PM ReportJune-July 2023

Page 1

Rental Market Update

June - July 2023 Review

Our purpose

To create a place where we can facilitate our people’s growth.

Our values

Family.

Our colleagues are our broader family, assist when needed and when in need.

Mutuality. Respect our colleagues and our clients as you would like to be respected.

Realising potential. Unlock your full potential, encourage and support your colleagues.

Embrace change. Strive for excellence; be open minded and willing to embrace change.

Health and energy. Work towards being well balanced within yourself.

From our corporate director

Last month in review

Traditionally, there is less seller competition in the colder months but selling when the market is this strong is a smarter move then waiting for the warmer spring weather when listing supplyislikelytoincrease,givingbuyers more choice, which will place downward pressure on sale prices. The other reason to consider selling now rather than waiting is because of fixed-rate mortgages switching to variable rates, and this is certain to increase through the remainder ofthis year, which will have homeownersconsidering a sale of their property due to thenowhigh holdingcosts.

The Australian Bankers Association (APA),which is made up of the Big 4 banks, has saidthat around three times as many fixed rate mortgages (222,800) will expire over the June quarter compared to what expired over the March quarter (78,300),and for the September quarter there are alsolarge volumes of fixedrate mortgage expirations with 208,000 and184,000fortheDecemberquarter.

So,to reiterate,the stronger-than-ever auction clearance rates, shows demand is running strong. The demand is reinforcing property values and creating stability now, so it’s a good environment to sell your home with the leastamountofcompetitionpossible.

In other news, the Australian Bureau of Statistics (ABS) ,reported the number of loans issued for the purchase or construction ofa new home plunged to a record low inApril, down 74% from the January 2021peak, and retail figures rose 4.2% in May compared to last year. In summary, the realityis interest rates are now a month-by-month situation, some data points are showing a slowdown but contrary to this some areas are still feeding inflationary pressures. The Melbourne Metro Home Value Index as reportedbyCorelogicoverJunegrewby 0.7% or $6,665 on median prices for alldwelling types. Regional Victoria on the contrary experienced a decline of 0.4% or $1,813 on median prices average for all dwelling types.

Now, looking at the rental market, (insert graph) rent increases in Melbournegrew strongly in June to post an increaseof 1.1%with the median rent in Melbourne for all dwelling types now at $551 aweek. Vacancy rates are at 0.8% andMelbourne for the last financial year was recorded as being the cheapest capital city to rent a property in, Hobart wasthe second cheapest at $552 a week, Brisbane at $614, Darwin $600, Perth $599, Adelaide $549, Canberra $669 and Sydney at $773 a week. The news for the rental market looks set to continue with property investment loansfor new homes down 74% from the peakinJanuary2021.

