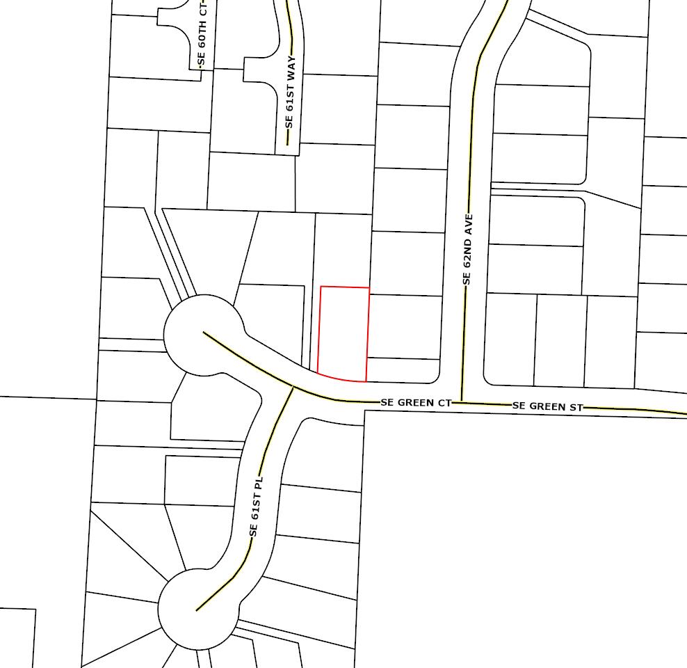
6147 SE Green Court

Page 1

HOME & COMMUNITY

6147 SE GREEN CT HILLSBORO, OR 97123

P R O P E R T Y D E T A I L S

PROPERTY ADDRESS

6147 SE GREEN CT HILLSBORO, OR 97123

OWNER INFORMATION

OWNER NAME: Helen McGlone

VESTING:

MAILING ADDRESS: 6147 SE Green Ct Hillsboro OR 97123

OWNER STATUS: Owner occupied

LOCATION DESCRIPTION

COUNTY: Washington

CENSUS / BLOCK: 032411 / 3006

TSP - RNG - SEC: 01S - 02W - 03

LOT / BLOCK: 1 /

HOUSING TRACT: Frances Estates

ALT PARCEL #: R2060930

SCHOOL DISTRICT: Hillsboro

MUNICIPALITY: Hillsboro

PARCEL #: R2060930

LAST MARKET SALE

DATE: 04/09/2021

SALE PRICE: $499,000

DOCUMENT #: 2021043832

DOC TYPE: Deed

SQUARE FOOT $: $321.52

PRIOR SALE

DATE: 04/21/2016

SALE PRICE:

DOCUMENT #: 29839

DOC TYPE: Deed

LENDER:

LENDER: CROSSCOUNTRY MTG INCLOAN: $262,515

LOAN: $399,000

LOAN TYPE: Conventional

LOAN TERM: 30 Y

LOAN TYPE:

P R O P E R T Y D E T A I L S

PROPERTY CHARACTERISTICS

GROSS AREA: 1,552

LIVING AREA:

ABOVE GRADE:

BEDROOMS: 4

BATHROOMS: 2

FIREPLACE: 1

YEAR BUILT: 1997

PARKING TYPE: Finished Garage

UNITS:

BASEMENT:

GARAGE AREA: 432

ROOF SHAPE: Gable

FOUNDATION: 01

ROOF MATERIAL: Compostion Shingle

CONSTRUCTIONS: Wood

HEAT TYPE: Forced Air

COOLING TYPE:

EXTERIOR WALL: Wood Sheathing

ROOMS:

QUALITY:

INTERIOR WALL:

PORCH TYPE:

PATIO TYPE:

AIR COND:

FIXTURES:

FLOOR:

EQUIPMENT:

STORIES:

POOL:

CONDITION:

PROPERTY INFORMATION

LAND USE: Residential Improved

ZONING: Low Density Residential

COUNTY USE: Residence Single Family

LOT ACRES: 0.16

STATE USE:

LOT SQ FT: 6,970

LEN / WID:

TAXES AND ASSESSMENT INFORMATION

ASSD YEAR: 2022

ASSD VALUE: $242,070

TAXABLE VAL:

TAX YEAR: 2022

LAND VALUE: $210,360

MKT VALUE: $536,050

TAX AREA: 29.13

IMP VALUE: $325,690

EXEMPTIONS:

PROPERTY TAX: $4,086.66

IMPROVED %: 61

DISTRICT:

PROPERTY ADDRESS 6147 SE GREEN CT HILLSBORO, OR 97123 4 BED 2 BATH 1,552 SQ FT 0.16 ACRES

A R E A H I S T O R Y

PROPERTY ADDRESS 6147 SE GREEN CT HILLSBORO, OR 97123 AVERAGES BEDROOMS BATHROOMS SQUARE FOOT PRICE SQ FT PRICE 2019 3 2 75 1,853 $413,566 $230 2020 3 2.75 1,858 $420,791 $233 2021 3 2 75 1,861 $496,158 $275 2022 3 2.75 1,806 $551,333 $315 2023 3 2 75 1,744 $538,963 $316 AVERAGE SALE PRICE AVERAGE PRICE PER SQ FT 2019 2020 2021 2022 2023 $413,566$420,791 $496,158 $551,333$538,963 2019 2020 2021 2022 2023 $230 $233 $275 $315 $316

D E M O G R A P H I C S

PROPERTY ADDRESS 6147 SE GREEN CT HILLSBORO, OR 97123 FEMALE POPULATION | 64,025 HOUSING INFO MALE POPULATION | 64,388 HOUSEHOLD INFO Male Head of Household 8.95% Female Head of Household 17.39% Married 73.24% Unmarried 12.97% Children under 18 yrs 87.97% 0% 10% 20% 30% 70+ 60-69 50-59 40-49 30-39 20-29 10-29 0-9 Urban Rural 127,520 893 T otal Units V acant Occupied 49,816 2,122 47,694 0% 10% 20% 30% 70+ 60-69 50-59 40-49 30-39 20-29 10-29 0-9
A S S E S S O R M A P
S T R E E T

A E R I A L M A P

CITY BOUNDARY MAP

S C H O O L S

Hillsboro School Disrict

ELEMENTARY SCHOOLS

NAME: Imlay Elementary School

5900 Se Lois St

NAME: Ladd Acres Elementary School

2425 Sw Cornelius Pass Rd

MIDDLE SCHOOLS

NAME: R A Brown Middle School

1505 Sw Cornelius Pass Rd

NAME: South Meadows Middle School

4960 Se Davis Road

HIGH SCHOOLS

NAME: Century High School CHARTER SCHOOL: No

2000 Se Century Blvd

NAME: Hillsboro High School

3285 Se Rood Bridge Rd

CHARTER SCHOOL:
ADDRESS:
MAGNET SCHOOL: CITY,
AREA DESCRIPTION: 12-City: Mid-size PHONE:
DISTANCE: 0.13 mile(s) GRADES: Kindergarten
Grade TITLE ONE: 2-No
CHARTER SCHOOL:
ADDRESS:
MAGNET SCHOOL: CITY, STATE, ZIP: Hillsboro,
AREA DESCRIPTION: 12-City: Mid-size PHONE:
DISTANCE: 0.96 mile(s) GRADES: Kindergarten
TITLE ONE: 2-No
CHARTER SCHOOL:
ADDRESS:
MAGNET SCHOOL: CITY, STATE, ZIP: Hillsboro,
AREA DESCRIPTION: 12-City: Mid-size PHONE:
DISTANCE: 0.77 mile(s) GRADES: 7th Grade
8th Grade TITLE ONE: 2-No
CHARTER
ADDRESS:
MAGNET SCHOOL: CITY, STATE,
AREA DESCRIPTION: 12-City: Mid-size PHONE:
DISTANCE: 1.42 mile(s) GRADES: 7th Grade
8th Grade TITLE ONE: 2-No
ADDRESS:
MAGNET
CITY,
AREA DESCRIPTION: 12-City: Mid-size PHONE:
DISTANCE: 0 50 mile(s) GRADES:
TITLE ONE: 2-No
ADDRESS:
MAGNET
CITY, STATE,
AREA DESCRIPTION: 12-City: Mid-size PHONE:
DISTANCE: 2.24
GRADES:
TITLE ONE: 2-No
No
STATE, ZIP: Hillsboro, OR 97123
(503)844-1090
- 6th
No
OR 97123
(503)844-1300
- 6th Grade
No
OR 97123
(503)844-1070
-
SCHOOL: No
ZIP: Hillsboro, OR 97123
(503)844-1220
-
SCHOOL:
STATE, ZIP: Hillsboro, OR 97123
(503)844-1800
9th Grade - 12th Grade
CHARTER SCHOOL: No
SCHOOL:
ZIP: Hillsboro, OR 97123
(503)844-1980
mile(s)
9th Grade - 12th Grade

Students We Serve

18,784

OREGON AT-A-GLANCE DISTRICT PROFILE

Hillsboro SD 1J

SUPERINTENDENT: Mike Scott | 3083 NE 49th Pl, Hillsboro 97124 | 503-844-1500

Start Strong

Grades K-2

REGULAR ATTENDERS

Students who attended more than 90% of their enrolled school days.

Grade 3

ENGLISH LANGUAGE ARTS

Students meeting state grade-level expectations.

2021-22

Academic Progress

Grades 3-8

INDIVIDUAL STUDENT PROGRESS

Year-to-year progress in English language arts and mathematics. Data not available in 2021-22

High School Success

Grade 8

Students meeting state grade-level expectations.

36% Oregon average 40%

Grade 9

ON-TRACK TO GRADUATE

Students earning one-quarter of graduation credits in their 9th grade year.

Grade 12

ON-TIME GRADUATION

Students earning a diploma within four years. Cohort includes students who were first-time ninth graders in 2017-18 graduating in 2020-21

District Goals

92% Oregon average 83%

HSD's goal is to ensure that all students graduate with career and college-readiness skills. We will do this by: knowing each student by name, strength, and need so they can benefit from supports, enrichments, and opportunities; fostering a positive, supportive, and inclusive school and classroom culture that enables learning; and providing learning experiences with clear purpose, engagement, and assessment to encourage students' active participation and to provide them with an opportunity to demonstrate their knowledge and skills.

83% Oregon average 81%

State Goals

The Oregon Department of Education is partnering with school districts and local communities to ensure a 90% on-time, four year graduation rate by 2025. To progress toward this goal, the state will prioritize efforts to improve attendance, provide a wellrounded education, invest in implementing culturally responsive practices, and promote continuous improvement to close opportunity and achievement gaps for historically and currently underserved students.

