Envision Newton 2042




With special thanks to: The participants who provided feedback to help define the final recommendations of this document.
Prepared for: City of Newton
101 W. 4th St. S. Newton, IA 50208 (641) 792-2787
Prepared by:
MSA Professional Services, Inc.
1555 SE Delaware Ave., Suite F
Ankeny, Iowa 50021
MSA Project Team
•Chris Janson, AICP
•Shannon Gapp, AICP
•Shawn Oshea, AICP
•Claire Michelson, AICP
•Lauren Dietz, AICP
•Emily Huston
Mayor and City Council
•Mayor Michael L. Hansen
•Mark Hallam
•Vicki Wade
•Craig Trotter
•Melissa Dalton
•Evelyn George
•Randy Ervin
City Staff
•Erin Chambers
•Brian Dunkelberger
•Danielle Rogers
Steering Committee
•Bruce Showalter
•Tanya Michener
•Erin Yeager
•Tom Messinger
•Stephanie Moran
•Wesley Triplett
•Rob Kahn
•Robbie Robinson
•Noreen Otto
•Casey Illingworth
•Brett Lundberg
•Rod Jenkins
This timeline serves to show the processes and meetings that took place during the time of:
Project Preparation
• City/Staff Consultant Team
• Working Team Meeting
uly 2021
• Gather Data and Existing Conditions
Project Kickoff
• Public Participation Plan Refinement and Coordination
• Existing Plan Review and Summary
August
eptember
Community Input
• City Staff/Consultant Team Working Team Meeting
• SWOT and Existing Conditions Review, and Policy Development
• Launch Online Survey
• Community Input Workshop, Planning 101 and SWOT Analysis
• Stakeholder Interviews and Focus Group Meetings
Engagement indings
Visioning
• City Staff/Consultant Team Working Team Meeting
October
• Comprehensive Plan Steering Committee Meeting #1 –Engagement Findings and Visioning
• City Council Meeting – Project Review and Feedback
November
Engagement and Document Development
• City Staff/ Consultant Team Working Team Meeting
• Comprehensive Plan Steering Committee Meeting –Existing and Future Land Use Workshop
• Planning Commission Meeting – Project Review and Feedback
Engagement and Document Development
• Community Input Meeting(s)
• Document Development
December
anuary 2022
Engagement and Document Development
• Public Forum/Community Input Meeting
• City Staff/Consultant Team Working Team Meeting
• Comprehensive Plan Steering Committee Meeting #2 – Parks and Recreation, Trails, Transportation, and Community Facilities
• Attend Parks and Recreation Commission Meeting
• Engagement Group Meetings
Engagement and Document Development
• City Staff/ Consultant Team Working Team Meeting
ebruary
• Comprehensive Plan Steering Committee Meeting #3 –Review of Draft Chapters
• Create an Action Plan for Finalizing Plan Materials
Engagement and Document Development
• City/Staff Consultant Team Working Team Meeting
March
• Comprehensive Plan Steering Committee Meeting –Community Design and Implementation Activity
• Draft Comprehensive Plan Open House and Online Component
April – une
Document Development and Review
• Comprehensive Plan Draft Development
• Comprehensive Plan Draft Review and Edits with City Staff
teering Committee Review and Revisions
• Comprehensive Plan Draft Chapter Review Sessions with Steering Committee (3)
uly
August –eptember
Document Revisions
• Comprehensive Plan Draft Review and Revisions
inal Document Review Approval
• Comprehensive Plan Draft Review and Concluding Revisions
November –December
• Comprehensive Plan Review and Recommended Approval by Planning & Zoning Commission
• Comprehensive Plan Review and Approval by City Council
Newton is a well-planned, safe, prosperous, and growing community built by residents and businesses who value education, health, and public safety. People enjoy its natural beauty, rural character, and location in the region. As residents and businesses come and go, and economic trends rise and fall, changes will occur. Newton continues to place value on long-range planning to ensure the community of today effectively evolves to meet the anticipated needs of the future.
The purpose of the Envision Newton 2042 Comprehensive Plan is to establish a shared vision, to guide future decisions and actions, and to assist in projecting and managing growth, change, public improvements, and development in the community. The guidance established provides predictability and consistency over time to help encourage investment. We plan so that we can act and react in a changing world with a confident understanding of our common values and goals.
The difference between a comprehensive plan and a zoning ordinance is that the former sets forth the objectives and goals of the community with respect to land use, while the latter is a regulatory device through which the plan’s goals
and policies are carried out or achieved. Other ordinances, such as subdivision or site plan regulations, are also utilized to carry out the goals of a comprehensive plan.
The City’s future growth, to be guided by this comprehensive plan, will be driven by the community’s reputation as a leader in K-12 education as well as its proximity to services, higher education, commerce, innovation and proximity to the Des Moines metro area. The region’s abundance of quality recreation and business growth opportunities also adds to the quality of life experienced by residents.
This plan is an active part of the community’s efforts to attract people and business to the unique small town feel and development opportunities Newton has to offer. The content within this plan sets to create the best version of the community for future generations to live, work, play, and learn.
The organization of the plan is based on the planning process described in the subsequent chapter, and is divided into additional chapters and relevant appendices.
This comprehensive plan is an effort to reinforce the long-standing planning priorities of the City, while recognizing changing conditions, trends, and new issues. The comprehensive plan reflects a shared vision for the future of Newton.
Comprehensive plans are a general and broad analysis of the interconnections between cultural, geographical, and natural components within the community. They also provide guidelines for continued development. Technology, economic drivers, and demographic changes affect how land is managed and utilized in Newton. Although this comprehensive plan attempts to address many possible future uses, it may not capture all of them.
As new land uses are introduced, Newton will be in a great position to better review land use proposals. This plan will help residents and local leaders work together more efficiently to facilitate future growth and development within the City by providing broad recommendations that guide and manage growth and development. These recommendations come in the form of goals and objectives which express the community’s aspirations for the future.
This planning document is a “living” guide for growth and change in Newton. The plan provides specific recommendations that directly manage community growth and development. To utilize the full potential of the plan, it should be used to:
Guide elected officials and staff to assist with a variety of land use planning and growth planning tasks.
Guide businesses, property owners, and residents by assisting them in determining potential property use, understanding future land use changes in the surrounding area, and understanding infrastructure improvements.
Assist developers interested in property acquisition to coordinate development plans with goals, regulations, and infrastructure plans.
Assist in coordinating with neighboring jurisdictions on issues and topics of mutual interest.
Newton is a community of approximately 15,760 residents according to the 2020 Census, which is the highest population in its history. The community has seen many changes, especially in terms of growth, jobs and development. This planning effort helps reaffirm a new vision for Newton while focusing efforts on diversifying the economy. Newton is a community with excellent educational opportunities, significant employment growth potential, strong work ethic, and enthusiasm to grow Newton.
Newton was settled in 1843, the same year Des Moines was settled. Settlement was stimulated by the federal government signing an Indian Treaty the previous year. Adam Tool and William Highland, John Frost and John ance were the first four men to reside in Newton. Tool and Highland each staked out a 320-acre land claim. Frost and Vance staked their claims shortly after Tool and Highland, soon after receiving additional supplies. Before Tool’s home on his claim was completed, he was asked for room and board by numerous incoming settlers and westward travelers. Tool took advantage of the demand and became a tavern keeper. In 1846, some months before Iowa became the nation’s 29th state, Jasper County was established. Both Newton and Jasper County were named after Revolutionary War sergeants John Newton and William Jasper, who served under General Francis Marion.
Most settlers of the area were farmers, while a smaller number started businesses to serve the farming community. By 1880, the growth in the rural area around Newton began to slow substantially. All of the land in the surrounding area worth farming was in use. At this time, manufacturing began to play a larger role in Newton’s economy.
Regionally, Newton is located roughly 30 miles east of the Des Moines Metro. Newton is the county seat of, and most populous city in Jasper County, Iowa.
Newton is in a good location to serve as a great “bedroom community” for residents who commute to other parts of the Des Moines metro. Newton also has enough to offer residents who want a great community where they can live, work, and play all in one place.
The community will continue to be a vital, safe, and healthy environment that evokes community pride and supports a robust and prosperous life for those who choose to make Newton their home.
The planning area for this comprehensive plan includes all lands within city limits and is outlined on the map to the right.
The previous comprehensive plan, completed in 2012, included the following strategic objectives:
• Grow Newton’s population, specifically targeting young families
•Increase employment opportunities
•Improve the City’s curb appeal
•Fill vacant buildings and increase local shopping options.
VI ION
NE ON, A RO IN CEN RA IO A COMM NI , INVI E VI I OR , B INE E , AND RE IDEN O E PERIENCE O R A EN IC, MA O N C ARM AND BI CI AMENI IE .
Establish Newton as a compelling destination by integrating attractions, business types, and services that provide engaging experiences for both residents and visitors. Focus economic development efforts on population and business growth by simultaneously supporting existing employers while attracting new employers and supporting citizens working remotely.
Elevate Newton’s curb appeal, with a focus on primary corridors, through improvements to both public and private spaces.
Maintain Newton’s existing infrastructure system while also enhancing or expanding the system to support a high quality of life and community growth.
Building and articulating a strong vision and objective statements was a priority of this planning process. Newton’s vision, as portrayed on the previous page, was designed to be aspirational, compelling, and descriptive of the desires of the Newton community. The vision for Newton’s future is the result of a thorough review of community input gathered throughout the project, and a number of meetings along the way. In addition to being welcoming and dynamic, Newton provides a place unlike any other that people are drawn to, a “compelling destination” – which leads us to the first strategic objective.
An important goal of this comprehensive plan is to continue establishing Newton as a meaningful and memorable destination, a place where residents, visitors, and businesses feel connected. In order for this to happen, Newton must preserve and enhance its authentic sense of place by leveraging its history, unique attractions, and engaging community events. Throughout the planning process, participants expressed a fervent desire for more experiential attractions such as new and unique restaurants, tourism-oriented businesses, and recreation spaces and programs.
The second objective statement focuses on economic development, which has proved its significance to the community time and time again. Through strategically guiding economic development efforts toward population and business growth, this helps drive state and federal funding opportunities. Economic development activities can be related to tourism, attracting population growth among all age groups, promoting the proximity to the metro, strategic partnerships, growing taxable valuation, and more. Future economic development efforts should continuously adapt to the dynamics of the modern economy along with the needs and desires of an ever-changing workforce. As Newton has learned from its past, economic diversification helps encourage positive growth while also serving as a form of protection for the workforce. The strategy for economic development moving into the future should continue to build on diversifying the local economy by attracting jobs from all industries, with a particular focus in sectors providing wages and salaries greater than the median income in Jasper County.
Elevating Newton’s curb appeal remains a high priority. An individual’s first impression of Newton can happen within the first moment of entering the community, and it is important to the City and residents that this is a positive experience. Key areas to focus efforts include main corridors, property owner accountability, inspection programs, and upgrades to public infrastructure.
Objective 4
In order for the vision and strategic objectives to come into fruition, Newton must maintain its existing infrastructure system, which includes streets, utilities, parks, and trails, while also enhancing or expanding the system to support the community.
To expand upon this, each section of the plan includes additional goals, statements, and objectives that will help guide future decisions. Furthermore, the action plan matrix toward the end of the document outlines steps that can be taken over the next several years to grow Newton into the compelling destination it aims to be.
Public engagement is integral to this comprehensive plan and guides future implementation of the goals and policies. The COVID-19 Pandemic created an untraditional situation with limited in person meetings. arious engagement methods were offered, including focus groups, schools, presentations, and paper surveys to provide multiple opportunities for stakeholders and community members to provide feedback. The methods included an online community survey available to all, hybrid inperson/virtual community meetings via Zoom, social media, and online stakeholder focused group interviews. Meetings with school groups, community presentations, paper versions of surveys, and pop-up meetings were also included as additional engagement activities for the community to contribute to the planning process. There were multiple stages of input varying in type in order to receive quality feedback. In the beginning, word of the project was spread to create awareness and excitement. From that momentum, feedback was gathered in various types to help form the plan goals and policies.
The comprehensive plan steering committee was established to oversee the process and ensure that the established goals and objectives of the process are being accomplished. The committee was the primary review and advisory body throughout the planning process. All meetings were held during the planning process and all presentation materials were posted on the project website for public access.
A project website was developed and included the project schedule, draft documents, meeting notices and copies of presentation materials. The website also provided a venue to share comments throughout the planning process, and provided an easy way for citizens to contact the project team with questions. This aspect of the communication and participation strategy was important for transparency, as well as sharing information with stakeholders.
A community survey was created and available to community members. This was a gathering tool in the form of a SWOT (Strength, Weaknesses, Opportunities, and Threats) analysis. The broad nature of the questions allowed the project team to analyze big and small picture information about Newton and community members’ views on opportunities and challenges regarding three categories of beautification, development, and mobility. The survey was administered through ESRI’s Survey123, which was formatted to allow users to complete via computer, tablet or smartphone. Participants were invited to respond by visiting a link found on the project website and through other communication and marketing tools the city manages including social media, email, newsletters, the city website, and community partners.
An interactive map is a unique application that allows a community to collaboratively pinpoint assets, issues, opportunities and questions related to the community and growth. This application was useful for this process as Newton continues to evaluate responsible growth management strategies. Many residents gave feedback on ideas where new development could be located within the community.
Utilizing ESRI’s ArcGIS Online to develop a custom online mapping tool for the public was an important part of the planning process. It was used by the public to contribute information to a common online map such as areas of concern, streets in disrepair, areas to restrict development due to environmental concerns, and areas of Newton that are primed for additional development. This was a great visual way to get residents involved with the planning process and address concerns and opportunities they see for Newton.
The following page highlights the community assets, preservation desires, housing opportunities, and other key topics that arose through the interactive crowdsource mapping exercise including: Trail improvements, park improvements, traffic concerns, road improvements, pedestrian improvements, beautification, and more.
WESTWOOD GOLF COURSE
DRI E IN DMACC
LEGACY PLAZA
MAYTAG PARK & AMENITIES
CENTRE FOR ARTS & ARTISTS
DOWNTOWN SQUARE
DOWNTOWN RESTAURANTS AND BOUTIQUES
MAIN STREET PROGRAM & FARMERS’
MARKET
LIBRARY
PUBLIC ART SCHOOLS
YMCA & COMMUNITY THEATRE
NEW MIDDLE SCHOOL
OUTDOOR RECREATION AREAS
Preserve
HISTORIC HOUSING AREAS
HISTORIC PRESERVATION OF THE DOWNTOWN
COURTHOUSE
HISTORIC CHURCHES
MID CENTURY MODERN BUILDINGS
ARCHITECTURALLY SIGNIFICANT BUILDINGS
REDEVELOPMENT OPPORTUNITIES
MIXED USE POTENTIAL
HOUSING IMPROVEMENTS
PRESERVATION OF HISTORIC HOUSING
PRESERVATION OF NEIGHBORHOODS
Park Improvements
ra c Concerns
Road Improvements
Pedestrian Improvements
Beautification
The public engagement process integrated a diverse level of participation that interactively engaged the community to identify critical issues. This process was effective due to traditional and innovative methods, including customized engagement.