ThankYou

July report
coloured blue indicate positional change from last month. Adelaide Adelaide Hills Albury Ballina/Byron Bay Barossa Valley Broome Coffs Harbour Oubbo Geraldton Gladstone Gold Coast Hervey Bay Hobart lllawarra Kalgoorlie Karratha Lismore Mackay Mount Gambier Mt Gambier Central Coast Geelong Mlldura South West WA Newcastle Perth Pott Hedland Rockhampton Shepparton S'lhn Highlands Sunshine Coast Wodonga Albany Darwin Allee Springs Emerald Brisbane Ipswich Bundaberg Melbourne Cairns Sydnev y11r:11tcdi.,,a, -on, •Po:a ...,,..1.9qllll.tan. l1W1rl!!OQ:rt1Snotll'lknddl0t,I!: :n,p ,,. ,., kr ;,,M\.tllld..-.r "-'tcwi111ddW"ltel'lOr,,.,,,.,..IIO•lffilOhW"'t._.. U'li,-..,..... e::cwpta ta,, o -.11tylor :i. :llllfflh. Bathurst Burnie/Devenport Launceston Tamworth • PEAK Of" MARKET • Apprnc1Lh1nq Peak of MarKet Starting to • Decline e RISING MARKET Start of • Recovery L DECLINING• MARKET Approachinq Bottom of Mar+o,et • BOTTOM Of" MARKET • Canberra National Property Clock: Houses Entries coioured orange indicate positional chaOQe from last month. Adelaide Adelaide Hills Balflna/Byron Bay Barossa Valley Brisbane Broome Cairns Coffs Harbour Darwin Emerald Geraldton Gladstone Albury M1ldura Central Coast Sou'th west WA Geelong Gold Coast Perth Hervey Bay Port Hedland Hobart Rockhampton lllawarra Shepparton Ipswich S'thn HighJands Kalgoorlie Sunshine Coast Karratha Sydney Lisman? Toowoomba Mackay Townsville Melbourne Wh1tsunday Mount Gambier Newcastle Albahy Ahce Springs Bundaberg rt,11111:dedl)t'•tcP. lfiffl,1.n,ISta,IIM"sL il'I11'1 ITpol'lll d a bot Cllfflll"I' '-""'I 'Sndnar:h-U.,,. -.Mt 1;1rr.1"1ddWl'briar-at19:.ncru •:n;: atioo 'nrr, 1 IO"run-, ia:m ol lWli ill' :ontlm. Bathurst Dubbo Burnie/Devenport Launces Lon Canberra Tamworth
National Property Clock: Units Entries

Why is it so hard to find a rental?

Vacancy rates have fallen to very low levels across the country since the pandemic. That means that available rentals are in short supply, and conditions are tough for renters.

In regional areas, and the smaller capitals, the decline in rental vacancy rates mostly happened in 2020; regionally, there are signs some regional rental markets are starting to ease. In Sydney and particularly Melbourne it’s a more recent change.

Time on market: how long is a property vacant, on average, before it gets leased?[2]

The number of available rentals at any given time is just the product of these two drivers: if 10 rental properties are vacated each day, and it takes 15 days to fill each vacancy, there’s 150 vacant properties on any given day.

In practice, there are a few wrinkles. But none of these are especially material, and they require a bit of algebra to explain, so I will relegate them to a footnote.[3]

Faster lease times and lower rental turnover have roughly equally contributed to the decline in vacancy rates

If rental properties were still turning over at the same rate they were pre-pandemic, the vacancy rate would be a bit over 0.5ppt higher than it is today – i.e close to 2%, instead of the 1.4% recorded in May. Instead, rental turnover has fallen, implying that tenants are staying longer in their existing rentals today than they used to.

Similarly, rentals are leasing faster when they become vacant than they were pre-pandemic. This change has dropped rental vacancy rates a little under 0.5ppt.

Why has this happened?

We’ve written a lot about how renters moving out of sharehouses into smaller households has increased demand for rentals, about the regions where markets are tightest and where things are improving, how the supply of rental properties and investor activity has changed, and how tenants are adapting.

But why are rental vacancy rates so low right now? What has driven that change? And what does that tell us about the state of the rental market?

What drives rental vacancy rates?

First, a definition.

A rental vacancy rate is a point-in-time estimate of rental availability. It measures the number of rentals that were available to rent on realestate.com.au at the end of each month, as a share of the total number of rental properties, occupied or vacant.

Two things drive how many rentals are vacant at any given time.

Turnover: how many rental properties are hitting the market; or, equivalently, how many tenants are vacating their existing rental?[1] This is determined by how long, on average, tenants are staying in their existing leases before moving. If tenants are staying longer before moving, rental turnover declines.

While both drivers have contributed roughly equally to the change in the vacancy rate between today and pre-pandemic, that wasn’t the case earlier in the pandemic.

The decline in turnover happened much sooner, and began to weigh on vacancy rates from as early as mid-2020.[4] More recently, while turnover is still lower than pre-pandemic, its impact on vacancy rates has been fairly steady for the past year.

