todas las escuelas de México en cada nivel de logro 23.1% 20.2% 34.7% 21.9%
TABLA 1: PLANEA 2015: LENGUAJE Y COMUNICACIÓN, CREACIÓN PROPIA
OCTAVO SEMESTRE | LICENCIATURA EN MATEMÁTICAS UNADM | DCEIT | PT1
Matemáticas I II III IV % de alumnos de la escuela en cada nivel de logro 7.3% 43.9% 39% 9.8% Porcentaje de alumnos de escuelas parecidas en cada nivel de logro S/R S/R S/R S/R Porcentaje de alumnos en todas las escuelas de México en cada nivel de logro 46.3% 36.9% 14.0% 2.8% T
0 10 20 30 40 50 IIIIIIIV 2015
Porcentajes de logro por nivel CedartSimilarNacional
GRAFICA 1: PLANEA 2015: LENGUAJE Y COMUNICACIÓN, CREACIÓN PROPIA ABLA 2: PLANEA 2015: MATEMÁTICAS, CREACIÓN PROPIA Lenguaje y comunicación

2.2.1.3 Resultados PLANEA 2016

Los resultados obtenidos por el CEDART en la prueba Planea en el 2016

OCTAVO SEMESTRE | LICENCIATURA EN MATEMÁTICAS UNADM | DCEIT | PT1
GRAFICA 2: PLANEA 2015 MATEMÁTICAS, CREACIÓN PROPIA
Lenguaje y Comunicación I II III IV % de alumnos de la escuela en cada nivel de logro 2.7% 10.8% 37.8% 48.6% Porcentaje de alumnos de escuelas parecidas en cada nivel de logro 2.7% 10.8% 37.8% 48.6% Porcentaje de alumnos en todas las escuelas de México en cada nivel de logro 18.1% 21.8% 36.5% 23.6%
0 10 20 30 40 50 IIIIIIIV
de logro
CedartSimilarNacional
TABLA 3: PLANEA 2016: LENGUAJE Y COMUNICACIÓN, CREACIÓN PROPIA
2015 Matemáticas Porcentaje
por nivel

2016 Lenguaje y comunicación

OCTAVO SEMESTRE | LICENCIATURA EN MATEMÁTICAS UNADM | DCEIT | PT1
Matemáticas I II III IV % de alumnos de la escuela en cada nivel de logro 5.3% 39.5% 47.4% 7.9% Porcentaje de alumnos de escuelas parecidas en cada nivel de logro 5.3% 39.5% 47.4% 7.9% Porcentaje de alumnos en todas las escuelas de México en cada nivel de logro 32.6% 42.1% 21.0% 4.4% T
0 10 20 30 40 50 60 IIIIIIIV
GRAFICA 3: PLANEA 2016: LENGUAJE Y COMUNICACIÓN, CREACIÓN PROPIA ABLA 4: PLANEA 2016: MATEMÁTICAS, CREACIÓN PROPIA
Porcentajes de logro por nivel CedartSimilarNacional

2016 Matemáticas

2.2.1.4 Resultados PLANEA 2017

Los resultados obtenidos por el CEDART en la prueba Planea en el 2017

OCTAVO SEMESTRE | LICENCIATURA EN MATEMÁTICAS UNADM | DCEIT | PT1
GRAFICA 4: PLANEA 2016: MATEMÁTICAS, CREACIÓN PROPIA
Lenguaje y Comunicación I II III IV % de alumnos de la escuela en cada nivel de logro 5.9% 0.0% 44.1% 50.0% Porcentaje de alumnos de escuelas parecidas en cada nivel de logro 22.9% 29.9% 35.4% 11.8% Porcentaje de alumnos en todas las escuelas de México en cada nivel de logro 33.9% 28.1% 28.7% 9.2%
0 10 20 30 40 50 IIIIIIIV
T
ABLA 5: PLANEA 2017: LENGUAJE Y COMUNICACIÓN, CREACIÓN PROPIA
CedartSimilarNacional
Porcentaje de logro por nivel

2017 Lenguaje y comunicación

OCTAVO SEMESTRE | LICENCIATURA EN MATEMÁTICAS UNADM | DCEIT | PT1
Matemáticas I II III IV % de alumnos de la escuela en cada nivel de logro 21.4% 25.0% 25.0% 28.6% Porcentaje de alumnos de escuelas parecidas en cada nivel de logro 48.6% 31.8% 14.2% 5.3% Porcentaje de alumnos en todas las escuelas de México en cada nivel de logro 66.2% 23.3% 8.0% 2.5%
0 10 20 30 40 50 60 IIIIIIIV
GRAFICA 5: PLANEA 2017: LENGUAJE Y COMUNICACIÓN, CREACIÓN PROPIA TABLA 6: PLANEA 2017: MATEMÁTICAS, CREACIÓN PROPIA
Porcentajes de logro por nivel CedartSimilarNacional
OCTAVO SEMESTRE | LICENCIATURA EN MATEMÁTICAS UNADM | DCEIT | PT1
Resultados
GRAFICA 6: PLANEA 2017: MATEMÁTICAS, CREACIÓN PROPIA
2.2.2
PLANEA de rendimiento escolar
0 10 20 30 40 50 60 70 IIIIIIIV 2017 Matemáticas Porcentaje de logro por nivel CedartSimilarNacional 0 10 20 30 40 50 60
GRAFICA 7: PLANEA LENGUAJE Y COMUNICACIÓN, CREACIÓN PROPIA
Comunicación IIIIIIIV
Cedart2015NacionalCedart2016NacionalCedart2017Nacional
Lenguaje y

CAPÍTULO 3 Marco Teórico

En esta sección se describen detalladamente las herramientas matemáticas que nos ayudarán a la obtención de las predicciones a partir de los datos obtenidos, las teorías que se llevarán a cabo mediante el proceso, así como el software de aplicación que se utilizará para los cálculos matemáticos, además de los trabajos realizados con anterioridad por distintos autores para la obtención de esta información.