This comprehensive plan is grounded in a set of issues about which the residents and city are concerned, and opportunities for positive change. A SWOT analysis exercise was used to gather this information from the Planning & Zoning Commission, Project Team, Steering Committee as well as from the general public at each community engagement and visioning session.
trengths – characteristics that give the community an advantage over others. eaknesses – characteristics that place the community at a disadvantage relative to others.
Opportunities – elements the community could exploit to advantage the community. hreats – elements in the environment that could cause trouble for the community in the future.
The project’s first steering committee meeting was held in October of 2021. This meeting served as an opportunity to introduce the project, provide an overview of the comprehensive planning process, general timeline, and obtain initial steering committee feedback relating to strengths, weaknesses, opportunities, and threats described further below and on the following pages.
The first official public meeting was held at erg Middle School in December, which utilized a similar format to the first steering committee meeting including SWOT, &A, and community discussion.
Following the first community input meeting at erg Middle School, two subsequent community input meetings on December 14 over the lunch hour and immediately after the normal work day at the Krumm Center at the Newton Arboretum. These two meetings provided an opportunity for additional feedback from groups that could not make the December 8 meeting.
The meetings offered an additional means of not only obtaining in-person feedback but also an opportunity to promote the online survey and other forms of interactive engagement made available to the public.
In addition to a presentation and SWOT Analysis, attendees at the December meetings were separated into groups to discuss infrastructure, housing, economic development, and parks and recreation.
Meeting Discussion opics
Infrastructure
•Transportation, trails, internet, etc.
•Internet, city street improvements, complete bike trail loops, pavement resurfacing
Housing
• Availability, styles, affordability, quality, neighborhoods, connectivity, etc.
•Diverse housing opportunities, residential upkeep, proximity to amenities
Economic Development
•Population growth, business growth, redevelopment, business support, etc.
•Historic preservation district, diversification of industrial base, TIF funding, streetscape and wayfinding enhancements
Parks and Recreation
•Amenities, programs, physical needs, multi-generation activities, community building, regional draw
•Clubhouse, more events, splash pad, pickleball courts, pool upgrade
In January, a public forum/community input meeting was held at the DMACC Newton Conference Center. This meeting included a brief introduction to the plan and the efforts leading up to it, a short presentation, and an interactive engagement activity using Mentimeter.
The Public Forum was one of many engagement opportunities that city staff utilized Mentimeter to engage with the public via live polling.
The public forum held at DMACC at the end of January offered an opportunity for attendees to voice their input via Mentimeter. Findings from this process indicated that their top descriptors of Newton were: Friendly, Growing, and Opportunity. Once again, this group felt that the location was the top reason they considered Newton to be a great place to live. Many respondents chose to live in Newton for the affordability and proximity to work, and most volunteered out of passion and desire for change.
Key priorities for this group included parks and recreation as well as employment opportunities. Many participants felt that housing and economic development were major areas for improvement. The group voted economic development as the top item to prioritize over the next 20 years. Other aspects they felt would attract future residents included affordable housing, entertainment, and new businesses and restaurants in the downtown. Furthermore, the group voted that local government transparency was good to excellent.
Listed below are the various stakeholder/focus groups that were met with by city staff during the planning process to participate in similar polling and feedback opportunities. Full responses can be found in the appendix of this document.
City staff met with the Chamber of Commerce for a Chamber breakfast in January and utilized Mentimeter to obtain their unique input. Key words they used to describe Newton included: Growing, Community, and Home. Overall, the quality of life was ranked as good to excellent, and the group would often describe Newton as friendly, welcoming, and community-driven. Some of the many reasons they chose to live in Newton were for the proximity to work and closeness to family. When asked why they chose to volunteer, it was often out of passion and desire for change.
A major priority that arose was to expand and retain opportunities, which is something that is addressed in the Future Land Use Map. Furthermore, the group identified housing and infrastructure as the major areas for improvement and indicated that Economic Development should be a focus over the next 20 years. In order to attract future residents, the Chamber noted housing, restaurants, and entertainment as vital drivers. Lastly, the group indicated that overall government transparency was generally good to excellent.
City staff conducted an engagement event with the Economic Development group. Findings from this meeting are described below. Top descriptors of Newton included: Resilient, Community, Cardinals, and Friendly. For this group, it was the location that made Newton such a great place to live. Additionally, they described Newton as a friendly, welcoming community. The reasons they chose to live in Newton included proximity to work and great schools. For this group, they felt that updating and expanding the parks and recreation opportunities would have a positive impact on quality of life.
Top priorities for this group included housing and economic development, and that the proximity to the metro and affordability are some of Newton’s greatest strengths. This group also had a desire for more residential growth and economic development strategies. Additionally, it was recommended that healthcare-related businesses be recruited to Newton and that tech training and careers are desired for future growth.
Another focus group that City staff worked with was based around parks & recreation. Questions offered to this group varied slightly and included park-specific questions along with imagery. Key takeaways from this group included the words: Historic, Fun, & Beautiful as top descriptors of Newton. Focus group members frequently visit the community’s parks and recreation areas and stated that their favorite parks offer a variety of recreation facilities/opportunities.
The group offered many park improvement ideas including more shade and shelters at Agnes Patterson Park, more water play improvements at Maytag Park, updates to the skate park at Aurora Park, expanded disc golf at Woodland Park, and the desire for a dog park with upgraded accessible features at Sunset Park. The group felt that Maytag Pool is in need of remodeling and updates, that Westwood Golf Course needs a new clubhouse and other improvements, and that better equipment & continued maintenance is key at for all parks. The group’s top three desired improvements included a clubhouse, splash pad, and inclusive play equipment.
A similar activity was performed with the Steering Committee meeting in mid January. This group identified Pride, Home, and Downtown as their top descriptors of Newton. In general, the group identified the quality of life as good to excellent and felt that the friendliness and school district made Newton a great place to live. Many chose to live in Newton specifically for the great schools and extracurricular activities. Similar to other groups, steering committee members chose to volunteer out of passion and desire for change.
Priorities for this group included expanding retail and employment opportunities, and that housing and economic development are major areas for improvement. To add to that, many felt that economic development should be a top focus over the next 20 years. Future desires included new businesses and restaurants in the downtown, and that additional education opportunities and workforce training is needed. Lastly, the group identified government transparency as good to fair.
Important to this plan was engaging the youth in Newton. This included a classroom at Newton High School, four classrooms at Berg Middle School and two classes at WEST Academy. The images to the left highlight responses from the high school, noting that top descriptors of Newton were: Small, Home, and Cardinals. Many noted that living in Newton was good rather than excellent, identifying room for improvement. For these students, Newton is close to family and school, and has good neighbors/people. Friends and family played a key role in making Newton a great place to live.
For this cohort, updating parks and rec activities, partnered with more retail would make Newton a better place to live. In rating City efforts over the last 10 years, housing ranked the highest. The students felt that restaurants and activity spaces would be successful businesses to open in Newton, and that parks and rec should be a priority over the next 20 years. To attract new people to Newton, they recommended new jobs and attractions, and that friends and family will draw them back in 20 years.
The elementary school students had perhaps the most creative form of engagement which involved drawing a sketch and writing a sentence about their dream community (Newton).
Some of the fun and unique ideas the students came up with included: Pools, Lazy Rivers, Water Parks, Trampolines, Nature Areas, Zoos, Shopping, Ice Skating, Swings, Slides, Bounce Houses, Toy Stores, Amusement Parks, Plants and Animals, Bigger Airport, Botanical Centers, Museums, Sports, Statues, Book Stores, Malls, Gardens, Roller Coasters, Stadiums, Arcades, Fishing and more.
The big take-away from this engagement effort is the desire that children have for more local entertainment, activities, and programs. It is important that this plan address the needs and desires of all ages and abilities. This will not only help draw future residents to the community but also draw these students and their families to return to Newton as adults as a place to start a family of their own.
Hard Copy Surveys were also made available at the Library, City Hall, and Discover Hope. The results from the Library were relatively similar to those that had filled out the survey electronically, however there were some unique trends that arose. One trend was that many of the respondents were relatively new to Newton. In general, most felt that the location made Newton a great place to live, and had a desire to improve the appearance for buildings and neighborhoods. There was also a desire for development and expanded park and rec opportunities.
Challenges that arose included keeping large, stable employers, as well as concerns with cleanliness and safety, particularly from the Discover Hope surveys. Other subtle differences were participants volunteering out of favor as opposed to passion or desire to make change, as well as a lower ranking of government transparency. In general, areas to improve included employment opportunities, affordability, public safety, improved sidewalks, roads, and bike lanes.
trengths / Opportunities eaknesses / hreats
• Parks
• Public Art
• Murals
• Brand “Get to Know” Newton
• Banners
• Art Center
• Trails, hiking, biking
• Events on the Square
• Pride in Historical Buildings
• Downtown
• Community
• Buildings
• Legacy Plaza
• Community Square
• Recreation Areas
• Plants
• Golf
• Trails
• Murals
• Homes
• Trees
• Community entries
• Need to create more connections
• Changing uses/conflicts
• Speedway concerns
• Damage from the 2020 derecho
• Added technology needed
• Vacancies
• Enforcement
• Homeless
• Trash
• Parking
• Older properties
• Cleanliness
• Curb Appeal
• Lack of Maintenance/Care
• Roads
• Funding
trengths / Opportunities eaknesses / hreats
• Good Design
• Design Standards
• Opportunities for HUD/Lower income
• Engineered wood/walls and energy efficient
• Engagement to guide design
• Incentives to landlords to have a new way of thinking
• Incentivize homeowners and/ or renters
• Work with companies & individuals
• Employment opportunities
• Schools
• Proximity to Des Moines
• Co-working
• Technology improvements
• Commuting
• College to train/DMACC roles
• Location
• Legacy Plaza
• Schools
• Home improvements and growth
• Need to develop a strategy to show all groups how great the community is
• Improve Rental properties/ standards
• Finding funds/grants to promote
• Need for improved communication
• Funding
• Need for Balance
• Availability to move in immediately
• Materials and timeline
• Perception around Maytag and history
• Broadband/internet speed
• More opportunities for students
• Youth entrepreneurship
• Des Moines competition
trengths / Opportunities eaknesses / hreats
• Connect trails
• Opportunities for improved connections
• Enhanced public transportation needed
• Opportunity for renting scooters and/or bikes (micro mobility)
• Dedicated routes opportunities
• Close to Des Moines
• Sidewalks
• Easy to get anywhere
• Access to parks
• Walkability
• Shopping opportunities
• Location
• Interstate access
• Biking areas
• Promotional opportunities
• Trail locations and maintenance
• Gaps in the trail system
• Schools and workforce guidelines/state guidelines
• Early education shortages
• Safety in the winter conditions
• Uber or Lyft (Build into budgets)
• Sidewalk Improvements needed
• Public Transportation
• Bikeability
• Pedestrian Safety
• Condition of Roads
• Traffic
• Lack of trails
• Difficult to walk in some residential areas
• Funding
A concern from residents is the lack of one level, low maintenance housing such as townhouses and other similar housing products. A majority of the existing homes in the community are single-family detached homes on larger lots that require a lot of care and upkeep. The rental options in the community are limited which is a concern for younger people who may not be able to afford a detached single family home, or older residents who desire the convenience of renting.
Overall maintenance and community image play a large role in establishing community character. Road improvements and paving was brought up consistently throughout the process. Many also expressed a need for exterior/ facade improvements on many buildings in commercial areas. Respondents, often when asked about the weaknesses of Newton, mentioned utilities and physical spaces, such as streets, sidewalks, trails, ROW infrastructure, etc. across the community.
Residents value their proximity to outdoor recreation areas, parks, and other natural features. There were many ideas on how to better utilize the park areas as well as suggestions for trail connections around the City.
“Safe” was a word consistently used when residents were describing the strengths of the community. Newton is a safe place for people to walk and bicycle, and the city will continue to enhance this key aspect associated with quality of life. The most frequent concern with safety was “safe routes” to and from schools do not extend all directions.
Residents were excited about reinvestment in downtown Newton and the benefits a vibrant and growing downtown brings to the community. Residents were specifically supportive of additional growth along the 1st Avenue corridor and also general growth of the community.
Newton has evolved over time, shaped by a variety of forces such as infrastructure priorities, socioeconomic standings, and others. These forces will continue to shape the community into the future and must be considered when planning for growth and maintenance.
This section of the comprehensive plan describes how Newton’s population and demographics have changed over the past several decades and forecasts population and population changes for the next 20 years.
It examines a variety of forces and factors affecting current and future development in Newton. A clear understanding of these influences provides the context for community planning decisions.
The identification of trends in population growth and other demographic data is a critical part of the comprehensive planning process. This data can provide potential future growth patterns and indicate what types of future needs the community may have regarding housing, public facilities, and more. The following information is also useful in determining future land use needs.
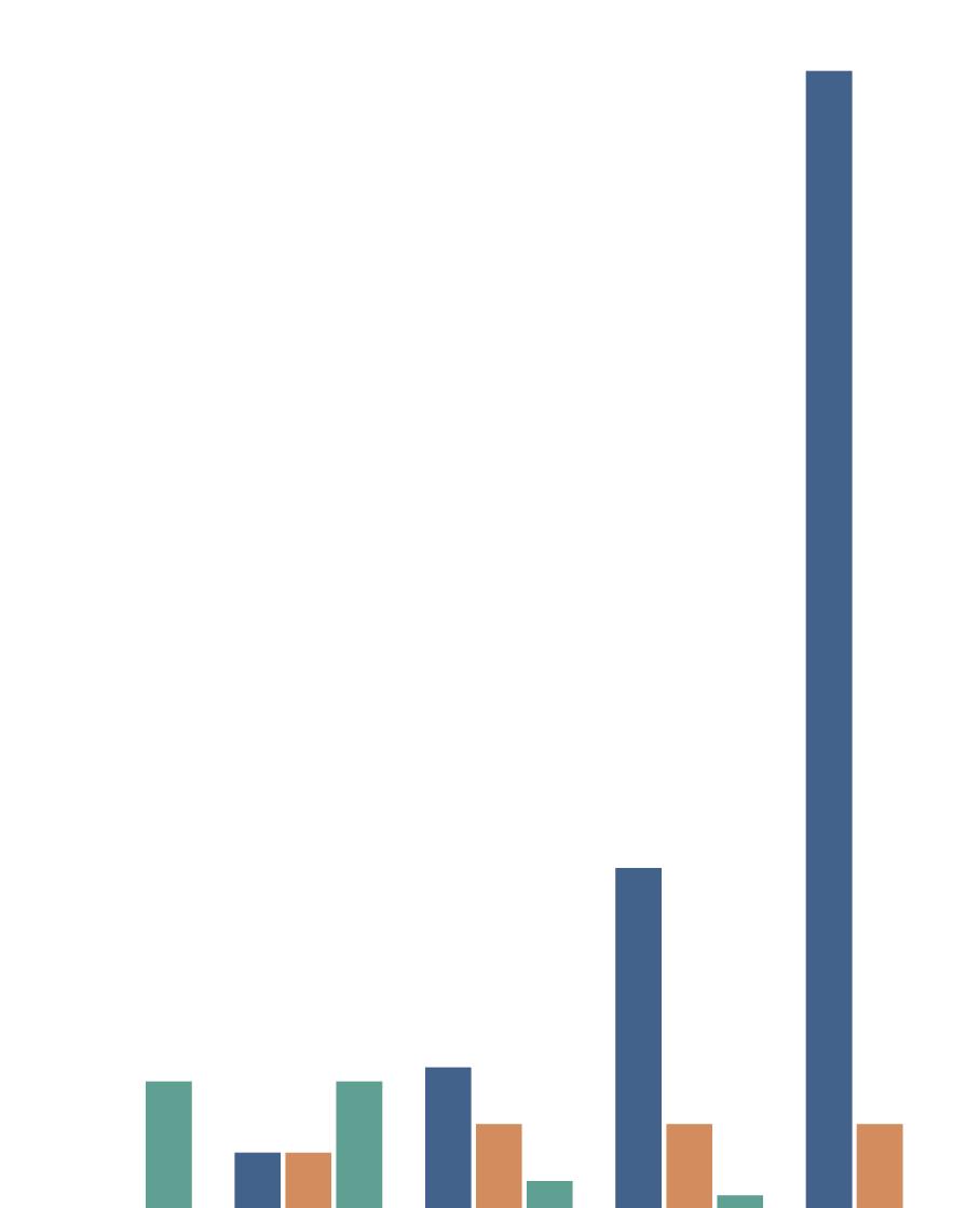
Growth forecasting predicts outcomes of when, where and how much population and household growth Newton can expect in the next 20 years. According to the U.S. Census Bureau, between 2010 and 2020, the population of Newton increased from 15,254 to a total population of 15,760.