In contrast, shorter time on market started to weigh on vacancy rates from around the end of 2021, and was actually supporting higher vacancy rates during 2020 – largely driven by longer time on market in Melbourne (and to some extent Sydney).

article source :www.realestate.com.au

Other measures of time on market show a similar story.[5] Median days on market for rentals were still around pre-pandemic levels in capital cities in early-to-mid 2021, and only really started declining after that; the same was not true in regional areas, which declined much earlier. What does that tell us?

This decomposition is helpful for telling us what has happened to rental vacancy rates, but it can’t tell us why.

Higher rents are a plausible explanation for why tenants are staying longer in their existing rentals. Given how quickly newly advertised rents have risen, many tenants are probably finding it attractive to stay where they are, in the hope of smaller rent increases. (To date, that’s what we’ve seen: overall rents, as measured by the CPI, have not risen as quickly as advertised rents). But it probably isn’t the whole answer. Turnover started declining in 2020, before (national) rents took off.

The decline in time on market is easier to understand: the number of renters searching for a rental, relative to the number of vacant rentals has increased. With more renters for any given vacancy, it is easier for a landlord to find a new tenant.[6]

Of course, these changes are all interrelated. Rents are rising because of tight rental markets; but, as we just saw, part of why vacancy rates are low is probably, in part, due to higher rents! This exercise isn’t meant to (and can’t) fully account for these feedback mechanisms.[7]

The unfortunate news for renters is neither of these changes – lower rental turnover and shorter days on market – seem likely to reverse quickly. That means rental vacancy rates are likely to stay low, and rental markets are likely to stay tight for some time yet.

[1]And how many new / first-time rentals are being added to the market.

[2]This is not quite the same as the measure we typically report for time on market, which is median days on market. For the decomposition here I make some simplifying assumptions and so can’t use that measure.

[3]Key assumptions here include: probability of a vacancy being filled in a given period is uniform across properties and the rental stock isn’t growing. The former assumption is needed so that we can easily convert between the probability of a vacancy being filled and the average time it takes to fill a vacancy. The latter just simplifies the decomposition, and, as I’ll show below, in practice isn’t a large term, so won’t matter too much.

The final simplification I’m making here is that the product of time on market and turnover describes an equilibrium vacancy rate (i.e where the vacancy rate would settle after a sufficiently long time). In practice, there will be an adjustment period. I.e if there were no vacancies to begin with, and then we move to a situation where 10 properties are turning over each period, taking 10 days to fill: on the first day there would only be ~10 properties vacant, not 100.

To be precise, we can describe the evolution of the vacancy rate as:

Where "new" is the number of rental properties that are vacated/become available in period t, "leased" is the number leased, "available" is the number of vacant rentals from the prior period, and "stock" is the total number of rental properties (occupied or vacant) in the prior period.

We can then express this as:

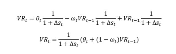
And then defining θ as the turnover rate in period t, ω as the leasing rate (leased properties as a share of the number of vacant rentals), and Δs as growth in the rental stock:

article source :www.realestate.com.au

And then defining θ as the turnover rate in period t, ω as the leasing rate (leased properties as a share of the number of vacant rentals), and Δs as growth in the rental stock:

I lump this latter adjustment term in the “other” term in the decomposition. In practice it is fairly small when changes in θ or ω are gradual and so can be ignored. (The start of the pandemic in April 2020 is a good counterexample: the equilibrium rate initially jumped much higher than the actual rate, as both turnover and time on market jumped sharply).

Define the “equilibrium” vacancy rate, for a given turnover and leasing rate, as the vacancy rate such that the vacancy rate is constant for time t and t-1; this equilibrium rate is still indexed by time, because the turnover and leasing rate vary over time. Substituting in the definition of the equilibrium rate to the equation for the evolution of the vacancy rate gives:

[4]The decline in 2020 could, in part, be due to fewer new investors during 2020 and 2021 (and therefore new properties), meaning fewer new rentals hitting the market during this period.