3.1 Cadenas de Márkov

3.1.1 Antecedentes

OCTAVO SEMESTRE | LICENCIATURA EN MATEMÁTICAS UNADM | DCEIT | PT1
GRAFICA 8: PLANEA MATEMÁTICAS, CREACIÓN PROPIA
0 10 20 30 40 50 60 70 Cedart2015NacionalCedart2016NacionalCedart2017Nacional Matemáticas IIIIIIIV

Las cadenas de Márkov fueron introducidas por el matemático ruso Andrei Márkov (1856‐1922) alrededor de 1905, con el objetivo de crear un modelo probabilístico parara analizar la frecuencia con la que aparecen las vocales en poemas y textos literarios. Las cadenas de Márkov pueden aplicarse a una amplia gama de fenómenos científicos y sociales.

Andrei Márkov fue alumno de la universidad de San Petersburgo, discípulo de Chebyshev como Liapunov, después de su doctorado en 1886 accedió como adjunto a la Academia de Ciencias de San Petersburgo, a propuesta del propio Chebyshev.

En 1989, cuando Chebyshev dejó la universidad, le sustituyó en los cursos de teoría de probabilidad. En 1925 Andrei Márkov dejó definitivamente la universidad. Aparte de su perfil académico, Andrei Márkov fue un activista político oponiéndose a los privilegios de la nobleza zarista, llegando a rechazar las condecoraciones del zar en protesta por decisiones políticas relacionadas con la Academia de Ciencias.

Andrei Márkov influyó sobre diversos campos de las matemáticas, sobresaliendo con la teoría de la probabilidad. En 1887 completó la prueba que permitía generalizar el teorema central del límite que ya había avanzado Chebyshev, aunque su aportación más conocida se encuentra en los procesos estocásticos, elaborando un instrumento matemático que actualmente se conoce como cadena de Márkov, instrumento que, hoy en día, se consideran una herramienta esencial en disciplinas como la economía, la ingeniería, la investigación de operaciones y muchas otras.

3.1.2 Definición

Un proceso estocástico o proceso aleatorio ���� es un concepto matemático que se utiliza para usar magnitudes aleatorias que varían con el tiempo o para caracterizar una sucesión de variables aleatorias o estocásticas que varían en función de otra variable, generalmente

OCTAVO SEMESTRE | LICENCIATURA EN MATEMÁTICAS UNADM | DCEIT | PT1

el tiempo. Cada variable o conjunto de variables sometidas a influencias o efectos aleatorios constituyen un proceso estocástico.

En teoría de la probabilidad, una Cadena de Márkov en tiempo discreto (CMTD) es un tipo especial de proceso estocástico discreto en el que la probabilidad de que ocurra un suceso depende solamente del suceso inmediatamente anterior. Esta característica de falta de memoria se conoce como propiedad de Márkov (recibe el nombre del matemático ruso Andrei Márkov, que introdujo en 1907).

Definimos entonces a una cadena de Márkov como:

“Sea ���� una variable aleatoria que caracteriza el estado del sistema en puntos discretos en el tiempo ��= 1,2… . La familia de variables aleatorias {����} forma un proceso estocástico con una cantidad finita o infinita de estados.” (Taha, 2012)

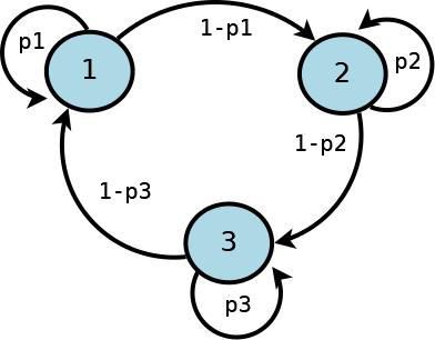
ILUSTRACIÓN 1: EJEMPLO DE CADENA DE MÁRKOV, CREACIÓN PROPIA

3.1.3 Desarrollo de las cadenas de Márkov

Una Cadena de Márkov es una secuencia (��1,��2,��3,…..����) de variables aleatorias, el dominio de estas variables es el llamado Espacio Estado. El valor ���� es el estado del proceso en el tiempo ��.

OCTAVO SEMESTRE | LICENCIATURA EN MATEMÁTICAS UNADM | DCEIT | PT1

La distribución de la probabilidad condicionada de ����+1 en estados pasados es una función de ���� por sí sola, siendo ���� el estado del proceso en el instante i‐ésimo.

Si |��|<∞ se dice que la Cadena de Markov es finita, en caso contrario se dice que es infinita.

3.1.3.1 Cadena homogénea y no homogénea

Una Cadena de Márkov se dice homogénea si la probabilidad de ir del estado �� al estado �� en un paso no depende del tiempo en el que se encuentra la cadena: Cadena homogénea:

Si para alguna pareja de estados y para algún tiempo �� la propiedad mencionada no se cumple se dice que la Cadena de Markov es no homogénea.

3.1.3.2 Probabilidad y matriz de transición

Si una Cadena de Márkov está en el estado ��−é��������, hay una probabilidad ������de pasar al próximo estado ��−é��������, a esta probabilidad ������ se la llama probabilidad de Transición.

La probabilidad ������ de pasar del estado �� al estado �� en un paso se llama probabilidad de transición de �� a

Las probabilidades de transición conforman la matriz de transición P, que es con rigor una matriz (finita) sólo para cadenas de Márkov finitas, aunque también se conserva el nombre y la notación para cadenas de Márkov infinitas.

