



IlConsiglio dei Ministri del 16 marzo 2023 ha approvato, “salvo intese”, la bozza del decreto che rilancia la realizzazione del Ponte sullo Stretto di Messina, intitolato “Disposizioni urgenti per la realizzazione del collegamento stabile tra la Sicilia e il Continente”, fissando entro il 31 luglio 2024 l’approvazione del progetto esecutivo.
L’opera, che riparte dalla proposta del 2011, sarà una struttura a campata unica di 3.2 chilometri, divenendo il ponte sospeso strallato più lungo al mondo. Il progetto definitivo andrà aggiornato con le specifiche tecniche delle nuove normative soprattutto in materia ambientale e di sicurezza.
Di questa infrastruttura dalla storia lunga e complessa se n’è parlato a fine febbraio durante il seminario «Il Ponte sullo Stretto di Messina – Una grande sfida tecnica e tecnologica», organizzato dall’Ordine degli Ingegneri della provincia di Roma in collaborazione con l’Ordine degli Architetti PPC di Roma.
Il Decreto del Governo ha recuperato la Società Stretto di Messina dalla liquidazione, cosa auspicata durante l’evento ordinistico. E l’ha resa una società in house partecipata da Anas (51%), Regione Calabria e Regione Sicilia. Oltre che dal ministero dell’Economia e da quello delle Infrastrutture. La concessione avrebbe durata
trentennale. Gli accordi del contratto «caducato» saranno riattivati con la firma di atti aggiuntivi. Tutto ciò comporterà la rinuncia ad ogni controversia sulla cancellazione degli accordi del decreto 179/2012. Quali sono i plus immediati di quest’opera? Dare occupazione a 118.000 persone e attivare l’economia locale, collegando Sicilia e Calabria; attirare verso l’Italia il commercio mondiale che gravita nel Mediterraneo; far diventare il Sud Italia polo logistico dell’Unione Europea; far crescere il know how delle aziende italiane coinvolte e attivare tutta la filiera locale. Il Ponte sullo stretto, inoltre, da solo vale 2.9 miliardi di euro, valore che sale a 7.1 miliardi a costi aggiornati considerando il progetto complessivo con tutte le opere connesse nelle aree interessate, con la metro di Messina, la sistemazione idrogeologica per le montagne circostanti, le strade di accesso, le strutture per far passare treno e macchine.
L’impegno dell’Ordine sarà quello di continuare a dare informazioni su tutto l’iter che porterà alla realizzazione dell’infrastruttura, fornendo spunti di riflessione utili per la nostra categoria a che si compia un’opera realmente senza paragoni nel nostro Paese in termini di altissimo ingegno e tecnologia.
Care Colleghe e Colleghi, questa quarta uscita della Rivista ripercorre e analizza, sotto diversi aspetti, il concetto di Spazio-Tempo. Spazio-tempo da cui proveniamo e in cui costantemente ci evolviamo, spazio-tempo in cui viviamo, spazio-tempo in cui ci proiettiamo.
Il concetto di Spazio-tempo ha attratto sin da sempre scienziati, filosofi, artisti, scrittori…
Kant, a partire dalla Critica della Ragion Pura, fonda sul concetto di Spazio-tempo tutto il suo pensiero, definendo spazio e tempo come forme di sensibilità preesistenti nella nostra mente, che ci permettono di adattare la percezione della realtà esterna. Se il tempo ha una priorità su tutto, è alla base della comprensione di qualsiasi fenomeno, è la forma del nostro senso interno, lo spazio dà la forma ai fenomeni, è la forma del senso esterno.
Nell’arte, il cubismo introduce la quarta dimensione spazio-tempo, nella scienza il concetto spazio-tempo nasce con la teoria della relatività e, da quel momento, non vi sarà più una definizione di tempo univoco.
E noi Ingegneri, in tutto questo “spazio-tempo”, dove ci collochiamo? Per un Ingegnere nessun progetto potrebbe realizzarsi
se non contestualizzato nello spazio disponibile e nel tempo attuale, nel rispetto delle Normative vigenti, seppur proiettato in una visione futura.
Come diceva un grande Collega, Luciano De Crescenzo, il tempo è una grandezza bidimensionale, nel senso che può essere vissuto in lunghezza e in larghezza, tuttavia al di là dimensione vissuta, ciò che conta è prenderci cura dello spazio in cui siamo nel tempo in cui viviamo, e da Ingegneri abbiamo una grande responsabilità in tal senso.
Nell’ottica di un approccio più agile e mirato alla condivisione, anche IO Roma si è dotata di una pagina Linkedin “IO Roma Rivista dell’Ordine Ingegneri della provincia di Roma”, pertanto vi invito a seguire la nostra pagina e a frequentare il portale della rivista dell’Ordine https://ioroma.info/ per rimanere sempre aggiornati sulle nostre pubblicazioni.
Non mi resta che augurarvi di trascorrere un tempo piacevole in uno spazio stimolante.
Buona Lettura Direttrice EditorialeN. 4/2022 Trimestrale N. 34 Anno IX
Direttrice Responsabile
Marialisa Nigro
Direttrice Editoriale
Maria Elena D’Effremo
Comitato di Redazione
Sezione A
Massimo Cerri
Silvia Torrani
Micaela Nozzi
Stefania Arangio
Fabrizio Averardi Ripari
Michele Colletta
Alessandro Fuschiotto
Marco Ghimenti
Giorgio Martino
Giovanni Nicolai
Paolo Reale
Mauro Villarini
Sezione B
Alfredo Simonetti
Amministrazione e redazione
Piazza della Repubblica, 59 - 00185 Roma
Tel. 06 4879311 - Fax 06 487931223
Direttore Artistico e Project Manager
Tiziana Primavera
Assistenza Editoriale
Leonardo Lavalle
Flavio Cordari
Antonio Di Sabatino
Referente FOIR
Francesco Marinuzzi
Stampa
PressUp
Iscritto al Registro della Stampa del Tribunale di Roma
Il 22/11/2013, n. 262/2013
Ordine degli Ingegneri della Provincia di Roma
Piazza della Repubblica, 59 - 00185 Roma www.ording.roma.it segreteria@ording.roma.it editoriale@ording.roma.it
Finito di stampare: Marzo 2023
La redazione rende noto che i contenuti, i pareri e le opinioni espresse negli articoli pubblicati rappresentano l’esclusivo pensiero degli autori, senza per questo aderire ad esse.
La Direzione declina qualsiasi responsabilità derivante dalle affermazioni o dai contenuti forniti dagli autori, presenti nei suddetti articoli.
Analisi dei fenomeni sismici sulla Terra (e sui Pianeti) attraverso una teoria corpuscolare della gravitazione
Ing. Paolo Allievi
Architettura e Danza si muovono in città: Verso un approccio interdisciplinare
Ing. Lucrezia Losciale, Ing. Gregorio Martino
Lo Spazio e l’Advanced Manufacturing
Ing. E. Basile, Ing. L. Pollice, Z. Zhu
Lo spazio, una nuova economia: Una rete di Piccole Medie Imprese come strategia di sviluppo in un settore che si è avvicinato “anni luce” alla nostra vita quotidiana
Ing. Antonella Arista
a cura di Ing. Paolo Allievi
Commissione:
Premessa
L’attuale stato delle conoscenze scientifiche al riguardo della formazione e della reciproca posizione dei continenti della terra si basa sulla teoria della tettonica a zolle
Tale teoria ipotizza un galleggiamento dei blocchi continentali sul mantello e più precisamente su una zona plastica, ad una profondità di circa
Webinar del 12/05/2021
“Tecniche sperimentali della Ricerca Nucleare per la previsione di eventi sismiciQuali precursori per la loro previsione?”
150 km sotto la superficie terrestre, costituita da materiale che si trova ad una temperatura vicina a quella di fusione.
Si ritiene inoltre che tutti i continenti si trovassero in origine uniti in un solo blocco detto Pangea, interrotto internamente e variamente da mari poco profondi e completamente circondato dall’oceano.
A seguito delle spinte orizzontali dovute al moto convettivo del magma risalente dall’interno della terra (vedi Figura 1), tale blocco si sarebbe suddiviso in parti (Australia, Antartide, America del Nord e del Sud, Asia e Africa) ciascuna delle quali avrebbe iniziato ad allontanarsi dalle altre in un periodo di alcune centinaia di milioni di anni.
Ciò è in armonia con la teoria di H. Hess di espansione dei fondi oceanici secondo la quale la crosta dei fondi oceanici si allontana continuamente e trasversalmente da una frattura al centro di una dorsale, il cui andamento può essere rilevato in tutti i bacini oceanici, e il magma basaltico risalente dal mantello riempirebbe la frattura, formando nuova crosta.
Pertanto, dove i limiti delle zolle si allontanano viene permesso al magma di risalire e formare nuova crosta; dove i limiti delle zolle si avvicinano scontrandosi viene sollevata crosta con formazione di catene montuose.
E’ chiaro che se nelle aree di scontro l’energia elastica accumulata supera la soglia di resistenza dei materiali interessati avviene la frattura con il conseguente rilascio dell’energia potenziale sottoforma di onda vibratoria (terremoto).
1 Altro punto di vista euristico del fenomeno di allontanamento dei Continenti
I grandi eventi del passato geologico necessitano di ipotesi e teorie per fornire spiegazioni logiche, plausibili e coerenti col maggior numero di fatti, senza contrastare i dati oggettivi rilevati o i principi sui quali si basa la conoscenza scientifica. Quanto enunciato quindi ci sprona a non rigettare tout court tutte quelle ipotesi che non sono allineate al paradigma di moda ma ad analizzare, almeno sotto l’aspetto euristico, eventuali altre teorie che potrebbero fornire spiegazioni ragionevoli dei fenomeni geologici.
Una di queste, il cui modello euristico è di seguito illustrato, conduce al risultato che la Terra, come d’altronde tutti i Pianeti, aumenta di volume nel tempo e pertanto l’allontanamento dei continenti potrebbe essere dovuto al continuo processo di espansione della Terra, come un pallone che si gonfia.
Di tale aumento di volume daremo nel paragrafo 5 alcuni indizi.
Dal libro “la luce rallenta: teoria corpuscolare della gravitazione” di Paolo AllieviFigura 1 - Sezione della crosta di un fondo oceanico
2 Ipotesi di base di un modello euristico della gravitazione
La teoria corpuscolare della gravitazione in questione ipotizza euristicamente che ogni massa dell’Universo emette naturalmente e continuamente, con una costante di tempo (τ = 2•109 anni), energia gravitazionale (distinta dall’energia delle onde gravitazionali che è emessa, sottoforma di Gravitoni, solo da grandi masse fortemente accelerate) sotto forma di corpuscoli di energia , detti gravitini, che viaggiano alla velocità della luce c.
Tali gravitini, coerentemente al III principio della dinamica di azione-reazione, esercitano globalmente una reazione R sulla massa emittente che è nulla se la massa è isolata.
Da questo lento processo di degradazione/sfaldamento dei nuclei ed elettroni degli atomi della materia (coerentemente con la degradazione della materia nella formulazione della “quarta legge della termodinamica” di Georgescu-Roegen) consegue la formazione di un etere di energia degradata che pervade l’intero Universo.
Tale sfaldamento dei costituenti degli atomi (nuclei ed elettroni) di tutti i corpi dell’Universo in energia gravitazionale E , per la nota identità einsteiniana
2 / cEM = , comporta inoltre che il corpo emittente (cioè i nuclei e gli elettroni degli atomi costituenti il corpo) perda massa nel tempo e rimanga con un valore di massa M(t) soggetta
alla seguente legge:
essendo:
• c = 299.792,458 km/s la velocità della luce nel vuoto, misurata nel 1983;
• R = 10-14 m il raggio di un nucleone;
• m = 1,67 10-27 kg la massa di un nucleone;
• G = 6,67 10-11 Nm²/kg² la costante gravitazionale. Per esempio, la Terra perde 3.000 miliardi di tonnellate di materia ogni anno sotto forma di energia gravitazionale.
La forza di attrazione tra 2 masse (vedi Figura 2) è dovuta fondamentalmente allo squilibrio della reazione globale R, che si esercita su ciascuna massa, a causa dell’inibizione, ad emettere gravitini, delle superfici che “si vedono” delle due masse m1 e m2 Pertanto, non c’è “qualcosa” che attira le masse ma la forza di attrazione R, che agisce su ciascuna massa, è dovuta solo allo squilibrio dei rinculi dei gravitini emessi da ciascuna massa stessa.
La prima e più importante conseguenza dell’ipotesi assunta, cioè che ogni corpo perda massa nel tempo, è che la velocità della luce diminuisce nel
tempo (circa 3 m/s ogni 20 anni) fino a tendere a zero nel lontanissimo futuro. La sua legge di variazione è la seguente: (3)
Infatti dalla relazione (2), dovendo essere il tempo τ proporzionale a R/c per definizione, sarà costante il rapporto Gm Rc 2 ma essendo G costante, diminuendo nel tempo m per ipotesi (vedi la (1)) ed au-
mentando nel tempo R come τ t eR 0 allora sarà: (4)
Nel paragrafo 6 è riportato, per l’autoconsistenza e completezza, il calcolo per giungere alle relazioni (1) e (2), vedi in tale paragrafo rispettivamente le relazioni (28) e (24), anche se già tutto calcolato e riportato nel Capitolo 3 “GRAVITAZIONE” del libro di Allievi Paolo “La luce rallenta: teoria corpuscolare della gravitazione, Editore CompoMat, 2011”.