[5]These measures are not directly comparable because of differences in calculations and simplifying assumptions for this decomposition (see footnote 2).

[6]An analogy can be drawn here to the Diamond-Mortensen-Pissarides search model, where the probability of a job being filled (here a tenant being found) is a function of the ratio of job seekers (searching renters) to job vacancies (rental vacancies).

For small Δs (which is a fairly innocuous assumption – growth in the rental stock is more than two orders of magnitude smaller than the leasing rate), this simplifies to the "equilibrium" relationship described above: Where T is the time to lease a property as is equal to the inverse of ω (assuming ω is uniform).

We can also re-express the equation for the actual vacancy rate in period t as a function of its equilibrium rate and a transition term (how far the vacancy rate last period was away from the equilibrium rate), again ignoring the Δs term for simplicity:

[7]Similarly, rental turnover, in part, feeds back in to how many renters are searching; vacating renters need somewhere to live. But renter households are not static, and so the mapping isn’t one-to-one. For instance, as during the pandemic, one vacating sharehouse could turn into multiple smaller renter households; nor does a vacating renter necessarily need a new rental (they could be moving into owner-occupation, overseas, back in with parents, etc). Similarly, renter households need not come only from existing rentals, e.g they could currently be living with their parents, or living overseas.

article source :www.realestate.com.au

Rental review

Rental providers/ property owners have chosen us

$504

Properties leased

13

60 64 Average median rent per week

Average days on market

2,329

5,178 Renter enquiries Renter applications received

111,117

Property views

10,649

360 degree tours viewed

0.80%

Vacancy rate

10,649 Leasing inspections conducted

We lease more.

A snapshot of last months leases.

Price perweek Price permonth Suburb Address June - July 2023 Review 15/241SoldiersRoad 2/2AdamsonRoad 19GrantCourt 156TelfordDrive 78HomesteadRoad 20SaintlyGrove 21KurandaCrescent 15CheviotAvenue 2AtlanticPlace 74ElginStreet 6MandalayCourt 2LarneClose 57GolfLinksRoad 68ElginStreet 27NightingaleCrescent 5TallaraSquare 66PiermontDrive Unit3/165HighStreet 13FindonWay 6OrlandoPlace 2/82BrownsRoad 6McCleanAvenue 65CreeksideStreet 2GianStreet 8DablamStreet 31RemedyDrive 43CreeksideStreet 245HonourAvenue 15LangshanRoad 10SerengetiStreet 1675PoundRoad 24LeghornWay 33AzzamStreet 15VentassoStreet Beaconsfield Beaconsfield BeaconsfieldUpper Berwick Berwick Berwick Berwick Berwick Berwick Berwick Berwick Berwick Berwick Berwick Berwick Berwick Berwick Berwick Berwick Berwick Clayton Clyde Clyde Clyde Clyde Clyde Clyde ClydeNorth ClydeNorth ClydeNorth ClydeNorth ClydeNorth ClydeNorth ClydeNorth 4 4 2 3 1 1 4 2 6 4 2 2 4 3 1 3 2 2 4 2 2 3 1 2 3 2 3 4 2 2 4 2 2 4 2 2 4 2 2 3 1 6 4 2 2 3 1 5 4 2 2 3 1 2 4 2 2 4 2 2 3 2 1 4 2 2 3 2 2 4 2 2 4 2 2 3 2 1 3 2 2 4 2 2 4 2 2 4 2 2 4 2 7 3 2 2 4 2 2 4 2 2 $615 $450 $750 $550 $550 $480 $575 $480 $550 $555 $580 $600 $560 $500 $670 $450 $600 $465 $560 $570 $560 $750 $490 $550 $600 $450 $500 $580 $520 $570 $750 $480 $550 $525 $2,672 $1,955 $3,258 $2,389 $2,389 $2,085 $2,498 $2,085 $2,389 $2,411 $2,520 $2,607 $2,433 $2,172 $2,911 $1,955 $2,607 $2,020 $2,433 $2,476 $2,433 $3,258 $2,129 $2,389 $2,607 $1,955 $2,172 $2,520 $2,259 $2,476 $3,258 $2,085 $2,389 $2,281

We lease more.

