Moose Jaw Express, October 2nd, 2024

Page 1


Christmas may still seem far away, but all the magic of the holidays is set to return this October thanks to the Downtown Moose Jaw Association (DMJA) and the participation of businesses in Moose Jaw’s downtown core. The four-day Christmas in October project is returning so tourists, families, and early bird Christmas shoppers can get their gifts, promote local business, and help the community share the magic of the season.

Christmas in October is scheduled to begin on Thursday, Oct. 24 and will run until Sunday, Oct. 27 among participating businesses in Moose Jaw’s downtown shopping district.

“We’re (just reminding) people that it’s just the start of the Christmas season in Moose Jaw,” announced Yvette Moore, the director and treasurer for the DMJA that runs the annual event. “Really, our (Christmas) season is two months long from that weekend on.”

Christmas in October has been running in downtown Moose Jaw for 25 years, and many tourists consider it to be something of an ongoing tradition.

“It brings people from all over Saskatchewan and the neighbouring provinces. We’ve had people coming up from the United States,” she said. The event is also popular among Moose Jaw’s tourist demographic with families staying for the weekend and some viewing it as an ideal opportunity for a girls’ getaway.

“We had a group of ladies from Swift Current here a couple weeks ago and they said (they will) all be back that weekend,” Moore added. “It’s become almost an event that (visitors) come back year after year (and) … it’s kind of neat that we’re known for that.”

The original purpose of Christmas in October is to help promote the local business community.

“The whole idea is just to create traffc and activity and especially (do so) around such a wonderful theme, such as Christmas

and the city,” Moore said.

Each year the City of Moose Jaw helps support the initiative by making sure the Christmas lights are up for the frst day of the event. These lights are turned off in honour of Remembrance Day, and then are switched back on after the day of commemoration until the season concludes.

“I have to say, the city gets behind us,” she said. “I think they realize the importance for the economy and for the rest of the businesses. It’s quite crucial.”

When the DMJA was founded in 2019 to provide Moose Jaw with a dedicated downtown association, Christmas in October became one of its frst projects. The association provides a unifed voice for the downtown business community and contributes to the community’s economic growth. These efforts also include the annual Greek Night, Little Chicago Show and Shine, and more.

“Nobody can seem to pull it off the way we do, because of our historical downtown and all our unique merchants, restaurants, and hotels — we have something really special in Moose Jaw,” Moore said.

“The businesses have worked hard and they all get excited about this event,” she continued. “To have everybody come in and see the wonderful displays they’ve done and the amazing items that they have would be great Christmas presents (for these owners).

“I think that’s (what) we all work so hard for — to create this part of the magic of Christmas.”

To enjoy the magic of Christmas in October, all you have to do is shop downtown while the program is underway.

If you’re a business owner in the downtown core and haven’t registered for the upcoming Christmas in October program, you can reach out to Yvette Moore by email at Yvette@YvetteMoore.com.

To learn more about the DMJA, visit DowntownMooseJaw.ca.

Walker - Moose Jaw Express
Christmas in October is set to return from Oct. 24 to Oct. 27 this year. Photo by: Downtown Moose Jaw Association
Yvette Moore, resident and DMJA board member, shares the origin story of Christmas in

As Christmas in October is set to return in support of Moose Jaw’s downtown small business community and thanks to the Downtown Moose Jaw Association (DMJA), one resident and board member is proud to say that she’s witnessing the continuation of her dream.

Yvette Moore, who owns the Yvette Moore Gallery and serves on the DMJA board as director and treasurer is also personally connected with the Christmas in October project since its inception.

“I’ve been involved since day one with Christmas in October, because it basically started in my home many years ago,” Moore said. “It’s just been something that has been special to me.”

Moore purchased her current home — which is a character home steeped with history in the avenues — back in 1989. The following year, in 1990, she opened her newly established home studio for a unique project.

“I used to operate… Yvette Moore Fine Art through my house,” she confrmed. “I had done craft shows for years and I just always thought… I would love to see everybody’s beautiful work set up in a home setting.

“Because I own a character home, I just thought (that I would) … call up some of these other artisans that I’ve met over the years — the local ones especially.”

Moore then received a visit from 25 artists who brought their work to transform every usable square foot of her residence into a temporary gallery.

“It was all throughout the whole house, like every bedroom, the bathroom, the kitchen… everything was decorated with everybody’s work,” she happily recalled. “It was really neat because people would come in and be looking around… and it actually went over

October

really well.”

When she had to cancel the event in its fourth year, Moore was in for a surprise.

“All of a sudden there was a knock at the door. There were these women from Regina who remembered having come (to Moose Jaw) the previous year and thought it was on again. It had set a precedence,”

2024 Beautifcation Award Winners

September 25, 2024 - For Moose Jaw Express

The City of Moose Jaw has announced the winners of the 2024 Beautifcation Awards.

Each year, the City recognizes residents who have invested time and effort into beautifying their properties that contributes to the overall appeal within the city.

• Best Residential Property - South Hill: 1160 Iroquois St W – Jason Schultz • Best Residential PropertyNorthwest: 1210 Grace Street – Stacey & Colleen Statler • Best Residential Property - East End: 1022 3rd Avenue NE – Donna Valness

• Best Residential Property – Sunningdale/VLA/West Park/Iron Bridge: 127 Calypso Dr. – Bill & Laurette Keen

The winners were recognized and presented with their prizes at the regular meeting of Moose Jaw City Council on Monday, September 23, 2024.

The City of Moose Jaw would like to acknowledge and thank the Beautifcation Awards sponsors:

• Cornell Design & Landscaping

• Windmill Greenhouses

she recalled.

On another year, her home-based idea saw a sizable group of people “lined up all the way down the street every which way we looked” indicating the potential for an expanded version of the project.

“So, it gave me, you know, the feeling that it was a good thing and that it was successful in my home,” she said. “So, I felt it could be successful in a business.”

The project has since developed with the goal of drawing tourists, residents, and shoppers into Moose Jaw’s downtown shops and the annual event seeks to create a wonderful atmosphere and tone for a unique and magical experience.

“And from there, it grew, and it has become what it is today.”

Christmas in October transitioned from a homebased event into today’s downtown venue back in 1999. For the next 25 years it has continued to grow and thrive, and in 2019 the newly formed DMJA helped the project grow even further with the mission of promoting and supporting Moose Jaw’s downtown business district.

“So, (Christmas in October) has just been something that has been special to me, and (it continues to) encompass so many other businesses… It’s something that just becomes the start to a season that’s pretty unique and (we’re) just trying to make it the best we can.”

Christmas in October will run from Thursday, Oct. 24 until Sunday, Oct. 27 this year among participating downtown businesses.

To reach Yvette Moore with more information on how to participate, email her at Yvette@YvetteMoore. com.

Aaron Walker - Moose Jaw Express
Yvette Moore is the creative force behind the annual Christmas in October event in downtown Moose Jaw.
Photo by: Yvette Moore/Facebook
127 Calypso Drive Best residential property

The weather never stays the same. Your investements shouldn’t either!

Please call for your personal appointment to review your investment plan today.

Cameron family to hold rib night fundraiser after devastating house fre

On the evening of Sept. 13, one Moose Jaw family answered a call that nobody wants to receive.

“The Moose Jaw Police (Service) actually called us while we were at Dairy Queen having some ice cream,” recalled Andrew Cameron, father of Ashlynn, Jaxon, and Sienna, and husband to Alyssa Cameron. The call was to inform him that the Moose Jaw Fire Department was responding to a house fre at their address.

“My frst thought was (to) get the kids into the van. We’re going,” he said.

As the Camerons try to move on they’re asking the community for a helping hand. Brian Richards, a close friend of the family is holding a rib night fundraiser at The Crushed Can from 4:30 p.m. to 8:30 p.m. on Thursday, Oct. 17.

Everyone’s welcome and proceeds will help the family fnd a new home and rebuild their lives after losing everything except each other.

The Camerons lived at 406 Fairford Street East which is across from the site of the former Union Hospital and kitty corner from the Phoenix Academy. Their residence has been known for its festive Christmas lights and a mailbox for letters to Santa that the family sets up each winter.

Nobody was at home when the fre broke out and there were no injuries related to the incident, although the building is now a total loss. The cause of the fre remains unknown and is still under investigation.

“We’re trying to stay positive, but at the same time

Aaron Walker - Moose Jaw Express

The Cameron family is asking for any help they can get after a devastating house fre on Sept. 13.

we’re going through depression,” he said. “We didn’t have renters’ insurance which really hurts us. It’s like an uphill struggle. We have a lot to try and regain, as well as (recovering) emotionally and mentally.”

The Camerons are now staying at the Best Western Hotel and have applied to the Moose Jaw Housing Authority for a rental option. Andrew said he’s hopeful they may have an option as soon as early October but the family isn’t certain how long the wait could be.

In addition to the upcoming fundraiser, the family

is also asking for any spare household item donations. “We still need quite a bit of items,” Andrew said. “We’re looking for kitchen essentials, living room essentials, bedroom essentials, (and) hygiene items would be good.”

When Andrew, his wife, and mother each posted the wish list on Facebook they were met with nearly immediate support from the community.

“There are quite a bit of people reaching out to us. I can’t keep up with the messages,” Andrew said. “We got many gift cards for shopping stores and groceries.”

The best way to donate is by contacting Andrew on Facebook Messenger under ‘Andrew Cameron.’

His mother Cynthia Cameron shared her message of thanks on Facebook previously. “I want to take the time and thank everyone who donated items to my son and his family,” she wrote. “Whether it was gift cards, cash, clothing, diapers, toys… Your generosity when someone is in need is and continues to be amazing and you are all heroes in my eyes for helping. Thank you a million times over.”

Andrew also concluded with a thankful message. “Thanks for all the help from the community and for supporting my family,” he said. “The community has defnitely shown their true colours. It’s a small place but everyone in Moose Jaw is like one big family.”

The rib night fundraiser will be held at The Crushed Can located at 82 Manitoba Street West. Tickets are $25 apiece and can be purchased at the door or by contacting Cynthia Cameron through Facebook Messenger.

Photo by: Andrew Cameron

Editor’s Note

With every season comes a colour palette that is basically dictated by mother nature and transitions throughout the year.

As we are in the depths of fall at this time, the grandeur displayed on the hills and in the valleys portrays a wonderful vista of golds and yellows, oranges, burgundy, and all variations of brown. Fall colours are the fnale of the three growing seasons prior to the onset of winter.

I was curious to know what certain colours connotate or represent but as with variations, a colour could portray a wide range of meanings depending on the individual.

According to google, the psychology of orange in North America has traditionally been a symbol of optimism, happiness, enthusiasm and youthful connections. It is also considered a spiritual color and an autumnal season color.

Golden yellow conveys happiness, joy, cheerfulness and optimism.

I fnd this to be an oxymoron in my thinking, as to me fall brings more of a pensive frame of mind or sad thoughtfulness.

Burgundy symbolizes individuality, intensity, ambition, power, and sophistication. Color psychology describes burgundy as unaccepting of the status quo. I guess it is nature’s way of portraying the etymology of “one more kick-at-the-cat” before winter takes its grip.

And as the trees shake off their cloaks of many colours, the stark and bare reality of the season reveals our personal vulnerability as winter is on the doorstep. I feel a certain sense of peace knowing that we are prepared for months of introspection and contemplation.

Although the trees are bare, there is phenomenal beauty in the intricacy of the branches. Lavished in jewel-laden snow and hoarfrost, they become a sight to behold.

Apparently, the true colours of winter are stark black and white but to me, the winter colour palette brings another oxymoron with the display of vibrant seasonal colours of red and emerald green, gold and silver and every fashionable colour that glistens and sparkles in the ficker of frelight.

But then hope prevails and our thoughts change to more optimism as spring approaches and life takes on a different look. The greens of spring sprout through, representing new life and new beginnings, followed by every summer colour that fatters the Creator in its majestic array.

When I think about the seasons, nature, colours and life, I am in awe of how awesome they meld together into a year of beauty.

In all of this I say, may we always take time to ‘seize the day’ and enjoy who and where we are and everything around us.

The views and opinions expressed in this article are those of the author, and do not necessarily refect the position of this publication.

Send your letters to the editor to: joan@moosejawexpress.com

All columns, letters to the editor and editorials are solely the personal opinions of the writers themselves and not necessarily the opinions of The Moose Jaw Express. The contents of this publication are the property of the Moose Jaw Express. Reproduction of any of the contents of this publication, including, but without limiting the generality of the following: photographs, artwork and graphic designs, is strictly prohibited. There shall be no reproduction without the express written consent of the publisher. All ads in the Moose Jaw Express are published in good faith without verifcation. The Moose Jaw Express reserves the right to refuse, classify, revise or censor any ads for any reason in its sole discretion. This paper may include inaccuracies or errors.

The Moose Jaw Express does not under any circumstances accept responsibility for the accuracy or otherwise of any ads or messages in any of the publications editions. The Moose Jaw Express specifcally disclaims all and any liability to advertisers and readers of any kind for loss or damage of any nature what-so-ever and however arising, whether due to inaccuracy, error, omission or any other cause.

All users are advised to check ad and message details carefully before entering into any agreement of any kind and before disclosing personal information. If in doubt, please take legal advice.

Phone: 306.694.1322 Fax: 888.241.5291

468 High St. W., Moose Jaw SK S6H 1T3 www.mjvexpress.com

Publisher: Robert Ritchie - rob@mjvexpress.com

Editor: Joan Ritchie -joan@moosejawexpress.com

Sales: Wanda Hallborg - mjexpress7@sasktel.net David Klatt - david@moosejawexpress.com Kevin Ogle - kevin@saskpromo.com

Thank you to all the contributing writers, without your time and support, the paper would not look the same. Send your stories, events and pictures to: joan@moosejawexpress.com

Editor: Joan Ritchie

Reporters: Aaron Walker

Pruden family requests community support following son’s cancer diagnosis with rib night fundraiser

Aaron Walker - Moose Jaw Express

Moose Jaw residents Amy and Colby Shawn Pruden are facing a diffcult journey after their two-and-a-half year old son Lowell was diagnosed with B-Cell Acute Lymphoblastic Leukemia. To support the Pruden family during this diffcult time, the folks at Wrapture Spa & Boutique are organizing a fundraiser and they need your help.

The Love for Lowell Pruden Fundraiser will be held at Smitty’s at the Town ‘N’ Country Mall from 4 p.m. to 7 p.m., and simultaneously next door at Bugsy’s from 4 p.m. to 8 p.m. on Thursday, Oct. 3.

Everyone’s invited and the menu will include dry ribs, Caesar salad, and garlic bread for $20 per person.

“He (Lowell) won’t event walk because he’s so weak right now; he’s just laying on the bed,” said Ekta Dasadia, a close friend of the family and Amy’s former co-worker at Wrapture Spa & Boutique who is setting up the fundraiser alongside Dodie Deets.

“If you saw him earlier and (then) now, you would defnitely feel it,” she said. “He was completely full of energy… and now he doesn’t even want to talk to anyone.”

Lowell’s prognosis is hopeful, and with the right treatment the survival rate for leukemia can be higher in children. His treatment is extensive and will take place over two and a half years, with the frst six to nine months being the most intense.

Amy worked at Wrapture Spa & Boutique before giving her notice around one month prior to the diagnosis. This is also where Dasadia and Amy frst met.

“She was going to start her new business because she took medical esthetics and she completed (her course to become) a medical aesthetician,” Dasadia said.

Amy was prepared to announce the launch of her company, The Luminary Cove Medical Esthetics Inc. in August. This all changed when she learned the results of her son’s medical checkup.

“I got the text from Amy on Tuesday, Aug. 27… saying that they got the worst news of their lives today, and that they were heading to Saskatoon for the next 10 days at least,” Dasadia said.

The next morning the results came back and their fears were confrmed.

The Prudens now face a hectic and emotionally draining schedule that involves a trip into Regina every other day for chemotherapy and once a week they travel to Saskatoon for testing. Lowell’s physical state is also the cause of constant concern as he starts treatment.

“He got a fever once, and they were really worried because… that can turn into a severe, more intense fever

Amy and Colby Shawn Pruden are facing a diffcult journey after their two-and-a-half year old son Lowell (pictured) was diagnosed with B-Cell Acute Lymphoblastic Leukemia in late August. Photo by: Amy Pruden

(while he undergoes therapy),” Dasadia said. “If you want to meet him, you have to sanitize yourself completely. Every few minutes someone is sanitizing because of the treatment going on.”

The Prudens’ older child is fve years old and they’re trying to keep life as normal as possible for her. “It’s truly a lot of work right now, and it’s stressful. Their whole life has become so stressful.”

Amy remains constantly by Lowell’s side. “Through everything he has had to go through in this short time he still has managed to keep making jokes, giving us his cheeky smiles, playing with his Power Rangers, and asking how others are doing,” she wrote in a social media post.

“I don’t think I’ll ever have enough words for the doctors, nurses, and his team that have cared for him in Moose Jaw and here in Saskatoon at the (Jim Pattison Children’s Hospital).

“Our world is turned upside down but the support is keeping us afoat,” Amy wrote. “I’ll never fully be able to express what I feel in my heart and we will be paying it forward.”

The Town ‘N’ Country Mall is located at 1235 Main Street North and both Smitty’s and Bugsy’s can be accessed through the main entrance on the west side of the building.

To help out, please contact Dodie Deets at 306-6314092 or Ekta Dasadia at 306-513-6359.

Legion to host veterans’ luncheon for frst time since 2019

Jason G. Antonio - MooseJawToday.com

Regular Contributors: Jason Antonio Randy Palmer Joyce Walter Ron Walter John Kreutzwieser Patricia Hanbidge MLA North Tim McLeod Richard Dowson Nick Kossovan

For the frst time since 2019, Moose Jaw’s Royal Canadian Legion is hosting a veterans’ luncheon to honour active and retired members and thank them for their service.

The luncheon takes place on Thursday, Oct. 10 from 11:30 a.m. to about 2:30 p.m. at Branch No. 59 on High Street West. This free event is for veterans and their spouses or caregivers.

Veroba’s Restaurant will provide a full roast beef dinner, while guest speaker Maryse Carmichael, the city manager, will discuss the Royal Canadian Air Force’s 100th anniversary.

Carmichael is a 22-year veteran of the RCAF and logged more than 3,500 hours of fight time. She few with the 431 Air Demonstration Squadron — the Snowbirds — and was the frst female pilot in the world to fy on a military aerobatics team. She was also the frst female commander of the team.

The retired lieutenant colonel was inducted into the Canadian Aviation Hall of Fame in 2022.

Organizer Sue Knox confrmed that this event is the frst offcial luncheon the legion has held for veterans since the coronavirus pandemic broke out in March 2020. She noted that the committee has been contacting care homes, seniors’ homes and retirement villas to promote the luncheon to any veterans there.

Knox has learned that there is one 99-year-old Second World War veteran at a care home who is likely to attend. However, she noted with regret that 100-year-

old Michael Mochoruk — whom the legion honoured last November with a Quilt of Valour and whom organizers wanted to invite — died in April.

Luncheon organizers expect about 100 people to attend the event, but to ensure there is enough food, they are asking veterans to confrm their attendance by Friday, Oct. 4, by calling the legion offce at 306-6925453 or Knox at 306-6845593.

The legion is excited to host this event after a fve-year absence, although it wanted to have it earlier in the year but experienced fooding in the back room and disability washroom in February and March, said Knox. However, the building manager has fxed the damages, so extra space and the toilet are available for the luncheon.

Also, organizers wanted to hold the event before Remembrance Week — which takes place from Nov. 5 to 11 — and before the weather deteriorated.

Meanwhile, the legion wants to return the luncheon to an annual event, although it wants to hold it in the spring or early summer so more people can attend.

Knox noted that next year’s luncheon could be in a new building, as the legion has been searching for a new venue for years — and may have found one.

She added that organizers want as many veterans to attend the luncheon as possible — “the more the merrier” — since bringing more people to the legion ensures it can continue to meet the community’s needs.

Nigerian thankful for Multicultural Council’s decades-long service to Moose Jaw

Nigerian-born Abdul Alabi required the services of the Moose Jaw Multicultural Council when he frst moved here, and more than 10 years later, he is now an employee helping other newcomers integrate.

Alabi, the settlement advisor with the Newcomer Welcome Centre (NWC), the sister organization of the Multicultural Council (MJMC), studied and worked in Moose Jaw for several years before joining the centre two years ago.

“I’m not going to leave Moose Jaw — I love Moose Jaw,” he laughed on Sept. 24 while discussing the MJMC’s 50th anniversary.

“I saw an opportunity here and I said, ‘Wow, I want to be part of the organization.’ And we have been trying our best and people are very happy with the services,” he added.

Alabi was one of several employees giving tours of the MJMC’s venue at St. Andrew’s United Church to celebrate the council’s launch in 1974. He and Ginny McColl, the MJMC’s language program manager, spoke about the organization and the services it offers.

Generally, the MJMC focuses on providing language services while the NWC helps with employment issues.

McColl said it was a “huge achievement” to reach 50 years, while she thought it was great that the organization existed in a small community like Moose Jaw.

“We’re serving on a daily basis huge numbers (of immigrants). It speaks to Moose Jaw as a city … that is welcoming of newcomers … and even other migrants

Jason G. Antonio - MooseJawToday.com

from other provinces and areas within Canada,” she continued.

The MJMC has changed over the years from being a small, grassroots organization to one that has adapted and grown to meet a growing immigrant population, McColl remarked.

Moose Jaw’s Canada Week Committee formed MJMC as a sub-committee in 1974 to help plan the Folkloric Festival that year. The festival — which later became Motif — was such a success that talks began to form a multicultural association, which led to the MJMC.

Its initial goal was to foster a more supportive environment for cultural groups participating in community events, while it also hoped to acquire a home ven-

ue. It eventually opened an offce in Victory Church and remained there until 1999, when it moved to St. Andrew’s.

The agency is “very, very happy” and grateful that people attended the anniversary event, toured the venues and asked questions because they can learn what is happening with immigration services, said Alabi. Moreover, people could browse archival photos and articles about the MJMC.

The organization — including the NWC — employs people from various backgrounds, such as Nigeria and South Sudan, while staff can speak many languages like French and Arabic, Alabi pointed out. He can speak more than 50 languages because he grew up in a country with more than 120 different tongues.

MJMC’s main building supports permanent residents, federally assisted refugees, economic migrants and family classes, with many coming from the Democratic Republic of Congo, Afghanistan, Sudan and Syria, said McColl. It also supports federally funded Ukrainian refugees, although the province will start supporting them in March.

Meanwhile, the Newcomer Welcome Centre supports temporary foreign workers, permanent residents and international students.

The NWC has found that many immigrants — students and non-students — are impressed with Moose Jaw, while they are grateful for receiving help integrating, said Alabi. The centre offers advice on issues like acquiring a vehicle, housing and a family doctor.

He added that MJMC and NWC support clients within a 150-kilometre radius of Moose Jaw — similar to Prairie South School Division’s boundaries.

At the NWC offce, manager Melissa Mitchell spoke about that organization’s services during a tour. The centre has been in operation since 2010 — it was established to support an infux of temporary foreign workers — while she has worked there in various roles for over 11 years.

She noted that the two biggest issues facing new immigrants include housing — especially for big families — and transportation, especially those who work evenings and weekends.F

For more information, visit https:// mjmcinc.ca.

Returning family resource fair connects parents with community resources for children under fve

When Westmount Elementary School teachers Amanda Harper and Erika Topp learned of a growing concern among the parents of children in their care, they wanted to help. Now, their hard work and dedication has resulted in a resource fair at the school that helps promote awareness of various resources available for children ages fve and under.

The second annual Early Years Community Connections Resource Fair wrapped up in Westmount’s gymnasium on Sept. 24.

“This is the second annual (resource fair),” announced Amanda Harper, a pre-K teacher at Westmount and co-founder of the fair alongside Erika Topp, a kindergarten teacher at the school.

“We have tons of organizations from within our community. (The fair is) kind of a one-stop-shop for parents, caregivers, and anybody that works with or loves children ages zero to fve.”

Harper said one of the most valuable aspects of the fair is helping parents and caregivers learn about resources available for their children and said many continue to express their surprise when frst learning how many options are available.

“Now,” she added, “we just got to keep getting people in the door.”

The resource fair launched on Sept. 22, 2023, when Harper and Topp frst teamed up to address questions about community resources. This was made possible through an Early Childhood Coalition grant, and this year’s event was

Aaron Walker - Moose Jaw Express

similarly supported by another successful grant with the program.

Wanda Peakman with the Moose Jaw Early Years Family Resource Centre and Kathy Knudson with the Saskatchewan Health Authority ran a booth at the event to explain the role of the organization.

“We’re just letting families know what the Family Resource Centre is all about and a little bit about the Early Childhood Coalition and all the partnering projects that are happening with that,” Peakman explained.

The centre offers free programming for families with children from the prenatal stage to the age of fve, along with affliated supports and other valuable re-

sources.

“We have lots of drop in… and group opportunities, and many programs cover early learning, family wellness, parent education, resources, and referrals. We welcome all families,” she said. “If you’re new or curious about the Family Resource Centre, I invite you to come down, meet us, have a tour, and see what we have to offer.”

The Moose Jaw Early Years Family Resource Centre is located at 1250 Eleventh Avenue Northwest and can be reached at 306-691-0202. For more information visit MooseJawFRC.ca.

A few additions this September include vendors who were focused on parental and maternal health. “So, not only are we focusing on the children, but we’re also focusing on those that hold our children as well,” Harper said.

One of those new vendors was Cara Chow, owner of Cara Chow Occupational Therapy which opened on a full-time basis this Jan. 8. Her work helps children diagnosed with autism spectrum disorder, ADHD, and other developmental delays reach important milestones during their development. She also offers individual occupational therapy treatments.

“(This resource fair) is great,” Chow

said, “because people don’t (always) see what’s available to them. This is just a nice way to showcase it, and (you) can… reach out if you’re having any concerns about your child’s development. I may be able to help or send you in the right direction.” For more information about Cara Chow Occupational Therapy, call 306690-4249 or email CaraChowOT@Sasktel.net.

To apply for the next Early Years Community Connections Resource Fair or for more information on available resources from within the community, Amanda Harper can be reached at 306-631-4254 or by email alt Harper.Amanda@PrairieSouth.ca.

Newcomer Welcome Centre staff include, from left, assistant project manager Jide Kassim, manager Melissa Mitchell and information and settlement advisor Dulmi Rajapakse. Photo by Jason G. Antonio
Sharayah Bjelde, the Moose Jaw Multicultural Council community connections co-ordinator (left), gathers with Bo Yu and Jennifer Maxfeld in the Settlement Workers in Schools (SWIS) offce.
Photo by Jason G. Antonio
Erika Topp (left) and Amanda Harper (right) are the two Westmount Elementary School teachers behind the Early Years Community Connections Resource Fair that returned for its second year on Sept. 24. Photo by: Aaron Walker
Cara Chow was one of the new local businesses to attend the Early Years Community Connections Resource Fair. Photo by: Aaron Walker
Plaine Carbon Hub OPEN HOUSE

Reflective Moments

Dirty dishes lead to mishmash of random memories

Washing dirty dishes is not my favourite activity, right up there with washing foors dusting corners or polishing the silverware.