3.1 Aspetti fisici
Con riferimento al sistema solare, la prima conseguenza di tale perdita di massa è che, diminuendo la forza gravitazionale (proporzionale alla massa) di compattazione dei Pianeti e di attrazione tra questi ed il Sole, avviene quanto segue:
• tutti i Pianeti si espandono (aumentano di volume) e si allontanano sempre più dal Sole (dato oggettivo presente in altre teorie e sperimentazioni);
• ciò comporta che la gravità sui Pianeti e la radiazione elettromagnetica, emessa dal Sole, che colpisce i Pianeti diminuiscono nel tempo;
• i Periodi di rivoluzione e di rotazione dei Pianeti aumentano nel tempo (per es. il Periodo di rivoluzione (anno) e di rotazione (giorno) della Terra aumentano rispettivamente di circa 8 s e 0,003 s in 100 anni (dato misurato)).
3.2 Aspetti geologici
RAGGIO DELLA TERRA:
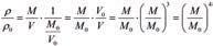
Il raggio della Terra (ad oggi uguale a 6.378 km) aumenta di circa 0,3 cm/anno.
Per giungere a tale valore è necessario sviluppare un calcolo di come varia il volume V di un Pianeta al variare della sua massa M.
In questo capitolo quindi, al paragrafo 7, viene riportato, per completezza, tale calcolo anche se esso è stato già svolto al paragrafo 3.6 del Capitolo 3 “GRAVITAZIONE ” ed in modo più preciso ed ampio al Capitolo 9 “PIANETA LIMITE ” del libro di Allievi Paolo “La luce rallenta: teoria corpuscolare della gravitazione, Editore CompoMat, 2011”. Pertanto, dalla relazione (43), riportata nel paragrafo 7, abbiamo la seguente legge di variazione del raggio della Terra R al variare della sua massa M:
(5)
Utilizzando la relazione (1) e sostituendola nella (5), conseguiamo la seguente legge di variazione del raggio terrestre al variare del tempo t (vedi Figura 3):
(6)
dove R₀ è il valore del raggio per t = 0
Al tempo generico t, l’aumento del raggio della Terra R∆ in un anno ( annot 1 =∆ ) è quindi (differenziando la (6)):
tempo a partire da 4,5 miliardi di anni fa, i valori del raggio (calcolato con la relazione (6)), della massa e della densità terrestre ed anche i valori della densità e dell’accelerazione di gravità relativi a quelli di oggi.
Ad oggi l’aumento del raggio terrestre in un anno è: (8)
In Tabella 1 vengono riportati i dati in funzione del
TERREMOTI:
L’aumento del raggio terrestre comporta lacerazioni sulla crosta e quindi terremoti.
Le calcolazioni effettuate conducono a correlazioni tra l’espansione della terra ed i cicli di ritorno dei terremoti (valore medio di un ciclo: 7 anni). Vedi seguente paragrafo 4.
Consideriamo la faglia come in Figura 4, dove è evidenziata la zona di frattura della crosta terrestre di larghezza l Supponiamo che essa sia dovuta all’espansione non isotropa della Terra.
Per quanto detto al paragrafo 3, il raggio terrestre R (=6378 km, ad oggi) aumenta nel tempo t∆ di R∆ secondo la relazione (7) e cioè: (9)
dove è:
Perannot 1 =∆ abbiamo che l’aumento del raggio terrestre è:
dove ed sono rispettivamente il modulo di elasticità tangenziale ed il modulo di elasticità longitudinale di Young della crosta terrestre e l’angolo γ è uguale a ΔR/l. Tenuto conto della relazione (9), la (11) diviene: (12)
La tensione tangenziale * τ assume valori da 0
a dall’inizio del fenomeno di espansione differenziale fino alla rottura della crosta cioè durante un periodo T che chiamiamo Periodo di ricorrenza dei Terremoti.
Pertanto, ponendo nella (12) T al posto di t∆ e
Lo sforzo di taglio * τ sulla superficie di frattura causato dall’espansione differenziale è:
γτ⋅=** G (11)
max * τ al posto di * τ possiamo ricavare il Periodo medio di ricorrenza dei Terremoti: (13)
avendo posto ml 100 =
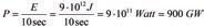
L’ordine di grandezza dell’energia totale rilasciata durante un terremoto può essere calcolata nel seguente modo.
Ipotizziamo una frattura di 30 km x 10 km come in Figura 5 (simile a quella sviluppatasi durante il sisma del 1997 in Umbria/Marche, durato circa 10 secondi).
La forza F di taglio sulla superficie di frattura assume valori da zero, ad inizio espansione differenziale, al seguente valore massimo di rottura:
rivoluzione (anno) e di rotazione (giorno) della Terra aumentano rispettivamente di circa 8 s e 0,003 s in 100 anni (dato misurato)).
Di seguito riportiamo alcuni degli indizi a sostegno del modello euristico della gravitazione:
• Il ritrovamento dei fossili marini sulle cime delle montagne può comportare che le terre, un tempo coperte dalle acque, sono emerse a seguito dell’aumento del volume della terra ed al conseguente abbassamento del livello dei mari dovendosi distribuire su di una superficie maggiore.
L’aumento del raggio terrestre dopo il periodo medio di ricorrenza dei terremoti (7 anni) è, per la (10):
L’energia accumulata e rilasciata dopo la frattura è
• Il calcolo termodinamico effettuato da Lord Kelvin per valutare l’età della terra, in base al tempo ad essa necessario per raffreddarsi e costituire così la crosta terrestre, conduceva ad un valore di circa 40 milioni di anni. Il calcolo si basava sul calore disperso nel tempo dalla superficie della Terra di raggio attuale. Tenuto conto che, come risulta dalla Tabella 1, il raggio terrestre è aumentato dalla formazione ad oggi di circa 10 volte e quindi la superficie di 100 volte, risulta allora che se Lord Kelvin avesse preso il valore della superficie terrestre com’era all’inizio e cioè 100 volte minore di quella attuale avrebbe calcolato un valore del tempo di raffreddamento 100
La Potenza media P rilasciata è:
5 Indizi a sostegno del modello euristico della gravitazione
Con riferimento al sistema solare, la prima conseguenza di tale perdita di massa è che, diminuendo la forza gravitazionale (proporzionale alla massa) di compattazione dei Pianeti e di attrazione tra questi ed il Sole, avviene quanto segue:
• Tutti i Pianeti si espandono (aumentano di volume, per il calcolo vedi paragrafo 7) e si allontanano sempre più dal Sole;
• ciò comporta che la gravità sui Pianeti e la radiazione elettromagnetica, emessa dal Sole, che colpisce i Pianeti diminuiscono nel tempo;
• i Periodi di rivoluzione e di rotazione dei Pianeti aumentano nel tempo (per es. il Periodo di
volte superiore e cioè 4000 milioni di anni.
• Se lo spostamento relativo dei continenti fosse dovuto solo alla spinta tangenziale del magma proveniente dall’interno della Terra con velocità v , a causa della rotazione della Terra con velocità angolare ω e della conse -
guente forza di Coriolis vx FCoriolis ω 2 −= agente sul magma in movimento, si avrebbe che le zolle continentali avrebbero una spinta in prossimità dell’equatore maggiore di quella in prossimità dei poli (vedi Figura 6). Pertanto, risulterebbe che per esempio l’America meridionale e l’Africa sarebbero a grande distanza lungo l’equatore e vicinissimi verso i poli il che non risulta!
• Molti crateri della luna, dovuti all’impatto di meteoriti caduti in tempi lontanissimi, appaiono internamente piatti. Non essendoci, come sulla terra, l’azione erosiva e levigatrice dell’atmosfera (pioggia e vento), se ne deduce che verosimilmente ciò è dovuto al rigonfiamento nel tempo del nostro satellite.
• Il periodo di rotazione della Terra aumenta di circa 0,003 s in 100 anni. Il valore misurato coincide con quello calcolato in base al modello euristico.
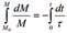
Supponiamo di avere un corpo di massa M ed un nucleone di massa m e raggio R a distanza r (vedi Figura 7).
Per ipotesi il corpo M emette in un intervallo di tempo dt una quantità di massa dM, a cui corrisponde una quantità di energia dM.C², in tutte le direzioni.
L’energia che in detto intervallo di tempo colpirà il nucleone è proporzionale al rapporto tra l’area esposta al flusso πR² del nucleone e la superficie 4πr² della sfera ideale di centro nel baricentro di M e raggio r:
La quantità di moto dp associata a tale energia dE è:
dove c è la velocità della luce.
La forza attrattiva che agisce su m, per la legge della dinamica, sarà il rapporto tra la quantità di
moto dp e l’intervallo di tempo dt :
infine, giungiamo alla seguente relazione per M(t): (28)
dove M₀ è il valore della massa al tempo t = 0.
D’altronde la forza attrattiva gravitazionale che agisce sul nucleone è anche, per la nota equazione di Newton:
7 Variazione del volume V di un Pianeta al variare della sua massa M (mantenendosi costante il numero totale N dei suoi atomi)
Dall’uguaglianza delle relazioni (20) e (21) abbiamo che deve essere (essendo dM negativo dato che il corpo perde massa):
Si premette che al paragrafo 10.6 del Cap.10 “STELLE” del libro di Allievi Paolo “La luce rallenta: teoria corpuscolare della gravitazione, Editore CompoMat, 2011”, si trova la trattazione generale della variazione del volume V di un corpo celeste al variare della sua massa M.
ed anche:
essendo:
Integrando l’equazione differenziale (23) abbiamo:
Nel caso specifico trattato in questo paragrafo si trova una legge di variazione che corrisponde all’equazione (10.62) che qui riportiamo:
ovvero:
ricordando la definizione di logaritmo naturale la (26) assume anche la seguente forma:
ponendo in essa:
• Coefficiente cinetico o di fusione αf = 0
• Coefficiente massivo (per N =cost) β = 0
I Pianeti sono formati da atomi.
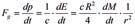
La loro stabilità è dovuta a due azioni uguali e contrastanti: la forza di compattazione gravitazionale , che tende a far collassare il corpo celeste, e la forza resistente di natura coulombiana , che gli atomi si scambiano tra loro e che, essendo repulsiva, si oppone al collasso. Per la stabilità dei Pianeti deve essere dunque: (29)
L’ipotesi di cui al paragrafo 2 comporta che i nuclei degli atomi costituenti il corpo celeste, pur mantenendosi costanti in numero totale, perdano naturalmente e continuamente massa sotto forma di energia gravitazionale che si disperde radialmente al di fuori del corpo verso lo spazio circostante. In tali condizioni la forza di compattazione
gravitazionale , che è proporzionale al quadrato della massa M del corpo celeste ed inversamente al quadrato del suo raggio R cioè:
(30)
dove: è la costante gravitazionale, diminuirà nel tempo a causa della diminuizione di M(t).
Indicata con M∆ la perdita di massa che il corpo subisce nell’intervallo di tempo t∆ , il decremento della forza di compattazione è:
(31)
Facendo il rapporto tra la (31) e la (30), otteniamo il decremento relativo della forza di compattazione:
Come abbiamo già detto, alla forza di compattazione gravitazionale, gli atomi che formano il Pianeta oppongono una forza resistente di natura Coulombiana (elettrica) FC che è esprimibile come il gradiente dell’energia potenziale coulombiana cp U , , cioè:
In conseguenza della suddetta perdita di massa M∆ , diminuendo la forza di compattazione gravitazionale e rimanendo inizialmente inalterata la forza repulsiva coulombiana, gli atomi si allontanano tra di loro finché il decremento FC∆ non uguagli il g F∆ .
Il decremento di forza coulombiana FC∆ è facilmente calcolabile come segue :
Se ora consideriamo il Pianeta costituito di N atomi di peso atomico A e numero atomico Z, l’energia potenziale coulombiana cp U , è proporzionale ad N ed al quadrato della carica del nucleo Ze ed inversamente proporzionale alla distanza interatomica 2 r :
(33)
dove: è la costante dielettrica del vuoto, il valore della carica dell’elettrone e r il raggio atomico.
Poiché N è anche uguale al rapporto tra il volume totale ed il volume atomico, cioè: (34)
possiamo esprimere r in funzione di N e R, cioè:
Facendo il rapporto tra le equazioni (38) e (37), si ha il decremento relativo della forza coulombiana:
Uguagliando e cioè le equazioni (32) e (39), abbiamo:
e quindi:
Integrando l’equazione differenziale (41), otteniamo:
Pertanto, l’equazione (33) diventa:
dove M0 ed R0 sono rispettivamente il valore della massa e del raggio del corpo celeste al tempo t = 0,
e finalmente arriviamo alla legge di variazione del raggio R di un Pianeta al variare della sua massa M: (43)
Come possiamo vedere dalle equazioni (43) e (41), ad una diminuzione della massa M di un corpo celeste, cioè M∆ negativo, abbiamo un aumento del raggio R, cioè R∆ positivo.