Student Enrollment
Students 1% Teachers 1% Asian Students 7% Teachers 4% Black/African American Students 3% Teachers 1% Hispanic/Latino Students 40% Teachers 12% Multiracial Students 8% Teachers 1% Native Hawaiian/Pacific Islander Students 1% Teachers 1% White Students 41% Teachers 81% Ever English Learners
DEMOGRAPHICS American Indian/Alaska Native
33% Languages Spoken 148 Students with Disabilities 16% Mobile Students 15% Free/ Reduced Price Lunch >95% *<10 students or data unavailable
65%
72% Oregon average
MATHEMATICS
24%
27%
Oregon average
District Website: www.hsd.k12.or.us Eligibility for Free/Reduced Price Lunch expanded in 2020-21, for more information please visit: www.oregon.gov/ode/schools-and-districts/reportcards/reportcards/Pages/Accountability-Measures.aspx

Our Staff (rounded FTE) 63

1,015

1 Licensed Librarians 10

79%

% of licensed teachers with more than 3 years of experience

Grade

OREGON AT-A-GLANCE DISTRICT PROFILE CONTINUED 2021-22 Hillsboro SD 1J
Administrators
Teachers
Educational
Counselors
415
assistants 70
Psychologists
Outcomes Grades K-2 REGULAR ATTENDERS American Indian/Alaska Native 69% Asian 82% Black/African American 80% Hispanic/Latino 62% Multiracial 77% Native Hawaiian/Pacific Islander 46% White 79% Free/Reduced Price Lunch 72% Ever English Learner 66% Students with Disabilities 68% Migrant 59% Homeless 50% Students in Foster Care 69% Talented and Gifted 94% Female 71% Male 73% Non-Binary <10 students or data unavailable Grade 3 ENGLISH LANGUAGE ARTS 31% 65% 28% 17% 50% <10 students or data unavailable 49% 36% 18% 21% 9% 17% <10 students or data unavailable >95% 39% 34% <10 students or data unavailable Grades 3-8
STUDENT PROGRESS
INDIVIDUAL
8 MATHEMATICS American Indian/Alaska Native <10 students or data unavailable Asian 56% Black/African American 11% Hispanic/Latino 11% Multiracial 28% Native Hawaiian/Pacific Islander <5% White 34% Free/Reduced Price Lunch 24% Ever English Learner 11% Students with Disabilities 11% Migrant <5% Homeless 7% Students in Foster Care <10 students or data unavailable Talented and Gifted 75% Female 21% Male 27% Non-Binary <10 students or data unavailable
9
>95% >95% 90% 89% 92% >95% 94% 92% 91% 85% 84% 82% <10 students or data unavailable >95% 94% 91% <10 students or data unavailable Grade 12 ON-TIME GRADUATION <10 students or data unavailable 94% 92% 77% 85% 94% 85% 79% 78% 68% 73% 59% 46% 95% 87% 79% Coming in 2022-23 Data are suppressed to protect confidential student information. Seismic Safety: http://www.oregongeology.org/sub/projects/rvs/activity-updates/status.html
Grade
ON-TRACK TO GRADUATE

OREGON AT-A-GLANCE SCHOOL PROFILE

Imlay Elementary School

PRINCIPAL: Mykle Rojas | GRADES: K-6 | 5900 SE Lois St, Hillsboro 97123 | 503-844-1090

REGULAR ATTENDERS

Students who attended more than 90% of their enrolled school days.

2021-22

Academic Progress

INDIVIDUAL STUDENT PROGRESS

Year-to-year progress in English language arts and mathematics.

Academic Success

ENGLISH

MATHEMATICS

Students meeting state grade-level expectations.

Data not available in 2021-22

SCIENCE

Students meeting state grade-level expectations.

School Goals

Imlay Elementary, a STEAM (Science, Technology, Engineering, Arts and Math) school, is a learning community dedicated to the achievement and growth of every student. We are committed to engaging students in their learning through collaboration and problem-solving in all subject areas. We also focus on language development by integrating language instruction throughout students' academic day. Our staff is dedicated and cares deeply about creating an environment that is safe, welcoming and engaging for all kids. Children are the heart of Imlay!

State Goals

The Oregon Department of Education is partnering with school districts and local communities to ensure a 90% ontime, four year graduation rate by 2025. To progress toward this goal, the state will prioritize efforts to improve attendance, provide a well-rounded education, invest in implementing culturally responsive practices, and promote continuous improvement to close opportunity and achievement gaps for historically and currently underserved students.

Safe & Welcoming Environment

We recognize the diversity and worth of all students, individuals and groups, and are committed to both educating and providing a safe and inclusive space for everyone, regardless of their race, color, religion, immigration status, or any other basis. We believe that students learn best when they feel safe and valued. Our staff is skilled, caring, and dedicated to fostering each student’s academic and personal growth in a supportive and welcoming environment.

Students We Serve Student Enrollment 448 DEMOGRAPHICS American Indian/Alaska Native Students 1% Teachers 0% Asian Students 10% Teachers 6% Black/African American Students 3% Teachers 3% Hispanic/Latino Students 23% Teachers 10% Multiracial Students 10% Teachers 0% Native Hawaiian/Pacific Islander Students 1% Teachers 0% White Students 52% Teachers 81% Ever English Learners 28% Languages Spoken 23 Students with Disabilities 22%
Childhood Vaccinations
Free/ Reduced Price Lunch
*<10 students or data unavailable School Environment CLASS SIZE Median class size. 24 Oregon average 22
Required
94%
>95%
78% Oregon
average 64%
state grade-level expectations. 48% Oregon average 43%
LANGUAGE ARTS Students meeting
43% Oregon
34%
average
36% Oregon
31%
average
School Website: schools.hsd.k12.or.us/imlay/Home/tabid/2524/Default.aspx Eligibility for Free/Reduced Price Lunch expanded in 2020-21, for more information please visit: www.oregon.gov/ode/schools-and-districts/reportcards/reportcards/Pages/Accountability-Measures.aspx

REGULAR ATTENDERS

ENGLISH

About Our School

BULLYING, HARASSMENT, AND SAFETY POLICIES

Our number one priority and goal is to ensure students are safe. To that end, we have a network of adults, systems, structures, protocols, and other supports we leverage to keep our school as safe as possible. To learn more, please visit www.hsd.k12.or.us/keepingstudentssafe. Ensuring safety also means that positive, respectful, and responsible behavior is expected at all times. We do not tolerate bullying or harassment. To learn more about the District’s definition and response to bullying and/or harassment, please see Board Policies JFCF and JFCF-AR: Hazing, Harassment and Bullying, as well as the Standards of Student Conduct.

EXTRACURRICULAR ACTIVITIES

Imlay offers a wide variety of extracurricular activities, including Band, Choir, Garden Club, Coding Club, Wellness Class, Walking and Running Club, Yearbook Club, Vex Robotics, Play.Fit.Fun, Battle of The Books, After-School Sports, Take It Apart Club, Engineering Club, Math Club, and much more! All students are encouraged to participate in after-school classes and clubs!

PARENT ENGAGEMENT

Parents and families are a vital part of the Imlay community! Our school strives to engage all of our families by providing language supports for those whose second language is English. We welcome parent volunteers to help in classrooms and to assist with after-school clubs. We have an active PTA that supports the Eagle Walk and Roll event in October, along with other social and academic events. The Ice Cream Social, STEAM night, spring Carnival, and our "6th grade Clap Out" are all traditions at Imlay Elementary. Families are invited to attend classroom presentations and school-wide assemblies, and to celebrate with us! Visit our website for more information.

COMMUNITY ENGAGEMENT

We partner with local businessesincluding technology, landscaping and athletic companies, service organizations, and many more - to provide students with learning opportunities in connection with our community. We hold an annual canned food drive, in which students and our community work together to collect items for families in need. In last year’s food drive, community members came together to provide hundreds of meals! If you are interested in partnering with Imlay Elementary, please contact us.

Staff (rounded FTE) 27 Teachers 13 Educational assistants 1 Counselors/ Psychologists Average teacher retention rate 86% % of licensed teachers with more than 3 years of experience
principal in the last 3 years
Outcomes
OREGON AT-A-GLANCE SCHOOL PROFILE CONTINUED 2021-22 Imlay Elementary School Our
86% Same
Yes
American Indian/Alaska Native <10 students or data unavailable Asian 91% Black/African American <10 students or data unavailable Hispanic/Latino 65% Multiracial 81% Native Hawaiian/Pacific Islander <10 students or data unavailable White 81% Free/Reduced Price Lunch 78% Ever English Learner 68% Students with Disabilities 69% Migrant <10 students or data unavailable Homeless <10 students or data unavailable Students in Foster Care <10 students or data unavailable Talented and Gifted >95% Female 78% Male 79% Non-Binary <10 students or data unavailable
<10 students or data unavailable 74% <10 students or data unavailable 27% 50% <10 students or data unavailable 54% 48% 32% 27% <10 students or data unavailable <10 students or data unavailable <10 students or data unavailable >95% 53% 44% <10 students or data unavailable MATHEMATICS <10 students or data unavailable 67% <10 students or data unavailable 22% 46% <10 students or data unavailable 50% 43% 25% 20% <10 students or data unavailable <10 students or data unavailable <10 students or data unavailable >95% 45% 42% <10 students or data unavailable
LANGUAGE ARTS
Data are suppressed to protect confidential student information. For more information please visit: www.oregon.gov/ode/schools-and-districts/reportcards/reportcards/Pages/Accountability-Measures.aspx

OREGON AT-A-GLANCE SCHOOL PROFILE

2021-22 R A Brown Middle School

PRINCIPAL: Roger Will | GRADES: 7-8 | 1505 SW Cornelius Pass Rd, Hillsboro 97123 | 503-844-1070

Academic Progress

REGULAR ATTENDERS

Students who attended more than 90% of their enrolled school days. 72%

Academic Success

ENGLISH

MATHEMATICS

Students meeting state grade-level expectations. 29% Oregon average 28%

School Goals

R.A. Brown Middle School's goals are built around differentiated instruction, student engagement, culturally responsive teaching, and supporting our students' social and emotional health. We believe by using best practices in these four areas, all students will have the opportunity to develop and grow both academically and personally as we prepare them for high school.

State Goals

The Oregon Department of Education is partnering with school districts and local communities to ensure a 90% ontime, four year graduation rate by 2025. To progress toward this goal, the state will prioritize efforts to improve attendance, provide a well-rounded education, invest in implementing culturally responsive practices, and promote continuous improvement to close opportunity and achievement gaps for historically and currently underserved students.

INDIVIDUAL STUDENT PROGRESS

Year-to-year progress in English language arts and mathematics.

Data not available in 2021-22

SCIENCE

Students meeting state grade-level expectations.

31% Oregon average 28%

Safe & Welcoming Environment

R.A. Brown Middle School recognizes the diversity and worth of all students, individuals and groups, and is committed to both educating and providing a safe and inclusive space for everyone, regardless of their race, color, religion, immigration status, or any other basis. We believe that students learn best when they feel emotionally and physically safe. Our staff is skilled, caring, and dedicated to fostering each student's academic and personal growth in a supportive and welcoming environment.

Students We Serve Student Enrollment 702 DEMOGRAPHICS American Indian/Alaska Native Students <1% Teachers 0% Asian Students 14% Teachers 5% Black/African American Students 3% Teachers 3% Hispanic/Latino Students 34% Teachers 8% Multiracial Students 8% Teachers 3% Native Hawaiian/Pacific Islander Students 1% Teachers 0% White Students 40% Teachers 83% Ever English Learners 32% Languages Spoken 37 Students with Disabilities
Childhood Vaccinations 96% Free/ Reduced Price Lunch
*<10 students or data unavailable School Environment CLASS SIZE Median class size. 27 Oregon average 22
17% Required
>95%
Oregon average 64%
grade-level expectations. 49% Oregon average 46%
LANGUAGE ARTS Students meeting state
School Website: hsd.k12.or.us/brown/ Eligibility for Free/Reduced Price Lunch expanded in 2020-21, for more information please visit: www.oregon.gov/ode/schools-and-districts/reportcards/reportcards/Pages/Accountability-Measures.aspx

R A Brown Middle School

Outcomes

REGULAR ATTENDERS

ENGLISH LANGUAGE ARTS

About Our School

BULLYING, HARASSMENT, AND SAFETY POLICIES

Our number one priority is to ensure that every student feels emotionally and physically safe at all times in our school. To that end, we have a network of adults, systems, structures, protocols, and other supports we leverage to keep our school as safe as possible. To learn more, please visit www.hsd.k12.or.us/keepingstudentssafe. Ensuring safety also means that positive, respectful, and responsible behavior is expected at all times. Bullying and harassment is quickly addressed and we focus on preventative measures in our Advisory class. To learn more about the District's definition and response to bullying and harassment, please see Board Policies JFCF and JFCF-AR: Hazing, Harassment and Bullying, as well as the Standards of Student Conduct.

EXTRACURRICULAR ACTIVITIES

Extracurricular activities are one of the many ways students increase their connectedness to our school. Here are the activities students can choose from at R.A. Brown Middle School: After-School Sports, Band & Choir, Oregon Battle of the Books, Career-Technical Education (CTE) Courses, Homework Club, Vex Robotics, Dance Team, and Girls in STEAM.

PARENT ENGAGEMENT

Parent engagement and partnership is one of the pillars of middle school success. We encourage our parents to connect with us in the following ways: AVID Night, Back-toSchool Night, Become a Panther Night, Parent Volunteer Opportunities, Parent Club, Principal Chats, Weekly Parent Newsletter, and Teacher Communications.