OCTAVO SEMESTRE | LICENCIATURA EN MATEMÁTICAS UNADM | DCEIT | PT1
��[����+�� =����+��|���� =����,����−�� =����−��,…���� =����,���� =����]=��[����+�� =����+��|���� =����]
cualesquiera ��≥0��{����+1,��1,��2,….,����}∈��
Para
��[���� =��|����−�� =��]=��[���� =��|���� =��] para todo nodo ∀��,��.
: ������ =��������[����+�� =��|���� =��]
��

Cada fila de la matriz de transición debe sumar 1 por las propiedades básicas de probabilidad.

El modelo para redes se puede considerar una cadena de Márkov donde �� son los vértices del grafo dirigido y ������ es el inverso del número de aristas salientes desde �� cuando hay una arista de �� a �� y cero en otro caso.

La matriz de transición en un solo paso, dada una cadena de Márkov con �� estados posibles ��=(��1,��2,…,����) y probabilidades de transición estacionarias, viene dada por la expresión:

3.1.3.3 Matriz de transición

El Vector distribución es un vector fila no negativo con una entrada para cada estado del sistema.

Vector probabilidad es un vector ��=(��1,��2,…,����) con entradas no negativas, de forma que se agregan hasta llegar a 1. Las entradas pueden representar las probabilidades de encontrar un sistema en cada uno de los estados.

El vector de distribución ��=(��1,��2,…,����) y la matriz de transición P determinan la probabilidad para el estado de la cadena en el segundo instante de tiempo, dicha probabilidad viene dada por el vector (����).

Distribución después del 1 paso: ����

OCTAVO SEMESTRE | LICENCIATURA EN MATEMÁTICAS UNADM | DCEIT | PT1
∑������ = ��∈�� ∑��[��1 =��|��0 =1]= ��∈�� ��[��1 ∈��|��0 =��]
���������� =��[����+1 =����|���� =����]⇒��=(��11 ��12 ⋯��1�� ��21 ��22 ⋯��2�� ⋮ ����1 ⋮ ����2 ⋯ ⋯ ⋮ ������)
���� ≥0����������=1,2,…,�� ∑��
�� =1 �� ��=1

Distribución después del 2 paso: (����) ∙�� = ����2

Distribución después del 3 paso: (����2) ∙�� = ����3

Y así sucesivamente llegamos a Distribución después del n paso: (������−1) ∙�� = ����

Una notación conveniente para representar las probabilidades de transición de �� pasos es la matriz de transición de �� pasos:

La probabilidad de transición en una fila y columna dadas es la transición del estado en esa fila al estado en la columna. Cuando �� = 1 el superíndice �� no se escribe y se hace referencia a ésta como una matriz de transición.

Las probabilidades de transición en �� pasos son las probabilidades de transición del estado �� al estado �� en �� pasos, denotándose como:

Las cadenas de Márkov que se analizan tienen las propiedades:

• Un número finito de estados.

• Probabilidades de transición estacionarias.

3.1.3.4 Vector de Probabilidad Estacionario

OCTAVO SEMESTRE | LICENCIATURA EN MATEMÁTICAS UNADM | DCEIT | PT1
��
���� =(��11 �� ��12 �� ⋯��1�� �� ��21 �� ��22 �� ⋯��2�� �� ⋮ ����1 �� ⋮ ����2 �� ⋯ ⋯ ⋮ ������ �� )
������ �� =(���� =��|��0 =��)=��(����+�� =��|���� =��) �������������������� ������ 1 =������

Un vector de probabilidad �� ya sea finito o infinito numerable se dice estacionario para una cadena de Márkov en tiempo discreto (CMTD) si cualquier transición de acuerdo con la matriz �� verifica:

Al vector de probabilidad estacionario �� también se le denomina distribución estacionaria o distribución de equilibrio.

Cuando la cadena de Márkov se va aproximando de estado en estado hacia un estado de equilibrio se le llama estado estable, que se determina por

Un vector de probabilidades

De una cadena de Márkov en tiempo discreto se le llama límite si:

El vector de probabilidades de �� de una cadena de Márkov es tiempo discreto se dice el único vector de probabilidades en equilibrio de la cadena sí ���� ������ convergen

OCTAVO SEMESTRE | LICENCIATURA EN MATEMÁTICAS UNADM | DCEIT | PT1
���� =∑���������� ∞ ��=0 ������������≥0 ��������á�� ∑���� =1 ∞ ��=0 ���������� ���� �������������������������������������������������������������������������������������������� ���� = 1 ���� ����������������������������������������������������������������������������������������
���� =�� ∑���� =1 ∞ ��=0
��0 =(��0 0,��1 0,…,���� 0 ,…)
��̃=lim ��→∞ ���� =lim ��→∞ ��0���� =��0 lim ��→∞ ���� =��0�� ̃

independientemente de la distribución ��0, cada probabilidad es mayor estrictamente que cero.

3.1.4 Clasificación de estados de las cadenas de Márkov

Estado alcanzable:

Dados dos estados �� y ��, una trayectoria de �� a �� es una secuencia de transiciones que comienza en �� y termina en ��, tal que cada transición en la secuencia tiene una probabilidad positiva de ocurrir. Un estado �� es alcanzable desde el estado �� si hay una trayectoria que conduzca de �� a ��.

Estados que se comunican:

Se dice que dos estados �� y �� se comunican si �� es alcanzable desde ��, y de igual manera �� es alcanzable desde ��.