But while washing a two or three day supply of used plates, silverware and pots and pans, one has time to refect on a number of topics, especially if washing and drying dishes alone as Housemate undertakes other household or outdoor chores.

I don’t talk out loud to myself, at least I don’t if there’s any chance of being overheard and asked to identify to whom I am speaking. However, my thoughts on those occasions of scrubbing off previously-enjoyed food are clear as a bell with clarity of memory at a high 99.9 per cent.

In my most recent trip into the kitchen sink, for some reason I began holding a reunion in my mind relating to the items in the kitchen cupboards and the appliances currently in our inventory.

And I assessed blame to the individuals responsible for certain crimes in the kitchen.

For instance, I distinctly remember the relative who while searching for a coffee mug, dropped that mug on the corner of my much-loved stove, chipping away enamel on its corner. It was not a small chip, but one large enough that it upset me every time I saw it there. That stove was bequeathed to us upon our marriage after being used extensively and cared for diligently by my sister and

her family for 25 years.

Despite the chip, we continued to use that stove for another 10 years until repair parts were no longer available. That longevity did nothing to erase my anger that a guest would be so careless in a home she was visiting. She did not visit again, perhaps knowing I was not pleased.

Later in my foray into dirty dishes, I dried a bread and butter plate and put it in place atop a matching dinner plate. Those plates were part of a set of dishes given to us as a wedding present close to 55 years ago. Those two plates are all that remain of the four-place setting.

I know the culprits in the demise of the other place settings. I confess my own guilt for some of the breakage. But Housemate was a co-conspirator, probably not a willing one, and has to share some of the blame. Neither of us planned to break cups and saucers and plates but over the years things happen and therefore, there are fewer dishes to wash but enough remain for happy memories.

Because a mechanical dishwasher is not a fxture in our home, a drawer is flled with dish towels, some more ratty than others, but still having enough cloth to carefully dry a dish. Each time I dry with one of the towels, I examine the embroidery and think of my Mother who stitched the seven days of the week and some extras, likely thinking I’d be doing laundry on the traditional Mondays so there would be enough towels to carry over until the wash was dried. If she only knew how I avoid dirty dishes!

The views and opinions expressed in this article are those of the author, and do not necessarily refect the position of this publication.

One of my 56-year-old plastic mixing bowls was in the sink on one particular morning and I had to check to see if the wounded plastic had broken through to the other side of the bowl. Someone in the house had one day set the plastic dish too close to a boiling kettle. Thus the melt scar. That same bowl has a split at the pouring lip but naturally I won’t discard it. After all, I mixed my frst cake in that bowl after I left home at the age of 18 to pursue my career. Of course I think of it fondly each time it is in my hands.

Ditto for the squarish, pink tin cup tucked away with other mugs and cups. Housemate calls it one of my “heritage things” that I don’t use much but refuse to give away or discard.

That is my baby cup, the vessel from which I sipped and drank after being weaned from more baby-like beakers. There is a plate to match, and yes, it stays with me too.

Through all the dish-washing exercises, I also ramble in my mind to think of adventures in my life, people I’ve met, friends from past and present, which reminds me: It is my turn to write Sharon, my Grade 1-12 friend who has stayed in touch through many years.

If it hadn’t been for dirty dish thinking time I might have delayed my letter.

Joyce Walter can be reached at ronjoy@sasktel.net

Gary Over’s Golden Retriever ‘Tuck’ adds Grand Master Obedience Trial Champion to his title

Tuck, a Golden Retriever belonging to Gary Overs with Gary Overs Kennelling and Obedience is well known for earning the highest possible award in the hunting dog

Aaron Walker - Moose Jaw Express

world — the Grand Master Hunter title — in late August 2023. Now, Tuck is adding another feather to his collar by competing for the additional title of Grandmaster Obedience Trial champion.

The competition began in January and will conclude this December, which is when Tuck receives his fnal national standing.

“Right now, he’s currently number four in Canada,” Overs announced proudly.

Tuck is also known as “Zaniri The Duck Stops Here” after his breeder, Zaniri Golden Retrievers in B.C. as per the Canadian Kennel Club’s naming convention. The frst portion of the name gives recognition to the dog’s breeder and the remainder follows an established set of rules for the dog’s new owner to work with.

The standing is impressive because of how rare it is for a dog to hold this position. It’s not his personal best either.

“He was actually number two, and then we took (one month) off… which was a bad idea because we went from number two to number four because we weren’t competing in that time,” Overs said.

To make up for this, Overs said he’ll have to resume training which is on par with a canine equivalent to the Olympics.

“We’re not going to take more time off,” he said. “(We’re going to) keep the foot to the foor and keep going.”

Tuck is four years old and has been training his whole life. “It took us four years to get him to this level. It’s like training for the Olympics,” Overs said. “It’s basically an everyday (routine) making them absolutely as perfect as you can be. Obedience is all about precision; it’s all about accuracy.”

One of the events Tuck trains for is called scent discrimination.

“There are 15 dumbbells: fve wooden ones, fve metal ones, and fve leather ones,” Overs explained. “Each one is numbered… and (the judges) pick out two. You never know (what) it’s going to be…”

Overs then touches two of the objects to transfer his scent and returns them to the judge, who mixes it with the remaining objects and hides them over a given area. Tuck has to sniff each one and retrieve the two that belong to his owner. The task involves hand signals and is done in silence.

The success story is made possible by Over’s wife, Shelley, whose administrative support from registering shows to planning schedules was crucial to the team’s success as they travel across the country.

NEW SOUTHERN PLAINS METIS LOCAL #160

Is holding its Annual General Assembly at 310-210 Main St N. on October 27, 2024 at 2:00P.M.

An agenda will be available with an activity and financial review posted fifteen days before October 27, 2024 if you are a member of Local 160 and wish to forward an agenda item or constitutional amendment, please submit it to the Local Office in writing before October 15,2024

NEW SOUTHERN PLAINS METIS LOCAL #160

Is holding Elections: Oct 27, 204 from 11:00 A.M. -6:00 P.M. Polling Station: 210-310 Main St N. Moose Jaw New Southern Plains Metis Local #160 Elections will be held on Oct 27, 2024. Call for Nominations must be in writing and submitted to 210-310 Main Street North. Nominations will close on the 13th of October 2024 at 12:00 P.M., Full slate will run.

Tuck is now as high as he can go in obedience, and Overs remains optimistic about Tuck’s chances of holding a good national standing come December. “We’ll see in December where he is… hopefully we can hold on to our number four position.”

Overs said he’s very proud to represent Moose Jaw in a feld usually represented by larger population centres. “I’m very proud of being from Moose Jaw and that puts a spotlight on Moose Jaw a bit in the dog world.”

Gary Overs was born and raised in Moose Jaw. He’s been training since the age of 20 and opened Gary Overs Kennelling and Obedience in 1991. In 2006 he opened the K-9 Academy.

Gary Overs Kennelling & Obedience is located at 860 High Street West and can be reached at 306-692-6011. For more information visit GaryOversPetCare.ca.

To follow Tuck’s progress between now and December, you can follow ‘Gary Shelley Overs’ or ‘Gary Overs Kenneling & Obedience’ on Facebook.

Tuck, known also as “Zaniri The Duck Stops Here” pauses for a photo with all his accolades to date — including his most recent title of Grand Master Obedience Trial Champion. The photo was taken at the conclusion of the three-day competition in Olds, Alta., on or around Sept. 15. Photo by: Gary Shelley Overs/Facebook

Moose Jaw’s Snowbirds featured on new RCAF commemorative coin

Many organizations have been celebrating the Royal Canadian Air Force’s (RCAF) 100th anniversary this year, with the Royal Canadian Mint being the latest to parachute in to honour the aviation agency.

The Mint recently released a $2 collector coin that features a Hercules CC-130H plane — in service for six decades — in the centre with a blue background to symbolize the sky. Above the plane is the RCAF logo.

On the edge of the coin, surrounding the centrepiece, are the various aircraft that have been used throughout the past 100 years, including the Finch Mk. 5, F-86 Sabre, the CF-100 Mk. 5, the CC-115 Buffalo, CF-188 Hornet, CH-146 Griffon helicopter and the CT-114 Tutor.

The CT-114 Tutor is what the Moose Jaw-based 431 (Snowbirds) Air Demonstration Squadron uses in its shows.

King Charles III is featured on the other side of the coin.

“In 2024, we look to the skies to commemorate the Royal Canadian Air Force’s (RCAF) 100 years of service, at home and abroad,” the Mint said.

“The RCAF Centennial is an opportunity to honour the history and heritage of Canada’s air force and to recognize its personnel’s national service and contributions to aviation, national security, emergency support and international peace.

Residents can acquire these coins coloured or noncoloured. Each specially wrapped roll contains 25 $2 100th Anniversary of the Royal Canadian Air Force commemorative circulation coins in a custom paper wrap.

Furthermore, all 25 coins are uncirculated — they all have a newly minted quality and feature the same colourenhanced or non-colour-enhanced reverse design.

These coins are an “inspiring salute” to the RCAF and its personnel, while they are a great gift or keepsake for RCAF personnel (past and present) and their loved ones, for aviation and history enthusiasts, and for all who

Staff with the Royal Canadian Mint and Royal Canadian Air Force unveil the new commemorative coin.

are inspired by the air force’s important legacy of service, the Mint added.

“The Royal Canadian Air Forces belongs to all Canadians, and in our centennial year, we are pleased to partner with the Royal Canadian Mint to showcase some of the aircraft that have contributed to training and security at home and around the world,” said Lt.-Gen. Eric Kenny, RCAF commander.

“As Canadians go about their day, they will soon carry with them a reminder of the iconic aircraft that have carried our aviators past and present over the last century,” he added. “Like a new coin, the future of your air force is bright.”

The RCAF was founded on April 1, 1924, just 15 years after the frst powered, controlled, heavier-thanair fight in Canada in 1909. In late 1923, it was simply called the Canadian Air Force (CAF), but the name was changed after royal approval from King George V.

15 Wing raises fag to honour national TRC day

On Sept. 27, 15 Wing Air Base raised the “Survivors’ Flag” as part of its efforts to honour The National Day of Truth and Reconciliation.

Col. Daniel Coutts, base commander, was present, along with Wing Chief Warrant Offcer Rachel Fox, champion of the base’s defence indigenous advisory group, and Lt. (Navy) Andrew Klinger, chair of the advisory group.

Master Cpl. Jonathan Porter, from the Canadian Forces’ Snowbirds, was accompanied by his children to raise the Survivors’ Flag.

Members of 15 Wing gather for a picture after raising the Survivors’ Flag. Photo courtesy 15 Wing

In the 1920s, the air force was mostly used for government operations such as mapping, spotting forest fres, exploring northern regions, and patrolling the fshing industry.

When the Second World War broke out on Sept. 1, 1939, the RCAF expanded signifcantly. The frst Canadian air squadrons were sent to Europe in 1940 to participate in the Battle of Britain, while Canadian airmen served in many other battles throughout the war. Four Canadian pilots were awarded the Victoria Cross for bravery during the war.

Canadian airstrips also played a major role in training pilots due to the British Commonwealth Air Training Plan, which saw bases built across Canada — including in Saskatchewan — where many of the world’s best pilots learned to fy.

Today, roughly 18,000 personnel are employed throughout the air force. The organization works in partnership with the US Air Force to defend Canadian and North American air space.

The commemorative coin is available for $14.95 and the special rolls are $79.95.

to courtesy Royal Canadian Mint

Give Back to your Notorious Community and Apply for a Position on a City Committee or Board Today

Moose Jaw City Council is seeking passionate Moose Javians who want to make a positive impact within one of our City-led committees and boards.

If you are 16 years of age or older, a Canadian citizen, a full-time resident of Moose Jaw and have the knowledge, leadership and energy to make a difference, click the Boards, Committees and Commissions page at www.moosejaw.ca to find the committee, board or commission that aligns with your interests, including: Board of Police Commissioners (2 citizens-at-large)

▪ Development Appeals Board (1+ citizen-at-large)

▪ Moose Jaw Public Library Board (4+ citizens-at-large) / Palliser Regional Library Board (2+ citizens-at-large)

▪ Wakamow Valley Authority (1 citizen-at-large)

As a member, you will provide input and advice to City Councillors and other engaged residents that will help shape decisions on important issues that impact life in the City of Moose Jaw.

City Council values inclusivity, respect and trust and invites participation from community members in the decision-making process. Nominees will have been recruited through an inclusive, transparent, and equitable process and appointments made by City Council will reflect these objectives.

Deadline for completing applications is Friday November 1, 2024. For more information, you can also contact the Office of the City Clerk at cclerk@moosejaw.ca or 306-694-4424.

The commemorative coin without a blue centre. Pho-
Photo from Facebook
The commemorative coin with the blue centre. Photo courtesy Royal Canadian Mint
Ceremony attendees watch the fag go up the pole. Photo courtesy 15 Wing
Master Cpl. Jonathan Porter and his children attach the fag to the pole before raising it. Photo courtesy 15 Wing

Fall Care of the B ders

Autumn is a lovely time of year. The air has a crispness to it and the colours are usually quite spectacular! Our chores in the garden change a little bit as freezing temperatures convince hardy plants, trees and shrubs to rest as winter approaches.

Most of us that live in places that have seasonal change have planned mixed borders. These are areas in the garden that are not devoted to just annuals or perennials. They grace us with beauty for as long as possible during the growing season with a great variety of colours, textures and shapes. A mixed border contains trees, shrubs, perennials, vines, bulbs and even annuals. It is for sure the most attractive and best option for any garden with four seasons.

Perennials and annuals that are not late bloomers are fnished for the year and those that have little winter aesthetic value can be cut back anytime. Remember

that seed heads, grasses and other perennials can be quite attractive during those long winter months so if there is value in leaving them standing, they can easily be cut back in early spring. Another consideration is whether or not you wish to trap a little bit more snow in your border. Anything vertical will help to keep the snow on your beds providing much needed moisture for early next spring.

Roses are always one of those plants that might warrant some extra protection for the winter. Hardy shrub roses that are established don’t really need any extra help but if you like to grow tea roses or other roses that are less hardy here, it is good to prepare those for the upcoming winter. Those tender grafted roses need to be mulched over the crown with soil, mulch or other insulative material. A few inches of mulch can raise the temperature as much as 5 or 10 C. One word of caution if you have a rodent problem, mulch once the ground has frozen. In the spring, remove the mulch as early as possible once the snow melts and very low temperatures have ceased to be a threat.

One very important chore for any newly established woody ornamentals and perennials is to give them one last big drink so they go into winter surrounded by damp soil. Watering in anything tender or newly planted will keep that soil temperature more constant thus keeping

them happier while they rest. Once this chore is done and we are unlikely to have any warmer days, it is a good time to drain those hoses and put them away for the winter!

Decorative clay pots, concrete ornaments and wooden furniture should be protected from the ravages of our long winter. Some items can easily be tucked into a corner and covered with tarps to protect them from the sun and keep off the snow and rain. For clay pots that tend to crack over the winter, I tuck them here and there in sheltered areas empty and upside down.

If you are expanding any planting areas, fall just happens to be the best time to get those areas prepared for spring planting. Remove any turf and those pesky perennial weeds and then amend the soil. The freeze, thaw cycles help to break down soils so come spring you are ready to plant!

Hopefully you have thought about adding some early spring colour to your garden. Before the ground freezes, set in your spring fowering bulbs allowing them time to root prior to winter. They need the cold temperatures to initiate the bloom that is always enjoyed after a long winter! Enjoy the last days of mild temperatures prior to the big freeze!

Hanbidge is the Lead Horticulturist with Orchid Horticulture. Find us at www.orchidhort.com; by email at info@orchidhort.com; on facebook @orchidhort and on instagram at #orchidhort.

Tune into GROW Live on our Facebook page https:// www.facebook.com/orchidhort or check out the Youtube channel GROW https://www.youtube.com/channel/ UCzkiUpkvyv2e2HCQlFl0JyQ?

Hunger in Moose Jaw concludes another successful community garden pumpkin festival

As fall leaves crunched underfoot and the cool autumn breeze set the atmosphere, Hunger in Moose Jaw’s fall pumpkin festival concluded another season as children, families, and gardeners helped raise funds at the Grey Avenue Yara Community Gardens on Sept. 21.

“The pumpkin festival is our second fundraiser that we do every year for the gardens,” explained Suzanne Ramage, the community garden co-ordinator for Hunger in Moose Jaw during the event. “The weather’s a little chilly again today… (but) it was raining last year so this is still an improvement.”

Hunger in Moose Jaw’s other key fundraiser is the farmer’s market held on Home Street each August.

The festival included numerous games for children, face painting, fresh garden produce for sale, a 50/50 draw, and chili and hotdogs were available by donation in a beautifully themed fall wonderland.

Aaron Walker - Moose Jaw Express

One of Hunger in Moose Jaw’s largest ongoing projects is its school lunch program that’s resumed for the school year and helps provide around 400 nutritious lunches each day.

“Lots of the fundraising goes to help make lunches for those school kids who don’t have a lunch,” Ramage said. “Just the cost of groceries is so ridiculous right now… (and too many students) are not getting healthy meals, so it’s nice to do things like this and try to help out a little bit.”

The yearly event continues to grow as more people learn about it each season.

“The gardeners have to donate a portion of their produce — just a little bit — and they give it for us to sell,” she continued. “We grow a huge pumpkin patch and we sell the pumpkins (as well). All the money we make from this fundraiser goes back into improving the gardens and helping Hunger in Moose Jaw.”

Proceeds dedicated to the gardens are allocated as needed between this and the Home Street West location.

Hunger in Moose Jaw — who oversees the two Yara Community Gardens — added new raised beds to the Home Street garden last year and the organization continues to make improvements at a modest but manageable cost. The biggest overall expense, she said, is the water bill needed to irrigate the 138 total garden plots.

These proceeds also help reduce the fee to rent each seasonal plot and, when combined, is enough to maintain both locations including a fully stocked tool shed from season to season.

Plans are now in development for the addition of more wheelchair accessible pathways as well as some general path maintenance.

“Our other garden on South Hill is really on a hilly slant, so people with walkers kind of struggle,” she said. “So now we’ve built this big new area that’s leveled (and) … On the other side we’re going to try and level another area for more accessible raised beds.”

“This is my fourth year with Hunger in Moose Jaw in the garden (department), and yeah, the number (of guests) just keeps going up every year. It’s crazy,” she said. Ramage concluded with a message of thanks for the community whose support made everything possible. “They’re always here to support all our fundraisers. It’s very much appreciated, and (so are) all the people that come and volunteer and who helped me set this up.”

The event saw support from the Moose Jaw Co-op and both Storms Mini Donuts and SAVEM Sweets were on site as vendors.

To learn more about Hunger in Moose Jaw, visit HungerInMooseJaw.org or follow ‘Hunger in Moose Jaw’ on Facebook. The organization can be reached at 306-692-1916 during its regular business hours.

If you’re interested in renting a garden plot next season, contact Ramage at 306-630-3498.

Moose Jaw’s Yara Community Gardens are located at 1008 Grey Avenue on North Hill and along the 200

of Home Street West on South Hill.

For Moose Jaw Express
Hunger in Moose Jaw’s pumpkin festival took place at the Grey Avenue Yara Community Gardens on Sept. 21. Photo by: Aaron Walker
A family gathers for a photo during the Hunger in Moose Jaw Pumpkin Festival at the Grey Avenue Yara Community Gardens. Photo by: Aaron Walker
Gardeners sell a portion of their produce to help raise funds for Hunger in Moose Jaw and to maintain the Yara Community Gardens. Photo by: Aaron Walker

From The Kitchen

Sweet treats coming directly from pumpkin patch

With Thanksgiving just around the corner, gardeners have been carefully monitoring the pumpkin patch in search of pumpkins ready to be turned into sweet treats for family and guests.

This week’s pumpkin recipes come from A World of Baking Cookbook, a favourite source of timely baking ideas.

• • • PUMPKIN GINGERBREAD CAKE

1/2 cup butter

1/2 cup brown sugar

2 large eggs

3/4 cup buttermilk or sour milk

1/2 cup mashed pumpkin

1/2 cup light molasses

2 1/2 cups sifted four

1 tsp. baking soda

1/2 tsp. salt

1 tsp. cinnamon

1 tsp. ground ginger

Cream butter with sugar until light and fuffy. Add the eggs, one at a time, and beat in until well blended.

Combine the milk, pumpkin and molasses and stir to blend.

Sift the four with the baking soda, salt and spices. Add the liquid mixture and four mixture, alter-

nately, into the creamed butter mixture. Begin and end with the dry ingredients. Stir to ensure ingredients are well blended and the batter is smooth.

Turn mixture into a greased 9 inch square pan. Bake at 325 degrees F for 45-50 minutes or until cake shrinks away from the sides of the pan and tests done with a toothpick or cake tester.

Note: If the pumpkin is freshly cooked, whirl it in a blender until smooth before adding to the milk.

• • • PUMPKIN MUFFINS

2 cups sifted four

2 tsps. baking powder

1/2 tsp. salt

4 tbsps. brown sugar

2 large eggs

3/4 cup cold milk

1/4 cup melted butter

1/2 cup cooked and mashed pumpkin

1/2 tsp. cinnamon

1/3 cup chopped pecans, optional

Sift the dry ingredients into a bowl. Add the liquid ingredients and stir until the dry ingredients are thoroughly moistened but the batter is still lumpy and rough.

Fill buttered muffn tins or paper liners 2/3 full. Bake at 400 degrees F for 20-25 minutes. Best served hot with butter and jam. May be frozen.

PUMPKIN NUT BREAD

4 cups sugar

1 cup butter

6 large eggs

3 cups cooked, mashed pumpkin

1 cup water

5 cups sifted four

1 tsp. each baking powder and soda

1/2 tsp. cloves

1 tsp. cinnamon

1 cup chopped pecans or walnuts

1 cup chopped raisins

Cream sugar and butter until light. Add eggs and beat thoroughly. Stir in pumpkin and water and blend.

Sift dry ingredients together and carefully fold them into the liquid ingredients, mixing just until dry ingredients are thoroughly moistened. Add nuts and raisins and blend.

Pour into three well-buttered loaf pans and set aside for 15 minutes.

Bake at 350 degrees F for one hour or until cake tester comes out clean. Cool on racks, remove, cover loosely with a tea towel and cool completely. Loaves may be double wrapped and frozen for later use.

Joyce Walter can be reached at ronjoy@sasktel.net

Former Riverside Mission clients appreciate new community food program

Burgers sizzled on the barbecue on a recent sunny Friday afternoon as volunteers with the outreach group Community Connection prepared supper for less fortunate residents in Moose Jaw.

Normally, these residents would be at Riverside Mission, but the charity’s permanent closure forced them to look elsewhere for daily lunches and suppers. Luckily, several groups quickly came together to offer meals, naming the new initiative “Love in Action Meal Offerings.”

Standing in the parking lot beside St. Aidan Anglican Church, Walter Vanderlee waited for his supper as Community Connection members cooked burgers, sliced pickles, and laid out chips, pasta salads and condiments.

Vanderlee said Riverside Mission’s closure saddened him but was “very pleased” when local charities — such as Square One Community Inc., Community Connection, John Howard Society, St. Aidan, and other churches — banded together to plan meals.

“They can keep us out of the Mission, but they can’t keep the mission out of me,” Vanderlee chuckled. “We have picked up from (the closure). So that is the most fun part, that the community came together. So, we will keep going, and we will succeed.”

The food that volunteers have been cooking during the past two weeks has been “marvelous,” he added.

Ken Green, who also used Riverside Mission regularly, was digging into his burger when he spoke about the situation.

He said he was “(disappointed)” when the non-proft organization closed since he appreciated the free food. How-

ever, the new program has been a good solution, while the format is OK — even though he had to stand to eat instead of sitting at a table.

“Everything’s good,” Green added, smiling between bites of his burger.

Crystal Harvey with Community Connection said the challenge the food program faces is it’s not always in a central location, so hungry people must walk to wherever the meals are being distributed. However, she has appreciated that residents give back and support the cause.

Harvey added that the program needs volunteers who can give three hours to prepare and cook food and clean up.

Rachel Mullens, the former chef, manager and director of emergency services at Riverside Mission, is one of the program co-leaders and creates the menus, gathers the food and ensures the volunteers can prepare it.

Mullens said she offered to help Mission clients after the charity temporarily closed in August to fumigate for cockroaches. However, once it permanently closed, she called Square One’s Della Ferguson and said they needed to address the situation.

“When I heard about it, I thought, ‘Well, I have time, and this is where I feel I can give my time and my expertise to,’” she said.

Love in Action Meal Offerings is a temporary name because there is no permanent solution yet to this issue, while the collective group is “winging it,” Mullens continued.

Organizers are asking the community for everything — kitchen space, cooking utilities, volunteers, and donations —

while they have been using St. Aidan, First Baptist and Hillcrest Apostolic Church to distribute lunches and suppers, whether bagged or sit-down meals.

The long-term goal, she added, is to fnd a permanent location for food and programming.

Organizers and volunteers have been busy over the past two weeks, although it has gone well and the community has rallied in support, said Mullens. After Riverside Mission closed permanently on Aug. 23, Square One’s Ferguson organized a meeting on Aug. 25 that attracted more than 30 people, which was an amazing turnout.

Mullens pointed out that Riverside Mission offered residents not just food but a place to build community, which is why having a permanent location where people can sit, eat and socialize is important. Moreover, some clients — who could make their own meals — used the charity’s services because they were lonely and wanted companionship.

Mullens added that with winter coming, fnding a permanent location — she knows one is out there — to serve hot meals becomes more important.

Tammy McCleary with Community Connection organizes chips and other food on a table for residents. Photo by Jason G. Antonio
A volunteer hands out plates of food to hungry residents. Photo by Jason G. Antonio

Calgarian jailed nearly 12 years for drug trafcking, shooting at Moose Jaw police

Calgary resident Jirard Stacey Saddleback will spend nearly 12 years in federal prison for an incident from 2022 that included possessing drugs and fring a gun at Moose Jaw police.

Saddleback, 34, appeared in Moose Jaw’s Court of King’s Bench on Sept. 25, where Justice D.L. Dawson imposed an 11-and-a-half-year sentence — or about 4,198 days — on him. She credited him with 1,004 days spent on remand, which means he will have to serve 3,194 days or about 8.7 years.

As part of a joint submission between the defence and Crown, Saddleback pleaded guilty to discharging a frearm with the intent to resist arrest, assaulting an offce by threatening with a frearm, possessing a restricted frearm without a licence, and breaching a frearms prohibition order.

He also pleaded guilty to possessing 848 grams of methamphetamine for the purpose of traffcking and for possessing property — $6,620 in Canadian dollars — obtained by crime over $5,000.

Dawson also imposed on Saddleback

a mandatory DNA order and a lifetime frearm ban.

On Oct. 22, 2022, while surveilling a residence on the 800 block of 4th Avenue Northwest and preparing to execute a search warrant, police observed Saddleback jumping out of a window.