COMMUNITY ENGAGEMENT

Our school engages parents and community by hosting a variety of events intended for their attendance and participation: AVID Nights, Become a Panther Night, Back-to-School Night, Parent Conferences, Welcome Conferences, and Principal Chats.

2021-22
Staff
FTE)
Teachers 10 Educational assistants 1 Counselors/ Psychologists Average teacher retention rate
% of licensed teachers
OREGON AT-A-GLANCE SCHOOL PROFILE CONTINUED
Our
(rounded
35
87%
with more than 3 years of experience 76% Same principal in the last 3 years Yes
American Indian/Alaska Native <10 students or data unavailable Asian 89% Black/African American 69% Hispanic/Latino 66% Multiracial 67% Native Hawaiian/Pacific Islander <10 students or data unavailable White 74% Free/Reduced Price Lunch 72% Ever English Learner 75% Students with Disabilities 67% Migrant 79% Homeless <10 students or data unavailable Students in Foster Care <10 students or data unavailable Talented and Gifted 88% Female 76% Male 70% Non-Binary <10 students or data unavailable
<10 students or data unavailable 73% 25% 27% 67% <10 students or data unavailable 58% 49% 34% 16% 7% <10 students or data unavailable <10 students or data unavailable 88% 51% 47% <10 students or data unavailable MATHEMATICS <10 students or data unavailable 55% 7% 15% 26% <10 students or data unavailable 34% 29% 20% 16% <5% <10 students or data unavailable <10 students or data unavailable 82% 24% 33% <10 students or data unavailable
Data are suppressed to protect confidential student information. For more information please visit: www.oregon.gov/ode/schools-and-districts/reportcards/reportcards/Pages/Accountability-Measures.aspx

OREGON AT-A-GLANCE SCHOOL PROFILE

Century High School

PRINCIPAL: Julie Kasper | GRADES: 9-12 | 2000 SE Century Blvd, Hillsboro 97123 | 503-844-1800

REGULAR ATTENDERS

Students who attended more than 90% of their enrolled school days.

2021-22

Academic Progress

ON-TRACK TO GRADUATE

Students earning one-quarter of graduation credits in their 9th grade year. >95%

Academic Success

ON-TIME

Students earning a diploma within four years. Cohort includes students who were first-time ninth graders in 2017-18 graduating in 2020-21

FIVE-YEAR COMPLETION

Students earning a high school diploma or GED within five years. Cohort Includes students who were firsttime ninth graders in 2016-17 finishing in 2020-21

COLLEGE GOING

Students enrolling in a two or four year college within 16 months of completing high school in 201920. Data from the National Student Clearinghouse.

School Goals

School Goals: 1. Cultivate an inclusive and welcoming school culture through advisory classes that integrate the use of community building, restorative practices, and social-emotional learning; 2. By the end of the 2022-23 school year, 100% of teachers will establish and refine equitable grading practices with equal interval grading scale of 0-4 in every class; and 3. Using AVID strategies (WICOR), increase purposeful student academic discourse and use of academic language across all courses to create a career and college ready culture for all who are in and graduating from our community.

94% Oregon average 88%

State Goals

The Oregon Department of Education is partnering with school districts and local communities to ensure a 90% ontime, four year graduation rate by 2025. To progress toward this goal, the state will prioritize efforts to improve attendance, provide a well-rounded education, invest in implementing culturally responsive practices, and promote continuous improvement to close opportunity and achievement gaps for historically and currently underserved students.

63% Oregon average 56%

Safe & Welcoming Environment

The best foundation for a safe, welcoming environment and student success is the development of positive relationships between students and staff, and that remains a priority at Century HS. Safety improvements include a secure entry vestibule, interior door locks, increased security cameras, a third campus security monitor, and key card access to enter the building. Supports for students include Care Team, graduation coaches, a wellness counselor, a Wellness Center with a wellness coordinator, the use of trauma informed and restorative practices, student clubs, activities, sports, and academic supports including an AmeriCorps member.

Student Enrollment
Students We Serve
Indian/Alaska Native Students 1% Teachers 1% Asian Students 13% Teachers 0% Black/African American Students 3% Teachers 0% Hispanic/Latino Students 33% Teachers 8% Multiracial Students 8% Teachers 1% Native Hawaiian/Pacific Islander Students 1% Teachers 0% White Students 41% Teachers 90% Ever English Learners
*<10
unavailable
1,456 DEMOGRAPHICS American
29% Languages Spoken 48 Students with Disabilities 14% Required Childhood Vaccinations 98% Free/ Reduced Price Lunch >95%
students or data
CLASS SIZE
30 Oregon average 22
School Environment
Median size of classes in core subjects.
64% Oregon average 64%
Oregon average 83%
GRADUATION
86% Oregon
81%
average
School Website: schools.hsd.k12.or.us/century/Home/tabid/1087/Default.aspx Eligibility for Free/Reduced Price Lunch expanded in 2020-21, for more information please visit: www.oregon.gov/ode/schools-and-districts/reportcards/reportcards/Pages/Accountability-Measures.aspx

ON-TRACK TO GRADUATE

65

90%

About Our School

ADVANCED COURSEWORK

Advanced Placement (AP) Courses include Studio Art, Biology, Calculus, Chemistry, European History, Human Geography, Language and Composition, Literature and Composition, Music Theory, Psychology, Spanish Language, Statistics, U.S. History, and Studio Art. Advanced offerings can be found in ELA 9, ELA 10, ELA 11, College Prep ELA (12), and Advanced Algebra Financial Applications. Century also offers dual credit in 18 courses, including English Language Arts, Health Sciences, Anatomy and Physiology, AP US History, AP Psychology, Communications, Child Development, Culinary Arts, Pre-Calculus, Spanish, and Theatre. Eighty percent of Century seniors take one or more dual credit courses.

CAREER & TECHNICAL EDUCATION

Century is proud to offer and continue to expand CTE programs in Business Education and Marketing, Drafting, Informational Technology, Engineering, Manufacturing, Introduction to Digital Technology, Programming, Web Design, Research and Development, Child Development, Culinary Arts, Health Sciences, and Graphic Design. Additionally, Century students have access to Automotive Technology, Welding, Sustainable Agriculture, Veterinary Science, Aerospace and Fire Science at other HSD campuses using the daily inter-campus shuttle. After-school CTE programs include DECA, Family, Career and Community Leaders of America (FCCLA), STEM and Maker's Space, Medical Assisting and the Software Entrepreneurs Club.

EXTRACURRICULAR ACTIVITIES

Century is proud to offer OSAA-recognized athletic teams, including football, volleyball, soccer, basketball, swimming, wrestling, cheer, dance, baseball, softball, track and field, tennis, golf, orchestra, an array of choirs, solo music, and speech. We also offer our students six interscholastic clubs, thirty academic clubs, five service clubs, affinity groups/clubs such as Black Student Union and Students of Latin Lineage, drama and thespians, marching band, color and winter guards and drumline, and a state- and nationally-recognized leadership program. Our school/district not only offers participation in emerging (non-OSAA) sports such as lacrosse and water polo, but we have a thriving unified sports program as well.

PARENT & COMMUNITY ENGAGEMENT

Parent involvement and support is crucial to the success of our students and our school family. We work to reach, involve and hear the voices of our diverse school community through surveys, parent nights, outreach to middle school families, newsletters, principal emails, social media, and home visits. We encourage parents and guardians to access their student's information on ParentVue. We are working to increase communication about the many opportunities that exist for families to be involved in the Century High School community. Our Booster Club, PAC, Grad Party Parents, and Site Council offer opportunities to provide input to our school.

OREGON AT-A-GLANCE SCHOOL PROFILE CONTINUED 2021-22 Century High School
Our Staff (rounded FTE)
Teachers
Educational assistants
Counselors/ Psychologists Average teacher retention rate
% of licensed teachers with more than 3
22
7
years of experience
American Indian/Alaska Native <10 students or data unavailable Asian 82% Black/African American 64% Hispanic/Latino 54% Multiracial 64% Native Hawaiian/Pacific Islander 53% White 67% Free/Reduced Price Lunch 64% Ever English Learner 61% Students with Disabilities 60% Migrant 44% Homeless 35% Students in Foster Care <10 students or data unavailable Talented and Gifted 80% Female 61% Male 67% Non-Binary <10 students or data unavailable
79% Same principal in the last 3 years No Outcomes REGULAR ATTENDERS
<10 students or data unavailable >95% 83% 91% >95% <10 students or data unavailable >95% >95% 92% 88% 82% 60% <10 students or data unavailable >95% >95% 94% <10 students or data unavailable ON-TIME GRADUATION <10 students or data unavailable 94% 94% 79% 83% <10 students or data unavailable 87% 82% 81% 65% 64% 69% <10 students or data unavailable 94% 90% 82% Coming in 2022-23
Data are suppressed to protect confidential student information. For more information please visit: www.oregon.gov/ode/schools-and-districts/reportcards/reportcards/Pages/Accountability-Measures.aspx

91,611 $52,000 32 50.2% 49.8%

 Hillsboro

 Beaverton

 Newberg

HOUSING

 54.6% of homes owner occupied

 45.40% of homes rented

POPULATION DENSITY

 3,800 inhabitants per sq. mile

 35,487 housing units at an average density of 1,500 per sq. mile

HISTORY

AGE DEMOGRAPHIC

 27% under age 18

 9% between ages 18 to 24

 35% between ages 25 to 44

 21% between ages 45 to 64

 8% above age 65

CITY QUICK FACTS

 5th largest city in Oregon

 24.25 square miles

 194 feet elevation

 Highest Average Temperature 80.9º

 Lowest Average Temperature 32.7º

POPULATION 2010 CENSUS DATA MEDIAN INCOME 2000 CENSUS DATA MEDIAN AGE 2010 CENSUS DATA MALE 2010 CENSUS DATA FEMALE 2010 CENSUS DATA

METRO AREA BASE MAP

L O C A L B U S I N E S S E S

Car Dealer Name Address Telephone Distance WLO Auto 5037 SE Alexander St, Hillsboro, OR 97123, USA (503) 386-4002 0 64 miles Oregon Automotive 4519 SE Tualatin Valley Hwy, Hillsboro, OR 97123, USA (503) 747-4906 0 66 miles MJ CAR COMPANY 3498 SE Quail Way, Hillsboro, OR 97123, USA (971) 295-3965 0 68 miles Royal Moore Pre-Owned 2350 SE 44th Ave, Hillsboro, OR 97123, USA (503) 648-0624 0.69 miles Car Repair Name Address Telephone Distance Stan's Fords and More 6695 SE Tualatin Valley Hwy, Hillsboro, OR 97123, USA (503) 649-4080 0.54 miles Meineke Car Care Center 2901 SE 73rd Ave, Hillsboro, OR 97123, USA (503) 567-7843 0.60 miles Aloha Auto Center 2810 SE 75th Ave, Hillsboro, OR 97123, USA (503) 591-7442 0 65 miles Jeff's Automotive Service LLC 2900 SE Cornelius Pass Rd Ste 340, Hillsboro, OR 97123, USA (503) 848-2515 0 74 miles Car Wash Name Address Telephone Distance Kaady Car Washes 2900 SE 70th Ave, Hillsboro, OR 97123, USA (503) 530-8455 0 60 miles Sparkle Carwash NW 19165 SW Tualatin Valley Hwy, Aloha, OR 97006, USA (503) 716-8917 1 50 miles Aloha Car Wash 19010 SW Alexander St, Beaverton, OR 97006, USA 1 53 miles National Pride Self Serve Car 1070 SE Maple St, Hillsboro, OR 97123, USA (503) 640-2712 1 64 miles