Conjunto cerrado:

Un conjunto de estados �� de una Cadena de Markov es cerrado si ningún estado fuera de �� es alcanzable desde algún estado en ��

Estado absorbente:

Es un estado en el que ������ =1������ =0. Siempre que se entra en un estado absorbente, no se sale de él; un estado absorbente es un conjunto cerrado que contiene sólo un estado.

OCTAVO SEMESTRE | LICENCIATURA EN MATEMÁTICAS UNADM | DCEIT | PT1

ILUSTRACIÓN 2 EJEMPLO: EL ESTADO 3 ES ABSORBENTE. CREACIÓN PROPIA. TOMADO DE IMÁGENES WIKIPEDIA

Estado transitorio:

Un estado �� es transitorio si existe un estado �� que es alcanzable desde ��, pero el estado �� no es alcanzable desde el estado ��.

ILUSTRACIÓN 3 EJEMPLO: EL ESTADO 2 ES TRANSITORIO. CREACIÓN PROPIA. TOMADO DE IMÁGENES WIKIPEDIA

Estado recurrente:

Es un estado que no es transitorio.

OCTAVO SEMESTRE | LICENCIATURA EN MATEMÁTICAS UNADM | DCEIT | PT1

Estado periódico:

Un estado �� es periódico con periodo ��>1 si �� es el número más pequeño tal que las trayectorias que conducen al estado �� de regreso al estado �� tienen una longitud que es un múltiplo de �� . Si un estado recurrente no es periódico, se conoce como aperiódico (Winston, 2008).

3.1.5 Teoría de grafos

Un grafo es una estructura matemática que consta de vértices y aristas que conectan estos vértices; En términos elementales podríamos definir un grafo como un conjunto de puntos (llamados elementos, vértices, nudos o nodos) con líneas que unen pares de vértice de ellas; en algunos libros se usa red como sinónimo de grafo. (Álvarez Núñez & Parra Muñoz, 2013)

OCTAVO SEMESTRE | LICENCIATURA EN MATEMÁTICAS UNADM | DCEIT | PT1
ILUSTRACIÓN 4 EJEMPLO: LOS ESTADOS 1, 2 Y 3 SON RECURRENTES. CREACIÓN PROPIA. TOMADO DE IMÁGENES WIKIPEDIA ILUSTRACIÓN 5 EJEMPLO: CADENA DE PERÍODO 3. CREACIÓN PROPIA. TOMADO DE IMÁGENES WIKIPEDIA

3.1.5.1 Definición

Un grafo es una abstracción matemática que designaremos por ��=(��,��)

Donde

�� es el conjunto de vértices o puntos ����,��≠∅ y

�� es el conjunto de líneas que unen dos puntos de ��;

�� puede ser vacío (∅), llamado conjunto de las aristas que están relacionadas mediante la aplicación ��

A cualquier arista de un grafo se le puede asociar una pareja de vértices de este. Si ������ son dos vértices de un grafo y la arista a está asociada con este par, escribiremos ��=����

Un grafo se representa mediante un diagrama en el cual a cada vértice le corresponde un punto y si dos vértices son adyacentes se unen sus puntos correspondientes mediante una línea.

Ejemplo:

OCTAVO SEMESTRE | LICENCIATURA EN MATEMÁTICAS UNADM | DCEIT | PT1
��={��1,��2,��3,…,��9} ��={(��1��2),(��2��4),(��3��7),(��6��8),(��7��6),(��7��8),(��3��1),(��7��4),(��9��9)}= ��={��1,��2,��3,…,��9} ��:��→��������������1 →���� ������������������������������������������������é����������1������é������������ ���������������� ��:(��1)= ��1 →��2 ��:(��5)= ∅ ��:(��9)= ��9 →��9 =��9 ��:(��7)= {��7 →��6,��7 →��4,��7 →��8}={��5,��6,��7 }

Entonces el grafo sería:

En el diagrama geométrico los nudos o vértices estarán indicados por pequeños círculos y las conexiones mediante arcos, líneas o rectas, los cuales pueden tener dirección o no, de donde se generan dos clasificaciones de grafos: Los dirigidos y los no dirigidos, donde llamaremos arco a la relación de dirección que existe entre 2 nodos.

3.1.5.2 Grafos no Dirigidos

Los grafos no dirigidos es propiamente aquel grafo que no considera dirección, esto es, las aristas no tienen sentido, luego la relación existente es simétrica.

3.1.5.3 Grafos Dirigidos

OCTAVO SEMESTRE | LICENCIATURA EN MATEMÁTICAS UNADM | DCEIT | PT1
ILUSTRACIÓN 6: EJEMPLO DE GRAFO, TOMADO DE: (ÁLVAREZ NÚÑEZ & PARRA MUÑOZ, 2013) ILUSTRACIÓN 7: GRAFO NO DIRIGIDO, TOMADO DE: (ÁLVAREZ NÚÑEZ & PARRA MUÑOZ, 2013)

Grafo dirigido es aquel grafo en el cual la relación existente entre los elementos considera su dirección, Se puede recalcar que si ��=(��,��) es un dígrafo, o grafo dirigido, entonces la relación

T, en general no es simétrica; es decir (����)≠(����)∀��,�� ∈��

3.1.5.4 Camino

Es una ruta que se debe seguir para llegar de un punto a otro. Lo representaremos por

), sabiendo que entre un punto y otro puede haber más de un camino.

Ejemplo: si trazamos el camino de ��(��1��4) este pasa por los puntos ��(��1,��2,��3,��4) entonces

UNADM | DCEIT | PT1
OCTAVO SEMESTRE | LICENCIATURA EN MATEMÁTICAS
ILUSTRACIÓN 8: GRAFO DIRIGIDO, TOMADO DE: (ÁLVAREZ NÚÑEZ & PARRA MUÑOZ, 2013)
��(��������
��(��1��4)=��(��1,��2,��3,��4)
ILUSTRACIÓN 9: EJEMPLO DE CAMINO, TOMADO DE: (ÁLVAREZ NÚÑEZ & PARRA MUÑOZ, 2013)

3.1.5.5 Vértices Adyacentes

Se dice que dos vértices son adyacentes si están conectados por una arista o por un arco.