A snapshot of last months leases.

Price perweek Price permonth Suburb Address June - July 2023 Review 4CrosswaterBoulevard 12HydeAvenue 10GalaxiasCourt 5ChittagongDrive 34MerrinCircuit 1/35EvelyneAvenue 57CircleDriveS 18FerndownDrive 7DianneCourt Unit2/56ElizabethStreet 4NaneaPath 12ArtfieldStreet 20QuattroAvenue 17VillagerStreet 30MarinerClose 73WheelersParkDrive 106SabelDrive 12SuttonRise 3TeneriffeStreet 109RosebankDrive 11JeffersonAvenue 36HoysteadAvenue 9LuminaAvenue 11/4BlueberryClose 12YamunaWay 17/37HollowayRoad 9/4-6KeysStreet 704/80CheltenhamRoad Unit2/315StudRoad 23FlorianaAvenue 23FlorianaAvenue 3HarmonDrive 37HarmonDrive Unit2/8PrestonAvenue ClydeNorth ClydeNorth ClydeNorth ClydeNorth ClydeNorth Cranbourne Cranbourne Cranbourne Cranbourne Cranbourne Cranbourne CranbourneEast CranbourneEast CranbourneEast CranbourneNorth CranbourneNorth CranbourneNorth CranbourneNorth CranbourneNorth CranbourneNorth CranbourneNorth CranbourneNorth CranbourneNorth CranbourneNorth CranbourneWest CroydonNorth Dandenong Dandenong DandenongNorth Doveton Dovetone Drouin Drouin EndeavourHills 4 2 2 4 2 2 3 2 2 3 2 2 4 2 2 2 1 1 3 2 1 4 2 2 3 2 2 2 1 1 3 2 4 3 2 1 4 2 2 4 2 2 4 2 2 4 2 2 4 2 2 3 2 2 3 2 2 4 2 2 4 2 2 3 2 1 4 2 2 2 1 1 3 2 2 3 2 2 2 1 1 1 1 1 3 1 1 3 1 1 3 1 1 4 2 2 4 2 2 2 1 1 $580 $600 $495 $495 $600 $390 $460 $530 $480 $390 $460 $390 $575 $460 $520 $540 $550 $480 $480 $600 $525 $460 $500 $380 $500 $590 $330 $320 $420 $400 $400 $490 $550 $420 $2,520 $2,607 $2,150 $2,150 $2,607 $1,694 $1,998 $2,302 $2,085 $1,694 $1,998 $1,694 $2,498 $1,998 $2,259 $2,346 $2,389 $2,085 $2,085 $2,607 $2,281 $1,998 $2,172 $1,651 $2,172 $2,563 $1,434 $1,390 $1,825 $1,738 $1,738 $2,129 $2,389 $1,825

We lease more.

A snapshot of last months leases.