Essendo 3 3 4 RV π = ed avendo presente la (43),
allora il Volume V del Pianeta varia con la sua massa M come segue:
essendo V0 il volume al tempo t = 0
La densità del Pianeta risulta essere, avendo presente la (44),:
Bibliogra a
• Allievi Paolo, “La luce rallenta: teoria corpuscolare della gravitazione", Editore CompoMat, 2011.
a cura di: Ing. Lucrezia Losciale Ing. Edile - arch. Ing.
Premessa
Il dialogo tra Architettura ed Arte nella città contemporanea è oggetto di analisi del mondo della ricerca internazionale; si parte da un presupposto, ossia che la valorizzazione dello spazio urbano si possa anche realizzare nel dialogo tra questo ed un linguaggio artistico “fisico” e “non”, generando spettacolo per la collettività.
L’articolo approfondisce, in particolare, il tema della comunicazione artistica “del” e “intorno” alla facciata architettonica come possibile forma di fruizione artistica per lo spettatore nello spazio urbano. Come campo privilegiato di applicazione, viene scelto il binomio Architettura/Danza in relazione alla facciata architettonica, a voler superare la classica contrapposizione tra staticità fisica dell’architettura e dinamismo della danza.
A seguire, l’analisi si dilata all’ecosistema digitale, con un focus conclusivo che indaga sull’espressione artistica “intorno” alla facciata, tra “percezione sensoriale” e “tecnologia innovativa” in un ambiente urbano cognitivamente performante.
Le domande a cui si intende rispondere sono:
• La relazione Architettura/Danza potrebbe
ampliare la comprensione multidisciplinare del progettare, moltiplicare i punti di vista?
• Come la struttura urbana potrebbe operare sul corpo umano che danza e viceversa, nel mondo contemporaneo?
L’obiettivo principale è quello di far emergere il valore della interdisciplinarità e intermedialità attraverso il dialogo circolare Architettura/Danza in ambito urbano, ampliandolo al nuovo “spazio virtuale”.
Lo scopo del presente articolo è prevalentemente descrittivo ed esplorativo, incentrando riflessioni su possibili relazioni tra spazio strutturato/virtuale e movimento coreutico/virtuale nello spazio urbano. La trattazione permette varie scale di lettura; nello specifico, si predilige un approccio analitico in ambito architettonico-coreutico e tecno-antropologico, non approfondendo aspetti economici, logistici o della sicurezza che richiederebbero un’ampia trattazione a parte.
I casi di studio individuati sono in relazione al concetto di movimento “della” facciata nel Technorama Facade (2002) dell’Artista Ned Kahn e di movimento “sulla” facciata nel Man Walking Down the Side of Building (1970) della Coreografa Trisha Brown. La trattazione prosegue nel nuovo scenario artistico digitale, sul movimento “intorno” alla facciata architettonica attraverso i modelli comunicativi più diffusi ( Visual mapping, Digital performance, Interactive Projection mapping).
La peculiarità dell’elaborato consiste nell’individuare le caratteristiche fondamentali del binomio Architettura/Danza nello spazio urbano contemporaneo attraverso il ruolo comunicativo della facciata in “movimento”, aprendosi in seguito al coinvolgimento emozionale dello spettatore nello spazio virtuale contemporaneo.
L’Architettura incontra la Danza. Riflessioni introduttive
Il mondo della formazione accademica internazionale si pone tra i principali obiettivi la ricerca di tematiche che possano sviluppare un interesse interdisciplinare; tale approccio dovrebbe portare i professionisti a voler sviluppare, nel rispetto delle relative competenze, una maggiore sensibilità eclettica in un contesto lavorativo soggetto a continua metamorfosi. Nel guardare la formazione di un Ingegnere come luogo sperimentale di identità in un ambiente condiviso da differenti professionalità, si favorisce la possibilità di pianificare un progetto attraverso la sinergia di figure apparentemente lontane tra loro (Coreografi, Artisti, Informatici, Psicologi…). Su tali premesse, si intende portare una riflessione introduttiva sul tema centrale dell’elaborato, ossia sulle interrelazioni possibili tra Architettura e Danza un ambito urbano.
La relazione Architettura/Danza potrebbe ampliare la comprensione multidisciplinare del progettare, moltiplicare i punti di vista?
Si sceglie di rispondere a questa prima domanda attraverso le citazioni teoriche di due grandi personalità, il Coreografo belga Frédéric Flamand e l’Architetto-Designer Riccardo Blumer, riflessioni alla base dell’articolata percezione dello spazio contemporaneo.
Considerazioni generalmente condivise dalla letteratura internazionale, si ritrovano nelle teorie di Frédéric Flamand (Bruxelles 1946), docente presso la facoltà di Design dell’Università IUAV di Venezia, considerato il pioniere della interdisciplinarità tra due “arti dello spazio”, ossia tra Architettura e Danza. Flamand insiste sull’opportunità di «ibridazione e sfaldamento progressivo di frontiere, etichette e di codici linguistici: cercare
nuove aperture, canoni alternativi per sorprendere con i nuovi spettacoli». Sostiene la necessità che «persone provenienti da diversi ambiti disciplinari, s’incontrino per esplorare nuove forme di espressione, alla ricerca di strutture e risposte diverse»1 Risulta interessante nella professione di un Ingegnere progettista, tentare un dialogo trasversale con quell’architettura che genera spettacoli come continua riflessione del corpo contemporaneo. Guardando allo spazio “scenico” di una architettura, si tende a progettare qualcosa che rappresenti un’apertura mentale nell’arte del progettare, pensando allo spazio come una possibile scenografia in movimento. Come dichiara F. Flamand: «Lavorando nei luoghi extra teatrali viene messo in discussione non solo il contenitore, ma la visione frontale tipica del teatro, ossia visione che privilegia l’occhio di alcuni spettatori».
Nel panorama accademico internazionale, si sperimentano diversi approcci didattici per interpretare la dimensione architettonica spazio/tempo in relazione alla complessa disciplina della Danza. Un contributo significativo nel mondo universitario viene riconosciuto all’Architetto Riccardo Blumer (Bergamo 1959) che, sperimentando la Danza come luogo di esperienza architettonica, afferma: «Danzare e costruire hanno una relazione evidentemente fisica con lo spazio e il tempo. Se il luogo è un interstizio tra corpi, il tempo lo è tra momenti. Riconoscere un luogo è l’esperienza di costruire il tempo. La sequenza e quindi specularmente il luogo, è la grande sfida del progetto, procedura umana dell’una e dell’altra disciplina»2 (Figura 1)
La danza in città, la città nella danza. Tra corpo e spazio fisico
Si propone una lettura introduttiva, per proseguire nei successivi paragrafi alla disamina dei casi
di studio ed aprirsi al nuovo scenario digitale, rispondendo alla seconda domanda: Come la struttura urbana potrebbe operare sul corpo umano che danza e viceversa, nel mondo contemporaneo?
Condivisa da gran parte della ricerca è la “coreografia site specific”, ossia una modalità unica di produzione dello spazio che incentra l’attenzione sul movimento corporeo in uno specifico luogo urbano. In questa ottica, ripensare la Danza nello scenario urbano (Danza Urbana), presuppone uno sguardo attento su fenomeni sociali, antropologici e climatici. Il risultato di queste interdipendenze mette in luce la complessità del danzare in uno spazio urbano e la funzione della Danza come “reimmaginazione” di una facciata architettonica e dello spazio antistante.
Per comprendere la diretta influenza su come percepiamo il nostro corpo nella città, si propone come rappresentativo l’approccio del già citato Coreografo F. Flamand. Le fasi principali della sua ricerca teorica sono incentrate su: Corpo, Corpo immagine, Corpo urbano. Le tematiche ruotano intorno al rapporto uomo-tecnologia,
artigianale-industriale, mondo del lavoro-industria, corpo-città; trovano espressione nelle installazioni teatrali create per la danza, attraverso la progettazione di elementi rappresentativi della città: pareti, impalcature, cilindri, ponti o rampe dialogano nello spazio teatrale.
Si ricordano alcune realizzazioni teatrali di F. Flamand con gli Architetti Jean Nouvel e Zaha Hadid:
• Body Work e Body Work/Leisure (J.Nouvel, F.Flamand), una micro architettura dove far svolgere il movimento coreografico a più livelli, creando configurazioni sempre differenti rispetto al punto di vista degli spettatori. Si rappresenta il dinamismo del mondo lavorativo metropolitano; danzatori scendono e salgono liberamente, affrontano i vincoli che la struttura verticale vuole imporre.
• Metapolis II (Z.Hadid, F.Flamand) (Figura 2), dispositivi scenici e strutture flessibili sembrano estendere la Danza in “quattro dimensioni”, guardando alla visione problematica della città contemporanea, tra forze in gioco e continui movimenti che la attraversano.3
La facciata in movimento: casi di studio.
Da Ned Kahn a Trisha Brown
Storicamente, sembrano esserci due direzioni teoriche principali che tendono a definire lo spazio dell’abitare umano; la prima, avendo come funzione fondatrice “il muro”, rimanda ad un limite oggettivo, la seconda direzione, ossia il “tetto”,
rinvia ad una valenza protettiva. Nello spazio urbano contemporaneo, l’evoluzione tecnologica riflette nuove filosofie dell’abitare, facendo emergere un’architettura che sembra voler sfuggire a rigorose definizioni spaziali.
I casi di studio selezionati, aprono ad una riflessione sulle potenzialità comunicative del “dinamismo” di facciata nello spazio urbano, anticipando una visione contemporanea del movimento “intorno” alla facciata nel nuovo spazio virtuale, strategica per approfondire le nuove forme di comunicazione artistica del binomio Architettura/Danza nella città contemporanea.
A voler superare la classica contrapposizione tra staticità fisica dell’architettura e dinamismo della danza, l’elaborato individua come rappresentativo il confronto tra due casi di studio; il primo analizza il movimento “della” facciata nel Technorama Facade (Winterthur 2002) dell’Artista-Designer Ned Kahn, il secondo il movimento “sulla” facciata nel Man Walking Down the Side of Buiding (New York 1970) della Coreografa-Visual Artist Trisha Brown.
2002 (Figure 3 e 4) in collaborazione con gli Architetti During e Rami, ossia una facciata cinetica che segue il movimento del vento, plasmandosi in composizioni differenti e riflettendo la luce naturale. La facciata è composta da 50.000 piccoli pannelli in alluminio fissati ad una maglia metallica, che si muovono a seconda delle diverse correnti d’aria. La peculiarità di tale opera è quella di essere riuscita a restituire l’eleganza tra leggerezza e movimento, generando sorpresa anche nello spettatore. In generale, Kahn divide i suoi lavori a seconda del modello e principio studiato: Vento, Nebbia, Fuoco/Luce e Sabbia. Nella sua architettura cinetica, le facciate in movimento creano una scenografia urbana che esalta la percezione dei fenomeni atmosferici, con l’intento sperimentale di rivelare “visibili” fenomeni invisibili.
• Trisha Brown, partendo dall’emblematica performance Man Walking Down the Side of Building del 1970 (Figura 5) crea la Danza Verticale, complessi movimenti coreografici su facciate di fabbriche, teatri o grattacieli. Nella storica performance sperimentale, il ballerino Joseph Schlichter cammina perpendicolarmente alla facciata di un edificio di sette piani, scendendo dall’alto verso il basso. Tale esibizione richiede al performer un grande controllo fisico, in quanto il ballerino sfida la gravità mantenuto da una rudimentale attrezzatura. Si osserva nel movimento un andamento quasi naturale, come se camminasse su un piano orizzontale in un contesto del tutto innaturale, rappresentando il ripensamento dell’equilibrio corporeo e dello spazio circostante. La facciata sembra assumere un “doppio ruolo”,
ossia palcoscenico e scenografia; il performer cammina e dialoga con lo spazio urbano circostante, ribaltando il proprio asse corporeo. La storica dell’arte Susan Rosenberg scrive: «Vedere la partitura che compone le creazioni di Trisha Brown è come vedere un’architettura astratta in cui si compiono movimenti effimeri in base a procedure strutturate». (Figura 6)
La facciata architettonica nella nuova scena digitale. Visualmapping, Audio visualmapping, Interactive Projection mapping
Il particolare linguaggio nato dall’esigenza di Wvoler comunicare nello spazio urbano con il “movimento”, sembra superare il proprio confine e la dimensione reale di uno spazio fisico. Nel panorama contemporaneo, nuove sperimentazioni artistiche tendono a riprodurre uno spazio virtuale “intorno” alla facciata architettonica, rimodulando la dialettica Danza/Architettura in ambito urbano.
Quando l’evento fisico diviene “virtuale”, quali implicazioni avrebbe? La facciata di un edificio potrebbe da scenografia dinamica o palcoscenico divenire spazio virtuale? Come unire il reale al virtuale per creare spettacolo intorno alla facciata?
Queste domande multiformi ed altre ancora sollevano questioni complesse, a cui ricercatori e artisti più visionari tentano di proporsi con nuove risposte. Atteggiamento che dimostra come progettazione, tecnologia e coreografia sono contaminate dalle scienze cognitive, aprendosi alla nuova scena digitale nella città. Dallo “spazio virtuale” deriva un approccio multidisciplinare partecipato che, attraverso lo “spettacolo digitale”, mette in
sinergia gli spettatori con il sistema urbano e con la facciata architettonica.
