Scienza e Movimento - Numero 30

Page 1

FITNESS - GINNASTICA - BODY BUILDING - ATTIVITA MOTORIA - PREVENZIONE - PERSONAL TRAINER Anno VII - Numero 30 Luglio - Settembre 2022 calzetti & mariucci editori NUTRIZIONE E ATTIVITÀ FISICA PER L’EFFICIENZA COGNITIVA IN ETÀ ADULTA LA ROBOTIZZAZIONE NELL’ALLESTIMENTO DELLE CHEMIOTERAPIE LA COMPOSIZIONE CORPOREA DELL’ATLETA: ESTETICA O PRESTAZIONE? ORGANIZZAZIONE ED EFFETTI ADATTATIVI DELL’ALLENAMENTO DI RESISTENZA SULL’APPARATO CARDIOCIRCOLATORIO
Divulgazione • Consulenza • Formazione Corsi riconosciuti AICS (EPS CONI) • AFAA/NASM con il rilascio del DIPLOMA NAZIONALE ENTE DI PROMOZIONE SPORTIVA RICONOSCIUTO DAL CONI ai Corsi ) 199,00 Per info e iscrizioni www.infocorsi.com Tel 06 40403925 Alla quota di partecipazione sono da aggiungere ) 68,00 (una tantum) per il Diploma Nazionale e Tesserino Tecnico Corsi per: Personal Trainer, Tutti i corsi sono riconosciuti dall’AICS (EPS CONI) e comprendono: kit didattico, attestato/Diploma Nazionale, accesso gratuito al MASTER con riconoscimento INTERNAZIONALE, libri di testo, video e slide di approfondimento, assicurazione, inserimento a tempo indeterminato nella Banca Lavoro del Fitness. SIAMO PRESENTI IN OLTRE 26 CITTÀ Bari • BOLOGNA • Brescia • Cagliari • Catania • Firenze • Genova • Lecce • Mantova • Massa Carrara • MILANO • Napoli • Novara • Padova • Palermo • Parma • Pesaro • Pescara • Pisa • Reggio Calabria • ROMA • TORINO • Trento • Trieste • Udine • Verona •

DIRETTORE RESPONSABILE

Pierluigi De Pascalis pierluigi@depascalis.net

VICEDIRETTORE

Vincenzo Biancalana

COMITATO EDITORIALE

NonSoloFitness

via dei Castelli Romani, 41 00040 Pomezia - Roma Tel 06.93.37.72.30 info@nonsolofitness.it

COMITATO scientifico

Agosti Valeria - Università di Bergamo; Biancalana Vincenzo - Università di Urbino; De Pascalis Pierluigi - Università di Foggia; Digennaro Simone - Università di Cassino; Formenti Damiano - Università dell’Insubria; Latino Francesca - Università di Bari; Lovecchio Nicola - Università di Bergamo; Migliaccio Gian Mario - Sport Science Academy; Monacis Domenico -Università di Foggia; Padulo Johnny - Università di Milano; Sannicandro Italo - Università di Foggia; Sgrò Francesco - Università Unikore Enna; Trecroci Athos - Università di Milano Statale.

REDAZIONE E SEGRETERIA

Roberto Calzetti Editore srl Via del Sottopasso 7 Loc. Ferriera 06089 Torgiano (PG) - Italy Informazioni sull’abbonamento alla rivista e l’invio di articoli da parte degli autori su www.scienzaemovimento.it

EDITORE

Calzetti & Mariucci Editori di Roberto Calzetti Editore srl Via del Sottopasso 7 Loc. Ferriera 06089 Torgiano (PG) - Italy Tel. e Fax 075 5997310 info@calzetti-mariucci.it

Finito di stampare Settembre 2022 Tipografia Mancini (Tivoli) Registrazione: Trib. di Perugia n. 17 del 24/10/2014 - ISSN 2421-1303

Tutti i diritti riservati. È vietata la riproduzione anche parziale di articoli, foto e disegni senza l’autorizzazione dell’Editore. Images credits: ©Freepik

EDITORIALE

Chi ha deciso che l’anoressia è un problema ma l’obesità una scelta personale?

Andiamo per gradi perché, mai come questa volta, il rischio di una polemica sterile e strumentale è dietro l’angolo. Il fatto stesso che io debba fare la premessa che segue, e che per evidenziare un problema debba paragonarlo a uno di segno opposto, è il chiaro segnale della condizione preoccupante in cui, sotto la scure del politicamente corretto, siamo irrimediabilmente giunti.

Partiamo dall’anoressia, con sfumature lessicali differenti è, sotto il profilo diagnostico, un disturbo del comportamento alimentare. Non è un capriccio, non è una colpa, non è una scelta consapevolmente operata, non merita alcuno stigma sociale, necessita di essere trattata da figure specializzate (generalmente più di una), non sempre si guarisce ma non per questo ci si esime dal provarci. Talvolta purtroppo porta alla morte il soggetto, per questo –e non solo per questo- è assolutamente da evitare che modelli sociali, la moda, il cinema, la politica, la scuola, esaltino l’anoressia, ed è folle pensare di mettere in piedi un associazionismo che, direttamente o indirettamente, la promuova.

Spero che queste affermazioni siano condivise, anche qui con sfumature lessicali differenti, sotto la semplice guida del buonsenso. Se così non fosse, farei fatica a comprendere perché mai dovremmo invitare la moda a sostenere un modello di magrezza che può spingere verso l’anoressia, o mettere in piedi associazioni che inneggino o sostengano un simile disturbo del comportamento alimentare o, peggio, che neghino le ricadute e spingano i soggetti che ne sono affetti a non cercare soluzione ad un problema che potrebbe avere (e nella quasi totalità dei casi ha) ricadute drammatiche sulla salute, sino a mettere a rischio la vita stessa delle persone.

Toni e provocazioni degli editoriali, pur in una rivista tecnico-scientifica, sono un approccio dissacrante liberamente ispirato dalla sezione “Lettere al direttore” della prestigiosa rivista NewEnglandJournal ofMedicine(un estratto delle quali è disponibile nel volume “Scarpe slacciate e altre strane malattie”), e sono pertanto da intendersi come una parentesi derivante dall’osservazione più leggera del mondo del fitness.

Orbene, ai poli opposti dell’anoressia (perlomeno per caratteristiche fisiche) troviamo la condizione di obesità che, come per l’anoressia, non è una colpa, non merita alcuno stigma sociale, non è un capriccio, non è una scelta scientemente operata, tuttavia (al contrario dell’anoressia) non sempre cela dietro un disturbo del comportamento alimentare. Quasi mai altri disturbi organici spesso chiamati in causa a sproposito (problemi ormonali, metabolismo lento, ecc.). Molto più spesso, per alcuni versi fortunatamente, un’ampia maggioranza di casi è correlato a scelte personali più o meno dettate da scarsa cultura alimentare o del movimento, o perfino incoraggiate da contesti sociali dai quali emerge la distribuzione geografica.

SCIENZA E MOVIMENTO www.scienzaemovimento.it

Affermo che per alcuni versi questo è una fortuna, perché l’azione preventiva o il trattamento non si scontrano con la difficoltà propria dei comportamenti mediati e sostenuti da elementi della sfera psicologica. In ultimo, ma non per importanza, l’obesità come l’anoressia espone a tutta una gamma di problemi di salute, spesso molto gravi e talvolta irreversibili, che possono portare alle estreme con seguenze.

Malgrado un numero incredibile di punti in comune che porterebbe (sempre e solo guidati dal buonsenso) a ritenere le due circostanze facce di una medesima medaglia, condizioni talmente agli antipodi da toccarsi, si ritiene l’anoressia nel novero del “curabile”, l’obesità come fenomeno incoraggiabile, sostenibile dalla moda, dal cinema, dalla politica. Il tutto restando nascosti dietro una coltre di finta e irresponsabile inconsapevolezza in merito alle ripercussioni che può avere, anche sulle fasce più giovani della popolazione. Si accettano, e si caldeggiano, le associazioni che spingono verso una condizione di fatto patologica, che non a caso numericamente si sprecano. Si esaltano e si replicano le iniziative che hanno come comune denominatore quello di negare gli aspetti drammatici cui ci si espone, escludendo del tutto l’ipotesi di farsi seguire da figure specializzate (non ipotizzandolo neppure), ma anteponendo a tutto il concetto di doversi “accettare”, derubricando la questione a mero elemento estetico.

Anzi, sempre più spesso sbraitando contro chiunque affermi la necessità di intervento, sino al punto da coniare termini specifici (come la grassofobia), per additare meglio chi si permette di far notare che: diabete, ipertensione, infarto, ictus, incremento degli eventi tumorali, e perfino ripercussioni neurocognitive, sono ineluttabilmente associate alla condizione di obesità.

La moda, che spesso si comporta come uno sciacallo (al pari di certa politica), non manca di accorrere a questo banchetto per creare facile consenso. E così, con un colpo di spugna, passa dalle modelle anoressiche alle modelle obese o gravemente obese per le quali, neanche a farlo apposta, ha coniato termini specifici, perché quelli di cui già si disponeva sono troppo evocativi di un problema.

Dietro la foglia di fico del politicamente corretto, in una sorta di trasposizione della fattoria degli animali (con animali di serie A e quelli di serie B), si è deciso che alcune patologie meritino (giustamente) l’atten zione di un trattamento e un affiancamento professionale specializzato, meritino (giustamente) che non vengano fomentate dai modelli estetici, meritino (giustamente) che siano tutelate da chi prova a fare proseliti sulla pelle di chi soffre. Mentre alcune altre, l’obesità in questo caso, possano essere derubricate a mere scelte estetiche, come se indurre ipossia dei tessuti a causa del grasso viscerale (per dirne una), fosse equiparabile alla scelta del verde in sostituzione del blu in un vestito da cerimonia. Arrivando perfino a negare le implicazioni sulla salute poc’anzi elencate, ed etichettando qualunque osservazione come un fenomeno di bodyshaming. L’uso di etichette contro l’etichettamento!

Uno scollamento dalla realtà che ruzzola e si ingigantisce con la sua avanzata al pari di una valanga, e che non manca di travolgere la politica. Non solo, quest’ultima, inerme di fronte alla necessità di una seria attività di prevenzione, ma perfino ignara dei modelli che “esibisce” quando sceglie di affidare alcuni ministeri dalla salute a soggetti che non rappresentano esattamente un modello cui ispirarsi in termini di stili di vita, rimarcando quanto il problema sia sottovalutato e quanto, al grido della finta accettazione, non si faccia altro che amplificare il rischio di nuovi casi e nuove patologie, sulla pelle degli altri!

DePascalis

2 Scienza e movimento N. 30 Luglio-Settembre 2022 EDITORIALE
Pierluigi

CONTENUTI

NUTRIZIONE E ATTIVITÀ FISICA PER L’EFFICIENZA COGNITIVA IN ETÀ ADULTA di Pierluigi De Pascalis

LA ROBOTIZZAZIONE

NELL’ALLESTIMENTO DELLE CHEMIOTERAPIE di Domenico Cesi, Michela Santilli

LA COMPOSIZIONE CORPOREA

DELL’ATLETA: ESTETICA O PRESTAZIONE? di Gian Mario Migliaccio, Alessandro Esposito, Emanuele Palmieri

ORGANIZZAZIONE ED EFFETTI ADATTATIVI DELL’ALLENAMENTO DI RESISTENZA SULL’APPARATO CARDIOCIRCOLATORIO di Michele Trallo

3Scienza e movimento N. 30 Luglio-Settembre 2022 SCIENZA E MOVIMENTO www.scienzaemovimento.it
05
19
23
33

Dimagrire in salute è facile con le verità della scienza

Questo libro tratta il tema del dimagrimento, fornendo informazioni basate su fonti scien tifiche autorevoli e aggiornate, e, soprattutto, sull’applicazione delle stesse.

Non ci sono pareri personali o, peggio ancora, false promesse che fanno leva sul senso di insoddisfazione per “spingere” il lettore all’ac quisto di qualche prodotto e/o servizio magico. Ci sono solo informazioni oggettive e verifica bili, oltre all’esperienza diretta dell’autore, che lavora in questo settore da oltre vent’anni, con risultati altrettanto verificabili.

Qual è il vantaggio di avere questo tipo di infor mazioni? È quello di non essere più vittima del principio di “bias della mera esposizione”.

Si tratta di quel fenomeno inevitabile che acca de quando un determinato principio o concetto viene ripetuto tante volte da tante persone. In questi casi, la maggior parte di noi è portata ad accettarlo e crederlo vero, senza però effettuare particolari verifiche. Ciò si spiega, in parte, col fatto che, se non siamo realmente appassionati e competenti in un determinato argomento, non abbiamo né tempo, né voglia, né la capacità di approfondirlo.

L’autore ha eseguito questo certosino lavoro di approfondimento e lo ha sintetizzato all’interno del libro.

Il lettore potrà beneficiare dei punti chiave di ogni concetto, oppure potrà approfondirlo a sua volta, perché per ognuno di essi troverà sempre i riferimenti scientifici.

In conclusione, la lettura di questo libro con sentirà al lettore di avere una visione più chiara ed oggettiva del dimagrimento. Sarà in grado di comprenderne i principi basilari, le varie fasi, ciò che può o non può funzionare e perché. Sarà in grado, quindi, di valutare e scegliere in modo razionale.

Autore: Maurizio Falasconi 224 pagine - 29,70 euro

Disponibile per l’acquisto su Amazon

LA SCIENZA DEL SONNO, PER VINCERE

Moltiplicare le energie nello sport e nella vita grazie al sonno di qualità.

L’integratore più efficace per la salute e la performance è il sonno. Come tutti gli integra tori dimostra una reale efficacia negli stati di carenza, ed il sonno è una carenza per almeno la metà della popolazione. Pur se ritenuto, erro neamente, un tempo sottratto alla produttività, il sonno ha dimostrato effetti scientificamente misurati sulle aree cognitive, la capacità d’imparare e prendere decisioni, ricalibrare le emozioni, rimettere in sesto il sistema immuni tario e regolare l’appetito. È fondamentale nella sintesi proteica, nel ripristino delle energie, nel consolidamento della memoria a breve termine in quella a lungo termine, nella focalizzazione e concentrazione e nella gestione dell’umore. In questo libro Gian Mario Migliaccio, dottore di ricerca e divulgatore scientifico, spiega come affrontare e risolvere il problema del sonno per moltiplicare le energie.

Tra i temi trattati:

•Conoscere il sonno: leggero, profondo e REM

•Capire le fasi del sonno e i loro benefici •Conoscere cosa favorisce e cosa com promette il sonno e le sue fasi

•Monitorare il proprio sonno o quello dei nostri atleti o pazienti

•Adottare precise strategie, anche nutrizio nali, per rispondere alla carenza del sonno •Valutare il miglioramento, misurare il risultato

Autore: Gian Mario Migliaccio 240 pagine - 29,90 euro Disponibile per l’acquisto su www.migliaccio.it

TASSONOMIA DELLA FORMAZIONE MOTORIA E SPORTIVA

Indicazioni sistematiche, metodologiche, didattiche e tecnico-tattiche per lo sport giovanile nelle diverse età: l’esempio della pallacanestro. Il testo si distingue in due parti la prima delle quali ripercorre quegli elementi essenziali della formazione sportiva in generale, ma con un in teresse rivolto in particolare ai giovani, elementi tratti dalle materie che interagiscono in modo diretto alla costruzione di un percorso adegua to ad una perfomance “sostenibile” degli atleti. Nella prima parte si ripercorrono quindi concetti primari senza mai dimenticare la fondante letteratura metodologico-didattica degli autori che hanno illuminato tali saperi.

La seconda parte è dedicata all’importanza dell’insegnamento differenziato e adeguato alle diverse età, delle indicazioni operative di stampo tassonomico, dell’attività giova nile (12-13/19-20 anni) e non solo che segue quella dei minisport (5-6/11-12 anni). Elementi tecnici che procedono di pari passo a quegli elementi psico-pegagogici che accompagnano l’evoluzione formativa del giovane e ne sono parte indissolubile, costruendo una struttura dettagliata del percorso di insegnamento senza mai dimenticare il soggetto dell’azione formativa cioè l’individuo nelle sue componenti fisiche e psichiche.

Autore: Riccardo E. Izzo

200 pagine - 24,90 euro

Editore NonSoloFitness

Disponibile per l’acquisto su www.nsf.it/libri

4 Scienza e movimento N. 30 Luglio-Settembre 2022
AMA IL TUO CORPO
LIBRI

KEYWORDS

Diet; physical activity; mild cognitive impairment; dementia; Alzheimer disease.

Nutrizione e attività fisica per l’efficienza cognitiva in età adulta

Il concetto stesso che l’invecchiamento sia una fase che in modo inevitabile porta con sé patologie che interessano anche l’ambito neurologico, è tutt’altro che scontato. Numerose sono le ricerche, gli studi clinici ed epidemiologici che confermano quanto lo stile di vita possa agire nel prevenire e mitigare le patologie neurodegenerative e il declino cognitivo. La memoria episodica, la memoria di lavoro, la rievocazione dei ricordi, sino a patologie tristemente note come l’Alzheimer, possono essere correlate, in

termini prognostici, all’equilibrio esistente tra alimentazione e attività fisica. Addirittura per l’Alzheimer si parla di una riduzione sino al 50% del rischio di comparsa nei soggetti sportivi (Hamer M, et al., 2009; Ahlskog JE, et al., 2011). Ma gli stili di vita coinvolgono a 360 gradi le attività in cui le persone sono coinvolte, passando per il sonno e i livelli di stress -anche questi migliorabili attraverso l’attività motoria-, il fumo e il coinvolgimento in attività che tengano cognitivamente impegnati.

Dott. Pierluigi De Pascalis

Laureato Magistrale in Scienze Motorie, laureato Magistrale in Scienze della Nutrizione Umana, biologo nutrizionista, responsabile della formazione e divulgazione scientifica di NonSoloFitness. Professore a contratto presso l’Università degli Studi di Foggia. pierluigi@depascalis.net - www.depascalis.net

La neuroplasticità è infatti un processo che dura tutta la vita, se adeguatamente stimolato e supportato, si tratta di una capacità intrinseca del cervello che può andare incontro a modificazioni strutturali e funzionali in risposta a eventi fisiologici (e patologici), oltre che a stimoli ambientali come l’apprendimento. La plasticità cerebrale supera il concetto di epigenesi predeterminata, secondo la quale il cervello era considerato geneticamente predeterminato, immutabile e incapace di rispondere alle influenze ambientali. La neuroplasticità, sebbene a ritmi e con procedure differenti nel corso della vita, garantisce il permanere di un certo grado di dinamicità, che consente la riorganizzazione in risposta a esigenze e stimoli di tipo motorio, cognitivo e affettivo.

5Scienza e movimento N. 30 Luglio-Settembre 2022

Quando si parla del cervello che funziona al pari della struttura muscolare, non è quindi una semplificazione del processo, ma un parallelismo assolutamente pertinente. Come per il muscolo, le strutture cerebrali hanno bisogno di stimoli idonei, ma al contempo necessitano del corretto nutrimento, del giusto riposo, pur restando in qualche misura influenzabili e con risposte di entità differente nelle diverse età, e naturalmente con prerogative mediate da fattori genetici. Tutto questo è reso ancora più interessante se si considera la circolarità degli eventi, per effetto dei quali una buona performance motoria garantisce elevati gradi di autonomia e risorse cognitive che permangono elevate, al contempo elevate risorse cognitive favoriscono il desiderio di una vita attiva e della conservazione della socialità dell’individuo. Socialità che prevede anche impegni di natura motoria, che quindi a loro volta fanno ripartire il circolo virtuoso che l’attività fisica medesima ha innescato.

Sarà quindi utile e necessario analizzare i processi attraverso i quali il tutto può essere ottimizzato, indicando infine le linee guida per la corretta somministrazione di attività fisica e supporto nutrizionale.

DECLINO COGNITIVO, UNA BREVE PARENTESI

Ciascun organo del corpo umano, con l’avanzare dell’età, subisce una progressiva compromissione delle sue funzioni. A questo non si sottrae il cervello che, in maniera più o meno evidente, è interessato da un decadimento delle funzioni cognitive che riguardano la memoria, il problem solving, e più in generale tutte le funzioni della mente.

Il decadimento cognitivo ha differenti gradi di severità, dal decadimento cognitivo lieve che, pur caratterizzato dai segni dell’età non compromette la vita quotidiana, sino a circostanze più invalidanti che progressivamente sfociano nella confusione, smarrimento, difficoltà del linguaggio ecc.

Il decadimento cognitivo lieve può essere una delle prime tappe verso manifestazioni più gravi, come la demenza, o la malattia di Alzheimer ma può essere anche uno stadio transitorio e reversibile.

Il disturbo neurocognitivo, pur con manifestazioni analoghe, può avere cause molto differenti, ma permane sempre un danno cerebrale che in alcuni casi può essere acuto (come per l’ictus) o, più frequentemente essere il frutto di una progressione, talvolta resa evidente superata una certa soglia (anche dopo decenni dall’inizio del processo che la provoca).

Questo genere di declino cognitivo è quello più prettamente legato all’invecchiamento, che poi sfocia nella demenza senile. In una prima fase vi sono aree del cervello vicarie delle zone compromesse, e quindi la manifestazione può presentarsi più sfumata pur essendoci casi in cui progredisce rapidamente.

6 Scienza e movimento N. 30 Luglio-Settembre 2022
Figura
1:
la Malattia di Alzheimer è caratterizzata dall’anomalo accumulo di placche e grovigli neurofibrillari
Image credit: Shutterstock/Designua

Nutrizione e attività fisica preventiva

Le principali forme di disturbo neurocognitivo legate all’età (e ulteriormente citate in seguito)

sono:

• disturbo neurocognitivo lieve;

• disturbo neurocognitivo legato alla malattia di Alzheimer;

• disturbo neurocognitivo vascolare;

• disturbo neurocognitivo legato alla malattia di Parkinson;

• demenza con corpi di Lewy.

Per ciascuna forma di declino cognitivo le cause sono multifattoriali e tra queste ovviamente l’età, gli stili di vita, la predisposizione genetica, problematiche metaboliche e vascolari. Al momento sembrano coinvolti circa l’8% degli over 65 e il 20% degli over 80, con numeri assoluti preoccupanti determinati anche dall’incremento dell’aspettativa di vita media.

Al momento non sembra esserci una terapia farmacologica in grado di arrestare o trattare tale processo, pertanto tutto si gioca in termini preventivi attraverso gli stili di vita di seguito indicati.

DIETA E PROCESSI COGNITIVI

Prima ancora di analizzare le implicazioni concrete, uno dei regimi maggiormente studiati e con maggiore solidità relativamente alla prevenzione dei processi cognitivi è la dieta mediterranea. È sempre bene precisare due elementi: la dieta mediterranea non è quella che nell’accezione comune si basa su pane, pasta e pizza, ma un approccio ben più articolato che tiene conto della stagionalità dei prodotti, dell’area geografica di provenienza, che predilige prodotti integrali, legumi, olio d’oliva, pesce e moderato apporto di carni animali. Secondo e non trascurabile elemento, la dieta mediterranea implica un impegno muscolare considerevole, quindi una attività fisica da svolgere costantemente. Le evidenze relativamente al ruolo protettivo della dieta mediterranea sono talmente numerose che una delle maggiori difficoltà nella stesura di questo articolo è stata quella di non essere ridondanti nella citazione dei lavori presenti, sia in termini di studi (Scarmeas

N, et al., 2006) che di revisioni sistematiche (Lourida I, et al., 2013), sia per quanto riguarda condizioni gravi come la malattia di Alzheimer che per quanto attiene il disturbo cognitivo lieve (Singh B, et al., 2014), e naturalmente per quanto concerne la progressione di quest’ultimo. Tuttavia il numero di citazioni di tale regime saranno prevalenti rispetto ad altri elementi, perlomeno per quanto attiene gli stili alimentari e non il singolo elemento o alimento.

La complessità di uno stile di vita infatti, al netto dell’importanza di alcuni elementi singolarmente individuabili (anche in termini di macro e micro nutrienti), è ben più determinante. Le evidenze scientifiche dimostrano che l’aderenza alla dieta mediterranea correla con un minore declino cognitivo, demenza e malattia di Alzheimer (van de Reste O, et al., 2015), e non solo ridotto rischio di Alzheimer ma anche minore conversione in Alzheimer nei pazienti con deterioramento cognitivo lieve (Scarmeas N, et al., 2009).

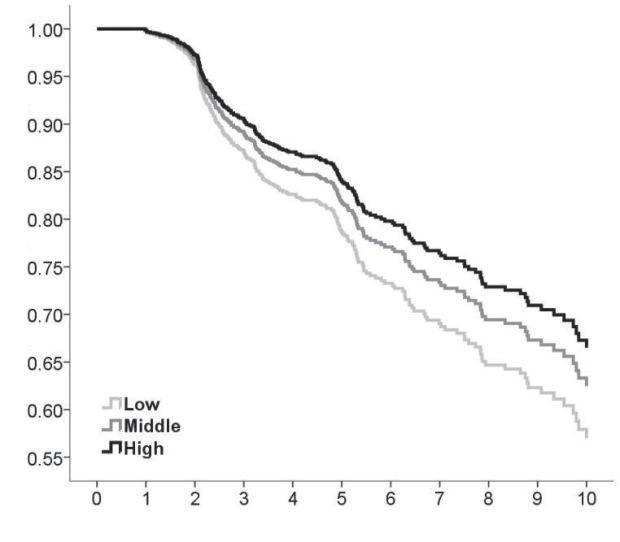
Figura 2: Comparsa di MCI in rapporto all’aderenza alla dieta mediterranea

7Scienza e movimento N. 30 Luglio-Settembre 2022
Prababilità cumulativa della non comparta di MCI (decadimento cognitivo lieve Terzile MeDi (dieta mediterranea) Anni trascorsi dal punzo zero

Al contrario, al netto di ulteriori conseguenze derivanti dal sovrappeso, una dieta ricca di grassi e colesterolo porta a deterioramento cognitivo per alterata plasticità sinaptica e aumento dell’amiloidosi (Martins IJ, et al. 2006; Pasinetti GM, et al., 2008). La condizione di obesità è associata ad aumentato rischio di demenza soprattutto se presente a partire dalla mezza età (Xu WL, et al., 2011), mentre un lieve sovrappeso in età avanzata potrebbe essere un elemento protettivo. Al contrario una progressiva perdita di peso in età anziana potrebbe essere essa stessa un campanello d’allarme precoce per la demenza, secondario all’alterazione degli stili di vita che la patologia determina.