Price perweek Price permonth Suburb Address June - July 2023 Review 17LittleBoyRise 38KinkeadCrescent Unit2/25BowenStreet 14KilberryCrescent 6BeechPlace 104PoundRoad 15PrincessMariaPlace 30VeronaDrive 2/13-15MickleStreet 18MurdochPlace 6EvergladesStreet 2/1ArgusCourt 8MurdochAvenue 1FairleighCourt 16AbeliaRise 1/1ArgusCourt 43GledhilllStreet Unit7/13JoyParade Unit8/13JoyParade 11TagoreWalk 82DodsonRoad 25TiTreeCrescent 1FernStreet 143MaryStreet 2GrishamDrive 5SaltmarshRoad 13MirabelleStreet 2DarwinWay 9ExpeditionCircuit 21PearceCourt 5TasmanClose 30MinsterAvenue 24MangroveStreet 21AirmaidDrive EndeavourHills EndeavourHills FerntreeGully Hallam Hallam HamptonPark HamptonPark HamptonPark KooWeeRup Langwarrin Lyndhurst NarreWarren NarreWarren NarreWarren NarreWarren NarreWarren NarreWarrenSouth NoblePark NoblePark Officer Officer Officer Officer Officer Officer Officer Pakenham Pakenham Pakenham Pearcedale WantirnaSouth Warragul Warragul WilliamsLanding 3 1 4 3 2 2 2 1 1 4 2 2 3 2 2 3 1 2 3 1 2 3 1 5 2 1 1 3 2 2 4 2 2 3 2 2 3 2 2 4 2 2 5 2 4 3 2 1 3 2 2 2 1 2 2 1 1 2 2 1 4 2 1 4 2 2 4 2 2 2 1 1 3 2 2 3 1 2 4 2 2 3 2 2 3 2 2 3 2 2 3 2 4 4 2 3 4 2 2 3 2 1 $450 $460 $435 $530 $465 $430 $400 $450 $350 $590 $560 $520 $550 $570 $550 $420 $450 $310 $290 $450 $490 $530 $520 $420 $500 $450 $500 $500 $470 $400 $580 $550 $545 $480 $1,955 $1,998 $1,890 $2,302 $2,020 $1,868 $1,738 $1,955 $1,520 $2,563 $2,433 $2,259 $2,389 $2,476 $2,389 $1,825 $1,955 $1,347 $1,260 $1,955 $2,129 $2,302 $2,259 $1,825 $2,172 $1,955 $2,172 $2,172 $2,042 $1,738 $2,520 $2,389 $2,368 $2,085

Scan, Learn, Stay Updated.

Rental Market Update Scan this QR code to instantly know your monthly rental update and stay informed.

5 reasons why OBrien

Reason #1

Access to more renters.

Inter-office promotion and selling increasing your property’s exposure. Latest prospective renter database.

Reason #2

Experience, integrity and knowledge.

Local area specialists, highly skilled and trained property managers across all offices.

Reason #3

Faster leasing time.

Our low days on market can translate into marketing savings. Less time on market ensures you receive the best possible price.

Reason #4

Constant improvement.

All property managers receive specialist industry training and have regular meetings.

Reason #5

Specialised marketing.

Professional photography and lease boards, utilising Australia’s premier real estate websites.

Bridget Daly

0488 224 161

Property Management Growth Specialist

Josh Barbut

0439 782 898

Property Management Growth Specialist

Rental Market Update
Our property management team Currently for lease Berwick Cranbourne Narre Warren Berwick 97070556 56-58 High Street berwick@obre.com.au Cranbourne 59950500 Cranbourne Park Shopping Centre FS005/125 S Gippsland Hwy cranbourne@obre.com.au NarreWarren 8794 0500 32 Overland Drive narrewarren@obre.com.au Rental Market Update

Our network

40 offices and growing

The quality of our service stems from the importance we place on the people behind our network.

Cranbourne Mornington Rye Endeavour Hills Frankston Langwarrin Somerville Hastings Narre Warren Mentone Keysborough Chelsea Carrum Downs Berwick Tecoma / Belgrave
Olinda Pakenham Oakleigh Sydenham Corporate Preston / Reservoir Brighton Werribee Torquay Melton Deer Park Cowes San Remo Wonthaggi Croydon Wantirna Vermont Ringwood Blackburn Cairns & Beaches Bairnsdale Drouin Warragul Far North Queensland Eastern Victoria Wangaratta Alexandra Wodonga Northern Victoria obre.com.au
/

Turn static files into dynamic content formats.

Create a flipbook
Issuu converts static files into: digital portfolios, online yearbooks, online catalogs, digital photo albums and more. Sign up and create your flipbook.