Saddleback fed when offcers confronted him. While being pursued, he drew a frearm from his person and fred one round in the direction of the offcers.

Meanwhile, while conducting a search of Saddleback’s residence, other

police heard multiple gunshots within a block of their location. Offcers immediately surrounded the area and then heard another gunshot on the 300 block of Ross Street West.

Following negotiations with Saddleback, he fnally surrendered and was arrested without incident and taken into police custody.

After the arrest, police discovered and seized 848 grams of methamphetamine and $6,620 of Canadian currency that Saddleback had in his possession.

Moose Jaw Board of Police Commissioners Notes

Two new trafc ofcers to join MJPS thanks to money from SGI

Nearly a month after the province gave almost $1 million to the Moose Jaw Police Service (MJPS) to hire eight new offcers, it is providing more cash to support traffc and mental health initiatives.

The MJPS will receive nearly $467,000 from the Ministry of Corrections, Policing and Public Safety through the Municipal Police Grants Program for the 2024-25 fscal year. The grant will continue to fund six existing positions with the Combined Traffc Services Saskatchewan (CTSS) and Police and Crisis Team (PACT) programs.

“We are happy to ensure that through this funding these important targeted policing initiatives are able to continue in the City of Moose Jaw,” said Paul Merriman, minister responsible for Corrections, Policing and Public Safety. “This ongoing funding partnership with the Moose Jaw Police Service further refects our commitment to ensuring safer communities both now and in the future.”

The Moose Jaw Police Service had a busy 24 hours on Sept. 22, as offcers discovered a body in a burned-out vehicle and responded to a weapons call at a residence.

The MJPS responded to a vehicle fre on the 700 block of Ominica Street East on Sept. 22 around 8:30 p.m. Once on the scene, offcers discovered a body in the vehicle, which was later pronounced deceased by EMS.

The funding provided through the Municipal Police Grants Program supports enhanced community policing initiatives throughout the City of Moose Jaw. Through PACT, offcers provide an

immediate and co-ordinated response to individuals experiencing a mental health and addiction crisis.

Meanwhile, the CTSS program aims to reduce the number of serious collisions and fatalities on Saskatchewan roads. SGI delivers the program and is contributing $360,000 for an additional two CTSS offcers, bringing the combined contribution to $826,800 for six offcers across the two programs.

“This ongoing partnership between the ministry and the Moose Jaw Police Service advances our shared vision of safe and inclusive communities,” said

Currently, the cause of death and the fre are unknown and remain under investigation by the Moose Jaw Police Service and the Saskatchewan Coroner’s Service.

The next of kin has been notifed.

The police service does not plan to release any additional details right now.

Meanwhile, at approximately 4:10 p.m. that day, police responded to a weapons call at a residence on the 400 block

of Manitoba Street East. The complainant stated that an individual was brandishing a frearm inside the residence.

Police secured the area around the property, and immediately, two individuals exited the residence unharmed and without incident.

With the help of the MJPS’s Crisis Negotiation Team (CNT), two additional occupants exited the residence without in-

Chief Rick Bourassa.

“The annual funding of these positions enables the Moose Jaw Police Service to continue providing Police and Crisis Team supports and Combined Traffc Services Saskatchewan road safety services to people not only in Moose Jaw but also across our south-central region.”

This funding is in addition to the recently announced $952,000 for Moose Jaw to hire eight new offcers as part of the government’s commitment to creating safer communities and neighbourhoods in Saskatchewan.

cident and were taken into police custody.

The incident is currently under investigation and additional details will be released once they become available.

Anyone with further information about either of these incidents should contact CRIME STOPPERS at 1-800-2228477 or the Moose Jaw Police Service at 306-694-7600.

Unveiling of Ukrainian sculpture an emotional moment for donor

Tears of joy streamed down Jean Tkatch’s face as she discussed the offcial unveiling of a sunfower-themed sculpture dedicated to Ukraine and the Ukrainian pioneers who helped build Moose Jaw.

“It’s really, really great. I really love the sculpture. The base is the fag … (of Ukraine) and the beauty of the sunfowers that come and rise from the ground are the people,” she said. “And they will survive.”

Tkatch acknowledged that it was an emotional day because the $10,000 donation from her now-closed parish of St. Vladimir Ukrainian Orthodox Church — it closed in November 2021 and made the donation in 2022 — had gone to a good cause.

“We wanted to leave a symbol that we did exist because we were here for (nearly) 70 years, and this gives us an opportunity to say that we were here,” the former church board president added.

Tkatch was one of about 20 people who attended the unveiling in Crescent Park on Sept. 25. Commissioned by the Downtown Moose Jaw Association, created by artists Bill and Laurette Keen, and installed in June, the sculpture sits at the southwest entrance to Langdon Crescent.

“The sculpture turned out absolutely beautiful and the spot they picked in Crescent Park is amazing … ,” Mr. Keen said. “It was a pleasure (and honour) doing it and I can’t thank (the association) enough.”

The Keens spent more than a year working on the sculpture, which has steel sunfowers in a cement base.

Mrs. Keen recalled that the design changed several times, because as her husband was adding metal leaves, he realized it needed to be vandalism-proof so people didn’t bend the metal stalks. So, he used heavy gauge material and added more steel vines to strengthen the artwork.

“… of course, it’s more expensive to use that, but it’s well worth it because if you can keep it from being vandalized, that’s it,” Mr. Keen added.

Amy Jane Lunov, the former treasurer at St. Vladimir, said after parishioners sold the church in November 2021, it was “by the grace of God” that they could add those funds to their investments and then distribute the proceeds.

When the church’s bishop came from Edmonton for the fnal service, he encouraged them to distribute the money in Saskatchewan because parishioners had raised it here. So, that’s what Lunov and Tkatch began doing.

They donated to charities in Moose Jaw like Transition House, KidsSport and the hospital foundation, to other Ukrainian Orthodox churches in Saskatchewan, to provincial agencies that supported

Join us on Sunday, October 20th, for the Festival of Trees Family Brunch hosted by the Hospital Auxiliary! Treat yourself to a spectacular Italian-themed brunch that will delight your taste buds. Enjoy door prizes and a captivating performance by Dance Images.

Don’t miss this unforgettable brunch—your participation supports a new bronchoscopy service, helping lung cancer and COPD patients right here in Moose Jaw. Every dollar raised stays in our community.

Get your tickets now at SaskTix or the Moose Jaw Events Centre Box Office. Adult tickets are $35, and children’s tickets are $20. Let’s make a difference together!

Ukrainian refugees, and to an Orthodox study camp in Fort Qu’Appelle for renovations.

Chuckling, Lunov said she and Tkatch weren’t interested in dictating to the downtown association how it should spend the money. However, because of the organization’s persistence, the women met with the Keens and brainstormed what the artwork could look like.

They landed on sunfowers since they best represented the Eastern European country.

“Really, they can grow in adverse conditions, and I think the people of Ukraine have faced many adverse conditions over generations,” said Lunov, noting this artwork honours her forefathers who moved here 120 years ago.

Lunov added that she and Tkatch

had never imagined a sculpture like the one Keen created, while she thanked the downtown association for commissioning the joyful artwork that contributed to the community and acknowledged past community builders.

Father Volodymyr Feskiv was also present and commended people for donating time, money, and effort to create a sculpture that will forever remember the community’s Ukrainian pioneers. He noted that sunfowers represent heaven and earth since they touch the sky and are rooted in the ground.

“If people have faith, if people have a good heart (and) an open heart to do something, God will bless you to do it … not for ourselves but for others,” he added. “May God bless all of you for this beautiful sculpture.”

This sunfower sculpture sits in Crescent Park near the Langdon Crescent and Fairford Street entrance. It is dedicated to the community’s Ukrainian pioneers and that country’s people today.
Photo by Jason G. Antonio
Gathering after the ceremony are, from left, Father Volodymyr Feskiv, Jean Tkatch, Kelly Carty, Amy Jane Lunov, Mayor Clive Tolley, Laurette and Bill Keen, Coun. Heather Eby and community services director Derek Blais. Photo by Jason G. Antonio

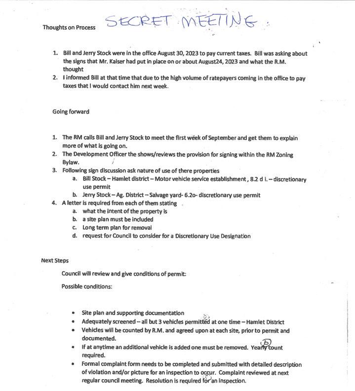
Rural politician challenges RM over junk vehicle properties,

Privacy Commissioner involved

Jason G. Antonio - MooseJawToday.com

Rural councillor Jerry Kaiser raised concerns about two properties with excessive junk vehicles, which prompted a legal and privacy dispute with the Rural Municipality (RM) of Baildon.

Kaiser, representing Division 5, sought more information from the RM offce, but after facing resistance, he enlisted the help of Saskatchewan’s privacy commissioner.

On Nov. 13, 2023, Kaiser fled a freedom of information request with the RM offce. He sought legal materials about a complaint he had made, challenging the council’s refusal to enforce zoning bylaw section 4.7(a)(b)(c), which limits the number of junk vehicles allowed on properties. Additionally, he requested information about the bylaw committee’s decision to issue discretionary use permits to two residents to have more vehicles than typically allowed.

The RM responded by withholding legal fee invoices and services, citing provisions under the Local Authority Freedom of Information Act (LAFOIP). However, they offered to provide bylaw committee meeting reports at a future council meeting. Dissatisfed with this, Kaiser escalated the matter by fling a request for review with the Offce of the Saskatchewan Information and Privacy Commissioner (OSIPC) in December 2023.

The OSIPC notifed both parties of

the review in February 2024, requesting submissions on the application of LAFOIP sections and the adequacy of the RM’s record search. The RM revealed that it had withheld 302 pages of documents, offering only 38 other records and two duplicates for release. Ronald Kruzeniski, the privacy commissioner, was tasked with determining whether the RM should release the remaining 298 pages.

In a recent 53-page decision, Kruzeniski concluded that:

• The RM had not conducted a reasonable search for records

• The RM did not comply with section 10 of LAFOIP

• Withholding certain pages was deemed “absurd”

The RM had improperly applied certain subsections of LAFOIP, including subsections 21(b) and 14(1)(b), while subsection 28(1) did apply to eight pages of emails, he said.

Kruzeniski recommended that the RM:

• Ensure contracts with third parties include provisions for privacy, confdentiality, and personal information security

• Conduct further searches for relevant records

• Release or withhold information according to the review report’s appendix

CITY HALL COUNCIL NOTES

THE NEXT EXECUTIVE COMMITTEE MEETING IS MONDAY, OCT. 7

City administration is predicting that the 2025 budget could see a defcit of nearly $410,000, while the minimum municipal tax hike that taxpayers could face is around four per cent.

City administration kicked off the 2025 budget discussions by presenting a preliminary budget review during the Sept. 23 executive committee meeting.

Money highlights

City administration estimates that the operating budget’s shortfall will be $408,000 — excluding the Moose Jaw Police Service’s budget request — due to increases in salaries and benefts, general infation and equipment costs. Therefore, a municipal tax increase of 1.08 per cent would be required.

One percentage point of municipal taxation next year will generate about $379,245.

Total operating revenues are expected to increase by roughly $1,142,000, while total operating expenses will increase by about $1,550,000, the report said.

Meanwhile, the general capital budget is facing challenges with funding the Fourth Avenue Bridge/Thunderbird Viaduct rehabilitation, the new outdoor pool, the Crescent View Lift Station upgrade and the landfll project.

Furthermore, federal gas tax money of $2.1 million is supporting the waterworks and wastewater utility; the municipality was unsuccessful in acquiring $26.6 million in federal funding to support Crescent View; and repayment costs for the Buffalo Pound Water Treatment Plant

Following the decision, the RM’s legal counsel, Lauren Wihak of McDougall Gauley LLP, responded with a four-page letter. Wihak emphasized that the commissioner’s recommendations were not legally binding and highlighted that the Court of King’s Bench had made it clear that the privacy commissioner does not have the fnal say on the interpretation of LAFOIP.

A document Jerry Kaiser received from the RM of Baildon through his freedom of information request. The scribbles at the top are his writing. Photo courtesy Jerry Kaiser

The RM argued that Kruzeniski had misunderstood the broader context of the dispute between Kaiser and the municipality. Complying with the recommendations, Wihak warned, could harm the RM’s position in anticipated future legal

Next

proceedings. While the RM was willing to release some materials, it remained frm in withholding other documents.

Kaiser, undeterred by the RM’s stance, provided MooseJawToday.com with 12 pages of documents he received, including Wihak’s letter, several fully redacted emails, a page discussing the bylaw committee’s decisions, and notes from a provincial environmental protection offcer reviewing his complaints.

One of the properties in question is an auto wrecking yard with over 500 vehicles, well above the three to 10 vehicles allowed by the zoning bylaw in certain districts. The second property is used for restoring private cars.

Kaiser expressed appreciation for the privacy commissioner’s efforts in compelling the RM to release some documents, although he was frustrated that the RM had allegedly spent $60,000 on legal fees to keep much of the information secret.

“It’s as if they’re nuclear scientists keeping this from spies. I can’t fgure out why they would spend $60,000 to keep this innocuous information from the taxpayers,” Kaiser remarked.

Looking ahead, Kaiser plans to run for RM reeve in the upcoming municipal election, with a commitment to continuing his push for transparency and addressing the issue of junk vehicles in the community.

RM’s response

In an email to MooseJawToday.com, Wihak summarized the situation involving Kaiser’s requests, the privacy commissioner’s decision and the recommendations Baildon was and was not willing to follow.

“Many of the documents Coun. Kaiser sought were already in his possession or involved information for which he is adverse in interest to Baildon and is protected by privilege,” she said.

“Coun. Kaiser was dissatisfed with the position taken by Baildon, and sought a review to the privacy commissioner, as (was) his right.”

Wihak added that it cost Baildon roughly $31,000 in legal fees to respond to Kaiser’s request and the privacy commissioner’s review.

year’s budget could require municipal tax hike of 4%, city says

rehabilitation project — borrowing totals nearly $40 million — are putting pressure on that utility.

The report noted that the Buffalo Pound project is straining Moose Jaw’s fnancial ability to fund its 26-percent share. Therefore, the city may need to increase consumption charges by four per cent annually for the next few years to cover its portion.

Reviewing the report

City administration estimates that building permit activity will remain stable, while it will continue to support major industrial and commercial development projects, said fnance director Brian Acker. Increasing building permits and approving more projects would have a signifcant effect on generating long-term taxation.

Operating budget

With the operating budget revenues, city hall expects to receive $505,000 more through the provincial municipal revenue-sharing program, $80,000 more for community services, $128,000 more in franchise fees and $50,000 more in other areas, he continued.

Meanwhile, with expenses, there will be an estimated $650,000 more in salaries and benefts, energy costs will rise by about $52,000, infation of three per cent will add roughly $600,000, and repair costs for aging equipment feet will jump $225,000.

Acker noted that infation could actually be around two per cent in 2025, so the city may see some savings there.

“Realistically this year … one would realistically ex-

pect a municipal tax increase in the three- to four-per-cent range this year,” he said.

Capital budget

A new feature of the federal gas tax is Ottawa wants municipalities to conduct a housing needs assessment since that contributes to whether it approves applications, Acker said. That study shouldn’t be a problem for the Crescent View Lift Station, but it may affect whether Moose Jaw can direct that funding to the new outdoor pool.

Furthermore, while city hall was unsuccessful in acquiring a large grant for the lift station, it has been successful in attaining smaller grants for other projects, he continued.

Overall, city administration expects to see a defcit of $12.7 million in the general capital reserve budget, a defcit of $4.2 million in the water and wastewater utility reserve, a surplus of $9.4 million in the solid waste utility reserve and a defcit of $4.7 million in the land development reserve, for an overall defcit of $12,266,143, Acker noted.

The shortfall in the land development reserve is because the city has incurred many costs developing the agri-food industrial park, although administration expects to recoup costs in the next fve years, Acker added.

In response to council questions, the fnance director said that investments should generate $5.8 million in interest revenue and borrowing interest repayments could be roughly $4 million.

Jerry Kaiser. File photo
A picture from Google shows the rural property with more than 500 vehicles. Photo courtesy Jerry Kaiser

CITY HALL COUNCIL NOTES

THE NEXT REGULAR COMMITTEE MEETING

IS MONDAY, OCT. 7

The Events Centre holds six to eight concerts annually, but city hall is unable to evaluate these events’ fnancial outcomes or determine their implications for the venue’s overall economic health.

To rectify that problem, city council voted 6-1 during its Sept. 23 executive committee meeting to establish a concert reserve effective Jan. 1, 2025. The parameters of that separate bank account — which would provide “transparent and accountable fnancial practices” — include:

• The venue would use the reserve only for concerts

• The reserve would be housed within the Events Centre’s fnancial operations

• The Events Centre would create a separate bank account for this reserve

• The venue would have to give year-end fnancial statements using public sector accounting standards

The recommendation will become offcial when council approves it as a motion during a future regular meeting.

Coun. Jamey Logan was opposed.

The lack of data analysis on the annual concerts — whether they succeeded or failed and their effect on the venue’s bottom line — has created a gap in understanding the economic effect that the concerts have, a council report said.

Creating a structured approach would ensure that all concert-related fnancial activities would be thoroughly documented and analyzed through the reserve account,

Jason G. Antonio - MooseJawToday.com

the document continued. Insights gained would play a role in strategic planning and decision-making processes and foster continued growth and success at the Events Centre.

“The use of public funds for any type of risk-based situation comes with the need to properly report on the cost or beneft derived,” the report noted.

The concert reserve would contain the profts and losses from the concerts, while it would summarize the net benefts or costs of the events held, the document said. The reserve will grow if concerts are successful, while the Events Centre will use the account if the concerts lose money.

“City council may very well fnd that hosting concerts is a money-losing proposition, but one (it) still (wishes) to pursue because of the benefts they bring to the community,” the report said.

Having the reserve under the Events Centre’s fnancial domain instead of with city hall will eliminate the continual exchange of money that would be required if the municipality hosted the account, the document continued.

Segregating the reserve and limiting what it can be used for could provide suffcient safeguards and ensure the venue uses the cash for its intended purpose.

Creating this reserve would boost accountability in hosting concerts, determine funding, allow the hosting of benefcial but potentially unproftable concerts, and ensure overall proftability or acceptable losses are being

understood, the report said.

The document added that creating a concert reserve would have zero fnancial implications for the city.

Council discussion

When asked whether the city has — or hopes to have — the funds to start this reserve, fnance director Brian Acker said it was currently “undetermined.” However, even if no money is available, the account still allows the city to track progress next year.

“The hope would be that since we are having a good year this year at the Events Centre, there may be the opportunity at the end of this year to … transfer monies to have a pool within that reserve,” Acker said.

The fnance director doubted that the account would be a revenue generator for the city, while he hoped that most concerts broke even fnancially. Meanwhile, he pointed out that concerts usually beneft the community more due to hotel bookings and meals.

When asked whether the Events Centre purchases U.S. dollars to pay artists, general manager Shaunna Fritzler said the venue hasn’t done that in a while because the Loonie has been weak for many years.

Coun. Jamey Logan asked whether the Events Centre would funnel concert-related food and beverage revenues and expenses through the reserve account. City manager Maryse Carmichael replied that that would happen as part of the break-even expectations.

Scotia Bank to continue providing services to city until November 2025

City hall will continue to use the Scotia Bank for another year because the latter’s services appear to be the only compatible banking service available that integrates well with the municipality’s fnancial systems.

During its Sept. 23 executive committee meeting, city council approved a recommendation to extend the banking services agreement with Scotia Bank until Nov. 30, 2025; it frst signed an agreement in December 2018.

The agreement is a revenue-generating contract for the City of Moose Jaw since it creates roughly $1.8 million annually in interest from the municipality’s bank account balances.

The recommendation will be offcial once council approves it at a future regular meeting.

“… Scotia Bank services are the only compatible banking services available that currently integrates with our fnancial systems,” a council report said.

“Other banks could provide this service, but it would

Jason G. Antonio - MooseJawToday.com

take a signifcant effort to migrate over to their systems; hence, at this time, only one vendor, Scotia Bank, can provide the compatible service without a signifcant effort on the city’s part.”

The agreement with Scotia Bank had expired on Dec. 21, 2023, and while the city could have started the tender process in early or mid-year, the treasury branch was dealing with the smart water meter upgrade project and the property tax module within the Enterprise Resource Planning (ERP) software program, the report said.

Three important treasury employees have been assigned new roles since December 2023, so deferring the bank services tender provided the branch with time to gain more stability and knowledge before “issuing a complex tender,” the document continued. Specifcally, the tender’s outcome could have led to the city having to migrate its system to a new bank.

Furthermore, the city says some fnal system devel-

opments with the ERP project remain that require the treasury branch to be focused and prioritize that initiative. That is why city administration wanted council to extend the banking agreement to next November.

City offcials will issue a tender before the expiration date in 2025, while it has received assurances from Scotia Bank that it would extend the contract and honour the existing terms and conditions but not provide free bank supplies — the city can acquire them elsewhere — like coin rollers, boxes and deposit slips, the report said.

“It should be noted that the banking services agreement and its extension will have no impact on any direction the city may wish to pursue in terms of investment of the city’s reserve funds,” the document added. “The city’s investment of its reserve funds does not form part of the banking services agreement.”

Five groups receive awards for including seniors, people with disabilities

City council has recognized fve residents, groups and businesses for being welcoming and friendly and going above and beyond to include seniors and people with disabilities.

Based on recommendations from the accessible community advisory committee, council handed out the fve inaugural accessibility awards during its Sept. 23 regular meeting.

The awards were as follows:

• Age-Friendly Business Award: Northern Air and Auto for participating in the Chamber of Commerce’s Senior Moose Jobs Program and for being a physically accessible business

• Creating Opportunities for an Inclusive Community Award: Kinsmen Café for providing opportunities to people of various abilities to develop their employment skills and independence to assist people seeking employment throughout the community

• Advocacy Award: Chad Neal for his exceptional customer service at the Kinsmen Café and

Jason G. Antonio - MooseJawToday.com

for promoting accessibility in the workplace

• Age-Friendly Business Award: Comfort Inn and Suites for participating in the Senior Moose Jobs Program; it currently employs four seniors who were retired

• Creating Opportunities for an Inclusive Community Award: Rev. Tim Ellis and Zion United Church for providing continued assistance to the Age-Friendly Community and for providing an inclusive and accessible environment for the public

• More information about this award can be found at moosejaw.ca.

A representative from Northern Air and Auto (centre) receives an accessibility award from Coun. Jamey Logan (left) and Mayor Clive Tolley. Photo courtesy G. Edgar
Members of the Kinsmen Cafe (centre) receive an accessibility award from Coun. Jamey Logan (left) and Mayor Clive Tolley. Photo courtesy G. Edgar
Chad Neal (centre) receives an accessibility award from Coun. Jamey Logan (left) and Mayor Clive Tolley. Photo courtesy G. Edgar
Members of Comfort Inn and Suites (middle) receive an accessibility award from Coun. Jamey Logan (left) and Mayor Clive Tolley. Photo courtesy G. Edgar
Rev. Tim Ellis (middle), on behalf of Zion United Church, receives an accessibility award from Coun. Jamey Logan (left) and Mayor Clive Tolley. Photo courtesy G. Edgar

CITY HALL COUNCIL NOTES

THE NEXT REGULAR COMMITTEE MEETING IS MONDAY, OCT. 7

City council will not pursue a bylaw that restricts when residents can use alleys, parks and pathways overnight because it says the municipality lacks the resources to enforce the policy.

After receiving direction from council in May, administration presented a proposed policy during the Sept. 23 executive committee meeting. After a contentious 50-minute discussion, council voted 6-1 to receive and fle the document — essentially, to drop it.

Coun. Kim Robinson was opposed.

Draft bylaw

The draft bylaw was based on curfews that Prince Albert —midnight to 6 a.m. — and North Battleford — 11 p.m. to 6 a.m. — have imposed for accessing back alleys, explained Andrew Svenson, city solicitor and director of legislative and enforcement services.

Furthermore, the proposed bylaw would restrict overnight access to almost every alley, park and pathway in Moose Jaw — not just the downtown, he continued. Also, the draft document contained exemptions that apply to certain people, although that list likely required further additions to refect council’s intentions.

Svenson also pointed out that, unlike North Battleford, Moose Jaw has no community safety offcers or bylaw enforcement offcers who work overnight, so the Moose Jaw Police Service would have to handle situations.

However, that agency has said the proposed bylaw would create more work for offcers, would not provide them with additional crime-fghting tools and wouldn’t address the problem of trespassing in backyards and alleys.

Police response

Staff Sgt. Trish Seaman told council that the proposed bylaw would create an infux of complaints and enforcement problems. She spoke with an offcer from Prince Albert and learned that that agency received a major increase in calls when the new bylaw came in.

Regardless of whether council approved the bylaw, the MJPS would continue to work to make Moose Jaw a safer community.

“… We want to be proactive and not just reactive. And with this bylaw, it may be more reactive than proactive,” Seaman added.

The MJPS does not have the ability to write bylaw tickets, although that would be another tool for police to use, the staff sergeant said.

Police already stop and conduct “contact interviews” with people they fnd in prohibited areas — such as dark alleys — and encourage them to move along, so a bylaw isn’t necessary for those activities, she continued.

Offcers could issue bylaw tickets, but many people are impoverished and wouldn’t be able to pay, while they would clog up the court system, Seaman said. However, the police rely on the Trespass to Property Act, while their presence is usually a suffcient deterrent.

Police can charge trespassers with Criminal Code offences if they fnd such people in backyards tampering with property, she added.

Seaman also said police have dedicated foot patrols

Council declines to create bylaw restricting overnight access to parks and alleys

that move through Crescent Park and the downtown regularly. Since June, the MJPS has conducted roughly 276 foot patrols in that green space.

‘Heads in the sand’

Robinson said he presented the two bylaw-related motions in May after joining a group called the Citizens on Patrol Program (COPP). Moreover, he spoke with RCMP offcers in North Battleford and learned they needed extra tools to stop people or move them along without facing human rights complaints.

The councillor noted that Edmonton closes its parks from midnight to 6 a.m., which prevents people from sleeping in them.

“I think we’re in a very sad situation if I can’t move people out via bylaw and I just have to allow squatters … ,” he said. “So I guess we can keep our heads in the sand and not do anything like this and say we’re going to get too many calls.”

Robinson, who plans to run for mayor in the upcoming municipal election, said he may reconsider that decision if council can’t do anything and can only “sit back and let crime run rampant.”

After listening to his colleagues, Robinson said it was “obvious” that they just “wanted to roll over on this” issue.

Stop fearmongering

Coun. Dawn Luhning pushed back against Robinson’s comments, saying she was offended by his “roll over” comment.

“Honestly, that fearmongering needs to stop; it really does,” she said, noting that every community in Canada and North America is facing similar problems. However, she highlighted how positive the Little Chicago Show and Shine was for the community recently.