Historically, the cumulative average growth rate of the community is 9.2% every 10 years. Projections can also be made using linear growth calculations and exponential growth calculations as shown in the table below.
The chart below shows the observed growth rates of Newton and the Des Moines Metropolitan Area from 1940 through 2020. The City’s rate of growth generally tracks the metro’s historical rate of growth. Based on this data, Newton continues to see a fairly steady share of the metro’s growth. However, Newton’s rate of growth, while still positive, has declined in recent decades and is now slightly lower than the metro’s growth rate.
Overall, Newton has an opportunity to capture more metro area growth through 2042 and this plan will help stabilize and increase the community’s rate of growth.
Thriving communities like Newton offer a wide range of economic opportunities. Newton’s economy is an integral component of the regional economy. This economic connection will continue to grow as the Des Moines metro continues growing and Newton offers residents and businesses great opportunities to be successful. This chapter of the comprehensive plan is a report on the local economic and employment threats and opportunities. Economic development generally consists of public and private efforts which promote and develop business enterprises within a community, plus the housing development that serves commuters to other areas.
The City’s regulatory climate can have an impact on the retention, expansion, and attraction of business. Zoning regulations can provide development standards which ensure that business development adds to the quality of neighborhoods and overall community vitality. Such standards can protect property values and can minimize or prevent undesirable off-site impacts. Such standards can also protect businesses from nuisance complaints. In summary, the comprehensive plan works collaboratively with zoning regulations to ensure land use compatibility and as a tool to attract business, employers and commerce.
oal 1 upport and e pand the City’s economic base.
Objectives:
• Work with existing businesses to remain or expand on their current sites or relocate to more appropriate sites.
• Utilize the City’s tools of zoning, capital improvement plans, and transportation plans to support development.
• Ensure that city processes and regulations related to land development, permits, and construction are easy to understand.
oal 2 Residents will have or know how to attain/learn the skills necessary to achieve professional growth, personal success and financial stability, and employers will benefit from more skilled staff to maintain and e pand business development initiatives.
Objectives:
• Support proactive communication between educational institutions and area employers to determine and fulfill local needs.
• Provide a variety of training and resources to support employment skills and job preparedness.
• Actively promote career-advancement and workforce development efforts including internships, apprenticeships and workshops.
• Continue to develop and enhance the City’s industrial and business spaces to promote employer retention and expansion, and provide opportunities for new development.
• Seek to maintain a balance between the needs of the community and the needs of the developer.
• Support locally-owned businesses, small-/micro-businesses, and start-up businesses.
• Promote programs and initiatives that support entrepreneurship for residents, including youth, and remote/freelance employment (e.g., home-based businesses, co-working spaces, business incubators, business accelerators and makerspaces)
Objectives:
• Create and maintain an inventory of available sites for development and redevelopment, updated on a regular basis.
• Proactively communicate, discuss needs and receive feedback from area businesses. Use this feedback to refine services and resource referrals.
• Provide regularly updated community data that can be used in marketing to attract specific businesses that provide livingwage employment opportunities.
Objectives:
• Support business development initiatives that increase diversity of entrepreneurs, business types and the workforce, as well as access to culturally-specific needs.
• Encourage new business development within areas easily accessible by the regional transportation network, including considerations of public transit access.
• Attract, support, and retain businesses that fill and/or redevelop vacant properties in the downtown and along key corridors.
• The City may acquire property in order to promote and accelerate redevelopment of key sites.
• When necessary, the City may actively facilitate and consider funding assistance to help locate a business to a suitable location within the City.
• The City will support new commercial and industrial development by expanding and extending access to utility and transportation infrastructure, where needed and appropriate.
• Support affordable and workforce housing initiatives that expand economic opportunities for residents of all income levels, especially income-limited individuals/families.
oal 3 Promote, e pand and diversify the local economy.
oal 4 Business investment will support the health and vitality of the Newton community.
Newton continues to be a growing community with a strong identity, thanks to the previous comprehensive plan’s forward thinking approach. It continues to be important to build the brand and reinforce the community’s identity with a unified sense of place.
The “Get to Know Newton” brand has been an effective tool to promote Newton. With the flexibility geared toward a diverse range of amenities, partners, programs, groups, and more, it has gained significant traction since its adoption in 2012. There are key locations in Newton that can be utilized to promote the community’s brand, such as the primary “gateways” into the community.
Part of marketing our community is to showcase it as a destination for visitors. Working with local partners and groups, as well as state-level entities like the Iowa Tourism Office, the community is well-positioned to draw in new residents and visitors, if promoted and communicated well.
oal 1 Enhance the identity of the city by building on Newton’s traditional urban character, natural amenities, and unique history.
Objectives:
• Carefully consider design implications to preserve and enhance Newton’s small town feel with big city amenities.
• Use public improvements, public art, and land development regulations to preserve, highlight, and interpret the unique cultural history and natural environment of Newton.
• Maintain the traditional urban character of established neighborhoods and promote continuous public and private reinvestment to ensure that they remain attractive places to live.
• Encourage new neighborhoods and property owners to enhance and maintain trees and other landscape elements.
• Encourage a mix of compatible land uses in a variety of locations and scales in order to create more vital and walkable activity centers.
• Ensure site design and exterior architecture reflects and highlights the unique history of Newton. Work to further define architectural components.
• Build parks and interconnected greenways to enhance the quality of residential neighborhoods and commercial districts.
• Protect and improve the quiet and familial character of residential neighborhoods while accentuating the sense of urban diversity and intensity in other districts and corridors. Use that sense of urbanity as a marketing tool for long-term growth and stability for Newton.
• Create a new network of interconnected greenways, parks, plazas, promenades, parkways, and other tree-lined streets to beautify the community, provide recreation opportunities, enhance quality of life, boost property values, and balance the effects of urban density.
• Enhance the appearance of major road corridors through careful review of new development. Specific attention must be placed on the landscape plan, building location, lighting plan, signage, parking lots, and streetscaping to make sure certain development relates to the scale, massing, and materials within the community.
oal 2 Draw visitors to the community with our authentic community character, special events, and public facilities.
Objective:
• Continue historic preservation efforts and invest in public amenities, enhancing Newton’s authentic sense of place.
• Encourage the hosting of professional conferences, tradeshows, and meetings in the community.
• Assist non-profit groups and community partners with local events that will attract visitors to the community.
• Continue to be a part of the Main Street Iowa/National Main Street Program.
• The “Get to Know Newton” brand has been an effective tool to promote Newton. With the flexibility to be geared toward a diverse range of Newton amenities, partners, programs, groups, and more, it has gained significant traction since its adoption in 2012.
The aesthetics and appearance of a community play an important role in how it is perceived and connected. A major step in improving a community’s aesthetics, is to complete public improvements to show residents and business owners that the City is taking the initiative to reinvest in the community.
A well-designed community incorporates safe crosswalks, sidewalks, light fixtures, trees, planters, trash receptacles, banners, benches, and green spaces in the public right-of-way. There is no single component that will meet the community’s aesthetic goals, but rather a balanced approach can lead to success, particularly in the downtown.
Commercial areas that are “friendly” to both vehicles and pedestrians are inviting and economically sustainable. In general, a “friendly” street has features that provide mobility, safety, and comfort.
oal 1 Implement design standards and regular maintenance procedures to provide safe and accessible public spaces throughout the community for all residents and visitors.
Objectives:
• Provide adequate sight distance by limiting obstructions at crossings (newspaper/advertising, electrical boxes, overgrowth of vegetation, etc.).
• Create separate and/or buffers from other modes of travel through wide sidewalks, parking areas, and sidewalk terraces.
• Provide minimum adequate lighting to strengthen pedestrian visibility.
• Set adequate height clearances for landscaping, awnings, etc.
• Limit crossing distances between sidewalks and other non-vehicular paths by providing bump outs, reducing corner radii, and providing refuge medians at pedestrian crossings.
oal 2 Establish both pedestrian and vehicle friendly areas that are aesthetically pleasing and functional.
Objectives:
• Establish a 1:3 – 1:2 street width to building height ratio, where applicable.
• Soften the urban hardscape by adding planters, street trees, landscaped spaces, etc.
• Promote buildings designed with pedestrian friendly features such as awnings and other shading devices, large and clear windows, building entrances, views of products/activities, etc.
• Limit automobile/traffic issues by lowering vehicle speed limits and providing traffic calming devices.
• Provide pedestrian amenities such as benches, tables and chairs, bike racks, etc.
• Keep infrastructure such as sidewalks, streets, street fixtures, utilities, public facilities, and street trees well-maintained.
oal 3 Provide clear pathways and connections to make accessibility feasible for all residents and visitors.
Objectives:
• Maintain areas of pedestrian and vehicular traffic to ensure there are no obstructions or hazards.
• Implement ADA-compliant sidewalks and building entrances to promote accessibility to all citizens.
• Establish clear and direct entrances to all buildings, facilities, and utilities.
There are many ways to define and explain sustainability, but in general, sustainable development “meets the needs of the present without compromising the ability of future generations to meet their own needs.” This relates not only to environmental aspects but also social and economic avenues. These three areas tend to drive us as humans and help shape the world around us.
As population, development, and land values increase, the need for strategic natural resource planning and management becomes more important. This chapter discusses how various sustainability efforts will help Newton continue to achieve its goal of being a “green community.” Because all systems are interconnected, developing and using community resources in a sustainable way will make impacts across multiple systems including land, water, air, waste, and economic systems.
This chapter will focus on the value of sustainability, describe the benefits of sustainability initiatives, and explore specific action items the City, developers, businesses, and organizations can commit to.
oal 1 Improve the quality of surface water runoff by continuing to implement stormwater best management practices, maintain the stormwater management system, and e pand facilities as necessary in accordance with the City’s adopted policies and ordinances.
Objectives:
• Continue to encourage both residential and nonresidential properties to implement additional stormwater management techniques to reduce the impacts of stormwater discharge on surface and groundwater resources. (e.g. rain gardens, rain barrels, green roofs, bioretention basins, oil and grease filters).
• Encourage the protection of existing vegetation on new development sites to the greatest degree possible in order to minimize soil erosion during and after construction.
• Continue to require maintenance plans for stormwater drainageways, ponds, and detention facilities.
• Consider implementing best management practices with respect to stormwater management and erosion control measures, including the use of rain gardens at City facilities.
• Continue to explore and consider alternative winter maintenance methods to reduce rock salt usage (e.g., salt brine) to protect water quality and the natural environment.
oal 2 Continue to be recognized as a green community.
Objectives:
• Grow and promote the location of green industries and businesses in the community.
• Promote the Farmers’ Market and local food options.
• Support the Jasper County Conservation Community Garden Program.
• Promote and encourage a landscape aesthetic that incorporates native plantings as opposed to heavily manicured, watered, and fertilized plantings.
• Use new technologies to reduce energy consumption, such as LED Lights or renewable energy sources.
• Promote local, energy efficient, and renewable energy production.
• Create incentives for developers if green technologies are utilized.
• Continue to promote Newton as a Tree City (26+ years).
Connected to recreation opportunities, health and food systems are integral pieces of healthy living. Newton strives to be a healthy community with healthy living infrastructure and access to quality healthcare. Communities that provide spaces for children and adults to be physically active play a key role in promoting healthier and more active lifestyles.
Building vibrancy requires Newton to build and foster connections among community health resources. Keeping Newton healthy means that all residents have access to clean water, clean air, safe places to live, the health benefits of open spaces, affordable healthy food, and are prepared for the health effects of climate change. It is also important to ensure that Newton is a socially just and inclusive community where physical health and mental health, social well-being, and the environment are valued, supported, and accessible to all.
To foster these topics, this chapter serves as a single, comprehensive reference point for all health related goals and objectives. The 2022 Jasper County Community Health Assessment was referenced when making these goals and objectives in order to create goals that support “social, physical, and economic environments that promote attaining the full potential for health and well-being for all.”
The social determinants of health are the non-medical circumstances of an individual which impacts their health and well-being. These are the conditions in which an individual is born, works, plays, lives, and ages and play a large role in shaping quality of life, health outcomes, and risks.
The 2022 Jasper County Community Health Assessment surveyed residents within Jasper County. Newton, being the largest city in the county, is most responsible for the feedback received. Below are the results to relevant questions that Newton must keep in mind and reference when implementing goals and action steps in regard to community health.
Common themes found in these results pointed to a lack of care for mental health and an abundance of accessibility issues to primary healthcare throughout Jasper County.
Residents did feel as though there was adequate access to exercise opportunities such as parks, pools, gyms,etc.
The results from the town hall meeting that took place March 2022 indicate the areas of public health that residents within Jasper County feel require more attention and providers, alongside those that are meeting the needs of the community.
The top issues to address listed by the Jasper County Health Department currently are:
• Mental Health
• Child Abuse
• Fall Prevention
ealth
oal 1 Provide Newton residents with more healthy, accessible options.
Objectives:
• Use data and community input to identify factors that significantly impact equity, social determinants of health, and quality of life.
oal 2 Make mental health an e plicit component of public health and wellness activities, recreation opportunities, and nonprofit organization programs.
Objectives:
• Collaborate across sectors to initiate and strengthen partnerships toward making a collective impact to ensure common goals, shared measurement, and coordination of activities.