Molti di questi fenomeni possono essere contestualmente causa ed effetto. Se infatti è vero che un iniziale decadimento cognitivo porta a una condizione di dimagrimento sostenuta da una condizione di malnutrizione più o meno grave, e altrettanto vero che la malnutrizione (condizione certamente più diffusa in terza età, anche per implicazioni sociali, cognitive, ecc.) causa una carenza nutrizionale che può essere essa stessa motivo di compromissione funzionale.

Gli elementi che maggiormente sembrano incidere nel contrasto al declino cognitivo sono: vitamina C, vitamina E, flavonoidi, acidi grassi insaturi, pesce, vitamina B12, etanolo (per consumo da modesto a moderato), omega3, bassa assunzione generale di grassi (Scarmeas N, et al., 2009).

Questi fattori hanno naturalmente valenza all’interno di regimi alimentari compositi più che come elementi presi singolarmente, come per altro in molteplici altre circostanze (e per differenti analisi) è stato dimostrato. Inoltre, come in seguito sarà ribadito, questi stessi prodotti presenti nella dieta mediterranea hanno un forte impatto sul benessere vascolare, ovvero sulla prevenzione del rischio, che rimane un elemento fortemente correlato col declino cognitivo e la malattia di Alzheimer.

Nell’immagine che segue sono chiaramente visibili le curve di sopravvivenza basate sull’analisi di Cox che confrontano l’incidenza cumulativa dell’MCI (decadimento cognitivo lieve) in soggetti cognitivamente normali alla prima valutazione, per ciascun terzile della dieta mediterranea (fonte: Scarmeas N, et al.,

2009), evidenziando la relazione protettiva che è via via maggiore rispetto al grado di aderenza al regime dietetico.

Emerge quindi un ruolo della dieta mediterranea in termini preventivi sia per il declino cognitivo, sia per la malattia di Alzheimer, sia per l’aggravarsi dell’eventuale disturbo cognitivo lieve.

A questo si aggiungono studi non meno importanti che riguardano l’evoluzione e la sopravvivenza dopo la diagnosi di Alzheimer, anche in questo caso gli studi confermano una associazione tra aderenza al regime e sopravvivenza del soggetto (Scarmeas N, et al., 2007).

Come verosimilmente intuibile, un simile approccio nutrizionale ha ricadute positive anche su soggetti anziani sani.

È stata evidenziata una maggiore performance relativa a memoria episodica, velocità di elaborazione del ragionamento, memoria di lavoro, attenzione, e altri domini cognitivi (Loughrey DG, et al., 2017), performance i cui correlati fisiologici sembrano connessi con il miglioramento vascolare, la riduzione dello stress ossidativo, una ridotta infiammazione cronica.

8 Scienza e movimento N. 30 Luglio-Settembre 2022
Figura
3:
Deterioramento strutturale del cervello nelle differenti condizioni cliniche
Image credit: Shutterstock/Designua

Studi di neuroimaging sui medesimi campioni hanno evidenziato un volume maggiore del cervello, materia grigia e sostanza bianca, in chi consumava maggiori quantità di pesce e minori quote di carne (Gu Y, et al., 2015) ma, a rendere più complessa la situazione, sembrerebbe che simili modifiche dipendano non solo dalle quantità in termini assoluti, ma anche dalla tipologia di prodotti introdotti (Wu L, et al., 2017), rendendo più complesso replicare i benefici al di fuori di una specifica area geografica.

ANTIOSSIDANTI E OMEGA3

Si ritiene che lo stress ossidativo e la compromissione vascolare possano essere un fattore significativo per la comparsa della demenza, per questo una alimentazione ricca di antiossidanti può avere funzioni protettive. Studi controllati hanno fatto emergere come una dieta mediterranea ben integrata con olio d’oliva o noci fosse associata a una migliore funzione cognitiva (Valls-Pedret C, et al., 2015). Non di meno i flavonoidi naturalmente presenti in frutta, verdura, the verde, frutti di bosco (e in particolare i mirtilli e fragole), sono supportati positivamente da numerosi studi, dai quali emerge

un rallentamento dell’invecchiamento cognitivo sino a 2 anni e mezzo (Devore EE, et al., 2012). Nell’immagine che segue sono indicate le fonti alimentari e la percentuale di ciascuna di queste nell’apportare sei sottoclassi di flavonoidi (antocianidine, flavonoli, flavoni, flavanoni, flavan-3-oli e flavonoidi polimerici), nello studio segnalato. L’introduzione di lignani contenuti in alcuni vegetali (e in particolare nella segale, carote, broccoli, cavoli, fragole e frutti di bosco), è linearmente associata a un minor declino della funzione cognitiva globale, della memoria e della velocità di elaborazione (Devore EE, et al., 2012).

9Scienza e movimento N. 30 Luglio-Settembre 2022
Figura 4: Alimenti impiegati nello studio (fonte: Buchman, 2012) Percentuale
Altro Mirtilli Banana Mela vino rosso Arancia Fragola Cipolla Té
Antocianidine flavonoli flavoni flavanoni flavan-3-oli flavonoidi polimerici flavonoiditotali
Nutrizione
e attività fisica preventiva

L’azione sinergica delle catechine presenti nel té verde presenta una azione multidirezionale nei confronti del declino cognitivo e della demenza (anche associata a malattia di Alzhaimer) (Kakutani S, et al., 2019); in questo caso le bevande hanno spesso un ruolo anche pratico che bypassa la percezione di una dieta radicalmente mutata, e per questo possono essere più facilmente integrate. Non di meno l’attività esercitata è soprattutto di tipo preventivo. Le catechine, oltre che l’azione antiossidante diretta, possono chelare gli ioni metallici bivalenti, hanno azione antiinfiammatoria cerebrale, inibiscono

l’aggregazione di proteina beta-amiloide, possiedono azione antitrombotica.

Pur essendo un elemento molto controverso, il vino rosso è tra i prodotti indicati come fonte di flavonoidi in alcuni degli studi citati, merita quindi ulteriori dettagli. Al netto di altre implicazioni la maggior parte degli studi in esame segnala un rallentamento delle malattie neurodegenerative legate all’età nel caso di moderata assunzione (Arntzen KA, et al., 2010; Caruana M, et al. 2016), al contrario una introduzione maggiore determina processi opposti. Non è tuttavia ancora chiaro se tali benefici siano imputabili

ai polifenoli, come resveratrolo, quercetina e catechine in esso contenuti, o all’azione diretta dell’alcool (e alla sua specifica concentrazione nel vino rosso).

Gli omega3 hanno una serie di ruoli chiave in termini preventivi, legati anche ad altre ripercussioni tipiche di una alimentazione che ne sia ricca: effetti cardioprotettivi, anti-iperlipidemia, anti-trombotici, antinfiammatori, anti-ipertensivi e anti-aritmici. Non è un caso che da studi già citati emerga il ruolo determinante del pesce, alimento che ne è naturalmente ricco. Gli omega3 pertanto, sono riconosciuti come elementi utili per un invecchia-

Riepilogo degli effetti positivi a livello cognitivo (confermati da 9 studi su 12)

Incidenza di demenza

Punteggi di memoria di riconoscimento verbale immediato e ritardato

Punteggio PAL (Apprendimento associato)

Memoria a breve termine e di lavoro

Memoria verbale immediata

Capacità di richiamo ritardato

Modifica di 12 mesi nella memoria

Punteggi di scioltezza verbale

Punteggi di memoria

Tasso di apprendimento

MMSE (Mini-Mental State Examination)

Valutazione della sensibilità olfattiva

Scioltezza verbale semantica

Punteggio MNA (Mini Nutritional Assessment)

Punteggi GDS (Geriatric Depression Scale)

Salute mentale

Scioltezza verbale

Test della memoria di lavoro

Richiamo verbale immediato e ritardato

Tempo per replicare una figura complessa

Capacità di apprendimento

Sintomatologia depressiva

10 Scienza e movimento N. 30 Luglio-Settembre 2022
Tabella 1: Riepilogo effetti a livello cognitivo (Mod. da Molfino A, et al., 2014)

mento più sano in linea generale (Riediger NG, et al., 2009), ma con ripercussioni evidenti e riconosciute anche sulla sfera cognitiva. La classe degli acidi grassi essenziali omega3 include ALA (acido linolenico), DHA (acido docosaesaenoico) e EPA (acido eicosapentaenoico).

L’organismo può agire enzimaticamente per ricavare EPA e DHA partendo da ALA, sebbene già dopo i 30 anni l’efficienza di tale processo inizia a ridursi suggerendo l’introduzione di fonti dirette anche di EPA e DHA. Altro aspetto da tenere in considerazione è il rapporto tra omega3 e omega6 introdotti, il rapporto ottimale è compreso tra 4:1 e 10:1 in favore degli omega6, rapporto che le comuni diete spesso portano anche a 15:1 a causa dell’impiego di olii vegetali o pesce d’allevamento. Fatte queste precisazioni, si segnala come il DHA (sia proveniente dall’alimentazione che derivante dalla conversione epatica a partire da ALA) è direttamente neuroprotettivo contribuendo alla normale funzione cerebrale. Livelli plasmatici di EPA più elevati, coincidono con una riduzione dei casi di demenza, incrementata invece da un aumento del rapporto omega6/ omega3 (Samieri C, et al., 2008).

Una integrazione di DHA per 24 settimane è stata in grado di migliorare la memoria in anziani sani ma con declino cognitivo. Altri studi, su campioni e dosaggi differenti, hanno confermato il miglioramento della memoria a breve termine, della memoria di lavoro, la capacità di richiamo ritardato ecc. L’integrazione di EPA e DHA per 6 mesi in soggetti con lieve compromissione cognitiva ha mostrato un miglioramento generale della salute mentale (Sinn N, et al., 2012).

Nella tabella che segue (Molfino A, et al., 2014) si riporta l’elenco degli effetti positivi a livello cognitivo che emergono dopo introduzione di omega3.

La revisione della letteratura scientifica suggerisce in modo pressoché concorde il ruolo degli omega3 nel ridurre il rischio di declino cognitivo negli anziani.

Tuttavia non è trascurabile un altro elemento nutrizionale relativo al consumo settimanale di pesce al forno o alla griglia, che è risultato positivamente associato ai volumi di materia grigia nell’ippocampo, nel precuneo, nel cingolato posteriore e nella corteccia orbitale frontale indipendentemente dal contenuto di acidi grassi omega3. Sottolineando ancora una volta che, per quanto ogni singolo elemento qui osservato abbia una rilevanza statisticamente misurata e misurabile, una confluenza di fattori influenza la salute del cervello, e le strategie di prevenzione devono iniziare decenni prima (Raji CA, et al., 2014).

VITAMINA D

Numerose sono le vitamine implicate nei processi di prevenzione del decadimento cognitivo, come il citato complesso vitaminico B. Una trattazione specifica merita invece la vitamina D, in particolare perché si tratta di una vitamina la cui carenza nella popolazione è estremamente diffusa, e le cui ricadute riguardano un numero enorme di frangenti, dal metabolismo osseo al sistema immunitario. Inoltre, al contrario di quanto accade per molte altre vitamine, non sempre la comune dieta e/o l’esposizione al sole, sono sufficienti per raggiungere i livelli minimi necessari. Anche sul fronte della ricerca legata ai processi cognitivi la vitamina D ha e ha

avuto un ruolo significativo, una interessante metaanalisi fa emergere infatti una associazione tra livelli di vitamina D e incidenza dei casi di demenza o malattia di Alzheimer (Shen L, et al., 2015).

Tuttavia associazione non è in alcun modo sinonimo di causa, e gli studi a riguardo sono ancora contrastanti. In ogni caso la vitamina D ha un ruolo funzionale di regolazione dei neurotrasmettitori e delle neurotrofine, oltre ad avere implicazioni antinfiammatorie, sembra prevenire l’accumulo di beta-amiloide, svolge infine molteplici funzioni in tutto il sistema nervoso centrale. Tuttavia, in considerazione della forte associazione tra bassi livelli di vitamina D e disfunzioni esecutive, come velocità di elaborazione ridotta, e pur essendo prematuro fare affermazioni incontrovertibili sulla diretta azione preventiva, è da ritenersi importante nella fase adulta della vita una maggiore osservazione dei livelli ematici, valutando l’eventuale supplementazione in caso di carenza.

PROTEINE

L’apporto proteico negli anziani dovrebbe spesso essere rivisto. C’è l’errata tendenza ad una quota giornaliera inadeguatamente bassa, elemento che espone a problematiche ossee e metaboliche anche secondarie alla sarcopenia (aggravata dalla sedentarietà). Pertanto è necessario sottolineare anzitutto che sarebbe opportuno non scendere al di sotto di 1,1 g per kg di peso corporeo secondo quanto suggerito dall’European Society for Clinical Nutrition and Metabolism, valutando anche apporti più marcati in caso di evidente stato carenziale o attività fisica, circostanze per le quali è possibile giungere sino a 1,5 g per kg di peso (Morais JA, et al., 2006).

11Scienza e movimento N. 30 Luglio-Settembre 2022
Nutrizione
e
attività fisica
preventiva

L’apporto proteico deve prediligere per una buona metà proteine di buono/elevato valore biologico. Dai dati in letteratura emerge come una maggiore presenza di carne, uova e legumi possa contribuire al mantenimento di una buona funzione cognitiva nei soggetti di età pari o superiore ai 60 anni, mentre si raccomanda moderazione nell’impiego di proteine assunte per tramite di latte e suoi derivati (Li Y, et al., 2020).

ATTIVITÀ FISICA

E PROCESSI COGNITIVI

L’attività fisica ha effetti protettivi diretti e indiretti sul rischio di demenza e, tra l’altro, migliora la perfusione cerebrale e aumenta la neurogenesi. A livello indiretto, come sarà oltremodo ribadito, riduce significativamente i disordini metabolici e le patologie cardiovascolari che favoriscono il declino cognitivo. Numerosi sono gli studi epidemiologici che associano in modalità dose-risposta la prevenzione della demenza e del deficit cognitivo (Buchman AS, et al., 2012).

ATTIVITÀ FISICA E INTERAZIONI CON LA PLASTICITÀ NEURONALE E LA SFERA COGNITIVA1

L’attività fisica non è solo una delle funzioni più importanti tra quelle che il controllo nervoso, e i muscoli come organi effettori, consentono di fare, ma è anche un processo che ha ricadute dirette e marcate sulla funzionalità cerebrale. Tra le più significative quelle correlate col trofismo dell’ippocampo, responsabile della memoria a lungo termine, della memoria dichiarativa, e dell’elaborazione spaziale delle informazioni.

L’attività fisica stimola in modo diretto la neurogenesi, la funzionalità ippocampale e regola l’umore. Il tutto è mediato da una

1: Tratto da: De Pascalis,

serie di eventi e in particolare un aumento della vascolarizzazione e il rilascio di fattori di crescita che vanno dall’oressina-A al BDNF (brain derived neurotrophic factor) il fattore di crescita neurotrofico (Chieffi S, et al., 2017).

Lo stimolo motorio, come del resto stimoli provenienti da ambienti arricchiti, e quindi che sollecitano elementi legati all’apprendimento, alla sfera cognitiva e affettiva, stimolano la neurogenesi dell’ippocampo che può determinare anche il raddoppio delle unità cellulari e consente di misurare un incremento dell’attività colinergica. Su modelli murini si assiste perfino a maggiore neurogenesi dopo l’induzione di lesioni specifiche.

Il processo di neurogenesi è promosso dalla migrazione di cellule multipotenti dal giro dentato, che porta alla nascita di neuroni e cellule gliali. L’insieme di adattamenti che ne consegue, oltre a migliorare le performance cognitive, è in grado di agire direttamente nel contrastare il declino cognitivo, con risultati apprezzabili già dopo 3 mesi di lavoro su soggetti sedentari.

Gli effetti riguardano anche giovani dai 21 ai 45 anni, sui quali si assiste al miglioramento della memoria verbale e del riconoscimento spaziale, ma è naturalmente sugli anziani che il beneficio è maggiore. L’efficienza attentiva e il controllo del processo esecutivo sono direttamente coinvolti e, sotto gli effetti del BDNF, migliora la plasticità sinaptica e l’apprendimento in generale.

Come già detto i fattori di crescita coinvolti sono numerosi dall’IGF-1 al VEGF, ma naturalmente questo determina anche adattamenti a livello di trascrizione genica, quindi si può parlare a pieno titolo di intervento epigenetico dell’at-

tività fisica sul sistema nervoso centrale (Karnib N, et al., 2019).

Se si tiene conto di ulteriori elementi come la fisiologica riduzione della memoria in generale, e della memoria a lungo termine nello specifico, della compromissione dell’attenzione e della velocità di elaborazione che insorgono in età anziana, e se si considera la rimozione del rischio neurotossico derivante dallo stress, l’attività fisica può essere considerata a tutti gli effetti come un intervento terapeutico, sia in termini preventivi che di trattamento.

Lo stress infatti è una risposta aspecifica determinata da diversi tipi di stimoli, che possono essere fisici, ma anche psichici, cognitivi, emotivi ecc. In presenza di una condizione di stress cronico la quota di cortisolo circolante aumenta e, al netto di altre gravi conseguenze organiche, questa determina un incremento nell’ingresso di ioni Ca2+ con effetto neurotossico sull’ippocampo e sulla sua funzionalità.

L’attività fisica invece agisce direttamente nel ridurre le condizioni di stress, anche per mezzo del lattato prodotto con lavori di media/alta intensità. Il lattato è in grado di superare la barriera ematoencefalica, raggiungere l’ippocampo, stimolando il rilascio di dopamina e BDNF, con ricadute sia sull’umore che sul trofismo (Carrard A, et al., 2021).

Un minore volume dell’ippocampo correla infatti con stati depressivi, promossi da bassi livelli di oressina. In pazienti con istinti suicidari è stata individuata una bassa presenza di oressina e BDNF indotta da uno stato di sostanziale immobilità, innescando un circolo vizioso che determina l’incremento dei rischi.

Fitness e neuroscienze:

miglioramento della performance cognitiva attraverso l’attività fisica.

12 Scienza e movimento N. 30 Luglio-Settembre 2022
P.,
il
“Scienza e Movimento”, num. 26, Lug-Set 2021

ABSTRACT

Alti livelli di lattato si suppone possano stimolare la sinaptogenesi ed è per questo che l’attività fisica migliore è verosimilmente quella aerobica alternata a quella ad alta intensità.

Diversi studi hanno dimostrato come allenamenti HIIT svolti dopo l’esposizione ad uno stimolo ne migliorano l’apprendimento, perfino dopo una singola sessione (Roig, et al., 2012), migliorando abilità motorie, memoria dichiarativa, memoria spaziale. La memoria dichiarativa (o esplicita) riguarda le informazioni consapevolmente evocabili per tramite di stimoli verbali e non verbali. Soggetti sottoposti a sessioni di HIIT a distanza di 4 ore da una sessione di apprendimento, dimostravano a livello della memoria dichiarativa una performance maggiore (Dongen, et al., 2016).

Quindi l’attività fisica opera con uno stimolo al rilascio di noradrenalina che migliora l’attenzione, la percezione e la motivazione; di BDNF che protegge e ripara i neuroni e ne stimola la genesi; di dopamina che migliora motivazione, concentrazione e apprendimento; di endorfine e serotonina che possono contrastare le condizioni di dolore e di stress prevenendone la neurotossicità. Sebbene l’ippocampo è quello maggiormente coinvolto, anche la corteccia frontale e temporale sono tra quelle che traggono enormi benefici dall’attività fisica in termini di mi-

glioramento neurocognitivo. All’azione diretta si somma l’azione indiretta. Analizzando infatti gli elementi che operano in termini preventivi sul decadimento cognitivo se ne possono annoverare di 4 diversi tipi: quelli con solide evidenze scientifiche, quelli con moderate evidenze, quelli con basse evidenze e quelli con evidenze incerte.

Tra quelli con solide evidenze scientifiche rientrano l’ipertensione, il fumo e il diabete, e certamente l’attività fisica può intervenire perlomeno sull’ipertensione e sul

13Scienza e movimento N. 30 Luglio-Settembre 2022
The relationships between physical activity, nutrition and cognitive efficiency have long been known. Brain aging is highly influenced by inflammatory and neurodegenerative processes favored by a sedentary lifestyle and an unsuitable diet. It is important to intervene in advance of the age of onset, appropriate lifestyles will be produce good results.
Figura 5: Effetto neurotossico dello stress sul cervello Nutrizione e attività fisica preventiva

diabete in termini di prevenzione e ridimensionamento della gravità. Tra i fattori con moderata evidenza scientifica rientrano la dieta mediterranea e gli stimoli cognitivi. Tra quelli con un numero di evidenze non ancora sufficienti ci sono i disturbi del sonno, e le dislipidemie (e anche su questi fronti l’attività fisica può esercitare dei vantaggi), infine gli aspetti sociali non hanno ancora evidenze chiare, ma in ogni caso rientrano tra gli eventi che l’attività fisica certamente aiuta a promuovere (Edwards G A, et al., 2019). In ultimo, l’attività fisica talvolta è purtroppo compromessa dall’uso di anabolizzanti, i cui effetti avversi sulle strutture cardiache, epatiche ecc, sono noti. Anche a livello cerebrale la ricerca associa un uso di steroidi all’incremento dei processi di invecchiamento (Bjørnebekk A, 2021) vanificando di fatto i benefici precedentemente elencati.

ETEROGENEITÀ

DELLO STIMOLO MOTORIO

A livello motorio, ciascuna tipologia di attività sembra avere effetti benefici specifici, vale per attività non organizzate (connesse al semplice restare attivi), come per quelle organizzate, che siano di tipo ludico-motorio, che prevedano un prevalente stimolo aerobico o una predominante attività contro resistenza. Per altro ciascuna di queste ha ulteriori ricadute che, come accennato, possono essere vascolari o relative al contrasto della sarcopenia, e quindi ulteriormente coinvolte in ambito preventivo.

L’attività fisica sembra in grado di prevenire in modo dose-risposta il rischio di demenza, sebbene non siano ancora del tutto chiare le quantità ottimali di lavoro da svolgere a tale scopo (Hamer M, et al., 2009). Vantaggi analoghi

riguardano il decadimento cognitivo lieve, sia in ottica preventiva che come trattamento, facendo emergere miglioramenti cognitivi considerevoli dopo 6-12 mesi in soggetti già affetti (Ahlskog JE, et al., 2011), attenuando la perdita di volume della materia grigia, un maggiore volume dell’ippocampo (come per altro già citato). Alla risonanza magnetica funzionale emerge perfino una migliore connettività delle reti cognitive cerebrali. I risultati più significativi sembrano esserci con attività continue che tengano impegnati per almeno 20-30 minuti senza pause significative. Sebbene gli studi relativi ad allenamenti con sovraccarichi e alla diretta correlazione con il contrasto al declino cognitivo siano meno numerosi e robusti, non occorre dimenticare i processi indirettamente mediati da questo approccio allenante, suggerendo come gold standard una presenza di stimoli allenanti eterogenei.

Anche in relazione a eventi infausti post-diagnosi di Alzhaimer, l’esercizio fisico ha dimostrato una drastica riduzione della mortalità (Scarmeas N, et al., 2011).

Tornando alle evidenze sulle ripercussioni cognitive, uno studio randomizzato su soggetti con problemi di memoria nell’adulto, ha fatto misurare evidenti miglioramenti dopo soli 6 mesi di attività fisica ad intensità moderata, rispetto alla condizione di sedentarietà (Lautenschlager NT, et al., 2008). Dato ancor più interessante è il permanere dei risultati per 12-18 mesi. Per quanto attiene i lavori con sovraccarichi, pur in presenza di un numero di studi numericamente inferiore, appare convincente quello che emerge dalla letteratura disponibile, secondo cui l’allenamento della forza può essere correlato ad un aumento della neurogenesi, neu-

roplasticità e, di conseguenza, contrastare gli effetti dell’invecchiamento sul cervello (Portugal EM, et al., 2015).

ALTRE CAUSE SCATENANTI O PREVENTIVE DEL DECLINO COGNITIVO

È opportuno aprire una breve parentesi relativamente ad altri fattori che possono favorire o prevenire il declino cognitivo, sebbene si tratti di elementi a loro volta prevenibili per tramite di alimentazione e attività fisica, che quindi restano i cardini su cui agire. In relazione alla demenza è già stato chiarito che si fa riferimento a un processo di progressivo declino cognitivo che determina la perdita della capacità di compiere le azioni di tutti i giorni a causa della perdita delle funzioni cerebrali. Ci sono differenti tipi di demenza: quella causata dalla malattia di Alzheimer, la demenza vascolare, la demenza a corpi di Lewy, la demenza legata al morbo di Parkinson, e altre forme correlate a patologie e condizioni fisiologiche non prettamente tipiche della fase adulta e anziana della vita (per questo non affrontate in questa sede). La demenza è una condizione che riguarda un numero di persone stimato pari a oltre 24 milioni, e destinata a raddoppiare ogni 20 anni (Ferri CP, et al., 2005).