Luhning said she was not an expert and preferred to let the police and social services handle situations. Moreover, she didn’t think handing out tickets would help matters when people were dealing with mental illness, while the city didn’t have the manpower resources anyway.

Robinson rebutted by saying he had nine phone calls from people concerned about problems, while there were recent incidents where an armed standoff occurred on Manitoba Street East and an alleged homeless resident died in a car fre.

Luhning immediately stood and called a point of order, saying council shouldn’t comment on ongoing police investigations. Meeting chairman Coun. Jamey Logan concurred and told Robinson to cease speaking.

“You people can keep your head in the sand and believe it’s fearmongering if you want,” Robinson muttered.

Crescent Park concerns

Coun. Heather Eby said she knows residents are sleeping in Crescent Park because her mother has seen people there while walking in the morning. After learning that it’s not possible to move those people since there’s nowhere for them to go, she wondered how the bylaw would change that.

City manager Maryse Carmichael replied that she convened a meeting recently with emergency-related agencies to discuss the situation since winter is coming.

They have some tools to act, while the fre department can make orders to remove tents if there are concerns about fre safety.

However, if there are no safety concerns and nowhere to put impoverished residents — if Willow Lodge shelter is full — then there’s little the city can do, she added.

Eby thought homeless encampments were “another sad testament” about losing Riverside Mission’s 10 beds, since sleeping there was likely better than in Crescent Park.

Enforcing the bylaw

Eby also expressed concern that, compared to North Battleford, Moose Jaw did not have community safety offcers to enforce this proposed bylaw, nor did it have the resources to hire them. Conversely, the city’s bylaw enforcement offcers work during the day and usually focus on weeds, garbage and property issues.

“There’s no point putting forward a bylaw that you cannot enforce. And we have a lot of bylaws in this city that are not enforced because we don’t have the resources,” she said.

Eby added that she wanted to see a made-in-MooseJaw policy created — similar to the police service’s anti-trespassing initiative — since this community did not have the demographics of the other two municipalities.

Infux of calls

Coun. Doug Blanc was concerned that if council restricted pathway use at night, then police may receive an overwhelming number of calls about people coming home late from work or a restaurant.

Blanc, also a member of the police board, used crime statistics to show that the MJPS had received 4.3-percent more calls year-over-year in August. Therefore, he worried that this bylaw would increase those calls from roughly 13,000 to 30,000 in a short period.

He pointed out that the proposed bylaw’s map includes “pretty well the entire city.” He didn’t want to lump all alleys, parks and pathways “in the same bucket” since the problem is downtown, which is where council should focus.

The councillor also said the proposed tickets would be $275, which he didn’t think the city or police would ever collect considering there is over $1 million in outstanding parking tickets.

Proactive agencies

Coun. Crystal Froese praised the police and other social agencies for being proactive, while she had a positive attitude about how the community was doing.

Meanwhile, she thought the proposed bylaw was redundant because the MJPS already had its anti-trespassing initiative and already patrolled alleys. She acknowledged that agencies may not be addressing problems as fast as residents want, but said the city doesn’t have the resources to address everything.

“I’m not disheartened by the way things are … . I’m not afraid to walk downtown in the evenings,” Froese said, adding she and her husband walked home to South Hill after Homestand ’24 and felt safe.

After years in storage, Chinese mural fnds new home at Jade Garden

A mural that honours the contributions that Chinese people have made to Moose Jaw during the past century will soon have a new home after sitting in storage for several years.

The public art committee (PAC) met in mid-September and discussed strategies to relocate the artwork before the end of the year, with group chairwoman Jennifer McRorie to reconnect with the Moose Jaw Chinese Community Network to discuss the mural and determine its redesign and relocation, the group’s meeting minute showed.

McRorie had been in contact since April with Kelvin Hu, the network’s president, and learned that the group’s board thought the mural could be relocated to either the west wall of Gina Jewelry — its original location — or the north wall of Jade Garden Restaurant. Moreover, members wanted the city to revise the six Chinese characters since they did not make sense.

A month after that communication, Hu emailed McRorie and said the board wanted the city to install the mural on the Jade Garden building, but also wanted offcials to create a contract for the business owner to sign, the minutes said. He also reiterated the network’s desire to update the artwork’s language characters.

“We have a Chinese artist who can do the change if it

Jason G. Antonio - MooseJawToday.com

is possible,” Hu added.

During its September meeting, the public art committee passed a recommendation urging city council to approve the relocation of the Chinese mural to the north wall of Jade Garden Restaurant at 471 Main Street North. It also recommended that city administration draft an installation and maintenance agreement for the artwork and that the mayor and city clerk sign it for the city.

Council received the recommendation during its Sept. 23 regular meeting and unanimously approved the motion.

Bison sculpture

Tourism Moose Jaw (TMJ) held a contest this summer that asked residents to name the 450-pound steel bison sculpture that artists Bill and Laurette Keen created in 2023 and that the city installed that July.

After acquiring over 80 suggestions — entries were $2 each, with money going to the Humane Society — the organization and the Keens narrowed the entries to four. They then brought the selections to PAC, and all three groups chose Elaine Gill’s suggestion of Blaze; she will receive an honourable mention in the Visitors’ Centre and a free family trolley pass.

“… the name Blaze was chosen because our bison stands in the blaze of the sun under endless prairie

skies,” Tourism Moose Jaw wrote on its Facebook page. “The same sun that warmed the herds of bison that once roamed this land now shines on him!”

During its September meeting, the public art committee — in collaboration with the Keens and TMJ — agreed to offcially name the bison sculpture Blaze. The metal behemoth now joins the legendary Mac the Moose in welcoming people to Moose Jaw.

RCAF anniversary

Committee members also learned during their mid-September meeting that TMJ would not be able to install a Royal Canadian Air Force-themed public art installation as planned, the minutes said. The organization wanted to create something that could be installed near the Tutor jet at the Visitors’ Centre.

However, the group heard that artist Karen Watson was working to complete a project through the Crescent Park Tree Art Project that would honour the RCAF’s centennial. Based on this information, the committee agreed to contribute $1,000 — from the initial $3,000 it allocated to RCAF-themed public art installations — to Watson’s project and release the remaining $2,000.

CITY HALL COUNCIL NOTES

THE NEXT REGULAR COMMITTEE MEETING IS MONDAY, OCT. 7

City council has appointed a new Central Collegiate student to sit on this year’s youth advisory committee after the previously appointed candidate resigned at the start of the school year.

Council unanimously approved Nathan Pisio to the advisory board during its Sept. 23 regular meeting. The teen’s term begins immediately and concludes on Monday, June 30, 2025, or until a successor is appointed.

Council also accepted the resignation of former committee member Ben Ansell. The Grade 12 student resigned because he was recently named to the provincial youth council for this school year.

On Aug. 21, the city clerk’s offce received an email from Central’s vice-principal saying that Ansell — whom council had appointed on Aug. 12 along with 12 other youths — had to step down from the youth advisory committee, a council report said. Meanwhile, the vice-principal provided an alternate nomination — Piso — to fll the vacancy.

The report noted that this resignation would usually have been communicated through the committee’s meeting minutes, but that group had not held its frst meeting of the 2024-25 term by that August date, the report continued.

Central Collegiate student joins city’s youth advisory board after classmate resigns

Jason G. Antonio MooseJawToday.com

The youth committee’s next meeting is Tuesday, Oct. 2. Pisio will join the following students on this year’s youth advisory committee:

• A.E. Peacock Collegiate: Kaylee Hogeboom and Lucas Kastning

• Vanier Collegiate: Arlyn Dequina and Maria Pouteaux

• Central Collegiate: Drew Amel

• Cornerstone Christian School: Drew Biette and Mateah Purdy

• Riverview Collegiate: Emma Russell and Lexus Schoffer

• Saskatchewan Polytechnic: Altaf Iqbal Mansuri and Nandinee Barot

• École Ducharme: None

The advisory committee has several responsibilities, such as:

• Endeavour to increase positive public awareness and understanding by youths of local government and assist in developing new outreach and/or communication policies, strategies and programs

• To network with peers and community leaders and to participate in a forum that is open, welcoming and fun

• To provide communication between youths of Moose Jaw and city council that will enhance the quality of life, health and well-being of those youths

• Make recommendations on youth recreational opportunities and community activism

• To identify things in the City of Moose Jaw that are valued by youths, including the things that are considered assets, strengths and opportunities in our community

• To act as a positive advocate and provide leadership experience for youths

• To network with student councils and other youth organizations.

Meanwhile, the group’s expectations include:

Recognize that the chief role of the City of Moose Jaw is to provide exceptional customer service to customers, citizens, visitors of Moose Jaw and each other To create a city of communities, a city that cares about its people, the environment and the opportunities to live, work and prosper

Recognize the importance of teamwork to provide the best possible service to internal and external customers

City honours four outstanding properties with Beautifcation

Many homeowners decorate their yards annually with shrubs, fowers and other colourful fora, but there are only a few properties that city hall deems worthy of a prize.

The City of Moose Jaw handed out four awards during the Sept. 23 regular city council meeting as part of the 2024 Beautifcation Awards program. Derek Blais, director of community services, spoke briefy about each winner, while Mayor Clive Tolley presented a plaque to each recipient.

There were 16 entries in total.

Jason G. Antonio - MooseJawToday.com

The award for best residential property on South Hill went to Jason Schultz at 1160 Iroquois Street West; Cornell Landscaping and Design sponsored this award.

Since 1981, city hall has handed out Beautifcation Awards, which recognize outstanding properties in the community and promote civic spirit among residents.

The award for best residential property in northwest Moose Jaw went to Stacey and Colleen Statler at 1210 Grace Street; Emerald Custom Creations sponsored this award. Photo courtesy city hall

“To all the nominees, your efforts in enhancing our city spaces make a meaningful impact and create a welcoming, vibrant community for everyone,” said Derek Blais, director of community services.

“Thank you for your time and dedication.”

Blais thanked all the sponsors and volunteers who contributed to the program since it would not exist without their efforts. He also thanked Nijil Martin, city hall’s forestry and horticulture supervisor, for helping co-ordinate the awards program.

“The 30,000-plus fowers you plant every year do not go unnoticed,” the director continued.

Blais added that the 16 submissions were the most the program had received in years, which made it diffcult for the judges to decide who had the best yard.

Winners

The award for best residential property on South Hill went to Jason Schultz at 1160 Iroquois Street West; Cornell Landscaping and Design sponsored this award.

The award for best residential property in northwest Moose Jaw went to Stacey and Colleen Statler at 1210 Grace Street; Emerald Custom Creations sponsored this award.

The award for best residential property in the east end of Moose Jaw was given to Donna Valness at 1022 Third Avenue Northeast; Windmill Greenhouses sponsored this award. The Statlers were not

The award for best residential property in the east end of Moose Jaw was given to Donna Valness at 1022 Third Avenue Northeast; Windmill Greenhouses sponsored this award. Photo courtesy city hall

Fall cleanup event to tidy community before snow fies

Jason G. Antonio - MooseJawToday.com • Thurs, Oct 3

City hall thought this past spring’s community cleanup day was so successful that it has decided to host a similar event this fall to tidy up before the snow fies.

The community cleanup committee met in mid-September and discussed possible dates and times for the fall cleanup initiative, eventually landing on Saturday, Oct. 5, from 1 to 4 p.m. Similar to the spring cleanups, the Co-op grocery store will host a barbecue in its parking lot after the event’s conclusion, while the city will provide bags and gloves to support the efforts.

Furthermore, members planned to contact various third-party groups to help collaborate with the event, while they decided that besides focusing on cleaning up garbage and debris around the city, they would also focus

on weeding so there would hopefully be fewer obnoxious plants when next spring arrives.

City council received the committee’s meeting minutes during the Sept. 23 regular meeting, with Coun. Heather Eby — the rep on the committee — saying a few words about the upcoming initiative.

She noted that the committee commended the Downtown Moose Jaw Association for its efforts to clean up leaves from the area before the Little Chicago Show and Shine Car Show occurred on Sept. 14.

“It looked absolutely amazing, and hats off to the Downtown Moose Jaw Association for doing that,” Eby added.

Sat, Oct 5

Sun, Oct 6

Sun, Oct 12

Sat, Oct 19

Awards

present during the council meeting to receive their award.

The best residential property in Sunningdale/VLA/West Park/Iron Bridge went to Bill and Laurette Keen at 127 Calypso Drive; Keon Garden Centre sponsored this award.

Previous winners can be found on the City of Moose Jaw’s website.

After handing out the awards, Tolley thanked the recipients and everyone who participated, pointing out that everyone showed “fantastic properties.”

he best residential property in Sunningdale/VLA/West Park/Iron Bridge went to Bill and Laurette Keen at 127 Calypso Drive; Keon Garden Centre sponsored this award. Photo courtesy city hall

Regular Horse Sale

Regular Saturday Morning Sale

Vern & Donna Messner Farm Sale, Spring Valley area

Machinery, Vehicles, Tool Consignment Sale

Sheep & Goat Sale

Fall Supper Fundraiser

To Hire 10 more Teachers

Fall

Supper Fundraiser

Brighter Tomorrow Outreach

To Hire 10 more Teachers

Un Mañana Brillante

To Hire 10 more Teachers

For the Dominican Republic School Project

For the Dominican Republic School Project

For the Dominican Republic School Project

At: Hillcrest Church Thur. Oct. 3 & Fri. Oct 4 4pm to 6:30pm

Catered by Charlotte's Catering

Brighter Tomorrow Outreach

Fall Supper Fundraiser

Brighter Tomorrow Outreach

Un Mañana Brillante

To Hire 10 more Teachers

Un Mañana Brillante

Catered by Charlotte's Catering

For the Dominican Republic School Project

Location: Hillcrest Church

Fall Supper Fundraiser

Location:

Dates: October 3rd and 4th

Location: Hillcrest Church

Catered by Charlotte's Catering

To Hire 10 more Teachers

Fall Supper Fundraiser

Dates: October 3rd and 4th

For the Dominican Republic School Project

To Hire 10 more Teachers

Time: 4pm - 6:30pm

For the Dominican Republic School Project

Roast turkey with all the trimmings!

Adult Tickets (17+): $25

Time: 4pm - 6:30pm

Dates: October 3rd and 4th

Adult Tickets (17+): $25

Time: 4pm - 6:30pm

Roast turkey with all the trimmings!

Roast turkey with all the trimmings!

Adult Tickets (17+): $25

Youth Tickets (16 & Under): $10

Supper fundraiser to support teachers in Dominican Republic

Location: Hillcrest Church

Youth Tickets (16 & Under): $10

Roast turkey with all the trimmings!

Hillcrest Apostolic Church is hosting a supper to help resident Bernie Dombowsky raise funds to hire more educators in the Dominican Republic to teach an evangelistic outreach program.

Catered by Charlotte's Catering

Jason G. Antonio - MooseJawToday.com

Youth Tickets (16 & Under): $10

Catered by Charlotte's Catering

Dates: October 3rd and 4th

Location: Hillcrest Church

Brighter Tomorrow Outreach

Brighter Tomorrow Outreach

Un Mañana Brillante

The fall supper for “Un Mañana Brillante/Brighter Tomorrow Outreach” takes place on Thursday, Oct. 3 and Friday, Oct. 4, from 4 to 6:30 p.m., with Charlotte’s Catering providing roast turkey with all the trimmings.

Fall Supper Fundraiser

Tickets are $25 for adults over age 17 and $10 for youths under age 16. Tickets can be purchased online and paid either by e-transfer at btfs2020@gmail.com or at the door. If paying in person, text 3066940-0077 confrming the number of tickets and the day attending.

To Hire 10 more Teachers

For the Dominican Republic School Project

Catered by Charlotte's Catering

Dombowsky explained that he was on vacation in the Dominican Republic in 2010 when he met a young evangelist, and they began discussing the country’s education system. They eventually agreed to plan a children’s outreach program in the country using a child evangelism program that Saskatchewan churches had developed.

Roast turkey with all the trimmings!

A year later, Regina pastor Jerry Durston took his two nephews and Dombowsky’s son to the country to teach residents how to implement the program. Those newly taught evangelists began leading the program in churches and private schools. They eventually gained access to teaching in public schools.

Businessman Michael Biette is excited to be the chamber’s new board president and is looking forward to making Moose Jaw one of the most desired places to live and do business.

Biette was sworn in following the Moose Jaw and District Chamber of Commerce’s annual general meeting at the Events Centre on Sept. 26. He replaces outgoing president Don Howe and will — similar to his predecessors — serve a year’s term.

The owner of Moose Jaw Tax Team said he was “truly honoured” to become the new president and thanked Howe, the board, CEO Rob Clark and offce administrator Heather Bergdahl for their support, leadership and dedication during the past year.

“Their efforts have laid a strong foundation, both within the chamber and within the city,” said Biette, noting that he had served fve years on the board.

Biette praised the organization for growing its membership to 604 businesses, which he thought was a signifcant milestone for a community the size of Moose Jaw.

The Moose Jaw chamber has one of the strongest social media presences in Saskatchewan and is doing better than Saskatoon or Regina, he continued. Meanwhile, the organization continues to promote its “Shop Local” campaign and work to drive new business to “our notoriously friendly city.”

The chamber’s vision is to build a vibrant and resilient business community, considering it is blessed with a “diverse

Brighter Tomorrow Outreach

Time: 4pm - 6:30pm

Dates: October 3rd and 4th

Adult Tickets (17+): $25

in the Northern Coastal District, which has more than 30,000 students.

Brighter Tomorrow Outreach

Time: 4pm - 6:30pm

Youth Tickets (16 & Under): $10

Un Mañana Brillante

Adult Tickets (17+): $25

“The harvest is ripe, but the labourers are few. We are praying for additional teachers to meet this need,” he added.

Fall Supper Fundraiser

Youth Tickets (16 & Under): $10

To Hire 10 more Teachers

For the Dominican Republic School Project

Fall Supper Fundraiser

Brighter Tomorrow Outreach

To Hire 10 more Teachers

Catered by Charlotte's Catering

Dombowsky noted that Un Mañana Brillante needs to double its teaching capacity to reach all those additional students. For example, some schools in the district have between 340 and 750 youths.

Location: Hillcrest Church

Dates: October 3rd and 4th

For the Dominican Republic School Project

Time: 4pm - 6:30pm

Location: Hillcrest Church

While having twice as many teachers on the team doesn’t mean they will reach all the students in one year, the group would do its best and what it could with the human resources it had, he added.

Roast turkey with all the trimmings!

To Hire 10 more Teachers

Location: Hillcrest Church

Catered by Charlotte's Catering

Adult Tickets (17+): $25

Catered by Charlotte's Catering

A group of teachers from Un Mañana Brillante/Brighter Tomorrow Outreach stands in front of a high school in the Dominican Republic. The educators — supported by people in Moose Jaw and Saskatchewan — teach religious education in the country. Photo courtesy YouTube

Youth Tickets (16 & Under): $10

Location: Hillcrest Church

For the Dominican Republic School Project

Dates: October 3rd and 4th

Time: 4pm - 6:30pm

Catered by Charlotte's Catering

In 2016, the Dominican Republic’s director of education issued written authorization giving the Canadian evangelism team permission to teach the curriculum in public schools in Sosúa and Porta Plata.

Roast turkey with all the trimmings!

Dates: October 3rd and 4th

Dates: October 3rd and 4th

Time: 4pm - 6:30pm

To reach all students, the team divides into smaller sub-groups and then follows a weekly schedule when visiting each school.

Time: 4pm - 6:30pm

Adult Tickets (17+): $25

Adult Tickets (17+): $25

400 students, but it now had 937 youths.

Location: Hillcrest Church

Adult Tickets (17+): $25

Roast turkey with all the trimmings!

Youth Tickets (16 & Under): $10

The public system did not have a religious education program but was interested in having one and was pleased to have Un Mañana Brillante teachers provide it.

Youth Tickets (16 & Under): $10

“… I feel so happy to be teaching the Word of God to them … . We teach students from (kindergarten) to Grade 12 about Jesus and God,” he said. “We also teach them how to pray and sing worship songs. Our students love to sing.”

Youth Tickets (16 & Under): $10

Dates: October 3rd and 4th

Roast turkey with all the trimmings!

Time: 4pm - 6:30pm

Adult Tickets (17+): $25

“The teachers of each classroom are expecting (us) … and gladly invite us in for our 20- to 30-minute presentations,” said Urien. “We always ask a student to open in prayer. We (then) sing or listen to a worship song and then listen to the audio story.”

Roast turkey with all the trimmings!

“We were flling the void that was there,” Dombowsky said.

Urien, one of the program’s teachers, said in a video that he attended the high school in Porta Plata when it had about

The Un Mañana Brillante team — comprised of eight teachers — taught in roughly 400 classrooms last year and reached about 9,000 students, Urien said. The country’s education director supports the team’s work so much that he has permitted it to teach in all the public schools

Youth Tickets (16 & Under): $10

The teams ask questions to generate discussion, with their goal to “clearly present Jesus as the way, the truth and the light,” he added. Some students will ask for prayer, while team members are excited when youths decide to commit their lives to Christ.

Visit www.brightertomorrowoutreach.com for more information.

New chamber president eager to make Moose Jaw a desired business location

Jason G. Antonio - MooseJawToday.com

Antonio

and dynamic mix” of shops, Biette said. Moreover, its collective strength lies in its ability to support and uplift one another.

“Together, we’ll work to create new

opportunities, grow our local economy and champion the interests of every member of our chamber,” he continued. “I’m excited to collaborate with each one of you, to hear your ideas, and to tackle challenges and opportunities that lie ahead.

“Let’s approach this year with enthusiasm, innovation and a shared commitment to make Moose Jaw the most desired place to do business in Canada,” Biette added

Besides Biette, other people who were appointed to the board for two years included Parker Chow, Brianne Montgomery, Gayland Panko, Shelly Dahlman, Megan Patterson, Jasmine Cameron and Sharla Sept.

Also, the chamber gave plaques to outgoing members Scott Greenough, Ryan Hrechka and Aaron Ruston.

Outgoing president’s message

The chamber recorded another suc-

cessful year, as its goals and objectives helped grow membership and supported the business community, Howe said in his outgoing message. The organization maintained an active image and profle by providing leadership and participating in many matters over the past 12 months.

Some positive highlights included the launch of the Senior Moose Jobs Program, which saw 101 people apply and 30 matched with employers. Further, the chamber held the Citizen and Group of the Year Awards at the Events Centre and announced the winners during a WHL Warriors’ game. Also, for the frst time, it held the MJBEX Awards at the Curling Centre.

Meanwhile, SaskPower completed its Great Plains Power Station this year, the North 49 sow processing plant opened its doors, and a contractor at 15 Wing Air Base received a major $11.5 billion, 25year federal government contract to train aircrews as part of the most signifcant modernization in 30 years.

“As a chamber, we must continue to act as the voice of business by representing the interests to civic, provincial and federal governments,” Howe said.

“The key to the city’s future lies not only with our existing businesses but with helping new enterprises enter the business community and fourish into successful enterprises,” he continued. “This will lead to business proftability and create jobs for our community.”

Howe added that Biette’s experience and enthusiasm would continue the tradition of thinking outside the box and making Moose Jaw the place to do business.

Chamber president Michael Biette presents a thank-you plaque to outgoing board member Scott Greenough.
Photo by Jason G. Antonio
Don Howe, outgoing chamber president, presents “the gavel” to new board president Michael Biette. Photo by Jason G.
Chamber president Michael Biette presents a thank-you plaque to outgoing board member Aaron Rushon. Photo by Jason G. Antonio

Businesses urged to ‘plug in’ and support upcoming Shriners’ events

Moose Jaw’s business community is being encouraged to support two major Shriners’ conferences next year that will bring nearly 1,000 red fez hat-wearing members to The Friendly City.

Aaron Ruston, director general of the Midwest Shrine Association (MSA), spoke to the Moose Jaw and District Chamber of Commerce on Sept. 26 about the events. The business-focused convention occurs Wednesday, Feb. 19 to Saturday, Feb. 22, 2025, while the family-focused convention happens Wednesday, Aug. 20 to Saturday, Aug. 23, 2025.

“We are the smallest community to ever host this thing,” Ruston said.

The February convention will occur at the Temple Gardens Mineral Spa and attract members from six states and three provinces, with executive meetings to focus on regional business.

The winter meetings just happen to occur when the Moose Jaw Warriors have a home game, so the Shriners will attend the Feb. 22 game against the Calgary Hitmen and see what “real hockey” looks like, said Ruston.

The August convention will attract about 600 Shriners riding mini bikes and mini cars, while many clowns will also be present, so anyone afraid of those characters should avoid the area, Ruston joked.

There will be a welcome meet-andgreet at the Western Development Museum, while the organization will also use the Exhibition Grounds and the Events Centre for activities, he continued.

“We’re very excited … . This is an

incredible opportunity for this community economically right off the get-go,” Ruston said. “But these are people that … they will come back if we show them what we (have).”

Ruston wants Moose Jaw to “put on a show” for Shriners and their families and display its friendly demeanour for which it’s known.

Besides tours, the planning commit-

tee wants to engage the business community by creating a passport — or “mooseport” —so Shriners can visit shops and receive stamps. The organization will also ask shops to have stickers on their windows indicating they are participating in the activity.

Then, during a “big blowout event” on Friday, Aug. 22, the Shriners will give $1,000 cash to the business that made

members feel most welcome and encouraged them to return.

That Friday will also be important because it’s the 100th anniversary of the frst Shriners’ hospital in Canada and the 120th anniversary of Saskatchewan’s birth.

“It’s going to be a big event; we want you to plug in … ,” Ruston said. “We want to connect the community, so we’re really going to actively go out and approach the community (and) let them know (they can) be involved … .

“So it’s not (going to be) a bunch of people wandering around in small cars and little motorbikes with odd-looking (fez) hats … ,” he added. “For that weekend, you’re going to be honorary Shriners and we’re going to rock it like Canucks rock it.”

Ruston was unable to estimate the actual economic effect of these conventions on Moose Jaw. However, he noted that many Shrine members are affuent and “don’t mind spending money” wherever they go, something he’s noticed over the years.

Also, the exchange rate is more favourable to Americans, so they may spend more freely than their Canadian counterparts.

“If you see someone … say, ‘Welcome to Moose Jaw, thanks for coming,’” Ruston added. “Because we not only want them here then, we want them to come back because we have the best, we are the best (so) let’s show the rest.”

For more information, visit msa2025. com or see the MSA’s Facebook page.

Volunteers still needed for major Olympic-quality curling tourney in 2025

Volunteers are needed to support a major international men’s curling tournament next spring that will give residents a preview of teams that could potentially compete in the next Winter Olympics.

Danielle Sicinski, a co-organizer with the host committee, spoke to the Moose Jaw and District Chamber of Commerce on Sept. 26 about the 2025 BKT Tires World Men’s Curling Championship.

The event takes place from Saturday, March 29 to Sunday, April 6, 2025, and will attract 13 teams — including the host Canada — from around the globe.

“So the list is endless for possibilities for amazing curlers that will be coming. And … this is going to be a preview to the Olympics because next season is going to be the Olympics (in Italy),” said Sicinski, noting this will be “fantastic curling.”