• Ensure that people in Newton are empowered and equipped to make informed decisions when adopting healthy behaviors.
Objectives:
• Initiate, enhance, and promote efforts to address the social determinants of health to ensure health equity for all people in Newton.
• Promote primary prevention and population-based approaches to maximize health impact at the broadest possible level, while intentionally strengthening prevention resources for populations that experience inequities.
Objectives:
• Encourage the residents of Newton to use MercyOne Newton Medical Center, whenever possible, rather than hospitals in surrounding communities.
• Identify and overcome challenges associated with talent recruitment and retention of medical professionals in Newton’s rural areas.
Objectives:
• Systematically address gaps in the trail and sidewalk infrastructure throughout Newton.
• Identify and mark roadways that are appropriate for bicycle lanes.
oal 3 Provide e panded affordable access to mental health resources, especially for youth and lower income families through early intervention support.
oal 4 upport and grow the local hospital and the number of local healthcare providers in the community.
Newton understands and values the importance and positive impacts of education. By providing more educational opportunities and initiatives for all ages within the community, Newton can expand their outreach and educational impact. By placing an emphasis on equipping the youth of today with appropriate opportunities to grow their knowledge and competencies, this will naturally feed back into the City of Newton and encourage a healthy, prosperous, and equitable community.
“A strong post-secondary education system has a multiplier effect within communities by drawing or retaining young adults to the community, supporting local businesses and industry with local training opportunities, and encouraging an educated population.” ~ Newton’s 2012 Comprehensive Plan
oal 1 hrough education, community knowledge, and empowerment establish a socially and culturally vibrant economy.
Objective:
• Develop, attract, and retain a diverse, highly-capable workforce to support the community’s economic and education prosperity goals.
• Promote programs and initiatives that support entrepreneurship in youth.
Objective:
• Encourage an increased college-level education in the community.
• Inspire new housing opportunities to specifically serve college students.
• Work with DMACC and other postsecondary institutions to provide local job training.
• Partner with DMACC and other postsecondary institutions and the business community to promote apprenticeships, trades, etc.
• Continue to build connections with high school students, DMACC Career Academy, and other DMACC courses.
oal 2 Provide more higher education opportunities.
Objective:
• Attract more preschool through secondary school students to the area by encouraging families to live in Newton.
• Preserve unique programs to draw students from surrounding areas who seek particular education opportunities.
• uild ties with private schools and home school populations to achieve benefits for all.
• Increase the number of clubs and extracurricular programs.
oal 4 Participate in community-supported education initiatives.
Objective:
• Enhance pedestrian routes to schools through sidewalk improvements and ADA compliant ramps at intersections. Utilize “Safe Routes to School” program when possible.
• Build a “walking bus” program for students who live too close to school to qualify for schoolprovided busing, but too far for parents to be comfortable with their child walking alone. A neighborhood representative, parent, or a community volunteer could escort a group of children to school.
• Recruit local businesses to sponsor or support innovative programming for the schools. Students will have the opportunity to learn about real-world career possibilities and work place expectations, which will help train the next generation of innovative, responsible workers while businesses may gain more knowledgeable employees.
• Create a problem solving team to have candid community discussions about educational attainment and propose new approaches to remedy any deficiencies.
• Libraries are excellent repositories of knowledge, and Newton has great library resources. Utilize all libraries in the community towards coordinated education goals. Continue to foster collaboration and coordination between libraries at public and private schools and in the City and region.
• Promote after-school programs for children.
oal 3 ork with partners on initiatives to increase student enrollment.
The City of Newton prides itself on providing a healthy variety of recreation opportunities for its residents and visitors. A key component of the vision for the community park system is to maintain the character and feel of the community, provide sustained and appropriate growth, and meet the needs of a changing population all while maintaining the existing quality of life.
This chapter summarizes information related to the City’s parks and trails compiled as part of the comprehensive planning process, identifies and summarizes recreation facilities and the amenities offered at each location, and provides recommendations and funding opportunities for the growth of the parks and trails system in Newton.
City Parks/Facilities
• Agnes Patterson Memorial Park
• Aurora Park
• Callison Park
• Cardinal Pond
• Denniston Knolls Park
• Westwood Dog Park
• Hillcrest Park
• Lincoln Park
• Maytag Park
• Maytag Pool
• Sersland Park
• Softball Complex
• Sunset Park
• Thirty Acre Park
• Union T-Ball Area
• Westwood Golf Course
• Woodland Park
Private Parks/Facilities
• Newton Arboretum and Botanical Garden (managed by Project AWAKE)
oal 1 Implement a cohesive, effective, and e cient parks, trails, and open space systems plan.
Objective:
• Routinely evaluate and update a system plan and the recreation needs of the community to ensure adequate parks, athletic facilities, open space, and trails are provided.
• Use the plan for the purpose of guiding implementation.
oal 2 Provide residents with parks and natural areas for recreational uses, protection of the natural environment, visual/physical buffering of land development, and as a means to maintain the sense of place, ambiance, appearance, and history of the community.
Objectives:
• Enhance the quality of life within the city by maintaining current parks and recreation spaces along with natural areas to fulfill the present and future needs of residents.
• Use the parks, natural areas, and interconnecting trail corridors to help shape and stimulate development.
• Maintain and enhance the natural character and aesthetic qualities of the community by providing and preserving parks and natural areas.
• Encourage sequential growth within the city in harmony with the natural environment.
oal 3 Provide residents a high quality interconnected trail system for recreation and transportation, and as a means to link parks and open spaces together.
Objective:
• Provide a trail system that emphasizes harmony with the natural environment.
• Allow for relatively uninterrupted pleasure hiking, biking, and other uses to and through the City’s park and open space system and developed areas.
• Effectively tie the various parks together into an interconnected, high quality system, and link the city trail system with those of adjacent townships and the regional park and trail system.
• Protect users’ safety from developmental encroachment and associated vehicular traffic.
oal 4 Establish an effective, ongoing means of communicating and interacting with residents about issues related to parks and recreation facilities, programs, and future development. Provide residents with opportunities to participate in recreation activities and programs throughout the City and with various civic and volunteer organizations.
Objective:
• Promote active and ongoing interaction between the City and its residents to ensure effective recreational programming and facility development.
• Promote ongoing volunteer programs and civic and athletic/youth organizations to encourage residents and community organizations to assist in park improvements, maintenance, and programming.
oal 5 upport the City of Newton’s Parks and Recreation pecialist and partners to provide residents with opportunities to participate in recreation activities through well-designed, effective, and interesting programs.
Objectives:
• Support local recreational providers’ efforts to meet local needs, including those of children, teens, adults, elderly, and the disabled.
• Support and encourage diversity in recreation interests within the community.
• Work with program providers to provide adequate facilities for programmed use in an equitable manner to ensure that all individuals and groups benefit from access to facilities.
Housing has been an important area for Newton since 2012. A partnership was formed with the Newton Housing Development Corporation to create a housing initiative aimed at new housing builds in the community. Utilizing a partnership with Iowa Economic Development Authority, Newton successfully received a matching grant through the Empower Rural Iowa to become involved in the Rural Housing Readiness Assessment through Iowa State University Extension and Outreach – Community and Economic Development and that final document is an appendix to this comprehensive plan.
oal 1 Achieve balanced neighborhoods with a mi of housing types and price points to provide suitable housing for everyone.
Objectives:
• Include a wide mix of housing types and densities in new neighborhood and subdivision developments.
• Support gradual increases in density that allow homeowners to age in place and homebuyers to generate additional income (e.g., townhomes, accessory dwelling units, and other split owner-occupancy/tenancy dwelling types).
• Locate workforce and affordable housing in places with good walking access to jobs and shopping and/or where public transportation is available or planned. It should not be concentrated in any single neighborhood.
• Pursue opportunities to purchase and assemble property, as appropriate, to support the housing needs of the community.
• Encourage the development of housing in every neighborhood for people of all abilities. This includes, for example, the use of universal design principles in new housing.
• Maintain existing and encourage new facilities that allow residents to age-in-place, including neighborhood-based senior living communities of all assistance levels and second unit options/additions on owner-occupied property.
• Provide a range of quality housing choices that address the needs of all income and age groups.
Objectives:
• Review and approve housing development proposals based on consistency with the land use chapter of this plan, including the future land use map and associated policies.
• Ensure both homeowners and landlords are aware of program and financing options for upkeep on properties including energy efficiency.
• Support a clear and cohesive network of agencies that can assist all users of the housing market – whether lenders, tenants, landlords, or homebuyers.
• Enforce property maintenance and nuisance codes to maintain neighborhood quality and prevent blight. If a neighborhood area develops frequent property maintenance problems, it may be a result of a mix of underlying conditions. The City will consider a multifaceted response that includes not only code enforcement but also City and non-profit support services.
• Continue to actively foster neighborhood engagement and encourage upkeep of neighborhoods, especially those in disadvantaged areas, while also investing resources to rehabilitate and revitalize housing stock in strategic areas.
• Infill development should respect the scale, proportion and architectural style of nearby homes to a reasonable extent. The City may consider strategies to actively protect areas that have been locally identified as historically important.
• Continue to encourage and support investments in neighborhoods/districts that strengthen a sense of cohesion and delineation, forming unique and distinct places throughout the City.
oal 2 Maintain quality-housing options as part of safe and healthy neighborhoods for all residents.
oal 3 Craft housing policies that will complement economic development goals of the City, growing business and population in tandem.
Objective:
• Locate new housing in areas with adequate access to jobs, transportation, or other daily-need amenities.
• Encourage high-density development in areas in and near downtown where there is adequate access to transportation options, commercial nodes, and other daily-need amenities.
• Work to develop and maintain a strategy/ process to communicate with the business community on workforce needs, including how best to match those needs with housing types that attract people to live and work in the City.
• Explore code amendments to enable development of lower-cost housing types and forms in all neighborhoods (e.g. smaller lot sizes, small homes, ADU’s, attached unit housing, “cottage courts”, and other styles of development) that meet the needs of the workforce.
• Review development codes and requirements to identify and remove barriers to aging in place for existing and new development.
• Strive to increase the amount of housing that is designed for, affordable for, or designated for multi-generational living.
• Support zoning standards that ensure a variety of housing types.
• Allow for the design of neighborhoods that integrate a range of housing types, densities, and costs consistent with the character and vision of the City.
• Examine housing market conditions in surrounding communities and carefully track housing stock availability as it relates to regional housing needs.
oal 4 trengthen community character by encouraging maintenance and improvements of the e isting housing stock and residential properties throughout the community.
Objectives:
• Develop and maintain existing programs and incentives that encourage property owners to improve and maintain the appearance of their property.
• Promote the preservation and maintenance of the existing housing stock by encouraging and facilitating rehabilitation and renovation and, in some cases, removal of blighted properties.
• Promote the preservation and restoration of historic residential structures and properties within older areas of the community.
• Provide an adequate supply of land zoned for all densities of residential development, particularly medium and higher density areas.
• Encourage infill development in existing residential areas. Creating new housing on vacant parcels in existing residential areas not only expands the local supply of housing but also results in a more efficient use of existing infrastructure.
• Continue to evaluate site plans and building plans for multi-family residential development to ensure that new development compliments existing residential development and fits appropriately within the natural environment and historical context of the immediate neighborhood.
• Emphasize convenient linkages between housing and other land uses in the community, including employment centers. In order to be a balanced, sustainable community, efforts will be made to link all housing and employment centers by roadways, trails and transit facilities.
• Disperse new affordable housing units throughout the community rather than being concentrated in specific areas.
• Emphasize downtown as a residential environment. Downtown provides a range of housing choices that are unavailable in other parts of the community. Higher density housing also strengthens the commercial viability of the core downtown.
Planning for land uses allows Newton to determine the best locations for future growth and development within the city. Good land use planning involves community engagement, wise natural resource planning, and accurate projections in relation to how and where growth will and should occur. It is also important to establish unique characteristics of the area, themes to implement, and types of land use strategies that build upon that character. The following pages consists of two elements:
•An Existing Land Use Map provides a snapshot of the current land uses in Newton.
•A Future Land Use Map provides a description and explanation of the character and qualities of each future land use designation.
The Land Use Maps are a central focus of a comprehensive plan. It provides direction and guidance for how land uses, infrastructure, and related elements fit within the geographic context of the community. It also provides direction for how growth should be accommodated, including: character, scale, and intensity. Additionally, it serves as a guide for new development proposals and investments.
The plan places every parcel of land in the City into a classification. Future land use classifications and zoning districts are not one in the same. Land use classifications reflect the desired future development pattern in a given area. oning districts, on the other hand, more specifically define and regulate what kinds of uses are allowed on specific parcels and outline design and development requirements and guidelines. The comprehensive plan encompasses three broad categories of land use to guide the growth and development of Newton. Residential land uses provide areas for people to live. Non-residential land uses represent the locations dedicated to the sale of goods and services to the community, and to centers of employment for the community and the region. Public land uses encompass government facilities, public parks, public schools, cemeteries, and public-owned and managed natural areas.
Growth Boundary
Single-Family Residential
Multi-Family Residential
Commercial
Neighborhood Commercial
Industrial
Public / Institutional
Airport
Green Space / Agricultural
Tourist Commercial
Downtown Mixed Use
The following goals and objectives will help guide the decision making process as Newton continues to grow and prosper.
oal 1 Create an economically and environmentally sustainable development pattern.
Objectives:
• Development within the City’s jurisdiction should support the use of existing public services and infrastructure.
• Encourage new development that uses land efficiently.
• Encourage development formats and building designs that support adaptive reuse as markets shift and demand changes.
• Protect and respect natural resources and systems in all development decisions.
• Require consistency with this Envision Newton 2042 Comprehensive Plan in all zoning and land division decisions.
oal 2 Establish balanced neighborhoods throughout the City.
Objectives:
• Use the City review processes to encourage design for land use compatibility.
• Institutional land uses designated by the Institutional and Utilities category on the Future Land Use Map (schools, churches, community centers) should communicate with surrounding neighbors whenever they are considering long-term expansion plans. This process should include detailed small area plans that include the possible expansion.
• Promote quality neighborhood development that includes an appropriate mix of uses by requiring the adoption of conceptual development plans prior to plat approvals, unless detailed land use plans are adopted as a component of this plan.
• Enforce property maintenance codes to maintain neighborhood quality and prevent blight.
oal 3 Create places that are vibrant, attractive and unique, especially along the City’s main corridors and downtown.
Objectives:
• Encourage the development of compact, carefully planned, mixed-use activity centers that include shopping, employment, housing, recreation, and community gathering opportunities.
• Work to achieve a balance among various commercial areas along main corridors (and throughout the City) with design formats and business mixes that allow each area to compete successfully and sustainability in the market.
• Identify commercial development opportunities in appropriate neighborhood settings that fit the site, both in terms of specific use and building and site design.
• Encourage and facilitate placemaking strategies to make neighborhoods and commercial areas unique, memorable, and attractive.
• Encourage infill development of vacant or underutilized lands or buildings.
• Consider development incentives (e.g., waivers, flexibility, and/or TIF assistance) to encourage and support infill and redevelopment projects that substantially improve the district, corridor and City as whole.
