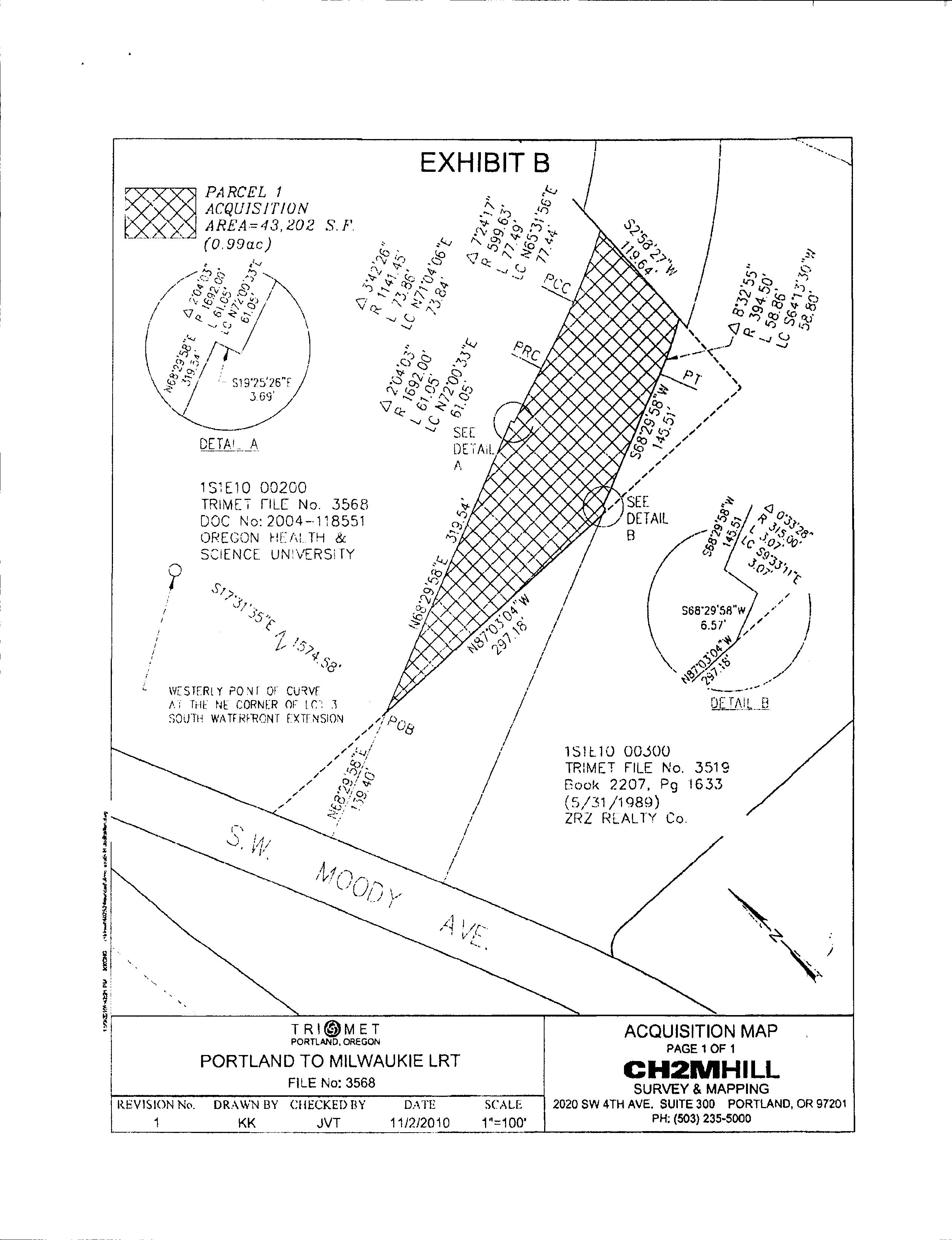
1930 S RIVER DR, UNIT #W604

Page 1

SCAN HERE ToExploreour Home&CommunityBook

HOME & COMMUNITY

1930 S RIVER DR, UNIT #W604 PORTLAND, OR 97201

P R O P E R T Y D E T A I L S

PROPERTY ADDRESS

1930 S RIVER DR, UNIT #W604

PORTLAND, OR 97201

OWNER INFORMATION

OWNER NAME: Connor, Michael D Trust

VESTING: Personal Trust

MAILING ADDRESS: 11 Poppy Hills Rd Laguna Niguel CA 92677

OWNER STATUS: Non-owner occupied

LOCATION DESCRIPTION

COUNTY: Multnomah

CENSUS / BLOCK: 005700 / 3007

TSP - RNG - SEC: 01S - 01E - 03

LOT / BLOCK: W604 /

HOUSING TRACT: Strand Condominiums

ALT PARCEL #: R799405620

SCHOOL DISTRICT: Portland

MUNICIPALITY: Portland

PARCEL #: R600687

LAST MARKET SALE PRIOR SALE

DATE: 07/10/2007

SALE PRICE: $720,826

DOCUMENT #: 123107

DOC TYPE: Deed

SQUARE FOOT $: $480.55

LENDER: WELLS FARGO BK NA

LOAN: $350,000

LOAN TYPE: Conventional

LOAN TERM: 30 Y

DATE:

SALE PRICE:

DOCUMENT #:

DOC TYPE:

LENDER:

LOAN:

LOAN TYPE:

P R O P E R T Y D E T A I L S

PROPERTY CHARACTERISTICS

GROSS AREA: 1,500

LIVING AREA:

ABOVE GRADE:

BEDROOMS:

BATHROOMS (F/H): 2 / 0

FIREPLACE: 1

YEAR BUILT: 2006

PARKING TYPE:

UNITS:

BASEMENT:

GARAGE AREA:

ROOF SHAPE:

FOUNDATION: Concrete

ROOF MATERIAL: Built Up

CONSTRUCTIONS:

HEAT TYPE: Heat Pump

COOLING TYPE:

EXTERIOR WALL:

ROOMS:

QUALITY:

INTERIOR WALL:

PORCH TYPE:

PATIO TYPE:

AIR COND:

FIXTURES:

FLOOR:

EQUIPMENT:

STORIES: 1

POOL:

CONDITION:

PROPERTY INFORMATION

LAND USE: Residential, Commercial, Cond

ZONING: Central Commercial

COUNTY USE: Residential Condo

LOT ACRES: 0

STATE USE:

LOT SQ FT:

LEN / WID:

TAXES AND ASSESSMENT INFORMATION

ASSD YEAR: 2022

ASSD VALUE: $500,050

TAXABLE VAL:

TAX YEAR: 2022

LAND VALUE:

MKT VALUE: $650,000

TAX AREA: 709

IMP VALUE: $650,000

EXEMPTIONS:

PROPERTY TAX: $13,339.98

IMPROVED %: 100

DISTRICT:

PROPERTY ADDRESS 1930 S RIVER DR, UNIT #W604 PORTLAND, OR 97201 0 BED 2 BATH 1,500 SQ FT 0 ACRES

A R E A H I S T O R Y

PROPERTY ADDRESS 1930 S RIVER DR, UNIT #W604 PORTLAND, OR 97201 AVERAGES BEDROOMS BATHROOMS SQUARE FOOT PRICE SQ FT PRICE 2019 2 2 25 2,246 $619,648 $305 2020 2 2.25 2,370 $649,719 $306 2021 2 2 25 2,406 $815,417 $404 2022 2 2 2,017 $683,748 $355 2023 2 2 1,897 $704,782 $372 AVERAGE SALE PRICE AVERAGE PRICE PER SQ FT 2019 2020 2021 2022 2023 $619,648$649,719$815,417$683,748$704,782 2019 2020 2021 2022 2023 $305 $306 $404 $355 $372

D E M O G R A P H I C S

PROPERTY ADDRESS 1930 S RIVER DR, UNIT #W604 PORTLAND, OR 97201 FEMALE POPULATION | 80,953 HOUSING INFO MALE POPULATION | 82,838 HOUSEHOLD INFO Male Head of Household 6.44% Female Head of Household 14.93% Married w/ Minors 28.45% Married w/o Minors 50.18% Male w/ Minors 2.99% Female w/ Minors 8.22% 0% 10% 20% 30% 70+ 60-69 50-59 40-49 30-39 20-29 10-29 0-9 Urban Rural 163,574 217 T otal Units V acant Occupied 91,251 7,424 83,827 0% 10% 20% 30% 70+ 60-69 50-59 40-49 30-39 20-29 10-29 0-9
A S S E S S O R M A P
S T R E E T

A E R I A L M A P

CITY BOUNDARY MAP

S C H O O L S

Portland School Disrict

ELEMENTARY SCHOOLS

MIDDLE SCHOOLS

HIGH SCHOOLS

CHARTER SCHOOL: ADDRESS:
MAGNET SCHOOL: CITY, STATE, ZIP: Portland,
AREA DESCRIPTION: 11-City: Large PHONE: DISTANCE: 0.19 mile(s) GRADES:
TITLE ONE:
CHARTER SCHOOL: No ADDRESS:
Ave MAGNET SCHOOL: CITY, STATE, ZIP: Portland, OR 97201 AREA DESCRIPTION: 11-City: Large PHONE: (503)916-6288 DISTANCE: 1.28 mile(s) GRADES: Kindergarten - 5th Grade TITLE ONE: 2-No NAME:
CHARTER SCHOOL: No ADDRESS:
MAGNET SCHOOL: CITY, STATE, ZIP: Portland, OR 97225 AREA DESCRIPTION: 13-City: Small PHONE: (503)916-5690 DISTANCE: 4.23 mile(s) GRADES: 6th Grade - 8th Grade TITLE ONE: 2-No NAME:
CHARTER SCHOOL: ADDRESS: 1615
Ave MAGNET SCHOOL: CITY, STATE, ZIP: Portland, OR 97201 AREA DESCRIPTION: 11-City: Large PHONE: DISTANCE: 0.51 mile(s) GRADES: 9th grade - 12th grade TITLE ONE: NAME: Lincoln
CHARTER SCHOOL: No ADDRESS:
St MAGNET SCHOOL: CITY, STATE, ZIP: Portland, OR 97205 AREA DESCRIPTION: 11-City: Large PHONE: (503)916-5200 DISTANCE: 1 07 mile(s) GRADES: 9th Grade - 12th Grade TITLE ONE: 2-No NAME:
CHARTER SCHOOL: No ADDRESS:
Ave MAGNET SCHOOL: CITY, STATE, ZIP: Portland, OR 97202 AREA DESCRIPTION: 11-City: Large PHONE: (503)916-5120 DISTANCE: 1.78 mile(s) GRADES: 9th Grade - 12th Grade TITLE ONE: 2-No
NAME: The International School
025 Sw Sherman St
OR 97201
Prekindergarten - 5th grade
NAME: Ainsworth Elementary School
2425 Sw Vista
West Sylvan Middle School
8111 Sw West Slope Dr
St Marys Academy
Sw 5Th
High School
1600 Sw Salmon
Cleveland High School
3400 Se 26Th

OREGON AT-A-GLANCE DISTRICT PROFILE

Portland SD 1J

SUPERINTENDENT: Guadalupe Guerrero | 501 N Dixon St, Portland 97227 | 503-916-2000 Students We

44,393

Start Strong

Grades

REGULAR

Students who attended more than 90% of their enrolled school days. 71%

Grade 3

ENGLISH LANGUAGE ARTS

Students meeting state grade-level expectations.

2021-22

Academic Progress

Grades 3-8

INDIVIDUAL STUDENT PROGRESS

Year-to-year progress in English language arts and mathematics. Data not available in 2021-22

High School Success

Grade 9

ON-TRACK TO GRADUATE

Students earning one-quarter of graduation credits in their 9th grade year.