The economic spinoffs could be in the millions of dollars because these teams will arrive three days before the tournament starts and will leave a day after the gold medal game, she continued. Moreover, these groups will bring spares, coaches, translators, families and friends, so each team could book fve to seven hotel rooms.

“So this is going to be an amazing opportunity for Moose Jaw to showcase to the world what (we) have to offer,” Sicinski remarked. “So we’re very excited for that.”

The Curling Centre will host “The Patch,” the ever-popular space where fans can drink, socialize and listen to music, she continued. The Patch was rockin’ every night when Moose Jaw hosted the 2012 Canada Cup and 2015 and 2020 Scotties, while there was a record amount of alcohol consumption during the frst tourney.

Meanwhile, the community can expect many fans to attend, similar to the 33,000 people in 2012, 70,000 in 2015 and 60,000 in 2020.

Danielle Sicinski, a co-organizer with the host committee, speaks to chamber members about next spring’s world men’s curling championship. Photo by Jason G. Antonio

When Ottawa hosted this tournament last year, it had economic spinoffs of $12 million to $15 million, based on 76,000 fans and 5.1 million people who watched on TV or online, said Sicinski. That tournament also had 660,000 website page views and 22.6 million total impressions across all social media channels.

Besides TSN, other international broadcasters will be in Moose Jaw, which means millions of people worldwide will be watching and talking about Moose Jaw.

When Sydney, N.S. hosted the world women’s tournament last year, 46,000 fans attended, and roughly 500 million people watched, including 2.1 million for the gold medal game.

There will be plenty of opportunities for residents to volunteer, and while the organizing committee has recruited half of the necessary help, it still needs more people, said Sicinski. Residents don’t need to be curlers to volunteer since activities

like selling 50/50 tickets or helping in The Patch don’t require athleticism.

The organizing committee wants volunteers to pay a $100 registration fee to ensure they will show up so the tournament can function, while it also wants people to commit to a minimum of 20 hours, she continued.

In return, volunteers will receive a T-shirt, a jacket and free access to curling games, which, for $100, is a great deal since the tournament championship package is $400, Sicinski pointed out.

“So, it’s a win-win for everybody,” she remarked.

Residents interested in volunteering can register in person at the Curling Cen-

tre on Wednesday, Oct. 9 from 10 a.m. to 1 p.m. and 3 to 7 p.m., or at www.curling. ca/2025worldmen/volunteers.

Curling Canada wants youths involved whenever tournaments occur, so last year, it gave out more than 12,000 free tickets to kids, while 19,000 youths participated in the Rocks and Rings Program, said Sicinski. Moreover, kids also can participate in the Future Stars initiative and the Hit, Draw and Tap Program.

For the 2025 tournament, roughly 750 local schoolchildren are expected to attend.

Sicinski added that there are many sponsorship opportunities for interested businesses.

Aaron Ruston, director general of the Midwest Shrine Association, speaks to chamber members about two Shrine conventions coming in 2025. Photo by Jason G. Antonio

Letters to the EDITOR for MJ Express

RE: THE STATE OF OUR CITY AND COUNCILBUDGETS AND FINANCE - CHANGE NEEDED

I attended the city council meeting Monday night. Many awards were given to citizens and citizen groups. There were handshakes and smiles all around. It’s great to see residents rewarded for attention to detail, care, and pride in their work.

Then came the 2025 Preliminary Budget Review and Economic Update report from Brian Acker, Director of Financial Services.

During the Executive Committee meeting, we in the chamber heard that the 2025 municipal tax rate could go up three to four per cent.

And there’s more...

$26 million is needed to facilitate the Crescent View Lift Station project. The city was not successful in its grant application that would have provided fnancial assistance for this project. Mr. Acker said, “it’s doubtful the city can afford that project”. Mr. Acker also stated, “if the lift station fails, Moose Jaw comes to a halt”.

RE: CANADIAN DISAPPOINTMENT

Disclaimer: The author serves as Reeve of the RM Auvergne and the following are his own personal opinions and do not refect the opinion of council

On Friday September 13th Prime Minister Trudeau made statements indicating that Canada fully supports the use of long range weaponry by Ukraine against Russia. I will provide some insight and questions on this statement from a reasonably safe computer desk in Southwest Saskatchewan that is far removed from the front lines in Eastern Europe. First and foremost, war of any kind is physically, mentally and emotionally brutish on those directly involved, the destruction and environmental impacts devastating. As a Canadian I am disappointed to put it mildly that Canadian military equipment was provided to Ukraine and used to attack Russia in the Kursk region. I am startled at the lack of sanity displayed by Prime Minister Trudeau supporting the use of long-range weaponry to attack deep into Russia and the lack of courage by any of the Canadian opposition parties to voice opposition and question the use of weaponry against Russia. I am of the opinion that the collective west of which Canada is part of is using Ukraine as a “pawn” to provoke and deliver havoc and terror on the Russian nation. Ukraine does not have a chance of militarily defeating Russia and due to rhetoric from Western Nations like “we will support Ukraine for as long as it takes” will likely cease to be a nation when the confict is over. Russia views the act of using long range weaponry staffed and operated by western Countries against Russia as an act of war. Why would you want to provoke a war with a nuclear armed nation? It has been said that war is a continuation of diplomacy by other means. What really is the diplomatic

RE: SASKATCHEWAN FLAG CELEBRATES 55 ANNIVERSARY

It is both interesting and very important to keep the people of Saskatchewan informed of the history of the Saskatchewan fag and the designer, Anthony Drake. September 22, 2024, has been an incredibly special day for our Province. Our Saskatchewan Flag is 55 years old. Once again, I requested a Proclamation for “Saskatchewan Flag Day” by the Minister of Parks, Culture and Sport, the Honourable Laura Ross! I have requested Proclamations for Saskatchewan Flag Day since 2016. Honourable Ken Cheveldayoff (2016), Honourable Gene Makowsky (2017 – 2020) and Honourable Laura Ross (2021 – 2024). Thank you to each of them for their Proclamations and recognizing our Saskatchewan Flag and its Designer, Anthony Drake. I decided to do some research and found an article from the Regina Leader Post from September 23, 1969, by Mary Ann Fitzgerald. Mary wrote her article the day following the Inaugural Raising of our Saskatchewan Flag.

The following people were present at the

Guidelines for Submitting Letters to the Editor:

Due to space allotment in Moose Jaw Express for free letters to the editor, we fnd it necessary to establish some guidelines in submissions that will be in effect.

• All letters to the editor submitted to the Moose Jaw Express newspaper should not exceed 900 words. In this case, we reserve the right to edit them accordingly.

• Please do not write letters of personal attack or are condescending.

• A full name and contact information will need to be included with

But still, City Hall salaries and benefts are expected to increase by $650,000, close to half of Moose Jaw’s operating budget expenditures. This expense is not a surprise to the city budget, and I do not begrudge employees a good living wage.

There was no mention of reviewing department budgets, of suspending projects that are not mandatory for the health and welfare of our city.

There was discussion about approving the budget on time. I would rather have the budget carefully reviewed prior to its approval, than to approve a document that has not met its burden of need to the taxpayer.

Residents and businesses are grappling with higher assessments and the number of tax title properties is ever growing.

Is the only option to raise taxes? Or should we as residents ask the Administration and Council to take some pride, care, and attention to detail when reviewing its operations management, and budget, to see where they can be more effcient.

issue in regard to Eastern Europe? What is it that a nation or nations are unwilling to discuss? Are national leaders unwilling to discuss it with each other or are they unwilling to present the situation to their electorate for fear of consequences? I am quite certain it has something to do with Trudeau’s remarks on Friday September 13th “He is trying to deeply destabilize the international rules-based order that protects us all, not just in every democracy around the world, but in all countries around the world,” in reference to Russia’s elected president Putin.

What exactly is the international rules-based order? That is a good question because it is not something that is exactly/easily defned and open to interpretation. As I comprehend the intention of the phrase it is more or less an idea that since approximately the end of WW2 there is a set of institutions like the World Trade Organization, United Nations and the International Monetary Fund that are largely led by the United States and to a lesser extent the G7 nations. This idea more or less resulted in a unipolar world for a brief period of time after the collapse of the Soviet Union in the early 1990’s and prior to China’s impressive rise.

Is Putin trying to deeply destabilize the international rules-based order that Trudeau is so concerned about? Maybe it could be viewed that way but more likely it is just the natural course of events in the rise and fall of world empires. Consider Putin’s statement in August 2023 at the Moscow Conference on International Security “Clearly, the only way to minimize global tension, remove challenges and risks in the military-political sphere, increase confdence between countries, and secure their long-term development is to fundamentally reinforce the modern multipolar world system. No matter

Inaugural Raising: S.G. Davies (NDP Moose Jaw South, the Opposition and Vice Chairperson of the Flag Committee); Premier Thatcher; J.E. Snedker (Speaker of the Legislature); R.L.Hanbidge (Lieutenant Governor).

Lieutenant Governor said the province is 84 years old as was adopting the “Time honored custom of a nation and a state to adopt a fag as its emblem”.

The Speaker of the Legislative Assembly read the Proclamation, making the Flag offcial. Saskatchewan joined the Confederation on September 1, 1905, and was the last province to adopt an offcial fag. The Flag was then run up a fagpole placed at the front of the legislative chamber and O Canada was played.

Premier Thatcher set up an all-party legislative committee to choose a “distinctive fag and it is a symbol of our determination to build an even better Saskatchewan for future generations. I hope it will be given the respect and allegiance it deserves”.

Sadly, Anthony Drake was not present as he had returned to England to raise their daughter who was born in Hodgeville, where Anthony designed our Provincial Flag.

each submission for verifcation.

• Only the name will be included in publication with the letter as the contributor.

• We Reserve The Right to Edit.

Send your letters to the editor to: joan@moosejawexpress.com

All columns, letters to the editor and editorials are solely the personal opinions of the writers themselves and not necessarily the opinions of The Moose Jaw Express

We cannot blame infation and covid recovery exclusively for where we are today. This has taken years to get to where we are. We have a beautiful city with a healthy tourism sector. We can maintain what we have, take on modest projects, and properly prepare for the inevitable project costs of our infrastructure. I have carefully constructed policy and a process to change how the city receives and vets land development proposals. I have another plan to create more entry level housing which will encourage our students and workers to ‘Get a Life’ in Moose Jaw and not have to commute. We can clean up derelict properties and we can assist our not-for-proft agencies in caring for our underserved.

We have a choice; we have an election. There are other options rather than raising your taxes. The choice is yours Moose Jaw. Ask the tough questions of those who want your vote.

2024 City of Moose Jaw City Council candidate

how much the existing globalist model’s benefciaries try to maintain the status quo, it is doomed. On a historical scale, geopolitical changes are heading in a very different direction,” The multipolar world system Putin is referring to is largely in reference to the development of BRICS (Brazil, Russia, India, China) geopolitical block that is likely viewed as a competitor to the G7 nations and American dominance.

Is Canada’s military support for Ukraine really about democracy? Consider the fact that in early 2022 the Ukraine National Security Council in a questionable manner suspended 11 political parties, furthermore since martial law was declared all elections have been suspended and offce terms expired in May 2024. If Canada was really concerned about democracy, why arm and support Ukraine to battle Russia? Why not encourage peace so Ukrainians could have an election without suspending opposition parties?

Are political leaders and institutions using Russia and China as the boogeyman to keep citizens in fear or distracted? Should Canada call itself a democracy if opposition parties don’t do their job in providing opposition debate to make sure issues are thoroughly examined? How much longer will dissenting views be expressed without censorship in Canada? Are political leaders afraid to discuss issues at depth because the consequences/implications are too much to bear for brittle institutions? Will the changes coming be to the beneft of the many or will it be a continuation of the few dominating the many? Are citizens prepared to take more responsibility for themselves and their community as the geopolitical changes occur?

Richard Marleau

Ponteix Saskatchewan

Later, in 2019 at the 50th Anniversary, I arranged to have the only member of the original Flag committee that was still alive, meet Anthony Drake at Government House. That same Flag, that was presented to Percy Schmeiser 50 years earlier, was now being given to Anthony Drake. This was a very touching moment and captured by Global TV News.

In 2016 Premier Brad Wall read his welcome speech in the Legislature. On August 31, 2016, Premier Brad Wall received “An Open Letter to the People of Saskatchewan” from Anthony Drake. It was a detailed letter of our 2016 Saskatchewan Flag Tour. It is a Journal explaining each day’s events and how he felt at the time.

Percy Schmeiser was at the Inaugural Raising, along with all the other Flag Committee members. They each received small Flags as a thank you for their hard work. They had 4025 entries, and they had to choose just one!

As I read the 7-page letter, his fnal words were very touching, “Without Gail, this Grand Tour would never have happened. She organized everything, every minute of it, and for that not only my family but everyone in Saskatchewan would not have gained the pleasure and joy that Gail brought us, through her hard work. Thank you forever Gail and Mirek”.

My heart warms and breaks at the same time. I miss Tony greatly, as he passed away 2 years ago. It saddens me that he is not with us for the 55th anniversary of the wonderful Flag he designed. Even though I was born and raised in Montreal, then we lived 37 years in Calgary, then Mirek and I opened the Hodgeville Skool Inn, the old high school that Anthony Drake taught at in 1969, I promised Tony that I would always honour him and his Flag as long as I lived in Saskatchewan. So, this is why I am sharing this story with you.

The next big event for our Saskatchewan Flag will be in 2029, the Jubilee (60th) anniversary. We want to have a celebration where the Flag was raised for the frst time, at the Legisature in Regina. At that time, we will open a Time Capsule that we created in 2019, during Anthony’s last visit to Hodgeville and Saskatchewan. Gail Hapanowicz

You’re invited to help support Big Brothers Big Sisters of Moose Jaw with upcoming rafe draw

Aaron Walker - Moose Jaw Express

Big Brothers Big Sisters of Moose Jaw is announcing its ongoing BIG Getaway Raffe with WestJet, offering residents the chance to win one of three prizes with proceeds helping to support the work done by the local non-proft organization.

The frst prize is one round-trip fight for two to any regularly scheduled and marketed WestJet destination; the second prize is a one-night stay in a king suite at Hotel Saskatchewan that includes breakfast, a $50 Café Royale gift card, and a $90 gift card to Amy’s Advanced Relief Massage Therapy; the third prize is a $150 Casino Regina or Moose Jaw gift card.

Big Brothers Big Sisters Moose Jaw “helps youth ignite their potential through the power of

developmental mentoring,” according to an offcial statement. The organization seeks to help change the lives of young residents through programs and resources offered by its team of trained professionals and skilled mentors.

To learn more about Big Brothers Big Sisters of Canada or to learn how you can become a mentor, visit BigBrothersBigSisters.ca. For the Moose Jaw branch of Big Brothers Big Sisters, visit BBBSMJ.ca or call 306513-8925.

Tickets are $20 apiece and all proceeds stay within the community to directly support the ongoing Big Brothers Big Sisters of Moose Jaw mentorship programs.

To purchase your tickets, email Info.Regina@BigBrothersBigSisters.ca.

The winner of the BIG Getaway Raffe will be announced on Tuesday, Oct. 8.

Glenn Hagel, long-time Toastmaster and former Sask. MLA speaks at Toastmasters’ open house

During an open house meeting at Sask. Polytech in Moose Jaw on Sept. 25, the Big Country Toastmasters club led by Lorna Arnold welcomed guest speaker and former Saskatchewan MLA Glenn Hagel to share his experiences as a fellow Toastmaster.

Background

Hagel opened by sharing his frst connection to Toastmasters.

“When I was a young lad growing up in a small village not far from Calgary, one of the things I learned was that the mark of a good life is that, when the time comes, you can look back and see the world you touched is a better place because you were there,” he said.

In his teens, Hagel recalled an infuential social science teacher whose class made him proud of being Canadian and inspired him to pursue public offce. After graduating from the University of Manitoba, he fell in love and moved to Moose Jaw in 1973.

He said Moose Jaw was the right place to launch his career and accepted a colleague’s invitation to join the Big Country Toastmasters.

“I thought… if I am serious about wanting to be a representative of people, then I better get pretty serious as well about learning some of the really important and valuable skills that you need….”

Flying in formation

Hagel said Toastmasters taught him that public speaking is the second greatest fear after death, and that “Toastmasters teaches you to get the butterfies to fy in formation.”

“I thought what that meant was that the objective… is to teach you how to get rid of the butterfies,” he admitted. “And I tell you now, there is nothing that could be further from the truth. It’s all about getting… that internal energy… and channeling it into emotion that is included in (your presentation).”

The club teaches valuable public speaking skills that include using this energy to build your confdence and to connect with the audience.

“The beautiful thing… is that, as your self-confdence grows, (it) ripples out to other elements of your life without even working on them,” he said. “In my view, (building self-confdence) is the single most powerful element of public speaking….”

Political experience

“I eventually did enter that world.1982 was the frst time I ran for public offce provincially, and to be blunt

Glenn Hagel listens as Lorna Arnold announces that he is the recipient of the night’s spirit award, which is given to a speaker who has participated and shown their enthusiasm during the meeting following his Sept. 25 presentation. Photo by: Aaron Walker (screenshot)

about it, I got the snot kicked out of me,” he recalled with a chuckle.

“I didn’t give up on my objective of someday being a public representative and helping to shape a better world,” he continued. In 1986 Hagel got elected, and by 1996 he became the frst speaker of the legislature of Saskatchewan elected by a private ballot by all members of the house.

In 1999 he was asked to become provincial minister for post secondary education and skills and accepted the role. He said it was through good fortune that Canada didn’t have a national minister of education which, in 2000, allowed him to chair an international British Commonwealth meeting on education in Halifax.

Hagel said the most signifcant thing that can improve a country’s standard of living is an investment in education, and he was “tremendously proud” to accept the role.

To save the meeting that involved the future of over 50 Commonwealth countries and involved around 35 na-

NOTICE

The Tax Enforcement Act

NORMAN DOUGLAS NEAL AND JUDY ANN NEAL

TAKE NOTICE that the Village of Mortlach intends to be registered as owner under the above Act of the land described as LOT 8-BLK/PAR 15-PLAN D3950 EXT 0, LOT 34-BLK/PAR 15- PLAN 101117304 EXT 14, Title No. 101343721, 101343710.

The municipality claims title to the land by virtue of an interest based on the tax lien registered against the existing title to the land in the Land Titles Registry as Interest Number 198266002, 198266013 and you are required to TAKE NOTICE that unless you contest the claim of the municipality or redeem the land pursuant to the provisions of the above Act within six months from the service of this notice on you and, subject to the further provisions of The Tax Enforcement Act, a certi cate of title will be issued to the applicant and you will thereafter be forever estopped and debarred from setting up any claim to, or in respect of, the land. The amount required to redeem the land may be ascertained on application to the Clerk, Treasurer or Administrator of the municipality. For any questions about the tax enforcement process please contact Taxervice at 1-877-734-3113.

Dated this 18th day of September, 2024.

Anggy Ladner, Chief Administrative O cer Village of Mortlach

tional ministers from disaster, Hagel knew he’d have to bend the rules a little bit. He asked everyone to skip their coffee break and requested nobody leave the room until there’s an agreement. Everybody agreed.

“I’ll tell you, what ended up being (the next) four hours were four of the most intense hours of my life,” he said.

When the meeting seemed to approach a consensus, Hagel invited everyone to speak up as he read the 20-point statement line by line. Nobody put up their hand.

“There was not a sound, at which I said, ‘I therefore declare the statement as a unanimous agreement of the Commonwealth countries.’ There was this explosion of applause as the whole room… felt that we had truly done something that, quite literally, could be part of building a better world.”

Hagel said there was one woman in the audience who he’ll never forget.

“(She) came up and said to me, ‘I’ve been watching over the last three days (and) … I’ve been to many, many meetings like this and I want you to know that this was the best job of chairing I have ever seen,’” he recalled. “In my mind, I thought that was one of the best doggone compliments I have ever had.”

Hagel attributed much of his success to Toastmasters. “The skills that I was using at that meeting were skills that I started to learn and practice and build 25 years ago when I would get together once a week around a table in Moose Jaw at a meeting of the Big Country Toastmasters.

“I want to conclude by saying thank you to Toastmasters… and all of those who have been Toastmasters for the past century and those who will be Toastmasters for the next century,” he said.

“Thank you for contributing… a way for people to develop their communication skills and become more profcient in making the world in which they live a better place.”

To learn more about Big Country Toastmasters visit BigCountry.ToastmastersClubs.org or contact Lorna Arnold at 306-690-8739. Meetings are held at the Sask. Polytech campus at 600 Saskatchewan Street West.

The Council of the City of Moose Jaw, pursuant to Zoning Bylaw No. 5346 is considering an application to allow for a proposed “One-Unit Dwelling” on Lot 4, Block 188, Plan OLD96, Ext 0, civically known as 453 Lillooet Street West, Moose Jaw, Saskatchewan, which is a discretionary use within the C2 – High Density Commercial District. Additional information regarding the application may be found on the “News and Announcements” page at www.moosejaw.ca. The application, and any representations, will be considered by City Council on Monday, October 21, 2024, at 4:00 p.m. in the Council Chambers, City Hall, 228 Main Street North.

Written submissions must be received by the Department of Community Services – Planning & Development Branch, 3rd Floor, 228 Main Street North, Moose Jaw, SK S6H 3J8, by 10:00 a.m. on Monday, October 21, 2024, in person or by email at planning@moosejaw.ca.

Tracy Wittke, City Clerk

Aaron Walker - Moose Jaw Express

Saskatchewan Rush GM Derek Keenan talks of-season deals and

ahead for NLL squad

With the Saskatchewan Rush on the wrong side of the 2023-24 National Lacrosse League campaign, general manager Derek Keenan was on the lookout for some offensive frepower in the off-season.

A pair of trades later and Keenan and crew are confdent they’ve found the goals to push them back into the NLL playoffs once the season begins at the end of November.

Keenan recently joined the CKRM SportsCage crew to chat about the off-season and the trades that brought forwards Austin Shanks and Brock Haley into the Rush fold.

Shanks was the frst to sign on, joining the team out of free agency on Sept. 11. One the top free agents available this off-season, Shanks put up 23 goals and 85 points in 17 games for the Halifax Thunderbirds and has 112 goals and 249 points in 66 career regular season games.

“He’s just a really skilled player,” Keenan said. “He shoots the ball really well, he fnishes well, he’s a good playmaker, just exceptionally skilled. I’ve known him a long time because I coached him as a kid in Whitby and in Junior A and a little bit in Senior A, as well. I’ve known him a long time so I can attest to his character, he’s a pretty good kid.”

The goal with adding Shanks is, well, goals. His ability to put points on the board is something Keenan hopes will translate into a few more wins and ideally a return to post-season for the Rush.

“We felt that last year we had so many close games that ultimately probably cost us a playoff spot, one-goal games and overtime games, and you get a little bit extra scoring power, that will help that situation,” Keenan said.

Shanks also has the beneft of being familiar with many Rush players, including Ryan Keenan and recently-signed Matt Hossack, with whom he won the 2013 Minto Cup national Junior A championship.

That familiarity should help with his transition into the Saskatchewan system.

“I think there’s a bit of that, and there’s the understanding of how we want to play the game,” Keenan explained. “The guys have been around me and know our systems, how we like to play the game, and

how we like to play with tempo all over the foor. So there’s some familiarity there in terms of one another and how we want to play the game.”

Haley, 23, is more of a project, but the potential is undoubtedly there. The Rush acquired Haley in a trade with the Vancouver Warriors on Sept. 15, with his goal-scoring bona fdes well-established thanks to his showing with Whitby during the 2022 season -- an astonishing 105 goals and 175 points in 26 regular season games. He wasn’t done there, either, fnishing with 119 goals through the playoffs as Whitby won the Minto Cup.

“So he’s just a pure shooter, and with a couple of our other righthanded offensive players getting older and uncertainty with potential free agency, we wanted to

add to our depth, but he can also help us now,” Keenan said. “He was the seventh pick in the last year’s draft, and we didn’t think we’d get anyone of that calibre in this year’s draft, so it was a pretty easy trade for us to make, to be honest. He’s a real nice pick-up for us.”

Haley also has the additional seasoning playing in the NCAA Division I ranks brings, as he had 175 points in 67 career games with the University of Vermont.

That experience always helps when it comes to making the jump to the pro level, Keenan said.

“You fnd if they get away to an NCAA program for four or fve years that they mature both mentally and physically,” he added “So those are the guys who you’re pretty sure when they come in are ready to play, where guys who just come out of junior or enter the draft early, they might take a little bit more time to develop. Usually the kids who come out of college are 22- to 24-years-old and are physically and mentally ready to play.”

The Rush haven’t stood pat since those deals, either, having recently signed seven members of the 2024 NLL Draft class in addition to veterans Josh Zawada and Mike Messenger.

Saskatchewan opens their 2024-25 season on Saturday, Nov. 30 at the Albany Firewolves, with their home opener taking place on Saturday, Dec. 14 when the Halifax Thunderbirds visit SaskTel Centre.

Saskatchewan Rush general manager and co-head coach Derek Keenan goes over strategy with his team. Josh Schaefer / Saskatchewan Rush

MOOSEJAWTODAY.COM -- With better results on the power play, the Moose Jaw Warriors could very well have come out of the Trans-Canada Clash doubleheader this weekend with a pair of wins.

But after taking a 4-2 victory over the Regina Pats on Friday night at the Moose Jaw Events Centre, the Warriors were unable to capitalize on a pair of penalties late in the game and in overtime in the rematch, going on to a 4-3 overtime loss Sunday afternoon in Regina.

The weekend results see the Warriors now at 1-2-0-1 in the young season and tied for sixth in the Western Hockey League Eastern Conference with Prince Albert, while Regina improved to 2-2-0-0 and sit in ffth place.

Moose Jaw 4, Regina 2

After falling behind in the opening minute, the Warriors scored three goals in the second period and held off a late surge by the Pats to take the victory.

Warriors goaltender Dimitri Fortin was a major factor in the win, stopping 33 shots and holding Regina off the board until late in the third after the opening goal.

““Especially with that start, the frst goal in seconds, a lot of people would be like ‘aw it’s over’ right off the bat,” Fortin said after the contest. “But I just told myself to just keep on going, one shot doesn’t determine the whole game. I just kept on doing that and it showed the rest of the game.”

Warriors goaltender Dimitri Fortin keeps his eye on the puck after making a save during frst period action against the Regina Pats on Friday night.

Rilen Kovacevic, Brayden Schuurman and Lynden Lakovic all had goals for the Warriors in the second period, with Max Finley adding an insurance marker midway through the third.

Zackary Shantz opened scoring for Regina 39 seconds into the game, and Tanner Howe scored Regina’s other goal with 7:15 to play.

Kelton Pyne was solid in his own right and had 31 saves for the Pats.

The win was the frst of the season for the Warriors, after tough losses to Brandon and Prince Albert on opening weekend.

“The frst one is out of the way now and we’ll keep on going, but it’s always a good feeling beating them,” Fortin said.

“We have a huge rivalry, especially from

last year, and it’s a great feeling to get the win in these games.”