Visualmapping, Audio Visualmapping, Interactive Projection mapping, rappresentano questa nuova comunicazione “artistica” tra spazio costruito e spettatore, amplificandone aspetti percettivi ed emozionali. A seguire, si schematizzano le principali caratteristiche:
• Visualmapping, permette la fusione tra animazione visiva e morfologia dell’edificio, progettando un evento “visivo” nello spazio urbano; tecnicamente, risulta fondamentale che il contenuto da proiettare venga studiato appositamente per poter interagire con le geometrie della specifica superficie architettonica mappata in 2D o 3D. Le principali tecnologie nel progetto di mapping sono software specifici per la creazione di contenuti visivi e proiettori video ad alta prestazione installati e calibrati accuratamente. Il progetto visivo basato sul concept creativo si lega alla superfice mappata. L’ambito di riferimento è l’augmented reality in cui avviene la sovrapposizione di una struttura fisica della facciata con un rivestimento virtuale, trasformando la percezione visiva nello spettatore che guarda incuriosito lo spettacolo. Il mondo digitale di queste proiezioni diviene l’elemento “destrutturante” delle forme statiche dell’architettura: sequenze animate rappresentano frammentazione, scomposizione o clothing digitale attraverso un rivestimento virtuale che aderisce e si distacca.
• Audio visualmapping, garantisce un maggior coinvolgimento emozionale e sensoriale negli spettatori attraverso spettacoli visivo-musicali, con scenari in movimento tra suono e immagine. Una modalità diffusa è rappresentata
dallo spettacolo serale Son et lumière, in cui gli edifici storici nella semioscurità divengono schermi resi sofisticati dalla tecnologia 3D mapping, in armonia con la musica. La facciata animata con la musica diviene un moltiplicatore di suggestioni, abbandonando il solo ruolo scenografico.
• Interactive Projection mapping, rappresenta il passaggio successivo, ossia l’interazione concreta tra spettacolo e pubblico. L’obiettivo è introdurre nello spazio virtuale oggetti e persone, generando livelli complessi di comunicazione con il danzatore o musicista. Il corpo reinterpreta lo spazio fisico antistante, collaborando alla trasformazione digitale dell’evento. Ad esempio, gli spettatori sperimentano l’Interactive Projection mapping attraverso il proprio movimento letto dalla Kinect (sensibile al movimento) che ne stabilisce l’interazione, parlando e cantando con microfoni o utilizzando IPad per scegliere alcuni effetti da proiettare sulla facciata architettonica. Innovativi sensori provenienti dal mondo della realtà virtuale garantiscono quindi nuove funzioni interattive: sensori di movimento riescono ad intercettare i gesti negli spettatori ed a codificarli, modificando il contenuto visivo da proiettare a partire da essi.
Projection mapping e Dance performance.
Protagonisti nella scena internazionale
Il binomio Architettura/Danza entra in scena nel nuovo spazio virtuale: Projection mapping e Dance performance si incontrano “intorno” alla facciata architettonica, evidenziando relazioni pluridirezionali e dinamiche che caratterizzano entrambe le forme comunicative. In tale ambito, tra Sponsor e finanziamenti, si muovono le creazioni digitali di alcuni “protagonisti” nella scena internazionale:
• Mirjam Stuppek, considerata il pioniere nella specie dell’Urban digital surfaces, ha coniato il termine Urban screen; proprio “Urban screen” (2005 Germania) è il nome di un gruppo di architetti e artisti specializzati nel settore della Visual art, che uniscono digital video e digital performance in aree urbane internazionali. Tra le molteplici realizzazioni nel mondo,
ricordiamo “Jump!”4 (2018 Germania) (Figura 7) in cui la facciata di un edificio storico diviene una parete di free climbing per ballerini che si arrampicano o si nascondono intrecciandosi tra le finestre dell’edificio e “Digital Dialogues”5 (2021 Brema), spettacolo di Dance projection, in cui cinque coppie di danzatori provenienti da tutto il mondo hanno ballato, mostrando le proiezioni ingigantite dei loro movimenti su dieci facciate nella città di Brema.
• Architecture Dancing 3D, (Parker-Compagnie di Danza-Video Mapping 3D) realizzato da Tech Graphic Project e PromoPromia che unisce architettura animata, Parker e Danza contemporanea, creando scenari sospesi nella città.
• Apparati Effimeri, gruppo di professionisti nato nel 2008 in Italia e affermato in ambito internazionale, crea spettacoli multimediali innovativi.6
• Clemence Debaig, designer, dotata di competenza artistica, tecnologica e coreografica, emerge per il valore che ha attribuito alla “interdisciplinarità” nella transizione digitale. Debaig ha fondato l’Atelier du Lampadaire (2012), un collettivo multidisciplinare (ballerini, ingegneri del software, architetti e designer) per imporsi nella nuova scena digitale. Nella sua realizzazione, “Adita” (Figura 8), tra Interactive projection e Performance, esplora il mutamento del tempo, ossia come il nostro passato stia influenzando chi siamo nel presente, abbracciandone la contemporaneità.
Per mettere in scena un “Interactive Projection dance”, il dialogo circolare che unisce danza, immagine, musica si concretizza attraverso le tecnologie utilizzate (Figura 9), al fine di una corretta esecuzione. A seguire, si schematizzano queste tecnologie attraverso esempi rappresentativi.
• “KINECT” per PC (Figura 10), fotocamera con sensori di rilevamento di profondità, controlla il movimento dei corpi danzanti attraverso sensori di movimento; si interfaccia catturando i movimenti danzanti in 3D. In particolare, Azure Kinect DK è stata creata di recente per la realtà mista utilizzando i sensori di intelligenza artificiale. Il tracciamento a 3 gradi di libertà
(sia a terra che in aria per Aerial Dance o Vertical Dance) può essere realizzato con Marker IR. Il riconoscimento dei passi danzanti, in genere, viene effettuato utilizzando un modello HMM (Hidden Markov Models) per la precisa mappatura dei movimenti su grafica e suono. Si tende a scegliere una fotocamera RGB con il flusso ottico di ritorno per creare una griglia di vettori. Tali vettori vengono utilizzati per modificare la grafica individuale. La maschera è creata dall’immagine di profondità Kinect con la sottrazione dello sfondo. Per mappare questi vettori di flusso sul corpo dei ballerini si utilizza un metodo di calibrazione (es. Kimchi And Chips). Successivamente, molteplici effetti visivi si possono ottenere selezionando il corpo del ballerino in base alle informazioni di profondità, permettendo la proiezione di immagini separate sullo sfondo.
Come esempio rappresentativo, si richiama “Adita” di Clemence Debaig. Nella performance, la ballerina viene seguita con una Kinect posizionata nella parte anteriore dello spazio danzante; i dati video vengono inseriti in un buffer al fine di rappresentare il movimento; i dati di posizione sono utilizzati per generare gli elementi visivi in tempo reale. Il progetto è realizzato usando il semplice openFrameworks, un open source (scritto in C++) specifico per la programmazione creativa. Computer vision e framebuffer permettono alla proiezione di seguire il corpo danzante, mentre interpreta col movimento il suo passato attraverso un viaggio mentale sino al presente.
• “VIDEOPROIETTORI” (Figura 11), per proiezione architetturale ad altissima luminosità e per Interactive Experience. Come esempio rappresentativo, si sceglie la messa in opera del recente Visual mapping sulla “ Scalinata di Trinità dei Monti” (Figura 12), finanziato dall’azienda Bulgari che ha donato 1,5 milioni
di euro per consentirne anche il restauro, in occasione dei 130 anni della Maison. Tre settimane sono state impiegate come tempi di realizzazione, dal sopralluogo alla esecuzione del Visual mapping. Dopo aver fatto un rilievo fotografico, mappatura dell’area e progettato il relativo piano di azione, si è stabilito di impiegare 42 videoproiettori Panasonic serie PT-DZ21k progettati per un sistema a quattro lampade. Il videoproiettore della gamma PTDZ 21K ha una luminosità elevata e dispone anche di specifico software per il Visual mapping, pesa circa 43 kg e prevede contenitori con piano di appoggio inclinato per resistere alle intemperie. I videoproiettori lavorano in staking, accoppiati a due a due e collegati tra loro attraverso specifici segnali. Per il collegamento, viene utilizzata una rete di fibre ottiche al fine di consentirne la corretta trasmissione dei segnali, collegando ogni videoproiettore con circa 300 metri di fibra. Per dare l’idea della luminosità, ogni area della piazza destinata a ricevere le immagini del Visual mapping, rappresenta un terminale video per un fascio di luce di circa 40mila Ansi Lumen.
Le onde celebrali “danno” spettacolo.
Nuove frontiere
Il rapporto uomo-macchina come nuovo linguaggio espressivo, la mente umana come interfaccia per lo sviluppo delle tecnologie, delineano nuove frontiere nella ricerca artistica contemporanea. Le potenzialità inerenti al corpo umano, danza e tecnologia rivestono un ruolo centrale nel tema della transizione digitale, indagando sulle nostre percezioni sensoriali.
Si scelgono come rappresentative alcune sperimentazioni artistiche dell’Interaction design Daito Manabe, singolari per la connessione tra “attività celebrale”, danza, immagine e suono nel settore dello Stage design/Dance in ambito internazionale. Le sue realizzazioni più recenti, come “Dance with Drones” del 2014, “24 Drones” del 2015, MagicLab “24 drone Flight ” del 2016, incentrano l’attenzione sulle potenzialità interattive tra il corpo danzante ed un apparecchio tecnologico come il drone. In “Robot x Dancer x Lasers” del 2013, lo studio dell’interazione del ballerino con sistemi di illuminazione laser diviene spettacolo; un movimento coreografico in cui bracci meccanici si coordinano con precisione ad un sistema laser di illuminazione che interagisce con i danzatori. In ultimo, con la performance “Dissonant Imaginary ” del 20227, viene indagata la connessione tra “attività cerebrale”, immagine e suono. A tal proposito, come focus conclusivo si intende riportare un’analisi sintetica di Dissonant Immaginary, per comprendere il ruolo della “codifica” dell’attività celebrale nel linguaggio espressivo della New Media Art. Unendo tecnologia avanzata e percezione celebrale, Manabe crea una nuova dimensione ai confini tra reale e virtuale, una nuova frontiera diviene spettacolo visivo per il pubblico. Questa performance comincia con la scansione 3D del cervello, ponendo l’attenzione sul processo di codifica dell’attività celebrale. Generalmente, si riescono a monitorare quattro tipi di onde che il nostro cervello genera:
• onde alpha che provengono dal subcosciente della mente;
• onde beta che nascono dalla mente cosciente, connesse quando l’uomo è concentrato su stimoli esterni;
• onde theta che insieme alle onde delta sono le
onde del potere psichico;
• onde gamma che rappresentano quelle dei profondi poteri psichici.
Le evoluzioni scaturite attraverso le diverse stimolazioni sonore vengono decodificate per mezzo della fMRI, ossia attraverso una risonanza magnetica utilizzata in campo neuroradiologico. La ricostruzione di immagini emerse dall’ascolto di musica astratta da parte dei performer viene ricreata attraverso specifiche tecnologie di decodifica celebrale in uno scenario composto da “immagini luminose”.
Al contrario, in diverse performance, specifici software trasformano in “musica” le onde celebrali registrate mentre il performer guarda una successione rapida di immagini, rappresentando una mappatura musicale in tempo reale delle emozioni provate. Un performer viene connesso ad uno strumento che rileva le onde celebrali. La risposta emotiva, in forma di onde celebrali, viene codificata e digitalmente campionata da un computer; le onde celebrali vengono codificate per mezzo di un “copricapo con elettrodi” in grado di registrarle (Figura 13). La codifica delle informazioni sulle onde cerebrali viene usata come controllo di una strategia compositiva algoritmica trasformata in “dati acustici”.
In particolare, durante i primi anni di pandemia Covid, le onde celebrali “danno” spettacolo nella Capitale italiana. Dopo “ Son et lumière” al Pantheon, in cui la codifica dell’attività celebrale del Direttore d’orchestra di Santa Cecilia diviene
anch’essa spettacolo visivo sul monumento più famoso dell’Impero Romano, “Dissonant imaginary ” mette in scena questo nuovo linguaggio “artistico” nell’ex area del Gasometro, emblema dell’archeologia industriale di Roma.
Facendo un passo indietro nel tempo, il filosofo Arthur Schopenhaur sembra guardare l’Architettura come una “forma di musica congelata”. Con tale incipit, nell’elaborato viene intrapresa una possibile strada che esalta la potenzialità espressiva del binomio Architettura/Danza nello spazio
urbano contemporaneo. Emerge il valore dell’interdisciplinarità nello spazio multimediale; un nuovo dialogo tra Visual mapping e Digital performance sembra assumere il ruolo di co-protagonista dello spazio urbano.
Tendenza alla “remediation”, al riutilizzo delle vecchie tecnologie? Sembra proprio di no.
E mentre Venezia con la Biennale nel 2021 presenta un “artista umanoide AI-DA” e Roma con il Festival della Visione nel 2022 stupisce con una luna nel Gasometro in un’esperienza immersiva, noi spettatori scrutiamo l’orizzonte e le infinite possibilità che il nuovo “spazio virtuale” offre alle città, meravigliandoci.