Grade 12

ON-TIME GRADUATION

Students earning a diploma within four years. Cohort includes students who were first-time ninth graders in 2017-18 graduating in 2020-21

District Goals

90% Oregon average

State Goals

84% Oregon average 81%

At Portland Public Schools, our goals are to provide safe, student-centered learning experiences by utilizing differentiated teaching and tools for the success of all students. We collaborate to support a primary focus on teaching and learning and the creation of dynamic, joyful learning environments. We strive to engage all students, their families and the community at large. We are fundamentally committed to social justice and to closing student achievement gaps.

The Oregon Department of Education is partnering with school districts and local communities to ensure a 90% on-time, four year graduation rate by 2025. To progress toward this goal, the state will prioritize efforts to improve attendance, provide a wellrounded education, invest in implementing culturally responsive practices, and promote continuous improvement to close opportunity and achievement gaps for historically and currently underserved students.

Student Enrollment
Serve
Indian/Alaska Native Students <1% Teachers <1% Asian Students 6% Teachers 5% Black/African American Students 8% Teachers 4% Hispanic/Latino Students 17% Teachers 9% Multiracial Students 12% Teachers 4% Native Hawaiian/Pacific Islander Students 1% Teachers <1% White Students 56% Teachers 78% Ever English Learners 14%
Lunch >95% *<10 students
data unavailable
DEMOGRAPHICS American
Languages Spoken 103 Students with Disabilities 17% Mobile Students 15% Free/ Reduced Price
or
K-2
ATTENDERS
Oregon average 65%
56% Oregon average 40%
MATHEMATICS
Grade 8
38% Oregon
27%
Students meeting state grade-level expectations.
average
83%
District Website: www.pps.net Eligibility for Free/Reduced Price Lunch expanded in 2020-21, for more information please visit: www.oregon.gov/ode/schools-and-districts/reportcards/reportcards/Pages/Accountability-Measures.aspx

Our Staff (rounded FTE)

2,767 Teachers

64 Licensed Librarians

55 Psychologists

81%

of licensed teachers with more than 3 years of experience

OREGON AT-A-GLANCE DISTRICT PROFILE CONTINUED 2021-22 Portland SD 1J
210 Administrators
Counselors
654 Educational assistants 170
%
Outcomes Grades K-2 REGULAR ATTENDERS American Indian/Alaska Native 28% Asian 82% Black/African American 50% Hispanic/Latino 56% Multiracial 71% Native Hawaiian/Pacific Islander 31% White 78% Free/Reduced Price Lunch 71% Ever English Learner 63% Students with Disabilities 64% Migrant 80% Homeless 23% Students in Foster Care 53% Talented and Gifted 85% Female 71% Male 71% Non-Binary 79% Grade 3 ENGLISH LANGUAGE ARTS 19% 50% 17% 31% 57% 21% 69% 56% 19% 38% <5% 6% <10 students or data unavailable 91% 60% 52% 77% Grades 3-8 INDIVIDUAL STUDENT PROGRESS Grade 8 MATHEMATICS American Indian/Alaska Native <10 students or data unavailable Asian 50% Black/African American 7% Hispanic/Latino 16% Multiracial 44% Native Hawaiian/Pacific Islander <5% White 47% Free/Reduced Price Lunch 38% Ever English Learner 17% Students with Disabilities 16% Migrant 6% Homeless 8% Students in Foster Care <10 students or data unavailable Talented and Gifted 79% Female 37% Male 39% Non-Binary 34% Grade 9 ON-TRACK TO GRADUATE 92% >95% 76% 82% 89% 80% 95% 90% 83% 82% <10 students or data unavailable 64% 62% >95% 92% 89% 76% Grade 12 ON-TIME GRADUATION 50% 93% 76% 75% 84% 73% 89% 78% 79% 69% 47% 51% 38% >95% 86% 83% Coming in 2022-23 Data are suppressed to protect confidential student information. Seismic Safety: http://www.oregongeology.org/sub/projects/rvs/activity-updates/status.html

OREGON AT-A-GLANCE SCHOOL PROFILE

Ainsworth Elementary School

PRINCIPAL: Andrew Johnson | GRADES: K-5 | 2425 SW Vista Ave, Portland 97201 | 503-916-6288

REGULAR ATTENDERS

Students who attended more than 90% of their enrolled school days. 84%

Academic Success

ENGLISH

MATHEMATICS

Students meeting state grade-level expectations.

2021-22

Academic Progress

INDIVIDUAL STUDENT PROGRESS

Year-to-year progress in English language arts and mathematics.

School Goals

Our focus is on literacy and math fluency, with the aim of refining our instructional strategies and providing all students with the skills they need to be ready to succeed in college and careers. We strive to provide a welcoming environment and equitable opportunities for students of all races, genders, and home languages. We encourage you to contact us with any questions, concerns, or information that will help us ensure success for your students.

State Goals

The Oregon Department of Education is partnering with school districts and local communities to ensure a 90% ontime, four year graduation rate by 2025. To progress toward this goal, the state will prioritize efforts to improve attendance, provide a well-rounded education, invest in implementing culturally responsive practices, and promote continuous improvement to close opportunity and achievement gaps for historically and currently underserved students.

Data not available in 2021-22

SCIENCE

Students meeting state grade-level expectations.

Safe & Welcoming Environment

We work hard to make our school a place where all students and families feel welcome and included. We celebrate our community’s diversity and we honor this diversity in our learning activities. We understand how important it is to keep our students feeling safe, both physically and emotionally, when they are with us.

Students We Serve Student Enrollment
DEMOGRAPHICS
Native Students 1% Teachers 0% Asian Students 6% Teachers 0% Black/African American Students 1% Teachers 0% Hispanic/Latino Students 20% Teachers 26% Multiracial Students 10% Teachers 6% Native Hawaiian/Pacific Islander Students 0% Teachers 0% White Students 62% Teachers 68% Ever English Learners
Languages Spoken 12 Students
Disabilities
Free/
Price Lunch
*<10 students or data unavailable
CLASS SIZE Median
23 Oregon average 22
567
American Indian/Alaska
11%
with
11% Required Childhood Vaccinations 95%
Reduced
>95%
School Environment
class size.
Oregon
average 64%
state grade-level expectations. 77% Oregon average 44%
LANGUAGE ARTS Students meeting
72%
36%
Oregon average
59% Oregon average 31%
School Website: www.pps.net/schools/ainsworth Eligibility for Free/Reduced Price Lunch expanded in 2020-21, for more information please visit: www.oregon.gov/ode/schools-and-districts/reportcards/reportcards/Pages/Accountability-Measures.aspx

Our

OREGON AT-A-GLANCE SCHOOL PROFILE CONTINUED

Ainsworth Elementary School

REGULAR ATTENDERS

28

ENGLISH LANGUAGE ARTS

About Our School BULLYING, HARASSMENT, AND SAFETY POLICIES

Portland Public Schools has created policies to help our schools provide safe environments for every student. This includes teaching students and staff about bullying and harassment, and providing methods to report and respond to any of these incidents. We have a PPS threat assessment team to help address reports of safety concerns. We also support the district-wide implementation of Positive Behavioral Interventions and Supports (PBIS), and Restorative Justice practices through our Multi-tiered System of Supports (MTSS) department.

EXTRACURRICULAR ACTIVITIES

Our school offers a variety of extracurricular activities. Check our website for details about specific activities.

PARENT ENGAGEMENT

Our school offers several meetings each year where we invite families to attend. The meetings are to discover what your children are learning at school, to see examples of their good work, and to learn ways that you can help them succeed at school. We will inform you of these school events and celebrations through our newsletters and other media. Please check our website for details about these events.

COMMUNITY ENGAGEMENT

We appreciate our community neighbors and want them to feel welcome to join us in supporting the success of our students. Please contact us if you and your community organization are interested in providing support, and we will be happy to talk with you about options.

2021-22
Staff
(rounded FTE)
Teachers
Educational assistants <1 Counselors/ Psychologists Average teacher retention rate
% of licensed teachers with more than 3
5
89%
years of experience 77% Same principal in the last 3 years Yes Outcomes
American Indian/Alaska Native <10 students or data unavailable Asian 91% Black/African American <10 students or data unavailable Hispanic/Latino 78% Multiracial 87% Native Hawaiian/Pacific Islander <10 students or data unavailable White 84% Free/Reduced Price Lunch 84% Ever English Learner 71% Students with Disabilities 83% Migrant <10 students or data unavailable Homeless <10 students or data unavailable Students in Foster Care <10 students or data unavailable Talented and Gifted 91% Female 86% Male 82% Non-Binary <10 students or data unavailable
<10 students or data unavailable 83% <10 students or data unavailable 69% 80% <10 students or data unavailable 77% 77% 28% 61% <10 students or data unavailable <10 students or data unavailable <10 students or data unavailable >95% 82% 73% <10 students or data unavailable MATHEMATICS <10 students or data unavailable 89% <10 students or data unavailable 56% 74% <10 students or data unavailable 74% 72% 28% 58% <10 students or data unavailable <10 students or data unavailable <10 students or data unavailable >95% 71% 73% <10 students or data unavailable
Data are suppressed to protect confidential student information. For more information please visit:
www.oregon.gov/ode/schools-and-districts/reportcards/reportcards/Pages/Accountability-Measures.aspx

OREGON AT-A-GLANCE SCHOOL PROFILE

West Sylvan Middle School

PRINCIPAL: Jill Hunt | GRADES: 6-8 | 8111 SW West Slope Dr, Portland 97225 | 503-916-5690

REGULAR ATTENDERS

Students who attended more than 90% of their enrolled school days.

2021-22

Academic Progress

INDIVIDUAL STUDENT PROGRESS

Year-to-year progress in English language arts and mathematics.

Academic Success

ENGLISH

MATHEMATICS

Students meeting state grade-level expectations. 60% Oregon average 28%

School Goals

Our focus is on literacy and math fluency, with the aim of refining our instructional strategies and providing all students with the skills they need to be ready to succeed in college and careers. We strive to provide a welcoming environment and equitable opportunities for students of all races, genders, and home languages. We encourage you to contact us with any questions, concerns, or information that will help us ensure success for your students.

State Goals

The Oregon Department of Education is partnering with school districts and local communities to ensure a 90% ontime, four year graduation rate by 2025. To progress toward this goal, the state will prioritize efforts to improve attendance, provide a well-rounded education, invest in implementing culturally responsive practices, and promote continuous improvement to close opportunity and achievement gaps for historically and currently underserved students.

Data not available in 2021-22

SCIENCE

Students meeting state grade-level expectations. 45% Oregon average 28%

Safe & Welcoming Environment

We work hard to make our school a place where all students and families feel welcome and included. We celebrate our community’s diversity and we honor this diversity in our learning activities. We understand how important it is to keep our students feeling safe, both physically and emotionally, when they are with us.

Students We Serve Student Enrollment
DEMOGRAPHICS American Indian/Alaska Native Students 1% Teachers 0% Asian Students 9% Teachers 5% Black/African American Students 4% Teachers 0% Hispanic/Latino Students 11% Teachers 3% Multiracial Students 13% Teachers 7% Native Hawaiian/Pacific Islander Students <1% Teachers 0% White Students 62% Teachers 85% Ever English Learners 6% Languages Spoken 22 Students with Disabilities 11%
Childhood Vaccinations
Free/
Price Lunch
*<10 students or data unavailable
Environment CLASS SIZE Median class size. 26 Oregon average 22
728
Required
94%
Reduced
>95%
School
Oregon average
76%
64%
state grade-level expectations. 71% Oregon average 44%
LANGUAGE ARTS Students meeting
School Website: www.pps.net/schools/east-west-sylvan Eligibility for Free/Reduced Price Lunch expanded in 2020-21, for more information please visit: www.oregon.gov/ode/schools-and-districts/reportcards/reportcards/Pages/Accountability-Measures.aspx

Our

OREGON AT-A-GLANCE SCHOOL PROFILE CONTINUED 2021-22

West Sylvan Middle School

Outcomes

REGULAR ATTENDERS

ENGLISH LANGUAGE ARTS

90%

About Our School BULLYING, HARASSMENT, AND SAFETY POLICIES

Portland Public Schools has created policies to help our schools provide safe environments for every student. This includes teaching students and staff about bullying and harassment, and providing methods to report and respond to any of these incidents. We have a PPS threat assessment team to help address reports of safety concerns. We also support the district-wide implementation of Positive Behavioral Interventions and Supports (PBIS), and Restorative Justice practices through our Multi-tiered System of Supports (MTSS) department.