L O C A L B U S I N E S S E S

Gas Station Name Address Telephone Distance Jacksons Food Stores 7400 W Baseline Rd, Hillsboro, OR 97123, USA (503) 848-6542 0 49 miles Fred Meyer Fuel Center 6305 SE Tualatin Valley Hwy, Hillsboro, OR 97123, USA (503) 848-4592 0.50 miles 76 5063 SE Tualatin Valley Hwy, Hillsboro, OR 97123, USA (503) 681-8438 0 55 miles CHEVRON 7551 SE Tualatin Valley Hwy, Hillsboro, OR 97123, USA (503) 591-7092 0.72 miles Electrician Name Address Telephone Distance RK Electric, Inc. 3075 SW 234th Ave, Hillsboro, OR 97123, USA (503) 640-1344 0.60 miles Garner Electric - Hillsboro 2890 SE Brookwood Ave, Hillsboro, OR 97123, USA (503) 648-4552 0 61 miles Mr. Electric of Hillsboro 2705 SE 39th Loop #G, Hillsboro, OR 97123, USA (503) 446-3573 0.89 miles Shores Electric 9180 NE Rockspring St C220, Hillsboro, OR 97006, USA (503) 801-2687 1.34 miles Insurance Agency Name Address Telephone Distance Northwestern Mutual Life Insurance 7530 NE Shaleen St, Hillsboro, OR 97124, USA (503) 782-6049 0 61 miles Gibran Zogbi - State Farm Insurance Agent 2925 SE 73rd Ave, Hillsboro, OR 97123, USA (503) 649-9514 0.63 miles Primerica 2977 SE 75th Ave, Hillsboro, OR 97123, USA (503) 848-0130 0 67 miles Steven Aragon Insurance Agency 2831 SE Cornelius Pass Rd #220, Hillsboro, OR 97123, USA (503) 591-8999 0 68 miles

L O C A L B U S I N E S S E S

Painter Name Address Telephone Distance Alpine Painting LLC | Interior & Exterior Painting Services 6420 SE Frances St, Hillsboro, OR 97123, USA (971) 371-0784 0 16 miles G&R Painting Co 2831 SE 75th Ave, Hillsboro, OR 97123, USA (503) 547-2815 0 62 miles ITech Painters 2900 SE Cornelius Pass Rd Ste 342, Hillsboro, OR 97123, USA (503) 866-7439 0 74 miles Professional House Painters Corp 20081 SW Jette Ln, Beaverton, OR 97005, USA 1.07 miles Plumber Name Address Telephone Distance Murrayhill Plumbing 6420 SE Frances St, Hillsboro, OR 97123, USA (503) 469-1231 0.23 miles Clog Busters LLC 2900 SE Cornelius Pass Rd Ste 549, Hillsboro, OR 97123, USA (503) 680-8947 0.74 miles Flow-Rite Plumbing SW Jay St, Beaverton, OR 97003, USA (503) 258-7352 0.90 miles M T Dunn Plumbing 3618 SE Conrad Ct, Hillsboro, OR 97123, USA (503) 640-2458 1 36 miles Post Office Name Address Telephone Distance USPS Drop Box 5635 NE Elam Young Pkwy Ste 100, Hillsboro, OR 97124, USA 0 90 miles USPS Drop Box 1425 NE 61st Ave, Hillsboro, OR 97124, USA 1 02 miles United States Postal Service 3685 NE Aloclek Dr, Hillsboro, OR 97124, USA (800) 275-8777 1 74 miles Postal Works 3300 NW 185th Ave, Portland, OR 97229, USA (503) 690-8316 2 11 miles

L O C A L B U S I N E S S E S

Storage Name Address Telephone Distance West Coast Self-Storage Hillsboro 2650 SE Imlay Ave, Hillsboro, OR 97123, USA (503) 648-2111 0 46 miles Extra Space Storage 2909 SE 67th Ave, Hillsboro, OR 97123, USA (503) 642-0884 0 58 miles Northwest Self Storage 4395 SE Witch Hazel Rd, Hillsboro, OR 97123, USA (503) 461-9531 0.73 miles StorQuest Self Storage 750 NE Cornelius Pass Rd, Hillsboro, OR 97124, USA (971) 267-2053 0.86 miles Moving Company Name Address Telephone Distance PDX Movers 2020 NE Aloclek Dr Ste 126, Hillsboro, OR 97124, USA (503) 461-5763 1 15 miles Cal's Moving Help 363 NE Sequoia Ct, Hillsboro, OR 97124, USA (503) 746-7319 1 18 miles Priority Moving Services 560 SE 4th Ave, Hillsboro, OR 97123, USA (503) 544-7972 1.98 miles Able Movers 125 S 1st Ave #2694, Hillsboro, OR 97123, USA (503) 619-5281 2 21 miles Bank Name Address Telephone Distance KeyBank 2898 SE 67th Ave, Hillsboro, OR 97123, USA (503) 591-0186 0.55 miles U S Bank Branch 7090 NE Cornell Rd, Hillsboro, OR 97124, USA (503) 844-9493 1 14 miles Bank of America Financial Center 2381 SE Tualatin Valley Hwy, Hillsboro, OR 97123, USA (503) 640-1744 1 16 miles Wells Fargo Bank 7200 NE Butler St, Hillsboro, OR 97124, USA (503) 681-3780 1 21 miles

L O C A L B U S I N E S S E S

Beauty Salon Name Address Telephone Distance Sweet Pea Salon & Spa LLC 4855 SE Tualatin Valley Hwy unit b, Hillsboro, OR 97123, USA (503) 681-4893 0 59 miles Tresor Day Spa & Hair Salon 2935 SE 73rd Ave, Hillsboro, OR 97123, USA (503) 356-8800 0.63 miles Illumination Hair & Beauty Studio 105 NE 43rd Ave, Hillsboro, OR 97124, USA (503) 746-4956 0 72 miles Dimension 7 990 NE Orenco Station Loop, Hillsboro, OR 97124, USA (503) 994-8995 0.88 miles Police Station Name Address Telephone Distance East precinct 20795 NW Cornell Rd, Hillsboro, OR 97124, USA 1.51 miles Hillsboro Police Department 250 SE 10th Ave, Hillsboro, OR 97123, USA (503) 681-6190 1.70 miles Washington County Sheriff Bethany 4876 NW Bethany Blvd L5, Portland, OR 97229, USA (503) 846-5570 3 13 miles Beaverton Emergency Management Beaverton, OR 97007, USA (503) 526-2260 3.46 miles Fire Station Name Address Telephone Distance Hillsboro Fire Department Station 2 5045 SE Drake Rd, Hillsboro, OR 97123, USA (503) 681-6166 0 49 miles TVF&R Station 62 3608 SW 209th Ave, Aloha, OR 97007, USA (503) 649-8577 1 12 miles Portland Fire & Rescue Station 27 3130 NW Skyline Blvd, Portland, OR 97229, USA (503) 203-0003 4 98 miles Skyline Fire Station 1711 SW Skyline Blvd, Portland, OR 97221, USA 5 51 miles

L O C A L B U S I N E S S E S

Hospital Name Address Telephone Distance Hillsboro Clinic 356 SE 9th Ave, Hillsboro, OR 97123, USA (503) 681-4366 1 74 miles Westside Medical Specialty 2875 NE Stucki Ave, Hillsboro, OR 97124, USA (971) 310-1000 1.75 miles Tanasbournr Medical Group Immediate Care Hillsboro, OR 97124, USA (503) 216-1234 1 75 miles Tuality Community Hospital 335 SE 8th Ave, Hillsboro, OR 97123, USA (503) 681-1111 1.82 miles Pharmacy Name Address Telephone Distance Fred Meyer Pharmacy 6495 SE Tualatin Valley Hwy, Hillsboro, OR 97123, USA (503) 848-4583 0 48 miles Albertsons Pharmacy 7500 SW Baseline Rd, Hillsboro, OR 97123, USA (503) 591-0997 0 49 miles Walmart Pharmacy 7650 NE Shaleen St, Hillsboro, OR 97006, USA (503) 268-6918 0.65 miles Safeway Pharmacy 2525 SE Tualatin Valley Hwy, Hillsboro, OR 97123, USA (503) 681-0262 1.09 miles Urgent Care Name Address Telephone Distance Tuality Physicians 900 SE Oak St #202, Hillsboro, OR 97123, USA (503) 640-3724 1.73 miles One-Stop Urgent Care 17600 SW Alexander St, Beaverton, OR 97003, USA (503) 848-9110 1.98 miles ZOOM+Care 2711 NE Town Center Dr, Hillsboro, OR 97006, USA (503) 684-8252 1 99 miles AFC Urgent Care Beaverton 14278 SW Allen Blvd, Beaverton, OR 97005, USA (503) 305-6262 3 22 miles

L O C A L B U S I N E S S E S

Veterinary Care Name Address Telephone Distance All About Cats Cat Clinic 129 NE 43rd Ave, Hillsboro, OR 97124, USA (503) 648-2800 0 73 miles Frontier Veterinary Hospital 4500 NE Cornell Rd, Hillsboro, OR 97124, USA (503) 648-1643 1.07 miles Companion Animal Hospital 110 NE 25th Ave, Hillsboro, OR 97124, USA (503) 693-1063 1 21 miles Cornell Road Veterinary Clinic 1803 NE Cornell Rd, Hillsboro, OR 97124, USA (503) 640-0472 1.60 miles Bowling Alley Name Address Telephone Distance Park Lanes Family Entertainment Center 6360 SE Alexander St, Hillsboro, OR 97123, USA (503) 642-2161 0 64 miles Four Seasons Bowling Center 322 SE Washington St, Hillsboro, OR 97123, USA (503) 648-3139 2.06 miles KingPins Family Entertainment Center 2725 SW Cedar Hills Blvd, Beaverton, OR 97005, USA (503) 646-1116 3 32 miles Big Al's 14950 SW Barrows Rd, Beaverton, OR 97007, USA (503) 748-6118 4 43 miles Campground Name Address Telephone Distance Roamers Rest RV Park 17585 SW Pacific Hwy, Tualatin, OR 97062, USA (503) 692-6350 6.18 miles Mountaindale Lodge R796302, Banks, OR 97106, USA 7 24 miles R2D2 999 N Thunderbird Way, Portland, OR 97227, USA (971) 416-3721 7 57 miles Vancouver RV Park 7603 NE 13th Ave, Vancouver, WA 98665, USA (360) 695-1158 10 59 miles

L O C A L B U S I N E S S E S

Gym Name Address Telephone Distance 24 Hour Fitness 6095 SE Tualatin Valley Hwy, Hillsboro, OR 97123, USA (503) 356-1445 0 46 miles CrossFit 45 North 5405 SE Alexander St P, Hillsboro, OR 97123, USA (971) 245-6398 0 61 miles Chief Battle Fitness | Hillsboro Gym & Personal Training 2900 SE Cornelius Pass Rd, Hillsboro, OR 97123, USA (678) 357-9367 0.72 miles CrossFit Code Red 2900 SE Cornelius Pass Rd #114, Hillsboro, OR 97123, USA 0.72 miles Library Name Address Telephone Distance Hillsboro Public Library Novelbranch kiosk at Hidden Creek Community Center 5100 NE Hidden Creek Dr, Hillsboro, OR 97124, USA (503) 615-6500 0 66 miles The Wee Free Libraree 6796 Northeast Birch Street, Hillsboro, OR 97124, USA 0.81 miles Library Foundation of Hillsboro 2850 NE Brookwood Pkwy, Hillsboro, OR 97124, USA (503) 615-2493 1 47 miles Little Library 4544 SW 180th Ave, Aloha, OR 97007, USA 1 99 miles Movie Theater Name Address Telephone Distance Regal Movies On TV SW, 2929 SW 234th Ave, Hillsboro, OR 97123, USA (844) 462-7342 0.55 miles Wunderland 17235 NW Corridor Ct, Beaverton, OR 97006, USA (503) 626-1665 2 23 miles Century 16 Cedar Hills 3200 SW Hocken Ave, Beaverton, OR 97005, USA (503) 520-0892 3 26 miles Cornelius 10 Cinemas 200 N 26th Ave, Cornelius, OR 97113, USA (503) 844-8732 3 64 miles