Le problematiche cardiache rappresentano una causa diretta e scatenante di successive ricadute a livello cognitivo, ad esempio a causa della riduzione del flusso ematico cerebrale che ne deriva, che possono sfociare anche nella demenza. Vi sono numerose associazioni positive tra cardiopatia ischemica e deterioramento cognitivo (Halling A, et al., 2006) così come la degenerazione nervosa miocardica e la demenza a corpi di Lewy (Watanabe M, et

14 Scienza e movimento N. 30 Luglio-Settembre 2022

al., 2011). La stessa aterosclerosi, come noto, è coinvolta sia nella patologia cardiovascolare che cerebrale. Le patologie coronariche, e quelle relative alla coagulazione, hanno una chiara influenza sulla riduzione del volume dell’ippocampo e la comparsa di compromissione cognitiva attraverso una molteplicità di processi. Anche l’infarto del miocardio, sia direttamente che indirettamente (condividendo elementi come l’ipercolesterolemia), determinano ricadute a livello cerebrale, al punto che nelle donne con infarto si può stimare un rischio di demenza 5 volte superiore alla norma (Aronson MK, et al., 1990). Praticamente ciascun problema cardiaco ha ricadute a livello cognitivo, dalla fibrillazione all’insufficienza cardiaca, passando per le altre problematiche sin qui elencate. A questo si somma, è da ribadire, la presenza di fattori di rischio che lo sono contemporaneamente sui due fronti, a prescindere dall’aver innescato una precedente problematica cardiovascolare. Si tratta dell’ipertensione (significativi incrementi del declino cognitivo per PAS > 160 mmHg; Mielke MM, et al., 2011; diabete (raddoppio dei casi di demenza nei soggetti affett; Ott A, et al., 1999; ipercolesterolemia; fumo (responsabile del declino cognitivo e della riduzione della materia grigia nella corteccia prefrontale, del talamo e di altre aree; de Toledo Ferraz Alves TC, et al., 2010, inoltre il tabacco contiene molte neurotossine responsabili direttamente di danni neuronali; Treweek JB, et al., 2009; obesità (forte incremento del rischio di demenza dei soggetti con BMI > 30 (Fitzpatrick AL, et al., 2009). Tutti questi fattori sono correlati con lo stile di vita, e in particolare con una alimentazione equilibrata e una regolare attività fisica.

Nella tabella che segue (de Bruijn RF, et al., 2014) è possibile apprezzare una visione schematica riassuntiva dei fattori vascolari implicati nella malattia di Alzheimer.

Tra i fattori di rischio riportati in tabella si ritiene doveroso soffermarsi brevemente sull’omocisteina, probabilmente tra quelli ancora meno noti nella popolazione. L’omocisteina è un aminoacido presente in piccole quantità, i cui livelli sono rilevabili con un semplice prelievo ematico. Le vitamine del gruppo B (in particolare B6, B9, B12) mediano la trasformazione dell’omocisteina in altri prodotti. Una carenza vitaminica invece determina un accumulo di omocisteina che aumenta il rischio di problemi cardiovascolari.

Ancora una volta i livelli di omocisteina dipendono quindi da una corretta alimentazione, ma anche da idonei livelli di attività fisica, così come da fumo, alcool, e caffè (salvo naturalmente la presenza di patologie sottostanti).

I livelli di omocisteina inoltre potrebbero avere influenza diretta sulla proteina TAU (contribuisce alla funzione neuronale) e sull’accumulo della proteina beta amiloide, entrambi elementi prodromici alla comparsa della malattia di Alzheimer. Pertanto elevati livelli di omocisteina hanno effetti sia indiretti che diritti per quanto riguarda la compromissione cognitiva (Seshadri S, et al. 2002).

Anche il diabete mellito di tipo 2 presenta una correlazione diretta per la malattia di Alzheimer, e in generale determina una maggiore incidenza per tutti i tipi di demenza e declino delle funzioni cognitive, in particolare quelle legate alla memoria, all’attenzione e alle funzioni esecutive (Barbagallo M, et al. 2014). Tra le cause fisiopatologiche sulle quali vi è una maggiore convergenza

degli studi è da segnalare il ruolo dell’insulina e l’insulinoresistenza. Del resto sia condizioni di perglicemia che ipoglicemia ricorrenti, possono determinare compromissione delle funzioni cognitive. In uno studio longitudinale della durata di 9 anni è emerso un rischio aumentato del 65% per i soggetti diabetici di andate incontro ad Alzheimer rispetto ai non diabetici (Arvanitakis Z, et al., 2004), naturalmente maggiore è la durata del diabete, ovvero quanto prima di sviluppa, maggiori sono le probabilità di una ripercussione sulla comparsa di una forma di demenza o del disturbo cognitivo lieve, o una più rapida progressione di quest’ultimo verso la condizione di demenza.

Come detto, a livello fisiopatologico si ritiene che l’insulina sia una delle cause, in particolare poiché una grande presenza (dovuta a insulino-resistenza e conseguente risposta organica), provoca una down-regolazione dei recettori cerebrali e un accumulo di proteina beta-amiloide, che normalmente sarebbe degradata da un corredo enzimatico che però è lo stesso implicato nella degradazione dell’insulina, nei confronti della quale è maggiormente selettivo.

Anche nel caso del diabete, e prima ancora dell’insulino-resistenza, l’attività fisica svolge un ruolo determinante migliorando la presenza dei recettori sulle strutture muscolari, favorendo sia la sensibilità all’insulina che, conseguentemente, la modulazione dei livelli di glucosio. È evidente che tale processo è ulteriormente ottimizzato da una alimentazione bilanciata, basata soprattutto su fonti glucidiche complesse e/o combinazioni alimentari in grado di ridurre il carico glicemico del singolo pasto.

15Scienza e movimento N. 30 Luglio-Settembre 2022
Nutrizione
e
attività
fisica preventiva

In ultimo, ma non per importanza, all’interno del più ampio quadro connesso ai processi preventivi, sebbene non direttamente collegato ad alimentazione e attività fisica, ma più propriamente agli stili di vita, è da citare perlomeno l’importanza del sonno a onor del vero sempre più studiato anche per implicazioni legate alla performance motoria e alla composizione corporea. I disturbi del sonno, e quindi una cronica privazione, purtroppo presente in una gran parte di soggetti anziani, compromette l’efficienza cognitiva e può, per tramite di differenti processi, innescare meccanismi che pos-

sono condurre in ultimo anche alla demenza per ridotta neurogenesi a livello dell’ippocampo. Se tuttavia si considera il ruolo dell’attività motoria nel favorire il riposo notturno, o nel coadiuvare (assieme all’alimentazione) quei disturbi del sonno legati a problematiche come l’obesità e il sovrappeso, ecco che i due parametri sin qui esaminati divengono il fulcro e la leva per tramite dei quali eliminare anche l’ostacolo del mancato riposo notturno.

CONCLUSIONI

Le evidenti conclusioni di quanto sin qui esposto non possono che condurre ad affermare che, per quanto attiene la salvaguardia delle funzioni cognitive, e quindi la prevenzione del declino dalla condizione lieve alla condizione di demenza per tutte le cause, la giusta combinazione di esercizio fisico e sana alimentazione determinano la migliore strategia preventiva (Liu T, et al., 2021), tanto più efficace quanto prima posta in essere. Con buoni riscontri anche quando impiegata in termini di trattamento precoce nelle persone affette.

Malattia

Fattori di rischio emergenti

16 Scienza e movimento N. 30 Luglio-Settembre 2022
Tabella 2 - Fattori vascolari implicati nella malattia di Alzheimer (de Bruijn RF, 2014)
cardiovascolare Marcatori preclinici di malattie cardiovascolari Fattori
di rischio
cardiovascolare accertati
IctusSpessore intimo mediale Pressione sanguigna, ipertensione e rigidità arteriosa Infiammazione Fibrillazione atrialePlacche carotidee Metabolismo del glucosio e diabete mellito Malattia renale cronica Malattia coronaricaCalcificazione ateroscleroticaIpercolesterolemiaFunzione tiroidea Arresto cardiaco Lacune e lesioni della sostanza bianca Fumo Microsanguinamenti cerebraliObesità Microinfarti cerebrali Non aderenza alla dieta mediterranea e bassi livelli di attività fisica Alterazioni vascolari retinicheOmocisteina Integrità microstrutturale e connettività Di questo articolo è disponibile una videolezione al link www.depascalis.net/video/declino-cognitivo (accessibile anche inquadrando il QR code)

1. Ahlskog JE, Geda YE, Graff-Radford NR, Petersen RC. Physical exercise as a preventive or disease-modifying treatment of dementia and brain aging. Mayo Clin Proc. 2011 Sep;86(9):876-84.

2. Ahlskog JE, Geda YE, Graff-Radford NR, Petersen RC. Physical exercise as a preventive or disease-modifying treatment of dementia and brain aging. Mayo Clin Proc. 2011 Sep;86(9):876-84.

3. Arntzen K.A., Schirmer H., Wilsgaard T., Mathiesen E.B. Moderate wine consumption is associated with better cognitive test results: A 7 year follow up of 5033 subjects in the Tromso Study. Acta Neurol. Scand. 2010;122:23–29

4. Aronson MK, Ooi WL, Morgenstern H, et al. Women, myocardial infarction, and dementia in the very old. Neurology. 1990;40:1102–1106

5. Arvanitakis Z, Wilson RS, Bienias JL, Evans DA, Bennett DA. Diabetes mellitus and risk of Alzheimer disease and decline in cognitive function. Arch Neurol. 2004;61:661–666.

6. Barbagallo M, Dominguez LJ. Type 2 diabetes mellitus and Alzheimer’s

of Orexin-A, Front Physiol. 2017; 8: 85

12. de Bruijn RF, Ikram MA. Cardiovascular risk factors and future risk of Alzheimer’s disease. BMC Med. 2014 Nov 11;12:130. doi: 10.1186/s12916-014-0130-5. PMID: 25385322; PMCID: PMC4226863.

13. de Toledo Ferraz Alves TC, Ferreira LK, Busatto GF. Vascular diseases and old age mental disorders: an update of neuroimaging findings. Curr Opin Psychiatry. 2010;23(6):491–497

14. Devore EE, Kang JH, Breteler MM, Grodstein F. Dietary intakes of berries and flavonoids in relation to cognitive decline. Ann Neurol. 2012 Jul;72(1):135-43.

15. Dongen, et al., Physical Exercise Performed Four Hours after Learning Improves Memory Retention and Increases Hippocampal Pattern Similarity during Retrieval; 2016 Jul 11;26(13):1722-1727.

16. Edwards G. A., et. Al., Modifiable Risk Factors for Alzheimer’s Disease, Front Aging Neurosci. 2019 Jun 24;11:146.

17. Ferri CP, Prince M, Brayne C, et al. Global prevalence of dementia: a Delphi consensus study. Lancet. 2005;366:2112–2117

18. Fitzpatrick AL, Kuller LH, Lopez OL, et al. Midlife and late-life obesity and the risk of dementia: cardiovascular health study. Arch Neurol. 2009;66:336–342.

19. Gu Y, Brickman AM, Stern Y, Habeck CG, Razlighi QR, Luchsinger JA, Manly JJ, Schupf N, Mayeux R, Scarmeas N. Mediterranean diet and brain structure in a multiethnic elderly cohort. Neurology 2015;85:1744–51.

20. Halling A, Berglund J. Association of diagnosis of ischaemic heart disease, diabetes mellitus and heart failure with cognitive function in the elderly population. Eur J Gen Pract. 2006;12:11

21. Hamer M, Chida Y. Physical activity and risk of neurodegenerative disease: a systematic review of prospective evidence. Psychol Med. 2009 Jan;39(1):3-11

Hamer M, Chida Y. Physical activity and risk of neurodegenerative disease: a systematic review of prospective evidence. Psychol Med. 2009 Jan;39(1):3-11.

Kakutani S, Watanabe H, Murayama N. Green Tea Intake and Risks for Dementia, Alzheimer’s Disease, Mild Cognitive Impairment, and Cognitive Impairment: A Systematic Review. Nutrients. 2019 May 24;11(5):1165

Karnib N., et al. Lactate is an antidepressant that mediates resilience to stress by modulating the hippocampal levels and activity of histone deacetylases. Neuropsychopharmacology.

May;44(6):1152-1162.

Lautenschlager NT, Cox KL, Flicker L, et al. Effect of physical activity on cognitive function in older adults at risk for Alzheimer disease: a randomized trial. JAMA. 2008;300:1027-1037

17Scienza e movimento N. 30 Luglio-Settembre 2022
disease. World J Diabetes. 2014 Dec 15;5(6):889-93. 7. Bjørnebekk A., et al., Long-term Anabolic-Androgenic Steroid Use Is Associated With Deviant Brain Aging; Biol Psychiatry Cogn Neurosci Neuroimaging. 2021 May;6(5):579-589 8. Buchman AS, Boyle PA, Yu L, Shah RC, Wilson RS, Bennett DA. Total daily physical activity and the risk of AD and cognitive decline in older adults. Neurology. 2012;78:1323–1329 9. Carrard A., et al., Role of adult hippocampal neurogenesis in the antidepressant actions of lactate. Molecular Psychiatry. 2021 May 14:1-3. 10. Caruana M., Cauchi R., Vassallo N. Putative Role of Red Wine Polyphenols against Brain Pathology in Alzheimer’s and Parkinson’s Disease. Front. Nutr. 2016;3:31. doi: 10.3389/fnut.2016.00031 11. Chieffi S. , et. Al., Exercise Influence on Hippocampal Function: Possible Involvement
22.
23.
24.
2019
25.
26. Li Y, Li S, Wang W, Zhang D. Association between Dietary Protein Intake and Cognitive Function in Adults Aged 60 Years and Older. J Nutr Health Aging. 2020;24(2):223-229. 27. Liu T, Li N, Hou Z, Liu L, Gao L, Wang L, Tan J. Nutrition and exercise interventions could ameliorate age-related cognitive decline: a meta-analysis of randomized controlled trials. Aging Clin Exp Res. 2021 Jul;33(7):1799-1809 28. Loughrey DG, Lavecchia S, Brennan S, Lawlor BA, Kelly ME. The Impact of the Mediterranean Diet on the Cognitive Functioning of Healthy Older Adults: A Systematic Review and Meta-Analysis. Adv Nutr. 2017 Jul 14;8(4):571-586. 29. Lourida I, Soni M, Thompson-Coon J, Purandare N, Lang IA, Ukoumunne OC, Llewellyn DJ. Mediterranean diet, cognitive function, and dementia: a systematic review. Epidemiology. 2013 Jul;24(4):479-89 30. Martins IJ, Hone E, Foster JK, et al. Apolipoprotein E, cholesterol metabolism, diabetes, and the convergence of risk factors for Alzheimer’s disease and cardiovascular disease. Mol Psychiatry. 2006;11(8):721–736 31. Mielke MM, Leoutsakos J-M, Tschanz JT. Interaction between vascular factors and the APOE 4 allele in predicting rate of progression in Alzheimer’s disease. J Alzheimers Dis. 2011;26(1):127–134 BIBLIOGRAFIA Nutrizione e attività fisica preventiva

Mediterranean diet and mild cognitive impairment. Arch Neurol. 2009;66:216–225

Seshadri S, Beiser A, Selhub J, Jacques PF, Rosenberg IH, D’Agostino RB, Wilson PW, Wolf PA. Plasma homocysteine as a risk factor for dementia and Alzheimer’s disease. N Engl J Med. 2002;346:476–483.

Shen L, Ji HF. Vitamin D deficiency is associated with increased risk of Alzheimer’s disease and dementia: evidence from meta-analysis. Nutr J.

18 Scienza e movimento N. 30 Luglio-Settembre 2022 32. Molfino A, Gioia G, Rossi Fanelli F, Muscaritoli M. The role for dietary omega-3 fatty acids supplementation in older adults. Nutrients. 2014 Oct 3;6(10):4058-73 33. Morais JA, Chevalier S, Gougeon R. Protein turnover and requirements in the healthy and frail elderly. J Nutr Health Aging. 2006 Jul-Aug;10(4):272-83 34. Ott A, Stolk RP, van Harskamp F, Pols HA, Hofman A, Breteler MM. Diabetes mellitus and the risk of dementia: the Rotterdam Study. Neurology. 1999;53(9):1937–1942134 35. Pasinetti GM, Eberstein JA. Metabolic syndrome and the role of dietary lifestyles in Alzheimer’s disease. J Neurochem. 2008;106:1503–1514. 36. Portugal EM, Vasconcelos PG, Souza R, Lattari E, Monteiro-Junior RS, Machado S, Deslandes AC. Aging process, cognitive decline and Alzheimer`s disease: can strength training modulate these responses? CNS Neurol Disord Drug Targets. 2015;14(9):1209-13 37. Raji CA, Erickson KI, Lopez OL, Kuller LH, Gach HM, Thompson PM, Riverol M, Becker JT. Regular fish consumption and age-related brain gray matter loss. Am J Prev Med. 2014 Oct;47(4):444-51. 38. Riediger N.D., Othman R.A., Suh M., Moghadasian M.H. A systemic review of the roles of n-3 fatty acids in health and disease. J. Am. Diet. Assoc. 2009;109:668–679 39. Roig, et al., A single bout of exercise improves motor memory; PLoS One. 2012;7(9):e44594 40. Samieri C., Féart C., Letenneur L., Dartigues J.F., Pérès K., Auriacombe S., Peuchant E., Delcourt C., Barberger-Gateau P. Low plasma eicosapentaenoic acid and depressive symptomatology are independent predictors of dementia risk. Am. J. Clin. Nutr. 2008;88:714–721. 41. Scarmeas N, Luchsinger JA, Brickman AM, et al. Physical activity and Alzheimer disease course. Am J Geriatr Psychiatry. 2011;19(5):471-481 42. Scarmeas N, Luchsinger JA, Mayeux R, Stern Y. Mediterranean diet and Alzheimer disease mortality. Neurology. 2007 Sep 11;69(11):1084-93. 43. Scarmeas N, Stern Y, Tang MX, Mayeux R, Luchsinger JA. Mediterranean diet and risk for Alzheimer’s disease. Ann Neurol. 2006 Jun;59(6):912-21 44. Scarmeas N, Stern Y, Tang MX, Mayeux R, Luchsinger JA.
45.
46.
2015 Aug 1;14:76 47. Singh B, Parsaik AK, Mielke MM, Erwin PJ, Knopman DS, Petersen RC, Roberts RO. Association of mediterranean diet with mild cognitive impairment and Alzheimer’s disease: a systematic review and meta-analysis. J Alzheimers Dis. 2014;39(2):271-82. 48. Sinn N., Milte C.M., Street S.J., Buckley J.D., Coates A.M., Petkov J., Howe P.R. Effects of n-3 fatty acids, EPA v. DHA, on depressive symptoms, quality of life, memory and executive function in older adults with mild cognitive impairment: A 6-month randomised controlled trial. Br. J. Nutr. 2012;107:1682–169 49. Treweek JB, Dickerson TJ, Janda KD. Drugs of abuse that mediate advanced glycation end product formation: a chemical link to disease pathology. Acc Chem Res. 2009;42:659–669 50. Valls-Pedret C, Sala-Vila A, Serra-Mir M, Corella D, de la Torre R, Martínez-González MÁ, Martínez-Lapiscina EH, Fitó M, Pérez-Heras A, Salas-Salvadó J, Estruch R, Ros E. Mediterranean Diet and Age-Related Cognitive Decline: A Randomized Clinical Trial. JAMA Intern Med. 2015 Jul;175(7):1094-1103 51. van de Rest O, Berendsen AA, Haveman-Nies A, de Groot LC. Dietary patterns, cognitive decline, and dementia: a systematic review. Adv Nutr. 2015 Mar 13;6(2):154-68. 52. Watanabe M, Takeda T, Nakamagoe K, Tamaoka A. Sequential imaging analysis using MIBG scintigraphy revealed progressive degeneration of cardiac sympathetic nerve in Parkinson’s disease. Eur J Neurol. 2011;18(7):1010–10134–119 53. Wu L, Sun D. Adherence to Mediterranean diet and risk of developing cognitive disorders: an updated systematic review and meta-analysis of prospective cohort studies. Sci Rep 2017;7:41317. 54. Xu WL, Atti AR, Gatz M, Pedersen NL, Johansson B, Fratiglioni L. Midlife overweight and obesity increase late-life dementia risk: a population-based twin study. Neurology. 2011;76:1568–1574.

KEYWORDS

Robot, cancer, chemotherapy, drugs, carcinogenicity, pharmacie.

La robotizzazione nell’allestimento delle chemioterapie

Premessa

La rivoluzione tecnologica sta offrendo il suo potenziale innovativo anche all’interno del campo medi co, introducendo novità in grado di rivoluzionare un ambito dove l’affidabilità e la precisione sono elementi fondamentali.

A L’Aquila, per esempio, presso l’Ospedale regionale San Salvatore è stato istallato nel 2013 un nuovo robot, “Apotecachemo” del gruppo Loccioni, che si sta occupando della preparazione e allestimento dei farmaci impiegati per le chemio terapie che si somministrano nei tre ospedali della ASL 1 Abruzzo di Avezzano, L’Aquila e Sulmona.

Questo particolare settore della far macologia oncologica, la cui centralità per lo sviluppo di cure efficaci per contrastare il cancro è indi scussa, attraverso Apotecachemo può beneficiare del supporto di una macchina in grado di ottimizzare il lavoro svolto dal personale parame dico, nella preparazione di farmaci tanto importanti e, anche in ragione del notevole lavoro di ricerca e di sviluppo, molto onerosi per il Servi zio Sanitario Nazionale del nostro paese.

Grazie infatti all’impiego del robot, all’interno della struttura sanitaria Aquilana sarà possibile sfruttare tutta la precisione della macchina per impiegare con precisione eleva

Dott. Cesi Domenico, laureto in Farmacia presso l’Università degli Studi di Perugia, laureato in Scienze e Tecnologie Erboristiche presso l’Università degli Studi dell’Aqui la, specializzato in Farmacologia Oncologica presso Università degli studi dell’Aquila,docente a contratto presso l’Università degli Studi dell’Aquila, dirigente farmacista presso UFA del P.O. dell’Aquila Asl 1 Abruzzo. nico.cesi@yahoo.it

ta queste risorse indispensabili per la cura dei pazienti oncologici.

Il robot, inoltre, permette di evitare l’esposizione del personale sani tario ad agenti citotossici, permettendo così di prevenire rischi per la salute degli operatori coinvolti nella preparazione dei farmaci. D’altro canto, grazie alla tracciabilità dei prodotti impiegati per la preparazio ne dei farmaci, attraverso i diversi sensori e le interfacce di controllo predisposte nella macchina, è pos sibile evitare errori umani e, quindi, garantire una migliore sicurezza del paziente, che può contare sull’effi cacia di un sistema per la verifica di tipo gravimetrico, andando ben ol tre gli standard di precisione offerti da una preparazione manuale.

Dott. ssa Santilli Michela, laureata in Farmacia presso l’Università degli Studi di Chieti, dirigente Farmacista presso UFA del P.O. dell’Aquila Asl 1 Abruzzo, specializzata in Farmacologia presso Università degli studi dell’Aquila.

19Scienza e movimento N. 30 Luglio-Settembre 2022

COME FUNZIONAMENTO

DEL SISTEMA ROBOTIZZATO

Il medico specialista dei reparti di Oncologia dell’Aquila, di Avezzano e di Sulmona facenti parte della stes sa Azienda sociosanitaria territoriale invierà direttamente al software di gestione del sistema, APOTECA manager, i dati di un paziente che nella giornata dovrà sottoporsi alla cura chemioterapica. A quel punto, in base a diversi parametri (urgen za, tipo di prodotto, protocollo di cura), il Farmacista ospedaliero va liderà la richiesta visionando accuratamente il protocollo dell’oncologo e darà ordine alla macchina robotiz zata di cominciare la produzione del medicamento.

Una volta pronto, il farmaco verrà inviato tramite personale dedicato, direttamente presso il reparto da dove è partita l’ordinazione e subito utilizzato per curare il paziente in attesa della terapia personalizzata. Questo nuovo reparto UFA (Unità Farmaci Antiblastici) grazie al robot, permetterà un notevole salto di qualità nella cura dei pazienti on cologici che, con questo sistema automatizzato, ha incrementato notevolmente l’efficienza e la sicu rezza nella Asl1 di Avezzano L’Aquila Sulmona che ad oggi vanta oltre 41.000 preparazioni allestite nell’an no 2021 che, anche durante la pandemia, non si è mai fermato.