Ejemplo: los vértices ��1��4 son adyacentes, los vértices ��4��3 no lo son

ILUSTRACIÓN 10: VÉRTICES ADYACENTES, TOMADO DE: (CIENCIAS.MEDELLIN.UNAL.EDU.CO, S.F.)

3.1.5.6 Matriz de Adyacencia

Sea �� un grupo cuyo conjunto de vértices es ��={��1,��2,…����}, llamaremos matriz de adyacencia del grafo �� a la matriz ��=(������) de ��-filas y ��-columnas, donde

Ejemplo: Utilizando el grafo:

ILUSTRACIÓN 11: GRAFO EJEMPLO MATRIZ DE ADYACENCIA, TOMADO DE: (CIENCIAS.MEDELLIN.UNAL.EDU.CO, S.F.)

Su matriz de adyacencia está dada por

OCTAVO SEMESTRE | LICENCIATURA EN MATEMÁTICAS UNADM | DCEIT | PT1
������ ={ 1�������� ������ �������������������������� 0�������� ������ ������������������������������

Donde, todos los ceros de la matriz A significan que no hay ningún camino entre los vértices correspondientes; todos los unos de la matriz A significan que existe un camino entre los vértices correspondientes.

3.1.6 Software de Aplicación

Para la realización de los procesos de cálculo de las matrices se utilizará el software POM QM para Windows que es un programa para la gestión de producción/operaciones, métodos cuantitativos, ciencia de la gestión e investigación de operaciones; mismo que al ser una herramienta de software libren nos permite utilizarlo sin necesidad de pago; de igual forma para la generación de grafos se utilizará la aplicación DIA que de la misma forma es software libre.

OCTAVO SEMESTRE | LICENCIATURA EN MATEMÁTICAS UNADM | DCEIT | PT1 ��=[01 10 00 00 0 1 1 0 0 0 1 0]

CAPÍTULO 4 Metodología

En esta parte se hace un análisis de los que constituye la fundamentación metodológica de la investigación que abarca los temas relacionados con la investigación cuantitativa, así como la metodología empleada y el diseño de la investigación

4.1 Investigación cuantitativa.

La presente investigación se realizó de tipo cuantitativa de abstracción aplicada ya que se buscó la solución a un problema práctico de un grupo de estudiantes, en este caso una institución pública de educación básica del nivel secundaria y bachillerato situado en la ciudad de Querétaro. De forma deductiva ya que partió de una premisa inicial para llegar a una conclusión general del problema. A manera correlacional debido a que partimos de hechos establecidos con una relación causa efecto para la solución de una problemática.

Tratando de establecer una generalización fundamental ya que se realizó a una pequeña muestra para generalizar el fenómeno. Buscando un estudio de naturaleza descriptivocausal, debido a que se buscó visualizar a través de una amplitud de datos numéricos la relación causativa entre las variables independientes y dependiente. Se menciona una técnica conjunta para correlacionar los resultados y determinar una conclusión. Finalmente, con la metodología cuantitativa, se llevaron a cabo mediciones sistemáticas de los eventos, así como un análisis estadístico resultante.

4.2 Diseño de la investigación

El diagrama que ilustra el diseño metodológico que dirige la realización de este estudio fue:

OCTAVO SEMESTRE | LICENCIATURA EN MATEMÁTICAS UNADM | DCEIT | PT1

4.3 Participantes

La población está constituida por 150 alumnos que cursan la educación básica en el nivel medio superior de la institución donde se llevó a cabo la investigación, todos ellos cursaron un ciclo escolar competo, esto es, cumplieron con los 6 semestres de nivel bachillerato y obtuvieron una calificación aprobatoria final del ciclo escolar.

La evaluación final está conformada por tres exámenes parciales a lo largo de cada uno de los semestres, cuyo promedio, de ser aprobatorio, representará el rendimiento escolar por asignatura y del semestre correspondiente para el estudiante, en caso de que no llegara a aprobar alguno de las evaluaciones parciales tiene derecho a presentar un remedial al final del semestre, mismo que se promediará con las 3 calificaciones parciales.

Dado que algunos estudiantes no aprueban las asignaturas con el proceso remedial tendrán 2 oportunidades de exámenes extraordinarios, en caso de que no después de estos su rendimiento no sea aprobatorio, se deberá de recursar la materia pertinente, sólo en caso de que no apruebe en el recursamiento, el estudiante será dado de baja definitiva del plantel.

4.4 Procedimiento de recolección de datos

Para la investigación se tomaron en cuenta cinco generaciones (2015-2018, 2016-2019, 2017-2020, 2018-2021 y 2019-2022) estos datos fueron suministrados por la secretaria académica de la institución objeto de estudio de manera confidencial es formatos PDF y copias de registros de calificaciones.

La recopilación de datos se llevó a cabo dentro de los meses de septiembre del 2022 a enero de 2023.

OCTAVO SEMESTRE | LICENCIATURA EN MATEMÁTICAS UNADM | DCEIT | PT1
G1 X1 01

4.5 Criterios de exclusión

Los criterios de exclusión se realizarán cuando:

• El estudiante no haya terminado los 6 semestres continuos representativos del nivel media superior.

• El estudiante no se haya dado de baja antes de cursar los 6 semestres representativos del nivel media superior.