EXTRACURRICULAR ACTIVITIES

Our school offers a variety of extracurricular activities. Check our website for details about specific activities.

PARENT ENGAGEMENT

Our school offers several meetings each year where we invite families to attend. The meetings are to discover what your children are learning at school, to see examples of their good work, and to learn ways that you can help them succeed at school. We will inform you of these school events and celebrations through our newsletters and other media. Please check our website for details about these events.

COMMUNITY ENGAGEMENT

We appreciate our community neighbors and want them to feel welcome to join us in supporting the success of our students. Please contact us if you and your community organization are interested in providing support, and we will be happy to talk with you about options.

Staff
FTE)
Teachers
Educational assistants
Counselors/ Psychologists Average teacher retention rate
% of licensed teachers
more than
(rounded
47
5
3
with
3 years of experience 80% Same principal in the last 3 years No
American Indian/Alaska Native <10 students or data unavailable Asian 93% Black/African American 65% Hispanic/Latino 68% Multiracial 75% Native Hawaiian/Pacific Islander <10 students or data unavailable White 76% Free/Reduced Price Lunch 76% Ever English Learner 91% Students with Disabilities 53% Migrant <10 students or data unavailable Homeless <10 students or data unavailable Students in Foster Care <10 students or data unavailable Talented and Gifted 84% Female 76% Male 76% Non-Binary <10 students or data unavailable
<10 students or data unavailable 83% 46% 49% 74% <10 students or data unavailable 75% 71% 56% 30% <10 students or data unavailable <10 students or data unavailable <10 students or data unavailable 92% 81% 62% <10 students or data unavailable MATHEMATICS <10 students or data unavailable 83% 17% 34% 62% <10 students or data unavailable 64% 60% 54% 22% <10 students or data unavailable <10 students or data unavailable <10 students or data unavailable 91% 61% 58% <10 students or data unavailable
Data are suppressed to protect confidential student information. For more information please visit: www.oregon.gov/ode/schools-and-districts/reportcards/reportcards/Pages/Accountability-Measures.aspx

1,450

OREGON AT-A-GLANCE SCHOOL PROFILE

Lincoln High School

PRINCIPAL: Peyton Chapman | GRADES: 9-12 | 1750 SW Salmon St., Portland 97205 | 503-916-5200

REGULAR ATTENDERS

Students who attended more than 90% of their enrolled school days.

2021-22

Academic Progress ON-TRACK

Students earning one-quarter of graduation credits in their 9th grade year.

Academic Success ON-TIME

Students earning a diploma within four years. Cohort includes students who were first-time ninth graders in 2017-18 graduating in 2020-21

FIVE-YEAR COMPLETION

Students earning a high school diploma or GED within five years. Cohort Includes students who were firsttime ninth graders in 2016-17 finishing in 2020-21

COLLEGE GOING

Students enrolling in a two or four year college within 16 months of completing high school in 201920. Data from the National Student Clearinghouse.

School Goals

Our focus is on literacy and math fluency, with the aim of refining our instructional strategies and providing all students with the skills they need to be ready to succeed in college and careers. We strive to provide a welcoming environment and equitable opportunities for students of all races, genders, and home languages. We encourage you to contact us with any questions, concerns, or information that will help us ensure success for your students.

98% Oregon average 88%

State Goals

The Oregon Department of Education is partnering with school districts and local communities to ensure a 90% ontime, four year graduation rate by 2025. To progress toward this goal, the state will prioritize efforts to improve attendance, provide a well-rounded education, invest in implementing culturally responsive practices, and promote continuous improvement to close opportunity and achievement gaps for historically and currently underserved students.

86% Oregon average 56%

Safe & Welcoming Environment

We work hard to make our school a place where all students and families feel welcome and included. We celebrate our community’s diversity and we honor this diversity in our learning activities. We understand how important it is to keep our students feeling safe, both physically and emotionally, when they are with us.

Serve Student Enrollment
Students We
DEMOGRAPHICS American Indian/Alaska Native Students <1% Teachers 0% Asian Students 9% Teachers 4% Black/African American Students 2% Teachers 0% Hispanic/Latino Students 12% Teachers 8% Multiracial Students 12% Teachers 2% Native Hawaiian/Pacific Islander Students <1% Teachers 0% White Students 65% Teachers 86% Ever English Learners
31
6%
95% Free/
Price Lunch >95% *<10 students or data unavailable
6% Languages Spoken
Students with Disabilities
Required Childhood Vaccinations
Reduced
CLASS SIZE
School Environment
26.5 Oregon average 22
Median size of classes in core subjects.
68% Oregon average 64%
GRADUATE
TO
Oregon average 83%
>95%
GRADUATION
96% Oregon average 81%
School Website: www.pps.net/schools/lincoln Eligibility for Free/Reduced Price Lunch expanded in 2020-21, for more information please visit: www.oregon.gov/ode/schools-and-districts/reportcards/reportcards/Pages/Accountability-Measures.aspx

About Our School

ADVANCED COURSEWORK

Most high schools in Portland Public Schools offer Advanced Placement or International Baccalaureate courses in several subject areas. In addition, students have the option to earn college credit for some classes.

ON-TRACK TO

Coming in 2022-23

CAREER & TECHNICAL EDUCATION

District-wide we have 60 state-approved CTE programs of study. Career clusters include Architecture and Construction, Health Services, Information Technology, Manufacturing, and others. As part of these programs, we facilitate career learning experiences for students such as guest speakers, field trips, job shadows, etc. Visit our CTE web page for additional information: https://www.pps.net/Domain/190

EXTRACURRICULAR ACTIVITIES

Our school offers a variety of extracurricular activities. Check our website for details about specific activities.

PARENT & COMMUNITY ENGAGEMENT

Our school offers several meetings each year where we invite families to attend. The meetings are to discover what your children are learning at school, to see examples of their good work, and to learn ways that you can help them succeed at school. We will inform you of these school events and celebrations through our newsletters and other media. Please check our website for details about these events. We appreciate our community neighbors and want them to feel welcome to join us in supporting the success of our students.

Our Staff (rounded FTE) 73 Teachers 2 Educational assistants 6 Counselors/ Psychologists Average teacher retention rate 90% % of licensed teachers with more than 3 years of experience
Same principal in the last 3 years
Outcomes REGULAR ATTENDERS American Indian/Alaska Native <10 students or data unavailable Asian 81% Black/African American 50% Hispanic/Latino 61% Multiracial 63% Native Hawaiian/Pacific Islander <10 students or data unavailable White 69% Free/Reduced Price Lunch 68% Ever English Learner 68% Students with Disabilities 60% Migrant <10 students or data unavailable Homeless <10 students or data unavailable Students in Foster Care <10 students or data unavailable Talented and Gifted 76% Female 65% Male 72% Non-Binary 47%
OREGON AT-A-GLANCE SCHOOL PROFILE CONTINUED 2021-22 Lincoln High School
91%
Yes
GRADUATE <10 students or data unavailable >95% <10 students or data unavailable 95% >95% <10 students or data unavailable >95% >95% 89% 92% <10 students or data unavailable <10 students or data unavailable <10 students or data unavailable >95% >95% >95% <10 students or data unavailable ON-TIME GRADUATION <10 students or data unavailable >95% <10 students or data unavailable 86% >95% <10 students or data unavailable >95% 80% 77% 86% <10 students or data unavailable <10 students or data unavailable <10 students or data unavailable >95% >95% 93%
Data are suppressed to protect confidential student information. For more information please visit:
www.oregon.gov/ode/schools-and-districts/reportcards/reportcards/Pages/Accountability-Measures.aspx

652,503 $40,146 35 49.54% 50.46%

 Portland

 David Douglas

 Reynolds

HOUSING

 Centennial

 Parkrose

 Riverdale

 53.75% of homes owner occupied

 46.25% of homes rented

POPULATION DENSITY

 4,375.2 inhabitants per sq. mile

 265,439 housing units at an average density of 1,989.4 per square mile

HISTORY

AGE DEMOGRAPHIC

 21.1% under age 18

 10.3% between ages 18 to 24

 34.7% between ages 25 to 44

 22.4% between ages 45 to 64

 11.6% above age 65

CITY QUICK FACTS

 Largest city in Oregon

 145 square miles

 50 feet elevation

 25th most populous city in the US

 Highest Average Temperature 81.1

 Lowest Average Temperature 35.2

POPULATION 2020 CENSUS DATA MEDIAN INCOME 2010 CENSUS DATA MEDIAN AGE 2010 CENSUS DATA MALE 2010 CENSUS DATA FEMALE 2010 CENSUS DATA

METRO AREA BASE MAP

L O C A L B U S I N E S S E S

Car Dealer Name Address Telephone Distance smart center of Portland 1605 SW Naito Pkwy, Portland, OR 97201, USA (971) 340-4592 0 17 miles RH Motors Luxury Car Dealership Portland | Luxury Car Dealer Portland | Luxury Used Car Dealership Portland 1455 NW Irving St, Portland, OR 97209, USA (503) 545-0003 0.19 miles Auto Buy Sell Directory 1211 SW 5th Ave, Portland, OR 97204, USA (253) 507-0966 0 37 miles Choumane Import/Export 2505 SE 11th Ave #225, Portland, OR 97202, USA (503) 804-9304 0.56 miles Car Repair Name Address Telephone Distance Speed's Auto Body 50 SE Main St, Portland, OR 97214, USA (503) 238-3386 0 33 miles European Auto Centre 2205 SW 6th Ave, Portland, OR 97201, USA (503) 221-7747 0.34 miles Burback Motors Inc 71 SE Main St, Portland, OR 97214, USA (503) 236-1737 0 36 miles Re-Born Automotive, Inc 1800 SE Martin Luther King Jr Blvd, Portland, OR 97214, USA (503) 231-4947 0 37 miles Car Wash Name Address Telephone Distance Washman Car wash 416 SE Clay St, Portland, OR 97214, USA (503) 255-9111 0 39 miles Uptown Auto Detail 1222 SW 17th Ave, Portland, OR 97205, USA (503) 222-7378 0.69 miles Westside Detail 1610 NW Couch St, Portland, OR 97209, USA (503) 297-3252 0 78 miles Kiss Car Wash 1909 W Burnside St, Portland, OR 97209, USA (503) 248-0601 0 84 miles

L O C A L B U S I N E S S E S

Gas Station Name Address Telephone Distance Chevron 1967 SW 4th Ave, Portland, OR 97201, USA (503) 224-5353 0 26 miles Shell 2800 SW Sam Jackson Park Rd, Portland, OR 97201, USA (503) 228-3239 0.49 miles PetroCard Pacific Pride 635 SE 7th Ave, Portland, OR 97214, USA (800) 950-3835 0.62 miles ARCO 1110 SE Powell Blvd, Portland, OR 97202, USA (503) 236-0968 0 66 miles Storage Name Address Telephone Distance Extra Space Storage 685 SE Division Pl, Portland, OR 97202, USA (503) 925-6888 0.44 miles Rose City Self Storage & Wine Vaults 111 SE Belmont St, Portland, OR 97214, USA (503) 234-1400 0.46 miles A-1 Self Storage 615 SE Main St, Portland, OR 97214, USA (971) 285-3714 0.49 miles Portland Storage Company 215 SE Morrison St, Portland, OR 97214, USA (503) 230-0405 0.51 miles Insurance Agency Name Address Telephone Distance Breckenridge Insurance Services 1930 S River Dr # 404, Portland, OR 97201, USA (503) 946-8301 0 01 miles McGriff Insurance Services 1800 SW 1st Ave Suite 400, Portland, OR 97201, USA (503) 943-6621 0.15 miles Joseph H Herrle & Associates 1800 SW 1st Ave #280, Portland, OR 97201, USA (503) 221-5403 0 15 miles J B Nibley Insurance, Inc 1800 SW 1st Ave #10, Portland, OR 97201, USA (503) 221-5420 0 16 miles