[1] F.Flamand, F.Cabrini, F.Flamand: il corpo e la città, «Il Calibano», (2005), no.1
[2] R. Blumer, Dance Insights – Incontri sulla Danza di oggi – Danza Effebi, 2015
[3] Si guardi il video Metapolis Ballet- Zaha Hadid Architects, 2010 (https://vimeo.com/12020092)
[4] Si guardi il video Jump -percorso di facciata d’avventura, 2018 (https://www.urbanscreen.com/jump/)
[5] Si guardi il video Digital Dialogues - danceproject per Tanz Brema, 2021 (https://www.urbanscreen.com/digitaldialogues/)
[6] Si guardi il video 2008 – 2018 i nostri primi dieci anni//Video Mapping 3d//Apparati Effimeri (https://vimeo.com/channels/ ilovemapping)
[7] Dissonant Imaginary di Daito Manabe , spettacolo multimediale presentato nel Festival della Visione, Roma- 2022
Bibliogra a
• Capezzuto Rita, Architettura Danzante = Dancing Architecture, «Domus», (2002), no. 846
• Carpenzano Orazio, Latur Lucia, Physico. Fusione danza-architettura, Testo & Immagine 2003
• Flamand Frederic, Danza e Architettura / Dance and Architecture, «Lotus international», (2004), no. 122
• Bernard Marcelis, Frédéric Flamant / Jean Nouvel: Centre Pompidou, «Art Press», (2004), no. 298
• Mazzaglia Rossella, Polveroni Adriana, Trisha Brown. L’invenzione dello spazio, Gli Ori 2010
• Monteverdi Anna Maria, Leggere lo spettacolo multimediale. La nuova scena tra video Mapping,
• interaction design e intelligenza artificiale, Audino 2020
• Porcu Michelle, Dancing with Architecture: Frédéric Flamand, «Abitare», (2000), no. 401
Sitogra a
• https://www.annamariamonteverdi.it
• https://apparatieffimeri.com/
• https://bibliolmc.ntv31.com
• https://www.dancehallnews.it
• https://www.interactivearchitecture.org
• https://www.informadanza.com
• https://www.labiennale.org
• https://nedkahn.com
• https://trishabrowncompany.org
• http://www.sashawaltz.de/a01.php
• htpps://www.urbanscreen.com
a cura di:
Ing. E. Basile, Ing. L. Pollice, Z. Zhu
Con la collaborazione di:
Prof. Ing. P. Gaudenzi, Prof. Ing. M. Eugeni, Ing. A. Mataloni, Ing. P. Carlorosi Dallara, Ing. C. Melzer, Ing. G. Nicolai
Lo scorso 11 marzo si è conclusa la prima conferenza internazionale dedicata all’Advanced Manufacturing per sistemi e manufatti destinati ad operare “on air, space and land” (1st International Conference on Advanced Manufacturing for Air, Space and Land Transportation– ICAM22), organizzata congiuntamente dall’Agenzia Spaziale Europea (ESA) e dall’Agenzia Spaziale Americana (NASA) (Figura 1).
L’obiettivo della conferenza è stato quello di promuovere e facilitare la discussione e lo scambio di esperienze relative all’ambito manufacturing tra i membri delle varie discipline ingegneristiche interessate al trasporto aereo, spaziale e terrestre. Ciò ha riguardato però tutto il ciclo di vita del prodotto e non solo la fase di manufacturing, ovvero anche gli aspetti di progettazione, sviluppo, assemblaggio, integrazione e verifica di sistemi complessi, operanti in ambienti estremi e pertanto ad altissime prestazioni. Di recente, volumi di produzione maggiori (ad esempio per le mega-costellazioni satellitari, di cui si parlerà in seguito) stanno beneficiando necessariamente delle tecnologie Industry
4.0, che vuol dire digitalizzazione e automazione della produzione (digital manufacturing), “fabbrica intelligente” (smart factory), produzione additiva (stampa 3D) e avanzata, sicurezza informatica, test virtuali, diagnostica da remoto, sensoristica embedded e controlli di qualità e di processo basati sui big-data, AI e data analytics, machine learning, cloud-computing, digital-twins. Pertanto, numerosi altri domini e strumenti scientifico-tecnologici stanno progressivamente entrando in maniera pervasiva nella catena di approvvigionamento e gestione della produzione tradizionale per cambiarla radicalmente e irreversibilmente.
Dunque, quel che si vuole, come dichiarato nella pagina web ESA di presentazione della conferenza, è “far incontrare e tenere insieme Industry 4.0 e Space 4.0”.
La volontà delle due principali agenzie spaziali mondiali di riunire la comunità manifatturiera dell’ingegneria spaziale, aeronautica e dei trasporti terrestri, insieme alle autorità di certificazione e standardizzazione nei settori interessati, è un segnale inequivocabile della enorme opportunità di fertilizzazione incrociata, promozione di scambi tecnici e commerciali intersettoriali a livello mondiale e appunto dell’importanza che sta acquisendo il settore. Un mega-evento tecnico, dunque, ma anche di business diretto e trasversale. Tale evento è solo un ulteriore step di un importante e inarrestabile processo di innovazione assolutamente in linea con quanto l’ESA dichiara pubblicamente nella sua roadmap e attraverso i principali canali di comunicazione. Ovvero un processo di sviluppo, in ambito space, impostato correttamente su tre livelli: in primo luogo “Ricerca di base e attività preparatorie”, in secondo luogo “Attività tecnologiche principali” per costruire catene di approvvigionamento sostenibili e infine “Qualificazione, verifica e standard” volti a facilitare l’adozione di queste tecnologie e processi di produzione avanzati sviluppando gli standard, la verifica e la qualificazione necessari. Queste attività accelereranno l’adozione delle tecnologie e processi più avanzati stabilendo un percorso concordato per l’accettazione al volo per componenti, unità e sistemi. Ma più in generale, grazie alle nuove iniziative nel settore della produzione avanzata, si mira a puntare sulle tecnologie di produzione emergenti, che aprono nuove possibilità industriali in termini di libertà di progettazione, fasi di produzione semplificate e costi ridotti, insieme a prestazioni notevolmente migliorate del prodotto finale. Le enormi opportunità, che il settore della produzione in sinergia con gli altri domini (non solo tecnici) può offrire, possono essere indirizzate a cambiare e migliorare il lavoro del settore stesso e non solo, rivedendo e ricostruendo le catene di approvvigionamento industriale e riguadagnando le capacità produttive perdute. La manifattura, pertanto, necessita ormai sempre più di una visione sistemica, multi-dominio e di sostenibilità (economica, ambientale, sociale) e non può più essere vista e affrontata solo da un
unico e limitante punto di vista o settore industriale. Basta anche solo leggere i principali temi (da cui i rispettivi panels) della conferenza ESA-NASA (Figura 2) per rendersi conto del notevole cambio di passo rispetto ai consessi internazionali nello stesso ambito di pochi anni fa. Infine, a sottolineare ancora questo cambio di passo, nell’ambito della stessa conferenza, un evento speciale si è tenuto l’11 marzo 2022 dedicato alla “tecnologie immature”, che ha dato a studenti e ricercatori la possibilità di presentare le loro idee super-innovative alla comunità di rappresentanti delle principali agenzie spaziali, industrie e università. I migliori contributi sono stati votati e proposti per future collaborazioni con l’Agenzia. L’Immature Technology
Day mira a sensibilizzare la comunità aerospaziale internazionale sulle tecnologie che sono ancora agli inizi con tutte le sfide tecnologiche associate, ma con molte promesse future.
Pochi mesi prima, il 17 dicembre 2021, a dimostrazione dell’importanza della materia e di una visione lunga e consapevole, presso l’Ordine degli Ingegneri della Provincia di Roma si è tenuto
un seminario dal titolo “Lo Spazio e l’Advanced Manufacturing”, organizzato dalla Commissione Aerospazio dell’Ordine, con lo scopo diretto di stabilire un primo punto di incontro e offrire una panoramica il più possibile ampia e aggiornata tra il settore aerospaziale (e non solo) e quello delle tecnologie più avanzate di manifattura, investigandone più da vicino la sinergica e sempre più indissolubile relazione con i materiali avanzati, i processi, i prodotti e sistemi allo stato dell’arte che è possibile realizzare e le relative metodologie progettuali.
Il seminario, articolato in una decina di presentazioni tenute da realtà industriali e accademiche operanti nel contesto aerospaziale italiano ed internazionale con riconosciuta expertise nell’Advanced Manufacturing, ha affrontato aspetti relativi al settore aerospaziale e di settori affini e ha fornito alcuni esempi di nuove metodologie di design e tecnologie di produzione attualmente in uso per sistemi ed equipaggiamenti. Gli interventi e le relative presentazioni sono state divise in due sezioni, la prima relativa ai materiali compositi e la seconda alla manifattura additiva. Le due parti
in cui è stato suddiviso il seminario sono state affrontate specularmente dal punto di vista dello sviluppo dei contenuti: entrambe le sezioni sono state aperte da un’analisi introduttiva generale delle opportunità e criticità per i sistemi e le strutture aerospaziali offerte dalle moderne tecnologie di produzione, per poi descrivere applicazioni specifiche, esperienze progettuali e realizzative e possibili indirizzi futuri in ottica Space 4.0.
I processi produttivi presentati non sono stati in generale considerati sostitutivi bensì alternativi delle più tradizionali e consolidate tecniche di lavorazione dei materiali, produzione di strutture e progetto di sistemi, e sono state pertanto esplorate sinergie, criticità e metodologie di design avanzato e multidisciplinare, per prodotti tecnicamente ed economicamente competitivi nel settore aerospaziale. Infine, in linea con quanto visto per la conferenza ESA-NASA, sono state in qualche modo anticipate e presentate alcune delle tematiche più avanzate, attraverso alcuni lavori di ricerca dedicati, relative al Digital Manufacturing, al Systems and Concurrent Engineering applicato al manufacturing e all’out-of-Earth manufacturing. Di recente si è delineato un nuovo panorama commerciale dell’industria spaziale: società private come Virgin Galactic e Blue Origin hanno appena dimostrato di avere la capacità e le risorse per portare clienti paganti a quote suborbitali a prezzi a loro accessibili. OneWeb e SpaceX continuano a realizzare i loro ambiziosi piani per portare l’accesso a Internet a banda larga in tutto il mondo fino a zone remote utilizzando migliaia di satelliti
in serie. Questi ultimi, insieme ad altre decine di aziende private, hanno concretizzato il concetto di mega-costellazioni. A seguire i due apripista si sono lanciati nuovi investitori, su tutti Amazon con il progetto Kuiper che sta per ora lavorando alla realizzazione dei primi satelliti, nel complesso oltre 3.000 che inizieranno ad essere messi in orbita non prima del 2022. Tra i nuovi arrivati ci sono anche la canadese Telesat, che ha commissionato a Thales
Alenia Space la realizzazione di 298 satelliti per la costellazione a banda larga denominata Lightspeed che sarà operativa non prima del 2024. Guardando poi anche all’Italia, si pensi al progetto Platino (costellazione di satelliti SAR), al progetto della più grande costellazione italiana di Osservazione della Terra, IRIDE, che sarà realizzato con fondi PNRR entro il 2026 e infine l’idea di una costellazione di piccoli satelliti che garantisca la continuità del 5G via satellite mediante Rete non Terrestre (NTN) necessaria soprattutto per applicazioni governative e per supporto a missioni all’Estero del nostro corpo Diplomatico e delle nostre Forze Armate (sempre con fondi PNRR). Ricordiamo le performance e i successi rispettivamente delle costellazioni a bassa orbita (LEO) CosmoSkyMed per osservazione della terra con tecnologia SAR (prima e seconda generazione in funzione dal 2010 ed attualmente operative) e Globalstar per telefonia e dati a bassa velocità (operativa dal 1999 fino al 2011).
Qui di seguito sono riportati dei brevi approfondimenti per alcune delle principali presentazioni che hanno costituito il seminario.
a cura di:
Prof. Ing. P. Gaudenzi, Prof. Ing. M. Eugeni (Università di Roma “La Sapienza”)Seguendo questa tendenza di Mega-Costellazioni, l’industria della produzione di satelliti ha dovuto tenere il passo di queste tecnologie innovative e dirompenti rispetto al precedente status di mercato aumentando esponenzialmente la produzione. Al fianco delle metodologie tradizionali si sono dunque ricercati nuovi approcci per ottimizzare i processi produttivi. Per consentire una serializzazione economicamente sostenibile sono necessari costi inferiori, tempi di consegna più brevi, produttività più elevate e una maggiore personalizzazione. In questo quadro, la Quarta Rivoluzione Industriale con la sua Industria 4.0, o Smart Manufacturing (SM), fornisce le soluzioni concettuali e tecnologiche necessarie al cosiddetto paradigma Space 4.0 o New Space Economy per migliorare i cicli di integrazione e test di fabbricazione di veicoli spaziali
(Manufacturing Assembly Integration and TestingMAIT). Le fabbriche intelligenti possono eventualmente essere realizzate integrando le Tecnologie Operative e Informatiche attraverso l’applicazione di Cyber-Physical-Systems (CPS). CPS (Figura 3) riproducono in tempo reale il processo produttivo in un ambiente virtuale e permettono di monitorarlo con una costante analisi dei dati (Figura 4).