Regina 4, Moose Jaw 3

Tye Spencer was the overtime hero for the Pats, scoring at 4:16 of overtime as Regina turned in a gutsy performance late to fnd the win.

The Pats penalty kill was on point when it most needed to be, frst killing off the fnal 1:50 of a double minor to close out the third period and then the full two minutes of another minor in overtime.

Regina took a 2-0 lead midway through the frst, but Aiden Ziprick would get Moose Jaw within one before the period was out and Owen Berge tied the game 1:36 into the third.

Brayden Smith restored Regina’s lead with 11:58 gone in the fnal period, but Pavel McKenzie would score on the aforementioned double minor with 1:50 remaining to eventually send things to overtime.

Pats goaltender Ewan Huet was stellar from there, making a host of big saves to keep the game tied until Spencer could fnish things off. He fnished with 30 saves on the afternoon, while Jackson Unger stopped 24 for Moose Jaw.

Shantz had a goal and three points for Regina, while John Babcock picked up three assists.

The Warriors are back on the road Friday when they travel to Lethbridge to face the Hurricanes.

WINMAR Warriors split pair with Swift Current to open regular season

Moose Jaw takes 5-2 win at home Saturday before falling 6-3 on road to Legionnaires Sunday

It was a bit of the good and a bit of the bad for the Moose Jaw WINMAR Warriors in their Saskatchewan Male AAA Hockey League regular-season-opening weekend.

The Warriors took a 5-2 victory over the Swift Current Legionnaires in their home opener on Saturday night before dropping a 6-3 decision to the Legionnaires in Swift Current on Sunday afternoon.

Moose Jaw is back in action Saturday when they host the Saskatoon Contacts, while Swift Current travels to Tisdale to face the Trojans, also on Saturday.

Warriors 5, Swift Current 2

Moose Jaw scored three unanswered goals in the third period to snap a 2-2 draw and open the season on a high note.

Randy Palmer - MooseJawToday.com

Gage Nagel couldn’t have asked for a better start for the Warriors, picking up a hat trick with a pair of goals in the second period and their fnal goal in the third.

Ryan Gibbs and Hudson Sayers also scored for Moose Jaw, who led 2-0 after the frst and 2-1 through two. Kierin Osberg had two assists.

Mason Fauser and Jace Egland scored for the Legionnaires.

Luke McKechnie had 25 saves to pick up the win in net, Evan Hutcheon stopped 28 shots for Swift Current.

Swift Current 6, Moose Jaw 3

A three-goal second period gave the Legionnaires a two-goal lead coming home, and that would prove to be crucial as Moose Jaw pulled to within a single

The Moose Jaw WINMAR Warriors announced their leadership group prior to their season opener, with Charlie Nameth (left, assistant captain), Noah Thul (assistant captain), Brennan Brown (captain), Kierin Osberg (assistant captain) and Gage Nagel (assistant captain) flling the roles this season.

marker in the third before Swift Current held on for the win.

The Legionnaires were up 4-1 in the third when Osberg and Maxx Fuessel scored to get back within one, but Swift Current’s Trae Peterson scored his second of the game with 3:30 remaining for insurance and Wesley Olson added a shorthanded goal with 20 seconds to play to close out scoring.

Egland, Porter Nickason and Will Kirwan scored for Swift Current in the second period, Gibbs had the lone goal in the frst as Moose Jaw led 1-0 after one and the Legionnaires 3-1 through two.

Cade Mitchell stopped 37 shots for the victory, Kaleb Page had 30 stops for Moose Jaw.

Balgonie uses huge second half to take win over Central in South Rural Football League showdown

Grifns put up 28 second-half points, go on to 48-21 victory at Gutheridge Field to remain unbeaten on season

The Balgonie Greenall Griffns seem to be the team to beat in the South Rural Football League.

The Griffns put up 28 second-half points and would go on to a 48-21 victory over the Central Cyclones in a battle of undefeated teams at Gutheridge Field on Saturday afternoon.

Balgonie improved to 4-0 on the campaign and now have wins over each of the league’s top teams, while Central fell to 3-1 and will face the hard part of their schedule in the coming weeks.

The frst half was a back-and-forth battle, with the teams each putting up majors in the frst quarter.

Keaton Belsher got things started, going 55 yards on a pass from Wyatt Craik to give Central a 7-0 lead 4:39 into the game.

Shane McDougall would get that back for Balgonie on a four-yard run with 15 seconds left in the frst, and he’d haul in a 16-yard pass for another major and a 14-7 lead 2:23 into the second quarter.

Back-to-back late feld goals by Ty Gorniak gave Greenall a 20-7 edge, but Central would make it a one-score game on a 29-yard passing touchdown to Belsh-

Randy Palmer - MooseJawToday.com

to

er on the fnal play of the half.

After being held to 53 yards rushing in the frst half, the prolifc McDougall would get things rolling after the break.

He’d run for a 26-yard major early in the third quarter and rack up eight carries for 113 yards in the half, fnishing with 166 yards on the ground.

Chase Kee (one-yard run), Cole Oswald (17-yard pass) and Max Yanko (15-yard run) had Balgonie’s other touchdowns in the half.

Kayden Nightingale scored the Cyclones’ second touchdown on a one-yard plunge midway through the fourth quarter. He had an effective game of his own on the ground, carrying 21 times for 123 yards.

Craik fnished the game 9-for-19 passing for 171 yards, with Belsher making four catches for 105 yards.

Kee completed nine-of-14 passes for 146 yards for Balgonie, Rogan Pipko was his favourite target with three catches for 70 yards.

Other results Saturday saw the Yorkton Raiders (3-2) take a 30-27 win over the Peacock Tornadoes and the Weyburn Eagles (3-1) roll to a 41-16 win over Swift Current (1-4).

League action continues Saturday with Weyburn at Central and Estevan at Peacock, with kickoff at 1 p.m. and 3:15 p.m. respectively at Gutheridge Field. Balgonie is at Swift Current.

“Our team was locked in the whole game”: Roughriders prevail in physical battle with Redblacks

Lauther kicks seven feld goals, Saskatchewan puts up 20 second-half points on way to 29-16 win over Ottawa at Mosaic Stadium

Some Canadian Football League games are high-scoring shootouts, some are close back-and-forth battles and some are just grinding wars to the fnish.

Saturday’s contest between the Saskatchewan Roughriders and Ottawa Redblacks was most certainly an example of the latter, as the two teams engaged in a physical scrap that saw the Roughriders emerge with a 29-16 victory at Mosaic Stadium.

The contest doubled as the annual kisiskâciwan Game as part of Truth and Reconciliation Week, with both teams wearing special First Nations-themed logos on their helmets in addition to warming up in orange ‘No Child Left Behind’ jerseys.

Saskatchewan improved to 7-7-1 with the victory and have moved into sole possession of second place in the West Division, three points back of Winnipeg and a point up on B.C.

With both teams seeing drive after drive stall out due to solid play from their respective defences, the contest turned into a kicking game, and the Roughriders’ Brett Lauther was defnitely on point.

He’d cap his day with a 7-for-7 performance that included a long of 41 yards, accounting for the bulk of Roughriders scoring. Lewis Ward was solid in his own right for Ottawa, going 3-for-4 with a long of 53.

Randy Palmer - MooseJawToday.com

The Reaction In the end, the Riders’ defence would come away with the better overall showing and a key win in a close battle for the West Division playoffs.

“Our team was locked in the whole game,” said defensive back Marcus Sayles on the CKRM Rider Radio postgame show. “We felt like we had the energy on the sidelines, we felt that on every posses-

sion we were able to get off the feld on defence and our offence was driving down the feld a little bit with ease, and it kept up the whole game.

“So credit to the coaching for the plays they were able to install this week and we were able to execute, we were just trying to go 1-0 this week.”

Sayles -- who had one of three interceptions off Ottawa quarterback Jeremiah

Masoli on the day -- was happy with the win but at the same time cautioned about getting too confdent as hardest part of the season draws closer.

“Every game is a playoff game at this time of season, the standings are all close, and as long as we stay locked in we should be fne,” he said. “Our coaches are doing a great job of taking care of bodies and mentally, but at the same time we’re going hard in practice to be ready for each week. We have a couple games left and I think we’re going to continue this momentum going into these next couple weeks.”

Roughriders head coach Corey Mace was proud of his team’s physical performance, especially with how things played out in the second half as Ottawa pushed to get back in the game.

“That’s certainly something we try and pride ourselves on in all three phases,” Mace said. “We wanted to make sure we were the more physical team, and speaking to this team in Ottawa, they’ve been a physical team all year. So from that standpoint, I was really pleased with that… we want to build that mental toughness and physical toughness and that’s what we want to be about.”

The Roughriders will look to make it three wins in a row on Saturday, Oct. 5 when they travel to Edmonton to face the Elks. Game time is 5 p.m.

Central Cyclones fell
the Balgonie Greenall Griffns 48-21 in South Rural Football League action Saturday.
Roughriders kicker Brett Lauther watches the line on one of his seven feld goals during Saskatchewan’s win over Ottawa on Saturday afternoon

Huge feld of runners take part in 20th annual Moose Jaw Invitational Cross Country meet

Competitors brave sweltering temperatures for event in Wakamow Valley, districts coming up Wednesday

For two decades, the Moose Jaw Invitational Cross Country meet has been giving youngsters from schools all over southwest Saskatchewan a chance to hit the course before provincial qualifer meets come up later in the season.

So it was only ftting that the 20th anniversary of the meet saw the largest feld of competitors ever, with a total of 321 participants taking to the Wakamow Valley course.

The race also set a different, somewhat less ideal kind of record -- temperatures touched 35 C come race time, making it the hottest day for the Invitational in its history.

That did little to dampen the enthusiasm, though, as competitors ranging from elementary to high school seniors braved the temperatures to put together some impressive races.

“We’ve had some hot days in the past, and we’ve had all kinds of weather, but that was hands down the hottest we’ve ever had,” said longtime race organizer Renee Verge. “But to have that many runners out on a day like that in September in Wakamow, enjoying what the valley has to offer, it was awesome.”

Participants did what they could to keep cool and hydrated, with many running with a water bottle and coaches and parents dousing runners as they ran past or crossed the fnish line. It certainly didn’t hurt to have Dairy Queen donate 325 free Blizzard coupons, with the ice cream a nice treat when all was said and done.

Randy Palmer - MooseJawToday.com

“No doubt a lot of the participants would be getting ice cream after, that’s for

sure,” Verge said with a laugh. In an effort to add a special twist to

the 20th edition of the races, Verge put together a series of special prize packages featuring donations from local businesses like Western Pizza, Booster Juice and Family Pizza and handed them out to the 20th-place fnisher in each race.

“I didn’t tell the kids that -- they’d probably be lining up at the fnish line and counting out the places -- but it worked out well and was a neat way to celebrate our 20th annual race,” Verge said.

Through it all, the most important thing was seeing so many youngsters out taking part in the event. That’s in no small part due to school programs fostering an interest in cross-country, with that carrying over right into high school and beyond.

“We all run for different reasons, some competitively, some socially, mentally and physically, there are so many benefts from running. Kids are coming out all different types of reasons and that’s important,” Verge said, adding that the high school numbers -- especially the senior level -- were the highest seen for the Invitational.

“A lot of it starts with schools and events like this and it’s nice to see the kids getting out.”

Attention now turns to the Saskatchewan High Schools Athletic Association provincial qualifying process, which begins with Districts on Wednesday, Oct. 2 in Wakamow.

The top runners from there will advance to provincials on Saturday, Oct. 12 in Humboldt.

Registration is now open for Moose Jaw Minor Basketball powered by Golden Ticket Sports

Registration is now open for the Moose Jaw Minor Basketball league powered by Golden Ticket Sports for young athletes in grades two to eight.

Practices are held on one night of the week from Monday to Thursday from 5:30 p.m. to 7 p.m. or from 7 p.m. to 8:30 p.m. unless otherwise scheduled. Each specifc practice date is dependent on the availability of coaches.

All games will be played on Sundays and start no earlier than 9 a.m. This is to better accommodate the schedules of athletes, coaches, and referees who often also plan around high school sports and other commitments.

The current registration is available for the following divisions:

• Mini (co-ed): Grade 2 and Grade 3

• Bantam (boys and girls): Grade 4 and Grade 5

• Junior (boys and girls): Grades six to eight

Optional preseason player clinics are available for an additional $25 fee. Each camp is held for 90 minutes and offers a review of shooting form, dribbling, team play, and decision making. The camp is open to all players registered for the Moose Jaw Minor season and the $25 fee can be added to your regular fees.

Preseason camps will take place over two sessions:

• Session one: Sunday, Oct. 27 from 3 p.m. to 4:30 p.m.

• Session two: Sunday, Oct. 27 from 4:30 p.m. to 6 p.m.

Player evaluations will be held on Sunday, Nov. 3 and the frst game will take place on Sunday, Nov. 17 at a location to be announced prior to the match. The last game day before the Christmas break will

Aaron Walker - Moose Jaw Express

2, depending on the number of teams who are registered for the program.

During the registration process, anyone interested in coaching will be added to a list and sent a coaching link with a form to fll out that must include a standard criminal record and vulnerable sector check. Each team is allotted two coaches and each coach will receive a refund for the amount of their child’s fee at the end of the season.

Registration fees are regularly priced at $275 plus GST with a possible credit card processing fee. Each player will receive a complementary basketball as part of the registration process. Payments must be made by credit card at the time of registration.

If you’re unable to make a credit card payment, simply contact Stephen@GoldenTicketSports.com for offine payment options.

Those who are paying through the assistance of a funding partner such as KidSport or Jump Start can contact Stephen@ GoldenTicketSports.com for more information and to make payment arrangements.

The Golden Ticket Sports Centre is based in Moose Jaw and offers additional programs on a consistent basis for youths, including elite development programs and year-long sport development academies through a partnership with both school divisions.

To learn more about Golden Ticket Sports visit GoldenTicketSports.com, call 306-541-9112, or email Tanner@GoldenTicketSports.com.

The hard deadline for registration is Tuesday, Oct. 15.

Runners on the course in Wakamow Valley during the 20th annual Moose Jaw Invitational Cross Country Meet. Lyle Johnson

More money could help prevent violence and bullying in schools, STF says

The president of the Saskatchewan Teachers’ Federation (STF) says increasing funding for education could help address violence and bullying — like a recent incident at A.E. Peacock Collegiate — in schools.

A video recorded on Sept. 17 shows two Peacock students involved in a verbal fght before the vice-principal breaks it up. Students say there was a physical fght before the video was taken, with the altercation because of alleged bullying.

The incident led to the Prairie South School Division expelling the student who was allegedly bullied and suspending a group of other students for allegedly expressing their concerns about the vice-principal’s conduct.

Ryan Boughen, director of education, confrmed by email that there was an incident and that school staff and administration immediately addressed the situation and called the Moose Jaw Police Service.

“Our priority is always the safety and well-being of our students and staff. We are committed to maintaining a safe learning environment at A.E. Peacock Collegiate and would like to thank the

Moose Jaw Police Service for their support,” he said.

“The school division cannot share the details pertaining to student discipline; therefore, we have no further information to share,” he continued.

When asked to confrm whether the division had expelled the student, as students said, Boughen declined to comment since it was an internal matter and not something the division discussed publicly.

“I can assure you, however, that we will continue to support our students and staff as we bring this to a close,” he added.

A police spokesman also confrmed by email that offcers responded to an incident around 1:20 p.m. about an altercation between two students, while the agency was investigating the situation with Prairie South’s full co-operation and had no other details to release.

STF comments

STF president Samantha Becotte told MooseJawToday.com that one solution to prevent violence and aggression is reducing class sizes and having more educational assistants and counsellors on

site. She believes the increase in aggression is because schools aren’t meeting students’ needs.

“When students’ needs are being met, we’re less likely to see these types of violent behaviours come out as an act of frustration,” she said.

Classroom complexity and fewer resources are having a negative effect on students’ ability to learn, so the education sector must determine how to meet those needs, Becotte continued. She believes teachers are more than happy to fnd a solution that meets everyone’s needs.

“We’ve seen a decade of cuts to public education and we need to start looking at how we can better meet the needs of all kids,” she remarked.

The decline in resources during the past decade has likely contributed to more bullying because teachers have not been able to address issues since they’re already managing other situations in their classrooms or the school, Becotte said.

She declined to comment on how Peacock handled the alleged bullying incident, only saying teachers are doing their best to create safe learning environments. Also, she thought having more

school resource offcers could help, but that was more of a reactive measure than a proactive one.

The STF recently released the results of a survey that University of Ottawa researchers conducted into “disturbingly high rates of workplace violence and harassment in Saskatchewan schools” against teachers and support workers.

The results showed that roughly 70 per cent of survey participants had experienced at least one incident of violence or violent behaviour and 87 per cent had faced at least one incident of harassment.

Becotte said the data show these incidents are not isolated but are a growing concern across the province for all school-age groups.

“And while it defnitely impacts those who are directly involved in the incident, it also impacts students who are witnessing these events … (or) who are having their learning disrupted because their classroom has to be evacuated … ,” she said.

Becotte added that the STF wants all students to have their needs met and for their learning environments to be safe and well-supported.

Public library announces upcoming program options for October

As the Moose Jaw Public Library enters the fall season, its varied programs continue with a special celebration as patrons are invited to “Grow with Your Library” during Saskatchewan Library Week from Oct. 13 to 19. Here’s what the library has to offer this October: Movie club

The library’s movie club meets twice monthly to watch a flm and engage in short discussion starting at 6 p.m. in the library’s theatre.

• Carnival of Souls: Is an original cult horror movie starring Candace Hilligoss and Herk Harvey. Show date: Monday, Oct. 7.

• Phantom of the Paradise: Brian De Palma’s camp horror rock musical has been described as “the overlooked older stepbrother to The Rocky Horror Picture Show” and is the tragic story of a singersongwriter who haunts the concert hall of “the evil record producer who stole his magnum opus.” Show date: Monday, Oct. 21.

The library’s Documentary Night showcases documentary flms that rarely hit theatres and takes place on the last Thursday of each month starting at 6 p.m. in the library’s theatre.

• Room 237: Rodney Ascher’s 2012 flm Room 237 explores the ongoing interpretation and debate over The Shining, which is described as on of the most iconic horror movies ever produced. The documentary promises to be “a good companion piece to a horror classic.” Show date: Thursday, Oct. 31.

A few movie matinees will be shown for audiences of all ages in the library’s theatre starting at 2:30 p.m. Admittance is free and everyone’s welcome.

• The Haunted Mansion (2023): Saturday, Oct. 5 (rated PG).

• The Nightmare Before Christmas: Saturday, Oct. 19 (rated PG).

Movie nights are held in the library’s theatre from 6:30 to 8:30 p.m. Showings are free and everyone’s welcome.

• Beetlejuice: Wednesday, Oct. 30 (rated PG).

Maker nights Maker nights provide an evening dedicated to learning and creating with others. Register by calling 306-692-8210. The program runs from 6:30 – 8:30 p.m. in the Herb Taylor Room for ages 13 and up.

• Teen Makers: Will create felt leaf art inspired by the fall season on

Wednesday, Oct. 2.

• Maker night: Guests will make hanging macrame wall art on Monday, Oct. 21. Advance registration is required.

• Maker Saturdays: Guests will make a spooky articulated hand on Saturday, Oct. 26.

Children’s programming

LEGO Weekends: Are open for ages four and up during the library’s regular business hours on Saturdays and Sundays. In this self-guided activity in the Children’s Department, children can have fun building wild LEGO creations that they’re invited to put on display.

Children’s Storytime programs run on separate days in the Children’s Program Room starting at 10:30 a.m. Here, young readers can enjoy a short story, rhymes, and songs as caregivers learn ways to improve early childhood literacy.

• Baby Storytime: Tuesday, Oct. 1, 8, 15, 22, and 29.

• Preschool Storytime: Wednesday, Oct. 2, 9, 16, 23, and 30.

• Daycare Storytime: Thursday, Oct. 3, 10, 17, 24, and 31.

Stand alone Halloween activities

A few stand alone Halloween programs are planned for younger library patrons this October.

• Autumn scented playdough: Starts at 10:30 a.m. in the Children’s Program Room on Saturday, Oct. 5. Registration

is required and the event is intended for ages two and up.

• Take ‘n’ Make Q-Tip Skeleton: Is a self-guided activity at the Children’s Circulation Desk for ages four and up. This will take place on Wednesday, Oct. 16.

• Halloween sensory bottles: Starts at 10:30 a.m. in the Children’s Program Room on Saturday, Oct. 19. Registration is required and the event is intended for ages two and up.

Youth programming

The library’s Teen Anime+ Club meets every fourth Wednesday from 6:30 to 8:30 to watch anime, read manga, draw, chat, and eat Asian snacks. Anyone ages 12 to 19 is welcome to attend in the library’s theatre and yes – cosplay is welcome.

• Next Anime+ meeting: Wednesday, Oct. 23.

The Teen Arts & Crafts program takes place once a month for youth ages 12 to 19 and runs 6:30 to 8:30 p.m. in the Herb Taylor Room. The program features art, crafts, snacks, and the chance to meet new friends.

• Pumpkin bags: Wednesday, Oct. 16. The Teen Gamers program provides an evening of video, card, and board games for youths ages 12 – 19. The program is held once a month in the Herb Taylor room with snacks provided from 6:30 –8:30 p.m. and no registration is required.

• Next Teen Gamers meeting: Wednesday, Oct. 9.

Kanopy

This October, patrons can stream a monthlong line up of spooky content from horror classics to thrilling adventures in Fright Fest, available only on the Kanopy app which requires a valid library card to access.

Friends of the Library

The Friends of the Library non-proft organization supports the library through at least two annual book sales to help fund programs not covered in the library’s regular municipal budget.

• Next used book sale: Friday, Oct. 18 from 1 p.m. to 4:30 p.m. and Saturday, Oct. 19 from 9:30 a.m. to 3 p.m. upstairs at the library.

Regular events

The Moose Jaw Chess Club provides biweekly chess games every second Sunday from 1 to 4 p.m. in the South Meeting Room.

• Upcoming chess games: Sunday, Oct. 13 and Sunday, Oct. 27.

Magic the Gathering is held on Saturdays at 2 p.m. in the Reading Room. No registration is required, and all experience levels are welcome.

• Magic the Gathering: Saturday, Oct. 5, 12, 19, and 26.

Dungeons & Dragons (D&D) is typically played from 6:30 – 8:30 p.m. in the Archives Room and players ages 12 – 16 across all experience levels are invited.

• Digital D&D: will take place Fridays on the youth Discord channel for ages 16 to 25 from 4 to 6 p.m. There is no D&D event on Friday, Oct. 25 as the library will be closed. Email Youth@ MJLibrary.ca to inquire.

Tech Time: classes provide one-on-one instruction for modern-day electronic devices and are available by calling the library.

French-language programs

L’heure du conte is a French-language program for children ages fve and under with their caregivers. The program is held in the Children’s Room starting at 10:30 a.m.

• L’heure du conte: Monday, Oct. 7 and Monday, Oct. 21.

The Moose Jaw Public Library is located at 461 Langdon Crescent and can be reached online at MooseJawLibrary.ca, by calling 306-692-2787, or by emailing Ask@MJLibrary.ca

Aaron Walker - Moose Jaw Express
A view inside the library’s rotunda. Don’t forget to stop by and learn how you can utilize available resources as the Moose Jaw Public Library celebrates Saskatchewan Library Week from Oct. 13 to 19. Photo by: Aaron Walker

MADD, SGI honour fve MJPS ofcers for taking impaired drivers of the roads

Five Moose Jaw police offcers have been recognized for their efforts to take impaired drivers off the roads.

During a ceremony on Sept. 24, Const. Ryan Lundquist, Const. Brandon Braun, Const. Payton Denet, Const. Jacques Geyer and Const. Austin Abbott each received the Van de Vorst Family Award. This commendation was established fve years ago by Linda and Lou Van de Vorst to honour their son and his family, who were killed by an impaired driver in 2016.

MADD Canada presented the awards in partnership with SGI.

Offcers who charged over eight impaired drivers during the last calendar year — April 1 to March 31 — received a Silver Challenge Coin and a certifcate of recognition. Those who charged 17 or more were presented with a Gold Challenge Coin and those who removed 40 or more motorists from the road received the Platinum Award.

From April 1, 2024, to March 31, 2024, the fve MJPS members laid 49 impaired charges and suspended 56 licences.

Lundquist is part of the Combined Traffc Services Saskatchewan (CTSS) Unit within the MJPS and says that this award hits a little closer to home.

“I actually went to university with Chanda Van de Vorst, the mother who was killed in this collision. Another close friend of mine, a young referee, was killed by a drunk driver when he was 17 (years old), and on his way to work in Saskatoon before I was a Police offcer,” said

Lundquist.

“Having those connections is why I’m so engaged in specifcally these types of investigations,” adds Lundquist.

Lundquist reminded motorists that it’s not worth it to drive impaired, as the pain, suffering, and effect it can cause outweigh the fnancial cost if caught.

Denet, who is with the community policing division, also worked hard to remove impaired drivers from the roadways. When asked what advice he could give to motorists when it comes to impaired driving, he said, “Don’t do it.”

“Don’t do it at all,” he remarked. “You have one choice: call a cab, walk, or get a friend to pick you up (because) it’s not worth it. It’s a life-changing decision for everyone involved and people that you don’t think could be involved. It has a ripple effect.”

Constables Braun, Geyer and Abbott were not able to attend the awards ceremony.

In total, 170 offcers from various provincial, federal, municipal, and university agencies were recognized during ceremonies in Regina and Saskatoon. Recipients were responsible for taking a combined 3,973 impaired drivers off the road.

The ceremony marked the sixth anniversary of the Van de Vorst Family Award.

If you or someone you know witnesses an impaired driver, call the Moose Jaw Police Service at 306-6947600.

Upcoming play ‘I Have No Idea’ explores neurodiversity and the power of music at the public library

The Moose Jaw Public Library is preparing to host a new play that explores adult Attention Defcit Hyperactive Disorder (ADHD) and neurodiversity in general. The play demonstrates how “the power of music, the importance of friendship, and coffee can make everything better,” according to an offcial release from the Listen to Dis’ Community Arts Organization responsible for the production.

The play, titled “I Have No Idea,” is set to show at the Moose Jaw Public Library’s performing arts theatre from 7 p.m. to 9 p.m. on Thursday, Oct. 3 and everyone’s invited to attend.

“It’s a fun and moving story of challenge and friendship and the team created something pretty special,” declared Jennifer Brewin, artistic director of the Globe Theatre and audience member at an earlier showing of the play.

I Have No Idea is currently on tour as part of the Driving Disability Culture Home in Saskatchewan initiative that seeks to inform and educate residents about topics that include disability culture and neurodiversity.

The play is written by award-winning playwright Nathan Coppens, is directed by Traci Foster, dramaturge and founder of the Listen to Dis’ Community Arts Organization, and stars Nathan Coppens and Kristel Harder.

I Have No Idea is described as “a timely and relevant

Aaron Walker - Moose

work based on the lived experiences of the playwright and interviewees,” and features a team of neurodivergent artists who bring their own personal insights to the performance.