L O C A L B U S I N E S S E S

Moving Company Name Address Telephone Distance All Service Moving 66 SE Morrison St, Portland, OR 97214, USA (503) 610-3100 0 46 miles All America Moving Company 701 SE Woodward St, Portland, OR 97202, USA (503) 232-6683 0.51 miles A to Z Moving 3219 SE Milwaukie Ave, Portland, OR 97202, USA (503) 777-3201 0.66 miles Moving Fellows 22 NE 2nd Ave, Portland, OR 97232, USA (503) 388-5759 0 73 miles Painter Name Address Telephone Distance PORTLAND PAINTING & RESTORATION 918 SE Stephens St, Portland, OR 97214, USA (503) 236-7003 0 52 miles SFW Painting LLC 111 SW 5th Ave, Portland, OR 97204, USA (503) 622-9568 0 62 miles Arrowhead Painting 4386 S Macadam Ave, Portland, OR 97239, USA (503) 294-3970 0.74 miles Cascade Painting and Restoration 2340 SE Gladstone St, Portland, OR 97202, USA (503) 936-3255 1.14 miles Plumber Name Address Telephone Distance Best Portland Plumbers 1819 Southwest 5th Avenue #280, Academic and Student Recreation Center, Portland, OR 97201, USA (503) 208-9841 0.30 miles Rescue Rooter / Jack Howk Portland 1650 SE 3rd Ave #203, Portland, OR 97214, USA (503) 850-3122 0.36 miles Clog Pro Plumbing & Drain 833 SE Main St Mailbox 210, Portland, OR 97214, USA (503) 433-2949 0 56 miles Craig Anderson Plumbing 2730 SE 15th Ave, Portland, OR 97202, USA (503) 232-1060 0 72 miles

L O C A L B U S I N E S S E S

Post Office Name Address Telephone Distance United States Postal Service 101 SW Madison St, Portland, OR 97204, USA (800) 275-8777 0 30 miles Old Sellwood Post Office (1950- 62) 7215 SE Milwaukie Ave, Portland, OR 97202, USA 1.71 miles United States Postal Service Delivery Carrier Unit 8816 SE 17th Ave, Portland, OR 97202, USA (503) 232-9566 2.25 miles Bank Name Address Telephone Distance Umpqua Bank 1 SW Columbia St, Portland, OR 97258, USA (503) 973-5945 0 25 miles Summit Bank 222 SW Columbia St Suite 200, Portland, OR 97201, USA (971) 940-1911 0 26 miles U.S. Bank Branch 1810 SW 5th Ave, Entrance on, SW 4th Ave, Portland, OR 97201, USA (503) 821-4117 0.27 miles Wells Fargo Bank 1300 SW 5th Ave Fl 2, Portland, OR 97201, USA (971) 978-4144 0.33 miles Beauty Salon Name Address Telephone Distance Brilliant Salon & Spa 1811 S River Dr #100, Portland, OR 97201, USA (503) 226-1336 0 06 miles Eurocuts - Boutique Beauty Salon in the Heart of Portland 230 SW Jefferson St, Portland, OR 97201, USA (503) 776-0577 0.29 miles Chic Salon and Spa Mirabella Tower, 3550 S Bond Ave #116, Portland, OR 97239, USA (503) 688-6589 0 45 miles MAGDolls Hair Parlour 1210 SE 7th Ave, Portland, OR 97214, USA (503) 233-8875 0 52 miles

L O C A L B U S I N E S S E S

Electrician Name Address Telephone Distance West Side Electric Company 1834 SE 8th Ave, Portland, OR 97214, USA (503) 231-1548 0 48 miles King of the Circuits 707 SW Washington St #5050, Portland, OR 97205, USA (503) 751-8503 0.59 miles Edison Electricians of Portland 115 SW Ash St Ste 202, Portland, OR 97204, USA (503) 616-2642 0 61 miles Squires Electric, Inc 820 SE Washington St, Portland, OR 97214, USA (503) 252-1609 0 66 miles Fire Station Name Address Telephone Distance Portland Fire and Rescue Station 21 5 SE Madison St, Portland, OR 97214, USA (503) 823-3700 0 28 miles Portland Fire Logistics Division 1135 SE Powell Blvd, Portland, OR 97202, USA (503) 823-4013 0.67 miles Portland Fire and Rescue Fire Station 23 2915 SE 13th Pl, Portland, OR 97202, USA 0 68 miles Engine Company Number 13 926 NE Weidler St, Portland, OR 97232, USA 1.25 miles Police Station Name Address Telephone Distance Portland Police Bureau 1111 SW 2nd Ave, Portland, OR 97204, USA (503) 823-3333 0.32 miles Campus Police 633 SW Montgomery St, Portland, OR 97201, USA (503) 725-4407 0 35 miles Oregon Fallen Badge Foundation 818 SW 3rd Ave, Portland, OR 97204, USA (503) 498-8501 0 41 miles Multnomah County Sheriff's Office 501 SE Hawthorne Blvd Suite 350, Portland, OR 97214, USA (503) 988-4300 0 44 miles

L O C A L B U S I N E S S E S

Hospital Name Address Telephone Distance Shriners Hospitals for Children 3101 SW Sam Jackson Park Rd, Portland, OR 97239, USA (503) 241-5090 0 45 miles Multnomah Pavilion Multnomah Pavilion, 3161 SW Pavilion Loop, Portland, OR 97239, USA (503) 494-8311 0.47 miles Portland Natural Childbirth 1201 SW 12th Ave, Portland, OR 97205, USA (971) 238-2388 0 56 miles VA Portland Health Care System 3710 SW US Veterans Hospital Rd, Portland, OR 97239, USA (503) 220-8262 0.57 miles Pharmacy Name Address Telephone Distance CVS Pharmacy 345 SW Harrison St, Portland, OR 97201, USA (503) 327-0234 0.25 miles Safeway Pharmacy 1030 SW Jefferson St, Portland, OR 97201, USA (503) 205-1860 0 48 miles Brooklyn Pharmacy 3131 SE Milwaukie Ave, Portland, OR 97202, USA (503) 234-3488 0.66 miles Rite Aid Pharmacy 600 NW 10th Ave, Portland, OR 97209, USA (503) 227-4835 0 87 miles Urgent Care Name Address Telephone Distance Northwest Acute Care Specialists 101 SW Main St Suite 940, Portland, OR 97204, USA (503) 464-9034 0 34 miles About Family Health 819 SE Morrison St, Portland, OR 97214, USA (503) 234-1120 0 63 miles ZOOM+Care 202 NW 13th Ave, Portland, OR 97209, USA (503) 684-8252 0.78 miles AFC Urgent Care NW Portland 25 NW 23rd Pl, Portland, OR 97210, USA (503) 305-6262 1 07 miles

L O C A L B U S I N E S S E S

Veterinary Care Name Address Telephone Distance Wildwood Veterinary Clinic 3734 S Moody Ave, Portland, OR 97239, USA (503) 477-4757 0 51 miles Rose City Veterinary Hospital 809 SE Powell Blvd, Portland, OR 97202, USA (503) 232-3105 0.55 miles Banfield Pet Hospital 940 SE 11th Ave Ste C, Portland, OR 97214, USA (503) 234-6017 0.67 miles Buckman Veterinary Clinic 720 SE 11th Ave, Portland, OR 97214, USA (503) 205-1480 0 71 miles Bowling Alley Name Address Telephone Distance Viking Gameroom, Billiards & Bowling Alley 1825 SW Broadway #36, Portland, OR 97201, USA (503) 725-4490 0 36 miles Grand Central Restaurant & Bowling Lounge 808 SE Morrison St, Portland, OR 97214, USA (503) 236-2695 0.62 miles AMF Pro 300 Lanes 3031 SE Powell Blvd, Portland, OR 97202, USA (503) 234-0237 1.27 miles Milwaukie Bowl 3056 SE Harrison St, Milwaukie, OR 97222, USA (503) 654-7719 2 95 miles Campground Name Address Telephone Distance Roamers Rest RV Park 17585 SW Pacific Hwy, Tualatin, OR 97062, USA (503) 692-6350 6.28 miles Vancouver RV Park 7603 NE 13th Ave, Vancouver, WA 98665, USA (360) 695-1158 7 29 miles RV Inn Style Resorts 7607 NE 26th Ave, Vancouver, WA 98665, USA (360) 360-0870 7.36 miles Barton Park 19009 SE Barton Park Rd, Boring, OR 97009, USA (503) 742-4414 9 65 miles

L O C A L B U S I N E S S E S

Gym Name Address Telephone Distance 24 Hour Fitness 1407 SW 4th Ave, Portland, OR 97201, USA (503) 224-2233 0 32 miles Root & Branch Integrative Fitness 1235 SE Grand Ave, Portland, OR 97214, USA (503) 308-9504 0.45 miles

L O C A L B U S I N E S S E S

Name Address Telephone Distance Orangetheory Fitness 3642 S River Pkwy, Portland, OR 97239, USA (503) 308-6782 0 49 miles CrossFit Primal Energy 2820 SE 8th Ave, Portland, OR 97202, USA (971) 319-1750 0.54 miles Library Name Address Telephone Distance Multnomah Law Library 1021 SW 4th Ave #442, Portland, OR 97204, USA (503) 988-3394 0 38 miles Portland State University Library 1875 SW Park Ave, Portland, OR 97201, USA (503) 725-5874 0 40 miles OHSU Library 3181 SW Sam Jackson Park Rd, Portland, OR 97239, USA (503) 494-3460 0 53 miles Rhine Street Public Library 3511 SE 9th Ave, Portland, OR 97202, USA 0.67 miles Movie Theater Name Address Telephone Distance Empirical Theater 1945 SE Water Ave Suite 100, Portland, OR 97214, USA (503) 797-4000 0 23 miles 5th Avenue Cinema 510 SW Hall St, Portland, OR 97201, USA (503) 725-3551 0 30 miles Regal Pioneer Place 340 SW Morrison St, Portland, OR 97204, USA (844) 462-7342 0.45 miles Northwest Film Center's Whitsell Auditorium 1219 SW Park Ave, Portland, OR 97205, USA (503) 221-1156 0.47 miles Park Name Address Telephone Distance South Waterfront Park 2001 S River Dr, Portland, OR 97201, USA 0.06 miles Portland Center Park 2309 SW 1st Ave, Portland, OR 97201, USA (503) 823-7529 0 20 miles South Hawthorne Waterfront Park 1403 S Harbor Way, Portland, OR 97201, USA 0 21 miles Park and trail 211 SE Caruthers St, Portland, OR 97214, USA 0 28 miles