The natural environment is among Newton’s most important assets because it provides natural and economic opportunities as well as habitat for wildlife. In fact, since Newton is in the heart of Iowa, it highlights central Iowa’s natural beauty, native species, and global impact.
Protection and enhancement of natural resources can directly benefit people through protection of drinking water sources and supporting industries such as agricultural, forestry and tourism. Through preserving and enhancing natural resources, quality of life is also improved, which is attractive to potential residents and increases land values.
The challenge for the community is to adopt and implement regulations and programs that accommodate land uses while conserving the quality of the natural environment. An overarching goal of the City is to protect and enhance natural resources such as lakes, forests, prairies, agricultural land, and wildlife.
Objectives:
• Preserve significant natural resources as open space and recognize their value as part of the overall open space system.
• Maintain and enhance the character or appeal of the community through interconnected natural open spaces.
• Encourage orderly and sequential growth within the community and in harmony with the natural environment.
• Ensure sustainable and desirable natural resource areas and ecological systems are protected and managed within the city.
Objectives:
• Preserve, enhance, and where possible, restore the natural and beneficial functions of wetlands, streams, rivers, creeks and lakes.
• Implement and/or encourage the implementation of stormwater best management practices to reduce the speed and impact of stormwater runoff.
oal 3 Restore the natural diversity, dynamics, distributions, habitats, and behaviors of Newton’s native plant and animal populations.
Objectives:
• Preserve and protect the existing native plants and animals, as well as re-establishing them where possible.
• Promote the return of native Iowa vegetation to enhance the ecosystem’s ability to handle human and natural impacts and to support the beauty of natural areas.
• Re-populate historic native plant types where possible, and initiate and maintain the processes that sustain them (i.e. prescribed prairie burns)
• Restrict development within environmentally sensitive areas including floodplains, steep slopes, wooded areas, and wetlands.
oal 4 Maintain and improve recreational features (parks, trails, and open space) and their services for current and future safe access and use.
Objective:
• Ensure all public parks, green spaces, and services within Newton are safe and easy to access.
• Provide accessibility for all individuals through the use of accessible parking spaces, play equipment, and paved trails.
• Provide connected networks of pedestrian and bike friendly pathways that link public parks and communities, area attractions and destinations.
• Maximize the use of current parks by researching, introducing, implementing, and evaluating state of-the-art equipment and activities.
oal 5 ork with partners to promote and conduct environmental education to create awareness and behavior change for improved natural resources.
Objectives:
• Educate the public on the significance of preserving, protecting, restoring, and enhancing Newton’s natural resources.
• Promote natural resource protection programs that are easy to implement and understand to allow people of all ages to become involved.
• Establish opportunities for community members to connect with nature to gain a sense of environmental awareness and responsibility.
• Promote experiential and place-based educational programs to encourage active participation and develop a sense of community ownership.
• Provide opportunities for volunteers to educate and learn.
The purpose of this section is to provide guidance for decisions regarding the nature of roadway infrastructure improvements necessary to achieve safety, adequate access, mobility, and performance of the existing and future roadway system. The primary goal of this chapter is to establish local guidance for major transportation investments and policy decisions. To accomplish these objectives, the transportation section provides information about the functional hierarchy of streets and roads, non-motorized transportation, and transit.
oal 1 Create connected, livable neighborhoods that have multimodal transportation options for all residents.
Objectives:
• Explore strategies to ensure the street network is safe, convenient, and attractive for everyone regardless of age, ability, or mode of transportation.
• Promote walkable neighborhoods that also provide transportation choices and convenient access in both existing and future sections of the City.
• Discourage cul-de-sac streets in favor of connected streets that provide transportation flexibility and increased safety in case of obstructions, in addition to being a more efficient use of land.
• Promote active transportation connections to every new development project, and encourage additional amenities (e.g., bike racks, bike repair stands, hydration stations, etc.) in developments, public parks and other public facilities where feasible/appropriate.
• Identify and repair broken and substandard sidewalks throughout the City and explore programs or incentives to encourage the construction of new sidewalks.
• Identify locations for electric vehicle charging stations for better accessibility to green and fuel alternative transportation.
oal 2 ink residents to jobs, services, and other regional amenities through a multi-modal transportation system.
Objectives:
• Maintain functional and convenient access from US Highway 6 & I-80 to the Downtown and other business/employment districts throughout the City.
• Ensure transportation systems meet the needs of local businesses and industries.
• Maintain the safety and efficiency of existing transportation corridors while also seeking safe and efficient travel in the City for residents.
• Connect gaps in multi-modal transportation networks that connect Newton to neighboring communities for both off – and on-street facilities.
• Annually plan for new connections that increase resident access to regional connections in the bike and trail network.
• Collaborate with responsible jurisdictions to ensure roadway improvements (including Jasper County and State roadways) have multi-modal aspects integrated into planning and development or appropriate alternatives are developed.
• Evaluate the City’s transit system annually, making sure the system is efficient and cost effective in meeting the demands of all City residents and visitors.
oal 3 Improve public health and safety through an integrated transportation network.
Objectives:
• Seek to minimize conflicts between motorized and non-motorized traffic by improving street crossings using off-street paths, and implement protected lanes where appropriate. Prioritize investment where they will serve the daily needs and interests of residents by improving access to daily destinations such as jobs, schools, grocers, medical services, etc.
• Design, build, and operate the City’s transportation network to support safe and timely response to emergencies.
• Design and retrofit local streets with traffic calming features, where necessary and appropriate.
• Collaborate with the Newton Community School District on safe transportation for students, including walking, biking and busing, both in neighborhoods and near each school site.
• Provide convenient, affordable transportation options that enable people of all ages and abilities to access jobs, services and other destinations to meet their daily needs. This should include options for people without access to a personal vehicle.
• Ensure compliance with the Americans with Disabilities Act (ADA) whenever an existing facility is reconstructed.
• Partner with bike advocacy groups to support and expand education/encouragement programs throughout the City.
Objectives:
• Consider the use of “green street” principles in new and reconstructed streets to minimize stormwater runoff as appropriate and where specific site conditions allow.
• Leverage new technologies that can efficiently manage and improve transportation networks in the City, such as intelligent transportation systems (e.g. enhanced signal coordination).
• Promote alternatives to single-occupancy vehicle use through strategic investments in alternative transportation, and/or public and employer-based commuting programs.
• Review the City’s off-street parking requirements periodically to assess their effectiveness in making efficient use of land for vehicle parking. When appropriate, reduce minimums and consider enacting maximums to avoid excess parking spaces.
The purpose of the Utility section is to prepare for existing system needs while also planning for potential future growth and development. Public utilities that provide water resources and sanitation collection are essential in community life and future community development. As the population, industry and commercial services develop and community needs increase, it is important to ensure that demand for these services does not exceed the supply or capacity.
oal 1 Provide a high-quality, cost-effective, well-planned and e cient system of public utilities.
Objectives:
• Make efficient use of City funds by applying standardized criteria to each spending decision. Always ask, what is the goal of the investment, and is spending this money going to achieve that goal? Are there any other sources of funding available?
• Serve all urban development within the City of Newton with the full array of urban services including municipal sewer, water, and stormwater management facilities, broadband, electrical, and natural gas, municipal police and fire protection, refuse removal, urban street and bicycle/ pedestrian facilities, etc.
• Maintain and improve the utility infrastructure to ensure adequate capacity and integrity to serve existing users and accommodate new service areas. The first priority will be maintaining the reliability of existing systems and services.
• All new development proposals shall be reviewed by all City departments and local utility providers to ensure that essential utilities can be provided to the subject development area in a timely and efficient manner.
• Avoid environmentally sensitive areas when planning the location of utilities to minimize adverse impacts, to the greatest extent possible.
oal 2 tility system planning and implementation will occur in coordination with land use and transportation plans and projects.
Objective:
• Maximize the use of existing utility systems by encouraging infill development that uses existing infrastructure investments.
• Discourage suburban development served by septic systems (i.e. residential densities greater than one unit per 35 acres, non-agricultural commercial, industrial and institutional) within the Planning Area, unless allowed by an adopted cooperative plan.
• Consider methods to recover the costs of new City utility facilities necessitated by new growth. In general, the City shall require new growth to pay its fair share of the costs associated with providing essential City utility infrastructure.
• Discourage inefficient “leap frog” development that results in infrastructure constructed before there is adequate customer base in place to support its maintenance.
• Adhere to the City’s annexation policies and consider the Land Use Plan when determining the feasibility of serving possible annexation lands with utilities.
One of the key components of planning for hazard mitigation is a risk assessment for the future. It is critical to monitor hazards, even those rated as low risk, as catastrophic events are often unpredictable.
The City of Newton adopted the Jasper County Multi-Jurisdictional Hazard Mitigation Plan which was developed following recommended methodology by both FEMA (Federal Emergency Management Agency) and Iowa Homeland Security and Emergency Management Division. Newton uses the adopted Jasper County Multi-Jurisdictional Hazard Mitigation Plan as a base for the initiatives found in this chapter to maintain consistency with hazard mitigation efforts occurring throughout the county.
This chapter will provide a focus on recommendations from the Jasper County Hazard MultiJurisdictional Mitigation Plan, disaster response, and disaster recovery. Building a disaster resistant community is a challenge that undertakes actions to protect families, businesses, and public facilities by reducing the effects of natural disasters.
The following funding sources are taken directly from the Jasper County Multi-Jurisdictional Hazard Mitigation Plan.
The HMGP assists in implementing long-term hazard mitigation measures following Presidential disaster declarations. Funding is available to implement projects in accordance with State, Tribal, and local priorities.
The PDM program provides funds on an annual basis for hazard mitigation planning and the implementation of mitigation projects prior to a disaster. The goal of the PDM program is to reduce
overall risk to the population and structures, while at the same time, also reducing reliance on Federal funding from actual disaster declarations.
FMA provides funds on an annual basis so that measures can be taken to reduce or eliminate risk of flood damage to buildings insured under the NFIP.
The mission of FEMA’s PA program is to provide assistance to State, Tribal and local governments, and certain types of Private Nonprofit organizations so that communities can quickly respond to and recover from major disasters or emergencies declared by the President. Through the PA program, FEMA provides supplemental Federal disaster grant assistance for debris removal, emergency protective measures, and the repair, replacement, or restoration of disaster-damaged, publicly owned facilities and the facilities of certain private non-profit organizations. The PA Program also encourages protection of these damaged facilities from future events by providing assistance for hazard mitigation measures during the recovery process. The Federal share of assistance is not less than 75% of the eligible cost for emergency measures and permanent restoration. The grantee (usually the State) determines how the non-Federal share (up to 25%) is split with the eligible applicants.
The SBA provides low-interest disaster loans to homeowners, renters, businesses of all sizes, and most private nonprofit organizations. S A disaster loans can be used to repair or replace the following items damaged or destroyed in a declared disaster: real estate, personal property, machinery and equipment, and inventory and business assets.
The Housing and Urban Development Agency
Provides flexible grants to help cities, counties, and States recover from Presidentially declared disasters, especially in low-income areas, subject to availability of supplemental appropriations.
The Community Development lock Grant (CD G) program is a flexible program that provides communities with resources to address a wide range of unique community development needs. Beginning in 1974, the CDBG program is one of the longest continuously run programs at the Housing and Urban Development Agency. The CDBG program provides annual grants on a formula basis to 1209 general units of local government and states. HUD provides flexible grants to help cities, counties, and states recover from Presidentially declared disasters, especially in low-income areas, subject to availability of supplemental appropriations.
oal 1 Reduce and/or eliminate the risk to the people and property of Newton from the identified priorities in the asper County azard Mitigation Plan
Objectives:
• Minimize injuries and loss of life due to the impacts of natural hazards.
• Reduce or eliminate damages to property due to natural hazards.
• Manage response operations with or without state and federal assistance.
• Help ensure timely resumption of business operations.
• Return to pre-disaster conditions in a timely and pre-planned manner.
oal 2 trive to protect all of the vulnerable populations, structures, and critical facilities in Newton from the impacts of identified hazards.
Objectives:
• Improve public outreach initiatives to include education, awareness and partnerships with all willing entities in order to enhance understanding of the risks Newton faces due to the impacts of identified hazards.
• Enhance communication and coordination within all agencies, between agencies, and with the public.
Although the City of Newton local municipal government is the main adopter, keeper, and implementer of this plan, it is hoped that community partners will utilize this plan as a guiding document. Newton has a long tradition of excellence in City governance, shining bright among its peers in Iowa and around the country – several of which have inquired about or adopted policies based on Newton’s approach. The City will continue to approach its governing responsibility and other cities with transparency, cooperation, and a positive attitude of service.
Objectives:
• Enforce, abide by, and maintain existing intergovernmental/cooperative agreements with neighboring jurisdictions to provide predictability for property owners, avoid municipal boundary disputes, and plan for efficient provision of public facilities and services.
• Work closely with the school district to foster communication, relationships, and knowledge about facility planning and other district activities/efforts that impact residents.
• Work with other governmental entities to implement policies that further City objectives and reinforce City plans.
• Regularly schedule a working session with the Newton Community School District, involving elected officials and key staff for both the City and the schools to discuss issues of concern and opportunities for collaboration.
• Meet with representatives from each adjacent jurisdiction during the annual process to update the City’s Capital Improvement Plan and coordinate projects as appropriate.
oal 1 ork closely with neighboring jurisdictions and other governmental entities to achieve sustainable development patterns and enhance the e ciency and quality of public services.
Responsibility for implementing this plan lies primarily with the Planning & Zoning Commission, City Council and city staff. It is also up to organizations, businesses, and residents to realize and achieve the plan’s stated goals and objectives.
City Council sets priorities, approves budgets and tax rates, and often has the final say on key aspects of public and private development projects. The value and legitimacy of this plan is directly related to the degree to which Council members are aware of the plan and expect City actions to be consistent with this plan. Each Council member should have a copy of this plan and be familiar with the major goals and objectives described herein. The City Council should expect and require that staff recommendations and actions reference and remain consistent with this plan, or that the plan is amended as needed to fit changing conditions.
Land use and development recommendations are a core component of this plan, and the Planning & Zoning Commission serves in a major role in guiding those decisions. Planning & Zoning Commission members shall each own a copy of this plan and shall be familiar with the content, especially Chapter 12: Land Use. It is generally the responsibility of the Planning & Zoning Commission to determine whether proposed projects are consistent with this plan, and to make decisions and recommendations that are consistent with this plan. In cases where actions that are inconsistent with this plan are deemed to be in the best interest of the City, the Planning & Zoning Commission should initiate efforts to amend the plan to better reflect City interests. This will help to reinforce the legitimacy of the plan as an important tool in guiding City decision making.
City staff have a significant influence on the selection and completion of all kinds of capital and operational projects. It is imperative that City staff know about, support, and actively work to implement the various strategies and actions in this plan.