CARATTERISTICHE DELL’UFA E DELL’ALLESTIMENTO

DEI CHEMIOTERAPICI

L’allestimento delle chemioterapie per il trattamento delle patologie onco-ematologiche è ormai una attività diffusa nelle farmacie ospe daliere ed è regolamentata sia a livello nazionale che internazionale. I farmaci chemioterapici antiblastici, che intervengono sul ciclo delle cellule per impedire la proliferazione di cellule cancerose, non agiscono selettivamente sulle cellule tumora

li, ma su tutte le cellule in divisione. Molti chemioterapici possono espli care un certo grado di cancerogenicità, mutagenicità e teratogenicità. Inoltre, questi farmaci possono indurre effetti collaterali tossici, irritanti, allergizzanti. Da qui nasce la necessità, per chi manipola tali molecole, di conoscerne tutti i rischi correlati, la normativa di riferimento e di ricevere l’idonea formazione te orico-pratica. Per tutelare la salute dei lavoratori esposti, la conferenza Stato-Regioni con le province auto nome di Trento e Bolzano ha definito, in un documento [3], gli indirizzi relativi alla valutazione dell’esposi zione, alla sorveglianza sanitaria, alle misure di prevenzione, alle mo dalità operative, ai carichi lavorativi e alla suscettibilità individuale utili alla prevenzione del rischio di espo sizione. Secondo la Raccomandazione Ministeriale n°14 [4] i farmaci antiblastici devono essere allestiti da personale dedicato e formato (infermieri e tecnici di laboratorio), sotto la responsabilità del farmaci sta ospedaliero. Deve inoltre essere previsto un addestramento teorico-pratico (tecnica asettica, manipolazione in sicurezza, presenza di protocolli operativi specifici), che favorisca l’acquisizione di competenze speci fiche che possano essere garantite anche in situazioni di urgenza. È preferibile inoltre che l’allestimen to sia eseguito da due operatori (un preparatore e un supporto),

per garantire la sterilità dell’intero processo e ridurre la possibilità di errore, a meno che non siano di sponibili tecnologie che garantiscano qualità e sicurezza delle cure. La prevenzione individuale e collettiva si realizza principalmente tramite la centralizzazione organizzativa e strutturale delle attività che preve dono l’uso di farmaci antiblastici. Tutte le preparazioni centralizzate in farmacia ospedaliera devono esse re effettuate in un ambiente dedicato denominato UFA (Unità Farmaci Antiblastici).

Si tratta di una camera bianca ad atmosfera controllata, ossia un ambiente totalmente sterile e protetto in grado di garantire nel contempo una maggior sicurezza per i pazienti e per gli operatori. La fase più critica nella manipolazione degli antiblastici è quella della pre parazione, ovvero della ricostituzione e diluizione di questi farmaci. In questa fase, infatti, si registra il massimo livello di esposizione per l’operatore.

La riduzione del rischio di esposi zione deve essere garantita tramite un’idonea dotazione strutturale (lo cali ed apparecchiature) e attraverso l’adozione di procedure scritte, il cui rispetto deve essere costante mente verificato. Inoltre, le terapie oncologiche sono personalizzate sulla base di molteplici parametri di tipo:

• clinico (stato clinico del pazien te, stadiazione del tumore);

20 Scienza e movimento N. 30 Luglio-Settembre 2022

• fisico (peso, superficie corporea ecc.).

Per questa ragione ogni terapia ri chiede la definizione di una prescrizione specifica per il paziente e la realizzazione di una serie di opera zioni, tra cui il calcolo del dosaggio e la verifica di compatibilità.

Tali operazioni potrebbero com portare errori o imprecisioni, che si possono evitare con la definizione di procedure standard e l’attribu zione di ruoli e responsabilità chiari, come è possibile solamente in una struttura centralizzata (UFA).

Da circa 10 anni sono presenti sul mercato sistemi robotizzati per l’allestimento di farmaci antiblastici, che consentono di ridurre signifi cativamente i rischi da esposizione per gli operatori, la contaminazione dei preparati e l’errore sul dosaggio.

I sistemi automatizzati per la pre parazione dei farmaci antiblastici possono replicare quello che l’ope ratore esegue manualmente sotto cappa sterile a flusso laminare, all’interno di un sistema chiuso e microbiologicamente controllato. Il sistema è in grado di pesare principi attivi e soluzioni, ricostituire i farma ci in polvere, dosare i componenti operando con un braccio mec canico, allestire siringhe, sacche, dispositivi di infusione, scaricare in sicurezza i materiali usati.

Le singole pubblicazioni e gli studi analizzati attestano che il sistema robotizzato assicurerebbe:

• una maggiore sicurezza degli operatori [5-9] (riduzione del rischio di esposizione a so stanze cancerogene, maggior garanzia di sterilità e minor contaminazione da altri farma ci, diminuzione degli sforzi manuali degli operatori e riduzione del burnout da lavoro ripetiti vo);

• una maggiore accuratezza delle dosi con conseguente

maggior sicurezza nella som ministrazione delle dosi terapeutiche ai pazienti [6, 7, 9, 10, 11] (minor errore nella quantifi cazione del principio attivo);

• una miglior tracciabilità delle fasi di preparazione e di ogni singola preparazione [9], un rischio significativamente ridotto di contaminazione dell’ambiente, degli operatori e dei pazienti con la preparazio ne robotizzata [5, 8, 9, 11];

• l’efficientamento del sistema produttivo: una volta a regime, la produzione automatizzata dovrebbe consentire una ridu zione del numero di operatori e la gestione dei rifiuti in condi zioni di aumentata sicurezza.

Dal punto di vista economico, le evidenze disponibili in letteratura confermano come l’adozione del sistema robotizzato potrebbe por tare ad una riduzione dei costi delle Aziende sanitarie che hanno inve stito in questa tecnologia.

Un’analisi economica ha identifi cato un volume di 34.000 preparazioni annue al di sopra del quale la produzione dei farmaci citotossici con robot risulta vantaggiosa dal punto di vista economico rispet to alla metodica tradizionale [7]. Questo risultato è in linea con le stime effettuate nella valutazione ex-ante nei tre Ospedali della ASL 1 Abruzzese, dove a volumi di attività maggiori corrispondono minori co sti o risparmi. Le stime dei costi nei contesti della ASL 1 mostrano risul tati diversi a seconda del numero di preparazioni e della percentuale di preparazioni che si prevede di alle stire con il robot. Nel caso di 60.000 preparazioni, di cui il 30% allestite con il robot, si osserva una riduzio ne dei costi; il risparmio aumenta con l’incremento del numero di pre parazioni: fino a -12% per 75.000 preparazioni. Nei casi con prepara

Ricerca avanzata

zioni <25.000, si osservano risultati diversi (aumento o diminuzione dei costi) a seconda della percentuale di preparazioni che si prevede di allestire con il robot e delle risorse impiegate nei contesti specifici, re lative soprattutto al personale [14].

CONCLUSIONI

I dati raccolti sembrano dimostrare come l’accuratezza delle prepara zioni tramite l’utilizzo dei robot sia maggiore rispetto alle preparazioni manuali, in termini di tracciabilità delle singole dosi e di profilo di sicurezza, a vantaggio sia degli operatori che dei pazienti. È altresì doveroso sottolineare che le attuali procedure manuali vengono svolte nel rispetto della normativa vigente [3, 4, 13], che garantisce la qualità e la sicurezza del preparato sia per i pazienti che per gli operatori, definendo i criteri di adeguatezza delle risorse strutturali, strumentali, umane, organizzative e gestionali del laboratorio di preparazione dei farmaci citostatici. Dal punto di vista economico l’analisi, condotta sulle singole realtà, ha fatto emergere che l’adozione del sistema robo tizzato di allestimento dei farmaci citotossici può determinare un minimo risparmio di costo rispetto alla preparazione manuale, laddove il volume di preparazioni annue sia molto elevato e il contesto organiz zativo consenta ad un operatore, prima dedicato alla preparazione manuale, di potersi occupare di altre mansioni dopo l’introduzione del robot.

21Scienza e movimento N. 30 Luglio-Settembre 2022

The preparation of chemotherapies for the treatment of onco-haematological diseases is now a widespread activity in hospital pharmacies and is regulated both nationally and internationally. Antiblastic chemotherapy drugs, which act on the cell cycle to prevent the proliferation of cancer cells, do not selectively act on cancer cells but on all dividing cells. Many chemotherapeutic agents can exhibit some degree of carcinogenicity, mutagenicity and teratogenicity. Furthermore, these drugs can induce toxic, irritating, allergenic side effects. Hence the need, for those who manipulate these molecules, to know all the related risks, the relevant legislation and to receive the appropriate theoretical-practical training.

BIBLIOGRAFIA

1. D.G.R. n. 82-5513 del 03/08/2017, “Governo delle tecnologie biomediche e dell’innovazione in Sanità. Modifica D.G.R. n. 18-7208 del 10.3.2014”, 2017.

2. D.D. n. 526 del 08/08/2018, “Approvazione del nuovo regolamento per la redazione del Piano Regionale delle Tecnologie Biomediche (PRTB). Revoca DD n. 299 del 11/04/2014”, 2018.

3. D.P.R. 5 agosto 1999, “Documento di linee guida per la sicurezza e la salute dei lavoratori esposti a chemioterapici antiblastici in ambiente sanitario”, 1999.

4. Ministero della Salute, “Raccomandazione n.14, Raccomandazione per la prevenzione degli errori in terapia con farmaci antineoplastici”, 2012.

5. A.W. Yaniv et al., “Robotic i.v. medication compounding: Recommendations from the international community of APOTECAchemo users”. Am J Health Syst Pharm, vol. 74, no. 1, pp. e40-e46, 2017.

6. A.W. Yaniv and S.J. Knoer, “Implementation of an i.v.compounding robot in a hospital- based cancer center pharmacy”. Am J Health Syst Pharm, vol. 70, no. 22, pp. 20302037, 2013.

7. C. Masini, O. Nanni, S. Antaridi et al., “Automated preparation of chemotherapy: quality improvement and economic sustainability”. Am J Health Syst Pharm, vol. 71, no. 7, pp. 579- 585, 2014.

8. R. Schieri, C. Masini, G. Groeneveld et al., “Environmental contamination by cyclophosphamide preparation: Comparison of conventional manual production in biological safety cabinet and robot-assisted production by APOTECAchemo”. J Oncol Pharm Practice, vol. 22, no. 1, pp. 37-45, 2016.

9. T. Iwamoto, T. Morikawa, M. Hioki et al., “Performance evaluation of the compounding robot, APOTECAchemo, for injectable anticancer drugs in a Japanese hospital”. J Pharm Health Care Sci, vol. 3, no. 12, 2017.

10. A.C. Seger, W.W. Churchill, C.A. Keohane et al., “Impact of robotic antineoplastic preparation on safety, workflow, and costs”. J Oncol Pract, vol.8, no. 6, pp. 344-349, 2012.

11. E. Palma and C. Bufarini, “Robotized compounding of oncology drugs in a hospital pharmacy”. Int J Pharm Compd, vol. 18, no.5, pp. 358-364, 2014.

12. ECRI Institute, “Automated Systems for Compounding Chemotherapy Drugs”, 2019.

13. Farmacopea Ufficiale XI Edizione, “Norme di buona preparazione dei medicinali in farmacia”, 2004.

14. Fonte Apotecachemo gruppo Loccioni Humancare (Ancona).

22 Scienza e movimento N. 30 Luglio-Settembre 2022
ABSTRACT

KEYWORDS

Body composition, water retention, muscle hypertrophy, high performance, overtraining.

La composizione corporea dell’atleta: estetica o prestazione?

Introduzione

L’atleta è costantemente alla ricerca della migliore prestazione possibile, anche se riferita al proprio limite personale. Le prestazioni sportive sono estremamente complesse e l’esito finale dipende fortemente dalle componenti della forma fisi ca relative alla salute e alle abilità (potenza, velocità, agilità, tempo di reazione, equilibrio e composizione corporea), oltre che alla tecnica e al livello di competenza dell’atleta nelle abilità motorie specifiche dello sport, soprattutto nella ricerca del “modello di prestazione”, ovvero del modello riferito al campione. 1

Nello sport gran parte delle componenti precedenti sono fortemente influenzate dalla composizione cor porea dell’atleta.

Un aumento di massa corporea magra contribuisce allo sviluppo di forza e potenza, che sono legate alla dimensione muscolare. Prima di tutto è bene evidenziare che la massa magra, che in inglese è det ta fat free mass oppure lean mass, consiste in tutto ciò che rimane nel corpo dopo aver eliminato la massa grassa. Non parliamo quindi della sola massa muscolare, che è una componente della massa magra.

Analizzare la composizione corpo rea dell’atleta è quindi un elemento fondamentale per la pianificazione dell’allenamento. Non è però una valutazione semplice: esistono infatti numerosi metodi in grado di rilevale la composizione corporea.

Alcuni di questi dividono il peso corporeo in 2 componenti, massa magra e massa grassa e sono:

• plicometria;

• pesata idrostatica;

• pletismografia a spostamen to d’aria (Air Displacement Plethysmography o ADP in lin gua inglese)

Altri metodi svolgono un’analisi più approfondita, perché dividono il peso corporeo in più componenti, derivando anche il valore del mu scolo scheletrico. Ad esempio:

• DEXA;

• BIA (bioelectrical impedance analysis);

• BIVA (bioelectric impedance vector analysis).

Tuttavia, fino al 2020, l’utilizzo di BIA e BIVA negli atleti non ha for nito risultati accurati a causa di equazioni e riferimenti non specifici; tuttavia, si stanno aprendo nuove

Prof. Gian Mario Migliaccio, Dottore di ricerca e laureato magistrale in Scienze dello Sport, Scienze della Nutrizione e Psicologia. info@migliaccio.it

Dott. Alessandro Esposito, Laureato in Scienze Motorie, Chinesiologo, Personal Trainer, Preparatore Atletico, Terapista posturale Metodo Raggi Pancafit. info@alessandroespositopt.it esposito@justraining.it

Dott. Emanuele Palmieri, Biologo Nutrizionista, Laurea Magistrale in scienze biosanitarie.

info@palmierinutrizione.it

23Scienza e movimento N. 30 Luglio-Settembre 2022

non perderai nessun numero della rivista e la riceverai con regolarità, ad un costo vantaggioso.

Prezzi rivista - numero singolo: 8 euro - abbonamento annuale (4 numeri) per l'Italia: 24 euro ATTENZIONE di pagamento alla mail

24 Scienza e movimento N. 30 Luglio-Settembre 2022 U N MAGAZINEDEDICATOAI PROFESSIONISTIDELFITNESS UNNUOVO PUNTO DIRIFERIMENTO ABBONATI 4numeri x 1 anno 24,00€

prospettive per ricercatori e professionisti. Alla luce di ciò, BIA e in particolare BIVA possono essere utilizzati per monitorare lo stato nutrizionale e i cambiamenti stagionali nella com posizione corporea negli atleti, oltre a fornire confronti accurati all’interno e tra gli atleti.2

In questo articolo ci soffermeremo principalmente sulla BIA, partico larmente diffusa tra gli operatori del settore.

L’IMPEDENZOMETRIA BIOELETTRICA: LA BIA

L’analisi dell’impedenza bioelettrica (Bioelectric Impedance Analysis, BIA), anche detta impedenziometria, è una tecnica rapida, non invasiva e relativamente economica, per valuta re la composizione corporea.

La BIA si basa sulla proprietà comune a tutti gli esseri viventi, e quindi an che all’uomo, di condurre la corrente elettrica attraverso i fluidi e i tessuti dell’organismo.

Gli studi, tra l’altro, che utilizzano la BIA suggeriscono che un basso BMI può riflettere una ridotta massa mu scolare ed una alta massa grassa.3 I tessuti biologici si comportano come conduttori, semiconduttori o dielettri ci (isolanti). Le soluzioni elettrolitiche intra ed extracellulare sono ottimi conduttori (tessuti magri), mentre al contrario i tessuti grasso e osseo non permettono il passaggio della corrente utilizzata dalle apparecchia ture BIA.

È una tecnica relativamente recente, che ha potuto trovare impiego clinico solo a partire dagli anni ‘80, in se guito alla realizzazione d’analizzatori portatili. La tecnica attuale, infatti, sfrutta gli elettrodi cutanei utilizzati per l’ECG, posizionati in due coppie (tecnica tetrapolare mano-piede), consentendo l’esecuzione delle misure in modo rapido (circa cinque minuti, esclusa l’applicazione degli elettrodi), non invasivo, innocuo, ripe tibile, a basso costo, con i vantaggi della portabilità (dall’ambulatorio, alla

corsia, alla sala dialisi, alla terapia intensiva fino al campo di gioco o alla palestra per gli sportivi) e senza in terferenze con altra strumentazione elettrica sanitaria.4

LA BIA PER IL PREPARATORE ATLETICO

Il preparatore atletico, nella ricerca della migliore performance per il suo atleta ha necessità di effettuare una analisi critica partendo da dati og gettivi. In questo contesto e non in ottica di effettuare diagnosi medica o nutrizionale la BIA è uno strumento di frequente utilizzo, che vediamo nel dettaglio. La tecnica di misura tetrapolare è semplice: sono applicati quattro elettrodi cutanei, una coppia sul dorso della mano (preferita la destra), in particolare uno sull’arti colazione metacarpo-falangea del terzo dito (elettrodo iniettore), e l’altro sull’articolazione radio-ulnare (elet trodo sensore); un’altra coppia sul dorso del piede omolaterale, in parti colare uno sull’articolazione metatarsofalangea del terzo dito (iniettore), e l’altro sull’articolazione tibiotarsica (sensore).

Il soggetto, supino e non a contatto con elementi metallici, con arti infe riori divaricati di 45° e arti superiori abdotti di 30° per evitare contatti cu tanei con il tronco. I cavetti dell’analizzatore sono collegati con pinzette agli elettrodi. Nella BIA standard viene iniettato un impulso di corrente alter nata a 50 kHz, d’intensità innocua per i tessuti (400 mA). 5–8

Quando viene attraversato da una corrente elettrica alternata, il corpo umano si oppone al suo passaggio in virtù di due tipi di forze: •forza resistiva (resistenza, R) prodotta dai liquidi intra ed extra cellulari, che produce una caduta di voltaggio della corrente; •forza reattiva (reattanza, Xc) prodotta dalle membrane cel lulari, che si comportano come condensatori e che produce uno sfasamento della corrente.

25Scienza e movimento N. 30 Luglio-Settembre 2022
Antropometria

La prima è un indice di volume che rappresenta la semplice opposi zione del corpo al passaggio della corrente, mentre la seconda espri me numericamente il modo in cui le membrane cellulari e le superfici di contatto tra vari tessuti si com portano al passaggio della corrente elettrica di valore non costante, con modalità assimilabili a quelle dei condensatori, accumulando cioè una certa quantità di carica elettri ca e causando uno spostamento di fase nella corrente applicata.

Pertanto, la reattanza può essere definita un buon indicatore della distribuzione della massa cellulare all’interno del volume di acqua del corpo umano. L’impedenza (Modulo Z) è determinata dall’azione delle due forze insieme, resistenza e reattanza, e quindi può essere defi nita dalla formula generale: (Z2 = R2 + Xc2) in cui R è la resistenza e Xc la reattanza.

La reattanza dipende notevolmen te dalla frequenza della corrente, tanto che a valori molto alti (> 5001000 kHz) di frequenza, essa è pra ticamente nulla; perciò, l’impedenza è dovuta solamente al fattore resi stenza.

A frequenze intermedie, la trasfor mazione angolare del rapporto tra reattanza e resistenza (arctan Xc/R) è detta angolo di fase: questo parametro è stato utilizzato da al cuni ricercatori in diverse situazioni cliniche.9

LA BIA PER IL NUTRIZIONISTA

La bioimpedenziometria è utilissima anche per il nutrizionista, non per valutare la massa grassa (ci sono metodi e strumentazioni molto più precisi e affidabili per quel dato), ma per stimare la massa muscolare e, soprattutto, l’idratazione. Sapere i valori di TBW (Total body water), ECW (Extra cellular water) ed ICW (Intra cellular water), per un nutrizionista, soprattutto in ambito sportivo, è importantissimo e utilis simo. Una corretta idratazione è alla base di un buon funzionamento del corpo, sia nella vita di tutti i giorni, sia e soprattutto nello sport.10 Valutare i cambiamenti del corpo nel tempo ed in forma dinamica supera la valutazione della sola mi sura statica di quel momento (per esempio valutare come cambia la BCM (massa cellulare biologica mente attiva) o l’ECW.

La nutrizione sportiva negli ultimi venti anni ha subito una notevole trasformazione. Fino ad alcuni de cenni fa si pensava al cibo in modo solamente “strutturale” ed “ener getico”, vale a dire: attraverso il cibo il nostro organismo recluta una scorta energetica da consumare durante l’attività fisica.

Negli ultimi anni si è cercato sem pre, partendo dalle basi del fabbisogno energetico, di avere anche una visione qualitativa dell’alimen tazione ossia di valutare come i componenti degli alimenti (carboi drati, proteine e grassi) potessero, a seconda delle loro percentuali, della loro tipologia e della tempistica di assunzione, “influire” sulla salute dell’atleta e dunque sulla sua per formance.11

Inoltre, oggi la nutrizione dello sport è attenta alla prevenzione della disi dratazione durante l’esercizio fisico. L’acqua, infatti, è considerata il più importante aiuto ergogenico nutri zionale per gli atleti.12

Le prestazioni possono essere significativamente compromesse quando il 2% o più del peso corpo reo viene perso attraverso il sudore.

26 Scienza e movimento N. 30 Luglio-Settembre 2022

Per esempio, quando un atleta di 80 kg perde oltre 1,6 kg di peso cor poreo durante l’attività fisica (2%), la capacità di prestazione spesso diminuisce significativamente. Inoltre, la perdita di peso di oltre il 4% durante l’esercizio fisico, può portare a patologie da calore anche importanti.13

Gli effetti fisiologici dell’esercizio fisico sono onnipresenti come benefici per i sistemi cardiovascolare e mu scolo-scheletrico. L’esercizio è ampiamente promosso dai professionisti del settore medico per favorire il benessere sia fisico che emotivo; tuttavia, chiunque si occupi di sport a qualsiasi livello è a conoscenza diretta come un’attività fisica inten sa e ripetuta nel tempo porti alla produzione di una serie di mediatori dei processi infiammatori (citochi ne) che possono in qualche modo sia influire sulla performance che predisporre agli infortuni. 14 Al network neuroendocrino-metabolico si aggiunge quindi la componente immunologica con tutto ciò che ad essa consegue. La stesura, dunque, di un piano nutrizionale in un atleta di élite non può prescin dere da una attenta valutazione anamnestica eseguita mediante una anamnesi nutrizionale che sia volta a valutare le abitudini alimen tari dell’atleta.

Gli errori ed eccessi, ad esempio l’uso di alcool, sono dannosi e si cerca di stimolare la consapevo lezza di come una corretta alimentazione possa influire sullo stato di salute e dunque sulla performance, e soprattutto nella prevenzione de gli infortuni. Una corretta indagine nutrizionale basata su un colloquio con l’atleta può aiutare ad indivi duare come lo sportivo si alimenta sia nelle giornate normali di allena mento, che nel pre/post gara.

ANALISI DEI VALORI

Spesso, il nutrizionista, già dai valori di Xc (reattanza) e Rz (resistenza) ha un’idea della condizione dell’atleta:

• se Xc è alta e Rz è bassa, il muscolo è idratato, quindi il soggetto è ben nutrito e si sta allenando bene.

• Se Xc è alta e Rz è alta, il mu scolo c’è (Xc alta e quindi buona densità), ma è disidratato (resistenza alta, quindi poca acqua); in questo caso, il mu scolo è presente ma non è ben nutrito.

Non vedere solo Xc per valutare la massa muscolare, ma vederlo insieme a Rz; infatti, se i valori di Rz sono bassi, anche bassi valori di Xc potrebbero indicare una buona massa muscolare.

Se invece Xc è bassa e Rz è alta, allora bisogna intervenire, in quan to l’atleta è in una fase di catabolismo muscolare (sta perdendo muscolo).

Quando si è in una condizione peg giorativa, il corpo perde prima acqua e poi inizia a perdere muscolo, quindi, se si osserva bene, si può evitare in tempo il catabolismo. Dal valore di reattanza si riesce a capire la salute della cellula. La reattanza è infatti direttamente proporzionale alla densità.

Proviamo a considerare una cellula come un condensatore elettrico: si carica di corrente e una volta che si è caricata, scarica questa corrente. Una cellula non in salute non riesce a caricarsi bene (perché la membrana cellulare non è nelle condizioni ottimali) e quindi rilascia la corrente in meno tempo (con una reattanza quindi più bassa). Una cellula in salute, invece, riesce a caricarsi meglio e quindi rilascia la corrente dopo un tempo più lungo, con una reattanza risultante più alta.

Il movimento del vettore verso de stra o verso destra e in basso può essere un campanello di allarme: l’acqua sta uscendo dal muscolo e probabilmente il muscolo stesso sta peggiorando; questo può esse re un annuncio di overreaching non funzionale, di sovrallenamento. 15

La BIA, quindi, può essere uno strumento utilissimo per la professione del biologo nutrizionista, ma deve essere ben utilizzata; quindi, non basandosi solo sulle stime che dà il software, ma ragionando su quel che sta succedendo al corpo. 16 Il nutrizionista sportivo, comunque, non la utilizza da sola, ma la integra ad altre misurazioni e ad un’anamnesi precisa, per ottenere, incrociando e sommando i dati, la migliore soluzione possibile.

LA MASSA MUSCOLARE BIOLOGICAMENTE ATTIVA

La BCM (massa cellulare biologica mente attiva - body cell mass) è una pura coltura di cellule viventi, ed è quella componente della com posizione corporea che contiene il tessuto ricco di potassio, che scambia ossigeno, che ossida glu cosio.