L O C A L B U S I N E S S E S

Bakery Name Address Telephone Distance St Barbra Pinoy Bakery 2311 SW 6th Ave, Portland, OR 97201, USA (503) 444-7170 0 34 miles Orange & Blossom Patisserie 1717 SW Park Ave, Portland, OR 97201, USA 0.39 miles Great Harvest PDX Bread Co. 810 SW 2nd Ave, Portland, OR 97204, USA (503) 224-8583 0 40 miles Bluebird Bakers 2715 SE 8th Ave, Portland, OR 97202, USA (971) 990-9528 0 50 miles Bar Name Address Telephone Distance H-Bar at Hyatt House 2080 S River Dr, Portland, OR 97201, USA (503) 241-2775 0.03 miles Portland Sports Bar & Grill 1811 S River Dr #200, Portland, OR 97201, USA (503) 222-2027 0 05 miles Proof•Reader Restaurant & Bar 1401 SW Naito Pkwy, Portland, OR 97201, USA (503) 226-7600 0 21 miles Suki's Bar & Grill 2401 SW 4th Ave, Portland, OR 97201, USA (503) 226-1181 0 28 miles Coffee Name Address Telephone Distance Riverwalk Cafe 2100 S River Pkwy, Portland, OR 97201, USA (503) 241-0307 0.05 miles Little River Cafe 315 S Montgomery St #310, Portland, OR 97201, USA (503) 227-2327 0.11 miles Spella Caffè @ Harrison Square 1800 SW 1st Ave, Portland, OR 97201, USA 0 16 miles Press Release Coffee + Food 1401 SW Naito Pkwy, Portland, OR 97201, USA (503) 499-6333 0 22 miles

L O C A L B U S I N E S S E S

Meal Delivery Name Address Telephone Distance PizzaWingsRocknRoll PSU 540 SW College St, Portland, OR 97201, USA (971) 295-9090 0 31 miles Pizza delivery 1125 SE Grand Ave, Portland, OR 97214, USA 0 47 miles The Minnow 1140 SE 7th Ave STE 190, Portland, OR 97214, USA (503) 406-8438 0.54 miles Spork Bytes 901 SE Oak St Ste 106, Portland, OR 97214, USA (503) 821-7709 0 75 miles Restaurant Name Address Telephone Distance McCormick & Schmick's Harborside at the Marina 309 S Montgomery St, Portland, OR 97201, USA (503) 220-1865 0 07 miles YoMi Sushi 315 SW Montgomery St #150, Portland, OR 97201, USA (503) 294-3888 0.09 miles Il Terrazzo On The Esplanade Overlooking The Harbor 315 S, SW Montgomery St suite 340, Portland, OR 97201, USA (971) 302-6691 0.10 miles Little River Cafe 315 S Montgomery St #310, Portland, OR 97201, USA (503) 227-2327 0.11 miles Furniture Store Name Address Telephone Distance Asia America: Furniture Art and Antiques from every corner of Asia. 79 SE Taylor St #200, Portland, OR 97214, USA (503) 230-9322 0.40 miles Mad Furniture 304 SE Main St, Portland, OR 97214, USA (971) 533-1766 0 41 miles City Home - Bedroom Annex 134 SE Taylor St, Portland, OR 97214, USA (503) 889-0588 0 41 miles loveTEAK 139 SE Taylor St, Portland, OR 97214, USA (503) 539-0296 0 42 miles

L O C A L B U S I N E S S E S

Groceries Name Address Telephone Distance Safeway 1030 SW Jefferson St, Portland, OR 97201, USA (503) 205-1849 0 50 miles Target Grocery 939 SW Morrison St, Portland, OR 97205, USA (503) 290-5362 0 58 miles Market of Choice - Goat Blocks - SE Portland, OR 1090 SE Belmont St, Portland, OR 97214, USA (503) 236-6302 0 65 miles Whole Foods Market 1210 NW Couch St, Portland, OR 97209, USA (503) 525-4343 0 73 miles Home Improvement Name Address Telephone Distance Showroom & Slab Gallery 1855 SE 3rd Ave, Portland, OR 97214, USA 0.32 miles City Home - Bedroom Annex 134 SE Taylor St, Portland, OR 97214, USA (503) 889-0588 0.41 miles EnduraWood 1319 SE Martin Luther King Jr Blvd, Portland, OR 97214, USA (503) 233-7090 0 42 miles Spartan Shop 1210 SE Grand Ave, Portland, OR 97214, USA (503) 360-7922 0 47 miles Jewelry Store Name Address Telephone Distance Sahlia Jewelry 0315 SW Montgomery St #120, Portland, OR 97201, USA 0 07 miles Avenue Five Pacwest Center, 1211 SW 5th Ave # L16, Portland, OR 97204, USA (503) 228-7419 0.38 miles Gary Swank Jewelers 1309 SW Broadway, Portland, OR 97201, USA 0.41 miles Golden Gift 900 SW 5th Ave suite 93, Portland, OR 97204, USA (503) 227-6161 0 42 miles

L O C A L B U S I N E S S E S

Liquor Store Name Address Telephone Distance Portland Center Liquor Store 2075 SW 1st Ave, Portland, OR 97201, USA (503) 241-9354 0 19 miles Westward American Single Malt Pinot Noir Cask 65 SE Washington St, Portland, OR 97214, USA (503) 235-3174 0 53 miles Tenth Avenue Liquor Store 925 SW 10th Ave, Portland, OR 97205, USA (503) 227-3391 0.54 miles 11th Avenue Liquor 1601 SE 11th Ave, Portland, OR 97214, USA (503) 236-2076 0 58 miles Pet Store Name Address Telephone Distance Mud Bay 1616 NW Glisan St, Portland, OR 97209, USA (503) 894-8754 0.90 miles Nature's Pet Market NW Portland 111 NW 21st Ave, Portland, OR 97209, USA (503) 360-1244 0.94 miles Just Food For Dogs Inside Petco, 2303 W Burnside St, Portland, OR 97210, USA (503) 227-0755 1 02 miles Pet Loft 6333 S Macadam Ave #104, Portland, OR 97239, USA (503) 244-9538 1.26 miles Shoe Store Name Address Telephone Distance Foot Traffic 333 SW Taylor St, Portland, OR 97204, USA (503) 525-1243 0.41 miles Nordstrom Rack 245 SW Morrison St, Portland, OR 97204, USA (503) 299-1815 0 45 miles Nike Portland 638 SW 5th Ave, Portland, OR 97204, USA (503) 221-6453 0 49 miles BAIT 818 SW Broadway, Portland, OR 97205, USA (503) 224-0531 0 49 miles

L O C A L B U S I N E S S E S

Shopping Mall Name Address Telephone Distance Crown Plaza 1500 SW 1st Ave, Portland, OR 97201, USA 0 20 miles Pioneer Place 700 SW 5th Ave, Portland, OR 97204, USA (503) 228-5800 0 45 miles LV 700, 97204 SW 5th Ave #2060, Portland, OR 97204, USA 0 47 miles Portland Hop On 751 SW 6th Ave, Portland, OR 97204, USA (503) 241-7373 0 50 miles Airport Name Address Telephone Distance World Trade Center Heliport Portland, OR 97204, USA 0 36 miles PGE Service Center Heliport 3700 SE 17th Ave, Portland, OR 97202, USA 0.93 miles Portland International Airport 7000 NE Airport Way, Portland, OR 97218, USA (503) 460-4234 4 23 miles Airport Terminal Services Inc 7780 NE Air Cargo Rd, Portland, OR 97218, USA (503) 287-4313 4.28 miles Train Station Name Address Telephone Distance Union Station 800 NW 6th Ave, Portland, OR 97209, USA (800) 872-7245 0.93 miles

UPDATER

is totally optional!

Use Updater to:

Forward USPS mail

Reserve a mover online

Update your accounts

Connect utilities

Hook up home services

Search move-in special offers

Share moving announcements with friends & family

For more information on Updater, visit; https://wfgoregon.updater.com/sign-up

PORTLAND UTILITIES

Emergency Police/Medical/Fire

911 Poison Control

(800) 222-1222

www.aapcc.org

United States Postal Service

(800) 275-8777

www.usps.com

Xfinity

(800) 266-2278

www.xfinity.com

Ziply Fiber

(866) 699-4759

www.ziplyfiber.com

Verizon

(800) 483-4100

www.verizon.com

AT&T

(800) 288-2020

www.att.com

CenturyLink

(866) 963-6665

www.centurylinkcom

Dish Network

(800) 318-0572

www.dish.com

DIRECT TV

(800) 531-5000

www.directtv.com

The Oregonian

(503) 221-8240

www.oregonlive.com

TRI-MET

(503) 238-7433

www.trimet.org

Northwest Natural Gas

(800) 422-4012

www.nwnatural.com

Portland General Electric

(503) 228-6322

www.portlandgeneral.com

City of Portland Sewer District

(503) 823-7770

www.portlandoregon.gov/bes/

City of Portland Water District (503) 823-7770

www.portlandoregon.gov/water/

Arrow Sanitary (503) 257-3993

www.arrowsanitaryservice.com

Portland School District

(503) 916-2000

www.pps.k12.or.us

CHANGE OF ADDRESS

USPS

Below is the website if you would like to change your address online or you can visit your local post office, they will provide you with the change of address packet. https://moversguide.usps.com

Benefits you will receive when you change your address online are:

Exclusive mover savings coupons

Safe and secure with identity verification by a simple $100 charge to your credit or debit card

Email confirmation at the end of registration of your change of address

* Must have valid email address and credit card to register online

AUTO REGISTRATION AND DRIVER LICENSING

Below is the website if you would like to change your address online or you can visit your local DMV office.

Oregon Department of Transportation

DMV Services

1905 Lana Avenue NE Salem, OR 97314-0100

wwworegondmvcom/oregon/indexhtm

General DMV Information Contact: 503-299-9999

VOTERS REGISTRTION

TO REGISTER TO VOTE, YOU MUST BE:

A citizen of the USA

A resident of Oregon

A Legal Resident of Oregon State at least 18 years of age on or before the next election

HOW TO REGISTER

To register to vote online you will need an Oregon driver's license, permit or ID card number issued by the Oregon Driver and Motor Vehicle Services Division (DMV)

If you do not have an Oregon driver's license, permit or ID card, you can still use the online voter registration application. The information you enter will display on a voter registration card (PDF document) that you will need to print, sign and deliver to your county elections office to complete your registration.

REGISTRATION DEADLINE

A new registrant must submit their online registration by 11:59:59 p.m. Pacific Time on the 21st calendar day before an election to be eligible to vote in that election.

CHANGE OF ADDRESS

If you move to a new county, you must complete a new voter registration, otherwise you must request a transfer of your registration

Clackamas County Voter Registration: 503-655-8510

Multnomah County Voter Registration: 503-988-3720

Washington County Voter Registration: 503-846-5800

MOVING CHECKLIST

UTILITIES

Electric

NWNaturalGas

WaterDistrict

SewerDistrict

GarbageProvider

Cable/Satellite

Fuel(Propane)

PhoneServices

Internet

FINANCIAL

BanksandCreditUnions

CreditCardCompanies (includingdepartmentstorecreditcards)

Lenders

(Mortgage,HomeEquity,Auto,StudentLoans)

InsuranceCompanies

(Health,Renters,Auto,Home,Medical,Dental,Disability,Life)

Retirement

(Pensionplans,401K,SocialSecurity,VeteransAffairs)

Investments(InvestmentAgenciesandBrokers)

OnlineBillPayer

Paypal

GOVERNMENT

USPostOffice

DepartmentofMotorVehicles

(Obtainyourdriver’slicenseandchangevehicleregistration)

IRS

PassportOffice

VeteranAffairs

UnemploymentOffice

(Ifyouarecurrentlyreceivingunemploymentbenefits)

HEALTH

Physician Pharmacies

SERVICE PROVIDER

Childcare

Housecleaning Services

Delivery Services

Lawn Care Services

Veterinarian Pool Service

MEMBERSHIPS

Health Clubs

Membership Clubs(AAA or similar)

Community Groups (PTA, Neighborhood Associations, Civic Clubs)

Children’s Extracurricular Activities(Dance Classes, Music Lesson, Sports Clubs)

SUBSCRIPTIONS

Newspapers

Magazine(USPS will only forward 2 months)

Movie Subscriptions

Book or Music Clubs

OTHER

Friends and Family

Employers(typically notify the HR Department)