L O C A L B U S I N E S S E S

Park Name Address Telephone Distance Frances Street Park 6205 SE Frances St, Hillsboro, OR 97123, USA (503) 681-6120 0 06 miles Arlington Park 6775 SE 68th Ct, Hillsboro, OR 97123, USA 0 28 miles Talwood Park Tract A 1875 SE 70th Ave, Hillsboro, OR 97123, USA 0.31 miles Mandy Park Tract B Hillsboro, OR 97123, USA 0 35 miles Bakery Name Address Telephone Distance Blue Cat Bakery 2130 SE 52nd Ave, Hillsboro, OR 97123, USA 0.43 miles Walmart Bakery 7650 NE Shaleen St, Hillsboro, OR 97006, USA (503) 268-6919 0 65 miles La Provence Boulangerie & Patisserie 937 NE Orenco Station Loop, Hillsboro, OR 97124, USA (503) 747-3667 0 86 miles Tous Les Jours Hillsboro 6221 NE Cornell Rd, Hillsboro, OR 97124, USA (503) 648-2191 1 01 miles Bar Name Address Telephone Distance Coyote's Bar & Grill 5301 W Baseline Rd, Hillsboro, OR 97123, USA (503) 640-7225 0.50 miles Champions Sports Bar & Grill 2947 SE 73rd Ave, Hillsboro, OR 97123, USA (503) 747-6063 0.63 miles Blind Satyr 2900 SE Cornelius Pass Rd Suite 337, Hillsboro, OR 97124, USA (971) 258-6727 0 75 miles Orenco Taphouse 1198 NE Orenco Station Pkwy, Hillsboro, OR 97124, USA (503) 615-2192 0 94 miles

L O C A L B U S I N E S S E S

Coffee Name Address Telephone Distance Insomnia Coffee CoBaseline 5389 E Main St, Hillsboro, OR 97123, USA (503) 601-4314 0 49 miles Starbucks 6495 SE Tualatin Valley Hwy, Hillsboro, OR 97123, USA (503) 848-4550 0.49 miles Dutch Bros Coffee 2991 SE 73rd Ave, Hillsboro, OR 97123, USA (541) 955-4700 0.62 miles Ava Roasteria - Orenco 936 NE Orenco Station Loop, Hillsboro, OR 97124, USA (971) 713-2136 0.86 miles Meal Delivery Name Address Telephone Distance Meals on Wheels PeopleHillsboro Center 6701 NE Campus Way, Hillsboro, OR 97124, USA (971) 808-7885 0 99 miles Savor Deliveries 2900 NE Century Blvd, Hillsboro, OR 97124, USA (503) 941-0049 1 58 miles Infinity love 18244 NW Walker Rd Suite D, Beaverton, OR 97006, USA (908) 422-1620 1 76 miles Dream Dinners 1800 NW 169th Pl A400, Beaverton, OR 97006, USA (503) 614-8800 2.27 miles Restaurant Name Address Telephone Distance Godfather's Pizza 7440 E Main St, Hillsboro, OR 97123, USA (503) 848-0100 0.50 miles Subway 7558 E Main St Space E 2, Hillsboro, OR 97123, USA (503) 259-9166 0.53 miles Chick-fil-A 6810 SE Carlyle St, Hillsboro, OR 97123, USA (503) 433-9018 0 57 miles Mr Bento Teriyaki 7568 NE Shaleen St, Hillsboro, OR 97124, USA (503) 533-2288 0 61 miles

L O C A L B U S I N E S S E S

Furniture Store Name Address Telephone Distance Banner Furniture & Mattress 4871 SE Tualatin Valley Hwy, Hillsboro, OR 97123, USA (503) 648-6028 0 58 miles Mattress World Northwest Hillsboro 3011 SE 75th Ave, Hillsboro, OR 97123, USA (503) 747-6427 0.66 miles Rent-A-Center 2327 SE Tualatin Valley Hwy, Hillsboro, OR 97123, USA (503) 648-9066 1 13 miles HomeGoods 7350 NE Butler Road, Hillsboro, OR 97124, USA (503) 547-0323 1 18 miles Groceries Name Address Telephone Distance Albertsons 7500 SW Baseline Rd, Hillsboro, OR 97123, USA (503) 591-7557 0.48 miles Walmart Neighborhood Market 7650 NE Shaleen St, Hillsboro, OR 97006, USA (503) 268-6919 0.64 miles New Seasons Market 1453 NE 61st Ave, Hillsboro, OR 97124, USA (503) 648-6968 1.01 miles Safeway 2525 SE Tualatin Valley Hwy, Hillsboro, OR 97123, USA (503) 681-0256 1.09 miles Home Improvement Name Address Telephone Distance Kitchen Kaboodle Orenco 1415 NE 61st Ave, Hillsboro, OR 97124, USA (503) 846-1515 1.01 miles Wong's Building Supply 1300 NE 48th Ave #800, Hillsboro, OR 97124, USA (971) 930-3021 1 12 miles HomeGoods 7350 NE Butler Road, Hillsboro, OR 97124, USA (503) 547-0323 1.18 miles Lowe's Home Improvement 1951 SE 24th Ave, Hillsboro, OR 97123, USA (503) 844-6200 1 22 miles

L O C A L B U S I N E S S E S

Jewelry Store Name Address Telephone Distance Fred Meyer Jewelers 6495 SE Tualatin Valley Hwy, Hillsboro, OR 97123, USA (503) 848-4565 0 48 miles Harry Ritchie's Jewelers Hillsboro 2095 NE Allie Ave, Hillsboro, OR 97124, USA (971) 317-3254 1.62 miles Jewelry Gold Star 1050 SE Walnut St Suite B, Hillsboro, OR 97123, USA (503) 352-4609 1 65 miles Jared 19200 NW Cornell Rd, Hillsboro, OR 97124, USA (503) 645-0702 1 65 miles Liquor Store Name Address Telephone Distance Baseline Liquor 7502 NE Shaleen St, Hillsboro, OR 97124, USA (503) 747-2378 0.62 miles Oregon Lottery Liquor Hillsboro, OR 97123, USA (503) 591-9590 0 62 miles Hillsboro Liquor Store 2055 SE Tualatin Valley Hwy #14, Hillsboro, OR 97123, USA (503) 648-4232 1 33 miles Cornell Liquor Store 895 NE 25th Ave, Hillsboro, OR 97124, USA (971) 713-3599 1 45 miles Shopping Mall Name Address Telephone Distance Hillsboro Promenade 7486 W Baseline Rd, Hillsboro, OR 97123, USA 0.50 miles TV Highway Marketplace 2901 SE 73rd Ave, Hillsboro, OR 97123, USA (503) 225-1545 0 60 miles Aloha Market Center 20449 SW Tualatin Valley Hwy, Beaverton, OR 97006, USA 1 15 miles Sunset Esplanade 2105-2643 SE Tualatin Valley Hwy, Hillsboro, OR 97123, USA (503) 574-3329 1 16 miles

L O C A L B U S I N E S S E S

Pet Store Name Address Telephone Distance Nature's Pet Market Orenco Station 1330 NE Orenco Station Pkwy, Hillsboro, OR 97124, USA (503) 693-3151 1 02 miles Petco 2151 SE Tualatin Valley Hwy Bldg B, Hillsboro, OR 97123, USA (503) 640-4449 1.22 miles NV Innovative Products LLC NE Aloclek Dr, Hillsboro, OR 97124, USA (971) 517-6026 1 52 miles Aloha Feed Garden & Pet LLC 18840 SW Alexander St, Beaverton, OR 97003, USA (503) 649-6723 1.57 miles Shoe Store Name Address Telephone Distance DICK'S Sporting Goods 7280 NW Butler St, Hillsboro, OR 97124, USA (503) 547-2904 1.14 miles Famous Footwear SUNSET ESPLANADE 2305, SE Tualatin Valley Hwy, Hillsboro, OR 97123, USA (503) 268-6988 1.14 miles Big 5 Sporting GoodsHillsboro 1500 SE 21st Ave, Hillsboro, OR 97123, USA (503) 681-0364 1 27 miles The Good Feet Store 2035 NE Allie Ave, Hillsboro, OR 97124, USA (503) 617-9500 1 60 miles Airport Name Address Telephone Distance Hillsboro Airport 3355 NE Cornell Rd, Hillsboro, OR 97124, USA (503) 693-1963 1.29 miles NE T Hangars HIO Airport 4226 NE Penny Way Bldg 3, Hillsboro, OR 97124, USA 1.39 miles Global Aviation Inc 2250 NE 25th Ave, Hillsboro, OR 97124, USA (503) 648-6403 1 80 miles Portland International Airport 7000 NE Airport Way, Portland, OR 97218, USA (503) 460-4234 10 31 miles

L O C A L B U S I N E S S E S

Station Name Address Telephone Distance Beaverton TC WES Station Beaverton, OR 97005, USA 3 65 miles Hall/Nimbus WES Station Beaverton, OR 97008, USA 4 58 miles Tigard TC WES Station Tigard, OR 97223, USA 5.67 miles Tualatin WES Station Tualatin, OR 97062, USA 717 miles
Train

UPDATER

is totally optional!

Use Updater to:

Forward USPS mail

Reserve a mover online

Update your accounts

Connect utilities

Hook up home services

Search move-in special offers

Share moving announcements with friends & family

For more information on Updater, visit; https://wfgoregon.updater.com/sign-up

HILLSBORO UTILITIES

Emergency Police/Medical/Fire

911 Poison Control

(800) 222-1222

www.aapcc.org

United States Postal Service

(800) 275-8777

www.usps.com

Xfinity

(800) 266-2278

www.xfinity.com

Ziply Fiber

(866) 699-4759

www.ziplyfiber.com

Verizon

(800) 483-4100

www.verizon.com

AT&T

(800) 288-2020

www.att.com

CenturyLink

(866) 963-6665

www.centurylinkcom

Dish Network

(800) 318-0572

www.dish.com

DIRECT TV

(800) 531-5000

www.directtv.com

The Oregonian

(503) 221-8240

www.oregonlive.com

TRI-MET

(503) 238-7433

www.trimet.org

Northwest Natural Gas

(800) 422-4012

www.nwnatural.com

Portland General Electric

(503) 228-6322

www.portlandgeneral.com

City of Hillsboro Water Provider

(503) 615-6702

www.hillsboro-oregon.gov

Clean Water Services Sewer

(503) 681-3600

www.cleanwaterservices.org

Pride Disposal

(503) 625-6177

www.pridedisposal.com

Hillsboro School District

(503) 844-1500

www.hsd.k12.or.us

Property Address: 6147 SE Green Court, Hillsboro, OR 97123

CHANGE OF ADDRESS

USPS

Below is the website if you would like to change your address online or you can visit your local post office, they will provide you with the change of address packet. https://moversguide.usps.com

Benefits you will receive when you change your address online are:

Exclusive mover savings coupons

Safe and secure with identity verification by a simple $100 charge to your credit or debit card

Email confirmation at the end of registration of your change of address

* Must have valid email address and credit card to register online

AUTO REGISTRATION AND DRIVER LICENSING

Below is the website if you would like to change your address online or you can visit your local DMV office.

Oregon Department of Transportation

DMV Services

1905 Lana Avenue NE Salem, OR 97314-0100

wwworegondmvcom/oregon/indexhtm

General DMV Information Contact: 503-299-9999

VOTERS REGISTRTION

TO REGISTER TO VOTE, YOU MUST BE:

A citizen of the USA

A resident of Oregon

A Legal Resident of Oregon State at least 18 years of age on or before the next election

HOW TO REGISTER

To register to vote online you will need an Oregon driver's license, permit or ID card number issued by the Oregon Driver and Motor Vehicle Services Division (DMV)

If you do not have an Oregon driver's license, permit or ID card, you can still use the online voter registration application. The information you enter will display on a voter registration card (PDF document) that you will need to print, sign and deliver to your county elections office to complete your registration.

REGISTRATION DEADLINE

A new registrant must submit their online registration by 11:59:59 p.m. Pacific Time on the 21st calendar day before an election to be eligible to vote in that election.