In qualsiasi considerazione antro pometrica sulla conversione di nutrienti in energia, sulla domanda di ossigeno e produzione di biossido di carbonio, la massa cellulare ne è la base di riferimento. 17

La BCM, sommata alla massa extracellulare (ECM – extracellular mass), dà come risultato il peso della massa libera dal grasso (FFM). La massa cellulare rappresenta il comparto tissutale metabolicamen te attivo e si ritiene che abbia una idratazione del 73% ed una con centrazione di potassio intracellulare pari al 97% del potassio totale.18

27Scienza e movimento N. 30 Luglio-Settembre 2022
Antropometria

I valori minimi di BCM si ricavano attraverso il calcolo del peso ideale (utilizzando le equazioni di prefe renza):

• per gli uomini si moltiplica il va lore di peso ideale per 0,3;

• per le donne si moltiplica il va lore di peso ideale per 0,28.

Le percentuali di riferimento nella popolazione normale 17 vengono aumentate in atleti d’élite in base alla disciplina svolta (più alte negli sport di forza e più basse negli sport di endurance). In atleti maschi negli sport di forza (atleti con altez za media 1.70 m) si arriva a superare il 60% di BCM sul peso totale. Per poter confrontare la BCM di ogni singola misurazione è necessario fare riferimento al “Grafo BIVA” che rappresenta la bussola dell’idrata zione e della nutrizione. Ad esempio, confrontando due misurazioni di un’atleta nella quale si evidenzia, dalla prima alla seconda analisi BIVA, una diminuzione del peso

totale, una riduzione della BCM as soluta ma un aumento percentuale di BCM sul peso totale, il grafico BIA VECTOR dimostra un miglioramento qualitativo che conferma l’aumento percentuale della BCM.19

APPLICAZIONI NELLO SPORT

La bioimpedenziometria vettoriale negli ultimi anni si è sviluppata molto nell’ambito sportivo e princi palmente viene utilizzata con due finalità:

• valutative (condizione di forma dell’atleta, monitoraggio dell’a nabolismo muscolare e della supercompensazione durante la fasa di preparazione, rispo sta al carico di lavoro, gestione del recupero);

• preventive (insorgenza di fati ca, disidratazione, prevenzioni di infortuni). La BIVA può aiutare l’impostazione e l’ottimizzazio ne di programmi di allenamento tramite il controllo dello stato nutrizionale e idrico dell’atleta durante la stagione.22

Lo stesso metodo può anche permettere di seguire variazioni della condizione fisica sia nel breve che nel lungo termine, in relazione ai carichi di allenamento ed alla con dizione di fatica.

Anche l’angolo di fase nello sport presenta una correlazione nel sin golo atleta con i risultati di test funzionali muscolari, e quando inferiore a determinati valori rappresenta comunque un indice funzionale ne gativo per cui può essere un valido ausilio nel monitoraggio del recupe ro dopo prestazioni sportive di alta intensità, specie quando ripetute in maniera ravvicinata nel tempo. Studi preliminari sembrano anche evidenziare negli atleti la correla zione tra il vettore impedenza nella situazione muscolare normale e dopo lesione muscolare.23

L’applicazione dell’impedenzometria nello sport è varia e spazia in molte discipline, dal basket al calcio, fino ad essere usata nella valutazione dello stato nutrizionale del bodybuilder.24

28 Scienza e movimento N. 30 Luglio-Settembre 2022

Ad esempio, se valutiamo un atleta con due misurazioni impedenzio metriche a distanza di quindici giorni, nella fase di scarico, con appropriata nutrizione pre-gara, può aiutare a capire se l’atleta ha recuperato/supercompensato se si osserva un aumento dell’angolo di fase, un aumento leggero della resistenza (Rz) con aumento so stanziale della reattanza (Xc) e una diminuzione dell’acqua extracellula re (ECW).

Pertanto, l’interpretazione del BIVA sembra avere un ruolo importan te nel monitorare le fasi di carico e scarico di allenamento, al fine di riscontrare l’effettivo recupero dell’atleta correlandolo all’aumento di BCM che assume un ruolo pre dittivo di una buona prestazione in gara, oppure quella di ridurre le probabilità di infortunio.

APPLICAZIONI NELLO STATO DI SALUTE

Lo sviluppo di nuove tecniche di valutazione della composizione corporea - con metodica vettoriale (BIVA) - potrebbe consentire di in tegrare i parametri medici classici valutati negli agonisti ed ottenere così un monitoraggio dello stato di “salute” degli atleti prevenendo in fortuni e stati catabolici. Sono ancora molti gli studi da compiere riguardo il tema “atleta” e diversi i campi da esplorare come quello della prevenzione degli infor tuni drammaticamente condizionanti la prestazione, ma i progressi ottenuti negli ultimi anni lasciano ben sperare soprattutto grazie all’a zione congiunta delle diverse competenze dello staff sanitario. All’interno di una struttura multi disciplinare integrata, si può sviluppare un progetto di lavoro che integra i parametri classici (valuta zione funzionale e test biochimici di laboratorio), le misurazioni BIVA e le valutazioni della composizione corporea.

Questo può permettere di appor tare le dovute correzioni nei diversi periodi di allenamento e di ricorrere ove necessario ad accorgimenti nutrizionali e di integrazione.

Le valutazioni da effettuare per standardizzare il protocollo di moni toraggio sono di seguito riportate:

1) misurazioni antropometriche quali statura, peso;

2) analisi di impedenza bioelettri ca con metodica BIVA.

Dalle suddette valutazioni abbiamo determinato i seguenti indici:

• misurazioni;

• resistenza (Rz);

• reattanza (Xc);

• angolo di fase (PA°);

e le relative stime:

• indice benessere BCMI = BCM da BIA/statura2 ;

• indice di forma % = BCM da BIA/tessuto magro x 100;

• angolo di fase (stato di idrata zione/nutrizione) = valore da BIA e monitoraggio del vettore BIVA;

• body mass Index;

• body cellular mass;

• extra cellular mass;

• total body water;

• extra cellular water;

• percentuale di extra cellular water;

• percentuale di Body cellular mass.

Dopo qualche istante dall’appli cazione dei cavi sugli elettrodi, è possibile visualizzare i valori di resi stenza (Rz), reattanza (Xc), angolo di fase (PA°).

Rz e Xc inseriti insieme ai dati ana grafici e antropometrici (peso e altezza) danno la possibilità di ela borare il BIAVECTOR e il BIAGRAM e altri parametri convenzionali, quali l’acqua totale (TBW), l’acqua ex tracellulare (ECW), la massa libera dal grasso (FFM), la massa extra cellulare (ECM), la massa cellulare

biologicamente attiva (BCM), il BCMI (BCM Index dato dal rapporto tra la BCM e il quadrato dell’altezza).

In particolare il valore di BCMI rap presenta un parametro qualitativo che, correlato all’angolo di fase e all’idratazione, consente di deter minare lo stato di benessere. Valori minori di 7 potrebbero indicare uno stato di malnutrizione dello sportivo.

L’angolo di fase (PA, espresso in gradi) dipende dal rapporto tra la re attanza e la resistenza: esso varia nel corpo umano da 2-3 a 9-10 ed è un indicatore della proporzione fra i volumi intra ed extracellulari.

• VALORI MOLTO BASSI (< 3) indi cano la presenza di patologie (qui l’angolo di fase assume un significato clinico);

• VALORI BASSI (3- 4,5) indica no la presenza probabile di patologie e/o di un forte stato catabolico e/o edema (anche qui assume significato clinico);

• VALORI MEDIO-BASSI (4,5-5,5) indicano un medio stato cata bolico e/o una ritenzione idrica (può avere ancora significato clinico);

• VALORI MEDI (5,5 – 6,5) sono indice di normalità in soggetti poco muscolosi;

• VALORI MEDIO-ALTI (6,5 - 7,5) indicano normalità in soggetti medi o robusti;

• VALORI ALTI (> 7,5) sono indi cativi di una tendenza alla disidratazione nei soggetti medi o robusti, oppure di una normoi dratazione in atleti muscolosi.

Inoltre un vettore lungo rispetto all’asse maggiore dell’ellisse indica uno stato di disidratazione, mentre un vettore eccessivamente corto indica un aumento dei liquidi: l’asse maggiore infatti nel BIAVECTOR è quello che indica lo stato di idrata zione corporea.

29Scienza e movimento N. 30 Luglio-Settembre 2022
Antropometria

L’atleta d’elite (se alto) ricade in basso a sinistra presentando volumi idrici normali rapportati all’altezza. Se nello stesso quadrante ricade un sedenta rio in sovrappeso con altezza media (grasso sugli arti o ginoide), il vettore indica uno stato anomalo per alterata presenza di liquidi. (es. pazienti iper tesi).

Se invece il vettore, rispetto all’asse minore dell’ellisse, cade a destra, il soggetto sarà malnutrito; se al contra rio, cade sulla sinistra, il soggetto sarà in un buono stato di nutrizione: l’asse minore dell’ellisse, infatti, è indice dello stato nutrizionale del soggetto stesso, in quanto esprime la presenza della massa e della struttura cellulare.

DISCUSSIONI E CONCLUSIONI

È abituale sentire frasi del tipo “Cam pioni si nasce non si diventa!”, ed anche il contrario, ma tra due campioni la nutrizione, l’allenamento e lo studio costante della composizione corporea possono fare la differenza, evitando in particolare fastidiosi infortuni da su perallenamento.

A tal proposito è di fondamentale im portanza attuare un costante monitoraggio dell’atleta anche attraverso la metodica BIVA per valutare i progressi del lavoro atletico ed eventualmente adottare le strategie adeguate, atte ad apportare aggiustamenti e accor gimenti soprattutto durante la fase preparatoria. Con un attento monito raggio bioimpedenziometrico si può avere la possibilità di raggiungere gli obiettivi che lo staff sa.

La standardizzazione delle misura zioni, l’estrema rapidità di rilevazione, l’assenza di invasività e la ripetibili tà, danno modo di effettuare molte valutazioni che possono risultare indispensabili per apportare, in corso d’opera, modifiche su nutrizione, inte grazione e allenamento, rendendo il tutto personalizzato per singolo atleta.

Ad esempio, se un atleta durante la stagione aumenta leggermente di peso con deviazione standard che rimane invariata, cresce contempora neamente la BCM con una percentuale più alta sul peso corporeo, la ECM diminuisce, con deviazione standard che rimane stabile, con un aumento del 10% di ICW e una diminuzione di ECW dal 42 al 39%. Questi valori la sciano intendere un buon andamento della forma fisica che può garantire una buona performance per tutta la stagione.

La buona osservanza di una program mazione nutrizionale che preveda un’adeguata idratazione degli atleti, può consentire il raggiungimento degli obiettivi agonistici prefissati, senza trascurare il mantenimento di una buona forma fisica in graduale miglio ramento per tutta la stagione agonistica, con la possibilità di raggiungere al termine del periodo il “plateau” di forma, prestazione e benessere. L’analisi BIVA conferma ancora una volta, come peso corporeo e BMI non siano indicativi di buona o cattiva for ma fisica degli atleti, sia nel breve che nel lungo periodo. In particolare, la variazione di peso in poche settima

ne è da attribuirsi al compartimento idrico, quindi non apprezzabile con una metodica monocompartimentale (bilancia).

Inoltre, nel medio periodo, un attento monitoraggio, con metodica BIVA, dello stato nutrizionale e dello stato di idratazione permette di prevenire overtraining e mette in condizione lo staff di operare ed attuare i dovuti accorgimenti atti ad incrementare lo stato di salute e di performance dell’atleta. Sfruttando le misure dirette proiettate sul grafico RXc è possibile ottenere una reale valutazione dello stato nutrizionale e di creare un riferi mento su cui orientarsi con il singolo e con il gruppo di atleti.

Concludendo, è possibile affermare che ulteriori studi con campioni più numerosi di atleti di varie discipline e con controlli sullo stato di nutrizione, sono necessari per verificare se il trend di miglioramento è riscontrabile e standardizzabile nelle varie fasi delle competizioni.

La BIVA è una tecnica relativamente nuova che ha un potenziale enorme nello sport e nell’esercizio, in parti colare per la valutazione delle lesioni dei tessuti molli. L’attuale letteratura scientifica in questo campo è ancora scarsa e molto eterogenea, è neces saria una raccolta delle conoscenze attuali al fine di suggerire un’agenda di ricerca e soprattutto sul ruolo pre dittivo delle capacità di performance-recupero-supercompensazione muscolare e preventivo degli infortuni indiretti.

30 Scienza e movimento N. 30 Luglio-Settembre 2022

ABSTRACT

In these last ten years the body composition has gained a significant increasing attention both by medical research and by mass media, to combine body structure with obesity has turned out to be a very spread topic, even though the evaluation of body structure doesn’t concern the increase in fat mass only, rather it deals with much more important aspects such as health, water retention, muscle hypertrophy, appearance, illness. Anthropometric parameters/criteria which characterize intermediate and advanced athletes are very different from the ones of normal sedentary people who go to the gym and work out twice a week to the utmost. Indeed, it is very interesting to succeed in selecting out which are the main characteristics of body composition that allow the high performance as well as to succeed in setting up references or protocols which may help coaches, athletic trainers, sports doctors, and nutritionist to set up those conditions that will prevent failures during performances or even overtraining.

BIBLIOGRAFIA

1. Joyner, M. J. & Coyle, E. F. Endurance exercise performance: the physiology of champions. J. Physiol. 586, 35–44 (2008).

2. Campa, F., Toselli, S., Mazzilli, M., Gobbo, L. A. & Coratella, G. Assessment of body composition in athletes: A narrative review of available methods with special reference to quantitative and qualitative bioimpedance analysis. Nutrients 13, (2021).

3. Böhm, A. & Heitmann, B. L. The use of bioelectrical impedance analysis for body composition in epidemiological studies. Eur. J. Clin. Nutr. 67 Suppl 1, S79–S85 (2013).

4. Moon, J. Body composition in athletes and sports nutrition: An examination of the bioimpedance analysis technique. (2013) doi:10.1038/ejcn.2012.165.

5. Kushner, R. F. Bioelectrical impedance analysis: a review of principles and applications. J. Am. Coll. Nutr. 11, 199–209 (1992).

6. Heymsfield, S. B., Wang, Z. M., Visser, M., Gallagher, D. & Pierson, R. N. Techniques used in the measurement of body composition: an overview with emphasis on bioelectrical impedance analysis. Am. J. Clin. Nutr. 64, (1996).

7. Lukaski, H. C., Bolonchuk, W. W., Hall, C. B. & Siders, W. A. Validation of tetrapolar bioelectrical impedance method to assess human body composition. J. Appl. Physiol. 60, 1327–1332 (1986).

8. Foster, K. R. & Lukaski, H. C. Whole-body impedance--what does it measure? Am. J. Clin. Nutr. 64, (1996).

9. Baumgartner, R. N., Waters, D. L., Gallagher, D., Morley, J. E. & Garry, P. J. Predictors of skeletal muscle mass in elderly men and women. Mech. Ageing Dev. 107, 123–136 (1999).

10. Barley, O. R., Chapman, D. W. & Abbiss, C. R. Reviewing the current methods of assessing hydration in athletes. J. Int. Soc. Sports Nutr. 17, (2020).

11. Kerksick, C. M. et al. ISSN exercise & sports nutrition review update: research & recommendations. J. Int. Soc. Sports Nutr. 15, (2018).

12. NR, R., NM, D. M. & S, L. American College of Sports Medicine position stand. Nutrition and athletic performance. Med. Sci. Sports Exerc. 41, 709–731 (2009).

13. Shirreffs, S. M. & Sawka, M. N. Fluid and electrolyte needs for training, competition, and recovery. J. Sports Sci. 29, S39–S46 (2011).

14. Docherty, S. et al. The effect of exercise on cytokines: implications for musculoskeletal health: a narrative review. BMC Sport. Sci. Med. Rehabil. 14, (2022).

15. Halson, S. L. & Jeukendrup, A. E. Does overtraining exist? An analysis of overreaching and overtraining research. Sport. Med. 34, 967–981 (2004).

16. Malina, R. M. Body Composition in Athletes: Assessment and Estimated Fatness. Clin. Sports Med. 26, 37–68 (2007).

17. Moore, D. R. & Philp, A. Editorial: Nutritional Strategies to Promote Muscle Mass and Function Across the Health Span. Front. Nutr. 7, (2020).

18. Nielsen, S. et al. Clinical Practice Guidelines View project Obesity View project Body composition and resting energy expenditure in humans: role of fat, fat-free mass and extracellular ¯uid. Artic. Int. J. Obes. 24, 1153–1157 (2000).

19. Castizo-Olier, J. et al. Bioelectrical impedance vector analysis (BIVA) in sport and exercise: Systematic review and future perspectives. PLoS One 13, (2018).

20. Piccoli, A. Bioelectric impedance vector distribution in peritoneal dialysis patients with different hydration status. Kidney Int. 65, 1050–1063 (2004).

21. Piccoli, A. Whole body--single frequency bioimpedance. Contrib. Nephrol. 149, 150–161 (2005).

22. Campa, F. et al. Identifying Athlete Body Fluid Changes During a Competitive Season With Bioelectrical Impedance Vector Analysis. Int. J. Sports Physiol. Perform. 15, 361–367 (2020).

23. Nescolarde, L., Yanguas, J., Medina, D., Rodas, G. & Rosell-Ferrer, J. Assessment and follow-up of muscle injuries in athletes by bioimpedance: preliminary results. Annu. Int. Conf. IEEE Eng. Med. Biol. Soc. IEEE Eng. Med. Biol. Soc. Annu. Int. Conf. 2011, 1137–1140 (2011).

24. Volpe, S. L., Melanson, E. L. & Kline, G. Validation of bioelectrical impedance analysis to hydrostatic weighing in male body builders. Acta Diabetol. 47, 55–58 (2010)

31Scienza e movimento N. 30 Luglio-Settembre 2022
Antropometria

CORSI IN SEDE INTUTTA ITALIA

Resistance training, heart health, prevention, muscle physiology, muscle adaptation.

Organizzazione ed effetti adattativi dell’allenamento di resistenza sull’apparato cardiocircolatorio

INTRODUZIONE E CARATTERISTICHE DELL’ALLENAMENTO DI RESISTENZA

Definizione di resistenza

La capacità di resistenza è defini bile come la capacità di protrarre un’attività motoria attraverso un utilizzo prevalente di fonti energe tiche di tipo aerobico. Attraverso il suo miglioramento, l’organismo è in grado di mantenere nel tempo il rendimento di un’attività motoria ritardando l’insorgere della fatica e tutta quanta una serie di altre com ponenti che possono compromettere la performance di un soggetto.

Modalità di classificazione

Come J. Weineck (2009) sottolinea nel suo lavoro “L’allenamento ottimale” (ed. Calzetti & Mariucci Editori) a seconda di come la si

considera, si possono distinguere differenti tipologie di manifestazione della resistenza. Se considerassimo l’impegno muscolare distinguiamo:

• una resistenza generale, definibile in tal modo, in quanto impegna da un settimo a un sesto dell’intera muscolatura richiesta. Comprendiamo, in tal senso, che l’impegno muscolare richiesto è verosimilmente elevato.

• Una resistenza specifica, definibile in tal modo perché, contrariamente a quanto appena descritto nella resi stenza generale, richiede la sollecitazione di meno di un sesto-un settimo dell’intera muscolatura.

indicano che l’energia per la contrazione del muscolo scheletrico è fornita dalle vie metaboliche anaerobiche (fosfocreatina e glicolisi anaerobica) e aerobiche (fosforilazione ossidativa).

Vista l’essenziale funzione dei sistemi energetici, anche in termini di resistenza occorre effettuare una distinzione fra la resistenza di tipo aerobico (resistenza aerobica) e la resistenza di tipo anaerobico (resistenza anaerobica):

• la resistenza aerobica si riferisce alle forme di lavoro prolungato che utilizzano soprattutto processi energetici di tipo aerobico e può essere rapportata alle attività di durata medio-lunga;

Dott. Michele Trallo,

Università

Studi

Un ruolo determinante, ai fini della resistenza, è svolto dai sistemi energetici; De Feo et al (2003) in un articolo intitolato Metabolic response to exercise, pubblicato sulla rivista scientifica “Journal of endocrinological investigation”

• la resistenza anaerobica che chiama in causa l’utilizzo prevalente del sistema anaerobico, in quanto a causa della grande intensità del lavoro, l’apporto di ossigeno è insufficiente, per cui l’energia viene trasformata per via non ossidativa.

33Scienza e movimento N. 30 Luglio-Settembre 2022
Laureato Triennale con lode in Scienze delle Attività Motorie e Sportive,
degli
di Foggia. michetrallo@gmail.com KEYWORDS

La resistenza può essere suddivisa anche con riferimento alla durata del lavoro: a tal proposito, occorre effettuare un ulteriore distinguo tra resistenza di breve durata, resistenza di media durata e resistenza di lunga durata:

• la resistenza di breve durata, richiede un lavoro di durata significativamente ridotta compresa tra i 45 secondi e i 2 minuti. La trasformazione di energia avviene per via prevalentemente anaerobica.

• La resistenza di media durata, è la capacità di resistere efficacemente ad un lavoro di durata media, compresa tra i 2 e gli 8 minuti, eseguito a medio-elevata intensità. Utilizza processi energetici di tipo aerobico, in quanto comprende un periodo di crescente acquisizione dell’energia per via ossidativa, ma anche di tipo anaerobico.

• La resistenza di lunga durata richiede essenzialmente un lavoro di durata che si protrae oltre gli 8 minuti di lavoro. La trasformazione di energia avviene per via prevalentemente aerobica.

• In ambito sportivo è possibile distinguere differenti tipologie di resistenza anche con riferimento alle reciproche relazioni con altre forme principali di sollecitazione motoria (J. Weineck, 2009)

La resistenza alla forza può essere definita come la capacità di opporsi efficacemente alla fatica, in pre stazioni di forza che richiedono un moderato impegno muscolare. Eh lenz H., M. Grosser, E. Zimmermann, (1998) (cit. da J. Weineck, 2009),

per ragioni metodologiche, suddividono la resistenza alla forza in:

• resistenza massimale alla forza: richiede un lavoro di resistenza contro un carico significativo oltre il 75% dell’1 RM;

• resistenza submassimale alla forza: richiede un lavoro di resistenza contro un carico medio-elevato compreso tra il 50% ed il 75% dell’1RM;

• resistenza alla forza aerobica: richiede un lavoro di resistenza contro un carico inferiore, rispetto a quelli precedentemente descritti, pari al 30%50% dell’1RM.

Oltre alla resistenza e alla forza si rinvengono:

La resistenza alla velocità: si identifica nella capacità dell’individuo di resistere per durate brevi ad azioni veloci ed intense o di reiterare diverse volte le stesse senza che si determini un’eventuale diminuzione della rapidità e quindi un calo in termini di rendimento.

La resistenza alla forza veloce: si identifica nella capacità di opporsi alla diminuzione di velocità di contrazione nei movimenti ciclici contro resistenze elevate; quindi oltre ad un lavoro di resistenza è contestualmente richiesto un lavoro di forza contro resistenze significative.

FATTORI CHE INCIDONO SULLA CAPACITÀ DI RESISTENZA

La resistenza è influenzata dai seguenti elementi:

Distribuzione delle fibre L’uomo possiede due tipologie di fibre muscolari:

- Fibre rosse (altresì, fibre di tipo I) che garantiscono un lavoro di lunga durata, si basano principalmente sul metabolismo aerobico, sono dotate di un’ottima rete vascolare e presentano un’elevata concentrazione in termini di mitocondri oltre che di glicogeno muscolare e ovviamente di emoglobina e mioglobina che forniscono la pigmentazione e di conseguenza “la colorazione rossastra”. Dal punto di vista dell’innervazione, sono principalmente innervate dai motoneuroni alfa in grado di inviare input nervosi costanti e significativamente duraturi nel tempo e come Casolo F. (2002), segnala nel suo lavoro “Lineamenti di Teoria e Metodologia del Movimento Umano” ed. Vita e Pensiero Editrice, ad una frequenza bassa (10-20 al secondo).

- Fibre bianche (altresì, fibre di tipo II), al contrario, sono in grado di sviluppare tensione in modo veloce e si affaticano con molta facilità. Si contraggono principalmente con un metabolismo di tipo anaerobico. Ospitano pochi mitocondri e presentano limitate concentra-

34 Scienza e movimento N. 30 Luglio-Settembre 2022

zioni di emoglobina e mioglobina che fornendo la pigmentazione in modo carente fanno in modo che presentino un aspetto, verosimilmente, pallido. Le fibre bianche sono quella specifica tipologie di fibre muscolari che hanno una maggiore propensione all’ipertrofia muscolare.

All’interno di un muscolo è possibile trovare in maniera sostanzialmente paritetica, fibre di tipo bianco e di tipo rosso, con l’eccezione di muscoli che hanno funzioni di tipo posturale o balistico. A livello delle fibre muscolari, un allenamento specifico può indurre modifiche dell’assetto biochimico e delle proprietà funzionali, ovvero della forza e velocità di contrazione, resistenza alla fatica, dando avvio ad un parziale e progressivo processo di trasformazione.

VO2max

Il massimo consumo di ossigeno (VO2max) indica la quantità massima di ossigeno, che può essere utilizzata dall’organismo in corso di attività muscolare protratta ed intensa. È assolutamente allenabile ed il suo allenamento consente di migliorare la captazione, il trasporto e soprattutto l’utilizzo dell’ossigeno in sede muscolare (malgrado sia richiesta una maggiore entità).

Concentrazione intracellulare di substrati energetici

Per il lavoro meccanico il muscolo utilizza energia che acquisisce attraverso la combustione dei substrati energetici, che possono essere immagazzinati all’interno delle cellule muscolari sotto forma di glicogeno o di goccioline di trigliceridi o prelevati dai depositi di glicogeno del fegato e del tessuto adiposo sottocutaneo e trasportate per via ematica alle cellule muscolari che lavorano.