MOVING CHECKLIST

8 WEEK BEFORE YOU MOVE

InventorySheets:Createaninventorysheetofallyour belongingswhichneedtobemoved

ResearchMovingOptions:You’llneedtodecideifyoursisa do-it-yourselfmoveorifyou’llbeusingamovingcompany

RequestMovingQuote:Solicitmovingquotesfromasmany movingcompaniesandmoversaspossible Therecanbea largedifferencebetweenratesandserviceswithinmoving companies

DiscardUnnecessaryItems:Movingisagreattimefor riddingyourselfofunnecessaryitems Haveayardsaleor donateunnecessaryitemstocharity

PackingMaterial:Gathermovingboxesandpacking materialforyourmove

ContactInsuranceCompanies:You’llneedtocontactyour insuranceagenttocancel/transferyourinsurancepolicy

1 WEEK BEFORE YOU MOVE

YourChangeofAddress:Changeyouraddresswiththe USPS,DMV,FinancialInstitutions,Utilities,Government Offices,HealthCareServiceProviders,Memberships, SubscriptionsandInsuranceProvisions

BankAccounts:Transferorclosebankaccountsifchanging banks Makesuretohaveamoneyorderforpayingthe movingcompany

ServiceAutomobiles:Ifautomobilesaretobedrivenlong distance,you’llwanttohavethemservicedsoyouhavea trouble-freedrive

CancelServices:Notifyanyremainingserviceproviders (newspapers,lawnservices,etc)ofyourmove

TravelItems:Setasideallitemsyou’llneedwhiletraveling

Makesurethesearenotpackedonthemovingtruck

ContactUtilityCompanies:Setutilityturnoffdate,seek refundsanddepositsandnotifythemofyournewaddress

4 WEEK BEFORE YOU MOVE

StartPacking:Beginpackingallthingsdestinedforyournew location

ObtainYourMedicalRecords:Contactyourdoctor,physician, dentistandothermedicalspecialistswhomaycurrentlybe retaininganyofyourfamily’smedicalrecords Obtainthese recordsormakeplansforthemtobedeliveredtoyournew medicalfacilitiesifchanging Securityiscriticalofpersonal records

NoteFoodInventoryLevels:Checkyourcupboards, refrigeratorandfreezer Useupasmuchofyourperishable foodaspossible

SmallEngines:Servicesmallenginesforyourmoveby extractinggasandoilfromthemachines Thiswillreduce thatchancetocatchfireduringyourmove

ProtectJewelryandValuables:Transferyourjewelryand valuablestoasafetydepositbox;youdon’twantthemtobe lostorstolenduringyourmove

BorrowedandRentedItems:Returnitemsthatyoumay haveborrowedorrented Collectitemsborrowedtoothers

MOVING DAY

PlanYourItinerary:Makeplanstospendtheentiredayat thehouseoratleastuntilthemoversareontheirway Someonewillneedtobearoundtomakedecisions Make plansforkidsandpetstobeatasittersfortheday ReviewtheHouse:Oncethehouseisempty,checkthe entirehouse(closets,attic,basement,etc)toensureno itemsareleftornohomeissuesexist

DoubleCheckWithYourMover:Ensurethemoverhasthe newpropertyaddressandallofyourmostrecentcontact information,shouldtheyhaveanyquestionsduringyour move

VacateYourHome:Makesureutilitiesareoff,doorsand windowsarelockedandnotifyyourrealestateagentyou’ve vacatedtheproperty

QuestionsToAsk:Whereisthegaragedooropener?Where arethekeystothehouse,mailboxandotherlockablearea? Didyouretrieveallkeysfromneighborsandfriends?

8
4 1 *

THE HOME DEPOT (800) 466-3337

wwwhomedepotcom

Beaverton

(503) 469-4242

4401 SW 110th Ave

Beaverton, OR 97005

S Beaverton

(503) 646-1525

13700 NW Science Pk Dr

Portland 97229

Clackamas

(503) 774-6372

9300 SE 82nd Ave

Happy Valley, OR 97086

Hillsboro

(503) 693-9090

1950 SE Minter Bridge Rd

Hillsboro 97123

Jantzen Beach

(503) 289-9200

1728 N Tomahawk Island Dr Portland 97217

Oregon City

(503) 723-3181

2002 Washington St

Oregon City, OR 97045

E Portland

(503) 261-8543

10120 SE Washington St Portland 97216

NE Portland

(503) 252-0188

11633 NE Glen Widing Dr

Portland 97220

Sherwood

(503) 925-8447

20260 SW Pacific Hwy

Sherwood, OR 97140

Tigard

(503) 639-3500

14800 SW Sequoia Parkway

Tigard 97224

MOVING RESOURCES

THE HOME DEPOT CONTINUED

Troutdale

(503) 674-3944

25101 SE Stark St

Troutdale, OR 97060

LOWES (800) 466-3337

wwwlowescom

Hillsboro

(503) 844-6200

1951 SE 24th Ave

Hillsboro, OR 97123

Milwaukie

(503) 794-2500

13631 SE Johnson Rd.

Milwaukie 97222

Portland

(503) 737-3000

1160 N Hayden Meadows Dr Portland 97217

Tigard

(503) 624-2644

12615 SW 72nd Ave

Tigard, OR 97223

Wood Village (503) 667-1005

1000 NE Wood Village Blvd Wood Village, OR 97060

DONATION FACILITIES

Goodwill (800) 741-0186

locatorgoodwillorg

The Salvation Army

(800) 958-7825

wwwsalvationarmyusaorg

Value Village (800) 958-7825

wwwvaluevillagecom

MOVING TRUCK RENTALS

Budget (800) 462-8343

wwwbudgettruckcom

Penske (888) 996-5415

wwwpensketruckrentalcom

Ryder (800) 297-9337

wwwrydercom

U-Haul (800) 468-4285

wwwuhaulcom

STORAGE COMPANIES

NW Self Storage

wwwnwselfstorage

Public Storage (800) 906-0879

wwwpublicstoragecom

Pods (888) 309-8967

wwwpodscom

TRANSFER STATIONS

Garbage/Recycling

Metro Center (503) 234-3000

wwworegonmetrogov

6161 NW 61st Ave

Portland, OR 97210

Metro South (503) 234-3000

wwworegonmetrogov

2001 Washington St

Oregon City, OR 97045

AIRPORT

Portland International Airport (877) 793-4690

www.flypdx.com

AUTO & DRIVER REGISTRATION

DMV (503) 945-5000

wwwodotstateorus/dmv/

BUS SERVICE

C-Tran (360) 695-0123

wwwc-trancom

Greyhound (800) 231-2222

wwwgreyhoundcom

Tri-Met (503) 238-7433

wwwtri-metorg

CABLE TV & INTERNET

Verizon (888) 881-8161

wwwverizoncom

XFINITY (Comcast) (800) 934-6489

wwwcomcastcom

CITY CONTACT

Banks (503) 324-5112

www.cityofbanks.org

Beaverton

(503) 526-2222

wwwcibeavertonorus

Canby (503) 266-4021

wwwcicanbyorus

RESOURCE GUIDE

CITY CONTACT CONTINUED

Cornelius (503) 357-9112

www.ci.cornelius.or.us

Damascus (503) 658-8545

wwwcidamascusorus

Estacada (503) 630-8270

wwwcityofestacadaorg

Fairview (503) 665-7929

wwwcifairvieworus

Forest Grove (503) 359-3200

wwwciforest-groveorus

Gaston

(503) 985-3340

Gladstone (503) 656-5225

wwwcigladstoneorus

Gresham (503) 661-3000

wwwcigreshamorus

Happy Valley (503) 760-3325

wwwcihappy-valleyorus

Hillsboro (503) 681-6100

wwwhillsboro-oregongov

King City (503) 639-4082

www.ci.king-city.or.us

Lake Oswego (503) 635-0270

wwwcioswegoorus

Milwaukie (503) 786-7525

wwwcicityofmilwaukieorg

CITY CONTACT CONTINUED

Molalla (503) 829-6855

wwwcityofmolallacom

North Plains (503) 647-5555

wwwnorthplainsorg

Oregon City (503) 657-0891

wwwciorcityorus

Portland (503) 823-4000

wwwportlandonlinecom

River Grove (503) 639-6919

Sandy (503) 668-5533

wwwcisandyorus

Sherwood (503) 625-5522

wwwcisherwoodorus

Tigard (503) 639-4171

wwwcitigardorus

Troutdale (503) 665-5175

wwwcitroutdaleorus

Tualatin (503) 692-2000

www.tualatinoregon.gov

West Linn (503) 657-0331

wwwwestlinnoregongov

Wilsonville (503) 682-1011

wwwciwilsonvilleorus

Wood Village (503) 667-6211

wwwciwood-village-orus

COUNTY CONTACTS

Clackamas (503) 655-8011

www.co.clackamas.or.us

Taxation (503) 655-8671

Multnomah

(503) 248-3511

wwwcoclackamasorus

Taxation (503) 988-3326

Washington (503) 846-8611

wwwcoclackamasorus

Taxation (503) 846-8741

ELECTRICITY

Pacific Power (888) 221 7070

wwwpacificpowernet

Portland General (800) 542-8818

wwwportlandgeneralcom

HOSPITALS

Adventist Medical (503) 257-2500

wwwadventisthealthnwcom

Doernbecher Children’s Hospital

(503) 494-8311

wwwohsuedu

Legacy Good Samaritan (503) 413-4683

wwwlegacyhealthorg

Legacy Emanuel (503) 413-2200

www.legacyhealth.org

RESOURCE GUIDE

HOSPITALS CONTINUED

Legacy Meridian Park (503) 692-1212

www.legacyhealth.org

Legacy Mt Hood (503) 674-1122

wwwlegacyhealthorg

Kaiser Permanente Sunnyside (503) 813-2000

wwwkaiserpermanenteorg

Kaiser Permanente Westside (503) 813-2000

wwwkaiserpermanenteorg

OHSU (503) 494-8311

wwwohsuedu

Providence Milwaukie (503) 513-8300

wwwprovidenceorg

Providence Portland (503) 215-1111

www.providence.org

Providence St Vincent (503) 216-1234

wwwprovidenceorg

Providence Willamette Falls (503) 656-1631

wwwprovidenceorg

Shriner’s Hospital (503) 241-5090

wwwshrinershqorg

Tuality Community (503) 681-1111

wwwtualityorg

Tuality Forest Grove (503) 357-2173

www.tuality.org

NATURAL GAS

NW Natural (800) 422-4012

www.nwnatural.com

NEWSPAPERS

The Columbian (360) 694-3391

wwwcolumbiancom

The Oregonian (503) 221-8240

wwworegonlivecom

Willamette Weekly (503) 243-2122

wwwwweekcom

RECREATION

Convention Center (503) 235-7575

wwworegonccorg

Expo Center (503) 736-5200

wwwexpocenterorg

Mt Hood Meadows (503) 337-2222

wwwmthoodmeadowscom

OMSI (503) 797-4000

www.omsi.edu

Oregon Zoo (503) 266-1561

wwworegonzoocom

Portland International Raceway (503) 823-7223

wwwportlandracewaycom

Portland Art Museum (503) 266-2811

wwwpamorg

RESOURCE GUIDE

RECREATION CONTINUED

Providence Park (503) 553-5400

www.providenceparkpdx.com

Regal Cinemas (800) FANDANGO

wwwregalcinemascom

Moda Center (503) 797-9619

wwwrosequartercom

Willamette Jetboat (503) 231-1532

wwwwillamettejetcom

SHOPPING

Bridgeport Village (503) 968-1704

www.bridgeport-village.com

Cedar Hills Crossing (503) 643-6563

wwwcedarhillscrossingcom

Clackamas Town Center (503) 653-6913

wwwclackamastowncentercom

Columbia Gorge Outlets (503) 669-8060

wwwpremiumoutletscom/ columbiagorge

Lloyd Center (503) 282-2511

wwwlloydcentercom

Mall 205 (503) 255-5805

Pioneer Place (503) 228-5800

wwwpioneerplacecom

SHOPPING CONTINUED

Streets of Tanasbourne (503) 533-0561

www.streetsoftanasbourne.com

Washington Square (503) 369-8860

wwwshopwashingtonsquarecom

Woodburn Outlets (888) 664-SHOP

wwwwoodburncompanystorescom

TELEPHONE SERVICE

Verizon (800) 483-4100

wwwverizoncom

AT&T (800) 288-2020

www.att.com

TRANSFER STATIONS

Metro Center (503) 234-3000

wwworegonmetrogov

6161 NW 61st Ave

Portland, OR

Metro South

(503) 234-3000

wwworegonmetrogov

2001 Washington St Oregon City, OR

Clackamas County

(503) 668-8885

wwwwmnorthwestcom

19600 SE Canyon Valley Rd. Sandy, OR

VOTER REGISTRATION

Clackamas (503) 655-8510

Multnomah (503) 248-3720

Washington

(503) 846-5800

WATER BUREAU

Beaverton (503) 526-2257

Clackamas

(503) 722-9220

Gladstone (503) 656-5223

Gresham (503) 618-2373

Hillsboro (503) 681-6228

Lake Oswego (503) 635-0265

Milwaukie (503) 786-7525

Oregon City (503) 657-8151

Portland (503) 823-7770

Tigard (503) 639-1554

Tualatin (503) 692-2000

West Linn (503) 656-4261

Wilsonville (503) 682-1011

CYBER SECURITY

g p , g being sent to an outside account and never credited to the intended party