CHANGE OF ADDRESS

If you move to a new county, you must complete a new voter registration, otherwise you must request a transfer of your registration

Clackamas County Voter Registration: 503-655-8510

Multnomah County Voter Registration: 503-988-3720

Washington County Voter Registration: 503-846-5800

MOVING CHECKLIST

UTILITIES

Electric

NWNaturalGas

WaterDistrict

SewerDistrict

GarbageProvider

Cable/Satellite

Fuel(Propane)

PhoneServices

Internet

FINANCIAL

BanksandCreditUnions

CreditCardCompanies (includingdepartmentstorecreditcards)

Lenders

(Mortgage,HomeEquity,Auto,StudentLoans)

InsuranceCompanies

(Health,Renters,Auto,Home,Medical,Dental,Disability,Life)

Retirement

(Pensionplans,401K,SocialSecurity,VeteransAffairs)

Investments(InvestmentAgenciesandBrokers)

OnlineBillPayer

Paypal

GOVERNMENT

USPostOffice

DepartmentofMotorVehicles

(Obtainyourdriver’slicenseandchangevehicleregistration)

IRS

PassportOffice

VeteranAffairs

UnemploymentOffice

(Ifyouarecurrentlyreceivingunemploymentbenefits)

HEALTH

Physician Pharmacies

SERVICE PROVIDER

Childcare

Housecleaning Services

Delivery Services

Lawn Care Services

Veterinarian Pool Service

MEMBERSHIPS

Health Clubs

Membership Clubs(AAA or similar)

Community Groups (PTA, Neighborhood Associations, Civic Clubs)

Children’s Extracurricular Activities(Dance Classes, Music Lesson, Sports Clubs)

SUBSCRIPTIONS

Newspapers

Magazine(USPS will only forward 2 months)

Movie Subscriptions

Book or Music Clubs

OTHER

Friends and Family

Employers(typically notify the HR Department)

MOVING CHECKLIST

8 WEEK BEFORE YOU MOVE

InventorySheets:Createaninventorysheetofallyour belongingswhichneedtobemoved

ResearchMovingOptions:You’llneedtodecideifyoursisa do-it-yourselfmoveorifyou’llbeusingamovingcompany

RequestMovingQuote:Solicitmovingquotesfromasmany movingcompaniesandmoversaspossible Therecanbea largedifferencebetweenratesandserviceswithinmoving companies

DiscardUnnecessaryItems:Movingisagreattimefor riddingyourselfofunnecessaryitems Haveayardsaleor donateunnecessaryitemstocharity

PackingMaterial:Gathermovingboxesandpacking materialforyourmove

ContactInsuranceCompanies:You’llneedtocontactyour insuranceagenttocancel/transferyourinsurancepolicy

1 WEEK BEFORE YOU MOVE

YourChangeofAddress:Changeyouraddresswiththe USPS,DMV,FinancialInstitutions,Utilities,Government Offices,HealthCareServiceProviders,Memberships, SubscriptionsandInsuranceProvisions

BankAccounts:Transferorclosebankaccountsifchanging banks Makesuretohaveamoneyorderforpayingthe movingcompany

ServiceAutomobiles:Ifautomobilesaretobedrivenlong distance,you’llwanttohavethemservicedsoyouhavea trouble-freedrive

CancelServices:Notifyanyremainingserviceproviders (newspapers,lawnservices,etc)ofyourmove

TravelItems:Setasideallitemsyou’llneedwhiletraveling

Makesurethesearenotpackedonthemovingtruck

ContactUtilityCompanies:Setutilityturnoffdate,seek refundsanddepositsandnotifythemofyournewaddress

4 WEEK BEFORE YOU MOVE

StartPacking:Beginpackingallthingsdestinedforyournew location

ObtainYourMedicalRecords:Contactyourdoctor,physician, dentistandothermedicalspecialistswhomaycurrentlybe retaininganyofyourfamily’smedicalrecords Obtainthese recordsormakeplansforthemtobedeliveredtoyournew medicalfacilitiesifchanging Securityiscriticalofpersonal records

NoteFoodInventoryLevels:Checkyourcupboards, refrigeratorandfreezer Useupasmuchofyourperishable foodaspossible

SmallEngines:Servicesmallenginesforyourmoveby extractinggasandoilfromthemachines Thiswillreduce thatchancetocatchfireduringyourmove

ProtectJewelryandValuables:Transferyourjewelryand valuablestoasafetydepositbox;youdon’twantthemtobe lostorstolenduringyourmove

BorrowedandRentedItems:Returnitemsthatyoumay haveborrowedorrented Collectitemsborrowedtoothers

MOVING DAY

PlanYourItinerary:Makeplanstospendtheentiredayat thehouseoratleastuntilthemoversareontheirway Someonewillneedtobearoundtomakedecisions Make plansforkidsandpetstobeatasittersfortheday ReviewtheHouse:Oncethehouseisempty,checkthe entirehouse(closets,attic,basement,etc)toensureno itemsareleftornohomeissuesexist

DoubleCheckWithYourMover:Ensurethemoverhasthe newpropertyaddressandallofyourmostrecentcontact information,shouldtheyhaveanyquestionsduringyour move

VacateYourHome:Makesureutilitiesareoff,doorsand windowsarelockedandnotifyyourrealestateagentyou’ve vacatedtheproperty

QuestionsToAsk:Whereisthegaragedooropener?Where arethekeystothehouse,mailboxandotherlockablearea? Didyouretrieveallkeysfromneighborsandfriends?