Specifically, the following people should consult and reference the comprehensive plan during goalsetting processes, annual budgeting, planning for major public projects, and in the review of private development projects: the City Administrator, City Clerk, Community Development Staff (including economic development employees), Community Services Staff, and Public Works Staff
These key staff members are expected to know and track the various goals, strategies, and vision laid out in this plan, and reference that content in communications with residents, business owners, and elected and appointed officials as appropriate. All other staff members should be aware of the plan and the connections between the plan and City projects. The purpose of this extra effort is to strengthen staff recommendations and reinforce the plan as a relevant tool integral to City functions and decision making.
Implementation of this plan also depends on the actions and decisions of entities other than City government. Some responsible, non-municipal parties that the City collaborates with include:
•Newton Community School District
•Jasper County
•Iowa Department of Transportation
•Iowa Department of Natural Resources
•Des Moines Area Metropolitan Planning Organization
•DMACC
•Newton Development Corporation
•Newton Housing Development Corporation
•Newton Main Street
These entities will be pivotal partners in the implementation of the vision, goals, and strategies of this plan.
The following activities can support this effort:
•Share this plan with each organization, including a memo highlighting sections of the plan that anticipate collaboration between the City and the organization.
•Take the lead role in establishing collaboration for key or crucial initiatives of the City that require regional participation.
•Understand and communicate the intent of relevant objectives and strategies—partner organizations need to understand and buy into the rationale before they will act.
•Utilize the goals and vision from the plan to support requests for monetary support for City efforts.
Many of the strategies identified in this plan presume the use of existing City ordinances, regulations, and programs. The City’s key implementation tools include:
Operational Tools
•Annual Goal-Setting Process
•Annual Budget Process
•Capital Improvement Plan
Regulatory Tools
•Building and Housing Codes
•Zoning Ordinance
•Subdivision Regulations
•Jasper County Ordinances
•State Regulations
•Federal Regulations
Funding Tools
•User Fees
•Tax Abatement
•Tax Increment Financing (TIF) Districts
•Development Fees
•State, Federal, and Private Grant Programs
Surrounding Area Comprehensive Plans
•Jasper County
•Des Moines Metropolitan Area
To provide lasting value and influence, this plan must be used and referenced regularly, especially during budgeting and goal setting processes.
To provide lasting value and influence, this plan must be used and referenced regularly, especially during budgeting and goal setting processes. To inform the annual processes, City staff shall prepare a concise Envision Newton 2042 Comprehensive Plan Annual Report for the City Council with input from the Planning & Zoning Commission, including the following information.
•Action items in progress or completed during the prior 12 months (celebrate successes!)
• Staff recommendations for action items to pursue during the next 12 months, including removing or adding items.
•City actions and decisions during the past 12 months not consistent with the plan (if any).
• Staff recommendations for any amendments to the adopted plan.
The most important opportunity for this plan to influence the growth and improvement of the City is through the annual goal-setting, budgeting and capital planning processes. These annual efforts determine what projects will and will not be pursued by the City, so it is very important to integrate this plan into those processes every year.
The compilation of actions in the next section is a resource to support decisions about how and where to invest the City’s limited resources. The Annual Report should draw from these actions and decisions.
The Planning & Zoning Commission should make formal recommendations for the Council’s consideration, identifying those choices and commitments most likely to further the goals and objectives identified in this plan.
The following process and schedule is recommended.
• Step 1 – Staff completes the Envision Newton 2042 Comprehensive Plan Annual Report.
•Step 2 – Planning & Zoning Commission considers Envision Newton 2042 Comprehensive Plan Annual Report and makes formal recommendation to City council regarding action items to pursue and comprehensive plan amendments.
•Step 3 – Department directors consider Envision Newton 2042 Comprehensive Plan Annual Report and Planning & Zoning Commission recommendations, then complete goal setting exercises. City Council holds a public hearing and considers adoption of any comprehensive plan amendments.
•Step 4 – City Council uses the Envision Newton 2042 Comprehensive Plan during their annual goal setting workshops
•Step 5 – Budget preparation process
•Step 6 – Budget adoption
The action plan detailed on the following pages is designed as a guide to help City officials, community leaders, and private investors prioritize opportunities and address issues with the City and the surrounding area. The desired vision for the City cannot be created over night. However, by incrementally implementing the recommendations within this plan, the City can achieve the desired outcomes set forth in this comprehensive plan.
elow are several of the broad funding sources available to help offset costs to complete the projects listed in this plan.
It is assumed that some general funds and/or general obligation bonds will be required to assist with the completion of projects or as a matching source for state or federal grants.
Particular projects that benefit individual properties (e.g. water, sewer, or sidewalk installations) could be funded through special assessments whereby the City recoups initial design and construction costs through increased property tax assessments on those properties for a set period of time.
Projects related to drinking water, sanitary sewer, and storm water could be funded using system revenues, bonds, or fees collected from system users across the community.
Some of the wayfinding projects could be partially or fully funded through private donations or public fundraising. Funding for other infrastructure projects can also be offset by using funds from impact fees the City collects as part of the approval of new development.
There are many different state or federal grants and programs that may be able to offset the costs of some of the identified projects.
Tax increment financing is a program that uses additional taxes generated from a development in a TIF district to fund specified public improvements in a community. This program helps offset the impacts of new development on a community while improving the attractiveness of the City.
upport and e pand the City’s economic base.
Residents will have or know how to attain/learn the skills necessary to achieve professional growth, personal success and financial stability, and employers will benefit from more skilled staff to maintain and e pand business development initiatives.
Promote, e pand and diversify the local economy.
Business investment will support the health and vitality of the Newton community.
Enhance the identity of the city by building on Newton’s traditional urban character, natural amenities, and unique history.
Draw visitors to the community with our authentic community character, special events, and public facilities.
Implement design standards and regular maintenance procedures to provide safe and accessible public spaces throughout the community for all residents and visitors.
Establish both pedestrian and vehicle friendly areas that are aesthetically pleasing and functional.
Provide clear pathways and connections to make accessibility feasible for all residents and visitors.
Improve the quality of surface water runoff by continuing to implement stormwater best management practices, maintain the stormwater management system, and e pand facilities as necessary in accordance with the City’s adopted policies and ordinances.
Continue to be recognized as a green community.
Provide Newton residents with more healthy, accessible options.
Provide e panded affordable access to mental health resources, especially for youth and lower income families through early intervention support.
upport and grow the local hospital and the number of local healthcare providers in the community.
E pand the walking and biking initiatives in Newton.
hrough education, community knowledge, and empowerment establish a socially and culturally vibrant economy.
Provide more higher education opportunities.
Participate in community-supported education initiatives.
Implement a cohesive, effective, and e cient parks, trails, and open space systems plan.
Provide residents with parks and natural areas for recreational uses, protection of the natural environment, visual/physical buffering of land development, and as a means to maintain the sense of place, ambiance, appearance, and history of the community.
Provide residents a high quality interconnected trail system for recreation and transportation, and as a means to link parks and open spaces together.
Establish an effective, ongoing means of communicating and interacting with residents about issues related to parks and recreation facilities, programs, and future development. Provide residents with opportunities to participate in recreation activities and programs throughout the City and with various civic and volunteer organizations.
upport the City of Newton’s Parks and Recreation pecialist and partners to provide residents with opportunities to participate in recreation activities through well-designed, effective, and interesting programs.
Achieve balanced neighborhoods with a mi of housing types and price points to provide suitable housing for everyone.
Maintain quality-housing options as part of safe and healthy neighborhoods for all residents.
Craft housing policies that will complement economic development goals of the City, growing business and population in tandem.
trengthen community character by encouraging maintenance and improvements of the e isting housing stock and residential properties throughout the community.
Create an economically and environmentally sustainable development pattern.
Establish balanced neighborhoods throughout the City.
Create places that are vibrant, attractive and unique, especially along the City’s main corridors and downtown.
Natural Resources tewardship Provide for the preservation and conservation of ecological systems and natural resources.
Preserve, protect, restore, and enhance the quality of Newton’s ground and surface water.
Restore the natural diversity, dynamics, distributions, habitats, and behaviors of Newton’s native plant and animal populations.
Maintain and improve recreational features (parks, trails, and open space) and their services for current and future safe access and use.
Promote and conduct environmental education to create awareness and behavior change for improved natural resources.
Create connected, livable neighborhoods that have multimodal transportation options for all residents.
ink residents to jobs, services, and other regional amenities through a multi-modal transportation system.
Improve public health and safety through an integrated transportation network.
Reduce the environmental impact of the transportation system.
Provide a high-quality, cost-effective, well-planned and e cient system of public utilities.
tility system planning and implementation will occur in coordination with land use and transportation plans and projects.
Reduce and/or eliminate the risk to the people and property of Newton from the identified priorities in the asper County azard Mitigation Plan.
trive to protect all of the vulnerable populations, structures, and critical facilities in Newton from the impacts of identified hazards.
ork closely with neighboring jurisdictions and other governmental entities to achieve sustainable development patterns and enhance the e ciency and quality of public services.
Page intentionally left blank
This Housing Study serves as an accompaniment to the Rural Housing Readiness Assessment, taking an in-depth look at data and market needs that complement the ideas established in that process. It serves to communicate housing needs to residents, developers, and any other parties interested in the shared housing market of Newton, Iowa.
With special thanks to: The participants who provided feedback to help define the final recommendations of this document.
Prepared for: City of Newton
101 W. 4th St. S. Newton, IA 50208 (641) 792-2787
Prepared by:
MSA Professional Services, Inc.
1555 SE Delaware Ave., Suite F
Ankeny, Iowa 50021
MSA Project Team
•Chris Janson, AICP
•Shannon Gapp, AICP
•Shawn Oshea, AICP
•Claire Michelson, AICP
•Lauren Dietz, AICP
•Emily Huston
Mayor and City Council
•Mayor Michael L. Hansen
•Mark Hallam
•Vicki Wade
•Craig Trotter
•Melissa Dalton
•Evelyn George
•Randy Ervin
City Staff
•Erin Chambers
•Brian Dunkelberger
•Danielle Rogers
Steering Committee
• Mayor Michael Hanson – Elected Official
•Bruce Showalter – Newton Housing Development Corporation/Habitat for Humanity
•Jennifer Cook - Newton Housing Development Corporation/Great Southern Bank
•Tom Messinger - Newton Community School District Superintendent
•Toni Peska - Heartland Iowa Realty
•Josh Syhlman – General Manager TPI Composites
•Tanya Michener - Newton Development Corporation
•Captain Janelle Cleaveland – Newton Salvation Army
•Craig Armstrong – City of Newton Development Specialist (RHRA Contact Person)
•Jorge Arreloa – Newton Resident
o1 CHAPTER
ABOUT NEWTON’S HOUSING
•Introduction
•Rural Housing Readiness
•Educational Workshops 1-2
•Community Survey
•Educational Workshop 3
•Educational Workshop 4
o2 CHAPTER
RENTAL MARKET
•Rental Unit Type
•Renting Housing Size
•Rental Unit Age
•Renting Housing Cost
•Rental Market Tenure
• Affordability Limits in the Market
o3 CHAPTER
OWNER OCCUPIED MARKET
•Age of Householder
•Owner Occupied Household
•Owner Occupied Unit Types
•Owner Occupied Housing Size
•Mortgage Status
•Tenure in the Housing Market
•Tenure by Income
•Jasper Housing Statistics
•Study Process
• Age
•Income
•Workforce
•Population Growth
•Rental Housing Stress
•Rental Stress by income
•Rental Unit Consumption
•Examples
• Affordability Limits
•Owner Occupied Housing
•Owner Occupied Stress by Income
•Owner Occupied Unit
• Affordability Trends
•Housing Availability
o4 CHAPTER UNIT DEMAND & RECOMMENDATIONS
•Ownership Recommendations
•Rental Recommendations
•Key Takeaways
Beginning in 2021, the City of Newton requested assistance with a visioning and action planning process focused on improving housing affordability, access, and quality in Newton. Utilizing a partnership with Iowa Economic Development Authority (IEDA), Newton successfully received a matching grant through the Empower Rural Iowa to become involved in the Rural Housing Readiness Assessment (RHRA) program through Iowa State University Extension and Outreach— Community and Economic Development (ISUEO-CED). ISUEO-CED organized and facilitated a process that involved the steps below:
1. Conduct educational workshops with members of a housing steering committee
2. Complete a visioning session
3. Conduct a session on action planning
4. Prepare a Housing Assessment report
Steering committee members were asked to fill out a RHRA self-assessment Workbook, including gathering previous housing plans, identifying relevant housing-related sections of the City’s Code, and inventorying housing programs offered in the community. Newton’s completed workbook highlighted the following:
1. Newton has several active housing programs. However, input suggested that there is a need for city staff and the housing steering committee to better inform the public of on-going projects, and further outline the strategic objectives each project strives to address.
2. The Workbook also noted that residents appointed to the Planning and Zoning Commission and to the Board of Adjustment have received training from the City of Newton. Newton is encouraged to consider accessing additional training for its boards and commissions through programs like: Iowa State University Extension, the Iowa League of Cities, local Council of Governments Organization, and other online courses that are easily accessible and affordable.
3. The study also indicated that Newton currently does not utilize a lead abatement program. Newton may benefit from supplemental resources to address potential lead paint in older homes.
4. Furthermore, Newton does not have an established process to investigate housing discrimination. It may be beneficial to develop a process for addressing this type of concern.
5. The committee comments shared during the four RHRA workshops indicated a desire for continued feedback and engagement with Newton’s residents on housing. It may be helpful to develop an ongoing and regular process for obtaining such information.
The City of Newton’s RHRA Workbook, along with the public input gathered, were explored during the planning workshops, and ultimately became part of the overall housing vision created by the steering committee.
1. Conduct two educational workshops with members of the housing steering committee planning session
4. Preparation of a final report
The first workshop presented steering committee members with current housing data in Jasper County and the City of Newton. It also offered steering committee members the opportunity to consider housing through three key lenses: Housing Access, Housing Affordability, and Housing Quality. The second workshop explored decision points in local policy for improving affordability, access, and quality of housing in a community.
These two sessions helped the steering committee understand their current housing situation, reflect on existing housing data, and explore how Newton’s current reality has been shaped by community action. Lastly, the educational workshops set the foundation for the visioning and action planning process that occurs in the following sessions.
Through collaboration with ISUEO-CED, committee members created a community survey to gather input on housing concerns. They also made the survey available to community members through social media and shared the survey on their websites and press releases to the residents.
The public input survey received a total of 511 responses. A few key facts about the survey participants include:
• 86% of respondents were residents of the City of Newton.
• 77% have lived in Newton for over 10 years.
• 85% of participants identified as homeowners and 13% renters.
• Approximately 30% of respondents identified as male and close to 70% as female.
• Over 60% of participants were between the age of 26 – 55.
Key to the survey was asking participants to envision housing improvements in Newton, perceived barriers to progress, and effective actions to improve housing. These responses were organized by the ISUEO-CED team and incorporated into the planning workshops alongside input from the committee.
Key themes identified in the third workshop relating to desired outcomes included:
Attractive Neighborhoods, Expanded Community Amenities, Effective Communication & Community Leadership, Facilitation of Lot Development, Increased Availability of Housing Options, and Continued Focus on Resident Satisfaction. Key points relating to each are elaborated upon below.