The play follows the story of four characters who are all at different stages of their personal journeys as they seek to discover and understand themselves and how

�ire � �hee� ���es �n� �er�i�e in �oose ��w� �hen you’re shopping for new �ires� you ��y �ppre�i��e �he he�p of so�eone who �nows whi�h �ire ��n pro�i�e �he �es� grip� �he �onges� �ife� or �he shor�es� s�opping �is��n�e� proper spee� or �o�� r��ing� snow �r���ion� �n� ��� of �he

they’re just wired a little differently. The story is one of self-discovery and tells the all-too-familiar story of increased self-awareness for individuals diagnosed with neurodiverse conditions.

“From your piano monologue in act two, I have now come to realize how much my attempts to survive and cope are linked to my addiction,” said Kendra Harder, an audience member at a recent showing of the play. “So now I can get help. Thank you so much.”

In March 2024, the production closed to a 500-person waiting list when it showed in Saskatoon at the Live Five Independent Theatre and was the best-selling show of the season for both the Saskatoon-based company and the On Cue Performance Hub in Regina this year.

Tickets are on sale now and are $30 per person for adults and $25 per person for students and artists. If the ticket cost is a fnancial barrier to viewing the show, there is also a “pay what you will” option to facilitate inclusivity.

Tickets can be purchased online by visiting Eventbrite.com.

To learn more about the Listen to Dis’ Community Arts Organization visit ListenToDis.com.

The Moose Jaw Public Library is located at 461 Langdon Crescent in Crescent Park.

Const. Ryan Lundquist with the Moose Jaw Police Service (second from left) receives a Van de Vorst Family Award during a ceremony on Sept. 24. Photo submitted
Const. Payton Denet with the Moose Jaw Police Service (second from left) receives a Van de Vorst Family Award during a ceremony on Sept. 24. Photo submitted
Kristel Harder (left) and Nathan Coppens (right) perform a skit in “I Have No Idea.” Photo by: Listen to Dis’ Community Arts Organization/Nathan Coppens

WORDSEARCH

Can you fnd the hidden words? They may be horizontal, vertical, diagonal, forwards or backwards.

AGENT, AWAKEN, AXIOM, BRAND, CHAOTIC, CLUMP COAST, CRYPT, DOWNTOWN, DRAKE, DROVE, FLASHLIGHT GREAT, HOST, HYPOCRITE, IMPLY, LAIR, LIMIT, MARKET MOTTO, OTHERWISE, PILLAGE, PROVERB, ROAM, ROUND RUMOR, SCANT, SPOT, SUGGESTION, TART, TENOR TOUR, TRAFFIC, UNITY, VAULT

ACROSS

1. Droops

5. Sporting venue

10. Pear type

14. “Oh dear!”

15. Chocolate substitute

16. Wicked

17. Architectural plans

19. Protagonist

20. Lower limb

21. Cowboy sport

22. Most bad

23. Unseeing

25. What trains run on

27. Jerk

28. Plover

31. Writing tables

34. Bungling

35. Large fightless bird

36. Behold, in old Rome

37. Foul moods

38. Snob

39. Metric unit of area

40. Bouffant

41. Beats

42. Blue denim

44. Service charge

45. Change 46. Lack of success 50. Spooky 52. Anklebone 54. Craggy peak 55. Caustic 56. Whimsical 58. Footwear 59. Ready for anything 60. Apart from this 61. Throw 62. Pauses 63. Trawling equipment DOWN 1. Expensive fur 2. Laneway 3. Measuring instrument 4. South southeast 5. Not down 6. Forays 7. Coastal raptor 8. Infamy 9. Stomach muscles, for short 10. Gaze upon 11. Supervisors 12. Knights 13. Coagulate

What a difference rain makes to the soil.

Rain across the province two weeks ago replenished much of the soil, especially in southwest where three and four inches fell in some place.

Crop land topsoil moisture in the province went from 41per cent adequate and 59 per cent short or very short to 53 per cent adequate and 47 per cent short or very short.

Pasture moisture is rated 53 per cent adequate and 47 per cent short or very short, compared with 74 per cent short or very short the previous week.

The rains delayed harvest wth only four per cent more done during the week ended Sept. 23, according to the Ministry of Agriculture weekly crop report.

Most of the crop is in the bin — 79 per cent — with all of the peas and triticale done.

18. Newspapers

22. Droop

24. Body of water

26. European mountains

28. Not a fork or a spoon

29. Broadcast

30. Carpets

31. Not alive

32. Beige

33. Possible outcomes

34. Sterile

37. Certain

38. Rind 40. Head

41. Breed of large antelope

43. Moves effortlessly

44. Defects

46. Tease romantically

47. Useful

48. Settle down for the night

49. Anagram of “Sneer”

50. Where the sun rises

51. Bounce back

53. Wood-chopping tools

56. Norm

57. Right after nine

Moose Jaw Truck Shop

205 WANTED

Seeking Born Again Christian Business partner with potential ownership in Second Hand and Flea- Market business. Male, Female or Family must be interested in Salvation, Healing and Deliverance Outreach Ministry . Serious enquiries only please. 306-684-1084, 5 pm- 8pm ONLY (because of scam calls)

WANTED - Will pay cash for your Gold and Silver coins. Call 306-5277786.

210 SERVICES

Moving jobs done reasonably: appliances, furniture, dump runs. Call to do it all. $45.00 a load. 306-630-2268

Need work done? Contact Bill at 306-630-2268 . Interior/exterior, renovations, formwork, framing, fnishing, tiling, painting and all construction, roofng/siding- no job too big or small. Reasonable rates, 30 years experience. Cleaner with 20 years experience, professional and bondable, please call Rebecca at 306-9900387

Single, clean woman will house sit for winter months. In Moose Jaw or Regina. Non-smoking, no pets. Garage necessary. References

available. Please call 306-648-7930. Junk to the dump in and around Moose Jaw, $60 and up. Will pick up, move, haul, and deliver any appliances and where in and around Moose Jaw, $45 and up. 45-gallon plastic barrels, great for rainwater, $20 each. Will pick up, move, haul, and deliver TV’s and BBQ’s, $20 and up. Looking for body parts for 2017 F250. 306-681-8749.

160 MISCELLANEOUS

29 1/2” TV/Stereo stand with wheels $120. Women’s tennis racket, excellent condition $50. Two Irish tablecloths and apron $50. Hardcover Wilbur Smith books, excellent condition, call for prices. Two microphones in case $60. Brand new Backgammon game $40. Medication organizer $12. Please call 306-692-5091 Brand new Delorean DS14-Max electric scooter. Never used. Includes basket, horn, light, lock, and charger. Would like $600 cash, frm. Please call 306693-1877.

FOR SALE - Sunset Cemetery Last Supper Cremation Plot #212. Asking $1600, open to reasonable offers. Please call 306-693-2003.

Is anyone interested in a Canadian Stamp COLLECTION? 18 Books NEVER opened, ranging from 1990 to 2005. PLUS, many more mint individual packages. Large envelope of used stamps plus other extras. Contact Florence, 306-693-2743.

130 FARMS, SUPPLIES & LIVESTOCK 2024 small square hay bails, $6 a bail in the feld. Call 306-692-8892 and leave a message with contact information.

High quality water delivered to your home or

Better

brings out the

Moose Jaw Camera Club opens its 2024-2025 season with drone photography presentation

Professional, amateur, and aspiring photographers had the chance to learn all about drone photography thanks to a recent public workshop hosted by the Moose Jaw Camera Club this past weekend.

The drone presentation and demonstration took place at the Wakamow Kiwanis River Park Pavilion on the afternoon of Sept. 28 and was hosted by Regina-based Dwayne Senft, himself a seasoned photographer and a member of the Moose Jaw Camera Club since April 2023.

Senft is heavily involved in the Queen City Drone club in Regina and brought his extensive background experience to guests in Moose Jaw. The presentation included aerial demonstrations, an explanation of photography techniques, and guests were given the opportunity to ask him anything they wanted to know.

Prior to the lesson, Senft was required to get permission from CFB Moose Jaw in order to fy his drones, which permitted clearance for up to 200 feet (60.96 metres) AGL (above ground level).

Upcoming events

If you missed the drone presentation there are plenty more opportunities in the works.

“If people have been wondering about the camera club and they… decide that they want to actually join the camera club, this is just the very beginning of our season,” said Calvert. The club’s season opened on Sept. 9 and continues through to Monday, June 9, 2025.

The club’s meetings usually have two or three parts. These often include a slideshow where members share their photos and discuss their work. The club also holds critiques several times each years where members can submit a themed photo and judges give feedback to help im-

prove their skills.

The club also invites guest presenters — including Senft — throughout its season.

Monday, Oct. 7: a slideshow titled “macro/close-up (photography)” will be presented during the club’s meeting and “Tornado Hunter” Greg Johnson will deliver a presentation.

Monday, Nov. 4: a critique titled “nature” will take place and Colleen Raes will deliver a “Cell Phone Photography” workshop followed by a slideshow demonstrating what can be done with a simple cell phone.

November: with a date to be announced, the club will attend the Wakamow Valley of Lights for a photo excursion.

Monday, Dec. 9: the club will hold a competition with an open theme featuring traditional and altered reality categories. The competition is for all levels and will be followed by an action, speed, and motion photography workshop led by Rob Harden and Bob Schultz. This will be fol-

lowed by a Christmas party for club members.

The Moose Jaw Camera Club currently has around 43 registered members, and an average meeting is attended by around 25 individuals.

If you’re interested in joining the Moose Jaw Camera Club, membership is open to everybody with an interest in photography and the annual fee is only $60 per person. If you’re joining with a member of the same household, each additional member after you can join for $35. Students can enjoy a permanently discounted rate of $30 per person.

If you paid the $10 entrance fee to attend the drone presentation, Calvert said you can use that receipt to receive the same $10 off the annual membership fee if you opt to join the club this year.

Each membership includes a discount card that can be used for purchases at Wells Camera & Sound at 1102 Main Street North in Moose Jaw.

The Moose Jaw Camera Club meets at the Cosmo Centre on the second Monday of each month and meets every month of the year except for July and August. Meetings are held from 7 p.m. – 9 p.m. on each respective night.

The Cosmo Senior Citizen’s Centre is located at 235 Third Avenue Northeast. For more information or to register, Betty Calvert can be reached at 306-3715220 and Rachel Petroschuk is available at 306-693-0159. For more information and to view member photos, visit TheMooseJawCameraClub.com or follow ‘Moose Jaw Camera Club’ on Facebook.

Dwayne Senft visited the Moose Jaw Camera Club on Sept. 28 for a drone photography presentation at the Wakamow Kiwanis River Park Pavilion. Photo by:

In Loving Memory

Cathy Longworth 1938 – 2018

You’re a miracle to us, A special gift from God above Whose life was a refection Of the beauty of God’s love.

You were a blessing to our worldA gentle soul, unique and rare, Who always lifted our spirits With your tender loving care.

Obituaries / Memorials

You were everything we’d hope The one who loved us would ever be, And that’s why you will be Our cherished miracle

Mark Laverne McIntyre

July 2, 1963 –September 7, 2024

It is with deep sorrow and much love that we mourn the passing of Mark Laverne McIntyre September 7, 2024, at the age of 61 years. Mark was born in Moose Jaw, Saskatchewan on July 2, 1963. His parents Cyril, Marie and big brother Dewayne welcomed the handful into their busy life.

Mark will be lovingly remembered and missed by his parents Cyril and Maria; his older brother Dewayne; partner Wanda Green; children Tyler (Ashleigh) and Dustin (Tina); grandchildren Mackenzie, Declan and Caelie; as well as numerous relatives and friends.

He was a stubborn, bullheaded man but to those who truly knew him knew he was as soft as a teddy bear with a heart of gold. Mark spoke his mind, and said exactly what he thought, regardless if you liked what he had to say or not. He was a man who loved telling stories and making you smile and/or laugh. His smile, laughter and stories will be dearly missed. Mark was an active Lions Club member who loved playing darts and being outdoors. His happy place was spending every weekend at the racetrack with his BBQ, and the trailer. He enjoyed family dinners, and his boys smoking delicious meals that he could brag about.

Mark touched the hearts of so many and was taken way too soon. Until the day we can hear the sound of your cowboy boots and keys jangling from your hip on your Wrangler jeans, you will always be on our minds and in our hearts.

We love you Mark, Dad, Grandpa.

A Celebration of Mark’s Life will be held on October 5, 2024, from 1:30 – 4:00 at Points West, 917 Bradley St, Moose Jaw, SK. Interment to follow at Sunset Cemetery. In Lieu of fowers memorials donations may be made to the Saskatchewan Cancer Agency 200-4545 Parliament Ave. Regina, SK Canada S4W 0G3

In living memory of Mark, a memorial planting will be made by W.J. Jones & Son Ltd. Please sign the memorial register at website: www.wjjonesandson.com (Obituaries). Dayna Chamberlain- Funeral Director

WEBSTER

September 16, 1938 –September 21, 2024

Long time resident George Barry Webster of the Hearne District, passed away September 21, 2024. Barry was predeceased by his parents, George and Gertrude Webster. He is survived by his sister, Velma and brother, Darle. Barry will be dearly missed, and forever loved by those who knew him.

A Graveside Memorial Service for Barry will be held on Saturday, October 5, 2024, at 1:00 p.m. at Moose Jaw Sunset Cemetery (9th Avenue SW) Arrangements are entrusted to Moose Jaw Funeral Home, 268 Mulberry Lane. Gary McDowell, Funeral Director 306-693-4550 www.moosejawfuneralhome.com

TRINITY UNITED CHURCH

LANDIN

Helen “Isobel” Landin passed away peacefully on Thursday, September 26, 2024 in Moose Jaw, SK. A Funeral Service for Isobel will be held on Saturday, October 5, 2024 at 11:00 a.m. in Moose Jaw Funeral Home. Pastor Doug Shepherd will offciate. Arrangements are entrusted to Moose Jaw Funeral Home, 268 Mulberry Lane. Shirese Noble Funeral Director 306-693-4550

www.moosejawfuneralhome.com

Please

is to block the path and impede progress.

Thwert was derived from the Old Norse word thvert, coming from thverr, meaning to transverse. If you are at cross-purposes with someone, you end up thwarting each other’s ideas.

Frustrate, foil, baffe, balk and thwart imply checking or defeating another’s achievement of a goal.

Rev. Dr. John Kreutzwieser is a retired pastor from Emmanuel Lutheran Church, Moose Jaw, SK. He graduated with a doctorate degree in 2006 from the Robert Webber Institute for Worship Studies in Florida.

The views and opinions expressed in this article are those of the author, and do not necessarily refect the position of this publication.

Thwart

We like to check regularly on the harvest situation in Manitoba where Patti’s family farm is located. As with most years, things move along okay until weather thwarts the progress. That area of Manitoba has had the occasional rain storm this Fall that slowed things down. And now striking dock workers at the Port of Vancouver could thwart the movement of grain all across the prairies.

Used since the 13th century, thwart has meant to run counter to, thus effectively oppose or baffe. The circumstances of weather have thwarted farmers since the dawn of time. Weather can hinder and oppose the advancement of the agricultural cycle.

If you try to come up with a lengthy list of words in English that begin with ‘thw,’ you will be thwarted in attempting to do so. Some people may think of thwack which means to strike with or as if with something fat or heavy. I recall the Batman comics and TV show (19661968) used thwack. And then there is thwaite which means a piece of land used as a meadow, feld, or pasture, specifcally forestland cleared and converted to tillage. But I was not aware of its existence.

Another meaning of thwart can be to pass through or across. This comes from the Middle English word thwert which was used to describe how something lies across the length of something else. The old tree that fell in the storm thwertened the main road into town. The link to thwart can be understood if you consider that thwarting a plan,

Frustrate suggests making all efforts ineffectual, even if vigorous or persistent. The opposition parties frustrated the attempts of the government at electoral reform.

Foil means to defeat and discourage any further efforts. Her parents foiled all her attempts to stay up later than usual.

Baffe implies frustration by confusing or puzzling. The company was baffed by the maze of rules and regulations of the commission on international trade. Balk indicates the interposing of obstacles or hindrances. The police felt that the legal restrictions had balked their efforts to control crime.

Thwart infers frustration by crossing or opposing. The goalie played so well as he thwarted every attempt to score by the opposing team.

A few years ago I was thwarted in my many attempts to limit gophers coming into our yard from the park behind our house. No matter what I did, every summer I noticed a gopher or two trying to dig a hole in our garden. One year a gopher attempted to dig a house beneath our cement steps coming from the garden doors. I tried a smoke bomb but the only thing that emerged was a seemingly drunk salamander. Then, by the morning, the gopher had conveniently moved the expired smoke bomb out of the hole.

With all the new improvements to The Sunningdale Nature Trail this past year the city seems to have eliminated any gopher problems. But I’m sure some other issues will arise that will thwart my attempts to have prosperous garden produce.

Columnist John Kreutzwieser loves to research words and writes this weekly Word Wisdom column for Moose Jaw Express/MooseJawToday.com. He has an interest in the usage, origin, and relevance of words for society today. Greek and Latin form the basis of many words, with ancient Hebrew shedding light on word usage.

John would like to know if anyone has a sincere interest in a relevant word that he could possibly research for an upcoming column. If so, please send your requests to wordwisdom2021@ gmail.com . Words will be selected according to relevance and research criteria. We cannot confrm that all words will be used.

Honoured to support you in creating a meaningful Ceremony.

Della Ferguson Funeral Celebrant

Going ABOVE and BEYOND expectations is what sets

Next Service: Oct 6th, 2024 10:30am
Rev. Doug Shepherd
277 Iroquois St W Moose Jaw, SK
Love Lorne, Lorna, Bruce, Ross, Candace & Families

Obituaries / Memorials

FRYKLUND

September 9, 1940 - September 18, 2024

My family and I are sad to announce the passing of my father, Jack Allen Fryklund of Herbert, Saskatchewan. Formerly of Barrie, Ontario and Calgary, Alberta. Born and raised in Moose Jaw, Saskatchewan.

The third in a line of fve children of Lyle and Irene Fryklund. He and his two older brothers Gary and Robert were inseparable boys. They found adventure on the streets of Moose Jaw and on prairie at their grandmother’s home in the village of Expanse, Saskatchewan. The Fryklund boys were known as precocious, yet they were honest kids who were highly protective of each other and their family. Their lives would drift apart into adulthood, but life’s highway had a way of tying their lives back together.

When mom Irene worked the canteen at Moose Jaw’s Temple Gardens Dance Hall, Jack would scrounge for empty pop bottles to get the refund money. So too was Donna Murray the daughter of the square dance caller. Donna was hardly impressed with Jack but later as an adult that shy farm girl would give in to the Jack’s charms for their frst date. They would marry in 1962 and two years later had me, their daughter, Lisa. My father was exceptionally technically minded, that boded well for him as a typewriter repairman. His early jobs were in rural Saskatchewan, Montana and Washington state where he worked long hours for what felt like little pay. His big break came when he landed a repairman job in Calgary, Alberta with its rapidly growing oil industry head offces. A hot shot repairman with no un-fxed typewriter left behind, Jack’s reputation preceded him and soon he became an IBM man, servicing Calgary’s prominent typewriter accounts. The technical minded Jack was keen to construction. He saw his homes as a canvas for extensive home and yard renovations. He wanted every job to be to the best he could accomplish. “It just had to be so, so. Not half assed” He would say.

In the 1970’s, Jack became an avid motorbike trail rider who took to mountain trails riding alongside friends who were racing champions. Knowing that his body was taking a pounding on the motorbike he traded in those wheels for a motorboat. Our family and friends would enjoy gorgeous summer days waterskiing behind his boats on lakes in Alberta, B.C. and Saskatchewan. All of these passions were accompanied with a love of motorhome camping. Our family got great peace in campgrounds and sitting by the campfre. My parents fell onto hard luck in the early 1990’s. The typewriter quickly lost ground to the personal computer and repairmen like Jack were no longer needed. My mother would experience cancer for 3 years and sadly passed away in 1993. My father would fnd love again when he married Doreen Bye, they had a happy life together in Calgary, but Doreen longed for her family in Ontario. Jack may have given up his Alberta mountains but living In Barrie, a city beside Lake Simcoe gave him a renewed boating opportunity. Jack found a 30-foot, wooden cabin cruiser and refnished it from the hull up. The Sea Rose was an outstanding craft that impressed boat builders in the region.

When Jack and Doreen’s marriage ended, he found companionship with Cindy Alty. She shared with Jack her love of travel. Together, they would go to England, France the Dominican Republic, Mexico and Arizona. They were fond of cards and joined forces for bridge and euchre tournaments. Jack was enormously competitive in card games though his great passion was chess. He rarely lost a game to man or computer. As if he didn’t have enough interests, my dad’s hobby for over 30 years was model railroading. He built layouts that would take over basement rec. rooms. As a member of Calgary’s Cantrak model railroad club he mentored members in the art of mountain building, electrical wiring and fabricating of the most realistic trees any had seen.

In 2021, Jack and Cindy would part ways. He returned to his native Saskatchewan with a trailer-full of tools and his model railroad. With the help of his brother Robert, my dad found a cute bungalow in Herbert. The town was also the home to his eldest brother Gary. A year after arriving, brother Gary would pass but Jack was so very happy that he was able to spend time again with his brothers at their late stage in life. Brother Gary’s passing brought his grandson Keaton from Calgary to Herbert to move into his grandfather’s home. Keaton and Jack formed a strong friendship with requisite evening crib matches. Jack would call Keaton his ‘right arm’ for the assistance given to him through his recent years of poor health. The ‘Right Arm’ was at Jack’s side when my father’s life ended on September 18th. With Keaton was his father Rory and their spouses at the Cypress Regional Hospital in Swift Current. One of Jack’s fnal moments was the joy he expressed with a big smile when he saw that his brother Robert had made it to the hospital to say goodbye.

I live in California and could not make the hospital in time, but my father and I were able to say goodbye the night before his passing. Thankfully we were able to proclaim our love and state how proud we were of each other. ‘See you on the other side Dad.’

Jack Fryklund is survived by his daughter Lisa and her husband Robert Ferguson of Alameda, California. His brother Robert (Wilma) of Moose Jaw, sister Wendy Predy (Earl) of Edmonton, Herbert Nephews Rory (Dawn) and Keaton (Storm). Saskatoon Nephew Kelly (Janet), Connor, Brendan, also nephews Tracy, Cory, Kyle, Rick, Dale and Jim.

Jack is predeceased by his frst wife Donna, his mother Irene, father Lyle, brothers Gary (Diane) and Dennis. Our sincere thanks to the caregivers of the Herbert and District Integrated Health Facility with Dr. Suresh Kassett and Shelby Haubrich who gave the fnest care to Jack. They said they just loved Jack’s visits and his good humor. We have profound gratitude to Dr. Michelle Lund and the staff of Swift Current’s Cypress Regional Hospital who aided Jack in his fnal hours and to the kind assistance of Andrew Pratt of Moose Jaw Funeral Home who has aided us through this time.

The immediate family was brought together for a memorial dinner at Jack’s home with dishes from his favorite Chinese restaurant. He would have loved it. Arrangements are entrusted to Moose Jaw Funeral Home, 268 Mulberry Lane. Andrew Pratt, Funeral Director 306-693-4550 www.moosejawfuneralhome.com

Iver Main in Central Butte upcoming fundraisers

April Meersman - For Moose Jaw Express

Iver Main is not just a senior’s residence, but a home supported by the community from fundraising to volunteers, Iver Main is a standing pillar within the community.

There are three major fund-raising events planned. ‘The Fall Supper” was held on Sept. 28th. Upcoming fundraisers include “The Post Harvest Celebration” on Oct. 18th, and fnally to wind down 2024, “The Bi-annual Dinner and Auction” will be held on Nov. 23rd.

The 2nd annual “Post Harvest Celebration” on October 18 will be held at the Harbor Golf Community Centre, 1 Lakeside Rd, Elbow, SK from 5:00 p.m. to 11:50 p.m. The chefs have created a four-course prairie-themed meal. Starting with deli meats and cheeses charcuterie centrepieces, slow-cooked bison brisket with whiskey & Worcestershire or crispy BBQ chicken thighs with lemon-dill beurre blanc, and fnishing your meal with tasty desserts. The evening then continues with music by the Eagles tribute band. $100/person plus tax. Details are available online at postharvestcelebration.com. Profts going to Iver Main and the Harbor Golf Club Community Centre. Currently, Iver Main is selling tickets for artwork by Audrey King. Tickets are $5.00 each, with the drawing being held at the Post Harvest Celebration.

The bi-annual Dinner and Auction, held at the Central Butte School on November 23rd @ 5 pm. Held every second year, the expected number of guests will be well over 200. Tickets are $20. Live and silent auctions, Bucket Raffe, Bar, 50/50 ticket sales. All auction items are donated by the community. If you have any items you wish to donate for the auction, please contact Iver Main at 306-796-2117 or drop them at 52 3rd ave, Central Butte. More information will be on the Iver Main Facebook page.

“I would like to ex press my appreciation to all those who have support ed and contributed to our home over the years,” stat ed Jeri Upton, manager of Iver Main. “We are looking forward to celebrating our 20th anniversary next Feb ruary.” Details to follow.

For more information on any of the listed events, please contact Iver Main at 306-796-2117. For direct donations, please send them to Iver Main, Box 550, Cen tral Butte, SK, S0H0T0.

FRIENDS and NEIGHBOURS PRESENT

BILLY'S PASTA NIGHT

Sunday Oct 20th

Cosmo Senior Center

Join us and show your support while enjoying

UPCOMING EVENTS IN MOOSE JAW

If you would like your notice or event added to this list, contact us at: joan@ moosejawexpress.com

Friends of the Library Used Book Sale will be held at the Moose Jaw Public Library on Friday, October 18 from 1–4:30 pm and on Saturday, October 19 from 9:30 am – 3:00 pm

Adult books, children’s books, DVD’s, audiobooks, and more! Everything is priced to sell and it’s a great way to support the Library!

Spring Valley Fall Supper will be held on October 19 at 6pm. Cost $25. 8 oz. Steak & Potato; $15. Burger; Includes salad bar & desserts. Tickets available at the RM Offce Please pre-order by Oct. 16th e-transfer svdic123@gmail.com. Limited amount of tickets available at the door

BRIDGE LESSONS - It’s fun, social and a great game! Thursday evenings 7:00-9:00 pm Oct. 3 – Nov. 28 (9 sessions for $45) For more information or to register call Anita (306) 630-1256

Moose Jaw Parkinsons Support Group meet at 1:30 p.m. on the last Monday of the following months: September, October, November, January, February, March, April and May. Call or text 306 756 2819.

The Prairie Hearts Quilters Guild is held every 1st and 3rd Wednesday at 7 pm at St Andrews Church from September until May. Learning, comradery, fun challenges, quilting and Community Projects.

New Youth Pipe Band in Moose Jaw “The White Heather” for youth aged 8 to 12. Further information may be obtained by contacting Michelle Carline at mcarline@ hotmail.com

The Moose Jaw Stamp Club will resume meeting on the 2nd and 4th Wednesdays of the month. The frst meeting will be at 6:30pm, in Lindale School staff room, 1322 11th Avenue NW (north entrance). Phone 306-693-5705 for information.