8
4 1 *

THE HOME DEPOT (800) 466-3337

wwwhomedepotcom

Beaverton

(503) 469-4242

4401 SW 110th Ave

Beaverton, OR 97005

S Beaverton

(503) 646-1525

13700 NW Science Pk Dr

Portland 97229

Clackamas

(503) 774-6372

9300 SE 82nd Ave

Happy Valley, OR 97086

Hillsboro

(503) 693-9090

1950 SE Minter Bridge Rd

Hillsboro 97123

Jantzen Beach

(503) 289-9200

1728 N Tomahawk Island Dr Portland 97217

Oregon City

(503) 723-3181

2002 Washington St

Oregon City, OR 97045

E Portland

(503) 261-8543

10120 SE Washington St Portland 97216

NE Portland

(503) 252-0188

11633 NE Glen Widing Dr

Portland 97220

Sherwood

(503) 925-8447

20260 SW Pacific Hwy

Sherwood, OR 97140

Tigard

(503) 639-3500

14800 SW Sequoia Parkway

Tigard 97224

MOVING RESOURCES

THE HOME DEPOT CONTINUED

Troutdale

(503) 674-3944

25101 SE Stark St

Troutdale, OR 97060

LOWES (800) 466-3337

wwwlowescom

Hillsboro

(503) 844-6200

1951 SE 24th Ave

Hillsboro, OR 97123

Milwaukie

(503) 794-2500

13631 SE Johnson Rd.

Milwaukie 97222

Portland

(503) 737-3000

1160 N Hayden Meadows Dr Portland 97217

Tigard

(503) 624-2644

12615 SW 72nd Ave

Tigard, OR 97223

Wood Village (503) 667-1005

1000 NE Wood Village Blvd Wood Village, OR 97060

DONATION FACILITIES

Goodwill (800) 741-0186

locatorgoodwillorg

The Salvation Army

(800) 958-7825

wwwsalvationarmyusaorg

Value Village (800) 958-7825

wwwvaluevillagecom

MOVING TRUCK RENTALS

Budget (800) 462-8343

wwwbudgettruckcom

Penske (888) 996-5415

wwwpensketruckrentalcom

Ryder (800) 297-9337

wwwrydercom

U-Haul (800) 468-4285

wwwuhaulcom

STORAGE COMPANIES

NW Self Storage

wwwnwselfstorage

Public Storage (800) 906-0879

wwwpublicstoragecom

Pods (888) 309-8967

wwwpodscom

TRANSFER STATIONS

Garbage/Recycling

Metro Center (503) 234-3000

wwworegonmetrogov

6161 NW 61st Ave

Portland, OR 97210

Metro South (503) 234-3000

wwworegonmetrogov

2001 Washington St

Oregon City, OR 97045

AIRPORT

Portland International Airport (877) 793-4690

www.flypdx.com

AUTO & DRIVER REGISTRATION

DMV (503) 945-5000

wwwodotstateorus/dmv/

BUS SERVICE

C-Tran (360) 695-0123

wwwc-trancom

Greyhound (800) 231-2222

wwwgreyhoundcom

Tri-Met (503) 238-7433

wwwtri-metorg

CABLE TV & INTERNET

Verizon (888) 881-8161

wwwverizoncom

XFINITY (Comcast) (800) 934-6489

wwwcomcastcom

CITY CONTACT

Banks (503) 324-5112

www.cityofbanks.org

Beaverton

(503) 526-2222

wwwcibeavertonorus

Canby (503) 266-4021

wwwcicanbyorus

RESOURCE GUIDE

CITY CONTACT CONTINUED

Cornelius (503) 357-9112

www.ci.cornelius.or.us

Damascus (503) 658-8545

wwwcidamascusorus

Estacada (503) 630-8270

wwwcityofestacadaorg

Fairview (503) 665-7929

wwwcifairvieworus

Forest Grove (503) 359-3200

wwwciforest-groveorus

Gaston

(503) 985-3340

Gladstone (503) 656-5225

wwwcigladstoneorus

Gresham (503) 661-3000

wwwcigreshamorus

Happy Valley (503) 760-3325

wwwcihappy-valleyorus

Hillsboro (503) 681-6100

wwwhillsboro-oregongov

King City (503) 639-4082

www.ci.king-city.or.us

Lake Oswego (503) 635-0270

wwwcioswegoorus

Milwaukie (503) 786-7525

wwwcicityofmilwaukieorg

CITY CONTACT CONTINUED

Molalla (503) 829-6855

wwwcityofmolallacom

North Plains (503) 647-5555

wwwnorthplainsorg

Oregon City (503) 657-0891

wwwciorcityorus

Portland (503) 823-4000

wwwportlandonlinecom

River Grove (503) 639-6919

Sandy (503) 668-5533

wwwcisandyorus

Sherwood (503) 625-5522

wwwcisherwoodorus

Tigard (503) 639-4171

wwwcitigardorus

Troutdale (503) 665-5175

wwwcitroutdaleorus

Tualatin (503) 692-2000

www.tualatinoregon.gov

West Linn (503) 657-0331

wwwwestlinnoregongov

Wilsonville (503) 682-1011

wwwciwilsonvilleorus

Wood Village (503) 667-6211

wwwciwood-village-orus

COUNTY CONTACTS

Clackamas (503) 655-8011

www.co.clackamas.or.us

Taxation (503) 655-8671

Multnomah

(503) 248-3511

wwwcoclackamasorus

Taxation (503) 988-3326

Washington (503) 846-8611

wwwcoclackamasorus

Taxation (503) 846-8741

ELECTRICITY

Pacific Power (888) 221 7070

wwwpacificpowernet

Portland General (800) 542-8818

wwwportlandgeneralcom

HOSPITALS

Adventist Medical (503) 257-2500

wwwadventisthealthnwcom

Doernbecher Children’s Hospital

(503) 494-8311

wwwohsuedu

Legacy Good Samaritan (503) 413-4683

wwwlegacyhealthorg

Legacy Emanuel (503) 413-2200

www.legacyhealth.org

RESOURCE GUIDE

HOSPITALS CONTINUED

Legacy Meridian Park (503) 692-1212

www.legacyhealth.org

Legacy Mt Hood (503) 674-1122

wwwlegacyhealthorg

Kaiser Permanente Sunnyside (503) 813-2000

wwwkaiserpermanenteorg

Kaiser Permanente Westside (503) 813-2000

wwwkaiserpermanenteorg

OHSU (503) 494-8311

wwwohsuedu

Providence Milwaukie (503) 513-8300

wwwprovidenceorg

Providence Portland (503) 215-1111

www.providence.org

Providence St Vincent (503) 216-1234

wwwprovidenceorg

Providence Willamette Falls (503) 656-1631

wwwprovidenceorg

Shriner’s Hospital (503) 241-5090

wwwshrinershqorg

Tuality Community (503) 681-1111

wwwtualityorg

Tuality Forest Grove (503) 357-2173

www.tuality.org

NATURAL GAS

NW Natural (800) 422-4012

www.nwnatural.com

NEWSPAPERS

The Columbian (360) 694-3391

wwwcolumbiancom

The Oregonian (503) 221-8240

wwworegonlivecom

Willamette Weekly (503) 243-2122

wwwwweekcom

RECREATION

Convention Center (503) 235-7575

wwworegonccorg

Expo Center (503) 736-5200

wwwexpocenterorg

Mt Hood Meadows (503) 337-2222

wwwmthoodmeadowscom

OMSI (503) 797-4000

www.omsi.edu

Oregon Zoo (503) 266-1561

wwworegonzoocom

Portland International Raceway (503) 823-7223

wwwportlandracewaycom

Portland Art Museum (503) 266-2811

wwwpamorg

RESOURCE GUIDE

RECREATION CONTINUED

Providence Park (503) 553-5400

www.providenceparkpdx.com

Regal Cinemas (800) FANDANGO

wwwregalcinemascom

Moda Center (503) 797-9619

wwwrosequartercom

Willamette Jetboat (503) 231-1532

wwwwillamettejetcom

SHOPPING

Bridgeport Village (503) 968-1704

www.bridgeport-village.com

Cedar Hills Crossing (503) 643-6563

wwwcedarhillscrossingcom

Clackamas Town Center (503) 653-6913

wwwclackamastowncentercom

Columbia Gorge Outlets (503) 669-8060

wwwpremiumoutletscom/ columbiagorge

Lloyd Center (503) 282-2511

wwwlloydcentercom

Mall 205 (503) 255-5805

Pioneer Place (503) 228-5800

wwwpioneerplacecom

SHOPPING CONTINUED

Streets of Tanasbourne (503) 533-0561

www.streetsoftanasbourne.com

Washington Square (503) 369-8860

wwwshopwashingtonsquarecom

Woodburn Outlets (888) 664-SHOP

wwwwoodburncompanystorescom

TELEPHONE SERVICE

Verizon (800) 483-4100

wwwverizoncom

AT&T (800) 288-2020

www.att.com

TRANSFER STATIONS

Metro Center (503) 234-3000

wwworegonmetrogov

6161 NW 61st Ave

Portland, OR

Metro South

(503) 234-3000

wwworegonmetrogov

2001 Washington St Oregon City, OR

Clackamas County

(503) 668-8885

wwwwmnorthwestcom

19600 SE Canyon Valley Rd. Sandy, OR

VOTER REGISTRATION

Clackamas (503) 655-8510

Multnomah (503) 248-3720

Washington

(503) 846-5800

WATER BUREAU

Beaverton (503) 526-2257

Clackamas

(503) 722-9220

Gladstone (503) 656-5223

Gresham (503) 618-2373

Hillsboro (503) 681-6228

Lake Oswego (503) 635-0265

Milwaukie (503) 786-7525

Oregon City (503) 657-8151

Portland (503) 823-7770

Tigard (503) 639-1554

Tualatin (503) 692-2000

West Linn (503) 656-4261

Wilsonville (503) 682-1011

CYBER SECURITY

g p , g being sent to an outside account and never credited to the intended party

To protect and reduce your risk, WFG has implemented the following procedures for outgoing and incoming wires:

Outgoing Wire from WFG to seller or borrower for proceeds

In the escrow paperwork provided you will be asked to provide written instructions on how you want funds due you sent to you at the close of escrow If you choose to have the funds sent via wire transfer, WFG will contact you by phone to confirm the wire information provided.

Incoming Wires from the buyer and/or lender to WFG bank account

For funds that are to be wired to WFG for your transaction, we will send specific wire instructions to the remitting person via an encrypted email. We recommend you reach out to your WFG contact to confirm the wire instructions prior to remittance.

We look forward to processing your escrow transaction for you. We know that this can be a stressful time and we are here to assist you in any way we can to make this a good experience

http://nationalwfgnationaltitlecom/2016/04/05/obsess-cyber-security/

OWNERS TITLE INSURANCE

claims, or restrictions on the buyers property, other than the mortgage the buyer agrees to pay.

If the preliminary title search uncovers potential problems, a buyer can require that those problems be satisfactorily dealt with before closing on the home.

In addition, owner’s title insurance protects buyers against a myriad of risks that not even the most careful title search can uncover, including things such forged documents, undisclosed or missing heirs of a previous owner, fraud, will disputes, and unrecorded claims of many types.

Without owner’s title insurance, the legal costs to resolve such title claims could easily be in the tens of thousands of dollars and would have to be paid out of pocket by the buyer - not to mention the stress that such situations would cause to the buyer

Owner’s title insurance is one of the most affordable insurance policies a person can ever buy Unlike other forms of insurance, there is only a one-time fee at closing for the policy, which financially protects the buyer’s investment for as long as the buyer or the buyer’s heirs own the home.

So, if someone tells the buyer that owner’s title insurance is “optional”, that certainly does not mean that the buyer should not get it. Virtually every lender requires lender’s title insurance, but that insurance does not protect the buyer.

In order to safeguard the buyer’s investment in the property, which is possibly the most important investment the buyer will ever make, owner’s title insurance is absolutely critical.

Why it's important

WHAT IS ESCROW?

Both the buyer and seller rely on the escrow agent to carry out their written instructions relating to the transaction and to advise them if any of their instructions are not mutually consistent or cannot be carried out. If the instructions from all parties to an escrow are clearly drafted, the escrow officer can proceed on behalf of the buyer and seller without further consultation. This saves much time and facilitates the closing of the transaction.

TYPICAL ROLES IN THE CLOSING PROCESS

The Seller/Agent

Delivers a fully executed Purchase Sale Agreement to the escrow agent. Executes the paperwork necessary to close the transaction

The Buyer/Agent

Deposits collected funds required to close (in with the escrow agent

Approves the commitment for title insurance, or other items as called for by the Purchase Sale Agreement

Executes the paperwork and loan documents necessary to close the transaction

The Lender

Deposits loan documents to be executed by the buyer

Deposits the loan proceeds

Directs the escrow agent of the conditions under which the loan funds may be used

The Escrow Agent

Clears Title Obtains title insurance

Obtains payoffs and release documents for underlying loans on the property

Receives funds from the buyer and/or lender. Prepares vesting document affidavit on seller’s behalf

Prorates insurance, taxes, rents, etc

Prepares a final statement (often referred to as the “HUD Statement” or ”Settlement Statement”) for each party, indicating amounts paid in conjunction with the closing of your transaction

Forwards deed to the county for recording

Once the proper documents have been recorded, the escrow agent will distribute funds to the proper parties

In Summary

Escrow is the process that assembles and processes many of the components of a real estate transaction. The sale is officially closed when the new deed is recorded and funds are available to the seller, thus transferring ownership from the seller to the buyer

The escrow agent is a neutral third party acting on behalf of the buyer and seller.

WHAT IS TITLE?

About Title Insurance

Title is a bundle of rights in real property. Protecting purchasers and lenders against loss is accomplished by the issuance of a title insurance policy Usually, during a purchase transaction, the lender requests a policy (commonly referred to as the Lender’s Policy) while the buyers receive their own policy (commonly referred to as an Owner's Policy)

In short, the policy states that if the status of the title to a parcel of real property is other than as represented, and if the insured (either the owner or lender) suffers a loss as a result of a title defect, the insurer will reimburse the insured for that loss and any related legal expenses, up to the face amount of the policy, subject to exceptions and exclusions contained in the policy

Typically there are two policies issued. The Mortgagee’s Policy insures the lender for the amount of the loan. The Owner’s Policy insures the purchaser of the purchase price.

How is title insurance different from other types of insurance?

While the function of most other forms of insurance is risk assumption through the pooling of risks for losses arising out of unforeseen future events (such as sickness or accidents), the primary purpose of title insurance is to eliminate risks and prevent losses caused by defects in title arising out of events that have happened in the past To achieve this goal, title insurers perform an extensive search and examination of the public records to determine whether there are any adverse claims (title defects) attached to the subject property Said defects/claims are either eliminated prior to the issuance of a title policy

or their existence is excepted from coverage. Your policy is issued after the closing of your new home, for a one-time nominal fee, and is good for as long as you own the property

What’s involved in a title search? A title search is actually made up of three separate searches:

Chain of Title – History of the ownership of the subject property

Tax Search – The tax search reveals the status of the taxes and assessments

Judgment and Name Search – Searches for judgment and liens against the owners’ and purchasers’ names

Once the three searches have been completed, the file is reviewed by an examiner who determines:

Whether or not the Chain of Title shows that the party selling the property has the right to do so

The status of taxes for the subject property The Tax Search will also indicate the existence of any special assessments against the land and whether or not these assessments are current or past due

Whether there are any unsatisfied judgments on the Judgment and Name Search against the previous owners, sellers, or and purchasers.

Rights established by judgment decrees, unpaid federal income taxes and mechanic liens all may be prior claims on the property, ahead of the buyer’s or lender’s rights The title search will only uncover defects in title that are of public record, thus allowing the title company to work with the seller to clear up these issues and provide the new buyer with title insurance

In Summary

After the searches have been examined, the title company will issue a commitment, stating the conditions under which it will insure title The buyer, seller and the mortgage lender will proceed with the closing of the transaction after clearing up any defects in the title that have been uncovered by the search and examination

.

WHO PAYS WHAT IN OREGON

SELLER PAYS

TYPICAL COSTS

The following costs generally affect all transactions:

Escrow Fee - one-half of the fee, based on title company’s fee schedule

Recording Fees - based on county fee schedule

Title Premium - based on fixed statewide fee schedule

Real Estate Commission - based on agreement with Broker

Tax Prorate - to apportion taxes between parties as of date of closing

General Costs - as listed for each specific transaction, as requested by principals

Release fees for loan payoff(s)

LAND SALE CONTRACT TRANSACTION

Attorney Fee - optional, and is sometimes shared with purchaser

Collection Escrow Setup Fee - optional, and is often shared with purchaser

ASSIGNMENT OF CONTRACT FOR ASSUMPTION OF LOAN TRANSACTION

Any delinquent payments to bring contract or loan current

Prorate share of current month’s interest based on current rate

CONVENTIONAL, FHA, VA LOAN TRANSACTIONS

Any closing cost (not expenses of property or loan interest) negotiated on behalf of the purchaser, subject to lender’s approval

FHA, VA Loans - check with lender for any applicable seller costs

BUYER PAYS

TYPICAL COSTS

The following costs generally affect all transactions:

Escrow Fee - one-half of the fee, based on title company’s fee schedule

Recording Fees - based on county fee schedule

Fire Insurance Premium - mandatory when any lender is involved, including the seller’s lender

Tax Prorate - to apportion taxes between parties as of date of closing

General Costs - as listed for each specific transaction, as requested by the principals

LAND SALE CONTRACT TRANSACTION

Attorney Fee - optional, and is sometimes shared with seller

Collection Escrow Setup Fee - optional, and is sometimes shared with seller

Recording Fee - for contract or memorandum thereof

ASSIGNMENT OF CONTRACT FOR ASSUMPTION OF LOAN TRANSACTION

Assumption or Assignment

Next monthly payment due, if required by lender

Recording Fee - for Assumption/Assignment of Agreement, if required by lender

CONVENTIONAL, FHA, VA LOAN TRANSACTIONS

Lenders title insurance policy & endorsements, as required by lender

Loan Fee - as required by lender

Credit Report Fee - as required by lender

Appraisal Fee - as required by lender

Mortgage Insurance Premium - based on fee schedule and endorsements of lender

Prepaid Interest - if required by lender

VA Loans only - funding fee, if required by lender

FHA, VA, and some Conventional Loans - reserves for real property taxes, fire insurance and mortgage insurance

DISCLAIMER:Thisflyerisnotintendedtobeanall-inclusivelistoffeesandchargesoneverytransaction,butratheraguidetothemajorcostsofbuyingorselling realproperty WFGwouldbehappytoreviewandexplainyourclosingcostpriortofinalizingthetransactions

TITLE VESTING

Common ways to hold title to real property

ASANINDIVIDUAL

Anindividualmayholdtitleinhisorhernameonly,regardlessofwhetherornotmarried–eg “JaneSmith,an individual” Thatindividualthenownsallrightstotheproperty,whichcanbesoldortransferredtoothersviawill ortrust Whileadivorceispending,however,ifthepropertywasacquiredduringthemarriageitwilllikelybe treatedaspartofthemaritalestateandthusbesubjecttocourtauthority.