Attractive Neighborhood
• Residents will take care of their properties
• Improved quality and condition of rental properties
Expanded Community Amenities
• Sidewalks and trail access in every neighborhood
• Improved amenities and housing at Legacy Plaza
• Improved curb appeal of residential areas
• Continuation of the Dangerous & Dilapidated (D&D) Program
• People choose to live in Newton even if they don’t work here
Effective Communication & Community Leadership
• Development of committee to study homelessness solutions
• Codes and ordinances enforced diligently
• Interactive Newton housing communication dashboard
Facilitation of Lot Development
• Variety of lots exist – including lots with big yards
• 2 to 4 lot subdivisions created in Newton
• Incentive programs to attract housing developers at needed price range
Increased Availability of Housing Options
• Availability of housing for all income levels
• Variety of good housing options
• More quality market-rate rental housing
• More mid-level housing ($150K –$225K)
Continued Focus on Resident Satisfaction
• Decrease drug and crime activity
• Better jobs will support higher-end housing
• More young families will live in Newton
• Create a Citizen Housing Advisory Board
• City leaders communicate housing strategy more effectively
• Encourage local builders to become more active in new construction instead of small project remodel
• Improved housing caused by increased business development
• More senior housing
• More low-to-middle Income housing options
• Increased number of spec homes built
• Increase number of housing units downtown
• Community pride will improve
• Economy recovered from COVID-19 pandemic
As part of the process, the group conducted a SWOT (Strengths, Weaknesses, Opportunities, and Threats) Analysis. The results are summarized below:
• Generally, excellent physical infrastructure
• Community leaders support housing
• Community awareness – residents want an attractive community
• Abundance of land for housing
• Demand identified by residents for housing
• Creative (out-of-the box) thinkers on housing steering committee
• Committees communicate with each other
• Great location
• Development of quality housing for all income levels
• Population growth and economic growth
• Top choice to live and raise a family
• Quality of employees that schools would attract
• Expanded workforce options
• Limited financial resources in some neighborhoods
• Perception in Des Moines metro that Newton is far away
• Perception that Newton lacks amenities and social activities
• Limited engagement by all sectors of community
• Public services will be stretched
• Density can have a negative effect on crime
• Do we have education infrastructure in place to meet larger demand?
• Understand that Newton will need to expand amenities
• Population growth not following growth of housing units would create vacancy issue
In 2019, there were 16,298 housing units in Jasper County. Of this total, 10,858 were owneroccupied, 3,716 were renter-occupied, and 1,724 were vacant. The median year for which housing was built in Jasper County is 1966. In Jasper County, a majority of owner-occupied
housing is detached single family homes; for renter-occupied housing, there are more 1-unit structures than any other type Seasonally vacant housing units account for 6.1% of all vacant units.
This study uses a variety of methods and data to better understand Newton’s housing market. Objective, measurable data were collected from the cities, the Multiple Listing Service (real estate listings and sales), real estate aggregators, Jasper County, the State of Iowa, the U.S. Census Bureau, and the U.S. Department of Housing and Urban Development. At times, Newton is compared to other cities (Mitchellville, Colfax, Monroe, Prairie City) in the region, to larger regional entities (Jasper County, Des Moines metro), and to itself in the form of time-series data to reveal housing trends. The study also incorporates interviews with people familiar with the housing market and a community survey of area residents.
The IEDA provided grant funding for this joint strategy. The project is in coordination with Iowa State University - Extension and its RHRA to help communities create the vision and actionable basis for many items and programs. ISU Extension conducted a series of Housing Assessment workshops, generating significant public input for this report. This project also received funding through Alliant Energy, which assists with regional solutions across local communities. Officials from Newton coordinated to apply for the grant.
The planning team met with a variety of residents with knowledge and insight into the local housing market, including those who know it best: real estate agents, lenders, developers, landlords, employers, and employees. Feedback collected through these interviews often naturally gravitated toward similar topics and knowledge, indicating a strong shared understanding of how the local housing market functions. This feedback is used throughout the report.
An online community survey was conducted as part of this process, receiving 511 responses
from individuals that either live, work, or recreate in Newton. The survey was promoted through an extensive community network, as well as through the city’s media and social media channels. Full responses to the survey are provided in the RHRA Report, and relevant findings are discussed throughout this report, including insights from cross-tabulations between various demographics.
All American Community Survey (ACS) data in this report utilizes 5-Year Estimates from the most recent US Census Bureau data release – the 2015-2019 data vintage. The U.S. Department of Housing & Urban Development (HUD) releases custom tabulations of ACS data annually, known as the HUD Comprehensive Housing Affordability Strategy (CHAS) dataset, that better portrays housing statistics and needs. The CHAS dataset is used throughout this report to supplement certain study components in which newer data sources do not provide the necessary level of detail. Due to the custom tabulations, releases are slower than typical for normal US Census data products; therefore, the CHAS data vintage utilized in this report is 2014-2018.
Age trends are used to help predict current and future needs of the community – especially needs related to housing, recreation, education, and service amenities.
As people continue to age or add members to their households, their needs change as well. Since 2010, the City of Newton has seen fluctuations in demographics. All but three age cohorts – pre-teens and teenagers (10 - 19), college-aged and young professionals (20 - 34), and the senior population (65 - 84) –have decreased. The young adult population has had the largest change, decreasing 4% over the last 10 years. These numbers indicate that the City of Newton is getting younger.
The increase in persons aged 20 - 35 and those aged 0 - 9 signifies that there has been growth in the number of young families in the community. While there has been a decrease in teenagers, there will be an equal number of children filling that category within the next few years. As the Baby Boomer generation ages into the 65 - 84 age category, there will be more need for assisted living and nursing care facilities.
Income and earnings are key factors in housing affordability. The more income that a household earns, the more housing options that fall within their affordability threshold. A household that spends more than 30 percent of its income on housing is considered housing cost burdened. While incomes are mobile – meaning that households can move from place to place – the physical structure of a housing unit is stationary. In practice, this typically means that households often commute, choosing to live where they find the acceptable balance of convenience, quality, local amenities, and affordability.
Compared to the other cities in Jasper County, Newton has a lower median income, reflecting the fact that rural households are relatively more affluent than those in urban areas. Prairie City and Colfax surpass the median income for Jasper County by over $10,000, with Newton being the only city below the median income of $59,481 according to the 2020 ACS 5-year estimates.
Employment indicators are essential to housing. If there is not lower-cost housing available for workers, they are less likely to stay in Newton or Jasper County. Having suitable housing for these workers is essential to the vitality of Newton’s economy.
Commute times in Jasper County and the study area are fairly low, with the majority of workers commuting under 20 minutes. Newton has the highest percentage of residents that commute less than 15 minutes to work.
Since people will commute if they cannot afford housing in their desired community, this metric demonstrates the strength in quality of housing that Newton currently possesses.
Trends in population growth and other demographic data is critical to identify potential future growth patterns and predict future community needs regarding housing, public facilities, and more. The following information is also useful in determining housing needs.
This type of forecasting predicts outcomes of when, where and how much population and household growth Newton can expect in the next 20 years. According to the U.S. Census Bureau, between 2010 and 2020, the population of Newton increased from 15,254 to a total population of 15,760.
Generally, the cumulative average growth rate of the community has been 9.2% every 10 years. Projections can also be made using linear growth calculations and exponential growth calculations as shown in the tables on the following page.
Unit types are important to consider because they provide choice in the housing market to meet the needs of current and potential residents.
Overall, Newton and surrounding communities have a good mix of housing unit structure types within the rental market that can serve a wide range of needs. Single-family detached homes often naturally shift from ownership to rental markets as time progresses, creating rental units out of lots that are already developed. With the cost of new construction, it is likely that most new rental housing unit development will occur in 5+ unit structures to make development costs more efficient in serving lower-wage populations.
As shown in the chart below, there are very few 1-unit attached rental units in the City of Newton. This unit type will likely be a critical component of lower-cost, step-up rental housing options that can serve families earlier in their careers, as this demographic continues to grow. These units also help provide a lower-cost option for renters looking for new construction, as there are some construction efficiencies that lower pass-through rental costs.
A 1-unit attached means a one-unit structure which has one (1) or more walls extending from ground to roof separating it from adjoining structures.
Housing unit size aims to balance family size requirements and preferences for additional space. For example, because of the COVID-19 pandemic, the demand for housing with office spaces and other work-from-home accommodations has increased significantly. Newton has an opportunity to increase single person rental units in order to meet the current and growing demand in that market.
In both Jasper County and the City of Newton, the majority of units in the rental market have 1 or 2 bedrooms. When considering new housing options, gaps in both price and unit size should be considered to help attract and retain new residents in Newton.
Unit age in the rental market consists of a variety of housing types with different time periods of construction. Many of the oldest rental units are single-unit structures throughout downtown Newton, consistent with general historic development patterns. There are also some larger-unit attached rental structures and singlefamily structures built in the late 1970s and 80s.
Within Newton, only 229 rental units have been built after 2000 because most new construction is single-family detached ownership housing stock.
General measures and trends in affordability are a contrast of current incomes compared to current costs. One measure is whether or not the median renter household can afford the median rental unit, which is a measure of choice. If yes, 50% or more of all rental units would be available to that household. If no, choice is restricted and market supply and demand are unbalanced. Newton has historically been affordable to renters who live there and maintains a close correlation between rental rates and affordability for the median renter household.
In the past year and a half, the price of rental units has increased, regardless of size. However, the price of 1 and 3 bedroom units has remained more consistent than any of the other sizes.
Tenure in the housing market refers to the structure of occupancy – ownership or rental. Within Newton, ownership is historically the most common tenure type by a significant margin, meaning that more households own their primary place of residence than rent. However, it is normal for this to shift and change with markets over time. This tendency toward homeownership is consistent with general trends within the region.
There are generally more housing options (rental stock) in other areas of Jasper County that are impacted by higher property acreage or tight housing markets with limited alternative options. Lower-income households nationwide are more likely to rent their residence; this is true in Newton as well, especially for the lowest income households earning under 30% AMI.
There are also renters at all income levels in Newton, which may indicate that households choose to live in the community, but the ownership housing stock available for purchase is insufficient.
Regional peer communities, while part of the commuter shed and larger Jasper County housing market, display different homeownership trends. While these communities have more owner households than renter households and incomes comparable to Newton, they have smaller percentages of renters than Newton. Generally, if a household is lower-income and looking for an appropriately-priced rental unit, they are more likely to find those units in larger municipalities due to historic development patterns.
The pie charts at right do not signify income differences between these communities, but they convey that the built environment has adjusted to market demand. Historically, cities with smaller populations in the region have had a higher share of owner-occupied housing development.
Resident income is a principal component of housing affordability. Though the housing market extends outside of Newton, both the City and County have a significant commuter-share working in the larger Des Moines metro region. Using HUD income limits, the table below illustrates the varying incomes of Jasper County households with the greatest housing need, sorted into income categories and persons in the household.
Affordable Rental Limits are calculated based on the incomes above, illustrating the general housing cost a Jasper County household could afford without becoming housing cost burdened. These amounts vary based on family size and Area Median Income (AMI) percentages. As shown in the Rent Limit category, the median income household for Jasper County (100% AMI) could afford about $1,633 monthly in total housing costs (not solely contract rent), while still maintaining “affordable” housing.
Affordability – what a household can spend on housing costs – is relative to each individual household. Higher-income households can afford more within the market, meaning that there are more options within their spending limit, whether they spend 10% or 30% of their income toward housing costs. Lower-income households are subjected to similar fixed costs but have fewer choices in the market that rent at an affordable level. Sometimes, these households must also compete with higher-income households that are “renting down” in the market, or occupying housing units that fall well below their typical price range.
The workforce housing rental production demand targets for consistent growth are based on resident incomes by tenure – that is, the percentage of renter households who rent at each income level before deciding to transition to the ownership market.
Mid-level housing indicates prices that would be affordable to a household earning between 50% and 80% of the median income. They are adjusted to match household/family size, and represent consistency with HUD guidelines.
Market rate housing is the last category for recommended cost of new units - and does not have an upper maximum. While households do rent within this category, there is a transition to homeownership that is consistent with increasing household income.
Housing stress is measured by cost burden, which is a reflection of the percentage of income a household pays for total housing costs. Generally, municipalities with a larger stock of rental housing and very little vacancy would have higher housing costs and increasing rates of cost burden. This trend is evident in Jasper County’s housing market.
This burden also represents a smaller share of rental housing stock, which is coupled with generally higher renter household incomes (evenly dispersed across incomes). Because Newton has a higher share of renter households with higher incomes than surrounding communities, rental units are relatively more affordable than other areas in the region, particularly metro areas.
Due to income disparities between households in each tenure type, cost burden is more prevalent in renter households, which is typical. This may be an indication of higher owner income and tight lending standards.
Rates of renter cost burden may be low in Newton overall, but those cost burdened renters are much more likely to be severely cost burdened (spending more than 50% income toward rental costs) than surrounding communities.
This is indicative of higher income households “renting down” within the market, meaning that they occupy units that would otherwise be more affordable for lower income households. This forces the latter group to pay more for the remaining rental stock.
This also indicates a lack of appropriately priced units for the lowest income households already living in the community, highlighting a need to better serve low-income households through incomerestricted or subsidized units.
Rental stress in Newton primarily exists within low-income households. While there are many renter households over 80% AMI within the City, higher-income households benefit from spending a significantly lower percentage of their income on lower-cost housing. This results in gaps in unit availability at appropriate price points to serve all ranges of income, since lower income households no longer have affordable options.
This “renting down” phenomenon may also be caused by a general undersupply of workforce (middle income) and luxury rental options in Newton. These units are typically new construction with higher rents due to construction costs. High-income households have the flexibility to rent units of varying costs, but there may also be tension in the ownership market preventing a switch in tenure.
Using incomes and rent levels, the US Census and HUD assess the number of households that are over and under-consuming housing.
Within the City of Newton, higher-income households are currently over-consuming housing because there are no rental units that cost enough to be considered in the affordability range for their income level.
While this means that affordable housing options are readily available for moderate and higher-income households (>50% AMI), it also means that low-income households (which are less competitive in the rental market) must sometimes spend more to secure housing. New construction at higher price points can help fill in the middle and high ends of the market, alleviating some of this pressure.
There is a need for new rental construction in Newton that serves moderate and high-income earners alike. Constructing new units will help alleviate market pressure on lower-income renters by freeing up more affordable units. High-income households can afford rents associated with higher cost of new construction and developers can market increased costs through more amenities.
Construction costs and the requisite rents required to cover debt service, reserves, and operating expenses necessitate costs that would be unaffordable for low-income households.
To ensure expanded opportunities and units that meet the needs of all residents of the City of Newton, subsidies are needed to offset construction costs to make more units affordable. Rehabilitation programs can also ensure continued unit adequacy at affordable costs, especially for existing aging units. For example, even the market rate example above is unaffordable to many 51%-100% AMI households that need housing in Newton.