Il lavoro di ricerca, che vede la collaborazione tra l’Università di Roma “La Sapienza” (come prime contractor del progetto ESA), Thale Alenia Space e Beyond Gravity (ex RUAG Space), ha avuto lo scopo di costruire un Proof-of-Concept (PoC) di un CPS applicato a un complesso processo MAIT satellitare (Figura 4). In primo luogo, il processo di produzione del pannello sandwich RUAG Space è stato selezionato come caso di studio dopo una valutazione basata sulla revisione dello stato dell’arte dei concetti SM più promettenti per applicazioni spaziali. In secondo luogo, è stato sviluppato un modello CPS che integra i concetti SM di Digital Twin (DT), Internet of Things (IoT) e Intelligenza Artificiale (AI) sulla base di set di dati simulati e reali. Il PoC può raccogliere i dati dei sensori di processo, analizzarli, raggrupparli e mostrarli in
formati tempestivi e digeribili su una dashboard del computer di facile utilizzo (Figura 5). Un migliore monitoraggio del processo e previsione dei risultati, nonché la capacità di fornire controllo e ottimizzazione automatizzati del processo rappresentano i principali vantaggi del CPS
rispetto allo scenario industriale. I benefici (Figure 6 e 7) aumentano con l’aumento del numero di satelliti da produrre.
Gli sviluppi futuri dello studio potrebbero includere la costruzione e il test del modello fisico. Data una missione di costellazione di satelliti, i costi-benefici
del modello potrebbero essere calcolati su una base più affidabile implementando il concetto come pilota fisico per il processo di produzione
della missione. Il ritorno sull’investimento simulato potrebbe quindi determinare la decisione di adattare il progetto pilota all’intero processo.
a cura di:
Ing. A. Mataloni (Avio)L’azienda Avio di Colleferro, un’eccellenza a livello mondiale nel settore dello spazio, impiega correntemente materiali di nuova generazione e tecnologie di Advance manufacturing. L’utilizzo dei materiali compositi per i sistemi di lancio è consolidato da decenni di applicazioni nel settore. La maggior parte delle strutture primarie del lanciatore sono oggi in materiale composito, in particolare per la parte alta del lanciatore, che ha un impatto più pesante rispetto al carico utile del vettore. Tra queste strutture, gli involucri per motori a propellente solido e l’interstadio 2-3 del lanciatore Vega-C sono esempi di componenti basati per larga parte su materiale composito ad alte performance (Figura 8).
Per ciò che riguarda l’involucro, il vessel e le skirt sono realizzati in carbon-epossidica ad alta
resistenza a fibra lunga, con tecnologia del filament winding per il tow e Automated Tape Laying per il tape. Le interfacce sono realizzate in lega di alluminio. Sono presenti anche componenti elastomerici tra skirte vessel, in previsione delle differenti dilatazioni provenienti dalla pressurizzazione (Figura 9).
Test a livello full scale vengono fatti sia in fase di sviluppo e qualifica, che per l’accettazione. Si verifica il comportamento delle strutture in pressione, sotto carichi meccanici o in cicli simultanei di pressione + carichi meccanici (es. strutture di primo stadio lanciatore). Sono necessari banchi prova dedicati e l’adozione di un sistema di monitoraggio spostamenti e deformazioni adeguato. Il comportamento globale del motore viene invece verificato da prove a fuoco su banchi statici (Figura 10).
L’ interstadio 2-3 è un progetto nato da una collaborazione per lo sviluppo tecnologico tra Avio e il CIRA (Centro Italiano Ricerche Aerospaziali). È in materiale composito posizionato tra il secondo e terzo stadio del lanciatore Vega-C. È composto da due sezioni (superiore e inferiore) tra le quali avviene la separazione dello stadio a fine combustione e il resto del lanciatore. Le interfacce esterne, come nel caso degli involucri motore, sono in lega di alluminio (Figura 11).
Il processo realizzativo avviene attraverso avvolgimento di fibra secca di carbonio in una preforma e successiva infusione di resina. Il processo di infusione e cura avviene in autoclave. Seguono estrazione del mandrino, intestazione del composito e integrazione delle flange di interfaccia. Tutte le fasi, dal design al processo realizzativo e
alle fasi di testing per la qualifica, vengono interamente gestite in Avio. Per ciò che riguarda l’involucro, Avio ha ritenuto strategico formulare e produrre al proprio interno una linea di prepreg base di fibra di carbonio, con caratteristiche focalizzate sulle proprie applicazioni (Figura 12).
a cura di:
Ing. P. Carlorosi Dallara (Dallara)L’impossibilità di eseguire manutenzioni su un satellite post lancio di un vettore richiede una maggiore accuratezza nell’esecuzione dei vari componenti e l’avere un’alta confidenza che i componenti abbiano una durata almeno uguale a quella necessaria per il completamento della missione. In maniera analoga, l’ottimizzazione delle forme e l’utilizzo dei materiali al limite delle loro proprietà
meccaniche per avere una maggiore leggerezza strutturale sono aspetti di grande interesse per le applicazioni aerospaziali. Considerando questi tre aspetti, si può dire che il settore dello sport racing è simile a quello dell’aerospazio. In quest’ottica di cross fertilization, ovvero di trasferimento tecnologico di processi da settori diversi, la sezione di controllo non distruttivi (NDA) è stata presentata da rappresentanti della Dallara Automotive. Da oltre 40 anni, Dallara progetta e produce alcune tra le più sicure e veloci vetture da competizione e da strada al mondo. Le competenze distintive Dallara sono quattro (Figura 13): la progettazione utilizzando materiali compositi in fibra di carbonio, l’aerodinamica, la dinamica del veicolo e la produzione prototipale.
Dallara è in grado di produrre fino a 200 vetture da competizione l’anno: è presente in tutti i campionati Formula 3, è il fornitore unico di vetture ai campionati IndyCar, Indy Lights, Formula2, Formula3, Super Formula, realizza inoltre cellule abitacolo e parti strutturali per la Formula E, il WEC
Automazione e integrazione di controlli in Dallara: sviluppi di controlli non distruttivi e 3D integrati su vetture da competizione e aerospazioFigura 13 - Dallara, competenze distintive.
(World Endurance Championship), l’ELMS (Electric Motorsport) e l’IMSA (International Motor Sports Association). Negli ultimi anni l’attività di ingegneria e produzione si è ampliata notevolmente, sia per quanto riguarda le vetture da competizione, sia per le vetture stradali ad alte prestazioni. Recentemente l’attività di ingegneria ha anche rivolto il suo target all’aerospazio visto l’aumento dell’interesse in questo settore. Nell’ottica della sicurezza e affidabilità dei componenti il reparto Controllo Qualità svolge in Dallara un importante ruolo di monitoraggio e controllo dei prodotti e dei processi, con focus particolare su quelli che sono definiti ‘’processi speciali’’, come le tecnologie realizzative per prodotti in materiale composito, prevalentemente costituiti da fibra di carbonio / vetro e resine termoindurenti, leghe leggere. Per verificare la
conformità strutturale e quindi la buona adesione delle parti in materiale composito è necessario:
• utilizzare il più opportuno metodo diagnostico;
• rendere ripetibili i controlli;
• poter registrare il risultato del controllo;
• poter confrontare il risultato del controllo durante la produzione della serie (che può durare anche diversi anni).
Il punto di partenza per realizzare quanto sopra descritto è creare progressivamente una cultura sullo sviluppo dei controlli non distruttivi (CND), integrando anche le tecniche così da definire la scelta del metodo più opportuno in relazione alla geometria del componente e alle tempistiche realizzative produttive e quindi dell’esecuzione di controllo.
Affiancata all’esperienza nei CND vi è quella della
metrologia tridimensionale sia laser scan che a tastatura CMM (Coordinate-Measuring Machine). L’ultimo sviluppo relativo ai controlli ad ultrasuoni è quello della progettazione e realizzazione di una vasca per il controllo automatico ad ultrasuoni (Figura 14). L’impianto programmabile è in grado di essere flessibile all’analisi ultrasonica di vari componenti critici ai fini della sicurezza dei prodotti o producibili in futuro da Dallara, tale da fornire una mappa di conformità del componente in CScan per ampiezze e spessori.
Il sistema di automazione che è stato progettato così da permettere il controllo dei componenti più larghi ipotizzati come oggetto di diagnosi (alettoni). L’impianto di movimentazione multi-asse è controllato da un sistema PLC (Programmable
Logic Control) digitale, concepito per eseguire controlli non distruttivi di tipo ultrasuoni su molti componenti. Con questa tecnologia è stata possibile l’automazione di controllo ad ultrasuoni permettendo quindi una riduzione dei tempi di diagnosi e un risultato di diagnosi più puntuale e facilmente consultabile. Le tecniche utilizzabili sono quelle a trasmissione e pulse eco.
A questo controllo si integrano i risultati dei controlli tridimensionali delle medesime parti anche in questo automatizzati grazie all’ausilio di una CMM. L’unione dei risultati degli output CND e dimensionali automatici consente di avere un pacchetto di risultati dimensionali e strutturali delle parti che potenzialmente potrebbero essere anche allineate sui medesimi RPS (Revolutions Per Second) anche con le relative matematiche teoriche (Figura 15).
La presentazione ha affrontato direttamente, ma da un punto di vista non tradizionale, l’argomento del Design For Additive Manufacturing (DFAM) per le applicazioni spaziali. Il tema ha acquisito una rilevanza sempre più diffusa ormai da circa 10 anni a questa parte, per il settore aerospaziale e non solo, poiché dopo una prima, e in parte ancora in atto, lunga fase di prototipazione “artigianale”, le tecnologie di produzione additiva (AM) sono ormai sempre più una reale opzione progettuale e produttiva complementare, e non sostitutiva, delle più tradizionali tecnologie di manifattura a livello industriale. Mentre dunque la manifattura additiva è in una cruciale fase di transizione dalla ricerca e sviluppo (R&S) alle operazioni ingegneristiche “on the-shop-floor”, questo lavoro di ricerca ha affrontato un argomento, che seppur implementato in un ambito applicativo molto specifico, risulta essere molto rilevante, poco diffuso e le conseguenti questioni analizzate altamente critiche sia a livello progettuale che realizzativo, valide tanto per l’industria spaziale che per la comunità ingegneristica e scientifica in generale.
L’introduzione delle tecnologie AM per la produzione terrestre (on-ground) di sistemi spaziali, per
definire fin da subito l’ambito applicativo al quale fa riferimento il lavoro, ha aperto tutta una nuova serie di quesiti in ambito R&S per la comunità accademica e industriale, tra cui: come è possibile ottenere il massimo beneficio applicando le tecnologie AM ai sistemi spaziali? Come è possibile ripensare le tradizionali architetture delle piattaforme dei veicoli spaziali all’interno di una mentalità DFAM? Come è possibile migliorare l’attuale approccio DFAM incorporando le metodologie di ingegneria dei sistemi esistenti al fine di gestire la maggiore complessità di progettazione? Come è possibile ridurre lo sforzo di progettazione e produzione dei prossimi futuri sistemi spaziali AM? A queste domande si è provato a rispondere attraverso un lavoro di ricerca congiunto tra Dipartimento di Ingegneria Meccanica e Aerospaziale dell’Univeristà “La Sapienza” di Roma, divisione strutture e materiali spaziali di Beyond Gravity (già RUAG Space, di Zurigo) e Agenzia Spaziale Europea (ESA), confluito in una tesi di dottorato industriale svolta dal 2015 al 2018 e che ha portato alla realizzazione di un primo prototipo di struttura multifunzionale, realizzata interamente in AM presso i laboratori de “La Sapienza” di Roma, di una porzione di pannello biomimetico (riduzione notevole della massa) di un sistema satellitare avente al tempo stesso capacità strutturali (supporto, resistenza e rigidezza), termiche (smaltimento calore attraverso heat-pipes integrati nella struttura) e di harnessing (accomodamento e distribuzione di cavi elettrici-elettronici). Inoltre, come ulteriore risultato del processo di progettazione, realizzato a Zurigo presso RUAG Space interamente con metodologia concurrent engineering, si è realizzato un
tool operativo di ausilio alla progettazione real-time, successivamente poi proposto internamente da ESA come possibile tool da valutare come supporto per futuri studi di sistemi spaziali da realizzarsi in AM. Tale tool, sviluppato in Excel, permette la gestione a livello sistema della progettazione in concurrent engineering, ovvero attraverso l’interazione simultanea e sinergica di più domini tecnici, tramite un rigoroso processo sistemico (life-cycle vision) e sistematico (strutturato e metodologico) basato su modelli di rappresentazione, gestione e tracciamento delle opzioni, scelte, dati e variabili di design a partire dai requisiti cliente.