To protect and reduce your risk, WFG has implemented the following procedures for outgoing and incoming wires:

Outgoing Wire from WFG to seller or borrower for proceeds

In the escrow paperwork provided you will be asked to provide written instructions on how you want funds due you sent to you at the close of escrow If you choose to have the funds sent via wire transfer, WFG will contact you by phone to confirm the wire information provided.

Incoming Wires from the buyer and/or lender to WFG bank account

For funds that are to be wired to WFG for your transaction, we will send specific wire instructions to the remitting person via an encrypted email. We recommend you reach out to your WFG contact to confirm the wire instructions prior to remittance.

We look forward to processing your escrow transaction for you. We know that this can be a stressful time and we are here to assist you in any way we can to make this a good experience

http://nationalwfgnationaltitlecom/2016/04/05/obsess-cyber-security/

OWNERS TITLE INSURANCE

claims, or restrictions on the buyers property, other than the mortgage the buyer agrees to pay.

If the preliminary title search uncovers potential problems, a buyer can require that those problems be satisfactorily dealt with before closing on the home.

In addition, owner’s title insurance protects buyers against a myriad of risks that not even the most careful title search can uncover, including things such forged documents, undisclosed or missing heirs of a previous owner, fraud, will disputes, and unrecorded claims of many types.

Without owner’s title insurance, the legal costs to resolve such title claims could easily be in the tens of thousands of dollars and would have to be paid out of pocket by the buyer - not to mention the stress that such situations would cause to the buyer

Owner’s title insurance is one of the most affordable insurance policies a person can ever buy Unlike other forms of insurance, there is only a one-time fee at closing for the policy, which financially protects the buyer’s investment for as long as the buyer or the buyer’s heirs own the home.

So, if someone tells the buyer that owner’s title insurance is “optional”, that certainly does not mean that the buyer should not get it. Virtually every lender requires lender’s title insurance, but that insurance does not protect the buyer.

In order to safeguard the buyer’s investment in the property, which is possibly the most important investment the buyer will ever make, owner’s title insurance is absolutely critical.

Why it's important

WHAT IS ESCROW?

Both the buyer and seller rely on the escrow agent to carry out their written instructions relating to the transaction and to advise them if any of their instructions are not mutually consistent or cannot be carried out. If the instructions from all parties to an escrow are clearly drafted, the escrow officer can proceed on behalf of the buyer and seller without further consultation. This saves much time and facilitates the closing of the transaction.

TYPICAL ROLES IN THE CLOSING PROCESS

The Seller/Agent

Delivers a fully executed Purchase Sale Agreement to the escrow agent. Executes the paperwork necessary to close the transaction

The Buyer/Agent

Deposits collected funds required to close (in with the escrow agent

Approves the commitment for title insurance, or other items as called for by the Purchase Sale Agreement

Executes the paperwork and loan documents necessary to close the transaction

The Lender

Deposits loan documents to be executed by the buyer

Deposits the loan proceeds

Directs the escrow agent of the conditions under which the loan funds may be used

The Escrow Agent

Clears Title Obtains title insurance

Obtains payoffs and release documents for underlying loans on the property

Receives funds from the buyer and/or lender. Prepares vesting document affidavit on seller’s behalf

Prorates insurance, taxes, rents, etc

Prepares a final statement (often referred to as the “HUD Statement” or ”Settlement Statement”) for each party, indicating amounts paid in conjunction with the closing of your transaction

Forwards deed to the county for recording

Once the proper documents have been recorded, the escrow agent will distribute funds to the proper parties

In Summary

Escrow is the process that assembles and processes many of the components of a real estate transaction. The sale is officially closed when the new deed is recorded and funds are available to the seller, thus transferring ownership from the seller to the buyer

The escrow agent is a neutral third party acting on behalf of the buyer and seller.

WHAT IS TITLE?

About Title Insurance

Title is a bundle of rights in real property. Protecting purchasers and lenders against loss is accomplished by the issuance of a title insurance policy Usually, during a purchase transaction, the lender requests a policy (commonly referred to as the Lender’s Policy) while the buyers receive their own policy (commonly referred to as an Owner's Policy)

In short, the policy states that if the status of the title to a parcel of real property is other than as represented, and if the insured (either the owner or lender) suffers a loss as a result of a title defect, the insurer will reimburse the insured for that loss and any related legal expenses, up to the face amount of the policy, subject to exceptions and exclusions contained in the policy

Typically there are two policies issued. The Mortgagee’s Policy insures the lender for the amount of the loan. The Owner’s Policy insures the purchaser of the purchase price.

How is title insurance different from other types of insurance?

While the function of most other forms of insurance is risk assumption through the pooling of risks for losses arising out of unforeseen future events (such as sickness or accidents), the primary purpose of title insurance is to eliminate risks and prevent losses caused by defects in title arising out of events that have happened in the past To achieve this goal, title insurers perform an extensive search and examination of the public records to determine whether there are any adverse claims (title defects) attached to the subject property Said defects/claims are either eliminated prior to the issuance of a title policy

or their existence is excepted from coverage. Your policy is issued after the closing of your new home, for a one-time nominal fee, and is good for as long as you own the property

What’s involved in a title search? A title search is actually made up of three separate searches:

Chain of Title – History of the ownership of the subject property

Tax Search – The tax search reveals the status of the taxes and assessments

Judgment and Name Search – Searches for judgment and liens against the owners’ and purchasers’ names

Once the three searches have been completed, the file is reviewed by an examiner who determines:

Whether or not the Chain of Title shows that the party selling the property has the right to do so

The status of taxes for the subject property The Tax Search will also indicate the existence of any special assessments against the land and whether or not these assessments are current or past due

Whether there are any unsatisfied judgments on the Judgment and Name Search against the previous owners, sellers, or and purchasers.

Rights established by judgment decrees, unpaid federal income taxes and mechanic liens all may be prior claims on the property, ahead of the buyer’s or lender’s rights The title search will only uncover defects in title that are of public record, thus allowing the title company to work with the seller to clear up these issues and provide the new buyer with title insurance

In Summary

After the searches have been examined, the title company will issue a commitment, stating the conditions under which it will insure title The buyer, seller and the mortgage lender will proceed with the closing of the transaction after clearing up any defects in the title that have been uncovered by the search and examination

.

WHO PAYS WHAT IN OREGON

SELLER PAYS

TYPICAL COSTS

The following costs generally affect all transactions:

Escrow Fee - one-half of the fee, based on title company’s fee schedule

Recording Fees - based on county fee schedule

Title Premium - based on fixed statewide fee schedule

Real Estate Commission - based on agreement with Broker

Tax Prorate - to apportion taxes between parties as of date of closing

General Costs - as listed for each specific transaction, as requested by principals

Release fees for loan payoff(s)

LAND SALE CONTRACT TRANSACTION

Attorney Fee - optional, and is sometimes shared with purchaser

Collection Escrow Setup Fee - optional, and is often shared with purchaser

ASSIGNMENT OF CONTRACT FOR ASSUMPTION OF LOAN TRANSACTION

Any delinquent payments to bring contract or loan current

Prorate share of current month’s interest based on current rate

CONVENTIONAL, FHA, VA LOAN TRANSACTIONS

Any closing cost (not expenses of property or loan interest) negotiated on behalf of the purchaser, subject to lender’s approval

FHA, VA Loans - check with lender for any applicable seller costs

BUYER PAYS

TYPICAL COSTS

The following costs generally affect all transactions:

Escrow Fee - one-half of the fee, based on title company’s fee schedule

Recording Fees - based on county fee schedule

Fire Insurance Premium - mandatory when any lender is involved, including the seller’s lender

Tax Prorate - to apportion taxes between parties as of date of closing

General Costs - as listed for each specific transaction, as requested by the principals

LAND SALE CONTRACT TRANSACTION

Attorney Fee - optional, and is sometimes shared with seller

Collection Escrow Setup Fee - optional, and is sometimes shared with seller

Recording Fee - for contract or memorandum thereof

ASSIGNMENT OF CONTRACT FOR ASSUMPTION OF LOAN TRANSACTION

Assumption or Assignment

Next monthly payment due, if required by lender

Recording Fee - for Assumption/Assignment of Agreement, if required by lender

CONVENTIONAL, FHA, VA LOAN TRANSACTIONS

Lenders title insurance policy & endorsements, as required by lender

Loan Fee - as required by lender

Credit Report Fee - as required by lender

Appraisal Fee - as required by lender

Mortgage Insurance Premium - based on fee schedule and endorsements of lender

Prepaid Interest - if required by lender

VA Loans only - funding fee, if required by lender

FHA, VA, and some Conventional Loans - reserves for real property taxes, fire insurance and mortgage insurance

DISCLAIMER:Thisflyerisnotintendedtobeanall-inclusivelistoffeesandchargesoneverytransaction,butratheraguidetothemajorcostsofbuyingorselling realproperty WFGwouldbehappytoreviewandexplainyourclosingcostpriortofinalizingthetransactions

TITLE VESTING

Common ways to hold title to real property

ASANINDIVIDUAL

Anindividualmayholdtitleinhisorhernameonly,regardlessofwhetherornotmarried–eg “JaneSmith,an individual” Thatindividualthenownsallrightstotheproperty,whichcanbesoldortransferredtoothersviawill ortrust Whileadivorceispending,however,ifthepropertywasacquiredduringthemarriageitwilllikelybe treatedaspartofthemaritalestateandthusbesubjecttocourtauthority.