Per l’organismo il glicogeno è importante, soprattutto per le funzioni cerebrali, in quanto il cervello ha continuamente bisogno di glicogeno ed un’eventuale diminuzione del glicogeno ematico a causa dell’abbassamento del tasso di quello epatico produce un peggioramento dal punto di vista della coordinazione e della concentrazione. I carichi di resistenza, a seconda di differenti parametri, quali intensità e durata, producono uno svuotamento più o meno accentuato dei depositi di sostanze energetiche. Come diversi articoli scientifici dimostrano, in particolar modo quelli di Bergström, J., Hultman, E., & Saltin, B. (1973) intitolato Muscle glycogen consumption during cross-country skiing (the Vasa ski race), pubblicato sulla rivista scientifica “European Journal of Applied Physiology” di Taylor, A. W., Booth, M. A., & Rao, S. (1972) intitolato Human skeletal muscle phosphorylase activities with exercise and training pubblicato sulla rivista scientifica “Canadian journal of physiology and pharmacology”, nei primi 20’ di un carico intensivo, le riserve intracellulari di glicogeno diminuiscono in modo particolarmente rapido, mentre nei restanti 40-60’, grazie all’aumento delle quantità di glucosio prelevata dal sangue e alla maggiore combustione dei grassi, la loro diminuzione è minore. Infine si produce una diminuzione conclusiva che arriva fino all’esaurimento delle scorte di glicogeno.

Taylor, A. W., Booth, M. A., & Rao, S. (1972) sottolineano per altro che maggiori sono le riserve iniziali di glicogeno, analogamente maggiore sarà la capacità da parte del soggetto di lavorare ad intensità elevata.

Grazie ad un allenamento regolare della resistenza, si ottiene un aumento delle riserve energetiche.

J. Weineck (2009) sottolinea che nei soggetti non allenati le riserve di glicogeno ammontano a 200300 g nella muscolatura nel suo insieme e a 60-100 g nel fegato. Nei soggetti allenati esse aumentano fino a oltre il doppio. Analogamente, ad un aumento di glicogeno si assiste ad un aumento in termini di riserve intracellulari immediatamente disponibili di grassi.

In questo modo l’aumento parallelo delle riserve intracellulari di glucosio e di grassi, contestualmente, all’aumento del glicogeno epatico, costituisce un presupposto importante per l’incremento della capacità di prestazione di resistenza.

Saltin B. (1973) in un articolo intitolato Metabolic fundamentals in exercise, pubblicato sulla rivista scientifica “Medicine and science in sports”, mette in evidenza le differenze adattative prodotte dall’allenamento con riferimento all’utilizzo dei differenti substrati energetici e dimostra che la mobilitazione e l’utilizzo del substrato sono fattori importanti nella fisiologia dell’esercizio. Glucosio e acidi grassi contribuiscono alla trasformazione dell’energia in una misura diversa, che dipende dall’intensità, dal volume e dal livello di allenamento.

In conclusione, la capacità di prestazione di resistenza nella zona elevata di intensità è determinata non soltanto dal livello dei depositi iniziali di glicogeno epatico e muscolare e dai depositi intracellulari di grassi, ma anche dalla capacità di riuscire a metabolizzare acidi grassi liberi ad una più elevata intensità di carico. Occorre, in questi termini, considerare che maggiore è il livello dell’atleta, maggiore sarà la quantità di acidi grassi liberi che può essere ancora liberata, trasportata e bruciata dai tessuti ad intensità più significative.

35Scienza e movimento N. 30 Luglio-Settembre 2022
fisiologia dell’allenamento

PERIODIZZAZIONE DELL'ALLENAMENTO

NEL NATURAL BODYBUILDING Giovanni Spinelli

Come gestire le dinamiche allenanti e la nutrizione finalizzate alla composizione corporea

Questo libro nasce con l’intento di presentare il natural bodybuilding partendo dal concetto di organizzazione scientifica dell'allenamento.

I farmaci dopanti mascherano e nascondono la mancanza di un'organizzazione logica dei parametri volume e intensità. Se per gli atleti dopati ciò non rappresenta un problema, per i tanti atleti natural allenarsi senza un criterio può voler dire stasi o fallimento nel raggiungimento dei risultati stabiliti.

TEORIA E PRATICA DELL'HIIT

INTERVAL TRAINING AD ALTA INTENSITÀ

A cura di P. Laursen, M. Buchheit

La più completa e autorevole guida all’HIIT, un lavoro estremamente innovativo basato sulle più recenti evidenze scientifiche e sui più efficaci protocolli, sulle strategie e annessi programmi utilizzati dai migliori atleti del mondo e adottati dai preparatori atletici che gestiscono i gruppi-squadra di più alto livello.

Paul Laursen e Martin Buchheit hanno curato l’assemblaggio dei contributi raccolti in tutti i continenti presso colleghi di altissima specializzazione e ne hanno fornito alcuni decisivi come Autori, spiegando assieme i principi fondamentali dell’HIT e suddividendoli per argomenti

TOTALMENTE NUOTO

Totalmente nuoto, Metodologia, tecniche

esperienze del nuoto italiano, Claudio Rossetto tratta con semplicità e con linguaggio diretto

tecnica, allenamento e programmazione È grazie all’esperienza maturata nelle piscine di tutto il mondo in oltre trenta anni di attività, che l’Autore riesce a spiegare in maniera efficace e coinvolgente come il nuoto italiano sia potuto passare dall’ottenere risultati sporadici ed isolati, a disciplina che produce risultati con continuità e in quantità impressionanti.

ALLENAMENTO DELLA FORZA E COORDINAZIONE. UN APPROCCIO INTEGRATIVO Frans Bosch

Un’opera con impostazione di notevole originalità che intende fornire ad allenatori, preparatori fisici e terapisti sportivi indicazioni innovative e determinanti sulla progettazione di un approccio coerente all’allenamento della forza in base alle leggi della coordinazione.

Il libro parte per questo dal concetto che la teoria dell’allenamento, per ottenere un risultato universale, deve tener sempre in considerazione ciò che offre il dibattito scientifico sugli elementi fondanti, capacità motorie di base, ossia forza, velocità, agilità, resistenza, non interpretate come entità separate ma strettamente interconnesse: in particolare le capacità di esprimere forza e coordinazione vengono trattate come un’entità singola e inscindibile.

PERIODIZZAZIONE. TEORIA

E METODOLOGIA DELL’ALLENAMENTO

Tudor O. Bompa, Carlo A. Buzzichelli

Massimizzare gli effetti dell’attività allenante è possibile seguendo la metodologia proposta da Tudor O. Bompa, il pioniere della teoria della periodizzazione nel mondo occidentale, e da Carlo A. Buzzichelli, studioso ed esperto operatore nel settore della preparazione fisica. In questa prima edizione italiana, realizzata sulla base della sesta edizione americana, vengono fornite informazioni fondamentali per interpretare e comprendere le più recenti ricerche, sperimentazioni ed elaborazioni dei principi teorici e metodologici alla base della strutturazione dei piani di allenamento.

Libro pp. 408 - € 45,00

RESPIRAZIONE

E HIGH PERFORMANCE

L’evoluzione dello sport moderno ha spostato l’attenzione verso certi dettagli sempre più importanti all’interno di una prestazione. L’argomento respirazione e tecniche di apnea ha aperto orizzonti inimmaginabili verso nuove metodiche di allenamento.

Questo manuale, sapientemente organizzato da Mike Maric, ormai “celebrità” assoluta come allenatore della specialità, è ricchissimo di suggerimenti pratici e di spunti di riflessione per inserire gli esercizi proposti in ogni routine di allenamento per tutte le diverse discipline sportive.

calzetti & mariuccicalzetti & cc editorieditorici toriito Libri e video per il fitness c calzetti & mariucci editori & Per informazioni e ordini: www.calzetti-mariucci.it info@calzetti-mariucci.it 075-5997310 Libro pp. 312- € 35,00 Libro pp. 616- € 39,00
Claudio Rossetto Metodologia, tecniche ed esperienze del nuoto italiano In
ed
di
Mike
Libro pp. 368 - € 45,00
Libro pp. 648- € 65,00 NOVITÀ Libro pp. 192- € 25,00 NOVITÀ NOVITÀ NOVITÀ

Efficienza degli enzimi ossidativi

Gli enzimi ossidativi operano principalmente a livello mitocondriale e determinano il processo di liberazione energetica in modalità aerobica ed un loro au mento comporta uno sviluppo sia in termini di “rifornimento di energia” e contestualmente, di “aumento della resistenza alla fatica”.

J. Weineck (2009) evidenzia che migliore è la resistenza di base dell’atleta, più tardi sarà superata la cosiddetta soglia anaerobica, importante demarcazione funzionale che quantifica e qualifica il passag gio dalla produzione energetica di tipo aerobico alla produzione energetica con meccanismo anaerobico e che spesso è utilizzata nella valutazione funzionale per stimare la capacità di prestazione aerobica.

Numero e distribuzione dei mitocondri

Un allenamento mirato al miglioramento della resistenza aerobica, comporta un aumento numerico e di dimensioni dei mitocondri, , organelli cellulari posti

nel citoplasma delle fibre muscolari che rappresentano la sede all’interno della quale avviene l’attività degli enzimi aerobici che trasformano le sostanze energetiche.

J. Weineck (2009) dimostra che un allenamento aerobico di 6 settimane è già sufficiente a migliorare notevolmente la capacità mitocondriale; è importan te, per altro, osservare quanto riportato da Flockhart M. et al (2021) in un articolo intitolato Excessive exercise training causes mitochondrial functional impairment and decreases glucose tolerance in healthy volunteers e pubblicato sulla rivista scien tifica “Cell metabolism”, in quanto dimostrano che la capacità di funzionamento dei mitocondri viene danneggiata da un allenamento significativamente intensivo; si producono alterazioni graduali delle strutture e, come risultato finale, una diminuzione del loro numero e della loro dimensione. Ne conse gue, quindi, una diminuzione della capacità aerobica e anche un inferiore capacità di recupero o di resi stenza alla fatica.

37Scienza e movimento N. 30 Luglio-Settembre 2022
fisiologia dell’allenamento

Concentrazione di mioglobina muscolare

Come Ordway, G. A., & Garry, D. J. (2004) evidenziano in un articolo intitolato Myoglobin: an essential hemoprotein in striated muscle e pubblicato sulla rivista scientifica “The Journal of experimental biology”, la mioglobina è un’emoproteina citoplasmatica, espressa esclusivamente nei miociti cardiaci e nelle fibre muscolari scheletriche ossidative, funzionalmente definita come proteina di immagazzinamento di ossigeno nei muscoli, in grado di rilasciare ossigeno durante i periodi di ipossia.

Si ritiene inoltre che la mioglobina tamponi la concentrazione intracellulare di ossigeno quando l’attività muscolare aumenta e faciliti la diffusione intracellulare di ossigeno fornendo un percorso parallelo che aumenta la semplice diffusione dell’ossigeno disciolto.

Principali metodi di allenamento della resistenza J. Weineck (2009) sottolinea che se si vuole programmare in maniera ottimale un allenamento della resistenza occorre conoscere i principali metodi e contenuti e gli analoghi effetti fisiologici che possono produrre.

L’allenamento della resistenza prevede principalmente l’utilizzo di allenamenti di durata a ritmo uniforme (lungo-lento) e a ritmo variato (fartlek) e allenamenti intervallati o interval training.

Allenamento di durata a ritmo uniforme o lungo-lento Tale forma di allenamento consiste nel proporre un’attività di durata a ritmo costante come la corsa, per una quantità di tempo che aumenta di allenamento, in allenamento fino a raggiungere un tempo vicino all’ora di lavoro con durate superiori per tutta quanta

una serie di attività sportive che richiedono tempi di esecuzione più lunghi.

Secondo Casolo F. (2002), l’intensità dello sforzo è quantificabile e analogamente individualizzabile attraverso il conteggio delle pulsazioni cardiache, che non deve superare di norma il doppio delle pulsazioni a riposo e cioè il valore di 140 pulsazioni al minuto. Rappresenta una forma di lavoro che viene svolta in steady state o in equilibrio di ossigeno e questo significa che l’energia viene prodotta da un aumentato metabolismo cellulare che avviene in presenza dell’ossigeno, fatto pervenire a livello muscolare dagli apparati cardiocircolatorio e respiratorio. Il concetto di equilibrio, infatti, è riferito alla quantità di ossigeno introdotta che deve corrispondere alla quantità di ossigeno derivante dalla combustione di zuccheri, acidi grassi e proteine.

39Scienza e movimento N. 30 Luglio-Settembre 2022
fisiologia dell’allenamento

Gli effetti fisiologici, prodotti a livello cardiocircolatorio, di questa metodica sono:

• capacità del cuore di contenere più sangue;

• aumento della portata cardiaca;

• diminuzione delle pulsazioni cardiache a riposo. Una possibile variazione di questo metodo è costituita dal cosiddetto “corto veloce” che si attua su durate temporali più brevi, tipicamente dai 20 ai 40’ ma più intense con 150-160 pulsazioni al minuto. Quest’ultimo rappresenta una possibilità per l’atleta di allenare il meccanismo di produzione energetica aerobico con quello anaerobico.

Allenamento di durata a ritmo variato o fartlek L’elemento essenziale che differenzia il fartlek dall’allenamento di durata a ritmo costante è proprio la variazione del ritmo. Si attua incominciando per i primi minuti a ritmo blando per poi, analogamente, inserire accelerazioni moderate di ritmo, per poi ritornare nuovamente al ritmo di base. Anche nel fartlek, così come nell’allenamento di durata,

Casolo F. (2002) evidenzia che il controllo dell’intensità del lavoro è favorito dal valore delle pulsazioni cardiache che, nei momenti di lavoro lento, non deve superare le 140 pulsazioni al minuto, e nelle variazioni è possibile raggiungere le 160-170 pulsazioni al minuto.

Questa forma di allenamento della resistenza, in particolar modo, affianca ed integra i processi di produzione energetica di tipo aerobico con quelli di tipo anaerobico. Tale forma di lavoro, per altro, produce tutta quanta una serie di effetti adattativi prevalentemente a livello cardiocircolatorio, in quanto:

• sollecita, in maniera efficace, il tono del miocardio;

• aumenta la capacità del cuore di adattarsi a sforzi variati in intensità;

• aumenta la capacità di recupero dell’apparato cardiocircolatorio durante lo sforzo.

Allenamento intervallato o Interval training

Alterna momenti di lavoro a momenti di riposo ed ha come effetto principale l’aumento della gittata cardiaca ottenuto attraverso l’ipertrofia del miocardio.

Per ottenere questo effetto devono essere adeguatamente ponderate:

• l’intensità e la durata dei momenti di lavoro, dove le pulsazioni non devono superare il valore di 180 al minuto per un tempo compreso tra i 15 e i 60 secondi;

• la durata dei momenti di recupero che dev’essere incompleto (condizione in cui l’atleta non ha recuperato completamente dalla fase di lavoro precedente e quindi la successiva sarà parzialmente compromessa dall’affaticamento generato all’interno della precedente), ovvero non al di sotto delle 120-130 pulsazioni e compreso solitamente tra i 45 e i 90 secondi.

Casolo F. (2002) dimostra che in questo modo, si dosa il sovraccarico del muscolo cardiaco, che viene abituato ad esprimere capacità di tensione più significative e quindi di maggior gittata sistolica. Un aumento in termini di gittata determina una maggior portata cardiaca e una maggior quantità di sangue ricco di ossigeno in circolo.

40 Scienza e movimento N. 30 Luglio-Settembre 2022

ORGANIZZAZIONE E PERIODIZZAZIONE DELL’ALLENAMENTO DI RESISTENZA

Una programmazione adeguata prevede che, all’interno della prima fase di qualsiasi allenamento (a prescindere dalle differenti finalità di quest’ultimo), debba essere presente un’ampia fase di condizionamento generale; fase fondamentale, in quanto consente di promuovere l’adattamento non solo in termini muscolari, ma anche cardiocircolatori e respiratori, parametri essenziali per poi considerare un adeguato programma di allenamento.

Successivamente al periodo di condizionamento generale, prevalgono i mezzi di allenamento

specifici e di particolare rilevanza all’interno della disciplina di interesse. A periodi di allenamento preparatorio seguiranno periodi di allenamento volti al raggiungimento di uno specifico obiettivo e, successivamente, periodi di transizione o di recupero. (De Pascalis P., 2020 “A Scuola di Fitness”, ed. Calzetti & Mariucci Editori).

All’interno del settore della resistenza non è possibile ottenere buoni risultati senza conoscere e tenere conto dei diversi fenomeni di adattamento.

Nell’allenamento della resistenza, come Neumann (1994) (cit. da J.Weineck, 2009) dimostra, risulta possibile documentare che sono necessarie da quattro a sei settimane di allenamento per riuscire a condurre le relative basi struttu-

rali e funzionali della prestazione ad un livello più elevato.

Nella periodizzazione dell’allenamento della resistenza sarà necessario prevedere un primo periodo volto all’incremento della resistenza generale, che risulta essere alla base di un allenamento della resistenza speciale, in quanto crea i parametri metabolici e cardiocircolatori necessari per carichi più intensivi e un rapido recupero dopo il carico.

Successivamente occorre fornire una sollecitazione specifica, applicando metodi e contenuti di allenamento speciali.

L’efficacia dell’allenamento della resistenza non dipende soltanto da carichi di allenamento ottimali, ma anche da ottimali misure di recupero.

41Scienza e movimento N. 30 Luglio-Settembre 2022
fisiologia dell’allenamento

ADATTAMENTI ANATOMICI E FISIOLOGICI INDOTTI DALL’ALLENAMENTO DI RESISTENZA A LIVELLO DELL’APPARATO CARDIOCIRCOLATORIO

Allenamento e cuore: adattamenti funzionalmente più importanti L’allenamento aerobico porta a cambiamenti cardiovascolari che incrementano notevolmente la capacità di prestazione aerobica e, analogamente, un miglioramento in termini di prestazioni di resistenza. Hellsten, Y., & Nyberg, M. (2015) all’interno di un articolo intitolato Cardiovascular Adaptations to Exercise Training e pubblicato sulla rivista scientifica “Comprehensive Physiology” evidenziano che l’adattamento funzionalmente più importante è il miglioramento della gittata cardiaca massima che è il risultato di un allargamento della dimensione cardiaca, una migliore contrattilità e un aumento del volume sanguigno, consentendo un maggiore riempimento dei ventricoli e una conseguente maggiore gittata sistolica.

Parallelamente alla maggiore gittata cardiaca massima, viene aumentata la capacità di perfusione del muscolo, consentendo un maggiore apporto di ossigeno. Per soddisfare le richieste aerobiche e i livelli di perfusione più elevati, le arterie, le arteriole e i capillari si adattano nella struttura e nel numero. I diametri delle arterie di resistenza sono aumentati in modo tale da ridurre al minimo la resistenza al flusso poiché la gittata cardiaca è distribuita nel corpo e lo spessore della parete del condotto e delle arterie di resistenza è ridotto, un fattore che contribuisce ad aumentare la compliance arteriosa (capacità dei vasi sanguigni di dilatarsi in risposta ad un aumento in termini di pressione sanguigna) .

L’allenamento di resistenza può anche indurre alterazioni della capacità vasodilatatrice. La rete microvascolare aumenta di dimensioni all’interno del muscolo consentendo una migliore capacità di estrazione di ossigeno da parte del muscolo attraverso una maggiore area di diffusione, una distanza di diffusione più breve e un tempo di transito medio più lungo per il passaggio dell’eritrocita attraverso i vasi sanguigni più piccoli.

Il Cuore d’Atleta Come scientificamente dimostrato da numerosi studi, un allenamento di resistenza ad intensità adeguata e volume sufficiente produce “un cuore d’atleta”. Prior, D. L., & La Gerche, A. (2012) all’interno di un articolo intitolato The athlete’s heart e pubblicato sulla rivista scientifica “Heart (British Cardiac Society)” forniscono una definizione essenziale circa la condizione del cuore d’atleta; “cuore d’atleta” è il termine dato al complesso di rimodellamento strutturale, funzionale ed elettrico che accompagna la regolare preparazione atletica.

È un importante adattamento fisiologico che aiuta gli atleti a svolgere in maniera efficace i compiti fisici rispetto ai soggetti non allenati, occorre dunque considerare questa condizione come uno dei cambiamenti fisiologici che possono rendere migliore le prestazioni di resistenza di un determinato atleta.

Lo studio del cuore d’atleta è importante per una serie di motivi chiave: in primo luogo, comprendere come l’adattamento cardiaco contribuisce a migliorare le prestazioni atletiche; in secondo luogo, guidare lo sviluppo di regimi di allenamento che ottimizzino l’adattamento cardiaco e quindi

42 Scienza e movimento N. 30 Luglio-Settembre 2022

migliorino le prestazioni atletiche; e in terzo luogo, per consentire la differenziazione del cuore dell’atle ta normale da importanti stati patologici che possono condividere caratteristiche morfologiche simili. Lewicka-Potocka, Z., et al. (2021) all’interno di un articolo intitolato “The athlete’s heart” features in amateur male marathon runners e pubblicato sulla rivista scientifica “Cardiology journal” sottolineano che il tipo di esercizio, la sua intensità, durata dell’allenamento, età, sesso e altri fattori individuali possono influenzare il verificarsi del “cuore d’atleta”. Può comparire anche dopo 8 settimane di allenamento intenso e può scomparire a seguito della cessazione dello sport.

Sulla base di questo studio, con riferimento agli effetti che questa condizione comportava, è stato possibile evincere che l’allargamento atriale è stato uno dei risultati più comuni ed entrambi gli atrii erano significativamente più grandi rispetto ai controlli eseguiti su soggetti sedentari; il successivo risultato è stato l’ispessimento del ventricolo sinistro, che era significativo rispetto ai controlli eseguiti su soggetti sedentari, occorre in questi termini considerare che, l’ispessimento ventricolare sinistro correlato all’esercizio di solito corrisponde all’allargamento ventricolare sinistro. Successivamente, a questa serie di adattamenti è possibile assistere al rimodellamento del ventricolo destro; il rimodellamento del ventricolo destro è una delle caratteristiche più frequenti del “cuore d’atleta”, in cui la dimensione del ventricolo destro è aumentata ma la sua funzione è preservata. In conclusione, tale studio evidenzia che, dal punto di vista diagnostico l’ecocardiogramma resta lo strumento principale nel riconoscimento del “cuore d’atleta”.

Allenamento e bradicardia: quale correlazione scientifica?

D’Souza, A., et al. (2014) in un articolo intitolato Exercise training reduces resting heart rate via downregulation of the funny channel HCN4 e pubblicato sulla rivista scientifica “Nature communications” affermano che gli atleti di resistenza presentano bradicardia sinusale definita da una frequenza cardiaca a riposo <60 battiti per minuto.

I soggetti allenati alla resistenza presentano una frequenza cardiaca di circa 40 battiti per minuto e, talvolta, ancora più bassa di notte e un volume sistolico di circa 105 ml (nei soggetti non allenati 60-70 ml). Durante lo sforzo sono in grado di incrementare notevolmente, fino a cinque volte la loro frequenza cardiaca (soggetti non allenati fino a tre volte), mentre il volume sistolico aumenta più del doppio, rimanendo costante anche con frequenza fino a 200 battiti al minuto. Grazie all’elevata frequenza cardiaca e all’incremento del volume sistolico durante il carico, contestualmente, si assiste ad un significativo aumento in termini di portata cardiaca che va da circa 4-5 litri al minuto a riposo ai 3040 litri al minuto (nei soggetti non allenati circa 20 litri al minuto) e quindi si assiste a un analogo incremento in termini della capacità di consumo di ossigeno che è un fattore determinante nelle prestazioni di resistenza (Strauzenberg, Shimdtmann 1976, 498; cit. da J. Weineck, 2009).

Ancora una volta, tali rapporti pongono in evidenza che, mediante l’allenamento, tutti i parametri che partecipano alla determinazione della prestazione sportiva si sviluppano armonicamente e si condizionano ed influenzano a vicenda (J. Weineck, 2009).

43Scienza e movimento N. 30 Luglio-Settembre 2022
fisiologia dell’allenamento

VANTAGGI IN TERMINI PREVENTIVI (E/O TERAPEUTICI) DI TALI ADATTAMENTI

L’impatto dell’allenamento di resistenza sull’ipertensione Pescatello, L. S. et al. (2004) all’interno di un articolo intitolato “Exercise and hypertension” e pubblicato sulla rivista scientifica Medicine and science in sports and exercise dimostrano come un allenamento della resistenza costante, dinamico, di intensità media, possa agire positivamente sulle differenti forme di ipertensione (di I e di II grado, soprattutto).

In questi termini, sarà possibile evidenziare quanto i programmi di esercizio che coinvolgono principalmente l’attività di resistenza:

• prevengono lo sviluppo di differenti forme di ipertensione;

• promuovono l’abbassamento della pressione sanguigna negli adulti sia con pressione arteriosa normale e sia con ipertensione.

Gli effetti di riduzione della pressione arteriosa dell’esercizio sono più pronunciati in soggetti con ipertensione, in quanto presentano una riduzione pari a circa 5-7 millimetri di mercurio (mmHg). I meccanismi proposti per gli effetti di riduzione della pressione arteriosa dell’esercizio includono adattamenti neuroumorali, vascolari e strutturali. Diminuzioni delle catecolamine e della resistenza periferica totale, miglioramento della sensibilità all’insulina e alterazioni dei vasodilatatori e vasocostrittori rappresentano significativi effetti antiipertensivi indotti dall’esercizio di resistenza.