In particolare, il contributo specifico di tale lavoro è stato quello di dimostrare la tesi che per massimizzare realmente i benefici dell’AM per i sistemi spaziali è necessario adottare un approccio olistico sia per il sistema spaziale che per il suo flusso di lavoro di progettazione e sviluppo (Figura 16). Il presupposto critico principale, infatti, è stato che partendo da una semplice riprogettazione di singoli componenti (ad esempio strutture terziarie o di supporto) sia possibile ottenere solo miglioramenti marginali (ad esempio riduzione di massa), mentre ripensare la metodologia progettuale tradizionale all’interno delle innovative logiche DFAM con un approccio di Systems Engineering (SE) è l’unico vero modo per raggiungere vantaggi davvero dirompenti e multidominio, che incidono fortemente sulle tradizionali architetture dei veicoli spaziali. Pertanto l’obiettivo è stato quello di mostrare come l’introduzione di metodologie di SE avanzate, in particolare processi, metodi e strumenti di progettazione concurrent, aventi un’accurata prospettiva di tutto il ciclo di vita del sistema, un coinvolgimento diretto e real-time
di più domini, tecnici e non, e gestito in maniera strutturata e basata su modelli, dovrebbe necessariamente essere adottata al fine di consentire una riprogettazione efficace ed efficiente e la realizzazione di componenti complessi, unità e sistemi AM, con riferimento diretto alle strutture primarie dei veicoli spaziali. Ciò consente un duplice miglioramento: a livello di componente/unità e a livello di sistema, ovvero sulle prestazioni dell’unità stessa e a beneficio dell’intero sistema. Di conseguenza consentendo di trarre i massimi benefici dall’AM, di gestire la maggiore complessità del DFAM e infine di avvicinarsi correttamente a una riprogettazione della piattaforma di un veicolo spaziale a partire dalle strutture primarie ma riprogettate in ottica di sistema satellite.
Tale obiettivo di ricerca è stato così declinato in alcuni specifici passi realizzativi, poi opportunamente soddisfatti e rappresentati da relativi lavori scientifico-tecnologici proposti e pubblicati:
• Indagine sulle relazioni tra DFAM, sistemi di veicoli spaziali e metodologie di Systems and Concurrent Engineering (SE/CE).
• Proposta di un nuovo approccio DFAM che integri le metodologie SE/CE (metodi, processi, strumenti).
• Applicazione e validazione della metodologia proposta per una piattaforma satellitare (obiettivo metodologico)
• Realizzazione di un innovativo sistema spaziale attraverso tecnologie AM come benchmark di progettazione (obiettivo tecnologico).
• A conclusione del lavoro le peculiari figure di merito misurate sono state:
• Performance del prodotto in termini di
integrazione multifunzionale: numero di funzioni integrate.
• Sforzo progettuale in termini di costi e tempi di progettazione (programmazione) con riferimento all’approccio tradizionale.
• Impegno produttivo in termini di costi e tempi MAIT (programma) con riferimento all’approccio tradizionale.
Pertanto, sono stati sviluppati primariamente due casi studio abilitanti al resto del lavoro, volti a comprendere, testare e dimostrare le relazioni tra approccio DFAM e sistemi di veicoli spaziali (con particolare attenzione alle strutture primarie di piattaforma) e quindi tra sistemi di veicoli spaziali e Metodologie SE/CE rispettivamente. Si è in particolare ideato e realizzato un primo prototipo concettuale di Cubesat (piccolo satellite di dimensioni 10x10x10 cm) la cui struttura è stata ottimizzata topologicamente e la sua configurazione ripensata, al fine non tanto di ridurne la massa, ma di poter effettuare le operazioni di assemblaggio-integrazione-test (AIT) del sistema finale in maniera più efficiente. Perciò, si è prima realizzata una configurazione in cui il CubeSat è stato decomposto in due parti (Figura 17), facilmente integrabili e realizzate però in un unico job di lavorazione additiva e poi si è pensato di realizzare una unica struttura apribile attraverso una cerniera collegante le due parti. Tale ultimo concetto è stato poi successivamente analizzato in dettaglio e sviluppato in un ulteriore lavoro
di ricerca, attraverso un’altra tesi di dottorato nello stesso gruppo di ricerca, a cura dell’ing. V. Cardini. Questo primo step progettuale (caso studio) è stato necessario per approcciarsi e comprendere meglio sinergie e limiti tra DFAM e un sistema spaziale completo (seppur con focus primariamente sulla struttura primaria), volutamente piccolo da essere gestibile in termini di volumi e complessità. Il secondo caso studio ha riguardato la progettazione per uno studio di fase 0 (fattibilità ingegneristica) di un sistema spaziale completo (spacecraft) per una missione spaziale interplanetaria attraverso l’utilizzo di una metodologia (metodo + processo + tool) concurrent, basata su Excel come strumento di scambio dati, elaborazione della configurazione, etc.
Successivamente l’approccio metodologico adottato per affrontare il caso studio principale, è stato quello del Through-life Integrated Concurrent Engineering (TICE), concetto proposto a livello teorico già anni fa dall’ing. Marco Lisi a proposito del corretto approccio sistemico da adottare in merito alla progettazione e gestione di grandi infrastrutture satellitari, come ad esempio le mega-costellazioni, e impiegato per la prima volta a livello pratico. Dunque, abbinando le caratteristiche del DFAM con i metodi, i processi e gli strumenti del Systems and Concurrent Engineering (SE/CE), attraverso una proficua collaborazione con RUAG Space, grande azienda manifatturiera di sistemi
spaziali che tra le prime si è dedicata anche allo sviluppo di soluzioni relative all’AM, è stato implementato l’approccio TICE per la riprogettazione di un pannello radiante integrato multifunzionale per veicoli spaziali, scelto come punto di riferimento rappresentativo di un sistema completo di veicoli spaziali. Grazie a questo caso di studio è stato possibile raggiungere completamente gli obiettivi metodologici e tecnologici entro i tempi comunque limitati di una tesi di dottorato. Come principali risultati, le attività di ricerca hanno portato in primo luogo alla definizione di un innovativo Concurrent Design Tool adatto per integrare soluzioni in AM (Figura 18) in grado di facilitare il
processo di tradeoff e alla definizione concettuale di un sistema AM e in secondo luogo alla realizzazione di un prototipo ingegneristico AM innovativo di un pannello radiante multifunzionale biomimetico per applicazioni spaziali (Figura 19).
Tale lavoro di dottorato ha voluto rappresentare uno studio esplorativo con il fine di sviluppare e validare nuove metodologie ingegneristiche non solo per la riprogettazione di parti innovative di veicoli spaziali AM, ma per spingere AM e DFAM ad affrontare un obiettivo ancora più sfidante: capire meglio come influenzare le tradizionali architetture dei veicoli spaziali grazie al DFAM.
a cura di: Ing. C. Melzer (Beyond Gravity)
Beyond Gravity (ex RUAG Space) è stata dal 2014 in poi (Figura 20) tra le prime aziende ad occuparsi di utilizzo delle tecnologie additive per applicazioni spaziali. Tanto che ad oggi può vantare un know-how e un heritage di notevole importanza nel settore, unitamente alla già riconosciuta expertise a livello mondiale in ambito manufacturing per strutture, meccanismi e componentistica aerospaziale.
La produzione con tecnologia di Additive Manufacturing ha un elevato potenziale di innovazione per soddisfare le elevate esigenze degli elementi
flessibili ma anche delle parti strutturali nelle applicazioni spaziali, offrendo vantaggi quali una maggiore libertà di progettazione, topologie ottimizzate per resistenza e massa e nuove topologie cinematiche monolitiche. In questo quadro, è necessario controllare l’intera catena di sviluppo (Figura 21) per strutture realizzate con tecnologia AM qualificate per il volo spaziale.
Dopo la selezione del processo produttivo e del materiale più idoneo, nella fase di concept design dovrebbe essere avviata la definizione di un processo produttivo end-to-end su misura. Ciò include la verifica della materia prima, l’ottimizzazione dei parametri di produzione, la caratterizzazione dei materiali, lo sviluppo del progetto, compreso il lavoro di ricerca e ottimizzazione topologica del componente sulla base della distribuzione degli stress e della sua funzionalità, la produzione, il trattamento termico, la finitura superficiale e la qualificazione fino alla verifica delle esigenze ambientali e di durata del prodotto spaziale. L’elevata rugosità superficiale e la bassa precisione geometrica delle geometrie prodotte con tecnologia AM dipendono principalmente dalle dimensioni della polvere e dalla dimensione del raggio laser
Ottimizzazione del processo di manifattura additiva per prodotti spaziali (strutture e meccanismi)Figura 20 - AM heritage di Beyond Gravity (ex RUAG Space), credits Beyond Gravity.
focalizzato. Queste ultime in particolare possono avere conseguenze critiche sulle prestazioni meccaniche e sulla durata di elementi specie se soggetti a carichi a fatica. Per superare tali ostacoli, l’attenzione deve essere posta nella post-produzione (post-processing) della superficie di componenti flessibili specie se aventi pareti sottili, multidimensionali e se caricati dinamicamente.
La validazione del processo end-to-end consente non solo l’applicazione del processo per utilizzo
spaziale, ma anche l’utilizzo di parti prodotte con AM (Figure 22 e 23) con tutti i suoi vantaggi e le opportunità di superare le sfide nelle attuali strutture spaziali e nello sviluppo dei meccanismi. Beyond Gravity, date le elevate esigenze tecniche e scientifiche nel settore spaziale, per accelerare lo sviluppo e la creazione di tecnologie di produzione avanzate nello spazio, utilizza le tecniche di AM più avanzate e opportuni processi progettuali e realizzativi sempre all’avanguardia. In questa maniera, l’azienda multinazionale svizzera sta contribuendo sempre più a
Il Flap Interface del progetto VIEWS (Validation and Integration of Manufacturing Enablers for Future Wing Structures) sviluppato da GE Aviation nel 2016 in collaborazione con il consorzio Airbus capeggiato da GKN, può essere un esempio di applicazione di Additive Technologies in ambito aeronautico la cui tecnologia può essere direttamente trasferibile ad un contesto spaziale. Il processo di colata in cera persa consiste in una stampa 3D di uno stampo in cera per supportare la creazione di uno stampo ceramico in cui il metallo fuso viene iniettato sottovuoto o con iniezione da centrifuga e quindi lasciato solidificare. La parte prodotta dopo l’iniezione è poi trattata superficialmente tramite pressatura isostatica a caldo e quindi macchinata localmente per produrre il componente finale. Utilizzando questo processo, in opposizione al metodo più convenzionale di lavorazione a fresa
da billetta, produttori e progettisti possono creare forme più complesse. In tal modo, è possibile combinare componenti diversi facenti parte dello stesso assieme prodotto e ridurre il numero di elementi per il fissaggio delle parti. in ultima analisi, si aumenta la continuità nella struttura complessiva e si consegue una riduzione del peso.
Più in dettaglio, con riferimento al componente preso in esame, la precedente soluzione prevede l’utilizzo di nove parti distinte realizzate in lega di alluminio (Al7049) e lavorate a fresa (Figura 24).
La soluzione alternativa invece prevede l’utilizzo della colata in cera persa con lega di Titanio (Ti6Al4V) e permette di realizzare un componente che metta assieme tutte le nove parti in un unico pezzo (Figura 24). Il componente finale ottenuto da colata in cera persa dopo ottimizzazione del design mostra una potenziale riduzione del 20% del peso complessivo dell’assieme, riducendo il numero di elementi di fissaggio utilizzati e ottimizzando il layout finale. Vista da una prospettiva di processo, la colata in cera persa del titanio per la specifica applicazione del componente analizzato ha ridotto lo scarto di materiale del 60%, oltre a ridurre il numero delle nove parti come da iniziale design a una sola parte ottenuta per colata.
La validazione è stata eseguita al calcolatore ed in maniera empirica in test house. La Figura 25 riporta il modello FEM (Finite Elements Method) del componente in colata in cera persa di lega di Titanio utilizzato per l’analisi a fatica. La Tabella 1 riporta l’analisi comparativa del modello FEM dell’assieme in lega di Alluminio (Al4049) lavorato a fresa e quello di colata in cera persa in lega di Titanio (Ti6Al4V).
In conclusione, la colata in cera persa è una valida alternativa in alcune applicazioni in cui la complessità delle geometrie è elevata ed è necessaria
Tecnologie alternative e design modificato per la realizzazione di parti metalliche in aviazione - L’uso del processo di iniezione in cera persa di leghe di titanio per componenti strutturali in aeronautica.Tabella 1 - Analisi comparativa a fatica: modello in lega Al4049 e modello in lega Ti6Al4V
una maggiore continuità strutturale senza l’utilizzo di fastener di giunzione. In Figura 26 si mostra il prototipo in lega di Titanio e la soluzione in nove parti in lega di Alluminio. La Tabella 2 sintetizza i
maggiori vantaggi dell’utilizzo della colata in cera persa per specifici usi legati alla complessità geometrica ed alle richieste di maggiore resistenza meccanica.
L’epoca in cui viviamo ci permette di sognare e di puntare ad una sfida ambiziosa, cioè quella di stabilire un insediamento permanente sulla Luna e Marte (Sherwood, 2011; Woerner, 2016). La creazione di tale ambiente richiede però tecnologie sofisticate ed efficaci per venire incontro alle condizioni avverse come la gravità alterata, il vuoto e di conseguenza mancanza di aria, l’esposizione alle radiazioni, l’instabilità chimica e fisica (Porter & Bradley, 2016). A tale proposito, K. Kennedy ha proposto una suddivisione di abitazioni extraterrestri in 3 classi (Figura 27), secondo lo sviluppo ed evoluzione della tecnologia in ambito aerospaziale (Kennedy, 2002):
• Classe I: abitazioni pre-integrate, prodotte sfruttando l’industria terrestre, complete di sistemi di supporto e pronte all’uso.