ASTENANTSBYTHEENTIRETY

Aconveyancetoahusbandandwifecreatesatenancybytheentirety–eg “JohnSmithandJaneSmith, husbandandwife,astenantsbytheentirety” Thiscreatesasurvivorshipestate,whichmeansthatifonespouse dies,his/herinterestwillautomaticallygotothesurvivingspouse.Ahusbandandwifemayalsotaketitleas tenantsincommon(discussedbelow)iftheintentiontoholdtitleinthatmannerisexpresslystated

ASTENANTSINCOMMON

Unlessaconveyanceexpresslyprovidesthatthepartiesintendtocreateasurvivorshipestate(discussedbelow), aconveyancetotwoormorepersonswhoarenotmarriedcreatesatenancyincommoninwhicheachhas (unlessotherwisestated)anequalundividedinterestintheproperty–eg “JohnSmithandRobertJones,as tenantsincommon,eachastoanundivided50%interest” Eachtenantincommonthenownsanundivided interestintheentireproperty,whichcanbesoldortransferredtoothersviawillortrust

ASASURVIVORSHIPESTATE

Twoormorepersonswhoarenotmarriedmayalsoholdtitleastenantsincommonwitharightofsurvivorship, aslongasthesurvivorshipdeclarationisexpresslycontainedinthedeed–eg “JohnSmithandRobertJones, notastenantsincommon,butwiththerightofsurvivorship” Thiscreatesasurvivorshipestate,whichmeans thatifonepartydies,his/herinterestwillautomaticallygotothesurvivorandcannotbesoldduringthelifetime ofortransferredviawillortrustbythepartywhodiesfirst

ASREGISTEREDDOMESTICPARTNERS

Registereddomesticpartnersmaytaketitleas(i)tenantsincommon–e.g.“JaneSmithandMaryJones, registereddomesticpartners,astenantsincommon,eachastoanundivided50%interest”,or(ii)ina survivorshipestatesimilartothatofatenancybytheentirety–eg “JaneSmithandMaryJones,asregistered domesticpartnerswithrightofsurvivorship”

ASASAMESEXMARRIEDCOUPLE

Samesexmarriedcouplesmaytaketitleas(i)tenantsincommon–eg “JohnSmithandRobertSmith,a marriedcouple,astenantsincommon,eachastoanundivided50%interest”,or(ii)inasurvivorshipestate similartothatofatenancybytheentirety–eg JohnSmithandRobertSmith,amarriedcouplewithrightof survivorship,or(iii)astenantsbytheentirety–eg “JohnSmithandRobertSmith,amarriedcouple,astenants bytheentirety”.

ASANENTITY

Aregisteredentity,suchasacorporation,limitedliabilitycompanyorpartnership,mayholdtitle Titleshouldbe heldexactlyasthenameisregisteredwiththeOregonSecretaryofState–e.g.“Smith&Jones,LLC,anOregon limitedliabilitycompany”

DISCLAIMER–Theforegoingcontainsinformationalexamplesonlyandisnottobeconstruedaslegaladvice Giventhecomplexitiesinvolvedinacquiringandholding legaltitletorealproperty,WFGstronglyrecommendsthatyouseeklegaladvicefromanattorneypriortodoingso

WFG OFFICE LOCATIONS

ADMINISTRATIVE 12909 SW 68th Pkwy Ste. 350 Portland, OR 97223 503-431-8500

CLACKAMAS 9200 SE Sunnybrook Blvd Ste. 350 Clackamas, OR 97015 503-353-9975

LAKE OSWEGO 5885 Meadows Rd. Ste 150 Lake Oswego, OR 97035 503-624-4900

LLOYD/COMMERCIAL 700 NE Multnomah St. Ste 190 Portland, OR 97232 503-230-8488

NW PORTLAND 25 NW 23rd Pl Ste. 1 Portland, OR 97210 503-219-9088

GRESHAM 1304 NW Civic Drive Gresham, OR 97030 503-512-4910

SUNSET 2430 NW 206th Ave. Ste 125 Beaverton, OR 97006 503-533-9510

BETHANY 1500 NW Bethany Blvd. Ste 155 Beaverton, OR 97006 503-850-3990

9 10 11

DOWNTOWN VANCOUVER 101 E 6th St Ste 125 Vancouver, WA 98660 360-314-0300

SALMON CREEK 2105 NE 129th St Ste. 107 Vancouver, WA 98686 360-314-1818

VANCOUVER MALL 5101 NE 82nd Ave. Ste 102 Vancouver, WA 98662 360-891-5454

EAST VANCOUVER 2004 SE 192nd Ave. Ste 100 Vancouver, WA 98683 360-356-9990

1 2 3 5 6 7
4 8 12
Your Local Market Report Portland, OR 97201 REPORT FOR 8/2/2023 Single-Family Homes Presented by WFG National Title Company reports@wfgnationaltitle.com

This week the median list price for Portland, OR 97201 is $1,295,000 with the market action index hovering around 34. This is an increase over last month's market action index of 33 Inventory has decreased to 33.

Market Action Index

This answers “How’s the Market?” by comparing rate of sales versus inventory.

Portland, OR 97201

Real-Time Market Profile

Slight Seller's Advantage

In the last few weeks, the market has been at a stasis point in terms of sales to inventory However, prices seem to continue to fall a bit. Technically supply levels indicate this is a Seller’s market so it is likely that the downward pricing pressure will be light or variable. Watch for an up-shift in the MAI before price stability is achieved.

Market Segments

Each segment below represents approximately 25% of the market ordered by price.

Single-Family Homes
Median List Price $1,295,000 Median Price of New Listings $949,900 Per Square Foot $391 Average Days on Market 95 Median Days on Market 56 Price Decreased 33% Price Increased 0% Relisted 15% Inventory 33 Median Rent $1,995 Market Action 34 Slight Seller's Advantage Your Local Market Report WFG National Title Company | oregon.wfgnationaltitle.com
Buyer's Market Seller's Market 0 10 20 30 40 50 60 70 80 90 100 Tod a y LastMonth
34
Median Price Sq. Ft. Lot Size Beds Bath Age New Absorbed DOM $3,097,500 5,772 0 25 - 0 5 acre 4 4 41 1 0 66 $1,795,000 3,917 8,000 - 10,000 sqft 4 3.5 88 0 1 73 $1,199,925 3,455 6,500 - 8,000 sqft 4 3.3 84 3 2 24 $729,500 2,678 4,500 - 6,500 sqft 3 2.5 98 1 1 49 2 of 6 Wed Aug 02 2023 Powered by Altos Research, Inc. | www.altos.re | Copyright © 2023 Altos Research, Inc.

Median List Price

Again this week in this zip code we see a downward notch for prices. Pricing has been weak in recent weeks and versus their absolute-high level. At this point, we will be looking for a persistent upward shift in the Market Action Index as a leading indicator for a trough in prices.

Segments

In the quartile market segments, we see prices across the quartiles of this zip code not tightly correlated recently. Prices in Quartile 1 and 4 have been mixed recently, while the rest of the market is trending downward. Look to a strong, persistent up shift in the Market Action Index as a leading indicator of the trough in the market.

Single-Family Homes Portland, OR 97201 Your Local Market Report WFG National Title Company | oregon.wfgnationaltitle.com
7-Day Average 90-Day
Aug 2018 Mar 2019 Sep 2019 Mar 2020 Sep 2020 Mar 2021 Sep 2021 Mar 2022 Sep 2022 Mar 2023 $500K $1.0M $1.5M $2.0M $2.5M $3.0M $3.5M
Average
Top 90-Day Upper 90-Day Lower 90-Day Bottom 90-Day Aug 2018 Mar 2019 Sep 2019 Mar 2020 Sep 2020 Mar 2021 Sep 2021 Mar 2022 Sep 2022 Mar 2023 $0 $1.0M $2.0M $3.0M $4.0M $5.0M 3 of 6 Wed Aug 02 2023 Powered by Altos Research, Inc. | www.altos.re | Copyright © 2023 Altos Research, Inc.

Price Per Square Foot

Despite recently falling prices, the price per square foot has stayed reasonably flat. This implies that there's a portion of the market being priced at a premium. You can investigate this condition in the quartile details.

7-Day Average 90-Day Average

Inventory has been climbing lately. Note that rising inventory alone does not signal a weakening market. Look to the Market Action Index and Days on Market trends to gauge whether buyer interest is keeping up with available supply.

7-Day Average

90-Day Average

Single-Family Homes Portland, OR 97201 Your Local Market Report WFG National Title Company | oregon.wfgnationaltitle.com
Aug 2018 Mar 2019 Sep 2019 Mar 2020 Sep 2020 Mar 2021 Sep 2021 Mar 2022 Sep 2022 Mar 2023 $250 $300 $350 $400 $450 Inventory
Aug 2018 Mar 2019 Sep 2019 Mar 2020 Sep 2020 Mar 2021 Sep 2021 Mar 2022 Sep 2022 Mar 2023 0 10 20 30 40 50 4 of 6 Wed Aug 02 2023 Powered by Altos Research, Inc. | www.altos.re | Copyright © 2023 Altos Research, Inc.

Market Action Index

In the last few weeks, the market has been at a stasis point in terms of sales to inventory. However, prices seem to continue to fall a bit. Technically supply levels indicate this is a Seller’s market so it is likely that the downward pricing pressure will be light or variable. Watch for an up-shift in the MAI before price stability is achieved.

Market Action Segments

Not surprisingly, all segments in this zip code are showing high levels of demand. Watch the quartiles for changes before the whole market changes. Often one end of the market (e.g. the high-end) will weaken before the rest of the market and signal a slowdown for the whole group.

Single-Family Homes Portland, OR 97201 Your Local Market Report WFG National Title Company | oregon.wfgnationaltitle.com
Aug 2018 Mar 2019 Sep 2019 Mar 2020 Sep 2020 Mar 2021 Sep 2021 Mar 2022 Sep 2022 Mar 2023 0 100 25 50 75 125
7-Day Average 90-Day Average
Top 90-Day Upper 90-Day Lower 90-Day Bottom 90-Day Aug 2018 Mar 2019 Sep 2019 Mar 2020 Sep 2020 Mar 2021 Sep 2021 Mar 2022 Sep 2022 Mar 2023 0 20 40 60 80 100 5 of 6 Wed Aug 02 2023 Powered by Altos Research, Inc. | www.altos.re | Copyright © 2023 Altos Research, Inc.

Median Days on Market (DOM)

The properties have been on the market for an average of 128 days. Half of the listings have come newly on the market in the past 40 or so days. Watch the 90-day DOM trend for signals of a changing market.

Segments

It is not uncommon for the higher priced homes in an area to take longer to sell than those in the lower quartiles.

Single-Family Homes Portland, OR 97201 Your Local Market Report WFG National Title Company | oregon.wfgnationaltitle.com
7-Day Average 90-Day Average Aug 2018 Mar 2019 Sep 2019 Mar 2020 Sep 2020 Mar 2021 Sep 2021 Mar 2022 Sep 2022 Mar 2023 0 50 100 150 200 250
Top 90-Day Upper 90-Day Lower 90-Day Bottom 90-Day Aug 2018 Mar 2019 Sep 2019 Mar 2020 Sep 2020 Mar 2021 Sep 2021 Mar 2022 Sep 2022 Mar 2023 0 100 200 300 400 6 of 6 Wed Aug 02 2023 Powered by Altos Research, Inc. | www.altos.re | Copyright © 2023 Altos Research, Inc.

SIMPLIFYING YOUR JOURNEY TO A SUCCESSFUL CLOSING

Personalized. Secure. Transparent.

WFG’s MyHome® provides full transparency, real-time updates, and post-closing home information in a secure built with YOU in mind.

Sign up for an account at https://myhome.wfgtitle.com today!

Click Register for MyHome® account on a MyHome® email to https://myhome. wfgtitle.com

Complete a brief registration form. Use your email address on immediate access.

• Instant access to

• Contact information for

• entire escrow process

• via text, email, or

• for your transaction

• your escrow team

• milestone

myhome.wfgtitle.com
1 2 3

CONSUMER EXPERIENCE TIMELINE

TRANSACTION CLOSED

CLOSE TO SIGNING

UPDATER INVITATION

TITLE REPORT DELIVERED

TRANSACTION STARTED

GATHER UP

SIGNING SCHEDULED

TITLE CLEARED

MIDPOINT FEEDBACK

EARNEST MONEY

Contact us to schedule a demo or sign up for an account.

myhome.wfgtitle.com REV. 2.16.2022

Turn static files into dynamic content formats.

Create a flipbook
Issuu converts static files into: digital portfolios, online yearbooks, online catalogs, digital photo albums and more. Sign up and create your flipbook.