HOUSEHOLDS MARKED BY RED IN THE HOUSING AFFORDABILITY LIMIT TABLE ABOVE WOULD NOT BE ABLE TO AFFORD THE 1-BEDROOM NEW CONSTRUCTION RENTAL UNIT IN THE EXAMPLE.
Age of householders is one of the aspects that impacts mortgage status, as well as planning for future senior housing needs and turnover of units. While the average householder nationally remains in their home for 7 years, many community members purchase homes to age in them, which offers consistent shelter costs throughout their ownership. Over half of owner households in the City of Newton are over the age of 55.
In Newton and Jasper County, a notable percentage of all owner households are over the age of 75. While the vast majority of older households (over 95% of Medicare enrollees) remain in their homes and age in place, these units will eventually transition as owners seek more individualized care. This is a significant portion of the city’s homeownership market that will potentially turn over by 2042, increasing housing options for younger households and providing capital for older adults to seek specialized, age-accessible services and housing options.
While Newton has a large portion of older homeowners, the pie chart indicates that it also has a relatively young market of homeowners that will likely remain in the City for a significant period of time as they continue to age.
THE MOST COMMON household size for owner occupied households within Newton is “2-person”. This is largely comprised of younger and older ownership markets – areas where childless young couples look for a “starter home” within their price range, and where older adults are living without their children. Smaller household types (1- and 2-person) make up 73% of all owner households in Newton and 64% of all households in Jasper County.
While the ownership market in Newton and Jasper County is generally comparable to the larger region, the large number of 1-person and 2-person households is slightly atypical.
As these small households continue to undergo expansion, or changes in life circumstance, they may look to move up into other housing options. This includes obtaining 3 - 4 bedroom units as family size grows, or downsizing to something smaller, easier to maintain, and more accessible for senior households.
OWNERSHIP UNIT TYPE DISTRIBUTION across Newton shows that the majority of owner households live in single-unit detached homes, with the next largest category being single-unit attached. This gives Newton the opportunity to diversify future housing development through townhouses, condos, duplexes, etc.
Condos – an ownership structure type within the market – have never been prevalent in Newton. The lack of 5 - 9 unit structures in the City presents an ownership opportunity for slightly denser redevelopment; construction costs and development efficiencies make these units slightly more affordable than traditional detached homes.
Similarly to Newton, the majority of owner households in Jasper County – over 93% – live in singleunit detached homes. Condos have also never been prevalent on the County-wide scale, presenting an opportunity for denser redevelopment that increases access while still maintaining the “feel” of the community.
THE MOST COMMON unit size for owner occupied housing in Newton and Jasper County is 2 - 3 bedroom units. Similar to the rental housing market, Newton has generally more bedrooms available in the existing owner occupied housing stock.
Owner-occupied housing units are often larger (contain more bedrooms) than rental units, which partially influences whether families will buy or rent their housing. While smaller-unit ownership housing options are generally more affordable within existing and new-construction markets, a variety of unit sizes helps to accommodate households who wish to remain long-term residents through changes in need and requirements.
Older homes (constructed prior to 1959) likely make up a sizable portion of 1- and 2-bedroom ownership housing units. While there are fewer of these units in Newton than 2- and 3-bedroom units, they are an important component of the housing market, especially for young families and older adults looking to downsize.
MORTGAGE STATUS begins to shift the longer owners stay in their homes and pay off the mortgage loans on their property. As previously noted, the City and County have a significant share of owners that moved into their unit prior to the year 2000, aged into their homes, and paid off their mortgage debt. In Jasper County and Newton, 39% and 38% of all owner-occupied homes in the community are owned free and clear.
When looking at each market individually, a shift in ownership by age is evident (see bar chart below). As homeowners age in their homes, their loans reach maturity. For that reason, older homeowners are more likely to own their home without a mortgage compared to younger households. This is also beneficial for older households who opt for more specialized care or more accessible housing, as they now have equity they can recapitalize into new housing or rent.
Tenure Impacts Ownership Markets as well as rental markets. Tenure – whether a household owns or rents their property – is important to consider because more owner households in a community increases demand for owner housing stock.
The current percent of ownership households in Newton is lower than other regional peer communities. However, the City has a mix of single-family detached housing units and apartment complexes.
The Majority of owner-occupied homes in both Newton and Jasper County are occupied by households that are above the median income for the County and the Des Moines Metropolitan Statistical Area (communities surrounding Des Moines). This is not an uncommon occurrence, as increased income opens up increased ownership opportunities and eases costs associated with homeownership (down payment, taxes, etc.).
While the largest share of owner households earn more than the County median incomes, there are still large portions of lower-income households who own their housing within the City. These households may be attracted to Newton’s lower cost of housing compared to other areas of the region.
This high number of lower-income homeowners may also represent aging homeowners who have entered retirement and seen significant loss in income, which brings new challenges. Although these owners may own their home free and clear, they may struggle with property tax payments, upkeep, and other factors of homeownership that require continual maintenance funds or physical demands that aging populations sometimes struggle to meet.
Resident Income is a principal component to housing affordability. For ownership opportunities, this largely refers to the “purchasing power” of a given household based on known incomes. Using HUD income limits, the table below illustrates the varying incomes of Jasper County households with the greatest housing need, sorted into income categories and persons in the household.
Using Jasper County’s median income to determine affordability limits – as opposed to those used by the U.S. Department of Housing & Urban Development – results in a slightly lower average income than the Des Moines metro area.
Purchase Limits, based on the incomes above, illustrate the general amount a household could afford in the housing market without becoming housing cost burdened. The median income household in the County could afford a $264,100 home purchase from an annual income of $70,700.
Housing Stress is measured by cost burden, which reflects the amount of income a household pays for total housing costs. While the rental housing markets in Newton are marked by somewhat high levels of cost burden (> 30% income toward rental costs), the ownership housing market has significantly reduced levels of burden in comparison.
For households in Newton’s ownership market who do experience cost burden, they are much less likely to experience severe cost burden (> 50% income toward housing costs) since they have the financial resources available to purchase their housing.
A prerequisite of that choice is that in order to qualify, potential owner households must meet underwriting standards – an aspect of the market that drastically reduces the cost/ risk associated with owning – since borrowers are more likely to have higher incomes and increased access to credit.
Owner Housing Stress in Newton exists almost entirely within low-income households. It is important to consider that for households above this amount - 80% AMI or greater, cost burden is less impactful than for low-income households; they have more flexibility within a monthly budget to handle fixed-cost goods (housing, childcare, healthcare, food, etc. while still maintaining financial stability. For lower-income households, there is less room for increased costs or unexpected expenditure.
In ownership unit mismatch, homes available in the market are generally oversupplied in the lower cost market when considering incomes for the County (secondary/regional market). This is consistent with known lower housing costs in the area but is also reflective of slightly lower incomes in the cities than the County as a whole.
The U.S. Department of Housing & Urban Development (HUD) tracks household incomes compared to the cost of the housing unit in which they live. Per HUD data, within the City of Newton, the largest share of ownership homes in the market should be affordable to households earning a lower AMI.
These homes are extremely affordable to higher-income households and provide desirable, affordable, ownership options for high income earners. However, it does provide increased competition that precludes lower-income earners from entering the owner housing market.
Overall, the market at all levels is dominated by households earning over 80% AMI. These households are consuming units in the housing market that are very affordable to them, Less of their income is spent on housing cost than with a more expensive home. While this is beneficial to these households, it strains the market and ultimately increases sales prices in all housing ranges from entry-level homes upward.
General measures and trends in homeowner affordability are connected to real estate market conditions and prospective buyer incomes at the time of purchase. Historically in Newton and Jasper County, home values peaked pre-Great Recession before seeing a decrease in value through the recession. The lowest home values occurred in the year 2012, with steady gradual increases in value since. All unit types have regained lost value associated with the recession, surpassing previous market highs by 2015 and continuing to rise since.
Within the City and the County, a majority of owner households have remained in their homes for extended periods of time, with many residing in their unit since before 2009. These represent longtenured homeowners who reside in their homes slightly longer than the 7-year national average, increasing equity year-to-year.
Approximate Value of homes in Newton is mapped previously on page 44 using assessment records. While this is not a perfect approximation of sales/cost value within the market, it does offer a baseline for estimation and comparison. This spatial availability of homes by market cost shows where opportunity for affordability exists in the City’s housing market for residents at different income levels, including lower-income households.
This map illustrates the general affordability of smaller and older housing options within the community. Maintaining a range of housing options in any new development is key in ensuring that the area’s affordability remains intact for households at various income levels.
While unit price is an important factor in housing affordability, it must be compared with incomes and affordability levels to reflect a true measure of housing access. Newton experienced rising resident incomes coming out of the recession and, for a time, these incomes rose at a rate ahead of the real estate market. When single-family units reached the bottom of their market dip in 2012, homes were affordable to many local households based on income. The median home also remained relatively affordable as household income grew through 2016.
Over the past decade, homeownership options have been generally affordable in the community, with the median household able to afford the median ownership value within their affordability limit.
However, since 2015, house value growth has outpaced income growth for the same period. Over this timeframe, recorded income growth has stagnated, which has allowed the housing market to catch up with the post-recession income growth to a point where the median home value has matched the median affordability limit in Newton.
While the median single-unit home is still affordable to the median household in Newton, most recent estimates indicate that home value growth will continue to outpace household incomes.
Increasing sales prices of houses in the Des Moines region directly impact monthly owner costs and affordability. While some homes are owned free and clear with monthly costs consisting solely of taxes and insurance, new borrowers are paying increasingly more for housing. Appreciation – as well as the recent drastic cost increase of new construction – places ownership entry costs into higher brackets year to year, and represent many of the higher monthly owner costs recorded.
Even for starter homes, there has been a consistent increase as tracked through home values since market bottom. Starter homes are more costly in Newton than in other regional communities (Mitchellvile, Colfax, Monroe, and Prairie City), though still lower than the County as a whole. Newton is approaching a starter home value that is equal to the median home (overall) in 2012 which was just over $90,000.
Des Moines Metro
Unit AffordabilityLow Cost High Cost
Affordable up to 50% AMI - $131,100
Affordable at 51% - 80% AMI $131,100$207,500
Affordable at 81% - 100% AMI $207,500$264,000
Affordable above 100% AMI $264,000-
Number of households By household income levels
Household Income Newton Jasper County
0% - 50% AMI 8701,700
51% - 80% AMI 8051,685
81% - 100% AMI5351,310
> 100% AMI 1,9056,065
Source: HUD Comprehensive Housing Affordability Strategy
Inventory of houses for sale have been limited as there were 121 active listings in Newton at the time data was pulled in Fall 2022. Annually, the total number of house sales has stayed consistent in Newton, with total sales between 300-360 from 2017 to 2021. At the time data was pulled, 80 homes were sold in Newton in 2022.
For residents who live in Newton, there are several key issues. Lower-income residents who previously would have been able to afford homeownership may now be finding themselves being priced out in an increasingly competitive market. There are low numbers of active listings, and potential residents are finding it difficult to find housing without an active market.
While construction activity and population growth have lagged the past decade, there is a large need for housing to accommodate growth in the larger region to draw new developers to the community.
Considering incomes and preference to live in the cities, smaller towns, or Des Moines, smalllot and shared-wall development will continue to provide comparatively cost-effective options for new construction that utilize serviced vacant lots. Subdivision development should integrate a mix of housing types (attached/detached, small unit rental, etc.) to allow more choices within the housing market. This will encourage more natural community design and strengthen the portions of Newton that are already built out.
As started in the RHRA process, continue to consider new housing designs that can slowly add density and accommodate households with different needs and preferences.
Enforcing codes and ordinances is one component of reinvestment, but homeowners may need additional funding to help them rehabilitate their homes. Tax Increment Financing, Community Development Block Grants, and other State
funding sources ensure that residents are aware of options and able to access them.
There is a substantial share of senior households projected through 2040 – a minor but critical component of the local housing market. Whether promoting accessibility programs to retrofit homes for aging-in-place or developing zeroentry and ranch-style condo options in infill or greenfield development, this demographic will require specialized housing moving forward.
Started in the RHRA.
The RHRA process identified a community vision, priorities, and community members who can work to increase housing access. Use this document to communicate the needs identified in that process and continue holding group meetings. There is competition for development and specific housing improvements within the region; the more data and engagement there is on the issue, the more results will begin to emerge. It will also be important to task the Newton Housing Development Corporation with continuing these efforts.
Households in the rental market, as well as those who work in housing locally, have identified a regional need for new options that serve employees of all income levels. Due to a large share of older rental housing stock, there are more affordable options than in other areas. However, many local residents’ incomes cannot meet new construction housing costs. Employers are seeing that their growth and employment base needs a middle-ground in the rental market that serves a range of incomes.
Referred to as “affordable housing,” tax credit developments offer new construction at rents that fit within community income limits and demand. Local incomes and unit availability show a need for housing at 50% - 80% AMI, which is within the range supported by tax credit developments. These developments guarantee unit quality through new construction or preservation, and could also be utilized for mixed-use developments that provide amenities in central areas.
The City can also directly encourage more affordable rental costs through programs such as Tax Increment Financing, and consider partnering with developers to jointly secure tax credits, as scattered-site workforce housing can be funded as long as all housing units are within 20 miles of each other.
Reinvestment and infill in downtown Newton will encourage residents to stay in place. With many residents wanting to continue aging in the community, providing a range of options that emphasize accessibility and universal design will promote healthy neighborhoods and residents. Many homeowners who downsize, as well as those with differing ability levels, live in private market units and prefer walkable areas with access to amenities. Therefore, this recommendation is especially crucial in centralized areas of Newton.
Maintaining housing affordability across a range of incomes is vital for community health. However, aging housing stock (which is primarily single-family units) often requires costly upkeep in order to maintain desirability. Many rehabilitation programs offer deferredloan assistance to landlords of small properties; promoting and marketing these funding sources to landlords and property owners should be continued. However, these incentivized loans often come with income restrictions.
Household size is expected to stay the same in coming years in both ownership and rental markets. When looking at the rental market, there are key unit sizes missing in Newton. Encouraging the development of unit types that balance the market ensures that all household sizes have access to appropriate accommodations.
Vacant lots in the community can be used to decrease the pass-through costs of new construction by focusing on attached-unit or duplex development – a development type that is lacking in Newton and Jasper County. Structures with 2 - 19 units offer more options for residents and reduce construction costs for development compared to single-unit detached structures. Unit design should fit well among existing and new structures.
• Newton should continue Rental Inspections, as required by State Code, to ensure safe, clean, quality rental units.
• Newton's population is stratifying more to the young/old demographic and needs more affordable/size-appropriate housing options.
• Renting-down is a threat to housing affordability and therefore more housing options are necessary to alleviate this strain.
• Newton should strive for balanced neighborhoods with a mix of housing types and price points to provide suitable housing for everyone.
• It will be important for Newton to maintain qualityhousing options as part of safe and healthy neighborhoods for all residents.
• Newton should look into crafting housing policies that will complement economic development goals of the City, growing business and population in tandem.
• Newton can strengthen community character by encouraging maintenance and improvements of the existing housing stock and residential properties throughout the community.
Page intentionally left blank