• Classe II: abitazioni prefabbricate, prodotte sfruttando l’industria terrestre, utilizzabile previa installazione, assemblaggio, o dispiego.
• Classe III: abitazioni costruite in-situ, richiedendo capacità manufatturiera locale. Le prime due classi, seppur dotate di alte prestazioni nell’affrontare le condizioni al contorno, sono però fortemente vincolate alla capienza dei sistemi di lancio e non possiedono capacità di
espansione. Per questo motivo, le agenzie Spaziali e la comunità scientifica sono alla ricerca di metodologie costruttive in grado di instaurare una industria manufatturiera in un ambiente extraterrestre (National Research Council, 2014).
Tra queste, spicca il ruolo della manifattura additiva in combinazione con l’utilizzo di risorse locali. In particolare, l’ESA ha sperimentato una tecnica brevettata chiamato “D-Shape” in grado di “stampare” il guscio esterno delle abitazioni sulla Luna, utilizzando il terreno locale chiamato “Regolite” (Cesaretti et al., 2014).
D’altro canto, il materiale locale adoperato in questo processo può essere anche l’acqua, se posta nelle condizioni in cui riesce a raggiungere il suo stato solido. È questo il concept vincitore della “Centennial Challenge”, promossa dalla NASA nel 2015 (Morris et al., 2016). L’utilizzo del ghiaccio, Figura 29, come materiale di costruzione ha molteplice vantaggio come la salubrità chimica, la schermatura naturale alle radiazioni e nello stesso tempo, essere permeabile alla luce visibile creando un ambiente interno più confortevole. Le metodologie citate, seppure promittenti, sono tutt’ora in fase di sviluppo e perfezionamento. Infatti, sono in corso studi sui materiali utilizzati in quanto ad oggi gli esperimenti sono stati effettuati in laboratorio, sotto condizioni controllate richiedendo l’intervento e la sorveglianza umana. Inoltre, il processo costruttivo richiede integrazione tecnologica come quella impiantistica ed energetica. Ciononostante, queste innovazioni in ambito di automazioni nel processo costruttivo potranno portare notevoli benefici anche sulla Terra, come nel caso di alloggi low-cost, nelle soluzioni abitative a basso impatto energetico, e nelle situazioni di post calamità.
Sitogra a
• www.avio.com
• www.dallara.it
• Revisiting the configuration of small satellites structures in the framework of 3D additive manufacturing. https://doi.org/10.1016/j.actaastro.2018.01.036
• A Preliminary Design of a Mission to Triton: a Concurrent Engineering Approach. https://doi.org/10.1007/s42423-018-0001-9
• Building components for an outpost on the Lunar soil by means of a novel 3D printing technology. https://doi.org/10.1016/j. actaastro.2013.07.034
• The vernacular of space architecture. https://doi.org/10.2514/6.2002-6102
• Mars Ice House: Using the Physics of Phase Change in 3D Printing a Habitat with H2O. https://doi.org/10.2514/6.2016-5528
• 3D Printing in Space. https://doi.org/10.17226/18871
• Architectural Design Principles for Extra-Terrestrial Habitats. https://doi.org/10.5281/zenodo.202160
• Inhabiting the solar system. https://doi.org/10.2478/s13531-011-0004-y
• Moon Village: A VISION FOR GLOBAL COOPERATION AND SPACE 4.0. https://www.esa.int/About_Us/Ministerial_Council_2016/Moon_Village
Bibliogra a
• R. C. Rice1, J. L. Jackson1, J. Bakuckas, S Thompson, “Metallic Materials Properties Development and Standardization (MMPDS)” Issue 1, Jan 2003.
• MSC.Software Corporation, “Quick Reference Guide - MSC.Nastran 2005 r3”, Feb 2006.
• A. Boschetto, M. Eugeni, L. Bottini, V. Cardini, G. Graterol Nisi, L. Pollice, P. Gaudenzi, “Introduction of Innovative Additive Manufacturing Technologies into the Nanosatellites Design and Realization”, Italian-Israel – ASI-ISA Conference on Nanosatellites, Italian Space Agency, Rome, 9-10 April 2018
• L. Pollice, P. Gaudenzi, R. Usinger, M. Gschweitl, V. Cardini, M. Eugeni, G. Graterol Nisi, “Systems Engineering and Systems Architecting Approaches for Innovative Additive Manufactured Spacecraft Structures”, ESA-ECSSMET, Noordwijk, The Netherlands, 28 May – 1 June 2018
• R. C. Rice1, J. L. Jackson1, J. Bakuckas, S Thompson, “Metallic Materials Properties Development and Standardization (MMPDS)” Issue 1, Jan 2003.
• MSC.Software Corporation, “Quick Reference Guide - MSC.Nastran 2005 r3”, Feb 2006.
Lo spazio è sempre stato un ambito dedicato alla scienza, alla ricerca, all’implementazione delle nuove tecnologie, nuovi materiali ecc. Oggi lo spazio si è aperto ad un pubblico variegato, con un linguaggio più comprensibile, realizzando servizi che sono vicini alla quotidianità di ognuno: le vacanze spaziali, un film di fantascienza fino
a pochi anni fa, oggi una realtà. È necessario fare una riflessione su come sta cambiando rapidamente questo settore e capire quanto impatti sull’economia reale e sulla geopolitica, quest’ultima oggi sotto i riflettori.
Il territorio italiano è storicamente legato ad una tradizione culturale spaziale iniziata già all’inizio
degli anni 60: ricordiamo che siamo stati la terza nazione a mettere un satellite in orbita ma anche tra le prime a creare infrastrutture come, ad esempio, il Centro Spaziale di Telespazio, nel Fucino (AQ) in Abruzzo, che è attivo dal ’63. Le regioni italiane legate a questo tipo di attività economica si suddividono in 12 Distretti Spaziali nei
quali ritroviamo numerose realtà imprenditoriali in grado di manifestare competitività anche a livello internazionale. L’Italia, infatti, presenta una grande capacità industriale in ambito Spazio frutto proprio di tradizioni culturali che hanno poi lasciato in eredità competenze e tecnologie all’avanguardia. Nel tempo, ad ereditare questa ricchezza di idee e di
esperti con un elevato livello di formazione non sono state solo le Grandi Aziende Spaziali, quelle che in prima persona costruiscono e mettono in orbita satelliti o che partecipano alle grandi missioni scientifiche, ma anche di un vero e proprio ecosistema di PMI che forniscono prodotti e servizi specialistici oltre che di costruttori di veri e propri satelliti di piccole dimensioni, oggetti tanto piccoli quanto ultramoderni che consentiranno a tutti di accedere allo Spazio con facilità crescente e di godere dei servizi da esso offerti. L’America, ha chiaramente dato un grosso impulso allo “sdoganamento” di questo settore, prima di nicchia, oggi di tutti, e noi Italia non possiamo che implementare ciò che abbiamo sempre rappresentato in questo settore. Per le Piccole e Medie Imprese le ambizioni oggi sono paragonabili a quelle delle grandi realtà industriali italiane del settore dello Spazio, perseguendo in simbiosi con esse, missioni specifiche sia di tipo commerciale, sia scientifico che educativo.
Questo sistema di Piccole e Medie Imprese costituisce una sorta di rete sul territorio legandosi alle Grandi Imprese Spaziali ed alle Università e Centri di Ricerca1. Il gioco messo in atto da questo sistema di attori, in cui le imprese locali si
sentono coinvolte, è una strategia in azione e che sta già portando vantaggi, basti considerare l’interesse che le PMI hanno rivolto, negli ultimi tempi, all’impiego dell’orbita bassa (LEO), opportunità che porterebbe queste aziende ad avere un ruolo sempre più centrale in quello che può essere definito un vero e proprio mercato spaziale. I servizi derivanti dall’implementazione ed il lancio di questi satelliti sono: il monitoraggio del territorio, la meteorologia, i servizi internet, studi scientifici, ecc. Potendo contare su un numero maggiore di dati rispetto alle costellazioni tradizionali, queste ultime ovviamente danno dati di maggior pregio. Ma grazie alla grande quantità di dati (big data) che si possono ottenere si è capaci di fare importanti passi in avanti tecnologici.
Da questa visione sistemica nasce la necessità di valorizzare sempre di più le PMI nazionali e gli enti della formazione a vantaggio dopo tutto anche della grande azienda, per mantenere un presidio tecnologico elevato. Questo è il perno su cui ruota l’intero “mercato spaziale” di cui si faceva cenno e che, attraverso la promozione di progetti di formazione per tecnici e ingegneri del domani, potrà evolvere portando ad uno sviluppo del settore
spaziale nazionale che avvicinerebbe ancor di più il Paese ad una posizione di potenza, di autonomia e di vantaggio strategico internazionale.
Lo Spazio è quindi considerabile un settore strategico e molto dinamico, un mercato in espansione. È un’economia stabile che basa il suo successo sulla cultura che si riesce a creare intorno ai progetti. Inoltre, lo scenario è internazionale e la competizione è aperta. Infatti, il prossimo futuro porterà, grazie a questo sistema, alla costruzione di Stazioni Spaziali Commerciali così come la colonizzazione della Luna.
Piccole aziende sentono di potersi mettere in gioco, senza sentirsi in ombra rispetto alle grandi imprese, perché vantaggiose a queste ultime grazie al contributo attivo che hanno nelle grandi missioni spaziali: guardare alla vita fuori dal nostro pianeta madre, investire in prodotti e tecnologie per rendere lo Spazio una realtà fruibile per i viaggiatori del futuro, missioni spaziali robotiche in grado di riportare sulla terra frammenti e parti di pianeti e corpi celesti. Insomma, grazie all’intervento laborioso ed è il caso di dirlo, indispensabile, delle
PMI nel settore spaziale, si può immaginare un futuro vissuto nello spazio ove è garantito il confort
a bordo di stazioni orbitali o su altri pianeti. Tutto questo è qualcosa di straordinario.
L’obiettivo è quindi dare il giusto ruolo centrale alle PMI, cosa di cui si occupano i distretti spaziali prima citati. Un esempio, lo SPARC Cluster nato per le aziende Abruzzesi e Laziali che operano in ambito Spazio. L’aggregazione totale permetterà di spostare in avanti la frontiera spaziale grazie alla messa a sistema delle competenze e delle capacità. D’altro canto, come nelle grandi missioni spaziali si prevede la collaborazione di varie agenzie spaziali e di conseguenza la cooperazione delle grandi aziende, allo stesso modo anche le piccole missioni vengono affrontate dalla collaborazione di più aziende. Ma, per perseguire questo obiettivo, la cooperazione deve preservare le competenze sviluppate da ciascuna azienda, e il “fairplay” è un elemento necessario.
L’industria Spaziale ha sempre puntato sulla valorizzazione di talenti indipendentemente da differenze somatiche, di genere, religiose o politiche ed ha rappresentato, soprattutto negli anni del dopoguerra, una competizione pacifica, dove poter dimostrare la propria superiorità tecnica attraverso il susseguirsi del raggiungimento di risultati ingegneristici,
poi utili a tutta l’umanità. Questo è valido ancora oggi anche se la dimensione non è più solamente pioneristica verso requisiti e missioni sempre più impegnative ma anche tecnologica e industriale. Le opportunità di questo mercato sono tante. Fare squadra è la chiave del successo e l’Italia che è un player importante nel mercato internazionale deve rafforzare il suo ruolo, basti pensare che le basi di lancio, da sempre frutto di accordi internazionali, oggi risentono del conflitto russo-ucraino;
pertanto, nuovi equilibri dovranno essere posti in essere. L’aereo di trasporto dei prodotti spaziali, l’Antonov russo è andato distrutto (Figura 1), quale sarà la sua sostituzione? L’Italia in una posizione geografica non favorevole ai lanci può fruttare l’ingegno ed il mare per poter continuare ad essere pioniera in un settore all’avanguardia? È necessario essere proattivi in un equilibrio che manca per essere una nazione che afferma la propria storia lavorando per il futuro.
Note [1] Space Industry Catalogue, ASI, 2021/22 (https://www.asi.it/lagenzia/facilities/catalogo-dellindustria-spaziale-nazionale/)
L’Homepage www.ording.roma.it
L’Albo degli iscritti https://www.ording.roma.it/albo-iscritti
L’Area degli iscritti https://area-iscritti.ording.roma.it/
I seminari https://www.ording.roma.it/formazione/
Sito della rivista https://rivista.ording.roma.it
Elenco delle Commissioni https://ording.roma.it/servizi-agli-iscritti/commissioni
Piazza della Repubblica, 59 - 00185 Roma
Tel.: 06.487.9311 - Fax: 06.487.931.223
Cod.fisc. 80201950583
Orari di apertura al pubblico degli uffici
Lun 09:30/12:30
Mar
Mer
Gio 09:30/12:30 14:30/17:30
Ven 09:30/12:30
Sab 09:30/12:30
La Segreteria dell’Ordine chiude alle ore 16:00