Moose Jaw Lawn Bowling in Crescent Park Tuesday and Thursday DROP IN @10am will continue as weather permits. Evening bowling will be sporadic. For reservation phone 306-630-8160 also to register for Members Fall tournament on Sept 21.

Moose Jaw Town N Country Square Dance Assoc. Winter 2024 Program on Monday nights starting September 30 from 7-9pm at St. Mary’s School, 720 – 5th Ave. SW. Dance in a square with family and friends. For information contact Valerie Wright at 306.691.0579. Beginners, singles or doubles welcome!

Scottish Country Dance Classes for all ages on Thursdays at 7pm at 510 Main St. N (T. Eaton Bldg). No partner required. Call Val @306.630.5790.

Nature Moose Jaw will hold their meetings on a once-a-month basis to take place on the third Friday of each month Church of Our Lady Bingo takes place at the Church of Our Lady Community Centre, 566 Vaughan Street on Tuesday evenings. Doors open at 6:00 p.m. Bingo begins at 7:00 p.m.

Are you struggling with addictions? Do you know someone who is? Or do you want to learn more about overcoming addiction to help others? Pastor Cory Havanka and his wife Brenda will be offering an in-person, small-group, course that will explore how to overcome addiction that is based on Biblical foundations. For questions - Call or text Cory at 306-684-1464 or email frmfoundationministries.inc@gmail.com Firm Foundation Ministries provides other services as well:-Bible study - Monday evenings at 630 p.m/Prayer meetings - Wednesday evenings at 7 p.m/Pastoral counselling. Check Facebook or Instagram for updates on services, events, bible study notes and words from the Lord.

Nar-Anon Meetings every Monday 7—8pm (Moose Jaw Nar-Anon Family Group) is a twelve-step program for relatives and friends affected by someone else’s drug use and is in-person at Moose Jaw Alliance Church, 14 Neslia Place. Come in Main Doors – Meeting Rm 103. Your anonymity and what you say at meetings will be carefully guarded.

Toastmasters Celebrating 100 Years of providing communications skill education. The Moose Jaw Clubs invite

guests to all meetings.

TAP Toastmasters meet Tuesdays @7pm on zoom. Big Country Club meet Wed @ 7 in person @Saskpolytech. Big Country Toastmasters Club

Celebrating 100 Years 2nd special event on Oct 2 will guest speaker Irma Goosen. The title of her presentation is “The Immigrant Experience”. The 3rd event on Oct 9 will feature Darlene Davies an author and award winning speaker. The title of her presentation is “Changing our World by fnding Humour”.

The offcial chartering of the organization in October 1924 focused upon public speaking. The programs continue to provide those and additionally many other communication skills. Toastmasters’ programs continue to expand providing opportunities for leadership, on-camera & media experience which in turn fosters self-confdence, personal and professional development. Big Country Club invites everyone including former members, people who are new residents to Canada to visit. For more information email offcers-3418@ toastmastersclubs.org or text 306-690-8739. For more Information text 306-690-8739 or email offcers-3418@toastmastersclubs.org

TOPS (Take Off Pounds Sensibly) Weight Loss Support Group meets at The Cosmo Senior Citizen’s Centre, 235 – 3rd Ave. N.E., Moose Jaw. The group meets every Wednesday morning. Weigh ins are 8:00 – 8:45 am. Meeting to follow. Scale weighs to 350 lbs. Join for friendship and support on your weight loss journey. For more information go to www.tops.org

Moose Jaw Public Library (MJPL), 461 Langdon Cres. Phone 306.692.2787. Visit their website at https://www.moosejawlibrary.ca or visit ASK@MOOSEJAWLIBRARY.CA

Some library programs require registration by calling 306-692-8210 or emailing nsetter@moosejawlibrary.ca

Saskatchewan Library Week will take place from October 13 to 19 to promote the resources and services that libraries have to offer. This year’s theme “Grow with Your Library” highlights how a person can grow intellectually, socially, and creatively by using library services and programs.

SPECIAL PROGRAMMING:

TECH TIME available by appointment during open hours in the main library for adults by appointment only - please call the library at 306-692-2787 to schedule an appointment.

ADULT PROGRAMMING:

MJPL MOVIE CLUB Monday, October 7

@6pm in MJPL Theatre for adults Drop-in program Movie: Carnival of Souls

MJPL MOVIE CLUB Monday, October 21

@6pm in MJPL Theatre for adults Drop-in program Movie: Phantom of the Paradise DOCUMENTARY NIGHT Thursday, October 31 @ 6pm in MJPL Theatre for adults Dropin program Movie: Room 237

MAGIC THE GATHERING Saturdays, October 5, 12, 19 & 26 @2pm in Reading Room for ages 13+ Drop-in program

MJ CHESS CLUB AT MJPL Sundays, October 13 & 27 from 1-4pm in South Meeting Room for all ages Drop-in program

MAKER NIGHT Monday, October 21 @6:30 pm in South Meeting Room for ages 13+ . Registration required Project: Hanging Macrame Wall Art FRIGHT FEST ON KANOPY All month long From horror classics to thrilling adventures, Fright Fest celebrates horror and fascination during this spooky season. Get your fashlight ready and start streaming, only on Kanopy with your library card.

YOUTH PROGRAMS:

DIGITAL D&D Fridays from 4:00-6:00 pm at the MJPL Youth Discord Channel for ages 16-25. No D&D Oct 25

Registration required - Email youth@mjlibrary.ca to inquire.

TEEN D&D: INTO THE DEPTHS on Tuesdays OR Thursdays until Oct 24 @6:30 pm in MJPL Archives for ages 2-16. Registration required.

BEETLEJUICE MOVIE NIGHT Wednesday, October 30 @6:30 pm in MJPL Theatre

Ages for all ages Drop-in program

TEEN ANIME+ CLUB Wednesday, Oct 23

@6:30 pm in MJPL Theatre for ages 12-19

Drop-in program Feature: Suppose a Kid from the Last Dungeon Boonies Moved to a Starter Town

TEEN MAKERS Wednesday, October 2 @

6:30 pm in South Meeting Room for ages 12-19. Registration required Project: Felt Leaf Art

MOVIE MATINEE Saturday, October 5

@2:30 pm in MJPL Theatre for all ages Drop-in program Movie: The Haunted Mansion (PG)

TEEN GAMERS Wednesday, October 9

@6:30 pm in Herb Taylor Room for ages 12-

19 Snacks provided. Drop-in program

TEEN ARTS & CRAFTS Wednesday, October 16 @6:30 pm in Herb Taylor Room for ages 12-19 Snacks provided Drop-in program Project: Pumpkin Bags

MOVIE MATINEE Saturday, October 19 @ 2:30 pm in MJPL Theatre for all ages Dropin program Movie: The Nightmare Before Christmas (PG)

CHILDREN’S PROGRAMS : L’HEURE DU CONTE (FRENCH STORYTIME) Lundi, 7 et 21 octobre 10h30 à la chambre des enfants pour les 0-5 ans et leurs soignants All levels of French language are welcome.

PRESCHOOL STORYTIME Wednesdays @ 10:30 am in the Children’s Program Room for ages 2-5 and their adults!

Drop-in Program LITERACY CALENDARS Download October Early Literacy Calendar DAYCARE STORYTIME Thursdays @ 10:30 am in Children’s Program Room for ages 2-5 and their caring daycare providers! Drop-in Program.

BABY STORYTIME on Tuesdays in the Children’s Program Room for ages up to 2 and their caring adults!

LEGO WEEKENDS! Saturdays & Sundays during open hours in the Children’s department for ages 4+ as a self=guided activity.

AUTUMN SCENTED PLAYDOUGH Saturday, October 5 @ 10:30 am in the Children’s Program Room for ages 2+. Registration required.

MAKER SATURDAYS Saturday, October 26 @ 2pm in Herb Taylor Room for ages 8-12. Registration required. Project: Spooky Articulated Hand TAKE ’N’ MAKE Q-TIP SKELETON on October 16 - Open hours in Children’s Circulation Desk for ages 4+ self-guided activity.

HALLOWE’EN SENSORY BOTTLES

Saturday, October 19 @10:30 am in Children’s Program Room for ages 2+. Registration required.

The Royal Canadian Legion – Branch 59 Moose Jaw, 268 High St W Moose Jaw Contact: 306-692-5453 Facebook @ ROYAL CANADIAN LEGIONBranch 59 Moose Jaw Instagram: @Royalcanadianlegion59 BINGO – Monday @ 6pm CRIBBAGE –Tuesday @ 1:30 pm - Please sign-in by 1pm

MEAT DRAW & CHASE THE ACESaturday @ 3pm - Everyone welcome Legion Money Raffe Draw – Final Draw Dec 21 @1:30pm 3 Early Bird Draws Oct 5 @1:30pm for $1000each. 200 tickets available @$20each. 19+ to purchase tickets. Total retail prize $23,000. Tickets available at Legion. Call offce at 306.692.5453 or 306.693.9688 to pay Visa or Mastercard.

Moose Jaw and District Seniors: For more information Call: 306-694-4223 or Email: Email: mjsenior@shaw.ca The centre is now open Mon-Thurs 8am – 8pm. Fitness Level & Indoor Walking Track open M-T and Friday’s 8am-8pm/ Lounge –Friday’s from 8am-4pm.

Wood working area – Mon- Fri 8am – 4pm/ Timothy Eaton Cafe open Mon-Fri, 8am –4pm. Timothy Eaton Cafe open Mon-Fri 8 a.m. – 4 p.m. Cinnamon Buns on Thursday’s. Tuesday is pie day. Everyone is welcomed. Billiards daily 8a.m. – 4p.m.; Monday & Thursday evenings 4:30 – 8 p.m.

Pickle Ball – Monday & Thursday mornings @ 10 a.m/Tuesday, Wednesday & Friday afternoons @ 1 p.m./Monday & Thursday evenings @ 7 p.m./ Wednesday pickleball @ 5pm Cancelled for the summer months Fitness- Chair/Low Impact Fitness Mondays 11:30 & Thursdays @ 1:00 p.m.

Cribbage – Wednesdays @ 1 p.m.; Whist –Tuesday @ 1pm; Hand & Foot Card Game for Beginners – Thursday @9:30 am.; Mah Jong – Wednesday @1 p.m. Beginners is Monday @1pm; 500 Cards – Thursdays @ 1 p.m.; Spades – Tuesday and Fridays 1pm

Full Body work out – Monday’s 10am & Wednesday 9:30am

Scrabble – Monday’s at 1pm

Line Dancing – Tuesdays @ 10 a.m.

Intro to Line Dancing – Wednesday’s @ 11am

Art & Crafts – Monday, Tuesdays & Wednesdays @ 1 p.m.

Floor Shuffeboard – Tuesdays & Thursdays @ 1 p.m.

Paper Tole – Tuesdays @ 1 p.m.

Nickle Bingo – Fridays @ 1 p.m.; New to the Centre is BINGO every Monday at 1:30pm

Quilting – Every Friday 9am to 4pm

Lounge – Friday’s from 2 p.m. to 4 p.m.

Jam Sessions – Friday’s 9 a.m.

Texas Hold’em - Thursday @ 6:30pm

Floor Curling – Wednesday and Fridays @1pm

Cosmo Senior Citizens’ Centre Weekly Activities – 235 3rd Ave. N.E. Phone 306.692.6072 or email cosmo@sasktel. net Check them out on Facebook. Monday: 9:30am-Pickleball/1pm-Floor Shuffeboard/7pm-Camera Club – only on the 2nd Monday of the month Tuesday: 9:30am-Jam Session/1pmPickleball/7pm-Friendship Bridge/7pmBeginners Only Pickleball

Wednesday: 8:30am-TOPS/8:30amPickleball/1pm-Floor Shuffeboard

Thursday: 10am-Line Dance/1pm-Pickleball Friday: 9:00am-Beginner Pickleball/1pmRegular Pickleball

Moose Jaw ANAVETS: Army, Navy & Air Force Veterans Unit #252 – 279 High St. W, Moose Jaw. 306.692.4412 or anaf252@sasktel.net

Every Wednesday, open 12-6 pm, Smear –Starts at 1 pm

Every Thursday, open 12-7 pm, Smear –Starts at 1 pm, Crib starts Sept. 5th; registration at 1 pm; Crib starts at 1:30 pm. Bring a partner or sign up as a spare. Every Friday, open 1-10 pm, drop in shuffeboard. Register at 1 pm. Play starts at 1:30 pm. Bring a partner. Drop in pool and darts. Register by 6:30 pm. Play starts at 7 pm. Bring a partner.

Every Saturday, open 1-7 pm. Meat draw starts at 4:30 pm, 10 meat draws, 4 free draws, gift card and 50/50. Everyone welcome.

Hall rentals available – book now! Available now! 6th Annual 50/50 Tickets. $10/ticket. Only 1000 tickets sold. Could win up to $5000 if all tickets are sold. Draw date will be in December.

Oct. 4th – Time to put on your dance shoes on. DeTour Duo are playing from 7:30 pm –11:30 pm. Oct. 5th – Happy Thanksgiving. Turkeys and hams included in our regular meat draws.

FRATERNAL ORDER OF EAGLES #3395

EVERY THURSDAY: Ladies Auxiliary “Meat Draw” – ticket sales start at 5:30 pm, draws start at 6:00 pm – Meat Draw, 50/50, “Chase the Ace” EVERY SUNDAY: Aerie “Meat Draw” –ticket sales start at 2:30 pm – Meat Draw, 50/50, Mystery Draw, “Chase the Ace” MONDAY THRU SATURDAY – DROP IN POOL – 1:00 pm to 1:30 start time. Singles and Doubles. Partners draw from those attending to play.

FIRST AND THIRD SUNDAY – Aerie meeting – 11:30 am FIRST AND THIRD TUESDAY – Ladies Auxiliary meeting - 7:00 pm DROP IN DARTS - Every Wednesday evening -starts September 4, 2024–continues until April, 2025 - $2.00 per person, draw for partners, starts at 7:00 pm. DROP IN CRIBBAGE - Every Monday evening -starts September 9, 2024–continues until April, 2025 - $2.00 per person, registration between 6:00 pm and 7:00 pm – play starts at 7:00 pm.

Sunday, October 6, 2024 - Ladies Auxiliary Annual Fowl Supper - $15.00 per ticket. Two Sittings 3:30 and 5:00 pm. Advance Tickets can be purchased at the Eagles Club Bar or by E-Transfer at foe3395aux@shaw. ca Security Question: What is this for. Security Answer: Supper. If your answer is one of your choice, please make sure you let us know what it is also, we need to know how many tickets you want, the name of the person/s picking them up and what sitting you choose. The tickets will be waiting for you at the door on the day of the supper. DO NOT come to pick them up as the bar staff will not have them.

Saturday, October 12, 2024 - Music Bingo / Karaoke – 7:00 pm

Saturday, October 26, 2024 - Enjoy a Hallowe’en Party in the Eagles Club Lounge. More details will follow. Party along with music by Lone Rambler – 8:30 pm start. Saturday, November 16, 2024 - Runaway Train will be playing in the Eagles Club Lounge – 8:30 pm start – come out and enjoy the music, dancing and fellowship. Saturday, November 30, 2024 - The Eagles club Lounge is pleased to have “Two Easy” playing – come out and dance the night away to some really great music. NEW YEARS EVE - Great Party time going on in the Eagles Club Lounge with Brandon & Company – bring in the new year right…. Watch for more details.

Western Development Museum; 50 Diefenbaker Drive, Moose Jaw. For more information, visit the museum’s website at WDM.ca/Moose-Jaw. Call 306-693-5989 or email ajones@wdm.ca

Jason G. Antonio - MooseJawToday.com

Artist Leesa Streifer is thrilled that many artworks she has created during the past 41 years — including some she hasn’t seen in decades — are now on display and showcase her views about the human body.

“Lessa Streifer: The Performance of Being,” is the newest exhibition at the Moose Jaw Museum and Art Gallery (MJMAG) and runs from Friday, Sept. 27 to Sunday, Dec. 8.

More than 100 mixed-media artworks from the 1980s to now comprise the exhibition and are divided into themes of Memory and Innocence; Fear, Anxiety, Sorrow and Rage; Performativity; and The Carnivaleque.

The display showcases Streifer’s interest in being “othered,” representing gender performance, social control and body politics, patriarchy, motherhood, marginalized and non-conforming bodies, and the stages of life, including aging.

The MJMAG held an opening reception on Friday night, which featured comments from Streifer, curators Wayne Baerwaldt and Jennifer McRorie and art historian Joan Borsa. There was also a contemporary dance performance by Anastasia Evsigneeva.

The Winnipeg-born artist on Sept. 26 after she gave a tour to a class from Riverview Collegiate.

However, in 1985, a mentor from Winnipeg asked if she wanted to feature her work in his gallery, so she accepted. She later became a professor at the University of Regina in 1986 and remained there until 2019.

Human fgures

Streifer, 67, explained that her work used to be more abstract but was always fgurative and about “the fgure” — usually her fgure, what was happening to fgures, the effect that the world and environment had on these beings, and what these fgures thought of the world.

In the beginning Streifer — considered one of Canada’s leading feminist artists — received her bachelor’s degree in Winnipeg in the late 1970s and her master’s in New York in the early 1980s. She held one exhibition in The Big Apple, but because of the works’ quality, she didn’t consider it a professional show.

Moreover, the artworks showcased the interactions between couples and their love, sexuality, intimacy and romance. They also featured topics about identity, which Streifer said refected her efforts to understand her identity as a woman.

“I’m a strong feminist,” the Winnipeger said, noting she learned about second-wave feminism in university in the 1970s and began learning about female artists.

Feminism’s infuence

As Streifer grew and matured as a woman, she realized that other women’s experiences were important, while they were different than men’s and deserved to be represented. However, those were unpopular sentiments.

The art world told women then that

topics such as mothering, domestic issues, self-awareness and the female body were unimportant.

“Even colour. Like, using the colour pink was considered not too serious. Like, pretty colours that were very pretty that I tended to like from clothing or from my life as a girl weren’t considered serious things,” Streifer said, noting the feminist movement changed all that.

Streifer’s early works expressed her anger toward society’s treatment of women and “the other,” while her recent work showcases her more compassionate nature.

She attributed this evolution to growing older and having more autonomy and power in her life. However, she still sees injustice in the world, so that anger is still there but is not as pronounced.

“I’ve still got both of them. But the proportions have changed a bit … ,” she remarked. “But, now I want to go home and do work about the wars that are going on in the world (and the powerlessness, fear and lack of control with them). And that’s going to be angry, so it’s subtle stuff.

Renowned feminist artist refects on her work over 41 years

“It’s not just black and white, right? There’s so many feelings that you have about life.”

The body and aging

Streifer’s most recent work focused on women and aging, the strength they have, and their anatomy. She noted that she is fascinated by how the body changes and continually draws it to understand it better.

These drawings are improving, but it’s diffcult because she had a “more idealized body” as a younger woman and never focused on seniors. Moreover, art history usually features “gorgeous bodies,” so she had few examples of older bodies to study.

“It’s very hard to draw skin that sags (and) has wrinkles and … how the structure of the body changes, the posture, and everything,” Streifer said.

The artist created art that focused on motherhood, while she drew very few male bodies since she didn’t “know the reality of being a man.”

Collected artwork

Streifer says she is thrilled that many artworks she created over four decades are now in one spot, while she credited various national and provincial art galleries and museums for keeping them in good shape. About 85 per cent came from those venues, while 15 per came from her personnel collection; she was relieved to free up space in her studio so she could create more.

She also appreciated that McRorie and Baerwaldt wrote such fattering words when describing the exhibit.

“It’s very great. I mean, it’s … humbling … ,” Baerwaldt said.

Streifer now lives in Winnipeg and is a mentor in a feminist organization called Mentoring Artists for Women’s Art (MAWA). She continues to create art and writes for a Canadian arts magazine.

Visit www.mjmag.ca for more information.

34 Wood Lily Dr
914 Tatanka Dr - Bu alo Pound Lake
Artist Lessa Streifer talks about her early work and why she created small-sized compositional photographs featuring her looking like a human or an animal. Photo by Jason G. Antonio
Artist Lessa Streifer discusses a piece that speaks to anorexia and encouraging girls to eat. Photo by Jason G. Antonio

Car enthusiasts enjoy one last run at Next Gen Car Club’s 2024 season closer

Car enthusiasts turned out by the hundreds to attend the Next Gen Car Club’s season closer which concluding another season to the sound of revving engines, bass speakers, and all the sights of custom and vintage rides in Tatawaw Park on Sept. 22.

“So, the season’s almost ending, and this is our season closer,” said club co-founder Jai Singh at the conclusion of the limbo event. “As you can see right now, there’s probably hundreds of people around… they just want to come (and) enjoy (seeing) what people have to show and basically have a good time.”

It’s through shows like this that the club engages with its members and the community.

“We invite anyone and everyone who is a car enthusiast — whether they have a car, whether they’re in the process of building a car — it doesn’t matter. We welcome all,” said Singh.

The season closer attracted visibly fewer entries and guests than in 2023, however this didn’t deter several hundred car enthusiasts from enjoying another successful show. Featuring food by Kona Ice, The Paddy Wagon, Pedro’s, and Peak Perfection Ice Cream Truck, and the popular exhaust, DB racing, and car limbo events, the show went off without a hitch.

The Next Gen Car Club has its origins

in Tatawaw Park

Aaron Walker - Moose Jaw Express

in Moose Jaw and was founded by former Moose Jaw residents Jai Singh and Austin Murray who now reside in Regina where the club is based.

“We always do our season opener and our season closer (here) because our roots are in Moose Jaw,” Singh announced.

“This is our hometown, for both me and Austin, and that’s how we started. We’re always going to come back here and make sure we’re supporting Moose Jaw.”

The club started in 2019 and has been

steadily growing ever since, with over 15,000 current members from across Canada. Its frst meet in 2020 saw around 100 cars and this year more than 1,000 showed up to break records in Regina.

Before all this growth, of course, the club started with humbler beginnings.

“We did birthday parades in the beginning when kids were locked up during COVID. We’d go around with the cars and we would basically honk our horns, decorate our cars, and wish them happy birth-

day,” Singh recalled.

“Then we stated hosting car shows,” he continued. Ever since the shows began, the club has been accepting donations on behalf of local food banks including the Moose Jaw & District Food Bank and all proceeds from its competitive events are also donated to the cause.

“Thank you to everyone who participated in our 2024 season,” the club announced. “Now, for the off season, we will plan out how we can make our (2025) season opener bigger, better, and have more (entries and guests) involved in our shows.”

Everyone’s invited to attend next year’s season opener in Tatawaw Park during the 2025 May long weekend and Singh said that he’d like to see more classic car entries in particular. “Our club is all about being inclusive, so I just want to welcome everybody who wants to come enjoy a car show,” he concluded.

To learn more about the Next Gen Car Club, visit NextGenCarClub.ca or follow ‘nextgencarclub’ on Facebook or Instagram. The best way to reach the club is through a direct message on Instagram.

Tatawaw Park is the location of the old Wild Animal Park and is located at the southernmost end of Seventh Avenue Southwest.

In pictures: Next Gen Car Club concludes 2024 with season closer in Moose Jaw’s Tatawaw Park

Aaron Walker

- Moose Jaw Express

Contestants prepare for the dB drag race which rewards the vehicle that produces the loudest sound during the Next Gen Car Club’s season closer in Tatawaw Park on Sept. 22. Photo by: Aaron Walker
Contestants line up to compete in the limbo challenge during the Next Gen Car Club’s 2024 season closer in Tatawaw Park. Photo by: Aaron Walker
A black Audi participates in the limbo challenge in Tatawaw Park on Sept. 22. Photo by: Aaron Walker
Photo by: Aaron Walker
Photo by: Aaron Walker
This car was festively decorated — hopefully with paint — to welcome Halloween this fall. Photo by: Aaron Walker

245 Prairie Ave., Briercrest

2 Storey o ers modern comforts & classic charm, perfect for those seeking tranquillity and style. is home has been thoughtfully updated while retaining some character and charm. 3 Bedrooms.

MLS®# SK982787 - $100,000

865 Algoma Ave.

In the Avenues of Moose Jaw

this Extra sized 2 ½ Story Split not only has space but has a 4 Car Heated Garage! Upgrades inside and out. For families seeking space and comfort!

MLS®# SK973625 - $299,900

Untamed Blooms + Botanicals Business Opportunity! Business for SALE! Buyers will appreciate the established reputation and the strategic location of Untamed Blooms + Botanicals. is is a rare chance to own a business that not only thrives commercially but also makes a positive impact on the community.

MLS®# SK975204 - $169,000

1073 2nd Ave. NW. Stunning! Exudes timeless elegance w/modern updates. 4 Beds/3 Baths. Everything for a family, fully nished & a Dbl. Det. Garage! In the Avenues. MLS®# SK959823 - $339,900

118 Deer Trail, Bu alo Pound Lake Nestled on 5 lots in the picturesque Hamlet of Sand Point Beach. Updated inside & out. 4 Season Home at the Lake!

MLS®# SK970907 - $199,900

42 Brigham Road Newer Construction, perfect for the 1st time buyer, young family, semi/retired family. is is move in ready, 3 Beds, 2 Baths, Open Concept and Dbl. Heated Garage!

MLS®# SK984723 - $409,900

1207 Gra on Ave.

2 ½ Storey Family Home w/4 Bedrooms & a 3rd Floor

Lo . So much family space & updates! is is one to see.

MLS®# SK974315 - $244,900

48 Brigham Road NEW Construction comes fully nished including Dbl. Det. Garage, Landscaping & Fence. 4 Beds, 2.5 Baths, Quartz Counters. Call For Details.

MLS®# SK956658 - $454,900

943 Hawthorne Cres. Long Term Owner, and immaculate condition. Metal Room, backs Elk’s Park, 3 Beds, 2 Baths. It’s a perfect for 1st time home buyer, downsizing or even if you are wanting to take on a project to make it your own.

MLS®# SK983550 - $249,900

62 Belmont Cres. Stunning Bungalow, with over 2700 sq . in immaculate condition across from Belmont Park & close to new joint school, water park, soccer eld & playground. A MUST SEE! 5 Beds/3 Baths & Oversized Dbl. Att. Heated Garage. Move In Ready!

MLS®# SK980292 - $539,900

1132 13th Ave. NW.

Pride of ownership, in this 4-level split. Original owner & it is immaculate. 3 Bedrooms, 2 Baths and covered deck in beautifully landscaped yard. is is one not to miss!

MLS®# SK979425 - $279,900

and gorgeous landscaping. Just Move In!

MLS®# SK984711 -

4 Kalmia Cres Beautiful 2 Storey Home, steps to park, school, walking paths. Upgrades galore, 4 Beds, 3.5 Baths, Dbl. Att. Heated Garage
$534,900

Turn static files into dynamic content formats.

Create a flipbook
Issuu converts static files into: digital portfolios, online yearbooks, online catalogs, digital photo albums and more. Sign up and create your flipbook.