• El estudiante no haya realizado un cambio de institución en alguno de los 6 semestres representativos del nivel media superior.

• El estudiante suspenda sus estudios parcial o total por enfermedad o gravidez.

• El estudiante presente deficiencias cognitivas para el aprendizaje.

• Otras que se presenten en el proceso de investigación.

4.6 Procesamientos de datos

Para la investigación se capturo en la aplicación de hoja de datos Excel cada una de las calificaciones de las asignaturas del alumno por semestre cursado, incluyendo las evaluaciones correspondientes a los exámenes extraordinarios, resumiendo así en un archivo todo su historial académico.

Se realizo una separación especial para cada uno de los específicos que imparte la institución, esto es, danza, teatro, artes plásticas, música y literatura, estas para generar una distinción de aprovechamiento entre las asignaturas académicas y artísticas, así como el aprovechamiento general de cada uno de ellos.

Una vez recopilados los datos de cada una de las cinco generaciones se gestionó un archivo que compilaba la información de cada una de estas para llevar a cabo el acumulado total de calificaciones que representan el rendimiento escolar de las generaciones.

OCTAVO SEMESTRE | LICENCIATURA EN MATEMÁTICAS UNADM | DCEIT | PT1

Se generó por separado el tratamiento de datos para la generación del modelo matemático estocástico para cada una de las caminatas, sus grafos representativos y sus matrices de transición, los cuales fueron procesados por medio de la aplicación de POM QM para Windows, donde se obtuvo cada uno de los vectores de probabilidad estacionarios.

4.7 Planteamiento del modelo estocástico

Para el planteamiento del modelo estocástico se utilizó la compilación de la información obtenida de la institución, dado que se calculó el promedio por semestre y por generación, se puede entonces definir la variable aleatoria que representará al promedio obtenido por la generación, en este caso �� , a partir de aquí se realizó la caminata y el grafo correspondiente para la generación de la matriz de transición.

Dado que el proceso nos llevará a un pronóstico a través del tiempo, este nos indicará el comportamiento del rendimiento escolar de los alumnos y por medio de las propiedades de los procesos Markovianos, establecer un pronóstico futuro que contenga las propiedades especificas del estudio y nos permita entender el fenómeno estudiado.

4.8 Confiabilidad del modelo

El modelo matemático obtenido a partir de las calificaciones de los estudiantes de cada una de las cinco generaciones nos permitirá validar la confiabilidad general del modelo de investigación analizado, lo que aportará la veracidad del fenómeno observado.

4.9 Variables de estudio

Dentro de las variables de estudio utilizadas en esta investigación tenemos que para cada una de las caminatas generadas podemos observar que:

OCTAVO SEMESTRE | LICENCIATURA EN MATEMÁTICAS UNADM | DCEIT | PT1

Dado que cada una de las caminatas realizadas contenían diferentes datos, esto es, datos de toda una generación por medio de semestres o datos de las cinco generaciones, estas variables cambiaron dependiendo de cada uno de los estudios realizados, pero todos ellos representan un proceso estocástico con espacios de estados discretos.

OCTAVO SEMESTRE | LICENCIATURA EN MATEMÁTICAS UNADM | DCEIT | PT1 ����:�������������������������������������������������������������������������������������������������������������������� ���������������������������������������������������������������������������������������� ���������������������������������������������������������������� ��:������������������������������,���������������������������������������������������������������������������������������� ����������������������������������������������������������������������������������������������������������ó�� ��:�������������������������������������������������������������������������������������������������������������������������� ��������������������������������������������������

CAPITULO 5 Desarrollo

En este capitulo describiremos el desarrollo que se llevo a cabo para el procesamiento y limpieza de datos, en análisis para la formación de las hojas de calculo y sus procesos matemáticos para la obtención de la información con la cual se implementaron los modelos matemáticos.

Una vez que se obtenida la información se establecieron los modelos matemáticos estocásticos por medio del uso de las cadenas de Markov, que se utilizaron para llevar a cabo los pronósticos del fenómeno que se investigó y las variantes que durante este proceso se observaron importantes para la observación a fondo de este.

5.1 Generación 2015-2018

Esta generación consto de 50 estudiantes, fue necesario eliminar a uno ya que se dio de baja, por lo tanto, consta de 49 alumnos, los cuales se distribuyeron de la siguiente forma:

TABLA 7: DISTRIBUCIÓN DE ESPECÍFICOS DE LA GENERACIÓN 2015-2018, CREACIÓN PROPIA

Los promedios obtenidos por semestre de la generación después de extraordinarios son:

OCTAVO SEMESTRE | LICENCIATURA EN MATEMÁTICAS UNADM | DCEIT | PT1
Especifico # de estudiantes Danza 7 Teatro 18 Artes Plásticas 6 Música 11 Literatura 7 Excluidos 1 Total 49
Semestre Rendimiento Primero 8.6 Segundo 8.6 Tercero 9.0 Cuarto 8.8

TABLA 8: RENDIMIENTO ESCOLAR POR SEMESTRE, GENERACIÓN 2015-2018, CREACIÓN PROPIA

Establecemos la variable como:

����:������������������������2015−2018

��={8.6,8.8,8.9,9.0,9.2}

Estos datos nos representan un proceso estocástico con espacios discretos. La caminata que representan las generaciones es:

ILUSTRACIÓN 12: CAMINATA DE GENERACIÓN 2015-2018, CREACIÓN PROPIA

ILUSTRACIÓN 13: GRAFO DE GENERACIÓN 2015-2018, CREACIÓN PROPIA

OCTAVO SEMESTRE | LICENCIATURA EN MATEMÁTICAS UNADM | DCEIT | PT1 Quinto 9.2 Sexto 8.9 Promedio de la generación 8.8
��=������������������
��������������,������������,������������,����������}
��={��������������,��������������

Con la tabla procedemos a la construcción de la matriz de transición, que está dada por:

Dado que tenemos un vector de distribución inicial y una matriz de transición de un sistema de Márkov, entonces la vector de distribución que representa el paso 1 es el producto ����, donde la suma de las probabilidades es 1

OCTAVO SEMESTRE | LICENCIATURA EN MATEMÁTICAS UNADM | DCEIT | PT1
��= [ 0.50 00.50 00 0 0 1 0.2 0 0 0.2 1 0 0.2 0 1 0.2 0 0 0.2 0 0 ]
��=[0.2,0.2,0.2,0.2,0.2] Distribución después del 1 paso: ���� ���� =[0.2,0.2,0.2,0.2,0.2]∗ [ 0.50 00.50 00 0 0 1 0.2 0 0 0.2 1 0 0.2 0 1 0.2 0 0 0.2 0 0 ] ���� = [0.14,0.24,0.24,0.14,0.24] Distribución después del 2 paso: (����) ∙�� = ����2 ����2 =[0.14,0.24,0.24,0.14,0.24]∗ [ 0.50 00.50 00 0 0 1 0.2 0 0 0.2 1 0 0.2 0 1 0.2 0 0 0.2 0 0 ] 2 ����2 = [0.118,0.188,0.288,0.118,0.288] 8.6 8.8 8.9 9.0 9.2 8.6 0.5 0 0 0.5 0 8.8 0 0 0 0 1 8.9 0.2 0.2 0.2 0.2 0.2 9.0 0 1 0 0 0 9.2 0 0 1 0 0
TABLA 9: PASOS DE LA CAMINATA DE GENERACIÓN 2015-2018, CREACIÓN PROPIA

Y así sucesivamente llegamos a Distribución después del

Después de ser procesado en POM QM obtenemos que con n=15 obtenemos el vector estacionario: ILUSTRACIÓN 14: PROCESO DE OBTENCIÓN DE VECTOR ESTACIONARIO EN POM QM DE LA

5.2 Generación 2016-2017

OCTAVO SEMESTRE | LICENCIATURA EN MATEMÁTICAS UNADM | DCEIT | PT1
(������−1) ∙�� = ������ ������ =[0.2,0.2,0.2,0.2,0.2]∗ [ 0.50 00.50 00 0 0 1 0.2 0 0 0.2 1 0 0.2 0 1 0.2 0 0 0.2 0 0 ] �� ������ =
n paso:
[0.1250,0.1875,0.3125,0.1250,0.2500]
2015-2018 ��∞ =[0.1250,0.1875,0.3125,0.1250,0.2500]
la matriz a largo plazo del rendimiento académico de la generación 2015-2016 es ��∞ = [ 0.12500.1875 0.3125 0.1250 0.2500 0.12500.1875 0.3125 0.1250 0.2500 0.1250 0.1250 0.1250 0.1875 0.1875 0.1875 0.3125 0.3125 0.3125 0.1250 0.1250 0.1250 0.2500 0.2500 0.2500]
GENERACIÓN
Donde

Esta generación consto de 50 estudiantes, fue necesario eliminar a 7 ya que se dio de baja, por lo tanto, consta de 43 alumnos, los cuales se distribuyeron de la siguiente forma:

OCTAVO SEMESTRE | LICENCIATURA EN MATEMÁTICAS UNADM | DCEIT | PT1
18
13 Artes Plásticas 3 Música 5 Literatura 4 Excluidos 7 Total 43
Especifico # de estudiantes Danza
Teatro
OCTAVO SEMESTRE | LICENCIATURA EN MATEMÁTICAS UNADM | DCEIT | PT1

CAPITULO 6 Conclusiones

OCTAVO SEMESTRE | LICENCIATURA EN MATEMÁTICAS UNADM | DCEIT | PT1

Referencias

Álvarez Núñez, M. F., & Parra Muñoz, J. A. (2013). Teoría de Grafos. Obtenido de Universidad del Bio Bio, Chile: http://repobib.ubiobio.cl/jspui/bitstream/123456789/1953/3/Alvarez_Nunez_Marcelino. pdf

Anónimo. (s.f.). Cadenas de Markov finitas. Fenómenos de espera. Obtenido de http://www.estadistica.net/INVESTIGACION/CADENAS-MARKOV.pdf

Camarena Ibarrola, J. A. (s.f.). Cadenas de Markov. Obtenido de http://dep.fie.umich.mx/~camarena/Cadenas%20de%20Markov.pdf ciencias.medellin.unal.edu.co. (s.f.). 3. Aplicación: Grafos y dígrafos. Obtenido de Universidad Nacional de Colombia: https://ciencias.medellin.unal.edu.co/cursos/algebralineal/clases/8-clases/40-clase-2-

parte3.html#:~:text=Un%20grafo%20consiste%20de%20un,est%C3%A1n%20conectados% 20por%20una%20arista.