Per soggetti ipertesi risulta particolarmente adatto soprattutto un allenamento di lieve-moderata intensità con una frequenza cardiaca che non vada oltre le 140 pulsazioni cardiache per minuto, in quanto in questa condizione il cuore svolge un lavoro soprattutto di volume. Nei carichi di intensità elevata, a causa della maggiore pressione periferica della muscolatura che si contrae con forza

prevalentemente maggiore, prevale un aumento “non voluto” della pressione (Weineck J., 2009). Occorre, pertanto, definire meglio la frequenza, l’intensità, il tempo e il tipo di allenamento ottimali, in modo tale da ottimizzare le capacità di esercizio di riduzione della pressione arteriosa, in particolar modo nei bambini, nelle donne e negli anziani. Sulla base delle prove attuali, Pescatello, L. S. et al. (2004) evidenziano che, la seguente prescrizione di esercizio è raccomandata per soggetti con valori di pressione sanguigna, verosimilmente, elevati:

• Frequenza: nella maggior parte, preferibilmente tutti, i giorni della settimana.

• Intensità: moderata (40<60% di VO2max)

• Tempo: 30 minuti di attività fisica a moderata intensità al giorno.

• Tipo: principalmente attività fisica di resistenza integrata ad esercizi di forza che prevedono l’utilizzo, prevalentemente, di sovraccarichi non particolarmente elevati.

44 Scienza e movimento N. 30 Luglio-Settembre 2022

L’impatto dell’allenamento di resistenza sull’obesità. A causa della mancanza cronica di movimento, di un comportamento passivo durante il tempo libero e di un’alimentazione ipercalorica, in tutte le nazioni industriali si è prodotto un significativo aumento del sovrappeso e dell’obesità, un fenomeno che inizia già in età infantile per proseguire quasi linearmente nell’età adulta (Weineck J., 2009).

Weineck J. (2009) evidenzia che un semplice criterio per stabilire se si è in sovrappeso oppure obesi è rappresentato dall’indice di massa corporea (I.M.C.), il cui calcolo si basa sul rapporto tra peso in Kg e altezza in m2:

Peso(kg) / Altezza (m2)

Skrypnik, D. et al (2015) evidenziano che un indice di massa corporea superiore a 35 kg/m2 all’età di 20 anni riduce l’aspettativa di vita di 13 anni. I soggetti con un indice di massa corporea compreso tra 40 e 49,9 kg/m2 hanno un rischio annuale di morte quasi doppio rispetto a quelli con un indice di massa corporea compreso tra 22,5 e 24,9 kg/m2. Si stima che solo negli Stati Uniti l’obesità sia la causa di oltre 300.000 decessi all’anno.

Le principali cause di mortalità nelle persone con obesità sono le malattie cardiovascolari, questo soprattutto perché come dimostrato da Ratajczak, M. et al. (2019) in uno studio intitolato Effects of Endurance and Endurance-Strength Training on Endothelial Function in Women with Obesity: A Randomized Trial e pubblicato sulla rivista scientifica “International journal of environmental research and public health” l’obesità è associata a diversi fattori di rischio cardiovascolare accertati, tra cui insulino-resistenza, dislipidemia, ipertensione e infiammazione cronica di basso grado.

Skrypnik, D. et al (2015) dimostrano che la perdita di peso clinicamente significativa ( 5% del peso corporeo basale) è considerata un modo efficace per ridurre i fattori di rischio cardiovascolare e dovrebbe essere l’oggetto di ogni piano di trattamento.

L’attività fisica dovrebbe essere implementata nei protocolli di terapia dell’obesità, indipendentemente dal peso corporeo di base o dagli obiettivi di perdita di peso.

Secondo le linee guida europee di pratica clinica dell’Associazione europea per lo studio dell’obesità (E.A.S.O.-European Association for the Study of Obesity), l’allenamento aerobico di resistenza di intensità moderata ma gradualmente crescente, adattato allo stato di salute e alle capacità dei pazienti,

dovrebbe essere svolto quasi tutti i giorni della settimana, per 30-60’ al giorno, da persone di tutte le età.

Allenamento della resistenza e diabete mellito

Il diabete mellito rappresenta un significativo fattore di rischio per l’eziopatogenesi di differenti patologie cardiovascolari.

Secondo l’American Diabetes Association (2011), come si evince all’interno di un articolo intitolato Diagnosis and classification of diabetes mellitus e pubblicato sulla rivista scientifica “Diabetes care”, il diabete è in realtà un gruppo di malattie metaboliche caratterizzate da iperglicemia legata sostanzialmente a difetti nella secrezione di insulina, nell’azione dell’insulina o in entrambi.

Gran parte dei casi di diabete rientra in due ampie categorie eziopatogenetiche (American Diabetes Association, 2011):

• in una categoria, il diabete di tipo 1, la causa è un’assoluta carenza di secrezione di insulina;

• nell’altra categoria, molto più prevalente, il diabete di tipo 2, la causa è una combinazione di resistenza all’azione dell’insulina e un’inadeguata risposta secretoria dell’insulina compensatoria.

45Scienza e movimento N. 30 Luglio-Settembre 2022
fisiologia dell’allenamento

Secondo Weineck J. (2009) tra i fattori responsabili del manifestarsi del diabete, oltre a quelli ereditari, occorre citare:

• un’alimentazione ipercalorica;

• una scarsa attività motoria. Pertanto, Stephenson, E. J., Smiles, W., & Hawley, J. A. (2014) in un articolo intitolato The relationship between exercise, nutrition and type 2 diabetes e pubblicato sulla rivista scientifica “Medicine and sport science” evidenziano che dal punto di vista terapeutico, l’implementazione dell’attività fisica e delle modifiche dietetiche sono efficaci opzioni di trattamento per il controllo del diabete.

Scott, S et al. (2019) all’interno di un articolo intitolato Carbohydrate Intake in the Context of Exercise in People with Type 1 e pubblicato sulla rivista scientifica “Diabetes Nutrients” dimostrano che risulta particolarmente opportuno raccomandare alle persone con diabete di tipo 1 di impegnarsi in un regolare esercizio fisico per una serie di motivi di salute e fitness. È stato dimostrato che l’attività fisica ridu-

ce il rischio cardiovascolare, attraverso il miglioramento dei fattori di rischio modificabili come l’ipertensione o la dislipidemia, e ha un impatto benefico su fattori aggiuntivi come la composizione corporea e il benessere psicologico nei pazienti con diabete di tipo 1.

Olver, T. D., & Laughlin, M. H. (2016) all’interno di un articolo intitolato Endurance, interval sprint, and resistance exercise training: impact on microvascular dysfunction in type 2 diabetes e pubblicato sulla rivista scientifica “American journal of physiology Heart and circulatory physiology” evidenziano che il diabete di tipo 2 altera l’emodinamica capillare, provoca rarefazione capillare nel muscolo scheletrico e altera il fenotipo delle cellule muscolari lisce endoteliali e vascolari, con conseguente alterata risposta vasodilatatoria.

Questi cambiamenti contribuiscono ad alterare le risposte del flusso sanguigno a stimoli fisiologici, come l’esercizio e la secrezione di insulina.

La disfunzione microvascolare indotta dal diabete di tipo 2 altera la somministrazione di glucosio e insulina al muscolo scheletrico (e ad altri tessuti come la pelle e il sistema nervoso), riducendo così l’assorbimento del glucosio e comportando iperglicemia e iperinsulinemia. Nei soggetti con diabete di tipo 2, l’allenamento di resistenza migliora la segnalazione dell’insulina e attenua la rarefazione capillare nel muscolo scheletrico. I cambiamenti indotti dall’allenamento di resistenza, per altro, aumentano successivamente la somministrazione di glucosio e insulina, nonché l’assorbimento di glucosio. Se questi adattamenti si verificano in una quantità sufficiente di tessuto, e in particolare del muscolo scheletrico, l’esposizione cronica all’iperglicemia e all’iperinsulinemia e il rischio di complicanze microvascolari in tutti i letti vascolari diminuiranno. I programmi di allenamento che coinvolgono quanta più massa muscolare scheletrica possibile e reclutano quante più fibre muscolari possibile all’interno di ciascun

46 Scienza e movimento N. 30 Luglio-Settembre 2022

muscolo genereranno i maggiori miglioramenti nella funzione microvascolare, a condizione che la durata dello stimolo sia sufficiente. Miglioramenti primari nella funzione microvascolare si verificano nei tessuti (muscolo scheletrico principalmente) impegnati durante l’esercizio e miglioramenti secondari nella funzione microvascolare in tutto il corpo possono derivare da un migliore controllo della glicemia.

Pertanto, per acquisire miglioramenti primari e secondari nella funzione microvascolare e un migliore controllo della glicemia, i programmi di allenamento dovrebbero coinvolgere esercizi della parte superiore e inferiore del corpo e modulare l’intensità per aumentare il reclutamento delle fibre muscolari scheletriche. In condizioni di mobilità ridotta, potrebbe essere necessario allenare separatamente i gruppi muscolari scheletrici per massimizzare il reclutamento delle fibre muscolari scheletriche di tutto il corpo.

In conclusione sarà opportuno affermare che un allenamento di resistenza ha un effetto preventivo e/o di sostegno della terapia dei diabetici, in quanto la cellula muscolare è in grado di assorbire zuccheri soprattutto nel momento in cui il muscolo lavora o in presenza di insulina. L’attività fisica, dunque, svolge un ruolo determinante nella regolazione dello zucchero ematico e nella prevenzione di affezioni vascolari che provocano il diabete.

CONCLUSIONI

Allenarsi è un beneficio per la salute di tutti

In particolar modo l’allenamento di resistenza in tutte le sue differenti modalità, come scientificamente dimostrato da numerosi studi, garantisce l’adattamento ed il miglioramento dei diversi apparati, offendo un particolare intervento sull’apparato cardiocircolatorio che rappresenta un complesso insieme di componenti anatomo-fi-

siologiche, che consentono la circolazione del sangue all’interno dell’organismo al fine di rifornire le cellule di nutrienti e ossigeno e consentire l’eliminazione dell’anidride carbonica e di ulteriori prodotti di scarto. Ne deriva, pertanto, che la corretta organizzazione e periodizzazione dell’allenamento di resistenza non solo offre tutta una serie di benefici dal punto di vista della performance del soggetto, ma diviene, altresì, un reale strumento preventivo e terapeutico che favorisce il mantenimento di un’ottimale composizione corporea, il contrasto degli eccessi adiposi e dell’accumulo del colesterolo, consentendo anche di trattare e prevenire numerosi fattori di rischio cardiovascolare. Occorrerebbe, pertanto, introdurre l’allenamento di resistenza all’interno di qualsiasi programma di allenamento, in modo tale da svilupparla in maniera ottimale contestualmente alle altre “forme di sollecitazione motoria” quali: forza e rapidità.

47Scienza e movimento N. 30 Luglio-Settembre 2022
fisiologia dell’allenamento

Physical activity determines a series of anatomical-physiological adaptations within the body. Endurance training, in particular, is an optimal tool, able to favor a whole series of particularly positive conditions for the health and well-being of the subject. To facilitate the occurrence of these adaptations, it is necessary to consider a correct organization and periodization of training. The phases of organization and periodization of training pay particular attention to the general conditioning phase which represents a fundamental step, as it allows you to promote adaptation, not only in muscular terms, but also in cardiovascular and respiratory terms. The cardiovascular system, similarly to other anatomical-physiological factors, is significantly stressed during different endurance loads, especially duration training and interval training. Eccentric cardiac hypertrophy, directly proportional to the increase in the size of the myocardium due to the (induced) increase in the atrio-ventricular volume, appears to be the most evident adaptation in endurance athletes. This adaptation allows the heart the extraordinary ability to be able, at every single pulse, to eject and therefore to eject a greater quantity of blood (increase in cardiac output) and consequently also a greater quantity of oxygenated blood. Endurance training becomes a real preventive and therapeutic tool as through the occurrence of numerous factors such as the increase in blood volume and the presence of erythrocytes, the increase in lung volume, the increase in the capillary network, at the same time, it allows to favor numerous benefits such as: maintaining an optimal body composition, contrasting excess fat and accumulation of cholesterol, not only favoring the overall improvement of physical conditions but also allowing to treat and prevent numerous cardiovascular risk factors.

48 Scienza e movimento N. 30 Luglio-Settembre 2022 ABSTRACT

1. American Diabetes Association (2010). Diagnosis and classification of diabetes mellitus. Diabetes care, 33 Suppl 1(Suppl 1), S62–S69.

2. Bergström, J., Hultman, E., & Saltin, B. (1973). Muscle glycogen consumption during cross-country skiing (the Vasa ski race). Internationale Zeitschrift fur angewandte Physiologie, einschliesslich Arbeitsphysiologie, 31(2), 71–75.

3. Casolo, F. (2002). Lineamenti di teoria e metodologia del movimento umano. Italia: Vita e Pensiero Editrice.

4. De Feo, P. et al (2003). Metabolic response to exercise. Journal of endocrinological investigation, 26(9), 851–854.

5. De Pascalis P., 2020 - “A Scuola di Fitness” - ed. Calzetti & Mariucci Editori – Quinta edizione (p.p. 152-153)

6. D’Souza, A., Bucchi, A., Johnsen, A. B., Logantha, S. J., Monfredi, O., Yanni, J., Prehar, S., Hart, G., Cartwright, E., Wisloff, U., Dobryznski, H., DiFrancesco, D., Morris, G. M., & Boyett, M. R. (2014). Exercise training reduces resting heart rate via downregulation of the funny channel HCN4. Nature communications, 5, 3775.

7. Flockhart, M., Nilsson, L. C., Tais, S., Ekblom, B., Apró, W., & Larsen, F. J. (2021). Excessive exercise training causes mitochondrial functional impairment and decreases glucose tolerance in healthy volunteers. Cell metabolism, 33(5), 957–970.e6.

8. Hellsten, Y., & Nyberg, M. (2015). Cardiovascular Adaptations to Exercise Training. Comprehensive Physiology, 6(1), 1–32

9. Lewicka-Potocka, Z., Dąbrowska-Kugacka, A., Lewicka, E., Kaleta, A. M., Dorniak, K., Daniłowicz-Szymanowicz, L., Fijałkowski, M., Nabiałek-Trojanowska, I., Ratkowski, W., Potocki, W., & Raczak, G. (2021). The “athlete’s heart” features in amateur male marathon runners. Cardiology journal, 28(5), 707–715.

10. Muscella, A., Stefàno, E., & Marsigliante, S. (2020). The effects of exercise training on lipid metabolism and coronary heart disease. American journal of physiology. Heart and circulatory physiology, 319(1), H76–H88.

11. Olver, T. D., & Laughlin, M. H. (2016). Endurance, interval sprint, and resistance exercise training: impact on microvascular dysfunction in type 2 diabetes. American journal of physiology. Heart and circulatory physiology, 310(3), H337–H350.

12. Ordway, G. A., & Garry, D. J. (2004). Myoglobin: an essential hemoprotein in striated muscle. The Journal of experimental biology, 207(Pt 20), 3441–3446.

13. Paul, P., & Holmes, W. L. (1975). Free fatty acid and glucose metabolism during increased energy expenditure and after training. Medicine and science in sports, 7(3), 176–183.

14. Pescatello, L. S., Franklin, B. A., Fagard, R., Farquhar, W. B., Kelley, G. A., Ray, C. A., & American College of Sports Medicine (2004). American College of Sports Medicine position stand. Exercise and hypertension. Medicine and science in sports and exercise, 36(3), 533–553

15. Prior, D. L., & La Gerche, A. (2012). The athlete’s heart. Heart (British Cardiac Society), 98(12), 947–955.

16. Ratajczak, M., Skrypnik, D., Bogdański, P., Mądry, E., Walkowiak, J., Szulińska, M., Maciaszek, J., Kręgielska-Narożna, M., & Karolkiewicz, J. (2019). Effects of Endurance and Endurance-Strength Training on Endothelial Function in Women with Obesity: A Randomized Trial. International journal of environmental research and public health, 16(21), 4291.

17. Saltin B. (1973). Metabolic fundamentals in exercise. Medicine and science in sports, 5(3), 137–146.

18. Scott, S., Kempf, P., Bally, L., & Stettler, C. (2019). Carbohydrate Intake in the Context of Exercise in People with Type 1 Diabetes. Nutrients, 11(12), 3017.

19. Skrypnik, D., Bogdański, P., Mądry, E., Karolkiewicz, J., Ratajczak, M., Kryściak, J., Pupek-Musialik, D., & Walkowiak, J. (2015). Effects of Endurance and Endurance Strength Training on Body Composition and Physical Capacity in Women with Abdominal Obesity. Obesity facts, 8(3), 175–187.

20. Stephenson, E. J., Smiles, W., & Hawley, J. A. (2014). The relationship between exercise,nutrition and type 2 diabetes. Medicine and sport science, 60, 1–10.

21. Taylor, A. W., Booth, M. A., & Rao, S. (1972). Human skeletal muscle phosphorylase activities with exercise and training. Canadian journal of physiology and pharmacology, 50(11), 1038–1042.

22. Wasserman K. (1986). The anaerobic threshold: definition, physiological significance and identification. Advances in cardiology, 35, 1–23.

23. Weineck J. (2009). L’Allenamento Ottimale (seconda edizione italiana) ed. Calzetti & Mariucci Editori

49Scienza e movimento N. 30 Luglio-Settembre 2022
BIBLIOGRAFIA fisiologia dell’allenamento

Calendario dei CORSI

PERSONAL TRAINER

Senza dubbio uno dei corsi di punta dell’offerta formativa di NonSoloFitness, completo e strutturato per fornire tutte le informazioni per avviare fin da subito l’attività di Personal Trainer. Durante le lezioni saranno trattati tutti gli argomenti utili ad un professionista, dalle tecniche di allenamento alla valutazione funzionale dell’atleta, fino ai metodi per il marketing e la promozione della propria immagine.

Durata 1 week-end Quota 199,00 euro

Date e sedi

Iscrizioni www.nsf.it

Verona 15-16 ottobre 2022; Pescara 15-16 ottobre 2022; Udine 22-23 ottobre 2022; Pesaro 22-23 ottobre 2022; Torino 22-23 ottobre 2022; Padova 29-30 ottobre 2022; Padova 29-30 ottobre 2022; Milano 5-6 novembre 2022; Roma 5-6 novembre 2022; Firenze 12-13 novembre 2022; Catania 12-13 novembre 2022; Napoli 12-13 novembre 2022; Napoli 19-20 novembre 2022; Bologna 19-20 novembre 2022; Cagliari 19-20 novembre 2022; Brescia 19-20 novembre 2022; Verona 26-27 novembre 2022; Genova 3-4 dicembre 2022; Padova 3-4 dicembre 2022; Pescara 10-11 dicembre 2022; Torino 10-11 dicembre 2022; Torino 10-11 dicembre 2022; Roma 17-18 dicembre 2022; Milano 17-18 dicembre 2022; Padova 14-15 gennaio 2023; Napoli 14-15 gennaio 2023; Bologna 21-22 gennaio 2023; Milano 21-22 gennaio 2023; Roma 21-22 gennaio 2023; Bari 28-29 gennaio 2023; Torino 28-29 gennaio 2023; Catania 28-29 gennaio 2023; Verona 28-29 gennaio 2023; Firenze 4-5 febbraio 2023; Brescia 4-5 febbraio 2023; Cagliari 4-5 febbraio 2023; Genova 11-12 febbraio 2023; Pescara 11-12 febbraio 2023; Parma 18-19 febbraio 2023; Trento 18-19 febbraio 2023

Chi ha già seguito il corso da Personal Trainer può accedere anche ai corsi di:

Personal trainer - II livello

Roma 19-20 novembre 2022; Milano 19-20 novembre 2022; Padova 19-20 novembre 2022; Verona 10-11 dicembre 2022

Personal trainer - III livello

Milano 10-11 dicembre 2022; Roma 10-11 dicembre 2022; Padova 10-11 dicembre 2022

ALIMENTAZIONE E INTEGRAZIONE SPORTIVA

Un fine settimana di approfondimento altamente specifico, che affronta l’alimentazione nelle sue molteplici sfaccettature e in particolare il suo ruolo per chi pratica attività sportiva. Ampio spazio è dedicato agli integratori alimentari, le modalità di assunzione e i reali benefici o potenziali effetti negativi.

Durata 1 week-end Quota 199,00 euro

Date e sedi

Iscrizioni www.nsf.it

Roma 12-13 novembre 2022; Milano 12-13 novembre 2022; Padova 4-5 febbraio 2023; Roma 11-12 febbraio 2023; Milano 11-12 febbraio 2023

HATHA YOGA PER IL FITNESS

Una grande novità nella formazione NonSoloFitness: il primo corso di Hatha Yoga per il Fitness, con il quale si intende integrare al massimo la teoria con la pratica. Sessioni pratiche e teoriche saranno alternate all’interno delle 2 giornate formative lungo un percorso che include l’esame di circa 60 Asana, ognuna delle quali sarà approfondita durante il corso.

Durata 1 week-end

Quota 199,00 euro Iscrizioni www.nsf.it

Date e sedi

Padova 15-16 ottobre 2022; Milano 22-23 ottobre 2022; Bologna 29-30 ottobre 2022; Roma 5-6 novembre 2022; Catania 10-11 dicembre 2022; Roma 14-15 gennaio 2023; Milano 14-15 gennaio 2023; Padova 28-29 gennaio 2023; Catania 18-19 febbraio 2023

Hatha Yoga per il Fitness - II livello

Milano 3-4 dicembre 2022; Roma 3-4 dicembre 2022

Hatha Yoga per Bambini

Roma 29-30 ottobre 2022; Milano 29-30 ottobre 2022; Padova 25-26 febbraio 2023; Roma 11-12 marzo 2023; Milano 11-12 marzo 2023

I CORSI 50 Scienza e movimento N. 30 Luglio-Settembre 2022

Il corso di Pilates è strutturato in modo da fornire ai futuri istruttori la necessaria preparazione e capacità di organizzare al meglio le sessioni allenanti nel rispetto dei principi base della disciplina, sfruttando la naturale capacità di promuovere il giusto equilibrio tra benefici sul piano emotivo e sul piano fisico. Nella parte teorica saranno affrontati gli argomenti tecnici relativi alla conoscenza del metodo, del linguaggio e della filosofia che risiede dietro al Pilates. La parte pratica prevede l’esame degli esercizi eseguiti con l’ausilio del tappetino e finalizzati a migliorare la forza muscolare, ottenendo un corpo più forte, snello e con addominali tonici e performanti. Sarà dato ampio risalto alle metodiche che aiutano a prendere consapevolezza del proprio corpo producendo un miglioramento nella postura e prevenendo i vizi posturali. Infine, sarà esaminato come divenire più abili e precisi nei movimenti e nel gesto atletico attraverso la pratica del Pilates, beneficiando delle ripercussioni positive che è possibile avere anche in altri tipi di sport.

Durata 2 week-end Quota 399,00 euro Iscrizioni www.nsf.it

Date e sedi

Padova 15-16 ottobre 2022 e 12-13 novembre 2022; Catania 29-30 ottobre 2022 e 26-27 novembre 2022; Bari 5-6 novembre 2022 e 3-4 dicembre 2022; Roma 12-13 novembre 2022 e 10-11 dicembre 2022; Milano 12-13 novembre 2022 e 10-11 dicembre 2022; Padova 21-22 gennaio 2023 e 11-12 febbraio 2023; Roma 28-29 gennaio 2023 e 18-19 febbraio 2023; Milano 28-29 gennaio 2023 e 18-19 febbraio 2023; Catania 11-12 febbraio 2023 e 11-12 marzo 2023

Chi ha seguito il corso da istruttore di Pilates può accedere anche ai corsi di: Pilates II livello

Roma 26-27 novembre 2022 e 10-11 dicembre 2022

Istruttore Pilates Piccoli attrezzi

Roma 29-30 ottobre 2022 e 19-20 novembre 2022; Milano 29-30 ottobre 2022 e 19-20 novembre 2022; Roma 1-2 aprile 2023 e 6-7 maggio 2023; Milano 1-2 aprile 2023 e 6-7 maggio 2023

Istruttore Pilates Cadillac

Milano 5-6 novembre 2022 e 3-4 dicembre 2022; Roma 12-13 novembre 2022 e 10-11 dicembre 2022

Istruttore Pilates Wunda Chair

Roma 26-27 novembre 2022; Milano 3-4 dicembre 2022; Milano 11-12 marzo 2023; Roma 18-19 marzo 2023

Istruttore Pilates BarrellIstruttore Pilates Reformer

\\

ISTRUTTORE FITNESS E BODYBUILDING

Milano 18-19 marzo 2023 e 15-16 aprile 2023; Roma 25-26 marzo 2023 e 22-23 aprile 2023

Un corso altamente specifico che tratta in prevalenza tutte le tematiche inerenti l’allenamento con un’analisi approfondita degli esercizi, della meccanica muscolare e delle tecniche di allenamento finalizzate all’incremento della massa muscolare. Tra gli argomenti trattati: metodologia dell’allenamento, organizzazione dell’allenamento, metodi per lo sviluppo dell’ipertrofia, approccio ed elaborazione scheda d’allenamento. Analisi teorico-pratica degli esercizi.