ASTENANTSBYTHEENTIRETY

Aconveyancetoahusbandandwifecreatesatenancybytheentirety–eg “JohnSmithandJaneSmith, husbandandwife,astenantsbytheentirety” Thiscreatesasurvivorshipestate,whichmeansthatifonespouse dies,his/herinterestwillautomaticallygotothesurvivingspouse.Ahusbandandwifemayalsotaketitleas tenantsincommon(discussedbelow)iftheintentiontoholdtitleinthatmannerisexpresslystated

ASTENANTSINCOMMON

Unlessaconveyanceexpresslyprovidesthatthepartiesintendtocreateasurvivorshipestate(discussedbelow), aconveyancetotwoormorepersonswhoarenotmarriedcreatesatenancyincommoninwhicheachhas (unlessotherwisestated)anequalundividedinterestintheproperty–eg “JohnSmithandRobertJones,as tenantsincommon,eachastoanundivided50%interest” Eachtenantincommonthenownsanundivided interestintheentireproperty,whichcanbesoldortransferredtoothersviawillortrust

ASASURVIVORSHIPESTATE

Twoormorepersonswhoarenotmarriedmayalsoholdtitleastenantsincommonwitharightofsurvivorship, aslongasthesurvivorshipdeclarationisexpresslycontainedinthedeed–eg “JohnSmithandRobertJones, notastenantsincommon,butwiththerightofsurvivorship” Thiscreatesasurvivorshipestate,whichmeans thatifonepartydies,his/herinterestwillautomaticallygotothesurvivorandcannotbesoldduringthelifetime ofortransferredviawillortrustbythepartywhodiesfirst

ASREGISTEREDDOMESTICPARTNERS

Registereddomesticpartnersmaytaketitleas(i)tenantsincommon–e.g.“JaneSmithandMaryJones, registereddomesticpartners,astenantsincommon,eachastoanundivided50%interest”,or(ii)ina survivorshipestatesimilartothatofatenancybytheentirety–eg “JaneSmithandMaryJones,asregistered domesticpartnerswithrightofsurvivorship”

ASASAMESEXMARRIEDCOUPLE

Samesexmarriedcouplesmaytaketitleas(i)tenantsincommon–eg “JohnSmithandRobertSmith,a marriedcouple,astenantsincommon,eachastoanundivided50%interest”,or(ii)inasurvivorshipestate similartothatofatenancybytheentirety–eg JohnSmithandRobertSmith,amarriedcouplewithrightof survivorship,or(iii)astenantsbytheentirety–eg “JohnSmithandRobertSmith,amarriedcouple,astenants bytheentirety”.

ASANENTITY

Aregisteredentity,suchasacorporation,limitedliabilitycompanyorpartnership,mayholdtitle Titleshouldbe heldexactlyasthenameisregisteredwiththeOregonSecretaryofState–e.g.“Smith&Jones,LLC,anOregon limitedliabilitycompany”

DISCLAIMER–Theforegoingcontainsinformationalexamplesonlyandisnottobeconstruedaslegaladvice Giventhecomplexitiesinvolvedinacquiringandholding legaltitletorealproperty,WFGstronglyrecommendsthatyouseeklegaladvicefromanattorneypriortodoingso

WFG OFFICE LOCATIONS

ADMINISTRATIVE 12909 SW 68th Pkwy Ste. 350 Portland, OR 97223 503-431-8500

CLACKAMAS 9200 SE Sunnybrook Blvd Ste. 350 Clackamas, OR 97015 503-353-9975

LAKE OSWEGO 5885 Meadows Rd. Ste 150 Lake Oswego, OR 97035 503-624-4900

LLOYD/COMMERCIAL 700 NE Multnomah St. Ste 190 Portland, OR 97232 503-230-8488

NW PORTLAND 25 NW 23rd Pl Ste. 1 Portland, OR 97210 503-219-9088

GRESHAM 1304 NW Civic Drive Gresham, OR 97030 503-512-4910

SUNSET 2430 NW 206th Ave. Ste 125 Beaverton, OR 97006 503-533-9510

BETHANY 1500 NW Bethany Blvd. Ste 155 Beaverton, OR 97006 503-850-3990

9 10 11

DOWNTOWN VANCOUVER 101 E 6th St Ste 125 Vancouver, WA 98660 360-314-0300

SALMON CREEK 2105 NE 129th St Ste. 107 Vancouver, WA 98686 360-314-1818

VANCOUVER MALL 5101 NE 82nd Ave. Ste 102 Vancouver, WA 98662 360-891-5454

EAST VANCOUVER 2004 SE 192nd Ave. Ste 100 Vancouver, WA 98683 360-356-9990

1 2 3 5 6 7
4 8 12

Your Local Market Report

Hillsboro,

OR 97123

REPORT FOR 9/27/2023

Single-Family Homes

This week the median list price for Hillsboro, OR 97123 is $639,900 with the market action index hovering around 46. This is an increase over last month's market action index of 45 Inventory has increased to 77.

Market Action Index

This answers “How’s the Market?” by comparing rate of sales versus inventory.

Hillsboro, OR 97123

Real-Time Market Profile

Strong Seller's Market

In the last few weeks the market has achieved a relative stasis point in terms of sales to inventory However, inventory is sufficiently low to keep us in the Seller’s Market zone so watch changes in the MAI. If the market heats up, prices are likely to resume an upward climb.

Market Segments

Each segment below represents approximately 25% of the market ordered by price.

Single-Family Homes
Median List Price $639,900 Median Price of New Listings $547,000 Per Square Foot $321 Average Days on Market 85 Median Days on Market 49 Price Decreased 39% Price Increased 8% Relisted 13% Inventory 77 Median Rent $2,595 Market Action 46 Strong Seller's Market Your Local Market Report
Buyer's Market Seller's Market 0 10 20 30 40 50 60 70 80 90 100 Tod a y LastMonth 46
Median Price Sq. Ft. Lot Size Beds Bath Age New Absorbed DOM $1,150,000 3,250 1 - 2 5 acres 4 3 4 1 2 126 $689,900 2,141 4,500 - 6,500 sqft 3 2.5 0 1 0 49 $599,900 1,921 4,500 - 6,500 sqft 3 2 5 17 3 2 49 $507,450 1,563 4,500 - 6,500 sqft 3 2 28 6 6 17 2 of 6 Wed Sep 27 2023 Powered by Altos Research, Inc. | www.altos.re | Copyright © 2023 Altos Research, Inc.

Median List Price

We continue to see prices in this zip code bouncing around this plateau. Look for a persistent up-shift in the Market Action Index before we see prices move from these levels.

7-Day Average 90-Day Average

Segments

In the quartile market segments, we see prices in this zip code have generally settled at a plateau, although Quartile 1 has been trending a bit downward in recent weeks. We'll need to see a persistent shift in the Market Action Index before we see prices across the board move from these levels.

Single-Family Homes Hillsboro, OR 97123 Your Local Market Report
Oct 2018 Apr 2019 Oct 2019 Apr 2020 Oct 2020 Apr 2021 Oct 2021 Apr 2022 Oct 2022 Apr 2023 $400K $500K $600K $700K $800K $900K
Top 90-Day Upper 90-Day Lower 90-Day Bottom 90-Day Oct 2018 Apr 2019 Oct 2019 Apr 2020 Oct 2020 Apr 2021 Oct 2021 Apr 2022 Oct 2022 Apr 2023 $250K $500K $750K $1.0M $1.3M $1.5M $1.8M 3 of 6 Wed Sep 27 2023 Powered by Altos Research, Inc. | www.altos.re | Copyright © 2023 Altos Research, Inc.

Price Per Square Foot

The market plateau is seen across the price and value. The price per square foot and median list price have both been reasonably stagnant. Watch the Market Action Index for persistent changes as a leading indicator before the market moves from these levels.

7-Day Average 90-Day Average

Inventory has been relatively steady around these levels in recent weeks.

7-Day Average 90-Day Average

Single-Family Homes Hillsboro, OR 97123 Your Local Market Report
Oct 2018 Apr 2019 Oct 2019 Apr 2020 Oct 2020 Apr 2021 Oct 2021 Apr 2022 Oct 2022 Apr 2023 $200 $250 $300 $350 $400 Inventory
Oct 2018 Apr 2019 Oct 2019 Apr 2020 Oct 2020 Apr 2021 Oct 2021 Apr 2022 Oct 2022 Apr 2023 0 50 100 150 200 4 of 6 Wed Sep 27 2023 Powered by Altos Research, Inc. | www.altos.re | Copyright © 2023 Altos Research, Inc.

Market Action Index

In the last few weeks the market has achieved a relative stasis point in terms of sales to inventory. However, inventory is sufficiently low to keep us in the Seller’s Market zone so watch changes in the MAI. If the market heats up, prices are likely to resume an upward climb.

7-Day Average 90-Day Average

Market Action Segments

Not surprisingly, all segments in this zip code are showing high levels of demand. Watch the quartiles for changes before the whole market changes. Often one end of the market (e.g. the high-end) will weaken before the rest of the market and signal a slowdown for the whole group.

Single-Family Homes Hillsboro, OR 97123 Your Local Market Report
Oct 2018 Apr 2019 Oct 2019 Apr 2020 Oct 2020 Apr 2021 Oct 2021 Apr 2022 Oct 2022 Apr 2023 0 100 25 50 75 125
Top 90-Day Upper 90-Day Lower 90-Day Bottom 90-Day Oct 2018 Apr 2019 Oct 2019 Apr 2020 Oct 2020 Apr 2021 Oct 2021 Apr 2022 Oct 2022 Apr 2023 20 40 60 80 100 120 5 of 6 Wed Sep 27 2023 Powered by Altos Research, Inc. | www.altos.re | Copyright © 2023 Altos Research, Inc.

Median Days on Market (DOM)

The properties have been on the market for an average of 82 days. Half of the listings have come newly on the market in the past 42 or so days. Watch the 90-day DOM trend for signals of a changing market.

It is not uncommon for the higher priced homes in an area to take longer to sell than those in the lower quartiles.

Single-Family Homes Hillsboro,
97123 Your Local Market Report
OR
7-Day Average 90-Day Average Oct 2018 Apr 2019 Oct 2019 Apr 2020 Oct 2020 Apr 2021 Oct 2021 Apr 2022 Oct 2022 Apr 2023 0 25 50 75 100 125
Segments
Top 90-Day Upper 90-Day Lower 90-Day Bottom 90-Day Oct 2018 Apr 2019 Oct 2019 Apr 2020 Oct 2020 Apr 2021 Oct 2021 Apr 2022 Oct 2022 Apr 2023 0 50 100 150 200 250 6 of 6 Wed Sep 27 2023 Powered by Altos Research, Inc. | www.altos.re | Copyright © 2023 Altos Research, Inc.

SIMPLIFYING YOUR JOURNEY TO A SUCCESSFUL CLOSING

Personalized. Secure. Transparent.

WFG’s MyHome® provides full transparency, real-time updates, and post-closing home information in a secure built with YOU in mind.

Sign up for an account at https://myhome.wfgtitle.com today!

Click Register for MyHome® account on a MyHome® email to https://myhome. wfgtitle.com

Complete a brief registration form. Use your email address on immediate access.

• Instant access to

• Contact information for

• entire escrow process

• via text, email, or

• for your transaction

• your escrow team

• milestone

myhome.wfgtitle.com
1 2 3

CONSUMER EXPERIENCE TIMELINE

TRANSACTION CLOSED

CLOSE TO SIGNING

UPDATER INVITATION

TITLE REPORT DELIVERED

TRANSACTION STARTED

GATHER UP

SIGNING SCHEDULED

TITLE CLEARED

MIDPOINT FEEDBACK

EARNEST MONEY

Contact us to schedule a demo or sign up for an account.

myhome.wfgtitle.com REV. 2.16.2022

Turn static files into dynamic content formats.

Create a flipbook
Issuu converts static files into: digital portfolios, online yearbooks, online catalogs, digital photo albums and more. Sign up and create your flipbook.