Claverol, M., Simó, E., & Zaragozá, M. (s.f.). Teoría de grafos. Obtenido de Departamento de Matemática aplicada IV EPSEVG - UPC: https://docplayer.es/50364694-Matematicadiscreta-teoria-de-grafos-ester-simo-marisa-zaragoza-departamento-matematicaaplicada-iv-epsevg-upc.html

Constitución Política de los Estados Unidos Mexicanos. (s.f.). Obtenido de Justia México: https://mexico.justia.com/federales/constitucion-politica-de-los-estados-unidosmexicanos/titulo-primero/capitulo-i/#articulo-3o

Cuaya Simbro, G. (s.f.). Procesos de Decisión de Markov aplicados a la locomoción de robots hexápodos. Obtenido de https://inaoe.repositorioinstitucional.mx/jspui/bitstream/1009/588/1/CuayaSG.pdf

INBAL. (s.f.). Obtenido de https://inba.gob.mx/

Jimenez, M. (2000). Infancia y Sociedad. Competencia social: intervención preventiva en la escuela. Morales Sánchez, L. A., Morales Sánchez, V., & Holguín Quiñones, S. (ISSN 2007-1957). Rendimiento Escolar. Humanidades, Tecnología y Ciencia del Instituto Politécnico Nacional

Navarro, R. E. (2003). El rendimiento académico: concepto, investigación y desarrollo. REICE: Revista Iberoamericana sobre Calidad, Eficacia y Cambio en Educación, 1(2), 0. Obtenido de https://www.redalyc.org/pdf/551/55110208.pdf

Pérez Lázaro, J. (s.f.). Cadenas de Markov (en tiempos discretos con estados discretos). Obtenido de Universidad de Rioja: https://www.unirioja.es/cu/franpere/ModyOptfiles/Tema6.pdf

OCTAVO SEMESTRE | LICENCIATURA EN MATEMÁTICAS UNADM | DCEIT | PT1

Planea. (s.f.). Planea. Obtenido de http://planea.sep.gob.mx/ms/

Taha, H. A. (2012). Investigación de Operaciones (Novena Edición ed.). México: PEARSON EDUCACIÓN,.

Winston, W. (2008). Investigacion de operaciones, aplicaciones y algoritmos 4a. ediccion . Mexico

D.f: Cengage Learning.

UNADM | DCEIT | PT1
OCTAVO SEMESTRE | LICENCIATURA EN MATEMÁTICAS
OCTAVO SEMESTRE | LICENCIATURA EN MATEMÁTICAS UNADM | DCEIT | PT1 Anexos Anexo 1. Lista de Ilustraciones Ilustración 1: Ejemplo de Cadena de Markov, creación propia 29 Ilustración 2 Ejemplo: El estado 3 es absorbente. Creación propia. Tomado de imágenes Wikipedia ........................................................................................................................................................... 35 Ilustración 3 Ejemplo: El estado 2 es transitorio. Creación propia. Tomado de imágenes Wikipedia ........................................................................................................................................................... 35 Ilustración 4 Ejemplo: Los estados 1, 2 y 3 son recurrentes. Creación propia. Tomado de imágenes Wikipedia 36 Ilustración 5 Ejemplo: Cadena de período 3. Creación propia. Tomado de imágenes Wikipedia.... 36 Ilustración 6: Ejemplo de Grafo, Tomado de: (Álvarez Núñez & Parra Muñoz, 2013)..................... 38 Ilustración 7: Grafo no Dirigido, tomado de: (ÁLVAREZ NÚÑEZ & PARRA MUÑOZ, 2013) 38 Ilustración 8: Grafo dirigido, tomado de: (ÁLVAREZ NÚÑEZ & PARRA MUÑOZ, 2013) 39 Ilustración 9: Ejemplo de camino, Tomado de: (ÁLVAREZ NÚÑEZ & PARRA MUÑOZ, 2013)........... 39 Ilustración 10: Vértices adyacentes, Tomado de: (ciencias.medellin.unal.edu.co, s.f.) 40 Ilustración 11: Grafo ejemplo matriz de adyacencia, Tomado de: (ciencias.medellin.unal.edu.co, s.f.)..................................................................................................................................................... 40 Ilustración 12: Caminata de generación 2015-2018, creación propia .............................................. 48 Ilustración 13: Grafo de generación 2015-2018, creación propia 48 Ilustración 14: Proceso de obtención de vector estacionario en POM QM de la generación 2015-2018 ......................................................................................................................................... 50 Anexo 2. Lista de tablas Tabla 1: PLANEA 2015: Lenguaje y Comunicación, creación propia 20 Tabla 2: PLANEA 2015: Matemáticas, creación propia..................................................................... 21 Tabla 3: PLANEA 2016: Lenguaje y Comunicación, creación propia ................................................. 22 Tabla 4: PLANEA 2016: Matemáticas, creación propia 23 Tabla 5: PLANEA 2017: Lenguaje y Comunicación, creación propia 24 Tabla 6: PLANEA 2017: Matemáticas, creación propia..................................................................... 25 Tabla 7: Distribución de específicos de la generación 2015-2018, creación propia 47 Tabla 8: Rendimiento escolar por semestre, generación 2015-2018, creación propia 48 Tabla 9: Pasos de la caminata de generación 2015-2018, creación propia...................................... 49 Anexo 3. Lista de Gráficas Grafica 1: PLANEA 2015: Lenguaje y Comunicación, creación propia .............................................. 21 Grafica 2: PLANEA 2015 Matemáticas, creación propia 22
OCTAVO SEMESTRE | LICENCIATURA EN MATEMÁTICAS UNADM | DCEIT | PT1 Grafica 3: PLANEA 2016: Lenguaje y Comunicación, creación propia .............................................. 23 Grafica 4: PLANEA 2016: Matemáticas, creación propia 24 Grafica 5: PLANEA 2017: Lenguaje y Comunicación, creación propia .............................................. 25 Grafica 6: PLANEA 2017: Matemáticas, creación propia ................................................................. 26 Grafica 7: PLANEA Lenguaje y Comunicación, creación propia 26 Grafica 8: PLANEA Matemáticas, creación propia 27

Turn static files into dynamic content formats.

Create a flipbook
Issuu converts static files into: digital portfolios, online yearbooks, online catalogs, digital photo albums and more. Sign up and create your flipbook.