Durata 1 week-end

Quota 199,00 euro

Date e sedi

Iscrizioni www.nsf.it

Genova 15-16 ottobre 2022; Pesaro 15-16 ottobre 2022; Genova 22-23 ottobre 2022; Bari 22-23 ottobre 2022; Udine 29-30 ottobre 2022; Lecce 29-30 ottobre 2022; Napoli 12-13 novembre 2022; Padova 12-13 novembre 2022; Catania 19-20 novembre 2022; Roma 19-20 novembre 2022; Milano 19-20 novembre 2022; Cagliari 26-27 novembre 2022; Brescia 26-27 novembre 2022; Catania 26-27 novembre 2022; Bologna 26-27 novembre 2022; Torino 3-4 dicembre 2022; Firenze 3-4 dicembre 2022; Verona 10-11 dicembre 2022; Bari 17-18 dicembre 2022; Brescia 14-15 gennaio 2023; Firenze 14-15 gennaio 2023; Catania 21-22 gennaio 2023; Padova 21-22 gennaio 2023; Roma 28-29 gennaio 2023; Milano 28-29 gennaio 2023; Pescara 28-29 gennaio 2023; Torino 4-5 febbraio 2023; Napoli 4-5 febbraio 2023; Bologna 11-12 febbraio 2023; Bari 11-12 febbraio 2023; Verona 11-12 febbraio 2023; Cagliari 18-19 febbraio 2023

Chi ha seguito il corso di Body Building di primo livello può accedere anche al corso di: Fitness e BodyBuilding di II livello

Padova 3-4 dicembre 2022; Milano 10-11 dicembre 2022; Roma 10-11 dicembre 2022

ISTRUTTORE HIIT

Il calo ponderale è la spinta principale a praticare attività fisica, e la difficoltà di ottenere il risultato è invece il primo motivo di abbandono. Per rispondere alle esigenze del mercato abbiamo studiato e realizzato il corso di formazione di Istruttore HIIT, una metodologia di allenamento che ha tra i principali benefici proprio il dimagrimento. Nella parte teorica verranno affrontati argomenti basilari, per arrivare poi a trattare specificatamente l’allenamento ad alta intensità e i suoi effetti, oltre all’analisi dei più imporanti protocolli di lavoro: Tabata, Gibala e Timmons.

Durata 1 week-end

Quota 199,00 euro

Date e sedi

Iscrizioni www.nsf.it

Roma 22-23 ottobre 2022; Milano 29-30 ottobre 2022; Roma 4-5 marzo 2023; Milano 4-5 marzo 2023

I CORSI 51Scienza e movimento N. 30 Luglio-Settembre 2022
ISTRUTTORE PILATES

ISTRUTTORE PUMP

Il Pump è una disciplina presente in tutte le palestre italiane e non solo, un fenomeno in continua crescita come la richiesta di Istruttori certificati, che si mantiene particolarmente elevata.

Con il nostro corso Ë possibile diventare Istruttore certificato EPS CONI e lavorare come professionista, creando nuove opportunit‡ o incrementando il monte ore lavorativo.

Durata 1 week-end

Quota 199,00 euro

Date e sedi

Iscrizioni www.nsf.it

Milano 22-23 ottobre 2022; Roma 29-30 ottobre 2022; Roma 14-15 gennaio 2023; Milano 4-5 febbraio 2023

BIOMECCANICA DEGLI ESERCIZI FISICI

Il Corso di Biomeccanica degli esercizi fisici si sviluppa in 2 weekend e prevede l’analisi teorica e pratica della tecnica esecutiva, della metodologia di insegnamento e della progressione didattica dei principali esercizi di muscolazione rivolti alla muscolatura di: arti in feriori, addominali, tronco, arti superiori. Verranno analizzati esercizi come squat, stacco da terra, plank, distensioni su panca piana con bilanciere e manubri, distensioni su panca inclinata con bilanciere e manubri e moltissimi altri.

Durata 2 week-end

Quota 399,00 euro

Date e sedi

Iscrizioni www.nsf.it

Catania 15-16 ottobre 2022 e 5-6 novembre 2022; Roma 11-12 febbraio 2023 e 11-12 marzo 2023; Milano 11-12 febbraio 2023 e 11-12 marzo 2023; Padova 25-26 febbraio 2023 e 25-26 marzo 2023

ISTRUTTORE GINNASTICA IPOPRESSIVA

La ginnastica ipopressiva si differenza dalla comune ginnastica pelvica, in quanto il suo obiettivo non è solo quello di riprogrammare il corretto funzionamento del pavimento pelvico, ma anche quello di reinformare la muscolatura profonda di tutto il corpo, attraverso specifiche posture.Durante il corso verranno esaminati gli aspetti fisiologici, biomeccanici e anatomici utili a comprende come utilizzare al meglio la ginnastica ipopressiva e verranno valutate le controindicazioni specifiche.

Durata 1 week-end Quota 199,00 euro

Date e sedi

Iscrizioni www.nsf.it

Bologna 15-16 ottobre 2022; Torino 22-23 ottobre 2022; Catania 29-30 ottobre 2022; Padova 5-6 novembre 2022; Roma 26-27 novembre 2022; Milano 26-27 novembre 2022; Catania 21-22 gennaio 2023; Milano 4-5 febbraio 2023; Roma 4-5 febbraio 2023; Padova 11-12 febbraio 2023; Bologna 4-5 marzo 2023; Brescia 18-19 marzo 2023

ISTRUTTORE WALKING

È possibile trovare classi di Walking nei centri fitness e palestre di tutta Italia. Si tratta di una disciplina adatta a tutti, facile da imparare e di enorme successo. C’èË una forte richiesta di professionisti, per questa ragione intendiamo formare i migliori Istruttori Walking, che possano lavorare in maniera continuativa e proficua.

Durata 1 week-end Quota 199,00 euro

Date e sedi

Iscrizioni www.nsf.it

Milano 29-30 ottobre 2022; Roma 12-13 novembre 2022; Milano 19-20 novembre 2022

ISTRUTTORE POLE DANCE

Il corso di Istruttore Pole Dance risponde alle più recenti esigenze del mercato del lavoro nel settore delle palestre e dei centri fitness. Il programma didattico parte dall’analisi dell’anatomia e della biomeccanica per arrivare all’analisi e all’esecuzione delle più importanti figure, partendo da quelle base. L’ultimo modulo del corso prevede un approfondimento su come strutturare una lezione di Pole Dance.

Durata 1 week-end Quota 199,00 euro

Date e sedi

Iscrizioni www.nsf.it

Milano 15-16 ottobre 2022 e 12-13 novembre 2022; Roma 5-6 novembre 2022 e 3-4 dicembre 2022; Roma 4-5 febbraio 2023 e 4-5 marzo 2023; Milano 18-19 febbraio 2023 e 18-19 marzo 2023

I CORSI 52 Scienza e movimento N. 30 Luglio-Settembre 2022

ISTRUTTORE FIT BOXE

La Fit boxe sta ottenendo uno strepitoso successo in tutti i centri fitness italiani: c’è quindi una forte richiesta di professionisti, di veri Istruttori Fit boxe. Il programma del corso parte dalle indispensabili basi teoriche per arrivare alla “costruzione della lezione”, con mol teplici passaggi dalla teoria alla pratica.

Durata 1 week-end

Quota 199,00 euro

Date e sedi

Iscrizioni www.nsf.it

Milano 19-20 novembre 2022; Roma 19-20 novembre 2022; Roma 21-22 gennaio 2023; Milano 21-22 gennaio 2023

ISTRUTTORE FITNESS PER IL DIMAGRIMENTO

L’abbattimento della massa grassa è una delle spinte, se non la principale, che induce le persone a frequentare un centro fitness. Il corso di Istruttore Fitness per il Dimagrimento prevede una parte prettamente teorica, nella quale il docente approfondirà concetti fonda mentali per tale obiettivo, seguita da una seconda parte incentrata su aspetti squisitamente pratici.

Durata 1 week-end Quota 199,00 euro

Iscrizioni www.nsf.it

Disponibile solo in modalità Online – Formazione A Distanza

ISTRUTTORE FITNESS PER BAMBINI

Uno dei corsi più interessanti ed approfonditi, finalizzato a scoprire il ruolo dell’attività motoria e sportiva in età evolutiva. Una giornata di incontro e studio su come approntare il lavoro, con i bambini e con gli adolescenti. Cosa rappresenta il movi mento in questa età particolare e le sue implicazioni sullo sviluppo intellettivo, del linguaggio e della personalità. Un corso utile non solo agli operatori del settore, ma anche ai genitori più attenti che vogliono strutturare le migliori prospettive per i propri bambini e ragazzi.

Durata 1 week-end Quota 199,00 euro

Date e sedi

Iscrizioni www.nsf.it

Roma 15-16 ottobre 2022; Milano 15-16 ottobre 2022; Padova 12-13 novembre 2022; Roma 10-11 dicembre 2022; Milano 10-11 dicembre 2022; Roma 18-19 marzo 2023; Milano 18-19 marzo 2023; Padova 15-16 aprile 2023

ISTRUTTORE FITNESS PER LA TERZA ETÀ

Il ruolo dell’attività motoria nella prevenzione delle più comuni disfunzioni legate all’età adulta della vita ed all’abituale sedentarietà. Cosa avviene sotto il profilo fisico e psichico in un individuo adulto, quali i limiti prestazionali, come innalzare la qualità della vita non solo sotto l’aspetto dell’efficienza fisica. È noto che palestre e centri fitness non sono piú appannaggio esclusivo dei giovani. Sempre più adulti ed anziani utilizzano l’esercizio fisico per prevenire e curare malattie e disfunzioni. Per questa ragione un numero sempre maggiore di imprenditori del fitness è alla ricerca di personale qualificato.

Durata 1 week-end

Quota 199,00 euro

Date e sedi

Iscrizioni www.nsf.it

Padova 29-30 ottobre 2022; Catania 26-27 novembre 2022; Roma 3-4 dicembre 2022; Milano 3-4 dicembre 2022; Roma 4-5 marzo 2023; Milano 4-5 marzo 2023; Padova 22-23 aprile 2023

OPERATORE TAPING POSTURALE E SPORTIVO

Il Taping muscolare è oggi una delle tecniche di bendaggio più utilizzate nell’ambito sportivo, ma anche rieducativo e riabilitativo. Le diverse tecniche di applicazione permettono di ottenere benefici a livello muscolare, articolare, linfatico e sanguigno, posturale e sensitivo, migliorando anche il controllo dello stimolo doloroso. Il corso teorico-pratico è immediatamente spendibile sul mercato del lavoro e risulta un eccezionale alleato da affiancare alla ginnastica posturale, non solo mediante l’analisi dell’applicazione del taping ma anche attraverso gli esercizi che coadiuvano tale intervento.

Durata 1 week-end

Quota 249,00 euro

Date e sedi

Iscrizioni www.nsf.it

Catania 22-23 ottobre 2022; Roma 19-20 novembre 2022; Milano 19-20 novembre 2022; Padova 10-11 dicembre 2022; Roma 14-15 gennaio 2023; Milano 14-15 gennaio 2023; Padova 18-19 febbraio 2023; Catania 25-26 febbraio 2023

I CORSI 53Scienza e movimento N. 30 Luglio-Settembre 2022

ISTRUTTORE DI FITNESS MUSICALE

I corsi di Fitness Musicale sono tra i più richiesti tra chi frequenta le palestre, infatti i centri fitness sono alla continua ricerca di professionisti nelle discipline aerobico-coreografiche, ed in particolar modo Istruttori con specifiche competenze di aerobica e step, total body, GAG

Durata 2 week-end Quota 399,00 euro

Date e sedi

Iscrizioni www.nsf.it

Roma 29-30 ottobre e 19-20 novembre; Milano 28-29 gennaio 2023 e 25-26 febbraio 2023; Roma 28-29 gennaio 2023 e 25-26 febbraio 2023; Padova 18-19 marzo 2023 e 22-23 aprile 2023

MASSAGGIATORE SPORTIVO

Il massaggio sportivo è eseguito negli atleti al fine di migliorare la prestazione, preparare il muscolo a grossi carichi di lavoro, ripristinare una migliore condizione fisiologica dei muscoli sottoposti allo stress dell’esercizio fisico. Gli effetti benefici sono molteplici e trova applicazione non solo dopo una gara, ma anche tra una competizione e l’altra o prima della gara stessa. Saranno affrontati differenti tipi di massaggio pre, infra e post gara e le tecniche decontratturanti con lo scopo di creare le basi professionali del settore e affrontare il mondo del lavoro in modo efficace.

Durata 2 week-end Quota 399,00 euro

Date e sedi

Iscrizioni www.nsf.it

Catania 12-13 novembre 2022 e 3-4 dicembre 2022; Padova 19-20 novembre 2022 e 10-11 dicembre 2022; Roma 4-5 febbraio 2023 e 11-12 marzo 2022; Milano 4-5 febbraio 2023 e 11-12 marzo 2023; Padova 25-26 marzo 2023 e 22-23 aprile 2023

Massaggio Linfodrenante

Milano 22-23 ottobre 2022 e 19-20 novembre 2022; Roma 29-30 ottobre 2022 e 26-27 novembre 2022; Roma 25-26 marzo 2023 e 22-23 aprile 2023; Milano 15-16 aprile 2023 e 13-14 maggio 2023; Padova 6-7 maggio 2023 e 10-11 giugno 2023

Massaggio Svedese

Padova 5-6 novembre 2022; Roma 5-6 novembre 2022; Milano 26-27 novembre 2022; Roma 25-26 febbraio 2023; Milano 25-26 febbraio 2023; Padova 25-26 febbraio 2023

PREPARATORE ATLETICO E SPORTIVO

Il corso di Preparatore Atletico e Sportivo ha l’ambizione di formare figure in grado di occuparsi a 360° della preparazione fisica di un atleta amatoriale o professionista. Il programma si sviluppa in due fine settimana ed è vasto e articolato, partendo da concetti basilari per arrivare a nozioni di natura più complessa, con molti esempi strettamente connessi alla pratica.

Durata 2 week-end Quota 399,00 euro

Date e sedi

Iscrizioni www.nsf.it

Roma 15-16 ottobre 2022 e 12-13 novembre 2022; Milano 15-16 ottobre 2022 e 12-13 novembre 2022; Roma 18-19 febbraio 2023 e 18-19 marzo 2023; Milano 18-19 febbraio 2023 e 18-19 marzo 2023

Preparatore atletico negli sport di combattimento \\

FITNESS MOTIVAZIONALE

Il Fitness Motivazionale rappresenta un nuovo strumento in mano a tutti professionisti del fitness che intendono promuovere efficacemente la loro attività, incrementando e fidelizzando efficacemente la propria clientela senza campagne pubblicitarie, senza promozioni e senza sconti. È anche una straordinaria opportunità per chi è alla ricerca di un lavoro nel mondo del fitness, rappresentando questo corso un punto d’eccellenza nel proprio curriculum.

Durata 1 giorno Quota 159,00 euro

Date e sedi

Iscrizioni www.nsf.it

Roma 29-30 ottobre 2022 e 19-20 novembre 2022; Roma 28-29 gennaio 2023 e 25-26 febbraio 2023; Milano 28-29 gennaio 2023 e 25-26 febbraio 2023; Padova 18-19 marzo 2023 e 22-23 aprile 2023

I CORSI 54 Scienza e movimento N. 30 Luglio-Settembre 2022

ISTRUTTORE ALLENAMENTO IN SOSPENSIONE

Diventare Istruttore Allenamento in Sospensione garantisce un futuro nel mondo del fitness, perchè si va incontro al futuro, essendo esperti in una materia destinata a sempre maggiore successo. Il corso prevede una parte teorica ed una parte pratica, secondo il principio che il miglior metodo per imparare sia quello di praticare in prima persona.

Durata 1 week-end

Quota 199,00 euro

Date e sedi

Iscrizioni www.nsf.it

Roma 22-23 ottobre 2022; Milano 22-23 ottobre 2022; Roma 10-11 dicembre 2022; Milano 10-11 dicembre 2022; Roma 18-19 febbraio 2023; Milano 18-19 febbraio 2023

Istruttore Allenamento calistenico

Roma 15-16 ottobre 2022; Milano 15-16 ottobre 2022; Padova 26-27 novembre 2022; Roma 10-11 dicembre 2022; Milano 10-11 dicembre 2022; Roma 4-5 febbraio 2023; Milano 4-5 febbraio 2023; Padova 11-12 marzo 2023

Istruttore Kettlebell

Disponibile solo in modalità Online – Formazione A Distanza

ISTRUTTORE ACQUAGYM

Il corso di Istruttore Acquagym offre la possibilità di inserirsi nel campo del fitness acquatico, con un programma che spazia dall’ambito teorico a quello pratico. All’interno della parte teorica trova spazio la disamina del concetto di fitness, la differenza tra il fitness terrestre e quello acquatico, per arrivare poi al lavoro in acqua, funzionale al miglioramento della propriocezione ed alla sperimentazione delle nozioni.

Durata 1 week-end

Quota 199,00 euro

Date e sedi

Iscrizioni www.nsf.it

Roma 19-20 novembre 2022; Milano 19-20 novembre 2022; Roma 26-27 novembre 2022; Milano 26-27 novembre 2022; Firenze 26-27 novembre 2022; Roma 21-22 gennaio 2023; Milano 21-22 gennaio 2023; Firenze 28-29 gennaio 2023

Istruttore HydroBike

Roma 5-6 novembre 2022; Milano 5-6 novembre 2022; Roma 25-26 marzo 2023; Milano 25-26 marzo 2023

ISTRUTTORE INDOOR CYCLING

“Indoor Cycling” è una delle discipline più seguite ed apprezzate dai clienti, con tali e tanti benefici che questa attività è in continua espansione tecnica e commerciale, e la richiesta sul mercato del lavoro è in continuo aumento. Il programma, articolato su 4 giorni, prevede una full immersion sia teorica che pratica.

Durata 1 week-end

Quota 199,00 euro

Date e sedi

Iscrizioni www.nsf.it

Roma 26-27 novembre 2022; Milano 26-27 novembre 2022; Padova 21-22 gennaio 2023; Roma 11-12 febbraio 2023; Milano 11-12 febbraio 2023

ISTRUTTORE ALLENAMENTO FUNZIONALE

C’è grande fermento in tutte le palestre e nei centri fitness italiani: la tendenza del momento è l’allenamento funzionale. NonSoloFitness ha predisposto un corso di formazione ad hoc, studiato per permettere agli appassionati, e a chi è già insegnante, di diventare Istruttore di Allenamento Funzionale. Il programma del corso si articola in diversi spunti didattici, con la trattazione dei temi più importanti inerenti l’allenamento funzionale, come ad esempio: teoria e metodologia del functional training, meccanismi energetici, functional vibration training e molto altro ancora.

Durata 1 week-end

Quota 199,00 euro

Date e sedi

Iscrizioni www.nsf.it

Padova 22-23 ottobre 2022; Catania 22-23 ottobre 2022; Verona 29-30 ottobre 2022; Torino 5-6 novembre 2022; Roma 3-4 dicembre 2022; Milano 3-4 dicembre 2022; Bologna 3-4 dicembre 2022; Catania 14-15 gennaio 2023; Bologna 28-29 gennaio 2023; Milano 28-29 gennaio 2023; Roma 28-29 gennaio 2023; Padova 4-5 febbraio 2023

Istruttore Allenamento funzionale - II livello

Date e sedi

Roma 17-18 dicembre 2022; Milano 17-18 dicembre 2022

I CORSI 55Scienza e movimento N. 30 Luglio-Settembre 2022

Info sui corsi

ISTRUTTORE GINNASTICA POSTURALE

Il corso di Istruttore Ginnastica Posturale risponde alle esigenze di un mercato del lavoro nel quale i centri fitness sono sempre più alla ricerca di figure in grado di operare sulla postura. Gli argomenti trattati, atti alla formazione di una figura professionale valida, spaziano dall’organizzazione della postura alle proposte operative ed esercizi per l’integrazione posturo-cinetica.

Durata 1 week-end

Quota 199,00 euro

Date e sedi

Iscrizioni www.nsf.it

Parma 15-16 ottobre 2022; Napoli 15-16 ottobre 2022; Udine 15-16 ottobre 2022; Verona 22-23 ottobre 2022; Torino 29-30 ottobre 2022; Firenze 29-30 ottobre 2022; Brescia 5-6 novembre 2022; Catania 12-13 novembre 2022; Bologna 12-13 novembre 2022; Milano 12-13 novembre 2022; Roma 12-13 novembre 2022; Padova 19-20 novembre 2022; Bari 19-20 novembre 2022; Pescara 19-20 novembre 2022; Napoli 3-4 dicembre 2022; Firenze 10-11 dicembre 2022; Roma 17-18 dicembre 2022; Torino 17-18 dicembre 2022; Milano 17-18 dicembre 2022; Bologna 14-15 gennaio 2023; Brescia 14-15 gennaio 2023; Roma 21-22 gennaio 2023; Milano 21-22 gennaio 2023; Napoli 28-29 gennaio 2023; Padova 28-29 gennaio 2023; Catania 4-5 febbraio 2023; Pescara 4-5 febbraio 2023; Firenze 11-12 febbraio 2023; Torino 11-12 febbraio 2023

Chi ha già seguito il corso da Istruttore di Ginnastica Posturale può accedere anche ai corsi di: Istruttore Ginnastica Posturale - II livello

Roma 26-27 novembre 2022; Padova 26-27 novembre 2022; Milano 26-27 novembre 2022; Catania 3-4 dicembre 2022

Istruttore Ginnastica Posturale - III livello

Roma 17-18 dicembre 2022; Milano 17-18 dicembre 2022; Padova 17-18 dicembre 2022

Istruttore Ginnastica Posturale in gravidanza

Roma 22-23 ottobre 2022; Milano 22-23 ottobre 2022; Padova 22-23 ottobre 2022; Catania 5-6 novembre 2022; Roma 11-12 febbraio 2023; Milano 11-12 febbraio 2023; Padova 11-12 marzo 2023

Istruttore Stretching

Roma 15-16 ottobre 2022; Milano 15-16 ottobre 2022; Catania 26-27 novembre 2022; Roma 17-18 dicembre 2022; Milano 17-18 dicembre 2022; Roma 17-18 febbraio 2023; Milano 18-19 febbraio 2023; Catania 18-19 febbraio 2023; Padova 25-26 febbraio 2023

Tecniche posturali nelle scoliosi

Roma 11-12 novembre 2022; Milano 12-13 novembre 2022; Roma 11-12 marzo 2023; Milano 11-12 marzo 2023; Padova 1-2 aprile 2023

Postura e Piede: tecniche di equilibrio

Disponibile solo in modalità Online – Formazione A Distanza

Analisi della postura

Roma 29-30 ottobre 2022; Milano 29-30 ottobre 2022; Catania 19-20 novembre 2022; Padova 3-4 dicembre 2022; Roma 25-26 febbraio 2023; Milano 25-26 febbraio 2023; Padova 4-5 marzo 2023; Catania 4-5 marzo 2023

COACHING PER LO SPORT

Il corso della durata di 4 giornate si pone l’obiettivo di fornire gli strumenti adeguati ad allenatori, personal trainer, amatori, atleti, che vogliano attuare un percorso di crescita personale e professionale. Il Coaching è uno strumento potente che spinge all’azione, al cambiamento e a nuove prospettive sia in ambito professionale sia in ambito personale, l’affiancamento e la professionalità di un coach aiutano chi si allena anche nell’acquisizione di una migliore consapevolezza e performance.

Durata 1 week-end

Quota 199,00 euro

Date e sedi

Iscrizioni www.nsf.it

Roma 29-30 ottobre 2022 e 26-27 novembre 2022; Milano 19-20 novembre 2022 e 10-11 dicembre 2022

La procedura di iscrizione ai corsi, ed il calendario aggiornato, sono consultabili al seguente link: www.nsf.it

Per ogni necessità è possibile contattare la segreteria organizzativa: Tel. 06. 404.03.925 (dal lun. al ven.) email: supporto@nonsolofitness.it

Tutti i corsi consentono il rilascio del Diploma Nazionale emesso dall’AICS secondo le nuove disposizioni di legge. La partecipazione include l’Iscrizione per un anno alla Associazione Italiana Cultura Sport, Ente di Promozione Sportiva riconosciuto dal CONI e rilascio del relativo tesserino tecnico.

La partecipazione ai corsi di formazione include: Libretto formativo: Tutti gli studenti riceveranno il libretto formativo personalizzato. Il libretto, oltre a dati personali, numero di matricola e QR Code, riporta tutti i corsi seguiti, il risultato dell’esame e i punti salienti del programma.

Fornisce prova delle attività formative seguite dallo studente e consente di raggiungere gratuitamente alcune certificazioni supplementari. Il libretto non ha scadenze, nè costi futuri di gestione.

Abbonamento alla rivista:Nel costo complessivo del corso è compreso l’abbonamento all’organo ufficiale di NonSoloFitness, la rivista Scienza e Movimento, per consentirti un agevole e continuo aggiornamento sulle più importanti tematiche inerenti il fitness.

Banca lavoro del fitness: Al termine del corso, i partecipanti, potranno richiedere gratuitamente e per sempre, l’inserimento nella Banca Lavoro del Fitness. Un albo dei professionisti certificati da NonSoloFitness, liberamente consultabile da privati e titolari di centri sportivi, con lo scopo di agevolare l’inserimento nel mondo nel lavoro.

I CORSI 56 Scienza e movimento N. 30 Luglio-Settembre 2022

Turn static files into dynamic content formats.

Create a flipbook
Issuu converts static files into: digital portfolios, online yearbooks, online catalogs, digital photo albums and more. Sign up and create your flipbook.